Банк рефератов содержит более 364 тысяч рефератов, курсовых и дипломных работ, шпаргалок и докладов по различным дисциплинам: истории, психологии, экономике, менеджменту, философии, праву, экологии. А также изложения, сочинения по литературе, отчеты по практике, топики по английскому.
Реклама
Полнотекстовый поиск
Всего работ:
364139
Теги названий
Реклама
VisitTime.ru помогает быстро организовать онлайн-запись клиентов и держать расписание под контролем.
📅 Настройте услуги и длительность приёма, откройте свободные окна — и клиенты запишутся сами в пару кликов.
🕒 Вы избегаете накладок, меньше тратите времени на переписки и звонки, а автоматические напоминания повышают явку.
💡 Отличное решение для мастеров, студий и сервисных команд, которым важны порядок и стабильная загрузка.
Начать пользоваться сервисом



Разделы
Авиация и космонавтика (304)
Административное право (123)
Арбитражный процесс (23)
Архитектура (113)
Астрология (4)
Астрономия (4814)
Банковское дело (5227)
Безопасность жизнедеятельности (2616)
Биографии (3423)
Биология (4214)
Биология и химия (1518)
Биржевое дело (68)
Ботаника и сельское хоз-во (2836)
Бухгалтерский учет и аудит (8269)
Валютные отношения (50)
Ветеринария (50)
Военная кафедра (762)
ГДЗ (2)
География (5275)
Геодезия (30)
Геология (1222)
Геополитика (43)
Государство и право (20403)
Гражданское право и процесс (465)
Делопроизводство (19)
Деньги и кредит (108)
ЕГЭ (173)
Естествознание (96)
Журналистика (899)
ЗНО (54)
Зоология (34)
Издательское дело и полиграфия (476)
Инвестиции (106)
Иностранный язык (62791)
Информатика (3562)
Информатика, программирование (6444)
Исторические личности (2165)
История (21319)
История техники (766)
Кибернетика (64)
Коммуникации и связь (3145)
Компьютерные науки (60)
Косметология (17)
Краеведение и этнография (588)
Краткое содержание произведений (1000)
Криминалистика (106)
Криминология (48)
Криптология (3)
Кулинария (1167)
Культура и искусство (8485)
Культурология (537)
Литература : зарубежная (2044)
Литература и русский язык (11657)
Логика (532)
Логистика (21)
Маркетинг (7985)
Математика (3721)
Медицина, здоровье (10549)
Медицинские науки (88)
Международное публичное право (58)
Международное частное право (36)
Международные отношения (2257)
Менеджмент (12491)
Металлургия (91)
Москвоведение (797)
Музыка (1338)
Муниципальное право (24)
Налоги, налогообложение (214)
Наука и техника (1141)
Начертательная геометрия (3)
Оккультизм и уфология (8)
Остальные рефераты (21692)
Педагогика (7850)
Политология (3801)
Право (682)
Право, юриспруденция (2881)
Предпринимательство (475)
Прикладные науки (1)
Промышленность, производство (7100)
Психология (8692)
психология, педагогика (4121)
Радиоэлектроника (443)
Реклама (952)
Религия и мифология (2967)
Риторика (23)
Сексология (748)
Социология (4876)
Статистика (95)
Страхование (107)
Строительные науки (7)
Строительство (2004)
Схемотехника (15)
Таможенная система (663)
Теория государства и права (240)
Теория организации (39)
Теплотехника (25)
Технология (624)
Товароведение (16)
Транспорт (2652)
Трудовое право (136)
Туризм (90)
Уголовное право и процесс (406)
Управление (95)
Управленческие науки (24)
Физика (3462)
Физкультура и спорт (4482)
Философия (7216)
Финансовые науки (4592)
Финансы (5386)
Фотография (3)
Химия (2244)
Хозяйственное право (23)
Цифровые устройства (29)
Экологическое право (35)
Экология (4517)
Экономика (20644)
Экономико-математическое моделирование (666)
Экономическая география (119)
Экономическая теория (2573)
Этика (889)
Юриспруденция (288)
Языковедение (148)
Языкознание, филология (1140)

Реферат: Анализ рынка пищевых ароматизаторов в России

Название: Анализ рынка пищевых ароматизаторов в России
Раздел: Рефераты по маркетингу
Тип: реферат Добавлен 06:03:34 13 июня 2011 Похожие работы
Просмотров: 601 Комментариев: 19 Оценило: 2 человек Средний балл: 5 Оценка: неизвестно     Скачать

Введение 3

1 Рынок пищевых ароматизаторов в России 5

2 Общая характеристика ОАО «Аромарос-М» 11

3 Оценка конкурентоспособности пищевых ароматизаторов 17

3.1 Понятие конкурентоспособности продукции в маркетинге 17

3.2 Конкурентоспособность пищевых ароматизаторов 19

Заключение 23

Список использованной литературы 25

ВВЕДЕНИЕ

Сегодня принципы здорового и сбалансированного питания активизируют рынок пищевой продукции, сырья и ингредиентов, определяют направления развития пищевой промышленности. Проявление такой тенденции усиливает и роль рынка пищевых ингредиентов. На торговых прилавках появляется большое количество продуктов, характеризующихся сложным составом, включающим и витамины, и микроэлементы, и микроорганизмы, и волокна, и полиненасыщенные жирные кислоты, и ароматизаторы, и целый ряд других технологических добавок и средств. Потребители интересуются декларированными на этикетках составляющими и делают свой выбор

Почему нужны сегодня пищевые ингредиенты? Прежде чем ответить на этот вопрос, нужно уточнить, что же собой представляют пищевые ингредиенты, что это такое?

