|
Содержание
7. Рынок: понятие, элементы, основные характеристики рынка.
Потребность как объект маркетинга – понятие, классификация,
иерархия. …………………………………………………………………….2
13. Классификация товаров и услуг с точки зрения маркетинга
и рекламы…………………………………………………………………….6
30. Виды и средства торговой рекламы…………………………………….10
45. Задача……………………………………………………………………..16
Список литературы………………………………………………………….17
7. Рынок: понятие, элементы, основные характеристики рынка. Потребность как объект маркетинга – понятие, классификация, иерархия.
Основой маркетинга являются комплексные маркетинговые исследования, включающие изучение рынка и его конъюнктуры, оценку возможностей самого предприятия, строящего работу на принципах маркетинга. Таким образом, без уяснения понятия «рынок» маркетинговая деятельность становится невозможной. Рынок — это центральная категория любого экономического механизма, основанная на обмене продуктами общественного труда.
Рынок как экономическая категория является выражением определенных общественных отношений. В наиболее общем случае под рынком понимают совокупность производственных отношений, складывающихся между производителем и потребителем товаров и услуг путем обмена. Таким образом, обязательным условием существования рынка является обмен товарами и услугами.
Для совершения обмена необходимо соблюдать следующие условия:
• сторон, вступающих в обмен, должно быть как минимум две;
• каждая сторона должна располагать чем-то, что могло бы заинтересовать другую;
• каждая сторона должна быть свободной в принятии и отклонении предложения;
• каждая сторона должна быть уверена в целесообразности иметь дело с другой
стороной.
Поскольку ключевым в определении рынка является обмен товарами и услугами, дадим такое определение: Рынок — это сфера обмена, где действует совокупность реальных и потенциальных продавцов и покупателей.
В маркетинге различают товарный рынок, финансовый рынок, рынок труда и т.д.
Рассмотрим подробнее товарный рынок. По характеру и назначению он подразделяется на потребительский рынок и рынок товаров производственно-технического назначения. Важнейшим показателем эффективности функционирования товарного рынка является емкость рынка.
Забиваем Сайты В ТОП КУВАЛДОЙ - Уникальные возможности от SeoHammer
Каждая ссылка анализируется по трем пакетам оценки: SEO, Трафик и SMM.
SeoHammer делает продвижение сайта прозрачным и простым занятием.
Ссылки, вечные ссылки, статьи, упоминания, пресс-релизы - используйте по максимуму потенциал SeoHammer для продвижения вашего сайта.
Что умеет делать SeoHammer
— Продвижение в один клик, интеллектуальный подбор запросов, покупка самых лучших ссылок с высокой степенью качества у лучших бирж ссылок.
— Регулярная проверка качества ссылок по более чем 100 показателям и ежедневный пересчет показателей качества проекта.
— Все известные форматы ссылок: арендные ссылки, вечные ссылки, публикации (упоминания, мнения, отзывы, статьи, пресс-релизы).
— SeoHammer покажет, где рост или падение, а также запросы, на которые нужно обратить внимание.
SeoHammer еще предоставляет технологию Буст, она ускоряет продвижение в десятки раз,
а первые результаты появляются уже в течение первых 7 дней.
Зарегистрироваться и Начать продвижение
Ер = внутреннего производства + импорт (прямой и косвенный) - экспорт (прямой и косвенный).
Косвенным называется товар, ввозимый (вывозимый) в составе другого изделия.
Потребительский рынок — это рынок товаров массового спроса, где покупают товары и услуги для личного, семейного и домашнего пользования.
Рынок товаров производственно-технического назначения — это совокупность лиц и организаций, приобретающих товары и услуги для дальнейшего использования в производстве или для перепродажи другим потребителям.
Свободный рынок. Характеризуется свободой выбора товара при покупке, свободой выбора места и формы продажи, свободой ценообразования, свободой поведения субъекта рынка. Субъектами рынка выступают юридические и физические лица.
