Введение
Торговля — объект статистического изучения. В системе отраслевых статистических дисциплин важное место занимает статистика торговли, имеющая большое значение для характеристики материального и культурного уровня народа. Торговля относится к сфере материального производства, поскольку она выполняет важные функции по доведению товаров до потребителя, в процессе осуществления которых происходит завершение процесса производства в сфере обращения и, таким образом, увеличивается стоимость товаров. Следовательно, затраты труда в сфере товарного обращения являются производительными, они обеспечивают создание определенной части совокупного общественного продукта и национального дохода. Систематически растет численность работников, занятых в сфере обращения. Роль и значение торговли определяются еще и тем, что она выполняет важные функции организации товарных связей с производством и служит фактором экономического воздействия на сферу производства. Именно в сфере товарного обращения, где торговля выступает в качестве посредника между производителями и потребителями, спрос соприкасается с предложением, происходит удовлетворение потребностей населения, выявляется несоответствие требований потребителей и части товаров, поступивших из производства.
Развитие торговли на современном этапе заключается в совершенствовании ее на основе комплексного подхода к определению и удовлетворению потребностей и спроса населения, улучшению связей с производством, укреплению роста технической оснащенности, повышению культуры обслуживания населения, эффективности и качества работы на всех участках торговых предприятий. Именно эти задачи помогает решать статистика торговли, предоставляя цифровой материал, характеризующий процессы, происходящие в данной сфере, осуществляющая систематическое наблюдение и контроль за ходом выполнения государственных планов развития торговли в целом, за эффективностью деятельности отдельных
торговых предприятий.К задачам статистики торговли относятся: изучение объема, уровня, динамики, структуры состояния и развития торговли; изучается и прогнозируется спрос.
Забиваем Сайты В ТОП КУВАЛДОЙ - Уникальные возможности от SeoHammer
Каждая ссылка анализируется по трем пакетам оценки: SEO, Трафик и SMM.
SeoHammer делает продвижение сайта прозрачным и простым занятием.
Ссылки, вечные ссылки, статьи, упоминания, пресс-релизы - используйте по максимуму потенциал SeoHammer для продвижения вашего сайта.
Что умеет делать SeoHammer
— Продвижение в один клик, интеллектуальный подбор запросов, покупка самых лучших ссылок с высокой степенью качества у лучших бирж ссылок.
— Регулярная проверка качества ссылок по более чем 100 показателям и ежедневный пересчет показателей качества проекта.
— Все известные форматы ссылок: арендные ссылки, вечные ссылки, публикации (упоминания, мнения, отзывы, статьи, пресс-релизы).
— SeoHammer покажет, где рост или падение, а также запросы, на которые нужно обратить внимание.
SeoHammer еще предоставляет технологию Буст, она ускоряет продвижение в десятки раз,
а первые результаты появляются уже в течение первых 7 дней.
Зарегистрироваться и Начать продвижение
1. СТАТИСТИКА ТОРГОВЛИ
1.1. ПРЕДМЕТ, ЗАДАЧИ И СИСТЕМА ПОКАЗАТЕЛЕЙ СТАТИСТИКИ ТОРГОВЛИ
Предмет и задачи статистики торговли
Статистика торговли -
отрасль экономической статистики
, изучающая количеств, закономерности массовых явлений в области товарного обращения, которые характеризуют продвижение товаров народного потребления из сферы производства в сферу потребления. Статистика торговли исследует закономерности, тенденции и пропорциональность развития собственно торговли и общественного питания. Объектомстатистики торговли служит совокупность продавцов и покупателей. В систему показателей входят: товарооборот, запасы товарные и товарооборачиваемость, цены, затраты труда, издержки обращения, прибыль и рентабельность.
Исторический процесс развития экономики обусловил развитие трех социально-экономических форм торговли: государственной, кооперативной и колхозной.
Государственная торговля
осуществляется государственными торговыми предприятиями и организациями системы Министерства торговли и других ведомств. Торговля ведется товарами, принадлежащими государству, по государственным ценам и в соответствии с единым государственным планом.
Кооперативная торговля
осуществляется предприятиями и организациями потребительской кооперации, действующими на основе кооперативной собственности. Значительную часть товаров, полученную от государственных предприятий и организаций, кооперативная торговля реализует по государственным ценам. Остальные товары, полученные из собственного производства или в порядке собственных закупок, реализуются по ценам, установленным соответствующими кооперативными организациями (облпотребсоюзами). Главное назначение кооперативной торговли — обеспечение села товарами народного потребления и лишь продажа излишков сельскохозяйственной продукции производится городскому населению.
Колхозная торговля
представляет собой реализацию излишков сельскохозяйственной продукции, принадлежащей колхозам, а также колхозникам, рабочим совхозов и другим группам населения, имеющим личное подсобное хозяйство. Если первые две формы торговли относятся к организованному рынку, то колхозная торговля представляет собой рынок, на котором купля-продажа товаров осуществляется между их непосредственными производителями и потребителями, цены складываются в зависимости от спроса и предложения, а объем оборота колхозной торговли государством не планируется. Однако развитие колхозной торговли, объем и структура товаров, уровень их цен зависят от состояния сельскохозяйственного производства, государственной и кооперативной торговли, размеров государственных товарных ресурсов.
Сервис онлайн-записи на собственном Telegram-боте
Попробуйте сервис онлайн-записи VisitTime на основе вашего собственного Telegram-бота:
— Разгрузит мастера, специалиста или компанию;
— Позволит гибко управлять расписанием и загрузкой;
— Разошлет оповещения о новых услугах или акциях;
— Позволит принять оплату на карту/кошелек/счет;
— Позволит записываться на групповые и персональные посещения;
— Поможет получить от клиента отзывы о визите к вам;
— Включает в себя сервис чаевых.
Для новых пользователей первый месяц бесплатно.
Зарегистрироваться в сервисе
Ведущее положение и решающее значение имеет государственная форма торговли как по объему товарооборота, мощности своих предприятий, так и по степени удовлетворения потребностей населения.
Предметом
статистики торговли является количественная сторона массовых явлений и процессов, происходящих в сфере товарного обращения в неразрывной связи с их качественным содержанием. Статистика торговли изучает закономерности, тенденции развития, уровень, структуру и взаимосвязи процессов и явлений в сфере товарного обращения. Круг вопросов, изучаемых статистикой торговли, чрезвычайно широк: это исследование вопросов состояния и развития оптового и розничного товарооборота государственной, кооперативной и колхозной торговли; анализ товарных запасов и товарного баланса торговли; вопросы ценообразования и динамики цен; анализ состояния и эффективности использования материальной базы; вопросы эффективности и качества работы торговых предприятий.
Основная задача
статистики торговли — всесторонняя, достоверная и объективная характеристика состояния и развития товарного обращения предметов потребления, систематическое наблюдение и контроль за ходом выполнения государственных планов развития торговли в целом, за эффективностью деятельности отдельных торговых предприятий. Вместе с тем статистика торговли решает ряд конкретных задач, к которым относятся:
исследование процесса движения товаров от производства до потребления, т.е. характеристика объема, структуры, динамики товарооборота;
анализ состояния и динамики товарных запасов и скорости товарооборачиваемости;
изучение структуры и динамики затрат труда в торговле и степени их эффективности;
анализ развития материально-технической базы торговли;
характеристика финансовых результатов деятельности торговых предприятий, систем и отрасли (издержки обращения, прибыль, рентабельность);
изучение уровня, структуры и динамики цен в государственной, кооперативной и колхозной торговле.
Эти задачи тесно связаны между собой и поэтому должны решаться комплексно. Сам процесс товарного обращения не изолирован, а происходит в неразрывной связи и взаимозависимости с социально-экономическими условиями развития страны. Ответственная задача статистики — исследовать эти связи, показать зависимость товарооборота, товарных запасов, показателей эффективности торговли от различных производственных и социальных факторов. Это позволит научно обоснованно воздействовать на товарный рынок, успешно прогнозировать развитие торговли и на этой основе осуществлять управление и планирование этой важной отрасли народного хозяйства.
Система показателей статистики торговли
Задачи статистики торговли направлены на исследование различных сторон товарного обращения, которое проводится лишь с помощью системы взаимосвязанных показателей. К этим показателям относятся:
товарооборот
, характеризующий основную сторону деятельности торговли — продажу товаров, начиная от сферы производства и кончая сферой потребления;
товарные запасы
, характеризующие наличие товаров в торговле на определенный момент времени, обеспечивающие непрерывность обращения товаров;
цены
, являющиеся непременным условием товарного обращения, эквивалентом, по которому товары обмениваются на деньги, категорией, оказывающей влияние на соотношение спроса и предложения;
издержки обращения
, являющиеся затратами по обеспечению процесса реализации товаров;
прибыль
как результат финансовой деятельности торговых предприятий;
численность работников
и затраты рабочего времени
, характеризующие трудовые (ресурсы, их состояние, развитие и использование в торговых предприятиях и в целом по отрасли;
число
и размер предприятий торговли
, уровень
их технической оснащенности
.
Перечисленные показатели, характеризующие количественную сторону товарного обращения, связаны между собой, взаимообусловлены, но все в той или иной мере опираются на показатель товарооборота, так как и численность работников и издержки обращения зависят от объема и условий продажи товаров. Однако при этом не исключено и обратное воздействие товарооборота на эти показатели. Первые три показателя непосредственно определяют процесс движения товаров к потребителю.
На основе этих количественных показателей разрабатывается система качественных показателей, характеризующих интенсивные факторы развития торговли. К ним относятся показатели:
производительность труда всех работников торговли, в том числе работников, непосредственно обслуживающих процесс купли-лродажи товаров;
степень использования торгового оборудования, торговых площадей и материальных ресурсов торговых предприятий;
скорость обращения товарных запасов;
структура издержек обращения и их относительного уровня (в процентах к товарообороту);
рентабельность деятельности торговых предприятий.
Все эти показатели образуют систему, характеризующую эффективность деятельности отдельных торговых предприятий, объединений, фирм и отрасли в целом.
Статистическое наблюдение в торговле базируется на сплошном документированном учете и обязательной для всех государственных и кооперативных торговых предприятий и организаций отчетности, а также широко применяемых единовременных выборочных обследованиях.
Статистическая сводка строится по принципу централизации: торговые предприятия представляют установленную отчетность непосредственно своей вышестоящей организации, которая, в свою очередь, направляет сводный отчет в свою вышестоящую организацию и т. д. Действующая статистическая отчетность обеспечивает все основные требования оперативной работы и научной разработки материалов для изучения процессов, происходящих в торговле. Однако статистическая отчетность не отражает в полной мере разносторонние процессы, происходящие в сфере товарного обращения, а также направления и факторы повышения эффективности торговли. Это вызывает необходимость проведения выборочных и сплошных обследований, которые позволяют получить подробную информацию для глубокого экономико-статистического анализа.
1.2. СТАТИСТИКА ТОВАРООБОРОТА
Товарооборот, понятие и основные категории
Центральный раздел статистики торговли - статистика товарооборота.Товарооборот
представляет собой движение материальных благ в форме купли-продажи товаров из сферы производства в сферу обращения. Для правильного определения сущности товарооборота необходимо учитывать следующие два важных фактора: во-первых, объектом товарооборота являются материальные блага, предметы народного потребления; во-вторых, единственной формой движения этих предметов является процесс купли-продажи. Поэтому реализация всякого рода услуг, не имеющих вещную форму материальных благ (выручка бань, прачечных, парикмахерских, зрелищных предприятий и т. д.), к товарообороту не относится. Кроме того, не относится к товарообороту безвозмездная передача материальных благ либо их простое перемещение из склада на склад. В зависимости от роли и значения отдельных актов купли-продажи товаров различают несколько категорий товарооборота:
оптовый товарооборот
— продажа товаров предприятиями торговым организациям или одними торгующими организациями другим для их последующей продажи. Таким образом, одна партия товаров может быть продана дважды, трижды и т. д., так как она проходит несколько торговых звеньев. Следовательно, оптовый товарооборот содержит повторный или многократный счет продажи товаров;
розничный товарооборот
— продажа товаров непосредственно потребителю, в основном населению, а также продажа предприятиям, учреждениям, колхозам товаров, предназначенных для хозяйственных нужд и общественного питания. Известно, что из общего объема розничного товарооборота доля товаров, продаваемых населению, составляет значительную часть;
валовой товарооборот
— сумма всех продаж товаров в сфере товарного обращения. Применительно к отдельному торговому предприятию валовой товарооборот исчисляется как сумма всех продаж товаров, произведенных предприятием, или как сумма продаж товаров отдельной торгующей системой; для всего народного хозяйства валовой товарооборот образуется как сводный итог всех продаж товаров, включая и внутренний оборот между торгующими организациями. Таким образом, валовой товарооборот содержит в себе повторный или многократный счет продаж;
чистый товарооборот
— однократная сумма продаж товаров, исключающая повторный счет оборотов или, другими словами, чистый товарооборот — это конечная продажа товаров, т. е. товар продан и больше продаваться не будет. В целом по народному хозяйству чистый товарооборот равен розничному. Показатель чистого товарооборота широко применяется в статистике торговли во всех тех случаях, когда необходимо определить реальную массу проданных товаров.
Звенность товаропродвижения и ее статистическое измерение
На пути своего движения к потребителю товары проходят ряд звеньев, например, из производства поступают на базу, с базы — на другую базу, расположенную в другом районе, затем — в магазин, откуда он будет продан населению. Таким образом, товар может быть продан несколько раз и каждая такая продажа отражается в учете. Следовательно, чем меньше звеньев проходит товарная масса, тем быстрее удовлетворяются потребности населения, тем меньше издержки обращения, т. е. все виды затрат по обслуживанию процесса товарооборота. В этом и заключается экономический смысл показателя звенности товаропродвижения — оптимальная величина которого равна 1, если между производством и торговлей существует прямая связь и товар, минуя различные торгово-складские звенья, поступает к потребителю.
Коэффициент звенности может быть выражен целым или дробным числом, так как он отражает среднее число звеньев, которое проходят различные товары, и исчисляется по формуле:
(коэффициент звенности без учета изменения товарных запасов);
( коэффициент звенности с учетом изменения товарных запасов),
где ВО — валовой товарооборот; ЧО — чистый товарооборот и — запасы товаров в оптовой сети на начало и конец периода; и — запасы товаров в розничной сети на начало и конец периода.
Задачи статистики оптового товарооборота
Статистика оптового товарооборота призвана изучать важный этап движения товаров, начиная от производства и кончая оптовым покупателем. Она характеризует и анализирует образование и распределение товарных ресурсов торговли, товарные связи производства и торговли, внутриторговые товарные связи, степень выполнения государственных планов распределения ресурсов и поставки товаров.
Для бесперебойного снабжения населения предметами потребления необходимо, чтобы оптовая торговля своевременно и регулярно доводила товары до розничных торговых звеньев, чтобы отгрузка и реализация были ритмичными. Несвоевременный завоз товаров неизбежно вызывает нарушения ассортимента, снижение или завышение товарных запасов, резкие колебания нагрузки торговых работников, невыполнение плана розничного товарооборота, а следовательно, и финансовые затруднения. Отгрузка и оптовая реализация должны быть равномерными.
Поставки товаров народного потребления осуществляются в плановом порядке. От выполнения поставщиками своих обязательств по своевременной и полной поставке товаров зависит в конечном счете снабжение населения и других потребителей. Основная цель анализа заключается в том, чтобы охарактеризовать уровень выполнения плана поставок товаров поставщиками. Однако относительный уровень (процент) выполнения плана поставки не является достаточным основанием для вывода о выполнении обязательств поставщика перед покупателем. Дело в том, что и недопоставка (недовыполнение плана) и несогласованная с поставщиком сверхплановая поставка одинаково могут внести диспропорцию в соотношение спроса и предложения, нарушить нормальный процесс продажи товаров. Если товаров поступит меньше, чем это было обусловлено планом, спрос населения не будет удовлетворен, план розничного товарооборота не будет выполнен. Если товары будут поступать в большем количестве, чем их можно реализовать, произойдет затоваривание, товары останутся на полках магазинов. Для нормального функционирования розничной торговли крайне важно точное выполнение условий хозяйственного договора и плана поставки в части объема и ассортиментной структуры поступления товаров. Торгующим организациям предоставлено право отказываться от излишних товаров или применять другие санкции к поставщикам.
Наряду с характеристикой выполнения плана поставки целесообразно производить сопоставление фактического поступления товаров с заказами торгующих организаций, выявляя на этой основе необеспеченность заказа или товарные излишки.
Строгое соблюдение запланированного ассортимента поставки является непременным условием договорных отношений торговли и промышленности. От его выполнения зависит обеспечение народного хозяйства и населения отдельными видами товаров.
В выполнение плана поставок по ассортиментным группам засчитывается: по товарам, план поставки которых выполнен и перевыполнен, — поставка по плану; по товарам, план поставки которых не выполнен, — фактический размер поставки.
Если план поставки хотя бы по одной ассортиментной позиции не выполнен, общий план поставки товара не будет выполненным. Применяется следующий расчет общего процента выполнения плана поставки с учетом поставки в ассортименте:

