Содержание
Введение……………………………………………………………………….. 3
I ТЕОРЕТИЧЕСКАЯ ЧАСТЬ…………………………………………………..5
1.Статистика доходов, расходов и потребления в рамках СНС ……………..5
2.Показатели дифференциации доходов населения…………………..............13
3.Показатели статистики бедности…………………………………………….18
4.Определение границы бедности в России………………………………….. 25
5.Методы проведения международных сопоставлений неравенства
и бедности……………………………………………………………….. …….29
6.Состав показателей, характеризующих качество жизни…………………. 31
7.Методы исчисления индексов развития человеческого потенциала
для межстрановых сравнений………………………………………………33
7.1 Индекс развития человеческого потенциала (ИРЧП)…………………… 35
7.2 Расчет индексов нищеты населения ……………………………………....37
7.3 Индекс развития с учетом гендерного фактора (ИРГФ)………………… 38
7.4 Показатель расширения возможностей женщин (ПРВЖ)……………..... 39
8.Рейтинг качества жизни в странах мира на 2007 год……………………… 40
II. ПРАКТИЧЕСКАЯ ЧАСТЬ………………………….……………………… 49
Задачи………………………………………………………………………….…49
Заключение……………………………………………………………………… 55
Список использованной литературы…………………………………………. 57
Введение
Уровень жизни — многогранная и сложная категория, которая характеризует совокупность реальных социально-экономических условий жизнедеятельности людей прежде всего в сфере потребления и потому является важнейшей характеристикой социального прогресса. Предпосылки для повышения уровня жизни населения страны создаются соответствующим экономическим ростом, который является ресурсообразующим фактором для реализации социальных программ. В этом проявляется прежде всего тесная взаимосвязь между экономическим ростом и социальным прогрессом.
В задачи статистики уровня жизни входит изучение процессов, явлений и факторов, оказывающих влияние на жизнедеятельность людей, их материальные условия, выявление ключевых проблем социально-экономического развития, подлежащих приоритетному решению. Хорошо отлаженная система показателей уровня жизни имеет большое значение для эффективной разработки социальной политики, принятия обоснованных решений по оказанию помощи малоимущему населению, оценки социально-экономических последствий проводимых в стране реформ, осуществления контроля за ходом реализации важнейших федеральных и региональных социальных программ.
Забиваем Сайты В ТОП КУВАЛДОЙ - Уникальные возможности от SeoHammer
Каждая ссылка анализируется по трем пакетам оценки: SEO, Трафик и SMM.
SeoHammer делает продвижение сайта прозрачным и простым занятием.
Ссылки, вечные ссылки, статьи, упоминания, пресс-релизы - используйте по максимуму потенциал SeoHammer для продвижения вашего сайта.
Что умеет делать SeoHammer
— Продвижение в один клик, интеллектуальный подбор запросов, покупка самых лучших ссылок с высокой степенью качества у лучших бирж ссылок.
— Регулярная проверка качества ссылок по более чем 100 показателям и ежедневный пересчет показателей качества проекта.
— Все известные форматы ссылок: арендные ссылки, вечные ссылки, публикации (упоминания, мнения, отзывы, статьи, пресс-релизы).
— SeoHammer покажет, где рост или падение, а также запросы, на которые нужно обратить внимание.
SeoHammer еще предоставляет технологию Буст, она ускоряет продвижение в десятки раз,
а первые результаты появляются уже в течение первых 7 дней.
Зарегистрироваться и Начать продвижение
Статистические характеристики уровня жизни основываются на достаточно широкой системе взаимосвязанных показателей, обеспечивающих его комплексную оценку. Система включает в себя блок интегральных и дифференцированных показателей, характеризующих доступность и покупательную способность доходов, неравенство в их распределении
,
гарантированный государством минимальный уровень обеспеченности,
т.е. экономические ресурсы, которыми располагает население в целом и его отдельные социально-экономические группы для реализации своих потребностей.
Другой блок показателей, который занимает ведущее место при анализе уровня жизни, содержит агрегированные и дезагрегированные данные о личном потреблении
,
и прежде всего об удовлетворении основных физиологических потребностей, т.е. отражает реальные потребительские возможности населения. Демографические показатели
,
содержащиеся в системе, предназначены для анализа влияния уровня жизни на воспроизводство населения.
Приведенная система показателей уровня жизни соответствует мировым стандартам.
В их числе демографические показатели, такие, как численность населения, ожидаемая продолжительность жизни при рождении, уровень младенческой и материнской смертности, уровень образования населения, макроэкономические показатели материального благосостояния (реальные располагаемые доходы и расходы на конечное потребление домашних хозяйств, среднемесячная заработная плата, другие виды доходов), показатели экономической активности населения и материальной обеспеченности домашних хозяйств, уровень и структура личного потребления, жилищные условия населения, уровень преступности.
Эти показатели характеризуют человеческий и трудовой потенциал, которым располагает страна; объемы и источники формирования личных доходов, а также роль каждого из них; распределение доходов между отдельными группами населения; использование доходов для личного потребления; объемы и структуру потребления материальных благ и услуг.
Состав приведенных выше показателей и степень их агрегации может меняться в зависимости от того, какие стороны уровня жизни населения подлежат анализу, и от приоритетности решаемых проблем.
Самостоятельным объектом статистического измерения может быть и такая характеристика уровня жизни населения, как бедность
.
Кроме сведений об уровне и дифференциации доходов, прожиточном минимуме необходимы и другие дезагрегированные данные, позволяющие оценить масштабы, причины, конкретные проявления и последствия бедности, а также демографические характеристики малоимущего населения.
Сервис онлайн-записи на собственном Telegram-боте
Попробуйте сервис онлайн-записи VisitTime на основе вашего собственного Telegram-бота:
— Разгрузит мастера, специалиста или компанию;
— Позволит гибко управлять расписанием и загрузкой;
— Разошлет оповещения о новых услугах или акциях;
— Позволит принять оплату на карту/кошелек/счет;
— Позволит записываться на групповые и персональные посещения;
— Поможет получить от клиента отзывы о визите к вам;
— Включает в себя сервис чаевых.
Для новых пользователей первый месяц бесплатно.
Зарегистрироваться в сервисе
Важнейшей характеристикой уровня жизни является удовлетворение потребностей населения в услугах социальной сферы
:
жилищно-коммунального хозяйства, здравоохранения, образования, культуры и искусства, отдыха и туризма и др. В настоящее время происходит адаптация социальной сферы к рыночным условиям функционирования экономики. Наряду с бесплатными образованием, медицинской помощью населению, отдельными видами бесплатных социальных услуг активно развиваются рынки платных услуг, оказываемых населению.
Решение задач, стоящих перед социальной статистикой, достигается на базе использования различных методов и приемов: общих и специальных статистических наблюдений, единовременных обследований и учетов, статистической и административной отчетности предприятий и организаций социальной сферы, переписей и социально-демографических обследований населения, мониторинга отдельных показателей, социологических опросов и др.
Целью данной курсовой работы является изучение статистических характеристик уровня жизни населения, системы показателей доходов, расходов и потребления в рамках СНС, статистических методов измерения неравенства и бедности, методов исчисления индексов развития человеческого потенциала для межстрановых сравнений, а также практическое применение важнейших показателей уровня жизни населения на основе статистических данных.
I
ТЕОРЕТИЧЕСКАЯ ЧАСТЬ
1.Статистика доходов, расходов и потребления в рамках СНС
В условиях перехода страны к рыночной экономике система показателей, применяемая для изучения доходов населения, должна соответствовать новым экономическим условиям и отвечать стандартам, принятым на международном уровне. Таким стандартом для показателей доходов населения, как и для макроэкономических показателей, является система национальных счетов (СНС), одобренная Статистической комиссией в ООН в 1993 г.
При обсуждении вопросов, связанных с определением дохода за определенный период времени, обычно применяется три принципа.
1. Денежные поступления должны повторяться, чтобы можно было считать их “доходом”.
2. Денежные поступления должны способствовать текущему экономическому благосостоянию, чтобы можно было считать их “доходом”.
3. Денежные поступления от уменьшения собственного капитала должны
быть исключены из концепции “дохода”.
Одной из часто приводимых концепций о доходе, вытекающих из экономической теории, является концепция Хикса, которая базируется на следующем высказывании: “ ... мы должны определять доход человека как максимальную ценность, которую он может потребить за неделю и при этом имеет основание ожидать. Что в конце недели он будет на том же уровне благосостояния, как и в начале”.
Позднее он уточнил свою формулировку, определяя доход как максимальную сумму денег, которую отдельное лицо может потратить в течение этой недели и при этом ожидать, что но сможет потратить такую же сумму в реальных условиях в течение каждой следующей недели. В этом высказывании в доступной форме сформулированы все три выше указанных принципа.
Общая концепция дохода Дж. Хикса положена в основу определений и классификаций, разработанных в СНС 1993 г. для исчисления наиболее важных макроэкономических показателей: ВВП, национального дохода, располагаемого дохода, сбережения и др.
В качестве главного показателя, характеризующего доходы населения в СНС выступает показатель располагаемого дохода домашних хозяйств, представляющих доход, полученный домашними хозяйствами в результате перераспределения, который в дальнейшем используется ими на конечное потребление и сбережение. Он характеризует возможность домашних хозяйств финансировать конечное потребление ими товаров и услуг и осуществлять сбережение за свой счет.
Общую величину полученных населением в результате процесса перераспределения доходов, включая доходы в натуральной форме, отражает скорректированный располагаемый доход. Это наиболее общее понятие доходов, используемое в социально-экономической статистике, включающее все поступления в домохозяйство в виде доходов, имеющих денежную или натурально-вещественную форму, а также получаемых в виде льгот(освобождение от налогов или их части, реализованное право на приобретение материальных благ или услуг).
Располагаемых доход и скорректированный располагаемый доход домашних хозяйств представляют собой максимальную стоимость товаров и услуг, которую домашние хозяйства могут израсходовать в текущем периоде, не прибегая к уменьшению своих денежных средств, реализации других активов, увеличению своих обязательств. При этом скорректированный располагаемый доход характеризует стоимость товаров и услуг, которые домашние хозяйства могут израсходовать на конечное потребление, независимо от источника финансирования этих расходов.
Доходы,
т.е. ресурсы в денежном и натуральном выражении, которые могут быть использованы на удовлетворение личных потребностей, налоговые и другие обязательные и добровольные платежи, сбережения, составляют основу материального благосостояния населения.
Одна из особенностей показателей доходов населения заключается в том, что они одновременно отражают экономические и социальные процессы и явления.
В связи с многообразием задач статистики доходов используются различные показатели доходов, которые отличаются способами их исчисления.
Для измерения доходов на макроуровне
широко используется в отечественной статистике показатель денежного дохода населения,
рассчитанный по данным Баланса денежных доходов и расходов населения,
который является частью баланса народного хозяйства.
В соответствии с методикой расчета Баланса, утвержденной Госкомстатом России, в денежный доход включаются: оплата труда всех категорий населения; доходы лиц, занятых предпринимательской деятельностью; поступления от продажи продуктов сельского хозяйства; пенсии, пособия, стипендии и другие социальные трансферты; поступления из финансовой системы (страховые возмещения, кредиты и ссуды, например на индивидуальное жилищное строительство; доходы от собственности в виде процентов по вкладам, ценным бумагам, дивидендов; доходы населения от продажи иностранной валюты; деньги, полученные по переводам (сальдо); прочие поступления. Во всех этих случаях имеются в виду номинальные денежные доходы,
исчисленные по текущим ценам.
Если из номинальных денежных доходов вычесть обязательные платежи и взносы, то получим располагаемые денежные доходы.
Корректировка последних на индекс потребительских цен за анализируемый период дает величину реальных денежных доходов населения
, этот показатель используется, как правило, для оценки динамики доходов, когда имеют место инфляционные процессы, которые делают недостаточными показатели номинальных денежных доходов для временного анализа.
Особенность показателя реального дохода состоит в том, что он характеризует возможность потребления за счет поступлений текущего периода. Понятно, что фактическое увеличение потребления может быть меньше, чем рост реальных доходов, прежде всего потому, что некоторая их часть направляется на сбережения и в течение определенного времени остается нереализованной.
В расходной части баланса денежных доходов и расходов содержатся сведения об использовании доходов по направлениям: расходы на покупку товаров и оплату услуг, обязательные платежи и добровольные взносы, приросты сбережений во вкладах и ценных бумагах, расходы на приобретение иностранной валюты, денежные переводы (отправления).
Наряду с характеристиками материального положения населения, система показателей баланса денежных доходов и расходов населения позволяет осуществлять статистический контроль за объемом, структурой, источниками и направлениями использования доходов, определять степень обеспеченности общего объема платежеспособного спроса товарами и услугами, исчислять остаток наличных денег у населения и т.д.