Стихийный рынок. Характеризуется неограниченной свободой его контрагентов.
Организованный рынок. Цивилизованный рынок, на котором поведение контрагентов ограничено соответствующими рамками (правовыми, организационными, финансовыми и т.д.). Формами организованного рынка выступают оптовая и розничная торговля, биржи, аукционы и т.д.
Различают четыре модели цивилизованного рынка:
1. Рынок свободной конкуренции.
2. Рынок чистой монополии.
3. Рынок монополистической конкуренции.
4. Рынок олигополии.
Организованный рынок характеризуется сочетанием рыночных и плановых элементов. Рынок и план - два антипода. Первый предполагает распределение через механизм спроса и предложения, второй - через централизованное планирование (лимиты и фонды).
В зависимости от структуры хозяйства страны существуют:
1. Рынки стран с экономикой типа натурального хозяйства.
2. Рынки стран-экспортеров сырья.
3. Рынки промышленно развивающихся стран.
4. Рынки промышленно развитых стран.
Структура хозяйства страны определяет производственный спрос, т.е. спрос на сырье, материалы, машины, оборудование и т.д.
По уровню доходов и характеру распределения в стране следует различать:
1. Страны с низким уровнем доходов (очень низким и преимущественно низким).
2. Страны с очень низким и очень высоким уровнем доходов.
3. Страны с низким, средним и высоким уровнями доходов.
4. Страны с преимущественно средним уровнем семейного дохода.
Уровень и характер доходов определяет, прежде всего, спрос на потребительские и продовольственные товары. Обобщающим показателем уровня доходов является величина валового внутреннего продукта (ВВП) в расчете на душу населения.
Сервис онлайн-записи на собственном Telegram-боте
Попробуйте сервис онлайн-записи VisitTime на основе вашего собственного Telegram-бота:
— Разгрузит мастера, специалиста или компанию;
— Позволит гибко управлять расписанием и загрузкой;
— Разошлет оповещения о новых услугах или акциях;
— Позволит принять оплату на карту/кошелек/счет;
— Позволит записываться на групповые и персональные посещения;
— Поможет получить от клиента отзывы о визите к вам;
— Включает в себя сервис чаевых.
Для новых пользователей первый месяц бесплатно.
Зарегистрироваться в сервисе
По территориальному охвату рынки делятся на:
1. Внутренние.
2. Национальные.
3. Региональные.
4. Мировой.
По организационной структуре (т.е. по различным уровням торговли и характеру взаимоотношений между продавцами и покупателями) различают:
1. Мировой рынок:
а) открытый;
б) закрытый.
2. Внутренний рынок:
а) оптовый;
б) розничный.
И, наконец, классифицируя рынки, необходимо выделить:
Закрытый рынок, представляющий собой рынок, где взаимодействуют продавцы и покупатели, связанные различными формами некоммерческих отношений, т. е. юридической зависимостью, военно-политическим договорами и т.д. Особенность функционирования данного рынка заключается в наличии различных форм регулирования и относительной устойчивостью рыночных цен.
Открытый рынок, характеризующийся обычной коммерческой деятельностью неограниченного круга независимых контрагентов. Для такого рынка характерны краткосрочные сделки с помощью бирж, частые и резкие колебания цен.
Потребность - это фактор биологический, свойственный только мыслящим существам. А с другой стороны потребность это фактор психологический. Существует классификация потребностей (описанная А.Маслоу):
1. Потребности физиологические (голод, жажда...)
2. Потребности самосохранения (безопасность, защищенность ...)
3. Социальные потребности (чувство духовной близости, любовь ...)
4. Потребности в уважении (самоуважение, признание, статус ...)
5. Потребности в самоутверждении (саморазвитие, самореализация ...)
Опыт маркетинговой деятельности показывает, что ориентация на полезность продукции требует глубокого знания психологических, мотивационных факторов, которые становятся решающими при покупке товаров.