Статистическое изучение динамики рыночных товарных фондов
Общая закономерность развития оптового товарооборота находит отражение прежде всего в деятельности отдельных предприятий и организаций оптовой торговли, в показателях динамики их товарооборота.
Динамика оптового товарооборота характеризуется временными рядами, построенными за ряд истекших лет с учетом изменения цен.
Рост продажи товаров населению, составляющий одну из главных сторон процесса подъема народного благосостояния, должен обеспечиваться непрерывным увеличением поставки товаров по рыночному фонду. Изучение динамики поставки отдельных товаров и всей товарной массы — важная задача статистики оптового товарооборота. Для анализа динамики поставки широко используется индексный метод. Индексы позволяют не только дать обобщающую характеристику развития оптового товарооборота, но и отражают движение товаров в стоимостной форме с учетом фактически сложившейся структуры поставки. Подобная оценка соответствует экономическому содержанию оптового этапа товарного обращения.
Простое сопоставление поставки отчетного периода с поставкой базисного периода в ценах соответствующих лет выражается индексом рыночного фонда:

где в числителе — поставка отчетного периода; а в знаменателе — поставка базисного периода.
Этот индекс хотя и имеет определенный экономический смысл, так как он показывает динамику стоимости рыночного фонда, все же не отвечает основной цели анализа: он не характеризует динамику поступления товарной массы в розничную торговлю. Необходимо исключить влияние возможного изменения цен, построив индекс рыночных фондов в сопоставимых ценах или иначе — индекс физического объема рыночных фондов:

где в числителе — условная поставка отчетного периода, выраженная в базисных ценах. Этот индекс уже действительно отражает изменение объема рыночных фондов, так как поставка базисного периода и поставка отчетного периода соизмерены по базисным ценам.
Однако этот индекс не универсален, его можно исчислить только в том случае, если статистика располагает данными о поставке товаров в натуральном выражении. Числитель индекса представляет собой произведение количества поставленных товаров (q1) на цены (ро). Но поставка продовольственных товаров учитывается в натуральных единицах, а поставка непродовольственных товаров (за некоторым исключением) — в стоимостных единицах. Поэтому для того чтобы построить индекс физического объема рыночных фондов непродовольственных фондов, необходимо пересчитать поставку отчетного периода в базисные цены. Такую операцию можно осуществить при помощи индивидуального (группового) индекса цен:

Разделив поставку отчетного периода по каждому товару на индивидуальный индекс цен, получим поставку в ценах базисного периода:

Таким образом, получено значение числителя индекса физического объема поставки. Для удобства принято записывать процесс деления поставки отчетного периода на индивидуальный индекс цен следующим образом:

Тогда индекс физического объема рыночного фонда непродовольственных товаров принимает следующий вид:

Сразу возникает вопрос, каким образом исчислить общий индекс физического объема рыночного фонда всех товаров? Можно последовательно суммировать числители двух исчисленных ранее индексов. Полученная таким образом условная сумма поставки всех товаров соизмерена по ценам одного базисного периода и будет сопоставима со знаменателем общего индекса — суммой поставки базисного периода продовольственных и непродовольственных товаров:

Данный индекс покажет, как изменился объем поставки всех товаров рыночного фонда в сопоставимых ценах, а разность между его числителем и знаменателем покажет абсолютный прирост стоимости поставки за счет, изменения количества поставленных товаров.
Розничный товарооборот, его понятие и состав. Задачи статистического изучения розничного товарооборота.
Заключительным этапом движения товаров является их продажа населению. Этот процесс носит название розничного товарооборота. Розничный товарооборот представляет собой конечную, заключительную стадию движения товаров из сферы производства в сферу личного потребления через реализацию продовольственных и непродовольственных товаров путем обмена денежных доходов населения на предметы потребления. В него входит также продажа товаров (мелкооптовый товарооборот) колхозам, организациям, учреждениям и предприятиям для обслуживаемых ими контингентов (в детских, лечебных и других социально-культурных учреждениях) и для текущих хозяйственных нужд (канцелярские товары, мелкий инвентарь, культтовары, предметы хозяйственного обихода), но не для производственного потребления. Кроме того, в розничный товарооборот включается продажа из розничной торговой сети и сети предприятий общественного питания колхозам, а также различным организациям, учреждениям и предприятиям для питания обслуживаемых им контингентов (в санаториях, детских учреждениях, больницах и т. д.).
От объема и структуры розничного товарооборота как основного показателя развития социалистической торговли зависят все другие показатели деятельности торговых предприятий и организаций— численность работников, фонд зарплаты, издержки обращения, реализованное наложение, накопления.
Рост розничного товарооборота является важнейшим показателем материального благосостояния и культурного уровня народа. Показатели объема, структуры и динамики розничного товарооборота позволяют сделать выводы об уровне потребления населения, проанализировать тенденции в структуре потребления товаров.
Статистика розничного товарооборота выполняет две функции: дает характеристику розничного товарооборота как основного показателя деятельности торговой отрасли и как показателя товарного потребления. В последнем случае задачи статистики розничного товарооборота смыкаются с задачами статистики уровня жизни населения.
Можно выделить следующие основные задачи статистического изучения розничного товарооборота:
определение объема розничного товарооборота и анализ его структуры;
сводка и обработка данных о розничном товарообороте в группировках по торговым системам и торгующим организациям на городскую и сельскую местность, в территориальном разрезе и т. д.;
анализ выполнения плана розничного товарооборота;
изучение динамики розничного товарооборота;
исследование различий городского и сельского розничного товарооборота;
характеристика товарной структуры розничного товарооборота;
изучение и моделирование взаимосвязей розничного товарооборота с различными социально-экономическими факторами.
Учет и отчетность по розничному товарообороту
Все розничные торговые предприятия и организации в определенные сроки и в установленном порядке представляют отчетность о розничном товарообороте. Показатель общего объема розничного товарооборота основан на первичном учете денежной выручки торгового предприятия (наличной и безналичной). Источником сведений о торговой выручке служит товарно-денежный отчет, который представляется всеми торговыми предприятиями и предприятиями общественного питания вышестоящим организациям за каждые 5—7 дней. Этот отчет, в котором перечисляется вся документация по приходу товаров и расходу денежной выручки (накладные, фактуры, квитанции и др.), имеет балансовую форму. Квартальная и годовая отчетность содержит более подробные показатели объема и структуры розничного товарооборота в разрезе городской и сельской местностей, а также данные о продажах мелким оптом и в кредит.
Общий объем розничного товарооборота — показатель синтетический. Он складывается из продажи товаров отдельными торговыми системами, торгующими организациями и предприятиями. В процессе анализа статистика товарооборота должна отразить весь процесс товарооборота, охарактеризовав организационную структуру товарооборота, его распределение по этим системам, организациям и т. д., с учетом специфики соответствующих подразделений торговли
Анализ выполнения плана розничного товарооборота
Анализ выполнения плана розничного товарооборота является важным и завершающим этапом статистического исследования розничной торговли. Значение данного этапа статистического анализа розничного товарооборота обусловлено прежде всего тем, что в плане розничного товарооборота заложены и сконцентрированы практически все стороны развития торговли. Именно поэтому планирование и прогнозирование всех остальных показателей торговли опирается на план товарооборота. Не случайно розничный товарооборот является одним из двух плановых показателей, устанавливаемых в централизованном порядке.
Основным показателем выполнения плана розничного товарооборота является степень (уровень) выполнения плана в процентах (Упл):

где SОф — розничный товарооборот в отчетном периоде в фактически действовавших ценах; SОпл — розничный товарооборот, установленный на отчетный период по плану.
Уровень выполнения плана розничного товарооборота показывает, как справляются торговля в целом, торгующая организация или торговое предприятие с поставленными перед ними задачами по снабжению населения товарами, по вовлечению денежных средств в обращение и, наконец, по реализации товарных ресурсов.
По общему показателю выполнения плана товарооборота всем торгом еще нельзя судить о том, как выполнили план отдельные предприятия торга. Поэтому необходимо определить степень выполнения плана по каждому предприятию торга.
При анализе выполнения плана розничного товарооборота большое значение имеет группировка предприятий по степени выполнения плана, которая позволяет выявить резервы для перевыполнения плана, определить роль отстающих и передовых предприятий в общем объеме товарооборота.
Важное значение имеет определение абсолютного размера перевыполнения (или недовыполнения) плана розничного товарооборота, который должен показать, на какую сумму населению было дополнительно продано (либо недодано) товаров. Величина этого показателя определяется как разность между фактическим и плановым товарооборотом. При сравнении степени выполнения плана и его интенсивности за ряд лет целесообразно использовать показатель абсолютного значения одного процента перевыполнения (недовыполнения) плана розничного товарооборота. Этот показатель определяется как отношение суммы товарооборота, реализованного сверх установленного плана, к величине перевыполнения плана, выраженной в процентах.
Каждая торговая организация ежедневно сдает в Госбанк торговую выручку, которая аккумулируется на соответствующем спецсудном счете. Часть торговой выручки по соглашению с Госбанком расходуется на выплату заработной платы торговым работникам, оплату некоторых издержек обращения, закупку сельскохозяйственных продуктов и стеклопосуды. Следовательно, сумма торговой выручки, сданной в Госбанк, должна быть меньше розничного товарооборота. Отношение торговой выручки, сданной в Госбанк, к розничному товарообороту, называется коэффициентом инкассации и выражается в процентах:

Зная коэффициент инкассации, который устанавливается по данным за предыдущий период, и сумму выручки, поступившей в Госбанк, можно исчислить вероятный объем розничного товарооборота. Для этого сумму поступившей в Госбанк выручки нужно разделить на коэффициент инкассации.
Анализ динамики общего объема розничного товарооборота
Изучение динамики розничного товарооборота необходимо как для характеристики тенденции развития основной деятельности торговой отрасли, так и для анализа уровня торгового обслуживания населения.
Методика анализа динамики товарооборота разнообразна, она меняется в зависимости от объекта наблюдения (магазин, организация, торговля в целом и т. п.) и поставленных перед исследованием задач и основана на широком применении индексного метода.
Анализ начинается с составления динамических рядов, которые дают возможность исследовать процесс развития товарооборота за соответствующий период времени и использовать для его анализа такие показатели, как темпы роста, абсолютные приросты (Ao = SOi—SO0).
Динамика розничного товарооборота торговой сети государственной и кооперативной торговли анализируется при помощи двух индексов: индекса розничного товарооборота в фактически действующих ценах

