Федеральное государственное образовательное учреждение высшего профессионального образования
«Астраханский Государственный Технический Университет»
Институт экономики
Кафедра: «Экономика бизнеса и финансы».
Курсовая работа
По дисциплине: «Финансовый менеджмент»
на тему: «Оборотные средства»
(на примере ОАО «Волгоградский кислородный завод»)
Выполнил:
студент гр
Научный
руководитель:
2009
Содержание:
Введение………………………………………………………………………………………..…….....3
Глава
I
. Технико-экономическая характеристика
ОАО «
Волгоградский кислородный завод»
2.1 Историческая справка предприятия……………………………………………………….……30
2.2 Структура управления и производства ОАО «
Волгоградский кислородный завод
»....33
2.3 Анализ финансово-экономических показателей деятельности предприятия ......................48
Глава
II
.
1.1. Сущность и функции прибыли и классификация видов прибыли……………..…….….…...5
1.2. Факторы, влияющие на прибыль предприятия.………………….……..…….………10
1.3
Цель, задачи и схема проведения анализа прибыли на предприятии
………
….…...17
1.4
Этапы проведения анализа прибыли на предприятии
.
…………………………...……....18
Глава
III
. Управление оборотными активами предприятия на примере ОАО «Волгоградский кислородный завод»
3.1 Анализ динамики оборотных активов предприятия………………………..….……..41
3.2 Анализ оборачиваемости оборотных средств……
…………………………………………45
3.3
Анализ рентабельности оборотных
средств
……….…………………………..…...........
47
3.4
Анализ движения денежных средств
…………………………………………………….
51
3.5
Анализ
дебиторской задолженности
………………………………………………………….53
Заключение……………………………………………………………………………………………….55
Список использованной литературы………………………………………………………………....59
Приложение 1………………………………………………………..………………….………………..61
Приложение 2……………………………………………………………………………….…………....62
Приложение 3……………………………………………………………………………….…………....63
Приложение 4………………………………………………………………………………….….……...64
Приложение 5…………………………………………………………………………………….……....65
Приложение 6……………………………………………………………………………………….…....66
Приложение 7 (Бухгалтерский баланс)…………………………………………………….…..……..67
Введение
Актуальность выбранной темы курсовой работы связана с тем, что с переходом от административно-командных методов управления экономикой к рыночным значительно изменилась роль оборотных средств в развитии экономики России. Оборотные средства занимает одно из центральных мест в общей системе стоимостных инструментов и рычагов рыночной экономики, поскольку финансы, кредит, цены, себестоимость и другие экономические рычаги прямо или косвенно связаны с прибылью. От прибыли зависит финансовое положение предприятий, уровень удовлетворения личных и общественных потребностей работников. Кроме того за счет платежей из прибыли в бюджет формируется основная часть ресурсов государства, региональных и местных органов власти.
Забиваем Сайты В ТОП КУВАЛДОЙ - Уникальные возможности от SeoHammer
Каждая ссылка анализируется по трем пакетам оценки: SEO, Трафик и SMM.
SeoHammer делает продвижение сайта прозрачным и простым занятием.
Ссылки, вечные ссылки, статьи, упоминания, пресс-релизы - используйте по максимуму потенциал SeoHammer для продвижения вашего сайта.
Что умеет делать SeoHammer
— Продвижение в один клик, интеллектуальный подбор запросов, покупка самых лучших ссылок с высокой степенью качества у лучших бирж ссылок.
— Регулярная проверка качества ссылок по более чем 100 показателям и ежедневный пересчет показателей качества проекта.
— Все известные форматы ссылок: арендные ссылки, вечные ссылки, публикации (упоминания, мнения, отзывы, статьи, пресс-релизы).
— SeoHammer покажет, где рост или падение, а также запросы, на которые нужно обратить внимание.
SeoHammer еще предоставляет технологию Буст, она ускоряет продвижение в десятки раз,
а первые результаты появляются уже в течение первых 7 дней.
Зарегистрироваться и Начать продвижение
Категория прибыли является предметом исследования многих ученых экономистов. Большой вклад в разработку теоретических и практических аспектов прибыли внесли такие ученые, как Ковалев В.В., Бланк И.А., Яцюк Н.А., Чернов В.И., Шамхалов Ф.Р. и другие.
Прибыль является одной из самых сложных экономических категорий. В процессе финансово-хозяйственной деятельности предриятия получают прибыль как вознограждение за создаваемые в процессе этой деятельности общественные ценности. И для того чтобы иметь четкую информацию об эффективности деятельности предприятия, о полноте получаемой прибыли, о резервах ее увеличения и других качественных и количественных характеристик прибыли необходимо использовать систему проведения анализа прибыли.
Анализ прибыли дает возможность понять, каким образом формируется прибыль предприятия, какие факторы оказывают наибольшее влияние на изменение объема прибыли, а также отображает динамические изменения прибыли по всем ее составляющим за анализируемые периоды времени. Объектом исследования является финансово-хозяйственная деятельность предприятия ОАО «
Волгоградский кислородный завод».
Предметом исследования является оборотные средства предприятия, всех их видов и факторов, влияющих на их формирование.
Целью
моей работы является изучение системы проведения анализа прибыли на примере ОАО «
Волгоградский речной порт».
В работе поставлены следующие задачи:
1. Определение сущности и содержания оборотных средств;
2. Изучение основных методов определения эфективности управления оборотными средствами предприятия;
3. Выявление основных факторов, влияющих на формирование оборотных средств;
4. Дать общую характеристику предприятия и финансово-хозяйственной деятельности;
5. Провести анализ оборотных средств;
6. Формулировка и обоснование рекомендаций по улучшению использования оборотных средств предприятия.
Сервис онлайн-записи на собственном Telegram-боте
Попробуйте сервис онлайн-записи VisitTime на основе вашего собственного Telegram-бота:
— Разгрузит мастера, специалиста или компанию;
— Позволит гибко управлять расписанием и загрузкой;
— Разошлет оповещения о новых услугах или акциях;
— Позволит принять оплату на карту/кошелек/счет;
— Позволит записываться на групповые и персональные посещения;
— Поможет получить от клиента отзывы о визите к вам;
— Включает в себя сервис чаевых.
Для новых пользователей первый месяц бесплатно.
Зарегистрироваться в сервисе
При проведении исследования изучены законодательно-нормативная основа предпринимательской деятельности и формирования оборотных средств (ГК РФ), а также Бухгалтерский баланс и Отчет о прибылях и убытках ОАО «Волгоградский кислородный завод». Также изучены труды российских и зарубежных ученых экономистов (монографии, учебники, статьи из периодических изданий)1
.
Глава
I
. Прибыль, как экономическая категория и системы проведения анализа прибыли
1.1 Сущность и функции прибыли
Прибыльпредставляет собой выраженный в денежной форме чистый доход предпринимателя на вложенный капитал, ха-рактеризующий его вознаграждение за риск осуществле-ния предпринимательской деятельности, представляющий собой разницу между совокупным доходом и совокупными затратами в процессе осуществления этой деятельности[2]
.
Прибыль как важнейшая категория рыночных отношений выполняет следующие основные функции:
1. Прибыль является показателем, наиболее полно отражающим эффективность производства и оценивающим хозяйственную деятельность предприятия (оценочная функция).
2. Прибыль оказывает стимулирующее воздействие на повышение эффективности финансово-хозяйственной деятельности предприятия (стимулирующая функция).
3. Прибыль является источником формирования бюджетных ресурсов и внебюджетных фондов (фискальная функция).
 Рис. 1
Значение прибыли состоит в том, что она отражает финансовый результат, отражающий эффективность производства, объем и качество произведенной продукции, состояние производительности труда, уровень расходов и т. д. Вместе с тем на величину прибыли и ее динамику воздействуют факторы, как зависящие, так и не зависящие от усилий предприятия. Практически вне сферы воздействия предприятия находится конъюнктура рынка, уровень цен на потребляемые материально-сырьевые и топливно-энергетические ресурсы, нормы амортизационных отчислений. В известной степени, зависят от предприятия такие факторы, как уровень цен на производимую и продаваемую продукцию и заработная плата. К факторам, зависящим от предприятия, относятся уровень хозяйствования, компетентность руководства и менеджеров, конкурентоспособность продукции, организация производства и труда, его производительность, состояние и эффективность производственного и финансового планирования.
Перечисленные факторы влияют на прибыль не прямо, а через объем проданной продукции и себестоимость, поэтому для выявления конечного финансового результата необходимо сопоставить стоимость объема проданной продукции и стоимость ресурсов, используемых в производстве, затрат на ее продажу.
Содержание стимулирующей функции прибыли состоит в том, что прибыль одновременно является финансовым результатом и основным источником собственных финансовых ресурсов предприятия. За счет доли чистой прибыли, оставшейся в распоряжении предприятия после уплаты налогов и других обязательных платежей, осуществляется финансирование мероприятий по расширению производственной деятельности, научно-техническому и социальному развитию предприятий, материального поощрения работников.
Стремление к получению прибыли ориентирует товаропроизводителей на увеличение объема производства продукции, нужной потребителю, снижение затрат на производство. При развитой конкуренции этим достигается не только цель предпринимательства, но и удовлетворение общественных потребностей.
Наконец, прибыль является одним из источников формирования бюджетов разных уровней, внебюджетных фондов. Она поступает в бюджеты в виде налогов и наряду с другими доходными поступлениями используется для финансирования общественных потребностей, обеспечения выполнения государством своих функций, государственных инвестиционных, производственных, научно-технических и социальных программ.
Под общим понятием "прибыль" понимаются самые различные ее виды, характеризуемые в настоящее время несколькими десятками терминов. Все это требует определенной систематизации используемых терминов. Такая систематизация, проведенная лишь по наиболее важным классификационным признакам[3]
, приведена в Таблице 1.1.1 (см. Приложение 1).