Пищевые ингредиенты — это составные части пищевых продуктов в соответствии с их рецептурой. Практически в рецептуру пищевого продукта могут входить: продовольственное сырье (зерно, мясо, овощи и т.п.), готовый продукт животного (масло, молоко, яйца и т.п.), растительного (пряности, ягоды, фрукты и т.п.), микробиологического (дрожжи и др.) или минерального происхождения (соль, вода), а также природные или синтезированные пищевые и биологически активные добавки, ароматизаторы, макро- и микроэлементы, пищевые волокна. Все это — пищевые ингредиенты. При этом в составе продукта обязательно нормируется содержание той или иной пищевой или биологически активной добавки, витаминов, макро- и микроэлементов, ароматизаторов и содержащихся в них биологически активных веществ, а также следовых остатков технологических вспомогательных средств, если таковые были использованы в производстве.

Современные пищевые технологии не могут обойтись без использования целого ряда пищевых добавок, выполняющих разнообразные технологические функции. Для этого имеется арсенал, состоящий более чем из четырех сотен индивидуальных пищевых добавок и огромного числа комплексных добавок. Их использование регламентируется соответствующими правилами и нормами, среди которых важную роль выполняют гигиенические нормы и национальные терминологические стандарты.

Реклама

Целью нашей работы является оценка конкурентоспособности, сегментация рынка пищевых ароматизаторов и их позиционирование на рынке. Маркетинговое исследование проведено на примере крупнейшей в пищевой промышленности компании ОАО «Аромарос-М».

1 РЫНОК ПИЩЕВЫХ АРОМАТИЗАТОРОВ В РОССИИ

Серьезного внимания терминологии пищевых добавок, ароматизаторов и других ингредиентов до недавнего времени не уделялось. Впервые в России официально термин “Пищевая добавка” и его определение появились в 2000 году в Федеральном законе РФ “О качестве и безопасности пищевых продуктов” (№29-Ф3 от 02.01.2000 г.).

Пищевая добавка — это натуральное или искусственное вещество и/или их смесь, обычно не употребляемые в качестве пищевого продукта, преднамеренно вводимое в пищевой продукт в процессе его производства с технологической целью и/или придания ему определенных свойств и/или сохранения качества и увеличения сроков хранения или годности.

С этих пор термин “пищевая добавка” стал использоваться в российском национальном законодательстве. В законодательстве стран ЕЭС он используется официально с 1988 г. после выхода в свет директивы Совета ЕЭС 89/107 от 21.12.1988 г (статья 1.2). В соответствии с этим документом, определение пищевой добавки следующее: “... любое вещество, обычно не употребляемое в питании как пищевой продукт или как специфический ингредиент, обладающее или не обладающее пищевой ценностью, при целенаправленном добавлении которого в пищевые продукты в соответствии с технологией изготовления, переработки, приготовления, обработки, упаковки, транспортирования или хранения данное вещество или его производные фактически или продолжительно становятся прямо или косвенно компонентом этих пищевых продуктов”.

Любой пищевой продукт состоит из сырья и добавок. Исключение составляют только свежие овощи, фрукты, мясо и некоторые другие. Доля добавки в конечном продукте может колебаться от сотых долей процента до 50% и более. Например, количество сорбита в диабетических кондитерских изделиях достигает 80%, а синтетические красители или этилванилин могут использоваться в дозировке до 0,05%.

С экономической точки зрения динамика развития рынка пищевых добавок прямо пропорциональна развитию рынка продуктов питания. Так, если по итогам за год (с августа 2008 г. по август 2009 г.) рынок продуктов питания вырос примерно на 7% в абсолютном выражении, то мы с уверенностью можем говорить об аналогичном росте рынка пищевых добавок. При этом структура рынка добавок меняется в зависимости также от конъюнктуры пищевого рынка и, в конечном счете - от благосостояния населения. Причем, чем выше уровень благосостояния, тем интенсивнее рост рынка пищевых добавок в стоимостном выражении. Потребитель в меньшей степени привязан к цене, а, следовательно, производитель может позволить себе использование более качественных и более дорогих ингредиентов.

Реклама

Объем рынка пищевых добавок очень велик. Достаточно отметить, что в 2009 г. годовой объем продаж компаний, действующих в сфере производства пищевых добавок, составляет, по официальным данным, округленно 3 000 000 000 евро - "Danisco Cultor": 880 000 000 евро-пищевые ароматизаторы фирмы "Givaudan"; более 800 000 000 долл. США - пищевые ароматизаторы IFF; около 500000000 евро - подразделение компании "Rhodia" ("Rhodia Food"), занимающееся пищевыми ингредиентами.