и индекса физического объема розничного товарооборота в неизменных ценах

где Sqopo — розничный товарооборот базисного периода; Sq1p1 — розничный товарооборот отчетного периода; ip — индивидуальный индекс цен.
При анализе динамики розничного товарооборота необходимо принимать во внимание изменения цен, которые могли произойти в отчетном году. Снижение или рост цен существенно влияет на размер розничного товарооборота и искажает реальное выполнение плана объема продажи товаров. При сравнении розничного товарооборота в отчетном периоде и в соответствующем периоде предыдущего года надо пользоваться данными в сопоставимых ценах.
Пересчет в сопоставимые цены (базисного периода) производится в данном случае посредством деления товарооборота отчетного периода на индекс цен.
Статистическое изучение материальной базы торговли
Материальная база торговли характеризуется числом торговых предприятий, их размерами и площадью, уровнем оснащения различным технологическим, измерительным и другими видами торгового оборудования.
Для характеристики степени специализации торговли применяется показатель, определяемый как отношение количества специализированных магазинов к общему числу магазинов данного района, города, области, республики. Анализ показателей специализации магазинов показывает, что более высокими темпами идет специализация непродовольственных магазинов, отвечающих растущим запросам населения.
Одним из показателей, косвенно характеризующих подъем народного благосостояния, является рост обеспеченности населения розничной торговой сетью. Этот показатель исчисляется в двух вариантах:
по числу торговых предприятий — как отношение количества торговых предприятий на 10 тыс. жителей;
по размеру торговой площади — как отношение размера торговой площади предприятий торговли или торговых залов на 1 тыс. чел. либо обратный показатель — сколько приходится человек на 1 м.кв. торговой площади.
Товарные запасы и задачи их статистического изучения
Товары, находящиеся в торговле и обеспечивающие непрерывность товарного обращения, называются товарными запасами. Объем товарных запасов зависит от условий производства и транспортировки товаров, от размера и структуры покупательского спроса, от скорости товарного обращения.
Для осуществления своей деятельности торговые предприятия должны располагать запасами товаров, который бы постепенно расходовался и столь же постоянно возобновлялся. Следовательно, на каждый момент времени торговля должна располагать постоянным товарным запасом, обеспечивающим нормальную реализацию товаров в течение определенного периода. Наличие определенных товарных запасов в оптовых и розничных торгующих организациях необходимо для организации бесперебойной торговли и наилучшего обслуживания населения.
Если товарные запасы ниже нормативов, то могут возникнуть перебои в продаже товаров населению, если они выше нормативов, то образуется затоваривание в торговой сети. Это происходит в том случае, если поступающие товары не удовлетворяют требованиям покупателей (по качеству, свойствам, цене и т. д.).
Задачами статистики товарных запасов являются: учет товарных запасов; определение обеспеченности товарооборота товарными запасами и ее соответствия нормативам; анализ структуры и динамики товарных запасов; анализ оборачиваемости товаров; изучение взаимосвязей товарных запасов.
Методы учета товарных запасов
Объем товарных запасов в торговой сети учитывается на определенную дату. Существует несколько способов учета товарных запасов в розничной сети: инвентаризация, оперативный учет и балансовый метод.
Инвентаризация заключается в сплошном количественном подсчете всех запасов товаров. Производится своеобразная перепись товаров, которые по мере необходимости заново взвешиваются и пересчитываются. Полученные данные в натуральном выражении оцениваются в действующих ценах и сводятся по товарным группам в соответствии с утвержденной номенклатурой. Инвентаризации проводятся, как правило, несколько раз в год, и даты их проведения в различных торговых предприятиях не совпадают. Поэтому для постоянного учета товарных запасов используют другой, менее сложный способ — снятие остатков или оперативный учет, который отличается от инвентаризации тем, что подсчитываются не товары, а товарные места (ящики, мешки, рулоны и т. д.). Естественно, этот учет менее точен, но зато он значительно проще, его можно проводить регулярно на общую для всех магазинов дату (конец квартала).
Третий способ называется книжным или балансовым, так как он основан на использовании балансовой формулы
Зн+П-Р = Зк ,
где Зн — остатки товарных запасов на начало периода; П — поступление товаров за период; Р — реализация товаров за период; Зк— остатки товарных запасов на конец периода.
Этот способ проще предыдущих, он позволяет обеспечить оперативный учет товаров (раз в месяц, в 15 дней и т. п.), но имеет и существенные недостатки. Во-первых, не ведется оперативный учет продажи отдельных товаров, в балансовой формуле можно использовать лишь данные о сумме товарооборота. Поэтому могут быть получены данные только об общей сумме товарных запасов, без распределения по товарным группам. Во-вторых, нельзя исключить из расчета всякого рода неустановленные потери, и это несколько искажает сумму запасов. Чтобы устранить этот недостаток, данные балансового учета товарных запасов систематически сопоставляют с данными инвентаризации, а данные оперативного учета корректируют по данным балансового учета.
Показатели статистики товарных запасов
Товарные запасы относятся к числу основных показателей торговли, которые используются для характеристики скорости оборота товаров (оборачиваемости). Скорость оборота товаров измеряется количеством оборотов товаров или продолжительностью одного оборота.
Показатель среднего количества оборотов характеризует, сколько раз товарный остаток сменился новым товарным остатком, и определяется по формуле:
К
об
=О/3,
где Коб — количество_оборотов товаров (раз); О — товарооборот за отчетный период; 3 — средний запас товаров за этот период.
Чем быстрее процесс обращения товаров, тем больше в среднем будет оборотов в данном периоде.
Показатель средней продолжительности одного оборота исчисляется в днях. Этот показатель характеризует число дней, приходящихся в среднем с момента поступления товаров до их реализации. Определяется двумя способами:
1) продолжительность одного оборота (Т) исчисляется в днях путем деления числа дней (Д) в отчетном периоде на найденное число оборотов (Коб) в этом периоде.
2) для определения числа дней продолжительности одного оборота находим сначала средний однодневный оборот (Д[), а затем определяем отношение среднего товарного запаса (3) к среднему однодневному обороту; такое отношение и выражает среднюю продолжительность одного оборота в днях.
Можно применить также объединенное действие для получения показателя средней продолжительности одного оборота. Такой способ исчисления скорости оборота товаров применяется наиболее часто: для исчисления средней скорости оборота товаров необходимо среднюю сумму товарных запасов умножить на число дней в отчетном периоде и полученное произведение разделить на товарооборот.
Использование средней хронологической для определения средних остатков товаров за длительные периоды (квартал, полугодие, год) сокращает ход вычислений и дает такой же по степени точности результат, какой получается при расчете средней предварительно за каждый месяц, а затем, исходя из этого—за весь данный длительный период.
Для изучения динамики скорости товарооборота и времени товарного обращения определяют индексы скорости товарооборота и времени товарного обращения.
Показатель, характеризующий динамику оборачиваемости товаров, равен обратной величине показателя, характеризующего динамику времени обращения.
Размер высвобожденных из оборота средств, полученных в результате ускорения товарооборачиваемости, исчисляется как произведение показателя среднего дневного товарооборота на количество дней ускорения оборота товаров.
Таким образом, статистика товарооборота является центральным разделом статистики торговли. Она изучает обеспечение розничной торговли товарами народного потребления, контролирует выполнение планов использования товарных ресурсов по важнейшим товарам народного потребления (в этих целях разрабатываются балансы распределения товарных ресурсов), осуществляет контроль поставок товаров по рыночному фонду торгующим организациям, а также отгрузок товаров из районов производства в районы потребления.
1.3. СТАТИСТИКА ИЗДЕРЖЕК ОБРАЩЕНИЯ И РЕНТАБЕЛЬНОСТИ ТОРГОВЛИ
Понятие об издержках обращения
Издержки обращения
— это затраты материальных, трудовых и финансовых ресурсов, связанных с доведением товаров народного потребления от производства до потребителя. Они представляют собой расходы планомерно организованного процесса товарного обращения, отражающие общественно необходимые затраты труда, т. е. такие затраты, без которых не возможен процесс доведения товаров от производителей до потребителей.
Эти затраты многообразны, они связаны с выполнением торговлей торгово-оперативных функций и включают в себя различные расходы на транспорт, заработную плату, содержание помещения, расходы по энергетическому хозяйству, амортизацию оборудования, сортировку, упаковку, хранение и реализацию товаров, наконец, на управление и учет всех перечисленных операций.
В торгующих организациях, имеющих промышленные и сельскохозяйственные предприятия, затраты труда на производство товаров народного потребления, выращивание сельскохозяйственной продукции и развитие животноводства относятся не к издержкам обращения, а к издержкам производства. Не относятся к издержкам обращения и такие расходы, как штрафы, уплаченные за простои транспорта, потери от уценки товара, убытки и другие расходы, не связанные с нормальным процессом обращения товаров.