Рассмотрим виды прибыли предприятия в соответствии с приведенной ее систематизацией по основным признакам:
(+/-)
(+/-)
| Сальдо прочих доходов и расходов |
|
(+/-)
(+/-)
Рис. 2 Модель хозяйственного механизма предприятия,
основанная на формировании прибыли
Балансовая прибыль (прибыль до налогообложения) — это сумма прибылей (убытков) предприятия как от реализации продукции, так и доходов (убытков), не связанных с ее производством и реализацией. Под реализацией продукции понимается не только продажа произведенных товаров, имеющих натурально-вещественную форму, но и выполнение работ, оказание услуг. Балансовая прибыль как конечный финансовый результат выявляется на основании бухгалтерского учета всех хозяйственных операций предприятия и оценки статей баланса. Использование термина "балансовая прибыль" связано с тем, что конечный финансовый результат работы предприятия отражается в его балансе, составляемом по итогам квартала, года.
Прибыль от реализации продукции —
товаров, работ, услуг — является основным ее видом на предприятии, непосредственно связанным с отраслевой спецификой их деятельности и характеризует чистый доход, созданный на предприятии. Остальные элементы балансовой прибыли отражают в основном перераспределение ранее созданных доходов. Прибыль от реализации продукции равен разнице между валовой прибылью и суммой коммерческих и управленческих расходов.
Финансовый результат (валовая прибыль) полученный от реализации продукции, выполнению работ, оказанию услуг равен разнице между выручкой от реализации продукции (работ, услуг) в действующих ценах и затратами на ее производство.
Выручка принимается в расчет без налога на добавленную стоимость и акцизов, которые, являясь косвенными налогами, поступают в бюджет. Из выручки также исключается сумма наценок (скидок), поступающая торговым и снабженческо-сбытовым предприятиям, участвующим в сбыте продукции.
Состав затрат на производство и реализацию продукции (работ, услуг), включаемых в себестоимость, регулируется законодательно. Затраты, образующие себестоимость, группируются по следующим элементам: материальные затраты, затраты на оплату труда, отчисления на социальные нужды, амортизация основных фондов и прочие.
По реализации продукции, имеющей натурально-вещественную форму, расчет прибыли ведется исходя из выручки и полной себестоимости продукции, определяемых на объем реализуемой продукции. В натуральном выражении он включает - остатки готовой продукции на начало отчетного периода, не реализованные в предшествующем периоде, и выпуск товарной продукции отчетного периода за минусом той части продукции, которая не может быть реализована в конце отчетного периода. Под периодом понимается квартал или год. Состав остатков нереализованной продукции на начало и конец периода зависит от избранного предприятием метода учета выручки - по поступлению денег на расчетный счет (в кассу) предприятия или по отгрузке продукции, расчетные документы по которой предъявлены покупателю.
Предприятия выплачивает соответствующую величину налога на прибыль в бюджетную систему Российской Федерации, при этом учитываются льготы по налогу на прибыль, после чего получаем величину прибыли от обычной деятельности.
Действующие нормативные документы определяют, что за счет прибыли предприятия должны оплачиваться еще и штрафы в таких случаях: за нарушение хозяйственных договоров с субъектами хозяйствования; за несвоевременную подачу в налоговую администрацию необходимых расчетов; за задержку перерасчета денег в бюджет и государственные целевые фонды; за укрывание прибыли от налогообложения; за другие нарушения.
Оставшаяся часть представляет собой остаточную прибыль (или чистую прибыль), которая полностью поступает в распоряжение предприятия. Она направляется на оплату труда и материальное поощрение, на прирост оборотных средств, капитальных вложений, социальное развитие путем образования соответствующих фондов: развития науки и техники, социального развития, материального поощрения.
Таким образом, в условиях перехода к рынку и в его дальнейшем становлении прибыль является основным побудительным мотивом организации производственной и хозяйственно-коммерческой деятельности предприятия.
1.2 Факторы, влияющие на прибыль предприятия
Целью анализа является оценка прошлой деятельности и положения предприятия на данный момент. Прибыль формируется под воздействием большого количества взаимосвязанных факторов, которые влияют на результаты деятельности предприятия разнонаправленно: одни – положительно, другие – отрицательно. Более того, отрицательное воздействие одних факторов способно снизить или даже свести на нет положительное влияние других. Многообразие факторов не позволяет их четко ограничить, и обуславливает их группировку. Учитывая, что предприятие является одновременно и субъектом, и объектом экономических отношений, то наиболее важным представляется деление их на внешние и внутренние.
Многообразие факторов, влияющих на прибыль, требует их классификации, которая в то же время имеет важное значение для определения основных направлений поиска резервов повышения эффективности хозяйствования.
Ивашковский С.Н. предлагает следующую классификацию факторов, влияющих на размер прибыли[4]
. Он выделяет три группы факторов прибыли:
· В сфере производства: его объем, качество продукции, ассортимент, уровень оптовых цен и т.д.
· В сфере обращения: организация оперативной работы по реализации продукции, соблюдение условий договоров, взаимосвязь с потребителями и т.д.
· Факторы, не зависящие от деятельности предприятия: перебои в материально-техническом снабжении, несвоевременная подача транспорта под отгрузку готовой продукции и др.
Недостатком концепции Ивашковского С.Н. является то, что она не позволяет правильно и грамотно оценить сложившуюся ситуацию, положение предприятия на рынке, финансовое положение предприятия и следовательно способствует принятию эффективного управленческого решения с целью увеличения прибыли. эффективное управленческое решение с целью увеличения прибыли.
Классификация факторов С.Н. Ивашковского, рассмотренная выше, на наш взгляд не в полной мере показывает градацию факторов прибыли. Наиболее интересной в этом смысле является концепция И.А. Бланка, позволяющая дать системную классификацию факторов прибыли. Данная классификация[5]
дана на рисунке 3.
Рис. 3 Классификация факторов, влияющих на прибыль
При этом факторы, влияющие на прибыль, классифицируются по разным признакам. Так, выделяют факторы внешние и внутренние. Внутренние факторы
– факторы, которые зависят от деятельности самого предприятия и характеризуют стороны работы коллектива. Внешние факторы
– факторы, не зависящие от деятельности самого предприятия. Однако, они могут оказывать существенное влияние на прибыль. В процессе анализа влияние внутренних и внешних факторов дает возможность «очистить» показатели эффективности от внешних воздействий, что имеет важное значение для объективной оценки собственных достижений коллектива.
В свою очередь внутренние факторы подразделяются на внепроизводственные и производственные.
К внепроизводственным факторам
относят: организация реализации продукции, снабжение товарно-материальными ценностями, организация экономической и финансовой работы, природоохранная деятельность, социальные условия труда и быта работников предприятия.
Производственные факторы
отражают наличие и использование основных элементов производственного процесса, участвующих в формировании прибыли, - это средства труда, предметы труда и сам труд.
В процессе осуществления хозяйственной деятельности предприятия, связанной с производством, реализацией продукции и получением прибыли, эти факторы находятся в тесной зависимости и взаимосвязи.
Среди многообразия внешних факторов
, которые можно встретить в современной литературе, можно выделить основные из них[6]
:
1. степень политической стабильности;
2. состояние экономики государства;
3. демографическая ситуация в стране;
4. конъюнктура рынка, в том числе рынка потребительских товаров;
5. темпы инфляции;
6. ставка процента за кредит;
7. государственное регулирование экономики;
8. платежеспособный спрос потребителей - динамика и колебание платежеспособного спроса предопределяет стабильность получения торговой выручки;
9. цены, устанавливаемые поставщиками товаров – так как повышение закупочных цен не всегда сопровождается адекватным повышением продажных цен. Розничные торговые предприятия часть повышения цен поставщиками зачастую компенсируют за счет снижения доли собственной прибыли в розничной цене товаров. Повышение же цен на услуги транспортных предприятий, коммунального хозяйства и других аналогичных предприятий напрямую увеличивает текущие расходы торгового предприятия, тем самым уменьшая прибыль;
10. налоговая и кредитная политика государства;
11. развитие деятельности общественных организаций потребителей товаров и услуг;
12. развитие профсоюзного движения;
13. экономические условия хозяйствования;
14. емкость рынка.
К внутренним факторам относятся
:
1) объем валового дохода;
2) производительность труда работников;
3) скорость оборачиваемости товаров;
4) наличие собственных оборотных средств;
5) эффективность использования основных фондов;
6) объем розничного товарооборота – так как неизменной доли прибыли в цене товара рост объема продажи позволяет увеличить сумму прибыли. При наращивании объема товарооборота необходимо помнить о его структуре, так как прибыльность тех или иных товарных групп различна. Разумеется, нельзя отдавать предпочтение только высокорентабельным товарам, лишь рационализация структуры товарооборота позволит достичь нормального уровня прибыли
7) порядок ценообразования - важно выбрать правильную коммерческую стратегию, потому что рост доли прибыли в составе торговой надбавки может привести к снижению объема реализации товаров из-за высоких цен. Но логичным следствием может стать в некоторых случаях снижение уровня торговой надбавки для ускорения реализации товаров (например, дифференцированная уценка товаров, в том числе сезонная, праздничная или разовая). Это позволит увеличить сумму прибыли за счет объема товарооборота и за счет ускорения оборачиваемости оборотных средств: чем меньше срок реализации товаров, тем большую суму прибыли получает предприятие в единицу времени. Также очевидно, чем большей суммой оборотных средств располагает предприятие, тем больше прибыли оно получит в результате одного их оборота. При этом важна не только общая сумма оборотных средств, но и соотношение между собственными и заемными средствами, поскольку использование кредитов увеличивает издержки торгового предприятия;
8) уровень издержек обращения - при неизменной величине торговой надбавки за счет снижения расходов предприятия можно увеличить сумму получаемой прибыли. Осуществление режима экономии позволяет снижать текущие затраты предприятия. При этом необходимо учитывать, что под режимом экономии понимается не абсолютное, а относительное снижение издержек обращения.