Для крупнейших мировых производителей доля России в обороте в стоимостном выражении не превышает 5%. Основная причина заключается в том, что в нашей стране используются все добавки недорогого ряда, а также пока не нашли широкого применения добавки с функциональными свойствами, полезными для здоровья. Указанные добавки широко востребованы в странах Европейского Союза и в Америке, и их цена превышает стоимость традиционных добавок.

Перечень мировых компаний-лидеров, занимающих большую часть российского рынка пищевых добавок: Aromco, Esarom, IFF, Firmenich, Givaudan, Hasegawa, Mane, Quest, Sensient, Symrise, Takasago (контролируют около 75% мирового рынка), а также Frutarom, Etol, Robertet и производители вкусо-ароматических «компаундов») Doehler и Wild. Основные российские производители - «Аромарос-М», «Джей Элан», «Комбинат химико-пищевой ароматики», « Скорпио-Аромат», «Тереза Интер».

Что касается оценок объемов, то по данным Euromonitor, в 2005 г. рынок ароматизаторов в России составлял $98 млн., в 2008 г -- 130 млн. евро.

На сегодняшний день емкость отечественного рынка ароматики оценивается приблизительно в 170 млн. евро. Сюда входят все ароматизаторы пищевого рынка, сладкое направление составляет 30%, из них мороженое –20%.

Одна из основных тенденций рынка - рост потребности в натуральных ароматах во всех видах пищевого производства. К термину «идентичный натуральному» относятся уже спокойно, поскольку за последнее время уровень образованности потребителей значительно возрос за счет доступности информации, а вот «искусственный» ароматизатор на этикетке продукта практически не встречается из-за страха производителей отпугнуть потенциального покупателя. Стоит отметить, что на сегодня доля ароматизаторов, идентичных натуральным преобладает на российском рынке, а учитывая новые достижения молекулярной химии и новые технологии в химической промышленности, данный сектор будет расти.

Желание потребителей покупать и потреблять более дорогие продукты питания с натуральными ингредиентами не является тенденцией, свойственной только российскому рынку, которая зависит от роста покупательской способности населения. Чем выше доходы потребителей, тем значительнее их потребность в здоровой органической пище. Известно, что стоимость натуральных ароматизаторов выше, чем их идентичных «собратьев». Поэтому они идут, в основном, в премиальные продукты. Таким образом, если есть спрос, есть и предложение, причем в последние два года стабильно растущее.

С другой стороны, инновации в продуктах питания - функциональность и новые вкусовые решения. Функциональность в продуктах питания, в т.ч. и в мороженом, является второй мировой тенденцией, которая находит место и на российском рынке. Продукты питания с заданными функциональными свойствами - восстанавливающие силы, придающие энергию, улучшающие самочувствие, обогащенные витаминами, микроэлементами, клетчаткой, пробиотиками и пребиотиками (БИО), т.е. физически полезные для здоровья, а также - вызывающие удовольствие и радость потребления, т.е. эмоциональные ощущения.

Роль пищевых ароматизаторов в этой тенденции очень важная: во-первых, вкусовое решение должно поддерживать восприятие продукта как полезного, а во-вторых, ароматизаторы способны замаскировать нежелательные ноты, возникающие при использовании функциональных ингредиентов (витаминов, экстрактов). Вкус по-прежнему остается основным фактором успеха продукта, даже если этот продукт нацелен на получение организмом пользы.

В этом направлении развиваются новые технологии в производстве ароматизаторов: жидкие функциональные - маскирующие нежелательные ноты, усиливающие ощущение сладости при снижении содержания сахара в продукте, сливочности вкуса при снижении жирности, ароматизаторы ощущений - пощипывание во рту, обильное слюноотделение, ощущение тепла или охлаждения и т.п., а также инкапсулированные ароматизаторы. Последние, кстати, уже активно используются в производстве чая и кофе, в производстве мясных продуктов, кондитерских изделий. Технологии инкапсуляции позволяют долгое время предохранять ароматизатор от окисления и «раскрывать вкус» только перед самым употреблением, например, после добавления воды, варки, жарки, попадания в рот (соприкосновения со слюной) и т.д.

Ароматизаторы позволяют пищевикам без дополнительных затрат на базе одной стандартной рецептуры значительно увеличить ассортимент выпускаемой продукции. Благодаря им, одного только мороженого можно выпускать десятки наименований, и каждое будет иметь свой вкусовой оттенок.

Итак, применение ароматизаторов позволяет:

· создать широкий ассортимент пищевых продуктов, отличающихся по вкусу и аромату, на основе однотипной продукции;

· восстановить вкус и аромат, частично утерянный при хранении или переработке-замораживании, пастеризации, консервировании, концентрировании;

· стандартизировать вкусо-ароматические характеристики пищевой продукции вне зависимости от ежегодных колебаний качества исходного сельскохозяйственного сырья;

· усилить имеющийся у продуктов натуральный вкус и аромат;

· придать аромат продукции на основе некоторых ценных в питательном отношении, но лишенных аромата, видов сырья (например, продуктов переработки сои);

· избавить пищевую продукцию от неприятных привкусов;

· придать аромат продукции, получаемой с помощью технологических процессов, при которых не происходит естественного образования аромата (например, приготовление пищи в микроволновых печах).