Размеры издержек обращения зависят от многих факторов: роста объема товарооборота, производительности труда торговых работников, скорости оборачиваемости товаров, наличия сверхнормативных товарных запасов, величины товарных потерь и других.
Задачами статистики являются контроль за выполнением плановых заданий по снижению издержек обращения, изучение структуры затрат, характеристика динамики издержек обращения, выявление роли отдельных факторов, влияющих на изменение издержек обращения, и резервов для их дальнейшего снижения.
Система показателей статистики издержек обращения. Статистическими показателями издержек обращения являются:
абсолютная сумма издержек обращения, которая представляет собой сумму всех затрат на перевозку, хранение и реализацию товаров;
относительный уровень издержек обращения — отношение абсолютной суммы издержек к товарообороту (в процентах);
размер снижения уровня издержек обращения, равный разности между уровнями издержек обращения отчетности и базисного периодов;
темп снижения уровня издержек обращения, вычисляемый как отношение размера снижения к уровню издержек обращения базисного периода, умноженное на 100 (в процентах);
абсолютная сумма экономии или перерасхода от изменения уровня издержек обращения (Эи), исчисляемая по формуле:
Эи=О*(И
1
-И
0
)/100%
,
где И1 и И0 — уровни издержек обращения отчетного и базисного периодов; О — товарооборот отчетного периода.
Темп снижения уровня издержек обращения характеризует интенсивность снижения. При одинаковом размере снижения уровня издержек обращения темп снижения может быть различным, так как уровень издержек обращения в базисном периоде неодинаков по различным предприятиям и видам торговли. Поэтому плановое задание по снижению уровня издержек обращения в целом для торговых систем устанавливается обычно в показателях темпа снижения.
Обобщающими показателями эффективности деятельности отдельных торговых предприятий и отрасли в целом являются масса прибыли и уровень рентабельности. В соответствии с новыми условиями планирования и экономического стимулирования в торговле предусматривается планирование в централизованном порядке двух показателей — товарооборота и прибыли, которые вместе с тем являются основными оценочными показателями работы предприятий торговли и общественного питания. Прибыль служит источником прироста собственных средств, финансирования капитальных вложений, образования фондов экономического стимулирования.
Различают два показателя прибыли в торговле: чистую прибыль от результатов торговой деятельности (реализации товаров), величина которой представляет собой разность между суммами валового дохода и издержек обращения. Валовой доход торговли складывается из реализованных торговых скидок (наценок), нормативы которых устанавливаются в централизованном порядке дифференцирование по товарным группам; балансовую прибыль, величина которой состоит из чистой прибыли плюс доходы от неторговых подсобных предприятий, непланируемые доходы и минус непланируемые расходы (например, штрафы, полученные и уплаченные, убытки от списания дебиторской задолженности и др.). Однако абсолютная величина массы прибыли не может дать объективной характеристики эффективности деятельности торгового предприятия, так как она зависит от соотношения размера торговых скидок и издержек обращения. Эту задачу выполняет относительный показатель — уровень рентабельности. Величина его может определяться в нескольких вариантах (в процентах):
как отношение суммы прибыли к товарообороту;
как отношение прибыли к средней годовой стоимости основных производственных фондов и средних остатков оборотных фондов;
как отношение прибыли к издержкам обращения. Каждый из приведенных выше показателей применяется в зависимости от конкретных задач исследования, круга полученной информации и имеет определенный экономический смысл. Величина и динамика уровня рентабельности зависят от разнообразных количественных и качественных факторов, степень влияния которых исследуется с помощью методов индексного и корреляционно-регрессионного анализа.
Таким образом, статистика издержек обращения и рентабельности торговых организаций даёт сведения об общей сумме издержек обращения в оптовой и розничной торговле. Статистический анализ направлен на выявление основных факторов, определяющих динамику издержек обращения, и на поиски резервов снижения их относительного уровня, что является главной предпосылкой повышения рентабельности в торговле (последняя определяется как отношение чистой прибыли к товарообороту).
II
. Расчетная часть
Вариант 14
Задание 1
Проанализировать зависимость y
от x
по данным табл. №1, для чего:
а) Построить корреляционную таблицу, выполнив интервальную группировку по признакам y
иx
;
б) Рассчитать коэффициент корреляции Фехнера, коэффициент корреляционных рангов и линейный коэффициент корреляции;
в) Рассчитать параметры линейного уравнения yx
=
a
+
bx
и построить на корреляционном поле графики, соответствующие эмпирическому ряду данных и уравнению;
г) Сопоставить результаты и сделать выводы.
Исходные данные для расчета:
Таблица 1.Технико-экономические показатели производственной деятельности машиностроительных предприятий
| X=8
|
Y=4
|
| Среднесписочная численность промышленно-производственного персонала (рабочих), чел.
|
Среднегодовая стоимость промышленно-производственных фондов, млн. руб.
|
| 852 |
1361,2 |
| 883 |
1401,2 |
| 511 |
541,2 |
| 973 |
1189,2 |
| 507 |
542,8 |
| 926 |
1201,6 |
| 705 |
785,2 |
| 536 |
1072,4 |
| 642 |
1157,6 |
| 724 |
1207,2 |
| 964 |
998,8 |
| 881 |
775,8 |
| 832 |
982,4 |
| 954 |
1135,2 |
| 641 |
1158,4 |
| 731 |
821,6 |
| 850 |
1097,6 |
| 943 |
1151,2 |
| 512 |
1105,6 |
| 896 |
640,4 |
Решение.
а) Построение корреляционной таблицы с помощью интервальной группировки по признакам
y
и
x
В тех случаях, когда возрастание величины факторного признака влечет за собой возрастание величины и результативного признака, говорят о возможном наличии прямой корреляционной связи. Если же с увеличением факторного признака величина результативного признака имеет тенденцию к уменьшению, то можно предполагать обратную связь между признаками.
Однако наличие большого числа различных значений результативного признака, соответствующих одному и тому же значению признака-фактора, затрудняет восприятие таких параллельных рядов особенно при большом числе единиц, составляющих изучаемую совокупность. В таких случаях целесообразнее воспользоваться для установления факта наличия связи статистическими таблицами — корреляционными или групповыми.
Для построения корелляционной таблицы необходимо разбить интервальный ряд на несколько равных интервалов и найти величину интервала.
В нашем случае произведем разбивку на четыре интервала. Величину интервала найдём по формуле:
где Xmax
и Xmin
- максимальное и минимальное значение признака соответственно, а n – число интервалов.
Интервальная группировка по
X
:
ix
=(Xmax-Xmin)/n=(973-507)/4=116,5
по
Y
(аналогично):
iy
=(Ymax-Ymin)/n=(1401,2-541,2)/4=215
Найдя величины интервалов можно построить таблицу, которая в нашем случае будет иметь следующий вид:
Таблица 2. Зависимость между среднесписочной численностью промышленно-производственного персонала и среднегодовой стоимостью промышленно-производственных фондов
| YX |
507-623,5 |
623,5-740 |
740-856,5 |
856,5-973 |
Итого |
| 541,2-756,2 |
|| |
| |
3 |
| 756,2-971,2 |
|| |
| |
3 |
| 971,2-1186,2 |
|| |
|| |
|| |
|| |
8 |
| 1186,2-1401,2 |
| |
| |
|||| |
6 |
| Итого |
4 |
5 |
3 |
8 |
20 |
О существовании и направлении связи можно судить по внешнему виду таблицы, т.е. по расположению в ней частот. Так, если числа (частоты) расположены (разбросаны) в клетках таблицы беспорядочно, то это чаще всего свидетельствует либо об отсутствии связи между группировочными признаками, либо об их незначительной зависимости.
Если же частоты сконцентрированы ближе к одной из диагоналей и центру таблицы, образуя своего рода эллипс, то это почти всегда свидетельствует о наличии зависимости между х
и у,
близкой к линейной. Расположение по диагонали из верхнего левого угла в нижний правый свидетельствует о прямой линейной зависимости между показателями x
и у,
а из нижнего левого угла в верхний правый — об обратной.
Проанализировав характер распределения частот в данной таблице, можно сделать вывод, что между показателями х
и у
существует связь - прямая линейная зависимость, т.е. увеличение значений результативного признака с увеличением значения факторного признака. Вид корреляционной таблицы свидетельствуют о наличии прямой зависимости между валовой продукцией и средним возрастом установленного оборудования.
б) Расчет коэффициента корреляции Фехнера, коэффициента корреляции рангов и линейного коэффициента корреляции.
1. Расчет коэффициента корреляции Фехнера
К простейшим показателям степени тесноты связи относят коэффициент Фехнера или коэффициент корреляции знаков. Он основан на сравнении поведения отклонений индивидуальных значений каждого признака (х, у)
от своей средней величины. Для расчета этого показателя вычисляют средние значения результативного и факторного признаков, при этом во внимание принимаются не величины отклонений (
X
- )
и(
Y-
)
,
а ихзнаки («+» или «—»). Определив знаки отклонения от средней величины в каждом ряду, рассматривают все пары знаков и подсчитывают число их совпадений и несовпадений. Если знаки всех отклонений по каждому признаку совпадут, то Кф
=
1. Это характеризует наличие прямой связи. Если все знаки не совпадут, то Кф
=—
1 (обратная связь). Если количество знаков совпадут, то Кф
=
0. Итак, как и любой показатель тесноты связи, коэффициент Фехнера может принимать значения от 0 до 1. При этом чем ближе значение к 1, тем больше (сильнее) теснота зависимости между х
и у.
Однако равенство коэффициента Фехнера единице ни в коей мере нельзя воспринимать как свидетельство функциональной зависимости между х
и у.
Средние значения результативного и факторного признаков рассчитываются по средней арифметической простой:
 