Вот некоторые из этих мотивов: мотив выгоды, мотив снижения риска, мотив признания, мотив удобства, мотив свободы, мотив познания, мотив содействия, мотив самореализации.
Нет ничего более важного для компании, работающей на потребительском рынке, чем иметь глубокое представление о своем клиенте. Доскональное знание Потребителя, особенностей и мотивов его поведения позволяет успешно развиваться в высококонкурентной среде.
.
Приступая к составлению портрета Потребителя необходимо, прежде всего, четко определить круг лиц, которые непосредственно являются ими или теми, от кого зависит принятие решения о покупке нашей продукции. Это в большей степени относится к случаям, когда речь идёт о закупке сложных корпоративных изделий, например, технологических линий или компьютерного оборудования для банков и офисов компаний. Кто принимает решение о закупке такой продукции? Конечно же, руководитель и значит именно его портрет нам надо изучать в первую очередь. Но, в тоже время, это решение предварительно прорабатывается конкретными техническими специалистами, мнение которых может быть определяющим, а значит надо составить и их портрет.Составление портрета Потребителя, согласно общим принципам сегментирования рынка, традиционно осуществляется по четырем основным признакам: географическим, демографическим, психографическим (социальный слой, стиль жизни, личные качества), поведенческим (манера приобретения продукции). Степень детализации по каждому признаку зависит от характера продукции. Составляя портрет Потребителя продукции массового спроса, необходимо особое внимание уделять манерам его поведения в приобретении, в частности, к какому психологическому типу Потребитель, может быть, условно отнесен: приверженец определенной торговой марки, осторожный, новатор, приверженец моды, импульсивный, экономный, рациональный. Для составления группового портрета Потребителя необходимо будет воспользоваться и данными статистики, и результатами опросов или анкетирований/интервьирований, проведенных непосредственно службой маркетинга или заказанных ею сторонней организации. Однако портрет Потребителя будет явно неполным, если в базе данных не будет отражено, какую продукцию Потребитель берет у предприятия и какова его доля в объёме отгрузки данного вида продукции, какие виды скидок или бонусов ему предоставлялись, какова была форма оплаты и порядок расчёта с ним и, в конце концов, как своевременно он за неё рассчитывался? Фактически это часть базы данных отдела сбыта, дополненная информацией финансового отдела в части завершения расчетов, отличающаяся тем, что в ней вводятся дополнительные графы, отражающие степень выполнения им договорных обязательств.
Фвакторы влияющие на поведение покупателя (потребителя).
Имеются две основные группы потребителей:- конечные потребители;- потребители-предприятия (промышленный маркетинг).
Факторы, оказывающие влияние на поведение конечных потребителей, сводятся к следующему.Факторы культурного порядка:- культура;- социальное положение. Социальные факторы:- референтные группы;- семейное положение;- роли и статусы. Личностные факторы:- возраст и этапы жизненного цикла семьи;- род занятий;- экономическое положение;- образ жизни;- тип личности и ее представление о себе. Психологические факторы:- мотивация;- восприятие;- усвоение;- убеждение и отношение.
Рынок промышленных товаров отличается от рынка конечных потребителей следующим:- на нем меньше покупателей;- они крупнее;- более сконцентрированы географически;- их спрос определяется спросом конечных потребителей;- обычно их спрос неэластичен по цене;- спрос может резко меняться;- покупатели являются профессионалами.
13. Классификация товаров и услуг с точки зрения маркетинга и рекламы.
Скрывается за горизонтом наш дикий псевдорынок. На дворе уже крепчает рынок настоящий; рынок насыщения и конкуренции; рынок тонкого маркетинга и эффективной рекламы; рынок, на котором, как считают на General Motors, “Прибыль течет туда, где есть мозги”. Эти рыночные мозги должны уметь скрупулезно и постоянно анализировать на фирме и на рынке буквально все, включая товары и услуги.