В денежные доходы населения, отражаемые в балансе доходов и расходов населения, включаются только денежные поступления, полученные от продажи продукции личного подсобного хозяйства, и не учитываются натуральные продукты из личного подсобного хозяйства, и бесплатные услуги, оказанные населению предприятиями и организациями сферы обслуживания (например образовательные и медицинские). Дорасчеты балансовых показателей денежных доходов с учетом упомянутых поступлений и услуг позволяют получить так называемые конечные номинальные доходы,
которые при исчислении в сопоставимых ценах могут быть модифицированы в реальные доходы.
В последние годы в связи с внедрением СНС эти показатели утратили свое значение и практически не применяются.
Одновременно все большее распространение для анализа уровня жизни находит показатель валового располагаемого дохода домашних хозяйств,
исчисляемый в СНС. Он представляет собой сумму доходов, полученных в результате первичного распределения (оплата труда, смешанные доходы, доходы от собственности), а также в результате перераспределения доходов в денежной форме — текущие трансферты. К ним относятся такие перераспределительные платежи, как пенсии, стипендии, пособия и др. Трансферты, выплаченные домашними хозяйствами (налоги, штрафы, пени, отчисления на социальное страхование и др.), вычитаются. Таким образом, в располагаемый доход не включаются поступления от операций с финансовыми инструментами (займы, кредиты, продажа ваучеров, акций и т.д.) и поступления от операций с имуществом (поступления от продажи жилищ, земельных участков и т.д.).
Согласно методологии СНС, в располагаемые доходы включаются как денежные, так и натуральные поступления, например, от личного подсобного хозяйства. Это имеет большое значение для анализа уровня жизни населения, особенно проживающего в сельской местности, где по ряду продуктов сельского хозяйства личное потребление обеспечивается полностью за счет поступлений от личного подсобного хозяйства.
В дополнение к показателю располагаемого дохода населения в СНС может быть рассчитан валовой скорректированный располагаемый доход,
который равен сумме располагаемого дохода и социальных трансфертов в натуральной форме (например стоимость бесплатных образовательных, медицинских и других услуг, оказываемых населению бюджетными организациями). Использование этого показателя позволяет более полно охарактеризовать уровень жизни населения.
Валовой располагаемый доход и валовой скорректированный располагаемый доход, исчисленные по методологии СНС, так же, как и балансовые денежные доходы, могут быть приведены к их реальному выражению путем пересчета в сопоставимых ценах, что необходимо для анализа динамики доходов в условиях ощутимого изменения потребительских цен.
С позиций использования валовой располагаемый доход домашних хозяйств, исчисленный по методологии СНС, далее распадается на расходы на конечное потребление
и валовое сбережение
домашних хозяйств. Последнее составляет разницу между располагаемым доходом и расходами на конечное потребление. Исчисленные таким образом сбережения отличаются от сбережений, полученных по данным баланса денежных доходов и расходов населения, которые складываются из приростов депозитов, денежной наличности и других финансовых инструментов.
По методике, принятой в СНС, валовое сбережение больше прироста упомянутых финансовых активов на величину расходов домашних хозяйств на приобретение реальных активов (покупка жилищ, земельных участков и т.д.), но меньше на величину принятых финансовых обязательств.
Широко используется в мировой практике макроэкономический показатель — норма сбережения
по сектору домашних хозяйств, который исчисляется как отношение суммы сбережений к валовому располагаемому доходу. Изучение факторов, влияющих на показатель склонности населения к сбережению, является важной задачей статистики и представляет практический интерес для органов государственного управления, занимающихся вопросами привлечения свободных ресурсов населения для целей инвестиций, перераспределения доходов и т.д.
Оплата труда наемных работников является одним из основных доходов населения в СНС и состоит из вознаграждений в денежной и натуральной формах, выплачиваемых работодателями наемным работникам, и отчислений в фонды социального страхования. Оплата труда наемных работников учитывается на основе начисленных сумм и включает в себя фактические и условно исчисляемые отчисления на социальное страхование (пенсионные фонды, фонд занятости, фонды медицинского и социального страхования), налог на доходы и другие выплаты, которые подлежат уплате наемными работниками, даже если они фактически удерживаются работодателем в административных интересах и выплачиваются непосредственно органам социального страхования налоговым службам от лица наемного работника.
В доходы от самостоятельной занятости включаются доходы членов домашних хозяйств в денежной форме, полученные от регулярного или случайного бизнеса и независимой профессиональной деятельности.
При статистическом анализе используются как показатели общего объема доходов, в том числе его составляющих в абсолютном и относительном выражении, так и показатель среднедушевого дохода, который рассчитывается путем деления общего объема доходов на численность населения за соответствующий период, его медианные и модальные значения.
Потребление
Располагаемый доход домашних хозяйств, ас добавлением социальных трансфертов в натуральной форме – скорректированный располагаемый доход домашних хозяйств используются ими для финансирования их конечного потребления и сбережения. Такие операции отражаются в счетах использования располагаемого дохода и скорректированного располагаемого дохода домашних хозяйств. Два вида располагаемого дохода соответствуют двум концепциям конечного потребления, между которым в СНС проводится четкое различие:
- расходы на конечное потребление
- фактическое конечное потребление
Конечное потребление домашних хозяйств включает в себя расходы домашних хозяйств на приобретение потребительских товаров и услуг во всех торговых предприятиях, на городских рынках и через неорганизованную торговлю, предприятиях бытового обслуживания, пассажирского транспорта, связи, гостиницах, платных учреждениях культуры, здравоохранения, образования, а также потребление товаров и услуг в натуральной форме, произведенных для себя и полученных в качестве оплаты труда.
Другой показатель, характеризующий потребление населения,- это расходы на конечное потребление учреждений, обслуживающих домашние хозяйства. Он включает в себя расходы сектора государственных учреждений, финансируемые за счет государственного бюджета и государственных внебюджетных фондов, на потребительские товары и услуги, предназначенные для индивидуального потребления (здравоохранение, образование, культура); расходы на конечное потребление некоммерческих организаций, обслуживающих домашние хозяйства; бесплатные услуги социального характера, оказываемые коммерческими организациями своим работникам.
Фактическое конечное потребление состоит из расходов на покупку потребительских товаров и оплату услуг, а также стоимости индивидуальных товаров и услуг, полученных домашними хозяйствами от органов государственного управления и от некоммерческих организаций бесплатно в качестве социальных трансфертов в натуральной форме.
Фактическое конечное потребление считается более оптимальным индикатором уровня жизни домашнего хозяйства, чем только их конечные расходы.
Для более глубокого и всестороннего анализа уровня жизни населения проводятся выборочные бюджетные обследования домашних хозяйств, которые служат важным источником статистической информации о структуре доходов и потребительских расходов населения. Такие обследования позволяют установить зависимость между уровнем материального благосостояния домохозяйств и их составом, источниками доходов, занятостью членов семьи в различных секторах экономики. Получаемая информация является основой для изучения потребительского поведения населения, выявления взаимосвязи между уровнями потребления, доходов и цен.
Для количественного отражения зависимости между динамикой доходов или цен и уровня потребления отдельных товаров рассчитываются коэффициенты эластичности, которые показывают, насколько изменяется уровень потребления при изменении среднедушевого дохода (или цены) на 1%:
,
где и - уровень потребления соответственно в базистном и отчетном периоде;
-изменение уровня потребления в отчетном периоде по сравнению с базисным;
и - среднедушевой доход (или цена товара) соответственно в базисном и отчетном периоде;
- изменение среднедушевого дохода (цены товара) за истекший период.
Выборочные бюджетные обследования в России являются важнейшим источником статистической информации для изучения региональных различных в уровне жизни населения. Материалы таких обследований позволяют анализировать уровень жизни низкодоходных групп населения, а также используются при разработке бюджетов прожиточного минимума.
Первая попытка организовать круглогодичное выборочное обследование рабочих в промышленности была предпринята в Москве в 1924 году. Выборочные обследования, которые регулярно проводятся в нашей стране с начала 50-х г.г., охватывают в настоящее время около 49 тыс. домашних хозяйств всех регионов Российской Федерации.
Выборка сформирована по территориально-отраслевому принципу, предполагающему пропорциональное представительство в ней различных общественных групп населения по стране и ее регионам. Однако в настоящее время возникла проблема актуализации выборочной совокупности и переход от территориально-отраслевой выборки к территориальной, поскольку в ней не представлены занятые в новых рыночных структурах (предприниматели, банкиры, фермеры и т.д.), имеющие, как правило, высокие доходы и соответствующий уровень благосостояния.
При проведении выборочных обследований регулярно фиксируются как доходы, так и расходы домашних хозяйств. Расходы подразделяются на две группы: потребительские расходы и расходы, не связанные с потреблением. Потребительские расходы
включают все текущие затраты на приобретение товаров и услуг для использования данным домашним хозяйством или его отдельными членами. В их составе выделяются затраты на приобретение:
Продуктов питания;
Непродовольственных товаров для личного потребления;
Алкогольных напитков;
Топлива;
Личных услуг ( оплата жилища и жилищно-коммунальных услуг, расходы на пошив и ремонт одежды, обуви, электроприборов, плата за обучение, за медицинские услуги и др.).
Анализ материального благосостояния основан не только на учете общей суммы расходов на приобретение перечисленных товаров и услуг, но и на изучение их структуры. К наиболее важным потребностям человека, которые удовлетворяются в первую очередь, относится питание, поэтому показатели удельного веса расходов на питание используются в качестве индикаторов уровня жизни населения. Чем ниже их доля, тем выше уровень благосостояния общества.
Помимо потребительских расходов, учитываются поступление и использование непродовольственных и продовольственных товаров в натуральном выражении. По продовольственным товарам статистическим наблюдением охвачено 20 укрупненных групп, в состав которых входит 78 конкретных видов продуктов питания. Например, группа хлебных продуктов включает два вида хлеба, три вида муки, бобовые, рис, прочую крупу и макаронные изделия. Группа «мясо и мясопродукты» состоит из 13 конкретных продуктов питания. Пересчет этих товаров в первичный продукт осуществляется с помощью специальных коэффициентов, разработанных Институтом питания РАН. Потребление продуктов питания анализируется статистикой не только в количественном выражении, но и с учетом его качественных характеристик: состава пищевых веществ и калорийности. Для изучения обеспеченности домашних хозяйств непродовольственными товарами в процессе выборочных бюджетных обследований наблюдение ведется по 18 товарным группам ( одежда, ткана, обувь, телерадиоаппаратура и др.)
На основе данных обследований рассчитываются показатели среднедушевого потребления отдельных продуктов питания
, а также уровень обеспеченности населения непродовольственными товарами
( в расчете на 100 семей, или на 1000 человек). Указанные показатели публикуются Госкомстатом России, причем не только по стране в целом, но по отдельным регионам и типам домашних хозяйств. Сопоставление фактического уровня потребления с его рациональной или минимальной нормой позволяет оценивать степень удовлетворения потребности населения в тех или иных товарах.
Объем и структура потребления определяются не только общей суммой доходов населения или их среднедушевой величиной, но и ситуацией на потребительском рынке, например, степенью его насыщенности отдельными товарами, соотношением цен на них и т.п.. Для количественного отражения изменений в соотношении цен на отдельные товары по регионам и различным сегментам потребительского рынка рассчитывается показатель покупательной
способности денежных доходов населения
, который может быть представлен как товарный эквивалент различных видов товаров и услуг или как количество определенных наборов товаров и услуг, которые можно приобрести на среднедушевой денежный доход:

где - среднедушевой денежный доход;
- средняя цена i-го товара
Рассмотренные показатели расходов потребления населением материальных благ и услуг не только тесно связаны с блоком показателей доходов, но и используются при статистическом анализе социально-экономической дифференциации населения. Вместе с тем следует отметить, что в специальной зарубежной литературе все чаще ставиться вопрос о целесообразности использования в современных условиях показателя потребления для оценки уровня жизни, поскольку производство потребительских товаров сопровождается загрязнением окружающей среды.
Среднемесячная заработная плата работающих в отраслях экономики, определена делением начисленного фонда оплаты труда на среднегодовую численность работающих. Пособия, получаемые работающими из средств социального страхования, в фонд оплаты труда и среднюю заработную плату не включаются.
2. Показатели дифференциации доходов населения
Распределение населения по уровню среднедушевых доходов характеризует дифференциацию населения по уровню материального достатка и представляет собой показатели численности населения, сгруппированного в заданных интервалах по уровню среднедушевых денежных доходов. Численность населения с доходами ниже прожиточного минимума определяется на основе рядов распределения населения по уровню среднедушевых денежных доходов и является результатом соизмерения доходов наименее обеспеченных групп населения с величиной прожиточного минимума.
Процесс расслоения общества, резко обострившийся в России в последние годы в связи с переходом к рыночным условиям хозяйствования, обусловил необходимость внедрения в статистическую практику нашей страны блока показателе, которые широко используются в международной статистической практике для анализа социально-экономической дифференциации населения.
Важнейшим элементом такого анализа является построение распределения населения по уровню среднедушевого денежного дохода, позволяющее проводить сравнительную оценку благосостояния отдельных групп населения. Особое внимание при этом уделяется низкодоходных социальным группам, поскольку данный аспект изучения необходим для выработки целенаправленной социальной политики государства.