Применение ароматизаторов, в том числе натуральных, не преследует цели повышения пищевой или биологической ценности пищевых продуктов, обогащения его микроэлементами или биологически активными веществами. Единственная задача, выполняемая ароматизаторами - это улучшение вкуса и аромата пищевых продуктов. К каждому виду продукции ароматизаторы подбираются довольно длительное время.

На протяжении последних 6 лет цены на ароматизаторы были достаточно стабильны. Но некоторые из них очень сильно зависят от урожая сырья, входящего в их состав, например, ванили. Бобы ванили являются основным сырьем для производства как экстракта ванили, так и ароматизаторов. После кризиса в 1998 г., когда цена взлетела в 5 раз и потом вновь вернулась назад, их стоимость постепенно возрастает. И нет предпосылок к ее снижению.

С началом мирового кризиса в 2008 г. и резкого увеличения цен на топливо и энергию возможен глобальный рост цен и на ароматизаторы. Это относится ко всем производителям без исключения.

Что касается соотношения цена-качество, то на сегодняшний день следует поставить качество на первое место, поскольку оно является фактором успеха, и многие крупные производители это уже прекрасно осознали. Однако цены определяют успех продукта на рынке и не учитывать этот фактор, значит, не быть успешным. Но цены могут меняться, а качество меняться не должно.

Правильный и гармоничный баланс между качеством и ценой ароматизаторов - это то, что ищут производители. Рынок выбирает лучших.

Ценовая конкуренция - это конкуренция прямого столкновения на уровне одинаковых типов продуктов, и поэтому она губительна для обеих сторон, поскольку истощает ресурсы и снижает прибыль.

Конкуренция качества - это попытка обхода за счет дополнительных преимуществ, добавленных в однотипные продукты, что дает возможность конечному потребителю выбирать самому и делает его лояльным к конкретной торговой марке на долгое время.

Практически все зарубежные производители, и некоторые российские, имеют сегодня сертификат качества ISO, который предназначен для демонстрации и гарантии покупателям стабильного качества высокого уровня. Это сертификат предусматривает контроль качества на всех уровнях бизнеса - от системы управления в компании до системы контроля готовой продукции.

Рынок пищевой ароматики близок к насыщению. Основные игроки рынка уже определились и каждый занял свою нишу (как ценовую, так и ориентированную на определенный сегмент пищевого производства). Данная ситуация предполагает новый качественный скачок в развитии рынка как поставщиков ароматики, так и производителей конечной продукции.

2 ОБЩАЯ ХАРАКТЕРИСТИКА ОАО «АРОМАРОС-М»

Разработка и промышленное производство вкусоароматических и комплексных добавок для пищевых продуктов — индустрия для России достаточно новая. Первое профильное предприятие — компания «АРОМАРОС-М» — появилось в 1994 году. Её создал Виталий Антонович Андреенков, который известен в научных и профессиональных кругах как опытный специалист в области комплексной оценки качества биосырья и пищевых продуктов.

Организация и стратегия развития компании «Аромарос-М» построены на современных представлениях о пищевых добавках и ароматизаторах как составной части передовых технологий промышленного производства продуктов питания. В настоящее время ОАО «Аромарос-М» — один из ведущих российских производителей вкусоароматических и комплексных пищевых добавок для мясной и других отраслей пищевой промышленности. Это стало возможным благодаря грамотной стратегии развития предприятия, фундаментальной научной базе и современному техническому оснащению. Вся продукция производится по собственным рецептурам, которые являются ноу-хау компании и защищены 23 патентами Российской Федерации.

«Аромарос-М» — первое российское предприятие по производству пищевых добавок, сертифицированное по стандарту ISO 9001. Сертификат № СН03/0611 на систему управления качеством, выданный международным органом по сертификации SGS, подтверждает высокое качество продукции компании. Ещё один сертификат — о соответствии продукции «Аромарос-М» требованиям Codex Alimentarius CAC/RPC 1-1969, версии 4 (2003), был выдан SGS после проведённого в компании в июне 2005 года аудита системы пищевой безопасности.

Производство вкусоароматических и комплексных добавок для пищевых продуктов относится к наукоёмким отраслям промышленности. Большая часть сотрудников ОАО «Аромарос-М» имеет учёные степени; по результатам ведущихся в компании научных разработок защищены три диссертации на соискание учёной степени кандидата технических наук.

Специалисты фирмы «Аромарос-М» уделяют большое внимание консультированию и технологической поддержке предприятий-клиентов. Технологи проводят демонстрационную выработку продукции с применением пищевых добавок компании, внедряют современные технологии производства с учётом требований заказчиков. Начиная с 1998 года для специалистов пищевой промышленности регулярно организуются семинары, на которых обязательно проводится дегустация продукции, выработанной с использованием вкусоароматических и комплексных добавок от «Аромарос-М».

Продукция компании неоднократно отмечалась золотыми медалями и дипломами различных научно-технических конференций, выставок и конкурсов — таких, как «Ингредиент года», «Золотой ингредиент. Северная Пальмира», «Лучшая продовольственная продукция».