=15462/20=773,1 =20326,6/20=1016,33
Посчитав отклонения для всех значений X
и Y
от их средней, найдём знаки отклонений. Если знаки отклонений для взаимосвязанных пар признаков совпадают, то вариация считается согласованной, в противном случае вариация несогласованна.
На основании полученных данных построена следующая таблица:
Таблица 3.
Среднесписочная численность промышленно-производственного персонала (рабочих), чел.
(
X)
|
Среднегодовая стоимость промышленно-производственных фондов, млн. руб.
(Y)
|
(
X
- )
|
(
Y-
)
|
Знаки отклонений от средней величины
|
с/н
|
| X
|
Y
|
| 852 |
1361,2 |
78,9 |
344,87 |
+ |
+ |
с |
| 883 |
1401,2 |
109,9 |
384,87 |
+ |
+ |
с |
| 511 |
541,2 |
-262,1 |
-475,13 |
- |
- |
с |
| 973 |
1189,2 |
199,9 |
172,87 |
+ |
+ |
с |
| 507 |
542,8 |
-266,1 |
-473,53 |
- |
- |
с |
| 926 |
1201,6 |
152,9 |
185,27 |
+ |
+ |
с |
| 705 |
785,2 |
-68,1 |
-231,13 |
- |
- |
с |
| 536 |
1072,4 |
-237,1 |
56,07 |
- |
+ |
н |
| 642 |
1157,6 |
-131,1 |
141,27 |
- |
+ |
н |
| 724 |
1207,2 |
-49,1 |
190,87 |
- |
+ |
н |
| 964 |
998,8 |
190,9 |
-17,53 |
+ |
- |
н |
| 881 |
775,8 |
107,9 |
-240,53 |
+ |
- |
н |
| 832 |
982,4 |
58,9 |
-33,93 |
+ |
- |
н |
| 954 |
1135,2 |
180,9 |
118,87 |
+ |
+ |
с |
| 641 |
1158,4 |
-132,1 |
142,07 |
- |
+ |
н |
| 731 |
821,6 |
-42,1 |
-194,73 |
- |
- |
с |
| 850 |
1097,6 |
76,9 |
81,27 |
+ |
+ |
с |
| 943 |
1151,2 |
169,9 |
134,87 |
+ |
+ |
с |
| 512 |
1105,6 |
-261,1 |
89,27 |
- |
+ |
н |
| 896 |
640,4 |
122,9 |
-375,93 |
+ |
- |
н |
Коэффициент Фехнера рассчитывается по формуле:
,
где SС и SН – соответственно количество согласованных и несогласованных вариаций. Из таблицы видно, что SС=11 и SН=9.
Тогда, подставив значения, получим:
Кф=(11-9)/(11+9)=0,1
Такое значение показателя характеризует очень слабую зависимость между показателями.
Т.к. коэффициент Фехнера зависит только от знаков и не учитывает величину самих отклонений х
и у
от их средних величин, то практически он характеризует наличие и направление связи. Значит, рассчитав коэффициент Фехнера можно сделать вывод, что между х
и у
существует прямая корреляционная связь.
2. Расчет коэффициента корреляционных рангов
Коэффициент корреляции рангов исчисляется на основе параллельных рядов и является одним из лучших показателей тесноты связи между результативным и факторным признаком. Расчет коэффициента корреляции рангов производится по следующей формуле:
где d-разность между рангами в двух рядах;
n-число наблюдаемых пар значений х
и у
.
Ранг каждого элемента рассчитывается довольно просто, путем проставления ранга начиная с единицы, которая ставится самому наименьшему элементу среди всех элементов результативного или факторного признака. Дальнейшее проставление ранга производится по возрастанию. Если попадаются одинаковые элементы, то ранг рассчитывается, как средняя арифметическая рангов которые должны быть по порядку среди одинаковых элементов.
Тогда ранги в данном случае имеют вид:
Таблица 4.
Среднесписочная численность промышленно-производственного персонала (рабочих), чел.
(
X)
|
Среднегодовая стоимость промышленно-производственных фондов, млн. руб.
(Y)
|
Ранг
X
|
Ранг
Y
|
d=X-Y
|
d^2
|
| 507 |
542,8 |
1 |
2 |
-1 |
1 |
| 511 |
541,2 |
2 |
1 |
1 |
1 |
| 512 |
1105,6 |
3 |
11 |
-8 |
64 |
| 536 |
1072,4 |
4 |
9 |
-5 |
25 |
| 641 |
1158,4 |
5 |
15 |
-10 |
100 |
| 642 |
1157,6 |
6 |
14 |
-8 |
64 |
| 705 |
785,2 |
7 |
5 |
2 |
4 |
| 724 |
1207,2 |
8 |
18 |
-10 |
100 |
| 731 |
821,6 |
9 |
6 |
3 |
9 |
| 832 |
982,4 |
10 |
7 |
3 |
9 |
| 850 |
1097,6 |
11 |
10 |
1 |
1 |
| 852 |
1361,2 |
12 |
19 |
-7 |
49 |
| 881 |
775,8 |
13 |
4 |
9 |
81 |
| 883 |
1401,2 |
14 |
20 |
-6 |
36 |
| 896 |
640,4 |
15 |
3 |
12 |
144 |
| 926 |
1201,6 |
16 |
17 |
-1 |
1 |
| 943 |
1151,2 |
17 |
13 |
4 |
16 |
| 954 |
1135,2 |
18 |
12 |
6 |
36 |
| 964 |
998,8 |
19 |
8 |
11 |
121 |
| 973 |
1189,2 |
20 |
16 |
4 |
16 |
| Итого: |
878 |
n=20
Кр=1-6∑d /n(n-1)=1-6*878/(20*(400-1))=0,34
Прямая корреляционная связь между факторным и результативным признаками. По тесноте слабая.
3. Расчет линейного коэффициента корреляции
Для измерения тесноты связи между двумя количественными признаками х
и у
наиболее широко используется линейный коэффициент корреляции r. При расчете этого показателя учитываются и знаки отклонений индивидуальных значений признака от средней, и сами величины таких отклонений.
Линейный коэффициент корреляции может принимать любые значения в пределах от -1 до +1. Чем ближе коэффициент корреляции по абсолютной величине к 1, тем теснее связь между признаками. Знак при линейном коэффициенте корреляции указывает на направление связи: прямой зависимости соответствует “+”, а обратной зависимости — “-”.
Рассчитывается данный показатель по следующей формуле:
где ( ),( ) - отклонения значений X и Y от их средней.
Для вычисления данного коэффициента необходимо рассчитать целый ряд данных, которые представлены в следующей таблице:
Таблица 5.
Среднесписочная численность рабочих, чел.
(
X)
|
Среднегодовая стоимость промышленно-производственных фондов, млн. руб.
(
Y)
|
(
X-
Xср.)
|
(
Y-
Yср.)
|
(
X-
Xср.)^2
|
(
Y-
Yср.)^2
|
(
X-
Xср.)(
Y-
Yср.)
|
| 852 |
1361,2 |
78,9 |
344,87 |
6225,21 |
118935,3 |
27210,24 |
| 883 |
1401,2 |
109,9 |
384,87 |
12078,01 |
148124,9 |
42297,21 |
| 511 |
541,2 |
-262,1 |
-475,13 |
68696,41 |
225748,5 |
124531,6 |
| 973 |
1189,2 |
199,9 |
172,87 |
39960,01 |
29884,04 |
34556,71 |
| 507 |
542,8 |
-266,1 |
-473,53 |
70809,21 |
224230,7 |
126006,3 |
| 926 |
1201,6 |
152,9 |
185,27 |
23378,41 |
34324,97 |
28327,78 |
| 705 |
785,2 |
-68,1 |
-231,13 |
4637,61 |
53421,08 |
15739,95 |
| 536 |
1072,4 |
-237,1 |
56,07 |
56216,41 |
3143,845 |
-13294,2 |
| 642 |
1157,6 |
-131,1 |
141,27 |
17187,21 |
19957,21 |
-18520,5 |
| 724 |
1207,2 |
-49,1 |
190,87 |
2410,81 |
36431,36 |
-9371,72 |
| 964 |
998,8 |
190,9 |
-17,53 |
36442,81 |
307,3009 |
-3346,48 |
| 881 |
775,8 |
107,9 |
-240,53 |
11642,41 |
57854,68 |
-25953,2 |
| 832 |
982,4 |
58,9 |
-33,93 |
3469,21 |
1151,245 |
-1998,48 |
| 954 |
1135,2 |
180,9 |
118,87 |
32724,81 |
14130,08 |
21503,58 |
| 641 |
1158,4 |
-132,1 |
142,07 |
17450,41 |
20183,88 |
-18767,4 |
| 731 |
821,6 |
-42,1 |
-194,73 |
1772,41 |
37919,77 |
8198,133 |
| 850 |
1097,6 |
76,9 |
81,27 |
5913,61 |
6604,813 |
6249,663 |
| 943 |
1151,2 |
169,9 |
134,87 |
28866,01 |
18189,92 |
22914,41 |
| 512 |
1105,6 |
-261,1 |
89,27 |
68173,21 |
7969,133 |
-23308,4 |
| 896 |
640,4 |
122,9 |
-375,93 |
15104,41 |
141323,4 |
-46201,8 |
| Итого
|
∑(X-Xср.)^2 |
∑(Y-Yср.)^2 |
∑(X-Xср.)(Y-Yср.) |
| 523158,6 |
1199836 |
296773,4 |
r =296773,4/ =0,38 - связь прямая, по тесноте слабая.
Для выявления влияния одного признака на другой, а также для характеристики связи в статистике часто применяется следующий метод, суть которого состоит в том, что эта связь условно
принимается за линейную. Рассчитываются параметры соответствующего линейного уравнения, а также строятся на корреляционном поле соответствующие графики. Анализ которых позволяет судить о направлении связи и в меньшей мере о её тесноте.
x
– значение факторного признака
a
– коэффициент регрессии, характеризующий изменение y при изменении x на единицу
b
– значение y
при x
=0
1. Нахождение параметров линейного уравнения
Система уравнений:
∑ у=na+b∑x
∑yx=a∑x+b∑x^2
Таблица 6.
| №
|
y
|
x
|
x^2
|
yx
|
y
ср.(
x)
|
| 1 |
1361,2 |
852 |
725904 |
1159742 |
1061,083 |
| 2 |
1401,2 |
883 |
779689 |
1237260 |
1078,669 |
| 3 |
541,2 |
511 |
261121 |
276553,2 |
867,6333 |
| 4 |
1189,2 |
973 |
946729 |
1157092 |
1129,726 |
| 5 |
542,8 |
507 |
257049 |
275199,6 |
865,3641 |
| 6 |
1201,6 |
926 |
857476 |
1112682 |
1103,063 |
| 7 |
785,2 |
705 |
497025 |
553566 |
977,6895 |
| 8 |
1072,4 |
536 |
287296 |
574806,4 |
881,8158 |
| 9 |
1157,6 |
642 |
412164 |
743179,2 |
941,9496 |
| 10 |
1207,2 |
724 |
524176 |
874012,8 |
988,4682 |
| 11 |
998,8 |
964 |
929296 |
962843,2 |
1124,62 |
| 12 |
775,8 |
881 |
776161 |
683479,8 |
1077,534 |
| 13 |
982,4 |
832 |
692224 |
817356,8 |
1049,737 |
| 14 |
1135,2 |
954 |
910116 |
1082981 |
1118,947 |
| 15 |
1158,4 |
641 |
410881 |
742534,4 |
941,3823 |
| 16 |
821,6 |
731 |
534361 |
600589,6 |
992,4393 |
| 17 |
1097,6 |
850 |
722500 |
932960 |
1059,948 |
| 18 |
1151,2 |
943 |
889249 |
1085582 |
1112,707 |
| 19 |
1105,6 |
512 |
262144 |
566067,2 |
868,2006 |
| 20 |
640,4 |
896 |
802816 |
573798,4 |
1086,044 |
| n=20 |
∑y |
∑x |
∑x^2 |
∑yx |
| 20326,6 |
15463 |
12478377 |
16012284 |
Подставляем в систему найденные значения:
 