В условиях отсутствия сплошного статистического учёта доходов всех типов домашних хозяйств для построения распределения населения по уровню среднедушевого денежного дохода используются методы имитационного моделирования. Исходная предпосылка построения соответствующей модели заключаются в том, что распределение занятых в экономике по размеру заработанной платы и всего населения по среднедушевому денежному доходу подчинено закону логнормального распределения. Исходя из этой гипотезы эмпирическое распределение, построенное на основе данных выборочных бюджетных обследований, преобразуется в ряд распределения, соответствующий среднему значению группировочного признака в генеральной совокупности. Такое среднее значение, т.е. среднедушевой денежный доход, рассчитывается с помощью баланса денежных доходов и расходов населения.
До 1993 г. Подобной корректировки данных выборочных бюджетных обследований в условиях российской экономики не требовалось, поскольку оценка среднедушевого денежного дохода, полученная по выборке, незначительно отличалась от оценки среднего дохода в генеральной совокупности. Однако в настоящее время в связи с отсутствием в выборке семей с очень высокими доходами возникает необходимость соответствующей корректировки распределения, построенного на основе выборочных данных.
Для нахождения частот распределения населения по доходам используется функция логарифмически нормального распределения, которая имеет следующий вид:
F(u)= dt
при х 0
где u= ,1n u )
U – Среднедушевой денежный доход за месяц, рассчитанный
по данным баланса денежных доходов и расходов населения;
- среднее квадратическое отклонение случайной величины 1nx, которое
распределяется по формуле:
= ,
при этом = , а = ,
где - среднемесячный доход i-го члена выборочной совокупности;
N – средняя численность выборочной совокупности за рассматриваемый
период.
Для характеристики распределения населения по доходу рассчитывается ряд показателей:
Модальный доход
, т.е. уровень дохода, наиболее часто встречающийся среди населения;
Медианный доход
– показатель дохода, находящегося в середине ранжированного ряда распределения. Половина населения имеет доход ниже медианного, а вторая половина – выше;
Децильный коэффициент дифференциации
доходов населения (К ),характеризующий во сколько раз минимальные доходы10% самого богатого населения превышают максимальные доходы 10% наименее обеспеченного населения:
К
d
=
d
9|
d
1
Где d9 и d1 соответственно девятый и первый дециль;
Коэффициент фондов
(Кд), определяемый как соотношение между средними доходами населения в десятой и первой децильной группах:
,
где и - среднедушевой доход в месяц соответственно у 10% населения,
имеющего минимальный доход и у 10% самой богатой его части.
Учитывая, что при расчёте среднего дохода для 10% населения в знаменателе показателей и находятся одинаковые значения, коэффициент фондов можно представить в следующем виде:
К , 
Где и - соответственно суммарный доход 10% самого бедного и 10% наиболее богатого населения;
Для графической иллюстрации степени неравномерности в распределении доходов строится кривая Лоренца, по которой также можно рассчитать коэффициент Джини как отношение площади между линиями равномерного и фактического распределения к сумме площадей S1 и S2 , которая равна ½
:

Кривая Лоренца
показывает накопительное распределение дохода по отношению к проценту населения и демонстрирует распределение дохода, которым располагает определенный процент населения. При построении кривой Лоренца по горизонтальной оси откладываются единицы анализа (лица или домохозяйства) в соответствии с ростом дохода, по вертикальной оси – приходящаяся на них кумулятивная доля общего дохода, по вертикальной оси – присоединяющиеся точки, соответствующие накопленным частостям и нарастающим процентам дохода образуют ломаную линию концентрации (кривую Лоренца).
На графике кривой Лоренца в случае равномерного распределения дохода попарные доли населения и доходов должны совпадать и располагаться на диагонали квадрата, что и означает полное отсутствие концентрации дохода.
Чем ближе кривая Лоренца приближается к 45 градусам линии, более равное распределение дохода. Чем больше эта линия отличается от диагонали (чем больше ее вогнутость), тем больше неравномерность распределения доходов, соответственно выше его концентрация.

Показатели неравенства, основанные на кривой Лоренца. Используют данные о распределении дохода, представленные кривой Лоренца, для построения индекса неравенства доходов. Такие меры независимы от среднего – если все доходы изменяются на одинаковый постоянный процент, то относительное неравенство остается неизменным.
Коэффициент Джини
(индекс концентрации доходов) является наиболее широко распространенной мерой распределения доходов и наиболее близок к кривой Лоренца.
Он рассчитывается по формуле:
,
где - доля населения, имеющего доход не выше, чем его максимальный
уровень в i-ой группе;
- доля доходов i-ой группы в общей сумме в населения,
исчисленная нарастающим итогом.
Коэффициент Джини измеряет область Лоренца, т.е. область между кривой и диагональю, как отношение всей области у к нижнему треугольнику. Коэффициент Джини находится в интервале от 0 до 1, где 0 обозначает абсолютное равенство( все обладают одинаковым доходом), а 1- абсолютное неравенство (весь доход сконцентрирован на одном индивидуальном лице\семье).
Коэффициент Джини является относительной оценкой в том смысле, что он рассматривает различия относительно порядковой ранжировки индивидуальных лиц, а не отличие каждого дохода от среднего дохода.
Несомненным преимуществом коэффициента Джини является то, что он дает простой сводный показатель неравенства, который довольно легко интерпретировать как для составителей, так и для профессиональных пользователей статистика доходов. Чем выше коэффициент, тем больше неравенство.
Однако коэффициент Джини более чувствителен к изменениям, которые имеют место в окрестности средней распределения, и менее чувствителен к изменениям, которые происходят на обоих “хвостах” распределения.
Следствием “чувствительности ” является то, что одно распределение, которое включает одно наблюдение с чрезвычайно высоким доходом, может давать то же значение коэффициента Джини, что и другое распределение, которое имеет несколько наблюдений с очень низким доходом. По этой причине, оценки коэффициента Джини должны представляться в сочетании, например, с распределением децилей или другими сводными показателями, которые более чувствительны к другим частостям распределения.
3.
Показатели статистики бедности
В экономической и статистической литературе используются различные подходы для измерения бедности. Подавляющее большинство исследователей считает, что к бедным
относятся те, чьи доходы ниже границы бедности.
При этом граница бедности представляет собой объективно определенную величину дохода, рассчитанную исходя из национальных или субнациональных минимальных норм потребления материальных благ и услуг.
Такой подход к оценке бедности предполагает использование перечня товаров (с указанием их количества), которые составляют минимальную потребительскую корзину, а также источников информации о ценах на них.
Этот метод оценки бедности используется в Российской Федерации. В качестве границы бедности рассчитывается прожиточный минимум, представляющий собой уровень дохода, обеспечивающий приобретение научно обоснованного минимального набора материальных благ и услуг для поддержания жизнедеятельности человека.
Прожиточный минимум в Российской Федерации регулируется федеральным законом, который вступил в силу с 1 января 1998 г. и Методическими рекомендациями по определению минимальной потребительской корзины для основных социально-демографических групп населения в целом по Российской Федерации и ее субъектам, утвержденными Правительством РФ в феврале 1999 г. Закон устанавливает правовую основу для определения прожиточного минимума и его учета при установлении государственных гарантий при получении гражданами России минимальных денежных доходов и осуществлении других мер их социальной защиты. Данный закон использует такие понятия:
- минимальная потребительская корзина
(минимальный набор продуктов питания, непродовольственных товаров и услуг, необходимых для сохранения здоровья человека и обеспечения его жизнедеятельности);
- прожиточный минимум
(стоимостная оценка потребительской корзины плюс обязательные платежи и сборы);
- семья
(лица связанные родством или свойством, совместно проживающие и ведущие совместное хозяйство);
- основные социально-демографические группы населения
(трудоспособное население, пенсионеры, дети).
В соответствии с этим законом прожиточный минимум используется в качестве критерия оценки уровня жизни населения при разработке и реализации социальной политики, федеральных и региональных социальных программ; для обоснования устанавливаемых на федеральном уровне минимального размера оплаты труда, минимального размера пенсии по старости, размеров стипендий, пособий, других социальных выплат, включая оказание необходимой государственной помощи малоимущим гражданам; а также при формировании федерального бюджета и бюджетов субъектов Российской Федерации.
Закон устанавливает, что потребительская корзина определяется для основных социально-демографических групп населения в целом по России и субъектам Федерации не реже одного раза в пять лет на основе методических рекомендаций, разрабатываемых Правительством России с участием профсоюзов. Потребительская корзина в целом по стране устанавливается федеральным законом, а в субъектах Федерации — их законодательными органами. При этом региональные разработчики потребительской корзины ориентируются на учет природно-климатических условий, национальных традиций и местных особенностей потребления продуктов питания, непродовольственных товаров и услуг основными социально-демографическими группами населения. Все проекты потребительских корзин должны проходить экспертизу.
Величина прожиточного минимума рассчитывается Госкомстатом России на душу населения в целом по стране и по субъектам Федерации ежеквартально с использованием утвержденных потребительских корзин и потребительских цен на продукты питания, непродовольственные товары и услуги, а также данных о расходах населения по обязательным платежам и сборам. Расчеты осуществляются по всему населению и по основным социально-демографическим группам. Величина прожиточного минимума утверждается правительством, а в субъектах Федерации — органами исполнительной власти. Закон определяет, что соотношение между минимальным размером оплаты труда, минимальным размером пенсии по старости и величиной прожиточного минимума на очередной финансовый год устанавливается федеральным законом о федеральном бюджете.
Семья (или одиноко проживающий гражданин) имеет право на получение государственной социальной помощи и считается малоимущей (малоимущим), в случае, если среднедушевой доход (доход которого) ниже величины прожиточного минимума, установленного в соответствующем субъекте Российской Федерации. Порядок и условия получения малоимущими гражданами государственной социальной помощи устанавливается законодательством России и законодательством соответствующего субъекта Федерации.
Как правило, в статистической литературе соотношение размеров социальных гарантий, предоставляемых государством населению, выражается коэффициентом — отношением между разными видами социальных гарантий и величиной прожиточного минимума для определенной социально-демографической группы населения (трудоспособные, пенсионеры, дети). Оценки бедности с использованием метода прожиточного минимума позволяют конструировать границу бедности для домохозяйства в целом и учитывать при этом размеры прожиточных минимумов всех его членов.
Основу прожиточного минимума составляют натуральные наборы продуктов питания по минимальным нормам потребления и сбалансированные по калорийности и химическому составу пищевых веществ. В составе продовольственной корзины прожиточного минимума выделяют хлебопродукты (бобовые, мука пшеничная, рис, крупа (кроме риса), хлеб пшеничный, хлеб ржаной, макаронные изделия) — 130,8 кг на год в среднем на душу; картофель — 124,2 кг; овощи (капуста, огурцы и помидоры, столовые корнеплоды, прочие овощи) — 94 кг; фрукты и ягоды (фрукты свежие, фрукты и ягоды сушеные) — 19,4 кг; сахар и кондитерские изделия (сахар, конфеты, печенье и торты) — 20,7 кг; мясопродукты (говядина, баранина, свинина, субпродукты и прочее мясо, птица, сало, колбасные изделия и копчености) — 26,6 кг; рыбопродукты (рыба свежая, сельдь) — 11,7 кг; молокопродукты (молоко цельное, молоко нежирное, сметана и сливки, масло животное, творог, сыр и брынза) — 212,4 кг; яйца — 151,4 шт.; масло растительное и маргарин — 10 кг.
Эти наборы продуктов питания рассчитаны Институтом питания Академии медицинских наук Российской Федерации, Институтом социально-экономических проблем народонаселения РАН и Министерства труда Российской Федерации при участии Всемирной организации здравоохранения.
Минимальный набор продуктов питания обеспечивает потребление в среднем на душу в сутки 73,6 г белков (в том числе 28,9 г животного происхождения), 56,8 г жиров, 353,3 г углеводов, энергетическая ценность минимальной продовольственной корзины — 2236,7 ккал.
Стоимость минимальной продовольственной корзины Госкомстатом России определяется по средним ценам продаж товаров предприятиями торговли, полученными на основе регистрации цен на товары-представители. Такие корзины в России формируются для различных природно-климатических зон. (вся территория страны разделена на 8 зон).
Расчет величины продовольственной части прожиточного минимума производится по домохозяйству в целом в зависимости от числа его членов, их пола и возраста. После расчета затрат на питание к стоимости минимальной продовольственной корзины добавляются расходы на непродовольственные товары, платные услуги и уплату налогов и взносов. Доля стоимости продовольственной корзины в прожиточном минимуме составляет 68,3%. Нормативы доли стоимости продовольственных товаров были установлены на уровне 19,1%, услуг — 7,4%, налогов — 5,2%. Досчет прожиточного минимума до полной величины производится в соответствии с этими соотношениями.