Все пищевые ингредиенты, выпускаемые компанией «Аромарос-М», используются в производстве продуктов на различных стадиях технологического процесса. Они предназначены для улучшения вкуса и аромата, консистенции и внешнего вида готовых продуктов, увеличения сроков хранения и повышения рентабельности. Каждый ингредиент имеет определенное назначение и свойства, зависящие от вида, состава и особенностей технологии производства продуктов питания.

В качестве ароматических веществ в составе пищевых ингредиентов используются эфирные масла и олеорезины (или маслосмолы) пряностей и пряно-ароматических растений. Это отличает продукцию компании «Аромарос-М» от пищевых ингредиентов других фирм-производителей.

Эфирные масла и олеорезины (маслосмолы) представляют собой сложную многокомпонентную смесь природных органических веществ и являются биологически-активными компонентами пищи.

Эфирные масла – это смеси ароматических веществ, достаточно летучих, чтобы испарятся на воздухе. Эфирные масла получают перегонокой с водяным паром из пряностей и пряно-ароматических растений (черный перец, душистый перец, гвоздика, корица, мусктный орех, тмин и др.).

Олеорезины (или маслосмолы) получают из экстрактов пряностей после удаления спирта. Олеорезины содержат вкусовые компоненты пряностей и 10-25 % эфирных масел. Эфирные масла и олеорезины полностью сохраняют аромат и вкус натуральных пряностей. Большинство этих веществ обладают бактериостатическим и бактерицидным эффектами.

При использование эфирных масел взамен натуральных пряностей в производстве пищевых продуктов исключается дополнительное внесение нежелательной микрофлоры. Эфирные масла обладают антиокислительной способностью по отношению к жирам. В составе пищевых добавок эфирные масла и олерезины являются модификаторами свойств натуральных пряностей.

Функциональные компоненты пищевых добавок «АРОМАРОС-М» являются традиционными и широко используются в пищевой промышленности. Это фосфатные препараты (Е 451 и др.), пищевые кислоты и их соли (Е 330 ,Е 316 и др.), сахара, полисахариды, растительные белки, натуральные влагосвязывающие ингредиенты (гидроколлоиды Е 407, Е 412 и др.), эмульгаторы (Е 471 и др.) и натуральные пищевые красители (Е 120).

Все перечисленные ингредиенты разрешены к использованию в производстве пищевых продуктов на территории России и стран Европы.

В России разрешено применение около 400 различных пищевых добавок, включая основные соединения и их производные, которым присвоен трехзначный номер с индексом Е.

Индекс Е и трехзначный номер – это символ строго определенной добавки, понятный на всех основных языках мира. Индекс Е указывает на то, что данный ингредиент проверен на безопасность для здоровья человека, для него установлены критерии чистоты, гигиенические нормативы, определены максимальные пределы содержания в пищевых продуктах.

Компания «Аромарос-М» разрабатывает и производит пищевые ингредиенты для мясных продуктов, продуктов из сои, чипсов, снеков, майонезов, кетчупов, супов и макарон быстрого приготовления, плавленых сыров и др.

В ассортименте продукции - натуральные ароматизаторы, ароматизирующие эмульсии, вкусо-ароматические и комплексные добавки для различных видов пищевых продуктов. Эти ингредиенты используются в технологическом процессе производства и являются составной частью продуктов питания.

Таблица 1

Каталог продукции ОАО «Аромарос-М»

Название

1

Вкусоароматические добавки для супов, инстант-супов, макарон, картофельного пюре и каш быстрого приготовления

2

Вкусоароматические добавки для плавленных сыров, тофу, соусов, майонезов и кетчупов

3

Вкусоароматические добавки для продуктов из соевых текстуратов и окары

4

Вкусоароматические добавки для чипсов, хрустящего картофеля, снэков, сухариков, крекера и орехов.

5

Вкусоароматические эмульсии для детского питания

6

Цветообразующие добавки для пищевых продуктов

7

Ароматизаторы и вкусоароматические добавки

8

Комплексные пищевые добавки для продуктов мясных в желе

9

Функциональные добавки для мясных продуктов

10

Комплексные пищевые добавки для деликатесной продукции

11

Комплексные пищевые добавки для ветчины вареной в оболочке и в форме, вареных продуктов из говядины

12

Комплексные пищевые добавки для полуфабрикатов

13

Комплексные пищевые добавки для паштетов, ливерных колбас и зельцев

14

Комплексные пищевые добавки для сырокопченых и сыровяленых колбас

15

Комплексные пищевые добавки для варено-копченых колбас

16

Комплексные пищевые добавки для полукопченых колбас

17

Комплексные пищевые добавки для вареных колбасных изделий с мясом птицы механической обвалки

18

Комплексные пищевые добавки для вареных колбасных изделий первого и второго сорта

19

Комплексные пищевые добавки для вареных колбасных изделий высшего сорта

Вкусо-ароматическая гамма продукции «Аромарос-М» имеет пряно-ароматическую направленность и ориентирована на вкусовые предпочтения российского потребителя. Большая часть ассортимента пищевых добавок предназначена для промышленного производства мясных продуктов - колбасных изделий, деликатесов и мясных полуфабрикатов.

Компания «Аромарос-М» не использует в производстве вещества, способные нанести вред здоровью потребителя. Безопасность продукции подтверждена гигиеническим заключением Департамента государственного санитарно-эпидемиологигического надзора Министерства здравоохранения РФ.