Товарные категории
О многих категориях мы знаем очень мало, часто просто то, что они существуют. Не более. Мы мало что можем сказать, например, о строительных материалах, текстиле, полиграфии, бумаге, электротехнике, если только мы не специалисты в этих областях.
Более того, даже если мы каждый день потребляем товары данной категории, скажем пиво, нас может поставить в тупик вопрос вроде – А что такое хорошее пиво? (Стоит ли удивляться тому, что пиво Schlitz вывела на первое место в США реклама на пяти страницах. Она подробно рассказала потребителям, как делается отличное пиво Schlitz.
Автор рекламы Schlitz Клод Хопкинс показал, что тот, кто, описывая свой товар, первым расскажет о качествах, свойственных всей категории, тот приобретает на рынке огромную фору. Этот метод называют preemption (присвоение, “право первой ночи”).
Известность на данном рынке
Даже очень популярная во всем мире категория может оказаться малоизвестной или совсем неизвестной на том или ином рынке. Так, придя в Китай, немецкие автомобильные компании в первых своих рекламах объясняли китайцам почему машина лучше лошади. Тактика оказалась верной.
Кроме того, на рынке могут иметься местные заменители, затрудняющие проникновение данной категории. Вы с трудом можете представить себе жителей российской глубинки, употребляющих виски, ром или текилу вместо водки, пиццу вместо пирогов и пельменей. К сожалению, эти очевидные вещи понимают далеко не все Западные компании, приходящие в Россию с ранее неизвестными здесь товарами.
“Нерекламные” категории
Анализируя некоторые категории, вы можете прийти к выводу, что вряд ли вообще стоит тратить деньги на рекламу входящих в нее товаров. Примеры: соль, сахар, молоко, бумага для принтеров, бензин, салфетки и т.д. Вы можете заполнять банальностями свою рекламу, скажем, сахарного песка, но все равно все будут говорить просто “Дайте мне сахарный песок”.
Разумеется, если вы внесете в ваш обычный товар какие-то доказуемо положительные изменения, то есть как-то выделите его в своей категории (например, в соль добавите йод), то можно подумать о рекламе, объясняющей пользователю плюсы, которые он получит от этих модификаций. Но чаще всего достаточно просто четко отразить это на упаковке.
Динамичность категории
Категории отличаются разной динамичностью. Некоторые (например, хлеб, водка, квас, молочные продукты) существует десятилетия или даже века, и никто не ожидает в них особых изменений. С другой стороны, высокотехнологичные категории меняются очень стремительно.
Если в первом случае рекламист может мало что сказать – многое и так известно, то во втором ему часто, чтобы продать, нужно многое разъяснять.
Чувствительность к цене
Категории могут отличаться разной чувствительностью к цене: в одной категории, например, в нефтепродуктах, цена может быть основным критерием оценки. В других категориях, например, в автомобилях, цена – только один из рассматриваемых факторов.
Некоторые, не умея предложить клиенту комплекс продающих моментов, начинают воевать с конкурентами только по ценам. Во многих случаях это бесперспективно.
Юридические нормы
Ряд категорий регламентируются специальными нормами потребления и рекламирования. Примеры: алкоголь, сигареты, оружие.
Рекламисту важно эти нормы знать, чтобы не создать проблемы для рекламодателя.
Предрассудки на рынке
В некоторых товарных категориях могут сложиться различные предрассудки, влияющие на оценку товара. Если бытовую электронику, копировальную технику и прочее оборудование покупают, как “черный ящик”, не очень интересуясь отдельными узлами, то компьютеры часто покупают, как конструктор, интересуясь буквально каждой деталью, ее параметрами, страной изготовления и производителем.
Производители средств для мытья посуды обнаружили у домашних хозяек стойкое мнение, что хорошее средство обязательно должно хорошо пениться. И хотя пенистость никак не связана с моющими качествами, производители стали добавлять в состав пенообразующие агенты.