Величина прожиточного минимума используется в качестве одного (из критериев, характеризующих степень социального расслоения населения. Обычно выделяются группы домохозяйств с душевыми доходами меньше величины прожиточного минимума, с доходами меньше двух прожиточных минимумов, от двух до трех, от трех до четырех и свыше четырех прожиточных минимумов.
Как правило, критерием отнесения лица или домохозяйства к группе населения, находящейся в состоянии крайней бедности или нищеты, используется или уровень душевых доходов в два и более раза ниже величины прожиточного минимума или калорийность потребления продуктов питания ниже научно обоснованных минимальных физиологических норм.
В соответствии с другой методикой к группе бедных относят тех, чьи доходы ниже, чем у остальных групп населения. Этот метод оценки бедности основан на установлении границы материальной недостаточности в определенном соотношении со средними по всему населению показателями доходов. В этом случае к бедным можно отнести всех тех, чьи доходы ниже, например, половины медианного (или среднего) дохода по всей обследуемой совокупности.
Еще один метод оценки бедности, основанный на использовании статистических оценок, предполагает в качестве критерия бедности применять долю расходов на продукты питания в доходе (расходе) семьи. Так, к категории бедных могут быть отнесены все домохозяйства, у которых доля расходов на питание в доходе (расходах) превышает заданную исследователем величину. Если доля расходов на покупку продуктов питания в доходе домохозяйства достаточно велика (решение принимает исследователь, как правило, на основе сложившейся в стране практики), то семья относится к группе бедных.
Иногда исследователи для оценки бедности в качестве критерия используют уровень потребления продуктов питания. При этом потребление продовольствия, как правило, оценивается через калорийность потребленных продуктов в расчете на душу в сутки и сравнивается с физиологическими нормативами. Естественно, нормативы различаются для различных половозрастных групп населения и учитывают природно-климатические условия проживания населения. При анализе бедности расчеты калорийности питания могут быть дополнены оценками состава пищевых веществ (белки, жиры и углеводы) потребленного продовольствия.
Приведенные критерии бедности могут считаться объективными, но довольно часто в литературе (прежде всего социологической) используются субъективные оценки бедности, основанные на мнениях респондентов об их уровне жизни (бедности), полученных в ходе опросов общественного мнения. В этом случае к бедным относят тех, кто считает, что их материальное положение (доходы, имущество) не позволяет в полном объеме удовлетворять свои потребности.
Наиболее общим показателем, характеризующим бедность, а точнее ее распространенность в обществе, является коэффициент (уровень) бедности,
или доля населения с низкими доходами во всем населении.
Другой важный показатель бедности, имеющий практическое значение при оценке стоимости мер социальной поддержки, — дефицит дохода бедных семей.
Этот показатель рассчитывается как объем денежных средств, необходимых для повышения доходов бедных домохозяйств до границы бедности. Расчет дефицита дохода осуществляется по семьям разного типа, так как для каждой семьи существует конкретная граница бедности, она зависит от состава домохозяйства, половозрастных характеристик его членов. Дефицит дохода рассчитывается как по всей группе бедных домохозяйств, так и на одно домохозяйство или душу населения.
Отношение дефицита дохода к границе бедности (прожиточному минимуму) называется промежутком низкого дохода.
Как правило, этот показатель рассчитывается в процентах. Промежуток низкого дохода как относительный показатель дефицита дохода бедных семей широко используется при хронологических и территориальных сопоставлениях.
В экономической литературе для характеристики бедности широко используются и другие показатели.
Так, для домохозяйства в целом, с учетом величины принятого прожиточного минимума, размера и состава домохозяйства по полу и возрасту его членов может быть определен порог бедности,
которым называют средневзвешенную из прожиточных минимумов членов конкретного домохозяйства.
Для упорядочения мер государственной социальной политики законодательно устанавливаются нижние пределы (минимальные размеры) заработной платы и пенсии,
которые представляют собой минимальные государственные стандарты. Минимальный размер оплаты труда является исходной величиной для дифференциации заработной платы по сложности, квалификации, условиям и сферам приложения труда, он учитывается при заключении коллективных договоров между наемными работниками и работодателем. В бюджетной сфере государственным минимальным социальным стандартом в области оплаты труда является ставка первого разряда единой тарифной сетки по оплате труда работников бюджетной сферы. В области пенсионного обеспечения государственным минимальным социальным стандартом является размер минимальных пенсионных выплат.
Под минимальным потребительским бюджетом
понимают стоимость набора материальных благ и услуг, соответствующего прожиточному минимуму.
Для характеристики динамики бедности рассчитывается индекс бедности,
представляющий собой темп роста средневзвешенной величины порога бедности или прожиточного минимума. Индекс бедности, как правило, сравнивается с индексом инфляции и темпом роста доходов населения.
В целях исследования территориального распространения бедности используется термин «зоны бедности»,
в которые включают территории высокой концентрации бедных. При этом к зонам бедности относят те территории, которые имеют уровень бедности выше среднего по стране или выше установленного предела.
При экономическом анализе важно выявить не только общее количество бедных и их долю во всей совокупности домохозяйств или населения, но и степень дефицитности их материального состояния, без этого невозможны объективные оценки стоимости государственных социальных программ. Вот почему необходимо использовать показатели бедности, которые позволяют оценить глубину бедности (степень обеднения) и остроту бедности.
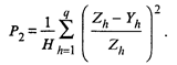
Индекс глубины бедности рассчитывается по формуле
(43.1)
где Zh
— граница бедности для отдельного домохозяйства, рассчитываемая как сумма порогов бедности для всех его членов;
Yh
—
уровень дохода (расходов или потребления) отдельного домохозяйства;
q
—
количество бедных домохозяйств;
Н —
общее количество домохозяйств;
h
—
номер каждого домохозяйства.
Расчет показателей бедности по этой формуле можно вести не по домохозяйствам, а по лицам, тогда параметры Zh
, Yh
, q, Н
относятся к лицам, а h —
это номер каждого лица.
Индекс остроты бедности рассчитывается по формуле
(43.2)
Отличие индекса остроты бедности от индекса глубины бедности состоит в том, что при его расчете придается больший удельный вес домохозяйств с более значительным дефицитом доходов (расходов или потребления).
Показатель уровня бедности зависит от доли домохозяйств (или населения) с доходами ниже порога бедности (или иного стандарта, определяющего состояние домохозяйства как бедное), дефицита дохода домохозяйств и степени дифференциации по уровню дохода именно бедного слоя населения. Синтетический индикатор бедности (Sen
-индекс) учитывает все эти факторы и является наиболее общей характеристикой бедности. Он рассчитывается по формуле
(43.3)
где L
—
доля бедного населения;
N —
средний дефицит дохода к границе бедности (промежуток низкого дохода);
d
—
средний доход бедных домохозяйств;
Р —
граница бедности;
Gp
—
коэффициент Джини для бедных домохозяйств.
Sen
-индекс представляет собой взвешенную сумму дефицитов домохозяйств, отнесенных к бедным. Этот показатель варьирует в интервале от 0 до 1. Sen
-индекс используется для временных и территориальных сопоставлений, так как сочетает в себе характеристики распространения бедности, ее интенсивности и неравенства среди бедных.
Основными причинами бедности в современных условиях являются: низкий уровень оплаты труда у отдельных категорий наемных работников, большое число иждивенцев в домохозяйстве, безработица, низкий уровень пенсий, стипендий и пособий. Исходя из этого статистика бедности призвана измерить воздействие этих факторов на динамику, распространенность и глубину бедности. Социально-экономический портрет бедности
представляет собой систему характеристик, описывающих бедность как состояние определенной части общества. В ее составе выделяются следующие группы показателей: демографические (средний размер домохозяйства, его состав с половозрастными характеристиками членов, рождаемость, смертность, заболеваемость членов домохозяйства), экономические (источники доходов и их использование, имущество домохозяйства, занятость членов домохозяйства), социальные (расслоение бедных, социальные субсидии, дефицит бюджета домохозяйства, уровень и калорийность потребления продуктов питания, жилищные условия, потребление услуг отраслей социального комплекса).
4. Определение границы бедности в России
Критерием для определения нижней границы материальной обеспеченности и численности населения, доходы которого не превышают эту границу в России, является показатель величины прожиточного минимума.
Прожиточный минимум характеризует минимальный уровень доходов, обеспечивающих здоровое питание и поддержание нормального (приемлемого) уровня жизни, и представляет собой абсолютную черту бедности.
Официальный оценки прожиточного минимума в Российской Федерации осуществляются с 1992 г., когда указом Президента РФ Правительству предписывалось ‘разрабатывать республиканский минимальный потребительский бюджет исходя из набора потребительских товаров и услуг, удовлетворяющих основные материальные и духовные потребности”, а также “определять уровень (бюджет) прожиточного (физиологического) минимума, дифференцированного по основным социальным группам и характеризующего минимально допустимые границы потребления важнейших материальных благ и услуг”.
В основу расчетов прожиточного минимума была положена стоимость так называемой “продовольственной корзины ”. В нее были включены продукты питания (с указанием натуральных минимальных объемов их потребления), обеспечивающие необходимую калорийность и удовлетворение потребностей различных групп населения в пищевых веществах, а также позволяющие организовать здоровое питание при минимальных затратах. При формировании продовольственной корзины использовались действующие в Российской Федерации нормы физиологических потребностей в пищевых веществах для различных групп населения, рекомендации Всемирной организации здравоохранения и сложившаяся структура питания населения с учетом фактического потребления продуктов в малоимущих семьях. Продовольственная корзина была сформирована для следующих категорий населения: мужчины и женщины трудоспособного возраста, пенсионеры (без разделения по полу), дети 0-6 лет и 7-15 лет.
Продовольственная корзина включала в себя продукты питания, объединенные в 11 агрегированных групп: хлебопродукты, картофель, овощи, фрукты и ягоды, мясопродукты, рыбопродукты, молокопродукты, яйца, сахар и кондитерские изделия, масло растительное, маргарин, прочие продукты питания (соль, перец и т.д. , составляющие 5% общей стоимости набора продуктов питания). Энергетическая ценность набора составляла 2237 кКал в среднем на душу населения, в том числе: 2720 кКал – для мужчин трудоспособного возраста, 2138 кКал – для женщин трудоспособного возраста, 1980 кКал- для пенсионеров.
Другими составляющими прожиточного минимума являлись расходы на непродовольственные товары, услуги, обязательные платежи и сборы. Они рассчитывались исходя из стоимости продовольственной корзины и долей этих видов затрат в общей величине прожиточного минимума.
Согласно Методическим рекомендациям Минтруда России структура прожиточного минимума выглядела следующим образом:
- расходы на продукты питания – 68%
- расходы на непродовольственные товары – 19%
- расходы на оплату услуг – 8%
- расходы на налоги – 5%
С 2000 г. Порядок определения прожиточного минимума и его назначение регулируется Федеральным законом “О прожиточном минимуме в Российской Федерации”. В соответствии с ним величина прожиточного минимума определяется ежеквартально и устанавливается органами государственной власти: Правительством РФ – в целом по России и органами исполнительной власти субъектов РФ – в субъектах РФ.
Согласно закону величина прожиточного минимума представляет собой стоимостную оценку потребительской корзины, а также обязательные платежи и сборы.
Потребительская корзина
включает в себя минимальные наборы продуктов питания, непродовольственных товаров и услуг, необходимых для сохранения здоровья человека и обеспечения его жизнедеятельности.
Таким образом, основной отличительной особенностью нового порядка определения прожиточного минимума явился переход от продуктовой корзины к потребительской
, включающей, помимо наборов продуктов питания, также наборы непродовольственных товаров и услуг.
Состав потребительской корзины определяется с учетом:
- научных рекомендаций по минимальным объемам потребления и перечню товаров и слуг, необходимых для сохранения здоровья человека и обеспечения его жизнедеятельности;
- фактического объема потребления продуктов питания, непродовольственных товаров и услуг в малоимущих семьях (по данным обследования бюджетов домашних хозяйств);
- объективных различий в потреблении продуктов питания, непродовольственных товаров и услуг в субъектах РФ, определяемых природно –климатическими условиями, национальными традициями и местными особенностями.
При формировании минимального набора продуктов питания использовались действующие в Российской Федерации нормы физиологических потребностей в пищевых веществах для различных групп населения потребностей в пищевых веществах для различных групп населения и рекомендации Всемирной организации здравоохранения. Состав продуктов питания практически не претерпел изменений по сравнению с методикой 1192 г. Энергетическая ценность минимального набора продуктов питания также не претерпела значительных изменений и составила 2730 кКал для трудоспособных мужчин, 2110 кКал для трудоспособных мужчин, 2000 кКал для пенсионеров, 1580 кКал для детей 0-6 лет, 2360 кКал для детей 7-15 лет.
Формирование минимального набора непродовольственных товаров осуществлялось исходя из:
- удовлетворения потребности населения в непродовольственных товарах с учетом возрастных особенностей;
- сложившегося уровня обеспеченности непродовольственных товарами малоимущих семей;
- минимальной обновляемости, минимального разнообразия, низкой розничной цены, доступности товаров для потребителей.