Специалисты компании работают над созданием новых и усовершенствованием традиционных технологий продуктов питания.

Компания «Аромарос-М» развивает собственную научную школу и сотрудничает с ВУЗами и научно-исследовательскими институтами:

- Институт Питания РАМН (г.Москва),

- ГУП ВНИИМС (Метрологии и Стандартизации, г.Москва),

- ВНИИ ОФИ (Оптико-Физических Исследований, г.Москва),

- ВНИИ Стандарт (г.Москва),

- ВНИИПАК (Пищевых Ароматизаторов и Кислот, г.Санкт-Петербург),

- Институт биохимической физики имени Н.М.Эммануэля (г.Москва),

- МГУ Прикладной Биотехнологии (г.Москва),

- МГУ Пищевых Производств и другими.

Это позволяет успешно выполнять весь цикл работ от создания пищевых добавок до внедрения в технологический процесс промышленного производства продуктов питания. Для специалистов пищевой промышленности компания выпускает научно-технический журнал «Вестник». В штате компании 10 докторов и кандидатов наук.

Создан научно-исследовательский комплекс для разработки перспективных композиций ингредиентов, сформирована научная база с современным исследовательским и измерительным оборудованием, информационным обеспечением и банком данных. Работает лаборатория производственного контроля. Компания регулярно принимает участие в отраслевых выставках и проводит семинары для специалистов.

3 ОЦЕНКА КОНКУРЕНТОСПОСОБНОСТИ ПИЩЕВЫХ АРОМАТИЗАТОРОВ

3.1 Понятие конкурентоспособности продукции в маркетинге

В рыночной экономике решающим фактором коммерческого успеха товара является конкурентоспособность. Это многоаспектное понятие, означающее соответствие товара условиям рынка, конкретным требованиям потребителей не только по своим качественным, техническим, экономическим, эстетическим характеристикам, но и по коммерческим и иным условиям его реализации (цена, сроки поставки, каналы сбыта, сервис, реклама). Более того, важной составной частью конкурентоспособности товара является уровень затрат потребителя за период его эксплуатации.

В силу многоаспектности применения данной категории в различных отраслях знаний в научно-технической литературе существует ряд определений, подчас противоречащих друг другу.

На наш взгляд, конкурентоспособность — более высокое по сравнению с товарами-заменителями соотношение совокупности качественных характеристик товара и затрат на его приобретение и потребление при их соответствии требованиям рынка или его определенного сегмента.

Иначе: конкурентоспособным считается товар, у которого совокупный полезный эффект на единицу затрат выше, чем у остальных, и при этом величина ни одного из критериев не является неприемлемой для потребителя.

Товар с низким качеством может быть конкурентоспособен при соответствующей цене, но при отсутствии какого-либо свойства он потеряет привлекательность вообще. Помимо требований к товару, выдвигаемых каждым отдельным потребителем, существуют и требования, общие для всех товаров, обязательные к выполнению. Это нормативные параметры, которые устанавливаются: действующими международными (ИСО, МЭК и др.) и региональными стандартами; национальными зарубежными и отечественными стандартами; действующими законодательствами, нормативными актами, техническими регламентами страны-экспортера и страны-импортера, устанавливающими требования к ввозимой в страну продукции; стандартами фирм—изготовителей данной продукции; патентной документацией.

Определение конкурентоспособности продукции традиционным методом. В основе данного метода лежит расчет единичных и групповых показателей, на базе которых определяется интегральный показатель конкурентоспособности. Рассмотрим его более подробно.

На первом этапе выбирается база сравнения. В качестве базы для сравнения может служить лучший из уже существующих на целевом рынке или в мире товаров-конкурентов, или более совершенный образец, появление которого ожидается в ближайшем будущем, или некоторый абстрактный эталон.

Если разбить товары на три группы, а именно:

· имеющие аналоги и уже выведенные на рынок;

· имеющие аналоги и находящиеся на стадии разработки;

· не имеющие аналогов,

то получаем, что первый вариант базы сравнения лучше использовать для первой группы, второй — для группы 2, третий — для группы 3.

На втором этапе выделяются наиболее значимые для потребителя критерии. Они делятся на две группы: потребительские и экономические. Первые включают в себя качественные характеристики товара (производительность, габариты, экологическая безопасность, надежность и т.д.), вторые — цену товара, затраты на транспортировку, монтаж и эксплуатацию, что в целом составляет цену потребления. Значение критерия у базисной модели обозначим РБ, а у сравниваемого образца — Р.

На третьем этапе по каждому критерию рассчитывается единичный показатель конкурентоспособности (qi ). Если увеличение значения критерия влечет за собой повышение качества, то

qi = Pi /PБi , (1)

а если снижение, то

qi = PБi /Pi , (2)

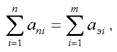
На четвертом этапе внутри каждой группы критериев производят ранжирование показателей по степени их значимости для потребителя и в соответствии с этим присваивают им вес: апi — для потребительских и аэi — для экономических показателей. Причем

, (3)

где n и m — количество потребительских и экономических параметров соответственно.

Необходимость соблюдения этого равенства обоснуем ниже.