Предубеждения на рынке
При работе с товаром важно знать – нет ли на рынке предубеждения против товара или товарной категории? Несколько примеров:
В конце 1940-х годов в США у мужчин-курильщиков было стойкое предубеждение против сигаретного фильтра – многие считали, что все это только для женщин! Первые рекламы “кавбойских” сигарет Marlboro (которые раньше были дамской маркой) объясняли рынку достоинства фильтра. Ныне же реклама Marlboro – это классическая напоминающая реклама “стиля жизни”.
Одно время в США появились слухи о том, что картофель якобы способствует росту веса. Это резко снизило потребление этого продукта. Ассоциации производителей картофеля потребовалось много труда, чтобы снять это заблуждение.
Бороться с предубеждениями пришлось также производителям растворимого кофе, ряда других продуктов питания. Грамотная реклама снимала негативные слухи против сетей магазинов, отдельных фирм и банков.
Знание приоритетности продающих моментов поможет сделать правильные акценты в рекламе для разных сегментов. Прежде всего, это касается заголовка рекламы.
Товар
Определившись с категорией данного товара, мы можем перейти к его более тонкой классификации.
Тонкое знание того, как покупают товар в данном сегменте, очень помогает в маркетинге и рекламе.
Нужно уметь моделировать процесс покупки, просчитывая все аспекты контакта потребителя с товаром и принятия им решения о покупке.
Кто покупатель товара?
Это может быть пользователь (покупает для себя), непользователь (покупает для других), корпоративный покупатель (покупает для своей фирмы) и посредник (покупает для перепродажи).
Простая/сложная покупка
Решение о покупке некоторых товаров принимает только один человек. Как правило, это недорогие товары каждодневного спроса.
Решение о покупке других товаров может принимать группа людей. Покупку телевизора, холодильника, мебели или автомобиля могут обсуждать все члены семьи. Решение о приобретении оборудования или дорогостоящих технологий могут принимать совместно представители разных отделов фирмы.
В первом случае покупку называют простой, во втором, сложной.
В случае сложной покупки реклама выигрывает, если она содержит ответы на молчаливые вопросы, которые могут задавать члены группы.
Циклы покупки
Все товары имеют разную цикличность покупки. Одни товары мы покупаем каждый день, то есть мы постоянно находимся на рынке данного продукта. Предметы длительного пользования мы покупаем раз в 5-10 лет (иногда раз в жизни).
В последнем случае между циклами покупки мы не находимся на рынке данного товара. Но реклама может служить для нас напоминающим раздражителем. Когда настанет время покупки, мы включим данную марку в мысленный перечень кандидатов на рассмотрение.
Сезонность
Продажа многих товаров и услуг имеет сезонный характер. Это очень важно учитывать.
Демонстрация товара.
Есть товары, которые при покупке обязательно демонстрируют в действии (телевизоры, электроприборы, компьютеры и т.д.). Чем сложнее оборудование, тем больше вероятность сбоев при демонстрации.
Рекомендуется тщательно продумать процедуру демонстрации и описать ее в пособии для продавцов. Для демонстрации компьютеров можно разработать демонстрационные программы.
Оценка качества товара.
Качество многих товаров мы можем оценить достаточно просто – попробовав кусочек яблока на рынке, примерив одежду или обувь, полистав книгу или журнал, опробовав в действии механизм, посидев в кресле, посмотрев на растение и т.д.
А можете ли вы заранее оценить качество незнакомого товара в упаковке, или незнакомой гостиницы? Как же тогда мы составляем свое мнение? Ориентируясь на цену, на вид упаковки, на место, отведенное данному товару на полке?
Часто мы ищем косвенные показатели качества. Это могут быть звездочки на коньяке или гостинице, победы напитка на конкурсах и автомобиля на гонках, рекомендации авторитетных источников и отзывы счастливых пользователей, отчеты об испытаниях.