Минимальный набор непродовольственных товаров подразделяется на непродовольственные товары индивидуального и общесемейного пользования. К непродовольственным товарам индивидуального и общесемейного пользования – постельное белье, товары культурно-бытового и хозяйственного назначения, предметы первой необходимости, санитарии и лекарства.
Для каждого товара, включенного в минимальный набор непродовольственных товаров, установлены его количество в натуральном выражении и срок износа. Предметы первой необходимости, санитарии и лекарства включаются в набор в процентах от общей величины расходов на непродовольственные товары.
Минимальный набор услуг представлен в потребительской корзине жилищно-коммунальными и транспортными услугами. Также он содержит позицию “другие виды услуг”. К жилищно-коммунальным услугам отнесены обеспеченность жильем, отопление, холодное и горячее водоснабжение и водоотведение, газо- и энергоснабжение. Другие виды услуг (услуги образования, связи, услуги по ремонту одежды и обуви, посещение парикмахерских, бань, прачечных, кинотеатров и др.)включены в минимальный набор услуг в процентах от общей величины расходов на услуги.
Натуральные объемы потребления товаров и услуг, представленные в потребительской корзине, не предназначены для использования при организации продовольственного обеспечения и бытового обслуживания населения. Потребительская корзина представляет собой модель организации здорового питания и поддержания жизнедеятельности при минимальных затратах и, скорее всего, будет далека от представлений конкретного человека о минимальном уровне потребления.
Единственное назначение потребительское корзины - оценить величину прожиточного минимума. Для этого минимальные объемы потребления каждого товара и услуги, представленные в потребительской корзине, умножаются на сложившийся в отчетном периоде уровень цен на них. Регистрации. Потребительских цен для стоимостной оценки потребительской корзины осуществляет Федеральная служба государственной статистики РФ.
С принятием Федерального закона “О прожиточном минимуме в РФ”, помимо традиционной функции индикатора уровня жизни населения, прожиточный минимум приобрел новый статус. Закон наделил этот показатель функциями социального норматива учитываемого при разработке и реализации федеральных и региональных социальных программ, установлении минимальных государственных гарантий в области доходов. Так, величин прожиточного минимума предназначена для обоснования устанавливаемых на федеральном уровне социальных выплат: минимального размера оплаты труда, пенсии, стипендий и др. Она также является критерием для оказания социальной помощи малоимущим гражданам, назначения детских пособий и жилищных субсидий.
5. Методы проведения международных сопоставлений неравенства и бедности
В экономически развитых странах распространен относительный подход определения черты бедности. В соответствии с этим подходом черта бедности определяется как процентная доля от какой-то другой переменной, например среднего или медианного дохода или потребительских расходов населения. Показатель относительной бедности сильно зависит от изменения неравенства в распределении доходов. Он применяется в странах с высоким уровнем жизни. Однако существуют и исключения, так, в США используется абсолютная черта бедности.
В странах ЕС национальные оценки уровня бедности осуществляются на основе относительного дохода. Чаще всего в качестве черты бедности используется 40,50 или 60-процентная величина медианного дохода, сложившегося в данной стране в расчете на душу населения (с учетом шкалы эквивалентности). В отдельных странах существуют и другие критерии установления относительной черты бедности.
Евростат для сравнительного анализа качества и уровня жизни населения стран ЕС производит оценки процентной доли населения с низкими доходами. Низкими, согласно методологии Евростата, считаются доходы менее 60% от медианного эквивалентного располагаемого дохода на душу населения данной страны. Показатели рассчитываются на основе данных панельного лонгитюдного обследования домашних хозяйств в странах ЕС – European Community Household Panel, организованного Евростатом в 1993 г. Для получения качественной информации о доходах и условиях жизни одних и тех же домашних хозяйств в различные периоды времени. Использование данных панельного обследования позволяет проводить надежные сравнения изменений уровня доходов домохозяйств в динамике после проведения каких либо целевых социальных программ.
В соответствии с данными этого обследования в среднем по ЕС в 2001 г. Примерно 15% населения имели низкие, близкие к бедности доходы. Среди стран ЕС наибольший удельный вес населения с низкими доходами был в Греции, Ирландии и Португалии – 20-21» от общей численности населения в каждой из этих стран. Меньше всего лиц с низкими доходами насчитывалось в Германии, Дании, Нидерландах, Швеции и Финляндии – около 10 % от численности населения страны. При этом по сравнении. С серединой 1990-х гг. удельный вес низкодоходного населения заметно уменьшился в Бельгии, Великобритании, Германии и Португалии (на 3-4 процентных пункта), а в Ирландии и Финляндии этот показатель возрос на 2 и3 процентных пункта соответственно.
Для определения уровня бедности в странах с относительно низкими среднедушевыми доходами Всемирным банком была разработана специальная методология и установлена международная черта абсолютной бедности в 1 долл. США на душу населения в день. Определение доли населения, которое находится ниже фиксированного порога бедности. Осуществляется сотрудниками Всемирного банка с использованием данных национальных обследований домашних хозяйств.
По методологии Всемирного банка бедным считается население, живущее, т.е. имеющее доходы или потребительские расходы (в зависимости от наличия тех или иных данных для исследования), менее чем на 1 доллар в день. В основе этого подхода лежит предположение, основанное на данных обследований домохозяйств развивающихся стран, в среднем является минимальной суммой, необходимой для проживания в развивающихся странах. Этот показатель отражает уровень потребления, ниже которого возникает угроза выживанию человека.
Для выведения сопоставимых оценок абсолютной бедности по ряду стран применяется абсолютная черта бедности, равная 2,15 долл. На человека в день. Эта черта бедности приблизительно равна самым низким чертам бедности, которые приняты в странах с переходной экономикой Европы и Центральной Азии и рассчитаны на основе установленной в каждой из стран минимальной продовольственной корзины, с некоторой поправкой на непродовольственные расходы. Поскольку в большинстве стран с переходной экономикой национальная абсолютная черта бедности превышает 2,15 долл. в день на одного человека, также применяется цоенка бедности по абсолютной черте бедности, равно 4,30 долл. в день на одного человека.
6. Состав показателей, характеризующих качество жизни
Если рассматривать все составляющие аспектов и подаспектов качества жизни, то можно выделить более сотни так или иначе характеризующих их показателей. Состав привлекаемых статистических показателей определяется в значительной степени конкретными прикладными целями исследования. Ниже представлены основные компоненты и разделы системы социально-экономических показателей, традиционно используемых в комплексном анализе качества жизни.
1)Демографические признаки:
а) численность и структура населения;
б) естественное движение населения;
в) брачное и семейное состояние;
г) миграция;
д) ожидаемая продолжительность жизни.
2)Состав домашних хозяйств и социально-экономические группы населения.
3) Мобильность в рамках поколений и между поколениями.
4) Экономическая активность населения:
а) трудовые ресурсы и экономическая активность;
б) занятость;
в) безработица;
г) забастовки.
5) Оплата, условия труда и подготовка кадров:
а) уровень и индексы оплаты труда;
б) задолженность по заработной плате;
в) неблагоприятные условия труда, профессиональные заболевания и производственный травматизм;
г)профессиональная переподготовка и повышение квалификации.
6) Доходы домашних хозяйств (населения):
а) уровень и индексы доходов домашних хозяйств;
б) структура доходов домашних хозяйств;
в) распределение доходов и бедность.
7) Расходы и потребление домашних хозяйств:
а) уровень и структура расходов домашних хозяйств;
б) сбережения домашних хозяйств;
в) наличие отдельных товаров длительного пользования;
г) питание.
8) Социальное обеспечение и социальная помощь:
а) расходы на социальное обеспечение и социальную помощь. Социальное страхование;
б) охват населения мерами социальной защиты;
в) минимальные социальные выплаты. Гарантированные государством населению;
г) пенсионное обеспечение;
д) адресная социальная помощь;
е) социальная защита отдельных категорий населения.
9) потребительский рынок товаров и услуг:
а) объемы и структура розничного товарооборота и платных услуг населению;
б) потребительские цены и индексы на товары и услуги для населения.
10) Жилой фонд и его благоустройство:
а) жилой фонд и его рост;
б) владение жильем и расходы на жилье;
в) благоустройство жилищного фонда;
г) бытовое потребление энергии.
11) Состояние здоровья и медицинское обслуживание населения.
а) заболеваемость;
б) инвалидность;
в) смертность;
г) развитие сеты медицинского обслуживания;
д) государственные и частные расходы на здравоохранение.
12) Образование:
а) образование населения по уровням обучения;
б) развитие сети образовательных учреждений;
в) педагогические кадры;
г) государственные и частные расходы на образование.
13) Культура и досуг. Использование времени.
14) Транспорт и связь для населения.
15) Преступность и борьба с ней.
16) Состояние окружающей природной среды.
Наличие большого числа данных, принимаемых во внимание при оценке качества жизни, с одной стороны, и ограниченные возможности человека обобщить наборы разнородной информации – с другой, диктуют необходимость использования интегральных показателей качества жизни. Их разработка представляет одну из важнейших задач социальной статистики.
При построении интегрального индикатора качества жизни необходимо решить три основные методологические задачи.
1. Формирование выборки отчетных статистических показателей, на базе которых должен быть формирован интегральный индикатор качества жизни.
2. Выбор способа унификации показателей, т.е. принципа, на основе которого разнородные по единицам измерения показатели могут быть приведены к сопоставимому виду, допускающему возможность их агрегации.
3. Выбор способа интеграции отдельных частных характеристик в сводную характеристику качества жизни.
7. Методы исчисления индексов развития человеческого потенциала для межстрановых сравнений
Индекс развития человеческого потенциала (ИРЧП)
| Долголетие
|
Знания
|
Достойный уровень жизни
|
| Показатель
|
Ожидаемая продолжительность жизни
|
Уровень грамотности взрослого населения
|
Совокупная доля учащихся
|
Скорректированный доход ВВП на душу населения, ППС в долл. США
|
| Индекс по аспекту
|
Индекс ожидаемой продолжительности жизни
|
Индекс достигнутого образования
|
Индекс нищеты населения для развивающихся стран ( ИНН-1 )
| |
Долголетие
|
Знания
|
Достойный уровень жизни
|
| Показатель
|
Процент лиц с вероятностью смерти в возрасте до 40 лет
|
Процент неграмотного взрослого населения
|
Процент населения, не имеющего доступа к доброкачественной воде
|
Процент населения, не имеющего доступа к медицинским услугам
|
Процент детей в возрасте до пяти лет с пониженной массой тела
|
Индекс нищеты населения для промышленно развитых стран (ИНН-2)
| Долголетие
|
Знания
|
Достойный уровень жизни
|
Социальная изоляция
|
| Показатель
|
Процент лиц с вероятностью смерти в возрасте до 60 лет
|
Процент функционально неграмотного взрослого населения
|
Процент населения, живущего ниже черты бедности по доходам (50% медианного располагаемого дохода)
|
Уровень застойной безработицы (12 месяцев и больше)
|
Индекс развития с учетом гендерного фактора (ИРГФ
)
| Долголетие
|
Знания
|
Достойный уровень жизни
|
| Показатель
|
Ожидаемая продолжительность жизни у женщин и мужчин
|
Уровень грамотности взрослых мужчин и женщин
|
Совокупные доли учащихся женщин и мужчин
|
Скорректированный доход ВВП на душу населения с учетом доли трудового дохода женщин и мужчин, ППС в долл. США
|
| Индекс по аспекту
|
Индекс ожидаемой продолжительности жизни у женщин и мужчин
|
Индекс достигнутого уровня образования женщин и мужчин
|
Индекс скорректированного дохода мужчин и женщин
|
| Равномерно распределенный индекс
|
Равномерно распределенный индекс ожидаемой продолжительности жизни
|
Равномерно распределенный индекс достигнутого уровня образования
|
Равномерно распределенный индекс дохода
|
Показатель расширения возможностей женщин (ПРВЖ)
| Участие в политической жизни и полномочия по принятию политических решений
|
Участие и полномочия по принятию решений в экономической области
|
Полномочия по распоряжению экономическими ресурсами
|
| Показатель
|
Доли женщин и мужчин. Занимающих парламентские должности
|
Доли женщин и мужчин, занимающих административные и управленческие должности
|
Доли женщин и мужчин на должностях специалистов и технических работников
|
ВВП на душу населения с учетом доли трудового дохода женщин и мужчин. ППС в долл. США
|
| Эквивалентный процент при равном распределении
|
ЭППР представительности в законодательных органах
|
ЭППР для экономического участия
|
ЭППР для дохода
|
7.1 Индекс развития человеческого потенциала (ИРЧП)
Концепция человеческого развития исходит из признания несводимости общественного прогресса к увеличению денежного дохода или к приумножению материального богатства. Она также постулирует, что традиционные макроэкономические показатели (такие как ВВП, накопленное национальное богатство, среднедушевой доход и пр.) не могут считаться адекватными характеристиками экономического роста и развития человека.