9) структура товарной продукции может оказывать как положительное, так и отрицательное влияние на сумму прибыли. Если увеличится доля более рентабельных видов продукции в общем объеме ее реализации, то сумма прибыли возрастет, и наоборот, при увеличении удельного веса низкорентабельной или убыточной продукции общая сумма прибыли уменьшится.
10)средства труда;
11) предметы труда;
12)трудовые ресурсы.
По каждому из этих двух групп выделяются следующие виды:
1. экстенсивные факторы;
2. интенсивные факторы.
К экстенсивным относятся факторы, которые отражают объем производственных ресурсов (например, изменение численности работников, стоимости основных фондов), их использования по времени (изменение продолжительности рабочего дня, коэффициента сменности оборудования и др.), а также непроизводительное использование ресурсов (затраты материалов на брак, потери из-за отходов). К интенсивным относятся факторы, отражающие эффективность использования ресурсов или способствующих этому (например, повышение квалификации работников, производительности оборудования, внедрение прогрессивных технологий).
Внешние и внутренние факторы тесно связаны между собой. Но внутренние факторы напрямую зависят от организации работы самого предприятия.
Степень влияния вышеназванных факторов зависит не только от соотношения их самих, но и от стадии жизненного цикла предприятия, от компетенции и профессионализма его менеджеров. Практика показывает, что влияние отдельных факторов количественно оценить невозможно. К примеру, деловая репутация предприятия, то есть сформировавшееся мнение о предприятии на рынке по различным аспектам его деятельности (потенциальные возможности, кредитоспособность, качество реализуемых товаров, уровень качества обслуживания и т.п.), основой которого является безусловное выполнение обязательств и установление многолетних традиций работы.
Необходимо отметить, что отдельные составляющие издержек (амортизация, материальные затраты или заработная плата) и виды авансированных средств (стоимость основных и оборотных средств, трудовые ресурсы) под влиянием одних и тех же факторов могут изменяться по-разному, иногда в противоположном направлении, и оказывать различное влияние на прибыль. Например, предприятие может добиться снижения затрат на производство продукции, при этом возможно увеличение прибыли. При нерациональном использовании основных и оборотных средств, например, при наличии неиспользуемого оборудования, оно будет иметь излишние запасы товарно-материальных ценностей.
Средства труда, предметы труда и трудовые ресурсы являются не только факторами формирования прибыли, но одновременно служат основой для определения направлений поиска резервов ее повышения. Их рациональное эффективное использование способствует увеличению выпуска продукции в натуральном выражении, повышению качества изделий. В результате уменьшается объем применяемых и расходуемых средств на производство единицы продукции, что находит отражение в снижении материалоемкости, фондоемкости, трудоемкости, себестоимости конкретных изделий, и наоборот, нерациональное использование ресурсов приводит к увеличению их объема на единицу вырабатываемой продукции. Это снижает показатели, характеризующие интенсивность развития и эффективность хозяйствования.
Себестоимость продукции и прибыль находятся в обратно пропорциональной зависимости: снижение себестоимости приводит к соответствующему росту суммы прибыли и наоборот.
Изменение уровня среднереализационных цен и величина прибыли находятся в прямо пропорциональной зависимости: при увеличении уровня цен сумма прибыли возрастает и наоборот.
Анализ прибыли производится по плановым и фактическим данным финансового и планово-экономического отделов, бухгалтерии, а также форм годовой и периодической отчетности.
Важное значение имеет анализ прибыли, который производится по отдельным ее источникам. Особое внимание в процессе анализа прибыли следует обратить на наиболее значимую статью ее формирования – прибыль (убыток) от реализации товаров, продукции, работ, услуг как важнейшую составляющую прибыли предприятия, которая зачастую по своему объему превышает балансовую прибыль. Чтобы осуществить данный анализ наиболее удобным и широко используемым является факторный анализ прибыли от реализации. При проведении данного исследования определяется влияние объема и структуры товарооборота, валового дохода от реализации, издержки обращения.
Рекомендуется проводить многофакторный анализ изменения прибыли от реализации продукции в отчетном периоде по сравнением с предыдущим под воздействием факторов, оказывающих либо положительное, либо отрицательное влияние на ее изменение. Материалами для анализа прибыли является годовой бухгалтерский баланс, отчет по форме № 2 «Отчет о прибылях и убытках».
1.3 Цель, задачи и схема проведения анализа
прибыли
на предприятии
Целью проведения анализа прибыли на предприятии является изучения всех аспектов ее формирования и получения финансово-экономической информации, характеризующей эффективность и рентабельность деятельности предприятия.
С данной целью могут быть поставлены следующие задачи:
1. Проведение наиболее важных, и касающихся специфики деятельности предприятия, методов анализа прибыли;
2. Экономическое обоснование полученных расчетов по каждому из проведенных методов анализа;
3. Выявление основных факторов влияющих на формирование прибыли;
4. Формулировка и обоснование предложений по улучшению системы анализа прибыли предприятия.
По целям осуществления анализ прибыли предприятия подразделяется на различные формы в зависимости от следующих признаков:
1. По масштабам деятельности выделяют следующие формы анализа прибыли: анализ прибыли по предприятию в целом; анализ прибыли по структурному подразделению; анализ прибыли по отдельной операции..
2. По объему исследования выделяют: полный анализ прибыли; тематический анализ прибыли.
3. По периоду проведения выделяют предварительный, текущий и последующий анализ прибыли: предварительный анализ прибыли; текущий (или оперативный) анализ прибыли; последующий анализ прибыли.
Схема проведения анализа прибыли предприятия.
1. горизонтальный анализ;
2. факторный анализ.
3. анализ коэффициентов;
4. интегральный анализ;
Подробное описание этапов анализа изложено в следующем разделе.
1.4 Этапы проведения анализа прибыли на предприятии.
1. Горизонтальный анализ
(или трендовый) прибылибазируется на изучении динамики отдельных ее показателей во времени. В процессе использования этой системы анализа рассчитываются темпы роста (прироста) отдельных видов прибыли, определяются общие тенденции ее изменения (или тренда). В практике анализа прибыли наибольшее распространение получили следующие виды горизонтального (трендового) анализа
:
1. Сравнение показателей формирования, распределителями предшествующего периода
(например, с показателями предшествующего месяца, квартала, года).
2. Сравнение показателей формирования, распределения и использования прибыли отчетного периода с показателями аналогичного периода прошлого года
(например, показателей третьего квартала отчетного года с аналогичным и показателя ми третьего квартала предшествующего года). Этот вид анализа применяется на предприятиях с ярко выраженными сезонными особенностями хозяйственной деятельности.
3. Сравнение показателей формирования, распределения и использования прибыли за ряд предшествующих периодов.
Целью этого вида анализа является выявление тенденций изменения отдельных изучаемых показателей прибыли в динамике. Результаты такого анализа показателей прибыли обычно оформляются графически.
Все виды горизонтального (трендового) анализа прибыли, дополняются обычно исследованием влияния отдельныхфакторов на изменение соответствующих результативных ее показателей. Результаты такого исследования позволяют построить соответствующие факторные модели, которые используются затем в процессе планирования отдельных показателей прибыли.
2.
Анализ влияния факторов на формирование прибыли до налогообложения предприятия.
Показатели факторного анализ
прибыли до налогообложения.
Табл. №1.4.1
| Факторы |
Статьи баланса Форма №2 |
Формула расчета |
| 1
|
2
|
3
|
| 1. Прибыль от продаж |
стр.50*100% / │стр. 140│ |
Прибыль от продаж / Прибыль (убыток) до налогообложения |
| 2. Полученные проценты |
стр.60*100% / │стр. 140│ |
Проценты к получению / Прибыль (убыток) до налогообложения |
| 3. Уплаченные проценты |
стр.70*100% / │стр. 140│ |
Проценты к уплате / Прибыль (убыток) до налогообложения |
| 4. Доходы от участия в др. организациях |
стр.80*100% / │стр. 140│ |
Доходы от участия в других организациях / Прибыль (убыток) до налогообложения |
| 5. Прочие операционные доходы |
стр.90*100% / │стр. 140│ |
Прочие операционные доходы / Прибыль (убыток) до налогообложения |
| 6. Прочие операционные расходы |
стр.100*100% / │стр. 140│ |
Прочие операционные расходы / Прибыль (убыток) до налогообложения |
| 7. Прочие внереализационные доходы |
стр.120*100% / │стр. 140│ |
Прочие внереализационные доходы / Прибыль (убыток) до налогообложения |
| 8. Прочие внереализационные расходы |
стр.130*100% / │стр. 140│ |
Прочие внереализационные расходы / Прибыль (убыток) до налогообложения |
| Баланс факторов (прибыль до налогообложения) |
[∑стр. 1,2,3,4,5,6,7,8] |
Прибыль от продаж / Прибыль (убыток) до налогообложения |
Факторный анализ прибыли до налогообложения дает возможность определить, какие наиболее существенные факторы повлияли на итог ее формирования.
3.
Факторный анализ
прибыли от реа- лизации
товаров
-
анализ влияния отдельных факторов на результативный показатель с помощью детерминированных или стохастических приемов исследования. Факторный анализ может быть:
· Прямой – здесь результативный показатель делят на составные части;
· Обратный (синтез) – здесь отдельные элементы соединяют в общий результативный показатель.
1.
Расчет общего изменения прибыли (∆Р)от реа- лизации товаров:
∆Р = Р1
- Р0
,
где
P1
, - прибыль отчетного года;
P0
, - прибыль базисного года.
2.
Расчет влияния на прибыль изменений отпускных цен на реализованные товары (∆Р1
):
∆Р1 = Qр1 - Qр1,0 = Σ q1*p1 - Σ q1*p0
,где
Qр1
= Σ q1*p1
- реализация в отчетном году в ценах отчетного года;
р1
— цена товара в отчетном году;
q1
— количество товаров в отчетном году;
Qр1,0
= Σ q1*p0
- реализация в отчетном году в ценах базисного года;
р0
— цена товара в базисном году.