Необходимо использовать все свидетельства качества, как прямые, так и косвенные.
Наличие в магазинах
Успех товара на рынке определяется не только маркетингом и рекламой; здесь важно, в частности, физическое наличие товара на рынке – чем в большем количестве магазинов имеется данный товар, тем больше будут его продажи при прочих равных условиях.
Заключение
Выше были перечислены некоторые критерии маркетинговой оценки товаров и услуг. Вряд ли этот перечень можно считать полным. Более того, для такого быстро развивающегося рынка, как Россия, результаты оценок по различным параметрам могут со временем меняться, причем в разных категориях и в разных регионах с разными темпами.
Все это требует от практического маркетолога и рекламиста гибкости маркетингового мышления и скрупулезного анализа. И всегда только с единственной точки зрения – с точки зрения потребителя/читателя.
30. Виды и средства торговой рекламы.
Реклама - неотъемлемый атрибут современной цивилизации. Без ее существования мир был бы не таким, каким мы привыкли его видеть. Без рекламы не обходится на одно более - менее успешное коммерческое предприятие, вне зависимости от его масштаба и объема продаж, ведь реклама как один из факторов нашего времени воистину является двигателем торговли.
Невозможно сегодня просто пройтись по улице мегаполиса и не встретить изобилие всевозможной рекламы, она повсюду: на щитах, плакатах, листовках, стендах, билбордах, тентах, столбах, на транспорте, в газетах, в радио-сообщениях и т.д. Однако ошибкой будет предположение, что реклама - исключительная прерогатива капиталистического мира, она появилась намного раньше, чем может показаться на первый взгляд - еще до появления газет, радио, телевидения, Интернета, полиграфии и даже бумаги. Доподлинные источники утверждают, что реклама существовала в Древней Греции и Риме, правда, только в виде устных сообщений глашатаев - специальных людей, которые выкрикивали на улицах и торговых площадях различные сообщения рекламного характера, призывающих и побуждающих людей к определенным действиям.
Классификации рекламы
Реклама нашего времени, бесспорно, намного разнообразнее. Существует множество классификаций современной рекламы. Реклама складывается из множества элементов, ее цели и задачи могут быть различны, как и варианты ее создания, а также каналы, по которым она распространяется. Существует классификация по объекту (на кого нацелена реклама) - выделяют рекламу для покупателей определенных товаров, профессиональную рекламу для узкой категории граждан (к примеру, рекламирование товаров производственно-технического назначения), а также смешанную рекламу. Если классифицировать рекламу по заказчику, то выделяют такие ее виды, как реклама конкретных компаний-производителей, реклама фирм, занимающихся оптовой торговлей и розничной продажей. Классификация по предмету включает в себя: непосредственную рекламу товара, либо торговой марки, торгового предприятия или фирмы-производителя. Если классифицировать рекламные сообщения по временным параметрам, то выделяют такие виды, как «анонсная» или подготавливающая реклама (рассказывает о товаре, который скоро начнут выпускать), «новая» реклама (товар уже выпущен и поступает в продажу), и «зрелая» реклама (товар уже давно представлен на рынке и пользуется спросом). Наиболее распространенная классификация рекламы - по способу распространения - здесь выделяют телевизионную, печатную, радийную, видео- и кинорекламу, рекламу на транспорте, наружную рекламу и т.д.
Классификация рекламы по средствам распространения
Многообразие современной рекламы предусматривает десятки, а то и сотни различных способов распространения рекламных сообщений.
Итак, прямая реклама. Здесь выделяются виды:
1. реклама по почте;
2. материалы, вручаемые лично - литовки, информационные письма.
Реклама в прессе. Здесь выделяются следующие виды:
1. газетная реклама;
2. реклама в журналах;
3. реклама в отраслевых журналах;
4. реклама в справочниках и телефонных книгах;
5. реклама в фирменных бюллетенях.