ИРЧП отражает уровень достижений в рамках трех основных возможностей в области развития человека – долго жить, получать знания и иметь достойный уровень жизни. Для отображения этих аспектов были отобраны три показателя – средняя продолжительность предстоящей жизни, уровень образования и доход. По своему всеобъемлющему охвату ИРЧП превосходит показатель доходов на душу населения. Доход является одним из инструментов процесса развития человека, а не его конечным результатом. Таким образом, обращая внимание на области вне показателя дохода и рассматривая доход в качестве одной из граней адекватного жизненного уровня, ИРЧП рисует более всеобъемлющую картину жизни человека.
Значение ИРЧП изменяется в диапазоне от 0 до 1 и применительно к какой-либо стране показывает пройденный ею путь в направлении приближения к максимально возможному значению – “1” и, кроме того, позволяет вести сопоставление с показателями других стран. Высоким уровнем развития считается показатель от 0,8 и выше, средним – от 0,5 до 0,799 и низким - ниже 0,5.
Тенденции ИРЧП свидетельствуют , что никакой автоматической или явной зависимости между состоянием экономического процветания и процессом развития человека не существует. Значение ИРЧП у двух стран с одинаковым уровнем дохода на душу населения может быть диаметрально противоположным; у стран с одинаковым ИРЧП могут быть совершенно разные уровни доходов на душу населения, Если рейтинг страны по ИРЧП выше, чем по уровню ВВП на душу населения. Это говорит о том. Что в данной стране удалось преобразовать экономическое процветание в процесс расширения возможностей человека с максимальной пользой. И, напротив, если рейтинг по ИРЧП ниже уровня ВВП на душу населения, - экономическое процветание в такой стране не привело к соответствующему повышению уровня жизни населения.
ИРЧП рассчитывается на основе трех аспектов: долголетия, измеряемого как ожидаемая продолжительности жизни; достигнутого уровня образования, измеряемого как совокупный индекс грамотности взрослого населения 9вес 2/3) и совокупная доля учащихся, поступивших в учебные заведения (вес1/3); уровня жизни, измеряемого на базе реального ВВП на душу населения ( по паритету покупательной способности национальной валюты в долл. США).
Фундаментальным положением концепции человеческого развития является следующее : людям не нужен бесконечно высокий доход для обеспечения достойного уровня жизни. Иными словами, каждая дополнительная единица прироста объема материальных благ имеет всю меньшую ценность для человеческого развития. Исходя из этого положения в расчет ИРЧП берется не “чистый” индекс реального ВВП, а индекс скорректированного реального ВВП, определяемый по формуле дисконтирования с использованием десятичных логарифмов.
Расчет индекса каждого показателя (за исключением индекса реального объема ВВП):

где xi
, xi
min
, xi
max
-фактическое, минимальное и максимальное значение i
-го показателя.
1) Индекс ожидаемой продолжительности жизни при рождении (I1
):

2) Индекс достигнутого уровня образования (I2
):

где i21
– индекс грамотности взрослого населения (в возрасте 15 лет и старше);
i22
– индекс коэффициента поступивших в начальные, средние и высшие учебные заведения. Рассчитывается для лиц моложе 24 лет.
3) Индекс реального объема ВВП в расчете на душу населения:

Предельные значения исходных показателей ИРЧП
| Показатель
|
Максимальное значение
|
Минимальное значение
|
| Ожидаемая продолжительность жизни при рождении (лет):
|
x1
min
|
85
|
x1
max
|
25
|
| Уровень грамотности взрослого населения (%)
|
x21
min
|
100
|
x21
max
|
0
|
| Коэффициент поступивших в начальные, средние и высшие учебные заведения (%)
|
x22
min
|
100
|
x22
max
|
0
|
| Реальный ВВП на душу населения (долл. США по ППС)
|
x3
min
|
40 000
|
x3
max
|
100
|
7.2 Расчет индексов нищеты населения
Индекс нищеты населения – комплексный показатель, охватывающий многочисленные аспекты нищеты. С его помощью в рамках одного композиционного индекса сводятся воедино все лишения по четырем основным аспектам жизни человека - долголетие при здоровом образе жизни, знания, экономическая обеспеченность и социальная значимость. Эти аспекты лишений одинаковы как для развивающихся так и для промышленно развитых стран. Разными являются только определяющие их показатели, поскольку необходимо отразить различные реалии в этих странах , а также ограниченность имеющейся информации.
Индекс нищеты населения для развивающихся стран (ИНН-1) призван показать уровень обездоленности в трех важнейших аспектах жизни человека , уже нашедших отражение в ИРЧП: продолжительности жизни, знаниях и достойном уровне жизни. Обездоленность в первой области касается выживания и выражается в уязвимости перед смерть. В относительно раннем возрасте. Обездоленность во второй области относится к знаниям и выражается в изоляции от мира чтения и коммуникаций. Третье проявление обездоленности связано с достойным уровнем жизни с точки зрения общей обеспеченности экономическими ресурсами.
При построении ИНН-1 обездоленность с точки зрения продолжительности жизни выражается в виде процентной доли населения, которая. Как ожидается, не доживет до возраста 40 лет (Р1), а обездоленность с точки зрения знаний – процентной доли неграмотного взрослого населения. Обездоленность с точки зрения достойного уровня жизни определяется составным показателем (Р3), рассчитываемым на основе трех переменных : процентной доли населения, не имеющего доступа к доброкачественной воде (Р31), процентной доли населения, не имеющего доступа к медицинским услугам (р32) , и процентной доли детей в возрасте до 5 лет, страдающих умеренным или острым отставанием в весе (р33). Составной переменный показатель (Р3) рассчитывается как простое среднее трех переменный Р31, Р32 и Р33.
Формула ИНН-1 имеет следующий вид:
ИНН-1 = [1/3(P1^3 + P2^3 + P3^3)]1/3
Индекс нищеты населения для промышленно развитых стран (ИНН-2)
Призван показать уровень обездоленности в четырех важнейших областях жизни человека: продолжительности жизни, знаниях, достойном уровне жизни и социальной изоляции. Четвертое проявление обездоленности связано с бездействием или изоляцией.
Формула ИНН-2 имеет следующий вид:
ИНН-2 = [1/4(P1^3 + P2^3 + P3^3+Р4^3)]1/3
7.3 Индекс развития с учетом гендерного фактора (ИРГФ)
Показатель ИРЧП отражает средний уровень достижении и тем самым затушевывает различия в области развития человеческого потенциала между мужчинами и женщинами. Поэтому для определения гендерного дисбаланса нужны принципиально другие показатели. В индексе развития с учетом гендерного фактора используются те же показатели, то и в ИРЧП. Разница между ними заключается в том , что в рамках ИРГФ средние уровни корректируются в соответствии с величиной разрыва между уровнями достижений женщин и мужчин в следующих аспектах : долгой и здоровой жизни, измеряемой ожидаемой продолжительностью жизни; знаниях, измеряемых уровнем грамотности взрослого населения и совокупным валовым контингентом учащихся; достойном уровне жизни, измеряемом примерным полученным доходом (ППС в дол. США).
Расчет ИРГФ производится в три этапа. На первом этапе рассчитывается индексы для женщин и мужчин по каждому аспекту в соответствии с общей формулой индекса уровня жизни. На втором этапе индексы женщин и мужчин по каждому аспекту комбинируются так, чтобы разница в достижениях мужчин и женщин воспринималась как отрицательный фактор. Для осуществления этой корректировки на разницу в положении полов используется формула взвешивания, в которой параметр взвешивания е применяется равным 2. Получаемый в результате индекс называется равномерно распределенным индексом и рассчитывается по формуле:
Равномерно распределенный индекс = [(доля женщин в населении)*(индекс для женщин) )^1-е +(доля мужчин в населении)*(индекс мужчин)^1-е] ^1\1-е,
или при е=2
Равномерно распределенный индекс = [(доля женщин в населении)*(индекс для женщин) )^-1 +(доля мужчин в населении)*(индекс мужчин)^-1] ^-1
На третьем этапе ИРГФ рассчитывается как невзвешенное среднее трех равномерно распределенных индексов.
Предельные значения исходных показателей ИРГФ
| Показатель
|
Максимальное значение
|
Минимальное значение
|
| Ожидаемая продолжительность жизни при рождении (лет):
|
| мужчин
|
82,5
|
22,5
|
| женщин
|
87,5
|
27,5
|
| Уровень грамотности взрослого населения (%)
|
100
|
0
|
| Коэффициент поступивших в начальные, средние и высшие учебные заведения (%)
|
100
|
0
|
| Расчетный заработанный доход (долл. США по ППС)
|
40000
|
100
|
7.4 ПОКАЗАТЕЛЬ РАСШИРЕНИЯ ВОЗМОЖНОСТЕЙ ЖЕНЩИН (ПРВЖ)
ПРВЖ отражает участие женщин в экономической, политической и производственной областях. В этом его отличие от ИРГФ (индекса развития с учетом гендерного фактора), который основное внимание уделяет развитию основных способностей и улучшению условий жизни. Аналогично ИРЧП (индексу развития человеческого потенциала) и ИРГФ, в рамках показателя ПРВЖ основное внимание концентрируется на нескольких отдельных переменных, хотя участие может принимать самые разнообразные формы. Акцент делается на три широких класса переменных: 1) способность распоряжаться экономическими ресурсами, основанная на трудовом доходе: эта переменная определяет доход на душу населения; 2) доступ к возможностям в области производства и участие в принятии решений в области экономики - эта переменная представляет собой долю рабочих мест, относящихся по классификации к категории профессиональных и технических, а также административных и управленческих; 3) доступ к возможностям в области политики и участие в принятии политических решений - переменная, определяющая долю мест женщин в парламенте. В рамках ИРГФ и ПРВЖ переменные дохода рассматриваются с различных точек зрения. В рамках ПРВЖ доход определяется не с точки зрения его вклада в такие основные аспекты развития человеческого потенциала, как продолжительность жизни, грамотность и защищенность от нищеты. Он определяется как источник экономической мощи, позволяющей освободить лицо, получающее доход, выбрать из более широкого диапазона возможностей и реализовать более широкий круг альтернатив. В 1998 г. ПРООН рассчитала ПРВЖ для 70 стран мира (Доклад о развитии человека 2000). В первую пятерку попали Норвегия, Исландия, Швеция, Дания и Финляндия. Среди стран СНГ только Российская Федерация (53-е место) и Украина (55-е место) имеют такой показатель. И последние пять мест в рейтинге стран по ПРВЖ занимают Шри-Ланка, Бангладеш, Египет, Иордания и Нигер. Почти во всех странах еще очень многое предстоит сделать в направлении достижения равенства мужчин и женщин. Что касается равенства выбора в рамках экономического или политического участия, то промышленно развитые страны не обязательно играют ведущую роль. Областями, где прогресс в развитии гендерной справедливости почти не заметен, являются представительство в парламенте и процентная доля административного и управленческого персонала. Анализ ПРВЖ отражает четкую политическую установку: в большей части как промышленно развитых, так и развивающихся стран женщины пока еще не допускаются в коридоры экономической и политической власти.
8. Рейтинг качества жизни в странах мира на 2007 год
Норвегия признана самой благополучной страной в мире. В пятерку наиболее благополучных стран вошли также Австралия, Исландия, Канада и Ирландия. Об этом сообщается в новом Докладе о развитии человека, подготовленном Организацией Объединенных Наций.
Доклад ООН о развитии человека 2009 года носит название «Преодоление барьеров: человеческая мобильность и развитие» и посвящен тому, как эффективные стратегии в отношении мобильности могут способствовать развитию человека, а также содержит подробные статистические данные, посвященные этому вопросу. Вначале авторы доклада очерчивают общие контуры перемещения людей — кто, куда, когда и почему движется, — а затем анализируют широкомасштабные последствия человеческих передвижений для мигрантов и их семей, а также для тех мест, которые они покидают и в которые направляются. При этом эксперты ООН обратили внимание на тот факт, что совокупное число внутренних мигрантов по всем странам мира достигло 740 млн. человек. Это почти в четыре раза превышает число международных мигрантов. Примечательно, что среди лиц, пересекающих границы, лишь треть переезжает из развивающихся в развитые страны. Большинство из 200 млн. международных мигрантов переезжают из одной развивающейся страны в другую или из богатой в богатую. При этом, среди 200 млн. международных мигрантов — 50 млн. нелегалов. Авторы доклада пришли к выводу, что снижение барьеров на пути передвижения людей и улучшение обращения с мигрантами могут принести большую пользу для развития человеческого потенциала. По их мнению, мигранты способствуют росту национального производства принимающей страны при незначительных или нулевых издержках для местного населения. Доклад демонстрирует правительствам целесообразность сокращения ограничений на передвижение людей как внутри стран, так и через их границы, что позволит расширить возможности и свободы человека. Эти рекомендации адресованы не только правительствам принимающих стран и стран происхождения, и другим ключевым игрокам, в том числе частному сектору, профсоюзам и неправительственным организациям, а также самим мигрантам. С полным текстом Доклада ООН о развитии человека 2009 «Преодоление барьеров: человеческая мобильность и развитие» можно ознакомиться здесь.