3.
Расчет влияния на прибыль изменений в объёме товаров объема товаров в оценке по плановой (базовой) себестоимости (∆Р2
):
∆Р2
= Р0
* К1
– Р0
= Р0
* (К1
– 1 ),
где
Р0
-
прибыль базисного года;
К1
- коэффициент роста объема реализации товаров:
К1
=
S
1,0
/
S
0
, где
S1,0
—
фактическая себестоимость реализованных товаров за отчетный период в ценах и тарифах ба-зисного периода;
S0
— себестоимость базисного года (периода).
4.
Расчет влияния на прибыль изменений в объёме товаров, обусловленных изменениями в структуре товара (∆Р3
). Данный коэффициент сводится к определению разницы коэффициента роста объема реализации продукции в оценке по отпускным ценам и коэффициента роста объема реализации продукции по базисной себестоимости:
∆Р3
= Р0
* (К2
– К1
)
,
где
К2
— коэффициент роста объема реализации в оценке по отпускным ценам:
К2
=
Q
1,0
/
Q
0
,
где
Q1,0
- реализация в отчетном периоде по ценам базисного периода;
Q0
— реализация в базисном периоде.
5.
Расчет влияния на прибыль экономии от снижения себестоимости товаров (∆Р4
).
Коэффициент выражается разницей между базисной полной себестоимостью фактически реализованной продукции и фактической себестоимостью. В данном случае это влияние составило:
∆Р4
=
S
1,0
–
S
1
,где
S1,0
- себестоимость реализованных товаров отчетного периода в ценах и условиях базисного периода.
S1
— фактическая себестоимость реализованных товаров отчетного периода.
6.
Расчет влияния на прибыль экономии от снижения себестоимости товаров за счет структурных сдвигов в составе товаров (∆Р5
) исчисляется сравнением базисной полной себестоимости, скорректированной на коэффициент роста объема продукции с базисной полной себестоимостью фактически реализованной продукции:
∆Р5
=
S
0
К2
–
S
1,0
Отдельным расчетом по данным бухгалтерского учета определяется влияние на прибыль изменения цен на материалы и тарифов на услуги (∆Р6
), а также экономии, вызванной нарушениями хозяйственной дисциплины (∆Р7
).
Сумма факторных отклонений дает об- щее изменение прибыли от реализации за отчетный период, что выражается следующей формулой:
∆Р = Р1
- Р0
= ∆Р1
+ ∆Р2
+ ∆Р3
+ ∆Р4
+ ∆Р5
или
∆Р = ∑5
i
=1
Р
i
,
где
∆Р —
общее изменение прибыли;
Рi
—
изменение прибыли за счет i-го фактора.
Все рассчитанные данные сводятся в таблицу. Завершается анализ сопоставлением влияния каждого фактора на прибыль от реализации товарной продукции. Данная таблица демонстрирует более наглядно, какие именно факторы наиболее значительно влияют на прибыль от реализации. Сопоставив удельные веса каждого фактора можно сделать вывод о том, на какие факторы следует обратить особое внимание, а какие являются не значительными для прибыли предприятия.
4.
Анализ рентабельности
Показатели рентабельности деятельности предприятия.
Табл. №1.4.2
| Наименование показателя |
Способ расчета |
| 1 |
2 |
| 1. Рентабельность продаж |
R1 = Прибыль от продаж продукции (работ, услуг) / Выручка от продаж |
| 2. Общая рентабельность отчетного периода (экономическая рентабельность) |
R2 = Балансовая прибыль / Средняя за период стоимость активов |
| 3. Рентабельность собственного капитала |
R3 = Прибыль, остающаяся в распоряжении предприятия / Средняя за период величина собственного капитала |
| 4. Рентабельность внеоборотных активов |
R4 = Чистая прибыль после уплаты налога на прибыль / Средняя за период стоимость внеоборотных активов |
| 5. Рентабельность основного деятельности (окупаемость издержек) |
R5 = Прибыль от продаж или чистая прибыль / Себестоимость реализованной продукции |
| 6. Рентабельность перманентного (постоянного) капитала |
R6 = Балансовая прибыль / Средняя за период величина перманентного капитала |
| 7. Фондорентабельность |
R7 = Балансовая прибыль / Средняя за период стоимость основных средств |
Анализ коэффициентовбазируется на расчете соотношения различных абсолютных показателей между собой. Основной целью расчета и использования системы коэффициентов рентабельности является определение эффективности формирования прибыли предприятия. В процессе такой оценки должен строго соблюдаться принцип соответствия соотносимых показателей при расчете коэффициентов по конкретным видам деятельности предприятия.
Коэффициенты рентабельности могут определяться как в десятичном выражении, так и в процентах.
1. Рентабельность продаж отражает эффективность продаж, то есть показывает величину прибыли приходящейся на один рубль выручки от продаж продукции. Чем выше этот показатель, тем больше доля прибыли в сумме выручке от продаж продукции.
2. Общая рентабельность отражает эффективность деятельности предприятия в целом. Этот коэффициент показывает величину балансовой прибыли приходящейся на один рубль средней за период стоимости активов.
3. Рентабельность собственного капитала показывает, сколько прибыли, остающейся в распоряжении предприятия, приходится на один рубль средней за период величины собственного капитала.
4. Рентабельность внеоборотных активов отражает, какое количество чистой прибыли, после уплаты налога на прибыль, приходится на один рубль средней за период стоимости внеоборотных активов.
5. Рентабельность основного деятельности характеризует степень окупаемости издержек. Чем выше этот показатель, тем быстрее предприятие может окупить свои издержки.
6. Рентабельность перманентного (постоянного) капитала отражает эффективность использования собственного капитала.
7. Фондорентабельность отражает эффективность использования основных средств, и показывает величину балансовой прибыли приходящейся на один рубль средней стоимости основных средств.
Анализ рентабельность является одним из ключевых методов системы проведения анализа прибыли на предприятия. Также необходимо провести сопоставления полученных результатов рентабельности с соответствующими показателями предшествующих периодов, для отображения динамики во времени.
5.
Дюпоновская система интегрального анализа прибыли.
Эта система финансового анализа, разработанная фирмой "Дюпон" (США), предусматривает разложение показателя "коэффициент рентабельности активов" на ряд частных финансовых коэффициентов его формирования, взаимосвязанных в единой системе[7]
.
В основе этой системы анализа лежит "Модель Дюпона", в соответствии с которой коэффициент рентабельности используемых активов представляет собой произведениекоэффициента чистой рентабельности реализациипродукции на коэффициент оборачиваемости используемых активов. Для интерпретации результатов, полученных при расчете "Модели Дюпона", может быть использована специальная матрица, представленная на рисунке 4 (см. Приложение 2).
Обобщенным показателем эффективности управления финансовыми ресурсами предприятия служит рентабельность собственного капитала:

где Рск -
рентабельность собственного капитала
ЧП- чистая прибыль
СКнп, СКкп – собственный капитал на начало и конец периода соответственно
Выбор этого показателя связан с тем, что его величина зависит от решений руководителя принятых в трех сферах деятельности предприятия (финансовой, инвестиционной и основной).
Другими словами, имея первоначальный собственный капитал, руководитель может увеличить размеры прибыли, привлекая дополнительные источники финансирования, осуществляя оптимальную инвестиционную политику, эффективно управляя затратами, ценами и объемами производства.
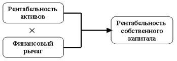
Далее проводится анализ основных составляющих бизнеса с целью определения, что в большей степени повлияло на обнаруженные изменения. Итак, на рентабельность собственного капитала прямо влияют рентабельность активов и финансовый рычаг.
Формирование показателя рентабельности собственного капитала
. Схема 1.4.1

Необходимо проанализировать эти факторы, чтобы оценить их влияние на результативный показатель. Сначала рассмотрим показатель рентабельности активов. Этот показатель, как мы уже говорили, отражает эффективность использования инвестированного капитала, и связывает основную и инвестиционную деятельность предприятия, которые характеризуются соответственно рентабельностью продаж и ресурсоотдачей.
Формирование показателя рентабельности активов.
Схема 1.4.2

Эффективность основной деятельности предприятия связана с оптимальным управлением затратами производства, объемами продаж и ценами реализации и в модели Дюпон характеризуется показателем рентабельности продаж.
Формирование показателя рентабельности продаж.
Схема 1.4.3

Изменение данного показателя может быть вызвано как внешними факторами (инфляция, конкуренция, законодательство и пр.) так и внутренними (контроль качества, структура затрат, управленческий учет и пр.).
Если предприятие имеет несколько видов основной деятельности, то анализ лучше проводить по каждому виду.
При проведении анализа динамики изменения затрат и выручки можно сделать предварительные предположения (гипотезы), - что явилось причиной таких изменений. При дальнейшем углубленном анализе эти гипотезы должны быть проверены.
Инвестиции являются главной движущей силой любого бизнеса. Инвестиции должны обеспечивать бесперебойную текущую работу (производство), также обеспечить базу для дальнейшего развития предприятия (увеличение рынка, диверсификация, повышение качества). Можно выделить три основные области инвестиций:
8. Оборотный капитал (краткосрочные инвестиции, обеспечивающие текущую деятельность).
9. Основные средства, капитальное строительство (долгосрочные инвестиции, связанные с перспективным развитием).
10. Нематериальные активы (долгосрочные инвестиции, связанные с перспективным развитием).
Для количественной оценки эффективности управления активами используется показатель оборачиваемости активов:

где Оа -
оборачиваемости активов
ВР- выручка от реализации
Анп, Акп – активы на начало и конец периода соответственно
Формирование показателя оборачиваемости активов.