Печатная реклама имеет следующие подвиды:
1. реклама в каталогах;
2. реклама на буклетах;
3. проспекты;
4. плакаты;
5. реклама на открытках, календарях, флаерах, листовках и т.д.
Так называемая экранная реклама подразделяется на:
1. реклама в кино (продакт плейсмент);
2. реклама на телевидении;
3. реклама на слайд - проекциях.
Наружная реклама включает в себя:
1. витрины с товарами;
2. рекламные щиты;
3. рекламные плакаты;
4. рекламные панно (газосветное - с надписями неподвижными или бегущими);
5. рекламные конструкции для размещения больших плакатов.
Реклама на транспорте имеет следующие подвиды:
1. рекламные сообщения на наружной поверхности транспортного средства;
2. реклама внутри транспорта (в салонах транспортных средств);
3. рекламные стенды и витрины в аэропортах, на вокзалах и т.д.
Реклама в местах продажи включает в себя:
1. вывески магазинов, планшеты;
2. витрины магазинов;
3. упаковка с фирменным логотипом магазина.
Виды рекламы
Традиционно выделяются восемь видов рекламы.
1. Реклама конкретной торговой марки. Данный вид рекламы можно назвать преобладающим в ряду визуальной рекламы. Подобная реклама нацелена в первую очередь на узнавание бренда и определенной торговой марки.
2. Рознично - торговая реклама. Подобный вид рекламы нацелен на стимулирование продаж посредством привлечения покупателей к конкретной торговой точке или предприятию. Включается в себя чаще всего информирование о месте расположения и условиях продажи конкретных товаров и услуг.
3. Корпоративная реклама – подобный вид рекламы редко содержит рекламную информацию, заключается в склонении определенного сегмента покупателей к точке зрения компании.
4. Справочно-адресная реклама. Это одна из разновидностей рознично - торговой рекламы. Ее смысл заключается в предоставлении большого количества информации сразу нескольким группам потребителей.
5. Реклама с наличием обратной связи. Данный вид подразумевает обмен информацией с потенциальными покупателями товара или услуги. Частая форма подобной рекламы - почтовые сообщения по конкретным адресатам, которые могут быть потенциальными покупателями (к примеру, каталоги по почте).
6. Политическая реклама. Включает в себя формирование позитивного имиджа политического деятеля в глазах избирателей. Это один из самых заметных, дорогостоящих и действенных типов рекламы.
7. Социальная реклама - ориентирована на аудиторию, объединенную по социальным признакам - подростки, пенсионеры, матери- одиночки и т.д.
8. Бизнес-реклама – вид рекламы, ориентированный на узкий круг профессионалов, предназначена для распространения рекламных сообщений среди групп населения, объединенных по общим признакам. Чаще всего распространяется при помощи специализированных изданий.
Организационные структуры управления: функциональная, региональная и их характеристика.
На организационную структуру влияют следующие факторы:
- размеры предприятия;
- применяемая технология;
- окружающая среда.
Организационная структура аппарата управления — форма разделения труда по управлению производством. Каждое подразделение и должность создаются для выполнения определенного набора функций управления или работ. Для выполнения функций подразделения, должностные лица наделяются определенными правами на распоряжение ресурсами и несут ответственность за выполнение закрепленных за ним функций.
Схема организационной структуры управления отражает статическое положение подразделений и должностей и характер связи между ними.
Различают связи:
- линейные (административное подчинение);
- функциональные (по сфере деятельности без прямого административного подчинения);
- межфункциональные, или кооперационные (между подразделениями одного и того же уровня).
В зависимости от характера связей выделяются несколько основных типов организационных структур управления:
- линейная;
- функциональная;
- линейно-функциональная;
- матричная;
- дивизиональная;
- множественная.