20326,6=20a+b15463
16012284=a15463+b12478377
Решение системы:
a=(20326,6-b15463)/20
16012284=15463(20326,6-b15463)/20+b12478377
Получаем:
b=0,5673
a=577,743
=577,743+0,5673
x
2. Построение на корреляционном поле графиков
График, соответствующий эмпирическому ряду, строится по исходным значениям x
иy
.
График, соответствующий уравнению y
ср
=
a
+
bx
,
строится по исходным значениям x
и y
ср
.
Рис.1.

Вывод:
При выполнении задания была исследована зависимость между среднесписочной численностью рабочих и среднегодовой стоимостью промышленно-производственных фондов с помощью корреляционно-регрессионного метода, а именно: построена корреляционная таблица на основе проведенной группировки, вычислены относительные показатели для определения тесноты связи, построена экономико-математическая модель в виде уравнения регрессии.
Корреляционный метод анализа показал, что между среднесписочной численностью рабочих и среднегодовой стоимостью промышленно-производственных фондов существует прямая связь, по тесноте слабая.
Результаты исследования приведены в таблице 7.
Таблица 7.
| Показатели тесноты связи
|
Численное значение показателей
|
Форма связи
|
Теснота связи
|
| Коэффициент Фехнера |
0,1 |
прямая |
слабая |
| Коэф. корреляционных рангов |
0,34 |
прямая |
слабая |
| Линейный коэф. корреляции |
0,38 |
прямая |
слабая |
Полученное уравнение регрессии выражает линейную связь между данными признаками.
После нахождения его параметров (a
и b
) оно приняло вид: =577,743+0,5673
x
.
Как видим, зависимость y
от x
прямая. Т.е. с увеличением среднесписочной численности рабочих увеличивается и среднегодовая стоимость промышленно-производственных фондов. В реальной жизненной ситуации зависимость между этими показателями незначительна, и ее характер можно выявить только в конкретной ситуации.
Задание 2
Необходимо:
1.
измерить сезонные колебания методом абсолютных разностей;
2.
измерить сезонные колебания методом относительных разностей
3.
изобразить графически сезонную волну;
4.
сделать выводы.
Исходные данные:
Реализация строительных изделий, млн. руб.
| Год Месяц
|
1 |
2 |
3 |
4 |
5 |
6 |
7 |
8 |
9 |
10 |
11 |
12 |
| 1996 |
12,7 |
11,5 |
12 |
45,6 |
40,4 |
80 |
42 |
23,4 |
14,1 |
14,6 |
16,3 |
18 |
| 1997 |
16,3 |
17,4 |
18,4 |
78,9 |
67,3 |
66,6 |
42,7 |
39,9 |
28,9 |
25,2 |
27,9 |
30,5 |
| 1998 |
23,6 |
14 |
17,4 |
94,8 |
76,7 |
51,4 |
21,2 |
14,2 |
13,5 |
23,2 |
30,4 |
21,9 |
Решение.
Для определения сезонных колебаний методов абсолютных и относительных разностей необходимо рассчитать средние арифметические для каждого месяца за ряд лет и определить общую среднюю для всего ряда динамики. Эти расчёты произведём по формулам:
 
Ai
- среднемесячная за i-й месяц за ряд лет;
n – количество лет;
Aобщ
– общая средняя для всего ряда;
N – количество месяцев.
Средняя арифметическая по каждому месяцу,
Ai
:
| Месяц |
1
|
2
|
3
|
4
|
5
|
6
|
7
|
8
|
9
|
10
|
11
|
12
|
| Ai
|
17,53 |
14,30 |
15,93 |
73,10 |
61,47 |
66,00 |
35,30 |
25,83 |
18,83 |
21,00 |
24,87 |
23,47 |
Общая средняя месячная для всего года,
Aобщ
:
общ
=331,68/12=27,64
Определение сезонных колебаний методом абсолютных разностей:
Абсолютное отклонение вычисляется по формуле:

| Месяц |
1
|
2
|
3
|
4
|
5
|
6
|
7
|
8
|
9
|
10
|
11
|
12
|
| А
|
-10,11 |
-13,34 |
-11,71 |
45,46 |
33,83 |
38,36 |
7,66 |
-1,81 |
-6,64 |
-8,82 |
-2,77 |
-4,17 |
Определение сезонных колебаний методом относительных разностей:

| Месяц |
1
|
2
|
3
|
4
|
5
|
6
|
7
|
8
|
9
|
10
|
11
|
12
|
| О,%
|
-36,58 |
-48,26 |
42,37 |
164,47 |
122,4 |
138,78 |
27,71 |
-6,55 |
-31,87 |
-24,02 |
-10,02 |
-15,09 |
Построение сезонной волны на основании абсолютных отклонений:
Рис.2

Вывод:
При помощи расчета абсолютных разностей были определены внутригодичные колебания реализации строительных изделий, вызываемые сменой времен года и обладающие тенденцией повторяться в течение трех лет, с помощью относительных разностей были получены изменения реализации строительных изделий в %. На рис.2 изображена сезонная волна, характеризующая тенденции колебания реализации строительных изделий. Как видим, продажи максимальны в апреле-июне, а минимальны - в январе и феврале. Эти изменения могут быть связаны с конкретно сложившейся ситуацией на рынке данного продукта, изменением спроса на строительные изделия в связи с предпочтением проведения строительных работ в теплое (но не жаркое) время года, сезонными колебаниями стоимости ресурсов, необходимых для изготовления стройматериалов (например древесины), вызывающих соответственно колебания стоимости и самих материалов и т.п.
Задание 3
Динамика средних цен и объема продажи на двух рынках города характеризуется следующими данными:
| Овощи |
Количество проданных овощей, кг |
Средняя цена за 1 кг, тыс. руб. |
| Базисный период |
Отчетный период |
Базисный период |
Отчетный период |
Рынок №1
огурцы
помидоры
|
2500
1700
|
2800
2100
|
0,8
3,02
|
0,95
2,8
|
Рынок №2
огурцы
|
4200 |
4000 |
1,28 |
1,45 |
На основании имеющихся данных вычислить:
1. Для рынка №1(по двум видам овощей в целом):
а) Общий индекс выручки от реализации овощей;
б) Общий индекс цен;
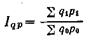
в) Общий индекс физического объема проданных овощей.
Определить в отчетном периоде по сравнению с базисным абсолютный прирост выручки от реализации овощей и разложить его по факторам (за счет изменения цен и объема продажи овощей). Показать взаимосвязь между исчисленными индексами.
2. Для двух рынков в целом (по огурцам):
а) Индекс цен переменного состава;
б) Индекс цен постоянного состава;
в) Индекс влияния изменения структуры объема продаж огурцов на динамику средней цены.
Объяснить различие между полученными величинами индексов.
Определить общее абсолютное изменение средней цены огурцов в отчетном периоде по сравнению с базисным и разложить его по факторам за счет непосредственного
изменения уровня цен огурцов и изменения структуры продажи огурцов. Сформулировать выводы.
Решение.
1)
для рынка №1 (по двум видам продуктов в целом):
а) общий индекс выручки от реализации продуктов:
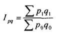
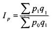
Ipq=(0,95*2800+2,8*2100)/(0,8*2500+3,02*1700)=1,197
Общая выручка от реализации продукции по двум видам в целом увеличилась на 19,7%.
В отчетном периоде по сравнению с базисным абсолютное изменение выручки от реализации продуктов составило = 
=8540-7134=1406 (тыс. руб.);
б)общий индекс цен:
Ip=
(0,95*2800+2,8*2100)/(0,8*2800+3,02*2100)=0,995
Цена по двум видам продукции в целом уменьшилась на 0,5%.
Увеличение выручки за счет изменения уровня цен составило
=8540-8582=-42 (тыс. руб.);
в) общий индекс физического объема проданных продуктов:
Iq=(2800*0,8+2100*3,02)/(2500*0,8+1700*3,02)=1,203
Физический объем проданной продукции по двум видам в целом увеличился на 20,3%.
В абсолютном выражении увеличение выручки за счет изменения объема реализации составило
=8582-7134=1448 (тыс. руб.).
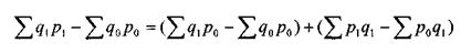
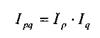
Таким образом, имеет место взаимосвязь индексов (относительного изменения показателей):
(в данном примере 1,197=1,203*0,995), а также абсолютных изменений:

(в данном примере 1406=1448-42),т.е. общее изменение выручки от реализации продуктов равно сумме приростов выручки за счет изменения уровня цен и за счет изменения объема продаж.
2)
для двух рынков в целом (по огурцам):
а) индекс цен переменного состава
Iпс=1,244/1,1=1,131,
т. е. средняя цена повысилась на 13,1% за счет изменения среднего уровня цены на огурцы и за счет изменения в структуре продажи огурцов.
б) индекс цен постоянного состава
Iфс=(0,95*2800+1,45*4000)/(0,8*2800+1,28*4000)=1,150,
т. е. средняя цена на огурцы увеличилась на 15,0% за счет изменения среднего уровня цен.
в) индекс влияния изменения структуры реализации продуктов на динамику
цены:
Iстр.сдв.=Iпер.с./Iпост.с.=1,131/1,150=0,983,
т. е. средняя цена на огурцы уменьшилась на 1,7% за счет уменьшения продаж.
Полученные индексы различаются между собой из-за влияния на них различных факторов:
на индекс цен переменного состава оказывает влияние два фактора: изменение уровня цен на продукцию; изменение в структуре продаж;
на индекс постоянного состава влияет только один фактор – изменение уровня цен на продукцию;
на индекс структурных сдвигов влияет также один фактор – изменение в структуре продаж.
Общее абсолютное изменение средней цены:
D
p
=
S
p
1
q
1
/
S
q
1
-
S
p
0
q
0
/
S
q
0
Dp=1,244-1,1=0,144 (тыс. руб.)
Разложим общее абсолютное изменение средней по факторам цены:
D
p
p
=
S
p
1
q
1
/
S
q
1
-
S
p
0
q
1
/
S
q
1
Dpp=1,244-1,096=0,148 (тыс. руб.) – изменение средней цены за счет изменения уровня цен;
D
p
q
=
S
p
0
q
1
/
S
q
1
-
S
p
0
q
0
/
S
q
0
Dpq=1,096-1,1=-0,004 (тыс. руб.) – изменение средней цены за счет изменения структуры продаж огурцов.
Общее абсолютное изменение средней цены огурцов в отчетном периоде по сравнению с базисным:
Dp=0,148-0,004=0,144, т. е.
Цена на огурцы в отчетном периоде по сравнению с базисным увеличилась на 0,144 тыс. руб. Ее изменение было вызвано изменениями в структуре продаж огурцов (средняя цена возросла на 0,148 тыс. руб.) и за счет непосредственного изменения уровня цен (уменьшилась на 0,004 тыс. руб.). Таким образом, на изменение цен может оказывать влияние несколько факторов. В данном случае изменение в структуре продаж оказалось решающим.
Заключение
Итак, в данной курсовой работе была рассмотрена такая отрасль экономической статистики, как статистика торговли, которая занимает важное место в системе отраслевых статистических дисциплин, так как имеет большое значение для характеристики материального и культурного уровня народа.
Статистика торговли включает в себя множество разделов, центральным из которых является статистика товарооборота. Тесно связана со статистикой товарооборота статистика товарных запасов, определяющая их объём и состав в товаропроводящей сети. Важный раздел статистики торговли - статистика государственных розничных цен, характеризующая их динамику при помощи индекса цен. Статистика издержек обращения и рентабельности торговых организаций даёт сведения об общей сумме издержек обращения в оптовой и розничной торговле. Статистика материальной базы торговли изучает динамику, состав, размещение и техническое оснащение оптовой и розничной торговой сети и сети общественного питания.
Основные источники статистики торговли - отчётность государственных и кооперативных торговых организаций и предприятий, а также единовременные обследования и переписи, посвященные главным образом характеристике качественного состояния материальной базы торговли и эффективности новых форм обслуживания покупателей.
Были раскрыты основные задачи, стоящие перед статистикой торговли, заключающиеся во всесторонней, достоверной и объективной характеристике состояния и развития товарного обращения предметов потребления, систематическом наблюдении и контроле за ходом выполнения государственных планов развития торговли в целом и за эффективностью деятельности отдельных торговых предприятий, что позволяет научно обоснованно воздействовать на товарный рынок, успешно прогнозировать развитие торговли и на этой основе осуществлять управление и планирование этой важной отрасли народного хозяйства.
Также в данной работе посредством расчета коэффициента корреляции Фехнера, коэффициента корреляционных рангов и линейного коэффициента корреляции, методов абсолютных и относительных разностей и исчисления индексов были проанализированы реальные экономические ситуации, доказана применимость данных методов статистики на практике.
В задании №1 практической части была исследована зависимость между среднесписочной численностью рабочих и среднегодовой стоимостью промышленно-производственных фондов с помощью корреляционно-регрессионного метода, а именно: построена корреляционная таблица на основе проведенной группировки, вычислены относительные показатели для определения тесноты связи (коэффициент Фехнера равен 0,1; коэф. корреляционных рангов - 0,34; линейный коэф. корреляции - 0,38), построена экономико-математическая модель в виде уравнения регрессии ( =577,743+0,5673
x
).
Корреляционный метод анализа показал, что между среднесписочной численностью рабочих и среднегодовой стоимостью промышленно-производственных фондов существует прямая связь, по тесноте слабая.
В задании №2 при помощи расчета абсолютных разностей были определены внутригодичные колебания реализации строительных изделий, вызываемые сменой времен года и обладающие тенденцией повторяться в течение трех лет, с помощью относительных разностей были получены изменения реализации строительных изделий в %. Были выдвинуты возможные причины колебаний реализации строительных изделий: эти изменения могут быть связаны с конкретно сложившейся ситуацией на рынке данного продукта, изменением спроса на строительные изделия в связи с предпочтением проведения строительных работ в теплое (но не жаркое) время года, сезонными колебаниями стоимости ресурсов, необходимых для изготовления стройматериалов (например древесины), вызывающих соответственно колебания стоимости и самих материалов и т.п.
В задании №3 были вычислены для рынка №1(по двум видам овощей в целом):
г) Общий индекс выручки от реализации овощей (1,197);
д) Общий индекс цен (0,995);
е) Общий индекс физического объема проданных овощей (1,203).
Определили в отчетном периоде по сравнению с базисным абсолютный прирост выручки от реализации овощей (1406 тыс. руб.) и разложили его по факторам (за счет изменения цен -42 тыс. руб. и объема продажи овощей 1448 тыс. руб.). Таким образом, имеет место взаимосвязь индексов (относительного изменения показателей):
(в данном примере 1,197=1,203*0,995), а также абсолютных изменений:

(в данном примере 1406=1448-42),т.е. общее изменение выручки от реализации продуктов равно сумме приростов выручки за счет изменения уровня цен и за счет изменения объема продаж.
Для двух рынков в целом (по огурцам):
г) Индекс цен переменного состава (1,131);
д) Индекс цен постоянного состава (1,150);
е) Индекс влияния изменения структуры объема продаж огурцов на динамику средней цены (0,983).
Полученные индексы различаются между собой из-за влияния на них различных факторов:
на индекс цен переменного состава оказывает влияние два фактора: изменение уровня цен на продукцию; изменение в структуре продаж;
на индекс постоянного состава влияет только один фактор – изменение уровня цен на продукцию;
на индекс структурных сдвигов влияет также один фактор – изменение в структуре продаж.
Определить общее абсолютное изменение средней цены огурцов в отчетном периоде по сравнению с базисным (0,144 тыс. руб.) и разложить его по факторам за счет непосредственного изменения уровня цен огурцов (0,148 тыс. руб.) и изменения структуры продажи огурцов (-0,004 тыс. руб.).
Таким образом, на изменение цен может оказывать влияние несколько факторов. В данном случае изменение в структуре продаж оказалось решающим.
|