В Докладе о развитии человека традиционно содержится информация об Индексе развития человека, который ежегодно рассичтывается экспертами Программы развития ООН (ПРООН) совместно с группой независимых международных экспертов, использующими в своей работе, наряду с аналитическими разработками, статистические данные национальных институтов и различных международных организаций. Индекс развития человеческого потенциала ООН (Human Development Index, HDI) был разработан пакистанским экономистом Махбубом уль-Хаком (Mahbub ul-Haq) и с 1990 года используется ООН в ежегодном отчете по развитию человеческого потенциала. Индекс измеряет достижения страны с точки зрения продолжительности жизни, получения образования и фактического дохода, по трем основным направлениям:
Здоровье и долголетие, измеряемые показателем ожидаемой продолжительности жизни при рождении.
Доступ к образованию, измеряемый уровнем грамотности взрослого населения и совокупным валовым коэффициентом охвата образованием.
Достойный уровень жизни, измеряемый величиной валового внутреннего продукта (ВВП) на душу населения в долларах США по паритету покупательной способности (ППС).
Эти три измерения стандартизируются в виде числовых значений от 0 до 1, среднее арифметическое которых представляет собой совокупный показатель HDI в диапазоне от 0 до 1. Затем страны ранжируются на основе этого показателя (см. ниже таблицу по странам), и первое место в рейтинге соответствует наивысшему значению HDI. При определении рейтинга учитываются множество факторов, таких как гражданские свободы, достоинство человека, его возможность участия в общественной жизни, социальной защищенности, показателях здоровья, уровня культурного развития населения, состояния преступности, охраны окружающей среды и многие другие. Все страны классифицируются четырьмя способами: по уровню развития человеческого потенциала, по доходу, по основным общемировым совокупным показателям и по регионам. Индекс развития человеческого потенциала — суммарный показатель уровня развития человека в стране (так называемого «качества жизни» или «уровня жизни»).
Отчеты с данными ООН о развитии человека, как правило, запаздывают на два года. В текущем докладе на 2009 год представлены данные по Индексу, рассчитанные по итогам 2007 года. В этом году Индекс охватывает 180 стран-участниц ООН, а также Гонконг (Китай) и Палестинские территории (Израиль). В рейтинг были включены еще три страны: Андорра и Лихтенштейн (обе впервые), и Афганистан (впервые с 1996 года). Из-за отсутствия достоверных статистических данных рейтинг не описывает 14 стран, в том числе Ирак и Сомали. Как правило, такие страны не желают или не могут предоставить статистику.
Важно отметить, что значения HDI, основанные на данных 2007 года, не отражают результатов глобального экономического кризиса, который, как ожидается, окажет значительное воздействие на достижения в человеческом развитии многих стран мира. В период 2006-2007 годов значения Индекса упали в четырех странах — во всех случаях в результате снижения ВВП на душу населения — и выросли в 174 странах. В это же время произошло намного больше изменений в рейтинге стран. В 2007 году по сравнению с 2006 годом 50 стран опустились на одно или несколько мест в рейтинге за эти два года, и столько же стран поднялось выше. Это объясняется тем фактом, что на изменения в рейтинге влияют не только результаты отдельно взятых стран, но и их прогресс по отношению к другим странам, особенно когда разница в значениях невелика. Наиболее значительное повышение в рейтинге отмечено у Китая (семь позиций), за которым идут Колумбия и Перу (пять позиций). В каждой из этих стран движение вверх можно отнести на счет относительно быстрого роста дохода. Впрочем, большинство стран передвинулись в рейтинге не более чем на две позиции по сравнению с предыдущим периодом.
Страны с очень высоким уровнем Индекса развития человеческого потенциала
1 Норвегия 0,971
2 Австралия 0,970
3 Исландия 0,969
4 Канада 0,966
5 Ирландия 0,965
6 Нидерланды 0,964
7 Швеция 0,963
8 Франция 0,961
9 Швейцария 0,960
10 Япония 0,960
11 Люксембург 0,960
12 Финляндия 0,959
13 США 0,956
14 Австрия 0,955
15 Испания 0,955
16 Дания 0,955
17 Бельгия 0,953
18 Италия 0,951
19 Лихтенштейн 0,951
20 Новая Зеландия 0,950
21 Великобритания 0,947
22 Германия 0,947
23 Сингапур 0,944
24 Гонконг 0,944
25 Греция 0,942
26 Республика Корея 0,937
27 Израиль 0,935
28 Андорра 0,934
29 Словения 0,929
30 Бруней 0,920
31 Кувейт 0,916
32 Кипр 0,914
33 Катар 0,910
34 Португалия 0,909
35 Объединенные Арабские Эмираты 0,903
36 Чехия 0,903
37 Барбадос 0,903
38 Мальта 0,902
Страны с высоким уровнем Индекса развития человеческого потенциала
39 Бахрейн 0,895
40 Эстония 0,883
41 Польша 0,880
42 Словакия 0,880
43 Венгрия 0,879
44 Чили 0,878
45 Хорватия 0,871
46 Литва 0,870
47 Антигуа и Барбуда 0,868
48 Латвия 0,866
49 Аргентина 0,866
50 Уругвай 0,865
51 Куба 0,863
52 Багамы 0,856
53 Мексика 0,854
54 Коста-Рика 0,854
55 Ливия 0,847
56 Оман 0,846
57 Сейшельские Острова 0,845
58 Венесуэла 0,844
59 Саудовская Аравия 0,843
60 Панама 0,840
61 Болгария 0,840
62 Сент-Китс и Невис 0,838
63 Румыния 0,837
64 Тринидад и Тобаго 0,837
65 Черногория 0,834
66 Малайзия 0,829
67 Сербия 0,826
68 Белоруссия 0,826
69 Сент-Люсия 0,821
70 Албания 0,818
71 Россия 0,817
72 Македония 0,817
73 Доминика 0,814
74 Гренада 0,813
75 Бразилия 0,813
76 Босния и Герцеговина 0,812
77 Колумбия 0,807
78 Перу 0,806
79 Турция 0,806
80 Эквадор 0,806
81 Маврикий 0,804
82 Казахстан 0,804
83 Ливан 0,803
Страны со средним уровнем Индекса развития человеческого потенциала
84 Армения 0,798
85 Украина 0,796
86 Азербайджан 0,787
87 Таиланд 0,783
88 Иран 0,782
89 Грузия 0,778
90 Доминиканская Республика 0,777
91 Сент-Винсент и Гренадины 0,772
92 Китай 0,772
93 Белиз 0,772
94 Самоа 0,771
95 Мальдивы 0,771
96 Иордания 0,770
97 Суринам 0,769
98 Тунис 0,769
99 Тонга 0,768
100 Ямайка 0,766
101 Парагвай 0,761
102 Шри-Ланка 0,759
103 Габон 0,755
104 Алжир 0,754
105 Филиппины 0,751
106 Сальвадор 0,747
107 Сирия 0,742
108 Фиджи 0,741
109 Туркмения 0,739
110 Палестина 0,737
111 Индонезия 0,734
112 Гондурас 0,732
113 Боливия 0,729
114 Гайана 0,729
115 Монголия 0,727
116 Вьетнам 0,725
117 Молдова 0,720
118 Экваториальная Гвинея 0,719
119 Узбекистан 0,710
120 Кыргызстан 0,710
121 Кабо-Верде 0,708
122 Гватемала 0,704
123 Египет 0,703
124 Никарагуа 0,699
125 Ботсвана 0,694
126 Вануату 0,693
127 Таджикистан 0,688
128 Намибия 0,686
129 Южно-Африканская Республика 0,683
130 Марокко 0,654
131 Сан-Томе и Принсипи 0,651
132 Бутан 0,619
133 Лаос 0,619
134 Индия 0,612
135 Соломоновы Острова 0,610
136 Конго 0,601
137 Камбоджа 0,593
138 Мьянма 0,586
139 Коморские Острова 0,576
140 Йемен 0,575
141 Пакистан 0,572
142 Свазиленд 0,572
143 Ангола 0,564
144 Непал 0,553
145 Мадагаскар 0,543
146 Бангладеш 0,543
147 Кения 0,541
148 Папуа — Новая Гвинея 0,541
149 Гаити 0,532
150 Судан 0,531
151 Танзания 0,530
152 Гана 0,526
153 Камерун 0,523
154 Мавритания 0,520
155 Джибути 0,520
156 Лесото 0,514
157 Уганда 0,514
158 Нигерия 0,511
Страны с низким уровнем Индекса развития человеческого потенциала
159 Того 0,499
160 Малави 0,493
161 Бенин 0,492
162 Восточный Тимор 0,489
163 Кот-д'Ивуар 0,484
164 Замбия 0,481
165 Эритрея 0,472
166 Сенегал 0,464
167 Руанда 0,460
168 Гамбия 0,456
169 Либерия 0,442
170 Гвинея 0,435
171 Эфиопия 0,414
172 Мозамбик 0,402
173 Гвинея-Бисау 0,396
174 Бурунди 0,394
175 Чад 0,392
176 Демократическая Республика Конго 0,389
177 Буркина Фасо 0,389
178 Мали 0,371
179 Центрально-Африканская Республика 0,369
180 Сьерра-Леоне 0,365
181 Афганистан 0,352
182 Нигер 0,340
Возглавляет рейтинг качества жизни Норвегия, которая занимала первое место с 2001 по 2006 год, затем уступила его Исландии, а сейчас вернулась на вершину списка после двухлетнего перерыва. Королевство Норвегия — государство в Северной Европе, в западной части Скандинавского полуострова, граничит на востоке со Швецией, Финляндией и Россией. Форма правления — конституционная монархия, форма государственного устройства — унитарная. Столица Норвегии — Осло. Уровень продолжительности жизни в этом государстве один из самых высоких в мире — 80,5 лет, а ВВП на душу населения — $ 72,305 в год. Норвегия — наименее населенная из стран Европы — всего в стране проживают около 4 млн. 800 тыс. человек. Бедных здесь практически нет, а так называемые «классовые» различия выражены очень слабо. В значительной степени благосостояние зависит от нефте- и газодобывающей и нефтеперерабатывающей промышленности, так как Норвегия — один из крупнейших в мире и крупнейший в Западной Европе производитель и экспортер нефти и газа. В стране традиционно низкая инфляция и безработица по сравнению с остальной Европой, но, в то же время — это одна из самых дорогих стран мира.
В пятерку лидеров рейтинга — стран с очень высоким уровнем развития — также вошли Австралия (2 место), Исландия (3), Канада (4) и Ирландия (5). На шестом месте Нидерланды, а на седьмом — Швеция. Франция и Швейцария оказались на 8 и 9 месте, Япония — на 10. Соединенные Штаты не входят в десятку государств с самым высоким Индексом развития человеческого потенциала. Они занимают 13 место.
Беларусь и Россия вошли в группу стран с высоким уровнем человеческого развития. Они заняли 68 и 71 место соответственно. Индекс развития человеческого потенциала России равен 0,817 (индекс больше 0,8 принято назвать «высоким развитием», индекс меньше 0,5 — «низким развитием»). Средняя ожидаемая продолжительность жизни в России составляет 66,2 года, ВВП на душу населения — $ 14,690 в год. Россия занимает место после Албании и перед Македонией и находится почти в самом конце списка высокоразвитых, по оценке ООН, государств; после нее в данном списке только 12 стран. Стоит отметить, что Россия, тем не менее, опережает в рейтинге своих соседей по БРИК. Среди крупнейших стран с быстрорастущей экономикой Бразилия занимает в рейтинге 75 место, Китай — 92, а Индия — 134.
В перечень развитых государств входят и все страны Балтии — Эстония занимает 40 место, Литва — 46, Латвия — 48. На предпоследнем месте списка стран с высоким уровнем развития находится Казахстан (82 место). Все другие государства бывшего СССР включены группу стран со средним уровнем развития: Армения занимает 84 место, Украина — 85, Азербайджан — 86, Грузия — 89, Туркменистан — 109, Молдова — 117 (самый низкий показатель в Европе), Узбекистан — 119, Кыргызстан — 120 и Таджикистан — 127.
Замыкают список из 182 государств Нигер (последнее, 182 место), Афганистан (181), Сьерра-Леоне (180), Центрально-Африканская Республика (179) и Мали (178) — страны с самым низким уровнем развития человеческого потенциала. В этих государствах чрезвычайно низкая продолжительность жизни — от 40 до 50 лет, крайне неблагоприятная социально-экономическая среда, низкая грамотность населения — умеют читать и писать не более 30% всех жителей, а ВВП на душу населения — менее $ 1 тыс. на человека.