В линейной структуре управления каждый руководитель обеспечивает руководство нижестоящими подразделениями по всем видам деятельности. Достоинство — простота, экономичность, предельное единоначалие. Основной недостаток — высокие требования к квалификации руководителей.
Функциональная организационная структура — связь административного управления с осуществлением функционального управления.
Линейно-функциональная структура — ступенчатая иерархическая. При ней линейные руководители являются единоначальниками, а им оказывают помощь функциональные органы. Линейные руководители низших ступеней административно не подчинены функциональным руководителям высших ступеней управления. Она применялась наиболее широко.
Матричная структура характерна тем, что исполнитель может иметь двух и более руководителей (один — линейный, другой — руководитель программы или направления). Такая схема давно применялась в управлении НИОКР, а сейчас широко применяется в фирмах, ведущих работу по многим направлениям. Она все более вытесняет из применения линейно-функциональную.
Множественная структура объединяет различные структуры на разных ступенях управления. Например, филиальная структура управления может применяться для всей фирмы, а в филиалах — линейно-функциональная или матричная.
Линейно-функциональная система обеспечивает, начиная со второго уровня иерархии, деление задач управления "по функциям". Штабы могут создаваться в центральных и других органах управления, образовывая штабную иерархию.
Эта структура управления характеризуется:
- высокой централизацией стратегических решений и децентрализацией оперативных;
- организацией директивных связей по однолинейному принципу;
- преобладающим применением инструментов координации с технической поддержкой.
По идее, штабы должны давать консультации и участвовать в подготовке решений, но не давать конкретных директив. Однако, вследствие своей профессиональной компетентности, их сотрудники часто оказывают сильное неформальное влияние на линейных руководителей. Если же они выполняют только рекомендательную функцию, то возникает риск, что их работа слабо влияет на ход производственных процессов.
Структура имеет следующие преимущества:
- обеспечивает высокую профессиональную специализацию сотрудников;
- позволяет точно определить места принятия решений и необходимые ресурсы (кадровые);
- способствует стандартизации, формализации и программированию процессов управления.
Недостатки:
- структура жестка и с трудом реагирует на изменения;
- образование специфических для функциональных подразделений целей затрудняет горизонтальное согласование.
Таким образом, структура неразрывно связана со стратегией. Одно время практиковался статический подход к разработке проекта организации и корректирующих изменений. Определялись задачи текущей деятельности предприятия, которые затем агрегировали по восходящим уровням в форме традиционной пирамиды. Теперь же ни одна организационная схема крупного предприятия не может основываться только на текущей деятельности. Она обязательно должна отражать любые возможные изменения главной задачи предприятия и разрабатываться в свете целей и стратегических программ высшего руководства.
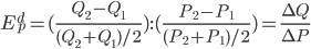
45. Задача
.
Определите коэффициент эластичности и сделайте соответствующие выводы, если до повышения цены с 17 у.е. до 21 у.е. реализация продукции составляла 160 шт. в день, после повышения цены реализация сократилась до 100 шт.

— начальная цена
— новая цена
— первоначальный объем
— новый объем
Список литературы.
1. www.12manage. marketing mix.ru
.
2. www.rge.ru.
3. www.surin.Marketolog. Biz.ru
4.
www
.
Marketing
.
spb
.
ru
5. Основы маркетинга: 100 экзаменационных ответов.
В.П. Федько, Н.Г. Федько
Издательский центр «МарТ», Ростов-на-Дону 2000г.
6. Современный маркетинг. Под редакцией В.Е. Хруцкого
«Финансы и статистика», Москва, 1991г
7. Организация сельскохозяйственного производства.
Под редакцией академика Ф.К. Шакирова
«Колос», Москва, 2000г
8.
Котлер Ф. основы маркетинга: Пер. с англ./Общ. Ред. Пеньковой Е.М. – М.: прогресс, 1990. – С.598.
9.
Родин В.П. Основы маркетинга. – М.,1992
|