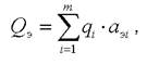
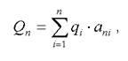
На пятом этапе проводится расчет группового показателя как сводного параметрического индекса конкурентоспособности:

, (4)

, (5)

где Qп и Qэ — сводные параметрические индексы конкурентоспособности по потребительским и экономическим свойствам соответственно.

Вернемся к равенству (3). Его соблюдение обеспечивает сопоставимость Qп и Qэ вне зависимости от количества рассматриваемых критериев.

На шестом этапе рассчитывается интегральный показатель конкурентоспособности (К):

К = Qп /Qэ . (8)

Экономический смысл интегрального показателя конкурентоспособности заключается в том, что на единицу затрат потребитель получает К единиц полезного эффекта. Если К > 1, то уровень качества выше уровня затрат и товар является конкурентоспособным, если К < 1 — неконкурентоспособным на данном рынке.

3.2 Конкурентоспособность пищевых ароматизаторов

На российский рынок пищевых добавок, как и на рынок конечных продуктов питания в целом, огромное влияние оказало два фактора - укрупнение местных производителей и приход в страну иностранных транснациональных компаний. Крупные компании, как правило, имеют более высокие стандарты качества и требования к стабильности качества ингредиентов. Более того, производства, принадлежащие иностранным компаниям, часто имеют утвержденный список поставщиков, которые могут предоставлять пищевые добавки данному предприятию. Крупные предприятия могут позволить себе более дорогие ингредиенты, так как снижают издержки благодаря эффекту масштаба

География поставок в Россию пищевых добавок широка, преимущественно это такие страны, как Германия, США, Дания, Франция, Голландия, Англия, Италия, а также Малайзия, Индия. Особое место в импорте пищевых добавок в Россию занимает Китай, что связано с географической близостью, привлекательной ценой китайских продуктов, наличием в Китае производственных мощностей ряда транснациональных компаний - производителей пищевых добавок, которые активно инвестируют в Китай последние 5-7 лет.

Цены на ароматизаторы достаточно стабильны. На некоторые их виды, наиболее простые и используемые почти всеми предприятиями пищевой промышленности в больших объемах (таких как ароматизаторы горчицы или ванили) цены даже снижаются. На уникальные же ароматы они остаются стабильными. Ароматизаторы класса «премиум», например, изготавливаются из дорогого сырья с использованием новых технологий, их разработка иногда длится полгода, а то и год, плюс затраты времени и средств на сертификацию, - все эти факторы удерживают ценовую планку достаточно высоко.

Цены за последние годы выросли из-за роста цен на энергоносители, это касается и отечественной и импортной продукции («Комбинат химико-пищевой ароматики», «Скорпио-Аромат»).

Поскольку в Россию сразу пришли крупные мультинациональные компании, которые не просто поставляют свою продукцию, но и строят у нас свои производства, изначально был задан очень высокий уровень требований к качеству продукции. Отечественные производители не могли выбросить на рынок неконкурентный товар, его не купили бы. Может быть, в первые годы пищевики и «клевали» на низкие цены, но, в конечном счете неизбежно должен был восторжествовать принцип соотношения цены и качества.

Молодые российские компании нередко во многом опережают крупных производителей. В крупных компаниях со временем всегда появляется инертность, неповоротливость в работе с клиентами. Так происходит во всем мире и во всех отраслях. Вот почему небольшие компании сосуществуют рядом с гигантскими и удерживаются наплаву. Российские компании как раз небольшие, поэтому они могут значительно более оперативно работать с рынком. Если зарубежной фирме заказывать даже не уникальный продукт, а просто оттенок уже разработанного ароматизатора, то пройдет несколько месяцев, прежде вы его получите. Вы подадите заявку, они ее рассмотрят, подумают, кому поручить работу и т. д. Да, они сделают качественный продукт, но не скоро. Зачем же ждать, если есть компании, где все сделают так же хорошо, но значительно быстрее?

Крупные производители из стран Западной Европы, в первую очередь Австрии, Великобритании, Германии, Голландии и Франции, успешно закрепились на российском рынке. У них есть устоявшаяся репутация, постоянные клиенты и отлаженная схема взаимоотношений с ними. Эти названия у всех на слуху: Aromco, Danisco, Doehler, Esarom, Etol, Givaudan, Firmenich, IFF, Mane, Quest, Symrise, Wild. Представляет интерес для российского потребителя продукция Hasegawa , Robertet , Takasago . Некоторые сами предлагают свою продукцию, большинство же делает это через дистрибьюторов. Например, Firmenich и Givaudan продают свою продукцию через разные компании, в том числе «Балтийская группа». При этом Givaudan работает с российскими клиентами и напрямую.

Чисто российских производств у нас по-прежнему немного: «Аромарос-М», «Комбинат химико-пищевой ароматики» в Санкт-Петербурге, «Скорпио-Аромат», «Джей Элан». В компании «Тереза Интер» также есть собственное производство, которое, благодаря имеющейся научной базе, постоянно растет. В этой ситуации некоторые зарубежные компании уже задумываются о строительстве заводов по выпуску ароматизаторов на территории России. В «Кима Лимитед» разработан ряд проектов по строительству предприятий в нашей стране.