В группе с самым низким уровнем развития находятся 24 страны (почти все эти государства — страны Африки южнее Сахары, кроме Афганистана и Восточного Тимора). В списке стран с очень высоким уровнем развития человеческого потенциала — 38 стран, с высоким уровнем развития — 45 стран. 75 государств мира находятся в списке со средним уровнем развития. Совокупный рейтинг показывает, что индекс развития человека в большинстве стран за последние 20 лет заметно повысился.
II
. ПРАКТИЧЕСКАЯ ЧАСТЬ
Задача 1
Имеются следующие данные о распределении населения двух регионов Российской Федерации по размеру среднемесячного душевого дохода населения (тыс.чел.):
| Группы населения по среднемесячному душевому доходу, руб.
|
Регион «А»
|
Регион «Б»
|
| До 300
|
13,7
|
13,2
|
| 300-600
|
56,3
|
55,4
|
| 600-900
|
47,9
|
49,2
|
| 900-1200
|
33,2
|
31,3
|
| 1200-1500
|
21,8
|
18,7
|
| 1500-1800
|
17,1
|
17,0
|
| 1800-2100
|
13,8
|
13,3
|
| 2100-2400
|
8,7
|
10,2
|
| 2400-2700
|
1,2
|
1,9
|
| 2700-3000
|
0,9
|
1,1
|
| Свыше 3000
|
0,2
|
0,5
|
Оцените дифференциацию доходов населения регионов, рассчитав:
- децили ряда распределения (первый и девятый);
- децильный коэффициент дифференциации доходов населения.
Сделайте выводы.
РЕШЕНИЕ:
1. Децильный коэффициент дифференциации населения, характеризующий, во сколько раз минимальные доходы 10% самого богатого населения превышают максимальные доходы 10% наименее обеспеченного населения:
,
где -девятый дециль ряда распределения;
- первый дециль ряда распределения;
,
где -
нижняя граница децильного интервала;
i
- величина децильного интервала;
- сумма накопленных частот, предшествующих децильному интервалу;
- частота децильного ряда;
k
– номер децили.
Рассчитаем децильные коэффициенты дифференциации доходов населения регионов, предварительно определив сумму накопленных частот:
| Группы населения по среднемесячному душевому доходу, руб.
|
Численность населения (тыс.чел.)
|
Сумма накопленных частот (тыс.чел.)
|
| Регион «А»
|
Регион «Б»
|
Регион «А»
|
Регион «Б»
|
| 1
|
2
|
3
|
4
|
5
|
| До 300
|
13,7
|
13,2
|
13,7
|
13,2
|
| 300-600
|
56,3
|
55,4
|
70
|
68,6
|
| 600-900
|
47,9
|
49,2
|
117,9
|
117,8
|
| 900-1200
|
33,2
|
31,3
|
151,1
|
149,1
|
| 1200-1500
|
21,8
|
18,7
|
172,9
|
167,8
|
| 1500-1800
|
17,1
|
17,0
|
190
|
184,8
|
| 1800-2100
|
13,8
|
13,3
|
203,8
|
198,1
|
| 2100-2400
|
8,7
|
10,2
|
212,5
|
208,3
|
| 2400-2700
|
1,2
|
1,9
|
213,7
|
210,2
|
| 2700-3000
|
0,9
|
1,1
|
214,6
|
211,3
|
| Свыше 3000
|
0,2
|
0,5
|
214,8
|
211,8
|
| ИТОГО
|
214,8
|
211,8
|
Максимальные доходы 10% наименее обеспеченного населения будут равны:
По региону «А»
=
470,36 руб.
По региону «Б»
=
481,36 руб.
Минимальные доходы 10% самого богатого населения составят:
По региону «А»:
=1872,17 руб.
По региону «Б»:
=1931,28 руб.
Таким образом, децильные коэффициенты дифференциации доходов
населения в регионах составят:
По региону «А»
= =3,98; т.е. минимальные доходы 10% самых богатых превышают максимальные доходы 10% самых бедных в 3,98 раза
По региону «Б»
= =4,01; т.е. минимальные доходы 10% самых богатых превышают максимальные доходы 10% самых бедных в 4,01 раза.
Таким образом, по региону «Б» наблюдается более высокий уровень дифференциации доходов населения.
Задача 2
Имеются следующие данные о денежных доходах населения Российской Федерации.
| Денежные доходы населения – всего, млрд.руб.
|
5293,5
|
| Дефицит денежного дохода населения, млрд. руб.
|
229,8
|
| Величина прожиточного минимума (в среднем на душу населения), руб.в месяц
|
1500
|
| Коэффициент Джини
|
0,396
|
| Численность населения с доходами ниже прожиточного минимума
|
39,9 млн. чел.
|
Определить синтетический индикатор бедности Sen-индекс, который рассчитывается следующим образом:
S=L( N + d/P *G)
где L – доля бедного населения
N – средний дефицит доходов процентах к границе бедности
d – средний доход бедных домохозяйств
P – граница бедности
G – коэффициент Джини
Для определения промежутка низкого дохода рассчитаем средний дефицит денежного дохода на душу населения в месяц:
Д.Д. на д.насел. в месяц = Дефицит Д.Д./N населения/12= 229,8/144,6/12=132,43 руб.
Тогда удельный вес дефицита денежного дохода к границе бедности(N) составит 0,088 (132,43/1500)
Средний доход бедных домохозяйств(d) представляет собой разницу между прожиточным минимумом в месяц величиной среднего дефицита денежного дохода населения в месяц, рассчитанного для населения с денежными доходами ниже прожиточного минимума:
d= P – Дефицит Д.Д./N бедн.нас./12
d= 1500-229,8/39,9/12=1500-480=1020 руб.
L= 39,9/144,6=0,276 – доля бедного населения
S = 0.276*(0,088 +1020/1500*0,396) = 0,099
Таким образом, степень интенсивности и распространения бедности в Российской Федерации за текущий год достаточно невысока.
Задача 3
Имеются следующие данные, характеризующие распределение общего объема денежных доходов населения Российской Федерации (в процентах0 за текущий год:
| Денежные доходы по 20%-ным группам населения
|
% к итогу
|
Кумулятивная (накопленная) частота
|
| Всего
В том числе:
Первая (с наименьшими доходами)
Вторая
Третья
Четвертая
Пятая (с наибольшими доходами)
|
100
5,6
10,4
15,4
22,8
45,8
|
5,6
16,0
31,4
54,2
100,0
|
Определить коэффициент Джини и коэффициент Лоренца.
Для 20%-ного распределения: G= 1,2-0,4*сумму накопленных долей i- группы в общем объеме признака
Коэффициент Джини принимает значения от 0 до 1; чем ближе к G к 1, тем выше уровень концентрации.
Для оценки степени концентрации может быть использован коэффициент Лоренца(L):
L=фактическая сумма, полученная по отклонениям долей совокупности единиц и долей объема признака/ 2
| 20%-ные группы населения
|
Dyi
|
Dxi
|
Dxi*Dyi
|
DyiH
|
Dxi*DyiH
|
|Dxi-Dyi|
|
| Первая
Вторая
Третья
Четвертая
Пятая
|
0,056
0,104
0,154
0,228
0,458
|
0,2
0,2
0,2
0,2
0,2
|
0,0112
0,0208
0,0308
0,0456
0,0916
|
0,056
0,160
0,314
0,542
1,000
|
0,0112
0,0320
0,0628
0,1084
0,2000
|
0,144
0,096
0,046
0,028
0,258
|
| итого
|
1,000
|
1,0
|
0,2
|
2,072
|
0,4144
|
0,572
|
Dyi – доля i-той группы в общем объеме совокупности (в общей численности населения)
Dxi - доля i-той группы в общем объеме признака (в общем объеме денежных доходов)
DyiH – накопленная доля i-той группы в общем объеме признака
G = 1-2* 0,4144+ 0,2=0,3712 или 37,12%
G= 1,2- 0,4*2,072=0,3712 или 37,12%
L=0,572\2=0,286 или 28,6%
Оба коэффициента свидетельствуют о наличии существенной концентрации денежных доходов населения.
Задача 4
Найти индекс развития человеческого потенциала, используя следующие данные на примере двух стран: Германии (промышленно развитой страны) и Китая (развивающейся страны).
| Страна
|
Ожидаемая продолжительность жизни, лет
|
Уровень грамотности взрослого населения, %
|
Совокупная доля учащихся, %
|
Реальный ВВП на душу населения(ППС в дол.США)
|
| Германия
|
77.2
|
99.0
|
88.1
|
21 260
|
| Китай
|
69.8
|
82.9
|
68.9
|
3 130
|
Индекс ожидаемой продолжительности жизни:
Германия = (77.2-25)/(85-25)=52.2/60=0.870
Китай = (69.8-25)/(85-25)=44.8/60=0.747
Индекс грамотности взрослого населения
:
Германия = (99.0-0)/(100-0)=99.0/100=0.990
Китай = (82.9-0)/(100-0)=82.9/100=0.829
Валовой показатель поступивших в учебные заведения
:
Германия = (88.1-0)/(100-0)=0.881
Китай = (68.9-0)/(100-0)=0.689
Индекс достигнутого уровня образования:
Германия=2/3*0.990+1/3*0.881=0.954
Китай=2/3*0.829+1/3*0.689 =0.782
Индекс скорректированного ВВП на душу населения:
Германия = (log 21 260-log 100)/(log 40 000-log 100)=0.895
Китай=(log 3130-log 100)/(log 40 000-log 100)=0.575
На основе расчетов составим таблицу:
| Страна
|
Индекс ожидаемой продолжительности жизни
|
Индекс достигнутого уровня образования
|
Индекс скорректированного ВВП на душу население (ППС в дол. США)
|
Сумма трех индексов
|
ИРЧП
|
| Германия
|
0.870
|
0.954
|
0.895
|
2.719
|
0.906
|
| Китай
|
0.747
|
0.782
|
0.575
|
2.104
|
0.701
|
ИРЧП Германии = (0.870+0.954+0.895)/3=2.719/3=0.906
ИРЧП Китая = (0.747+0.782+0.575)/3=2.104/3=0.701
Заключение
Таким образом, в данной курсовой работе были рассмотрены такие вопросы: системы показателей доходов, расходов и потребления в рамках СНС, статистические характеристики уровня жизни населения, статистические методы измерения неравенства и бедности, показатели границы бедности в России, методы исчисления индексов развития человеческого потенциала для межстрановых сравнений, а также был представлен список стран по индексу развития человеческого потенциала, составленный на основе данных 2007 года. Изучив данные проблемы можно сделать вывод, что уровень жизни является одной из важнейших социальных категорий, которая характеризует структуру потребностей человека и возможности их удовлетворения.
Уровень жизни является понятием более широким и характеризуется не только объемом реальных доходов в расчете на душу населения, но и рядом неденежных факторов. Важнейшими составляющими уровня жизни выступают доходы населения и его социальное обеспечение, потребление им материальных благ и услуг, условия жизни, свободное время.
При изучении вопроса об уровне жизни основной проблемой является проблема неравенства благосостояния, а также порождаемого ею социального напряжения в обществе. Разрыв в уровне жизни зависит от различной ценности принадлежащих людям факторов производства и эффективности их использования. Неравенство доходов может достигать огромных масштабов и создавать угрозу для политической и экономической стабильности в стране, поэтому практически все развитые страны мира вынуждены постоянно сокращать разрыв в доходах различных групп населения. Но разработка такого рода мер возможна лишь при умении точно определять степень дифференциации доходов и богатства и воздействовать на нее с помощью государственной политики.
Важнейшая задача статистики уровня жизни – выявление закономерностей изменения благосостояния населения. Для этого проводятся исследования, охватывающие как всю страну, так и ее регионы, социально-демографические группы населения и различные типы домашних хозяйств. Это позволит проследить различия в уровне жизни в зависимости от экономических, национальных, природно-климатических и других особенностей, а также от доходов населения. Результаты исследования могут носить либо общий характер, либо частный, связанные, например, с оценкой потребления населением конкретных благ и обеспеченности его различными услугами. Повышение уровня жизни – это не только результат экономического роста, но и его условие. В современной России наиболее актуальными проблемами повышения уровня жизни являются обеспечение занятости, усиление социальной защищенности населения, борьба с бедностью. И наконец, экономико-статистический анализ уровня жизни населения России проводится для того, чтобы улучшать те или иные условия жизни населения.
Список использованной литературы
1. Балинова В.С. Статистика в вопросах и ответах: Учебное пособие.
2. Иванов Ю.Н. Экономическая статистика 2000 г.
3. Назаров М.Г. Курс социально – экономической статистики 2006 г.
4. Назаров М.Г. Курс социально – экономической статистики 2000 г.
5. Салин В.Н., Шпаковская Е.П. Социально-экономическая статистика 2003 г.
6. Шмойлова Р.А. Теория статистики: Учебник. - М.: Финансы и статистика, 2001 г.
7. Уровень жизни населения // Экономист. - 2003. - № 12. - С. 45-50
Сайты Интернета:
http://rating.rbc.ru/article.shtml?2006/11/29/31275053 РБК рейтинг стран ИРЧП
|