Схема 1.4.4

Рост этого показателя говорит о повышении эффективности использования активов предприятия и рассматривается как положительная тенденция, снижение говорит о наличии проблем в управлении. Если оборачиваемость активов снижается, то в процессе анализа необходимо более детально изучить показатели оборачиваемости капитала и установить, на каких стадиях кругооборота произошло замедление (или ускорение) движения средств.
Нужно учитывать, что оборачиваемость активов также зависит и от органического строения капитала: чем большую долю занимает основной капитал, который оборачивается медленно, тем ниже коэффициент оборачиваемости и выше продолжительность оборота всего совокупного капитала.
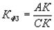
Для характеристики финансовой деятельности предприятия в модели Дюпон используется такой показатель, как финансовый леверидж (рычаг).
Он рассчитывается как отношение всего авансированного капитала предприятия к собственному капиталу:

где Кфз –
финансовый рычаг
АК, СК – авансовый и собственный капитал соответственно
т. е. характеризует соотношение между заемным и собственным капиталом. Этот показатель - один из важнейших, поскольку с ним связан выбор оптимальной структуры источников средств.
Формирование финансового рычага.
Схема 1.4.5

Чем больше относительный объем привлеченных предприятием заемных средств, тем больше сумма уплаченных по ним процентов, и тем выше уровень финансового левериджа. Следовательно, этот показатель также позволяет оценить, во сколько раз валовой доход предприятия (из которого выплачиваются проценты за кредит) превышает налогооблагаемую прибыль.
Компания, имеющая значительную долю заемного капитала, называется компанией с высоким уровнем финансового левериджа, или финансово зависимой компанией; компания, финансирующая свою деятельность только за счет собственных средств, называется финансово независимой.
Эффект финансового левериджа состоит в следующем: чем выше его значение, тем более нелинейный характер приобретает связь между валовым доходом и чистой прибылью - незначительное изменение (как возрастание, так и убывание) валового дохода при высоком финансовом леверидже может привести к значительному относительному изменению чистой прибыли.
Для двух предприятий, имеющих одинаковый объем производства, но разный уровень финансового левериджа, относительное увеличение чистой прибыли при увеличении объема производства будет неодинаковым - оно будет больше у предприятия, имеющего более высокий уровень финансового левериджа.
Однако эффект от финансирования деятельности предприятия за счет кредита банка может быть положительным, отрицательным, либо отсутствовать вообще. Основным критерием оценки эффективности финансового рычага является ставка банковского кредита. Если дополнительный доход, получаемый предприятием за счет использования кредита, превышает сумму процентов по этому кредиту, то такое финансирование выгодно и приводит к увеличению рентабельности собственного капитала. Но если фирма не получит ожидаемого дохода, то она все равно должна будет выплатить проценты по кредиту, а значит, понесет убыток.
Поэтому с категорией финансового левериджа связано понятие финансового риска. Финансовый риск - это риск, связанный с возможной нехваткой средств для выплаты процентов по ссудам и займам. Возрастание финансового левериджа связано с возрастанием рискованности данного предприятия.
Не существует универсальных правил управления уровнем левериджа. Оптимальный уровень финансового рычага зависит от многих факторов: стабильности продаж, степени насыщенности рынка продукцией данной фирмы, темпа развития компании, текущей структуры активов и пассивов, налоговой политики государства в отношении инвестиционной деятельности и др.
Например, если компания имеет прочные позиции на рынке товаров и услуг, т. е. получает прибыль в достаточном объеме, а возможности по продаже товаров на данном рынке не исчерпаны, то она вполне может прибегнуть к привлечению дополнительного заемного капитала для расширения своей деятельности. Так же компания, которая быстро развивается, может более активно привлекать заемные средства по сравнению с компаниями, работающими не так успешно, т. е. некоторое повышение финансового риска в данном случае вполне оправданно.
Надо также сказать, что в некоторых случаях относительно небольшая доля заемных средств вовсе не означает неумения руководства использовать внешние источники. Такая ситуация может встретиться в высокорентабельных производствах, где прибыли достаточно как для текущего, так и для долгосрочного финансирования.
По приведенной системе анализа прибыли предприятия проведем анализ результатов деятельности ОАО «Волгоградский речной порт».
Каждый из методов данного анализа даст соответствующую аналитическую информацию, которая позволит наилучшим образом понять, как формируется прибыль данного предприятия, какие факторы влияют на этот процесс в большей степени, а какие незначительно. Итог проведения всех методов анализа прибыли будет отражать полное представление об эффективности деятельности предприятия в целом.
В зависимости от результатов проведения анализа прибыли будут сформированы соответствующие выводы и предложения, как по возможным путям увеличения прибыли, так и об улучшении проведения самого анализа, для получения такой аналитической информации, которая адекватно отражала бы аспекты деятельности данного предприятия и процесс формирования прибыли в этих условиях.
Глава
II
. Технико-экономическая характеристика ОАО «Волгоградский речной порт»
2.1. Историческая справка
«Волгоградский речной порт» основан в 1862 году, реконструирован и модернизирован после Великой Отечественной войны. В 70-х годах, после открытия филиалов и введения в эксплуатацию грузовых причалов в г. Волжском и г. Камышине, постройки в г. Волгограде лесных причалов, оснащенных современной перегрузочной техникой, предприятие стало одним из крупнейших речных портов в России на Волге.
Открытое акционерное общество «Волгоградский речной порт» учреждено в 1994 году путем акционирования и приватизации Волгоградского речного порта, Волжского объединения речного пароходства.
ОАО «Волгоградский речной порт» является акционерным обществом, у которого 25,5% акций принадлежит государству, 74,5% находится в частной собственности у юридических и физических лиц.
ОАО «Волгоградский речной порт» (ВРП) расположено на левом и правом берегах р. Волги. Пространственные границы порта определяются отдельными участками эксплуатационной деятельности его филиалов, связанной с перевозкой грузов и пассажиров.
Филиал «Камышинский порт» расположен на правом берегу р. Волги на расстоянии 156 км от створа плотины Волжской ГЭС, вверх по реке от города Волгограда. Площадь его 51912 м2 (0,05 га). Основными видами деятельности являются погрузо-разгрузочные работы, пассажирские перевозки своим флотом на Волгоградском водохранилище, на местных и пригородных линиях. Филиал имеет грузовые паромные переправы через Волгоградское водохранилище и р. Еруслан.
Филиал «Волжский порт» расположен на северной окраине г. Волжский, в верхнем бьефе Волгоградского гидроузла на левой стороне р. Волги, непосредственно за плотиной, в Осадной балке. Площадь – 370409 м2 (0,4 га). Филиал имеет грузовой и буксирный флот для перевозки местных и транзитных грузов. Выполняет ремонтные работы по перегрузочной технике, флоту и портовому хозяйству.
Структурное подразделение «Волгоградский грузовой порт» выполняет грузовые перевозки по водным артериям Европейской части России, погрузо-разгрузочные работы, осуществляет складские операции и перевозку грузов через паромную переправу. Располагает необходимой ремонтной базой для производства всех видов ремонта основных средств, в том числе и докования.
«Пассажирский порт» расположен в городе Волгограде на правом берегу р. Волги в Центральном районе. Осуществляет пассажирские перевозки в межобластном, внутригородском и пригородном сообщениях, а также выполняет экскурсионно-прогулочные рейсы.
Все порты, кроме филиалов «Камышинский порт» и «Пассажирский речной порт», имеют внутрипортовые подъездные пути, связанные с Приволжской железной дорогой.
ОАО «Волгоградский речной порт» осуществляет следующие виды деятельности:
· перевозку грузов, как собственным флотом, так и зафрахтованным по согласию клиента;
· перевозку пассажиров на внутригородских и пригородных линиях, организация прогулок и экскурсионных перевозок;
· перевалку грузов, поступающих в порт в судах, вагонах и автотранспортом;
· прием, накопление, хранение и перегрузку тарно-штучных грузов, включая негабаритные конструкции, навалочных грузов, для чего порт располагает на причалах складами и площадками открытого и закрытого хранения;
· комплексное обслуживание флота на рейдах порта;
· добычу и производство нерудных строительных материалов
Площадь земельных участков, находящихся в бессрочном пользовании ВРП - 584,7 тыс. кв. м. Протяженность грузовых причалов составляет 1217 погонных метров (п.м.), в том числе в филиале «Камышинский порт»250 п.м., в филиале «Волжский порт» - 661п.м., Волгоградском грузовом порту - 306 п.м. Общая пропускная способность грузовых причалов при перегрузке навалочных грузов составляет 17900 тонн в сутки, тарно-штучных грузов - 2500 тонн в сутки, контейнеров - 4000 тонн в сутки.
Общая площадь складов составляет 87,4 тыс. кв. м, в том числе открытого хранения 70,6тыс.кв.м и закрытого хранения - 16,8 тыс. кв. метров.
Для выполнения перегрузочных работ в ВРП на балансе состоит свыше 35 единиц перегрузочной техники:
· портальных кранов грузоподъемностью 5 тонн - 17 единиц,
· грузоподъемностью 10 тонн - 11 единиц,
· грузоподъемностью 27 тонн - 2 единицы.
· плавучих кранов грузоподъемностью 5 тонн - 1 единица,
· грузоподъемностью 16 тонн - 5 единиц.
· гидроперегружателей - 2 единицы.
Порт способен перегружать свыше 3,0 млн. тонн различных грузов в год.
ВРП собственным флотом осуществляет грузовые перевозки навальных и насыпных грузов [соли, щебня, песка, обогащенной песчано-гравийной смеси и т.д.]
ОАО «Волгоградский речной порт» проводит комплексное обслуживание собственного и транзитного флота, выполняет рейдовые работы, Для этих целей ВРП располагает вспомогательным рейдовым и вспомогательным техническим и обслуживающим флотом, что позволяет производить очищение и не загрязнять окружающую среду.