На первый взгляд может показаться, что рынок уже поделен, и новым игрокам на нем будет тесно. Однако вряд ли с ним согласятся небольшие компании, а также те, кто лишь недавно стал предлагать здесь свою продукцию. Им тоже хватает места, и они чувствуют себя вполне уверенно. Например, фирмы Zentis (специализируется на поставках фруктово-ягодных наполнителей) и «Белл флейворз энд Фрейгрансез» (предлагает широкий спектр ароматизаторов) считают, что свой сегмент на рынке ароматизаторов они найдут.

ЗАКЛЮЧЕНИЕ

ХХ в. был веком стремительного развития технологий во всех отраслях деятельности человека. Технологии изменили мир до неузнаваемости. В настоящее время трудно представить пищевую промышленность без новых пищевых ингредиентов (натуральных и идентично-натуральных ароматизаторов, различных концентратов, добавок, натуральных красителей и экстрактов, пищевых смесей и т.д.), что даёт возможность применять их во всех отраслях пищевой промышленности, интенсифицировать производство продуктов питания, придать им новые невиданные свойства, сделать их вкуснее, более привлекательными, конкурентоспособными, повысить срок их хранения, удовлетворить потребности любого потребителя и самое главное – без вреда для его здоровья.

Рынок ингредиентов и пищевых добавок является одним из самых динамичных и быстроразвивающихся в мировой продовольственной индустрии.

Можно согласиться с тем, что, несмотря на отсутствие исторического опыта, российская пищевая промышленность за какие-то 10-15 лет сумела сделать гигантский скачок в освоении и использовании обширной группы пищевых добавок практически во всех отраслях пищевой промышленности. К нашему сожалению, подавляющая часть этих добавок, ингредиентов и препаратов импортного производства. Парадокс: мы обладаем значительными ресурсами тех же фосфатов, лактатов, пектинов, агарагара и других ингредиентов, а на рынке все пищевые добавки — сплошь зарубежные.

По объему потребления пищевых ингредиентов Россия уже обогнала многие страны, их производящие. Реализует индивидуальные и комплексные добавки у нас в стране, по непроверенным данным, около 400 фирм, большая часть которых либо является прямыми дилерами зарубежных компаний, либо на 80 — 90 % процентов использует импортные ингредиенты при изготовлении своих комплексных смесей.

Делая вывод, следует отметить, что маркетинг является ведущей функцией, определяющей техническую, производственную политику предприятия, стиль и характер управления всей предпринимательской деятельностью. Специалисты по маркетингу должны стараться довести до каждого инженера, и производственника, каким потребитель хочет видеть данный продукт, какую цену он готов платить, где и когда потребуется этот продукт.

Таким образом, проведение маркетинговых исследований в пищевой промышленности — это сложный многоступенчатый процесс, требующий глубокого знания объекта изучения, от точности и своевременности результатов которого во многом зависит успешное функционирование всего предприятия. Поэтому маркетинговые службы влияют на выполнение всех важнейших функций предприятия. Растет их роль при переходе к рыночным условиям хозяйствования и осуществления процесса переориентации на потребительский рынок.

СПИСОК ИСПОЛЬЗОВАННОЙ ЛИТЕРАТУРЫ

1 Горбашко Е.А. Менеджмент качества и конкурентоспособности. Учебное пособие. — СПб.: Изд-во СПбГУЭФ, 2006. — 207 с.

2 Колюжнова Н.Я. Маркетинг: общий курс. Учебное пособие – М: 2006 г. – 490 с.

3 Котлер Ф. Основы маркетинга. Краткий курс. М.: Издательство Вильямс, 2007 г. — 656 с.

4 Кулев. Ароматизаторы пищевые. Издательство: ДеЛи принт, 2003 г. – 10 с.

5 Сарафанова Л. А. Пищевые добавки: Энциклопедия. –М: 2004 г. – 808 с.

6 Смирнов Е. В. Пищевые ароматизаторы. Издательство: Профессия, 2008 г. – 748 с.

7 Учебно-методическое пособие: сост. Щуренко Н.Н. –УГНТУ,2003.

8 Интернет ресурсы: http://aromaros.ru

Оценить/Добавить комментарий
Имя
Оценка
Комментарии:
Хватит париться. На сайте FAST-REFERAT.RU вам сделают любой реферат, курсовую или дипломную. Сам пользуюсь, и вам советую!
Никита22:08:16 04 ноября 2021
.
.22:08:15 04 ноября 2021
.
.22:08:13 04 ноября 2021
.
.22:08:12 04 ноября 2021
.
.22:08:10 04 ноября 2021

Смотреть все комментарии (19)
Работы, похожие на Реферат: Анализ рынка пищевых ароматизаторов в России

Назад
Меню
Главная
Рефераты
Благодарности
Опрос
Станете ли вы заказывать работу за деньги, если не найдете ее в Интернете?

Да, в любом случае.
Да, но только в случае крайней необходимости.
Возможно, в зависимости от цены.
Нет, напишу его сам.
Нет, забью.



Результаты(294402)
Комментарии (4230)
Copyright © 2005 - 2024 BestReferat.ru / реклама на сайте