ОАО «Волгоградский речной порт» также является одним из крупных предприятий Волжского бассейна, осуществляющим добычу речного песка. Для добычи ВРП предоставлено в пользование 5 карьеров.
2.2. Организационная структура, структура управления и производства
ОАО «
Волгоградский речной порт
»
Управление предприятием осуществляется в соответствии с его Уставом. Управление предприятием осуществляется на базе его организационной структуры, описанной выше.
При разработке организационной структуры управления было обеспечено эффективное распределение функций управления по подразделениям.
В соответствии с Уставом, утвержденным решением Совета директоров ОАО «Волгоградский речной порт» года является юридическим лицом, имеет право от своего имени заключать договоры, приобретать имущественные и личные не имущественные права, нести обязательства, быть истцом и ответчиком в суде.
ОАО «Волгоградский речной порт» имеет самостоятельный баланс, обособленное имущество в собственности, круглую печать, штампы, другие необходимые реквизиты, вправе открывать счета в банках.
Правоспособность Общества возникает с момента его государственной регистрации и прекращается в момент завершения его ликвидации.
ОАО «Волгоградский речной порт» создавалось в целях:
- получения прибыли;
- удовлетворения спроса на выполнение услуг;
- реализации на основе полученной прибыли социально – экономических интересов учредителей, акционеров и членов трудового коллектива.
ОАО «Волгоградский речной порт» предоставлены следующие права:
- заключать договора, сделки и совершать юридические действия, выступать в качестве истца и быть ответчиком в суде;
- приобретать, брать и сдавать в аренду здания, транспортные средства, оборудование иное движимое и недвижимое имущество;
- пользоваться услугами банков, коммерческими кредитами;
- привлекать к своей работе работников на договорных условиях;
- иметь собственные основные и оборотные средства;
- самостоятельно распоряжаться имеющимися средствами на закупку оборудования, технологий.
ОАО «Волгоградский речной порт» является одним из крупнейших и значимых предприятий Волжского бассейна.
В состав ОАО «Волгоградский речной порт» входят 5 портов:
Камышинский, Волжский, Волгоградский грузовой порт, Волгоградский пассажирский порт, Астраханский.
Организационная структура ОАО «Волгоградский речной порт» представлена на рис. 5 (Приложение 3).Классифицировать исходную организационную структуру можно как функциональную. Адекватность этого вида организации для предприятия заключаются в том, что ОАО «Волгоградский речной порт»
имеет широкий спектр оказываемых услуг и включает несколько структурных подразделений филиалов.
Функциональная организация обладает следующими преимуществами:
· можно достичь высокого уровня специализации;
· можно управлять и осуществлять контроль за каждым видом деятельности;
· относительно легче оптимизировать штат функциональных отделов;
· относительно просто осуществлять инновации.
Структура управления и производства ОАО «Волгоградский речной порт» представлена на рис. 6 (Приложение 4) и на рис. 7 (Приложение 5)
Главный инженер ОАО «Волгоградский речной порт» осуществляет руководство материально-техническим снабжением, транспортным обслуживанием. В его обязанности входит: контролировать выполнение плана материально-технического обеспечения предприятия; организация работы складского хозяйства, обеспечение количественной и качественной сохранности материальных ресурсов и готовой продукции; организация работы по использованию и реализации вторичных ресурсов. Главному инженеру подчиняется технический отдел, отдел по технике безопасности, отдел материально-технического снабжения, отдел главного энергетика, ремонтно-механические мастерские и гараж.
Директор по производству и развитию осуществляет руководство основным производством, сбытом продукции, контролирует выполнение плана реализации продукции. Ему подчиняется отдел грузовой и коммерческой работы, главная диспетчерская, эксплуатационный район, перевалочный грузовой район, пассажирское районное управление.
Директор по персоналу осуществляет работу по обеспечению предприятия кадрами, работу с ними, также решает вопросы, связанные с жилищно-коммунальным хозяйством. В его подчинении находятся отдел кадров, жилищно-коммунальный отдел и административно-хозяйственный отдел.
В «приложении 4» представлена производственная структура предприятия.
КАМЫШИНСКИЙ ГРУЗОВОЙ ПОРТ
Количество оборудованных причалов – 2. Общая протяженность причалов- 250 пог. м.;
Глубина – 5,50 м., ограничение по осадке судов в низкую межень – 3,5 м.;
Общая площадь открытых складов для приема, накопления и отправки грузов – 15160 кв. м.;
Общая площадь закрытых складов – 2860 кв.м.;
Производит ПРР: труб диаметром от 159 мм. до 1500 мм.; листового металла; металлолома; оборудования и металлоконструкций; пакетированых грузов и в биг-бегах; любых насыпных и навалочных грузов.
ВОЛЖСКИЙ ГРУЗОВОЙ ПОРТ
Количество оборудованных причалов – 6. Общая протяженность причалов- 661 пог м.;
Глубина – 5,50 м., ограничение по осадке судов – 4,5 м.;
Развернутая длина ж.д путей в порту - 2200 пог.м.;
Общая площадь открытых бетонированных складов для приема, накопления и отправки грузов – 27600 кв. м.;
Общая площадь закрытых складов – 2000кв.м.;
ВОЛГОГРАДСКИЙ ГРУЗОВОЙ ПОРТ
Количество оборудованных причалов – 2, необорудованных – 2. Общая протяженность оборудованных причалов- 300пог м., необорудованных – 361 пог.м.;
Глубина – 5,50 м., ограничение по осадке судов в низкую межень – 3,5 м.;
Развернутая длина ж.д путей в порту - 2000 пог.м.;
Общая площадь открытых бетонированных складов для приема, накопления и отправки грузов – 19100 кв. м.;
Общая площадь закрытых складов – 14780 кв.м.;
Нормы ПРР: для навалочных грузов – до 2000тн. в сутки, остальных от 500 до 1000тн в сутки. В случае необходимости порт выполняет ПРР круглосуточно;
ПАССАЖИРСКИЙ ПОРТ
Общее количество оборудованных причалов Речного вокзала - 10.
От причала № 6 осуществляется перевозка пассажиров на Центральный пляж, расположенный на о.Крит;
Причал №№ 8,9 предназначены для приема транзитного пассажирского флота;
Причал № 10, 11, 12, 13, 14, 15, 16 предназначен для отправления теплоходов по рейсовым маршрутам
Структура и функции бухгалтерского аппарата
:
В приложении 6 представлена структура бухгалтерии «ОАО Волгоградский речной порт»
Бухгалтерию возглавляет главный бухгалтер. Под его руководством работают: заместитель главного бухгалтера, экономист по финансовой работе, бухгалтеры и инженер – программист.
Гл. бухгалтерия включает в себя 3 отдела (части):
1. Сводная часть:
- экономист по финансовой работе (ведет картотеку по своду затрат на содержание объектов соц.культ.быта),
- затрат на производство;
- по платежам в бюджет, депонированной заработной плате, по использованию и формированию прибыли, по основным средствам и их износу, недостачам и потерям, транспортным услугам. Ведет оборотные ведомости по цеховым расходам. Ежемесячно выверяет картотеку с балансом);
- бухгалтер (ведет работу по учету расчетов за услуги привлеченного со стороны автотранспорта. Ведет прием и сверку с договорами счетов и путевых листов от транспортных организаций, шифровка документации, формирование пачек, подготовка и сдача документов по транспорту в ВСУП для дальнейшей разработки в установленный срок. Ведет аналитический учет по расчетам за транспортные услуги по предприятиям. Производит сбор, регистрацию и разноску мемориальных ордеров по цехам и участкам, сверку данных с программами ВСУП);
2. Материальная часть:
- бухгалтер (ведет работу по учету расчетов РСУ, осуществляет прием и контроль первичной документации по соответствующим участкам учета и подготовки их к счетной обработке и т.д.)
- бухгалтер (осуществляет контроль за расходованием денежных средств и материальных ценностей. Организует учет материалов, денежных средств и других ценностей);
3. Расчетная часть:
- старший бухгалтер (выполняет работы, связанные с движением средств через кассу, производит регистрацию приходных и расходных ордеров, ежедневное закрытие счетов по кассе. Ежемесячно осуществляет свод и выверку по заработной плате. Производит начисление и перечисление платежей в бюджет, подоходного налога, взносов на государственное социальное страхование, пенсионный фонд и соц. страх. Ежемесячно производит перечисления сбербанка, кредита, удержания по исполнительным листам, алиментов. Следит за своевременной оплатой по банку);
- бухгалтер (выполняет работы по учету заработной платы. Осуществляет прием и контроль первичной документации по зарплате от отделов. Производит начисления заработной платы по всем категориям работников, больничных листов, выходных пособий, расчеты при увольнении. Работает с банком данных по заработной плате, ежемесячно его корректирует);
2.3. Анализ финансово-экономических показателей
деятельности предприятия
Анализ технико-экономических показателей установил, что в 2007году выручка от продажи товаров, продукции, работ, услуг возросла на 282 тыс.руб. по сравнению с 2006 годом и составила 25695 тыс.руб.
В целом предприятие получило в 2007 году дополнительно 868 тыс.руб. валовой прибыли, что на 9,6 % превысило ее величину в 2006 году.
В 2007 году предприятие получило 4054 тыс.руб. чистой прибыли, что на 162 тыс.руб. меньше величины 2006 года. Это объясняется увеличением себестоимости проданных товаров на 2,7 %, операционных расходов на выпуск продукции на 8,3 %, снижением прибыли от обычной деятельности на 2,7 %.
В 2007 году увеличилась производительность труда на 3,5 тыс.руб. на 1 работника за счет увеличения выручки от продажи товаров, продукции, работ, услуг на 1,1 % или 282 тыс.руб.
Анализ показателей, характеризующих эффективность использования основных фондов, показал увеличение фондоотдачи на 10,8%, снижение фондоемкости на 0,1 и фондовооруженности на 8,7% за счет уменьшения среднегодовой стоимости основных фондов на 8,3 или 1223 тыс.руб.Следствием незначительного повышения затрат на 1 рубль товарной продукции в 2006 году явилось повышение выручки от продажи товаров, работ, услуг.
Финансово-экономические показатели деятельности
ОАО «Волгоградский речной порт» Табл. 2.3.1
| Наименование показателя |
Ед.изм. |
2006г. |
2007г. |
Отклонение |
| + / - |
% |
| 1 |
2 |
3 |
4 |
5 |
6 |
| Выручка от продажи товаров, продукции, работ, услуг |
тыс.руб. |
25413 |
25695 |
282,00 |
101,1% |
| Себестоимость проданных товаров, продукции, работ, услуг |
тыс.руб. |
15389 |
15803 |
414,00 |
102,7% |
| Валовая прибыль |
тыс.руб. |
9024 |
9892 |
868,00 |
109,6% |
| Прибыль (убыток)от продаж |
тыс.руб. |
3757 |
4020 |
263,00 |
107,0% |
| Рентабельность |
0,59 |
0,4 |
-0,19 |
67,8% |
| Перенос Табл 2.3.1
|
| 1 |
2 |
3 |
4 |
5 |
6 |
| Численность работников |
чел. |
80 |
80 |
0,00 |
100,0% |
| Производительность труда на 1 работника |
тыс.руб./чел. |
317,7 |
321,2 |
3,50 |
101,1% |
| Среднегодовая стоимость основных фондов
|
тыс.руб.
|
13992,5
|
12769,5
|
-1223,00
|
91,3%
|
| Фондоотдача |
руб./на 1 руб. |
1,82 |
2,01 |
0,20 |
110,8% |
| Фондоемкость |
руб./на 1 руб. |
0,55 |
0,50 |
-0,05 |
90,3% |
| Фодновооруженность |
тыс.руб./чел. |
174,90625 |
159,61875 |
-15,29 |
91,3% |
| Затраты на рубль товарной продукции |
руб./на 1 руб. |
0,61 |
0,62 |
0,01 |
101,6% |
| Средний за период итог баланса
|
тыс.руб.
|
375204
|
333338
|
-41866,00
|
88,8%
|
| Коэфициент общей оборачиваемости капитала (Ок) |
0,067731154 |
0,077083921 |
0,01 |
113,8% |
| Средний срок оборота капитала (Ск) |
дни |
5388,952898 |
4735,099047 |
-653,85 |
87,9% |
| Среднегодовая стоимость Оборотные активы
|
тыс.руб.
|
156221,5
|
131951
|
-24270,50
|
84,5%
|
| Коэфициент оборачиваемости оборотных средств (Ооб) |
0,162672872 |
0,194731378 |
0,03 |
119,7% |
| Средний срок оборота оборотных активов (Соб) |
дни |
2243,766871 |
1874,376922 |
-369,39 |
83,5% |
| Средний за период величина запасов и затрат
|
тыс.руб.
|
21543,5
|
20819,5
|
-724,00
|
96,6%
|
| Коэфициент оборачиваемости материальных оборотных средств (Ом.ср.) |
1,17961334 |
1,234179495 |
0,05
|
104,6%
|
| Средний срок оборота материальных средств (См.ср.) |
дни |
309,423425 |
295,7430434 |
-13,68
|
95,6%
|
| Средний за период Дебиторская задолженность
|
тыс.руб.
|
31655,5 |
59783 |
28127,50
|
188,9%
|
| Коэфициент оборачиваемости Дебиторской задолженности (Од/з) |
0,802798882 |
0,429804459 |
-0,37
|
53,5%
|
| Средний срок оборота Дебиторской задолженности (Сд/з) |
дни |
454,6593279 |
849,2233898 |
394,56
|
186,8%
|
| Средний за период Кредиторская задолженность
|
тыс.руб.
|
50569 |
44754,5 |
-5814,50
|
88,5%
|
| Коэфициент оборачиваемости Кредиторской задолженности (Ок/з) |
0,502541082 |
0,57413221 |
0,07
|
114,2%
|
| Средний за период величина собственного капитала
|
тыс.руб.
|
180436,5 |
162510,5 |
-17926,00
|
90,1%
|
| Коэфициент оборачиваемости собственного капитала (Оск) |
0,140841792 |
0,15811286 |
0,02
|
112,3%
|
| Перенос Табл 2.3.1
|
| 1 |
2 |
3 |
4 |
5 |
6 |
| Продолжительность операционного цикла (Цо) |
дни |
764,0827529 |
1144,966433 |
380,88
|
149,8%
|
| Продолжительность финансового цикла (Цф) |
дни |
37,77397395 |
509,2243627 |
471,45
|
1348,1%
|
Скорость оборота материальных и денежных ресурсов предприятия увеличилась на 13,8% в 2007 г. Относительно 2006 г. Средний срок оборота капитала сократился на 12,1%. Скорость оборота запасов и затрат возросла на 19,7%. Продолжительность оборота материальных средств уменьшился в 2007 г. на 16,5%.
Средний срок оборота кредиторской задолженности снизился на 12,5%. Уменьшение периода, т.е. ускорение оборачиваемости, характеризуется как неблагоприятная тенденция. Срок дебиторской задолженности увеличился на 395 дней. Увеличение показателя неблагоприятный фактор. Общее время, в течение которого финансовые ресурсы находятся в материальных средствах и дебиторской задолженности, увеличилось на 380 дней. Это отрицательная тенденция. Время, в течение которого финансовые ресурсы извлечены из оборота, увеличилось на 471 день. Это так же является негативной тенденцией.
В заключение данной главы можно выделить следующее:
1. Основными видами деятельности является перевозка пассажиров и грузов, а так же прием, накопления и отправки грузов.
2. Анализ технико-экономических показателей установил, что рост в 2008 г. происходил рост выручка от продажи товаров, продукции, работ, услуг, валовой прибыли и прибыли от продаж. Так благоприятной тенденцией явилось увеличение коэффициентов, общей оборачиваемости капитала, оборачиваемости оборотных средств, оборачиваемости материальных оборотных средств. Однако Средний срок оборота кредиторской задолженности снизился, а срок дебиторской задолженности увеличился, что является неблагоприятной тенденцией. Данные результаты не дают полной информации о состоянии предприятия, поэтому проведем анализ прибыли предприятия.
Глава
III
. Анализ прибыли предприятия на примере ОАО «Волгоградский речной порт»
3.1 Предварительный обзор баланса ОАО «Волгоградский речной порт».
Перед тем как начать анализ прибыли предприятия ОАО «Волгоградский речной порт» необходимо произвести анализ текущего состояния фирмы. Важнейшими источниками информации служат Бухгалтерский баланс (форма №1).
Для оценки финансового состояния предприятия проведём финансовый анализ активов предприятия ОАО «Волгоградский речной порт».
Оценка имущества (средств) ОАО «Волгоградский речной порт»
Табл. 3.1.1
| Показатели |
2006 |
2007 |
Отклонения 2006 |
Отклонения 2007 |
На начало
Года
|
На конец
года
|
На начало
Года
|
На конецГода |
Абс. |
% |
Абс. |
% |
| 1 |
2 |
3 |
4 |
5 |
6 |
7 |
8 |
9 |
| 1.Всего имущества (строка 300) |
388525 |
361883 |
361883 |
304793 |
-26642 |
93,1 |
-57090 |
84,2 |
| в том числе: |
| Внеоборотные активы |
| Нематериальные активы |
77738 |
62359 |
62359 |
60245 |
-15379 |
80,2 |
-2114 |
96,6 |
| Основные средства |
14053 |
13932 |
13932 |
11607 |
-121 |
99,1 |
-2325 |
83,3 |
| Незавершенное строительство |
10957 |
9819 |
9819 |
9819 |
-1138 |
89,6 |
- |
100 |
| Доходные вложения в материальные ценности |
26185 |
25000 |
25000 |
29579 |
-1185 |
95,5 |
+4579 |
118 |
| Долгосрочные финансовые вложения |
93279 |
89976 |
89976 |
76976 |
-3303 |
96,5 |
-13000 |
85,6 |
| Прочие внеоборотные активы |
7545 |
7122 |
7122 |
6340 |
-423 |
94,4 |
-782 |
89 |
| ИТОГО по разделу I |
229757 |
208208 |
208208 |
194566 |
-21549 |
90,6 |
-13642 |
93,4 |
| Оборотные активы |
| Запасы |
17330 |
16578 |
16578 |
16334 |
-752 |
95,7 |
-996 |
98,5 |
в том числе: сырье, материалы и другие аналогичные ценности |
5103 |
5090 |
5090 |
3171 |
-13 |
99,7 |
-1919 |
62,3 |
| животные на выращивании и откорме |
3508 |
3413 |
3413 |
3125 |
-95 |
97,3 |
-288 |
91,6 |
| затраты в незавершенном производстве (издержках обращения) |
3100 |
2812 |
2812 |
2763 |
-288 |
90,7 |
-49 |
98,3 |
| готовая продукция и товары для перепродажи |
1351 |
1230 |
1230 |
1456 |
-121 |
91 |
+226 |
120 |
| товары отгруженные |
1201 |
1153 |
1153 |
1465 |
-48 |
96 |
+312 |
130 |
Перенос Табл. 3.1.1
|
| 1 |
2 |
3 |
4 |
5 |
6 |
7 |
8 |
9 |
| расходы будущих периодов |
2567 |
2459 |
2459 |
2472 |
-108 |
95,6 |
+13 |
100 |
| прочие запасы и затраты |
500 |
421 |
421 |
1882 |
-79 |
84,2 |
+1461 |
430 |
| Налог на добавленную стоимость по приобретенным ценностям |
4602 |
4577 |
4577 |
4150 |
-25 |
99,5 |
-427 |
91 |
| Дебиторская задолженность (платежи по которой ожидаются более чем через 12 месяцев после отчетной даты) |
18963 |
18461 |
18461 |
17408 |
-502 |
97,4 |
-1053 |
94,3 |
| Дебиторская задолженность (платежи по которой ожидаются в течение 12 месяцев после отчетной даты) |
13188 |
12699 |
12699 |
11215 |
-489 |
96,3 |
-1484 |
88,3 |
| Краткосрочные финансовые вложения |
71818 |
70011 |
70011 |
32190 |
-1807 |
97,5 |
-37821 |
46 |
| Денежные средства |
30417 |
29035 |
29035 |
27927 |
-1382 |
95,5 |
-1108 |
96,2 |
| Прочие оборотные активы |
2450 |
2314 |
2314 |
1003 |
-136 |
94,4 |
-1311 |
43,3 |
| ИТОГО по разделу II |
158768 |
153675 |
153675 |
110227 |
-5093 |
96,8 |
-43448 |
72 |
| БАЛАНС (стр.300) |
388525 |
361883 |
361883 |
304793 |
-26642 |
93,1 |
-57090 |
84,2 |
Активы
Изучив состав и структуру имущества предприятия ОАО «Волгоградский речной порт» за 2006 - 2007 год по данным аналитического баланса, видно, что общая стоимость имущества в течении 2006-го года уменьшилась на 26642
рубля (отклонение к концу года составило -6,9%
). Это связано с уменьшением внеоборотных активов
на 9,4 %; в т.ч. основные средства
предприятия сократились на 19,8%; прочие внеоборотные активы
сократились на 5,6%; долгосрочные финансовые вложения
на 3,5%. Уменьшение оборотных активов
на 3,2%; в т.ч сокращение запасов
на 4,3%.
Кроме того, произошло снижение денежных средств и дебиторской задолженности. В отчётном году (2007 год) имущество также уменьшилось на15,8% (сократилось на –57090
рублей).
Это связано с уменьшением оборотных активов
на 28%; в т.ч. краткосрочных финансовых вложений
на 54% и денежных средств
на 3,8 %. Снижение запасов всего
на 1,5%; в т.ч. товары отгруженные
увеличились на 1,3 раза, расходы будущих периодов
остались на том же уровне, а прочие запасы и затраты увеличились
в 4,3 раза.
С целью характеристики средств предприятия построим соответствующую таблицу на основе данных пассива имеющихся балансов:
Собственные и заёмные средства ОАО «Волгоградский речной порт».
Табл. 3.1.2
| Показатели |
2006 год
|
2007 год
|
Отклонения |
На начало
Года
|
На конец
года
|
На начало
года
|
На конец
Года
|
| Абсолютное |
% |
| 2006 |
2007 |
2006 |
2007 |
| 1 |
2 |
3 |
4 |
5 |
6 |
7 |
8 |
9 |
| 1.Всего средств предприятия, тыс. руб. (стр.700); в том числе:
|
388525 |
361883 |
361883 |
304793 |
-26642 |
-57090 |
93,1 |
84,2
|
| 2.Собственные средства предприятия, тыс. руб. (строка 490); |
144326
|
123581 |
123581 |
122810 |
-20745 |
-771 |
85,6 |
99,4 |
| -то же в % к имуществу |
37,1% |
34,1% |
34,1% |
40,2% |
-3 |
+6,1 |
| Из них: |
| 2.1.Наличие собственных оборотных средств, тыс. руб. (490-190) |
-85431 |
-84627 |
-84627 |
-71756 |
804 |
12871 |
99 |
84,8 |
| -то же в % к собственным средствам. |
-22% |
-23,4% |
-23,4% |
-23,5% |
-1,4 |
-0,1 |
| 3.Заёмные средства, тыс. руб.(590+690) |
244199 |
238302 |
238302 |
181983 |
-5897 |
-56319 |
97,6 |
76,4 |
| -то же в % к имуществу; |
62,9 |
65,6 |
78,2 |
59,7 |
+2,7 |
-18,5 |
| из них: |
| 3.1.Долгосрочные займы, тыс. руб.(строка 590); |
100493
|
93798
|
93798
|
87455
|
-6695
|
-6343
|
93,3
|
93,2
|
| - в % к заёмным средствам. |
41,2
|
39,4
|
39,4
|
48
|
-1,8
|
+8,6
|
| 3.2.Краткосрочные кредиты и займы, тыс. руб.(610); |
30146
|
27315
|
27315
|
21714
|
-2831
|
-5601
|
90,6
|
79,5
|
| - в % к заёмным средствам. |
12,3
|
11,5
|
11,5
|
12
|
-0,8
|
-0,5
|
| 3.3.Кредиторская задолженность, тыс. руб. (620); |
24521
|
24084
|
24084
|
20183
|
-437
|
-3901
|
98,2
|
83,8
|
| - в % к заёмным средствам. |
10
|
10,1
|
10,1
|
11
|
+0,1
|
+0,9
|
Пассив
В 2006 году произошло уменьшение средств предприятия на 6,9%, за счёт снижения собственных средств предприятия на 14,4% (снизилось на 20745 руб.При этом наличие собственных оборотных средств
увеличилось на 804 рубля.
В 2007 году средства предприятия снизилисьуменьшилось на 15,8% (сократилось на –57090
рублей) за счёт уменьшения заёмных средств
предприятия на 23,6% и уменьшения статьи «Краткосрочные кредиты и займы
» на 20,5%. Наличие собственных оборотных средств
увеличилось на 12871 рубль.
После оценки изменения имущества и средств предприятия необходимо выявить так называемые «больные» статьи баланса:
Сразу свидетельствующие о неудовлетворительной работе предприятия и сложившимся в результате этого плохом финансовом положении.
Статьи, говорящие об определённых недостатках в работе предприятия: наличие сумм "плохих" долгов в статьях: «Дебиторская задолженность (платежи по которой ожидаются более чем через 12 месяцев после отчётной даты
)» (ст
рока 230) и «Дебиторская задолженность (платежи по которой ожидаются в течение 12 месяцев после отчётной даты)» (строка 240).На предприятии отсутствует долгосрочная дебиторская задолженность, что снижает долю медленно реализуемых активов.
Одна из больных статей баланса является «Денежные средства» (стр.260), которые показывают на отчётную дату уменьшение на 1108 рублей.
Проведем горизонтальный анализ финансовых результатов деятельности предприятия, с целью выявления динамики изменения прибыли.
3.2 Горизонтальный анализ финансовых результатов
деятельности предприятия
Анализ финансовых результатов деятельности предприятия начинается с исследования уровня и динамики всех показателей, представленных в форме №2 «Отчет о прибылях и убытках».
Горизонтальный анализ финансовых результатов предприятия.
Табл. №3.2.1
| 2005-2007 |
Код строки |
2005 |
2006 |
2007 |
Изменения (+,-), тыс. руб.
|
| Наименование показателя |
2006 от 2005 |
2007 от 2006 |
2007 от 2005 |
| 1
|
2
|
3
|
4
|
5
|
6
|
7
|
8
|
| I.
Выручка
(нетто) от продажи товаров, продукции, работ, услуг (за минусом налога на добавленную стоимость, акцизов и аналогичных обязательных платежей) |
10
|
21741
|
25413
|
25695
|
3672
|
282
|
3954
|
| Себестоимость проданных товаров, продукции, работ, услуг |
20 |
14249 |
15389 |
15803 |
1140 |
414 |
1554 |
| Валовая прибыль
|
29
|
7492
|
10024
|
9892
|
2532
|
-132
|
2400
|
| Коммерческие расходы |
30 |
2520 |
2719 |
2723 |
199 |
4 |
203 |
| Управленческие расходы |
40 |
3418 |
3548 |
3149 |
130 |
-399 |
-269 |
| Прибыль (убыток) от продаж
(строки 010 - 020 - 030 - 040) |
50
|
1554
|
3757
|
4020
|
2203
|
263
|
2466
|
| Проценты к получению |
60 |
7045 |
7195 |
8436 |
150 |
1241 |
1391 |
| Проценты к уплате |
70 |
2088 |
2140 |
2871 |
52 |
731 |
783 |
| Доходы от участия в других организациях |
80 |
13875 |
14215 |
13214 |
340 |
-1001 |
-661 |
| Прочие операционные доходы |
90 |
7204 |
7325 |
7843 |
121 |
518 |
639 |
| Прочие операционные расходы |
100 |
12 |
1322 |
1432 |
1310 |
110 |
1420 |
| Внереализационные доходы |
120 |
15312 |
16698 |
15215 |
1386 |
-1483 |
-97 |
| Внереализационные расходы |
130 |
2817 |
2965 |
2923 |
148 |
-42 |
106 |
| Прибыль (убыток) до налогообложения
|
140
|
40073
|
42763
|
41502
|
2690
|
-1261
|
1429
|
| Налог на прибыль и иные аналогичные обязательные платежи |
150 |
400 |
416 |
320 |
16 |
-96 |
-80 |
| Прибыль
(убыток) от обычной деятельности |
160
|
39673
|
42347
|
41182
|
2674
|
-1165
|
1509
|
| Чрезвычайные доходы |
170 |
0 |
0 |
0 |
0 |
0 |
0 |
| Чрезвычайные расходы |
180 |
36055 |
37128 |
38131 |
1073 |
1003 |
2076 |
| Чистая прибыль
|
190
|
3618
|
5219
|
3051
|
1601
|
-2168
|
-567
|
Исходя из данных табл. №3.2,1 можно сделать следующие выводы: снижение валовой прибыли произошло в 2007 году относительно 2006 года на 132 тыс. руб. Наибольший прирост прибыли произошел в 2006 году по отношению к 2005 году. При этом выручка (нетто) от продажи товаров, продукции, работ, услуг (за минусом налога на добавленную стоимость, акцизов и аналогичных обязательных платежей) выросла в 2006 году относительно 2005 года на 3672 тыс. руб., в 2007 году относительно 2006 года на 282 тыс. руб., а в 2007 году относительно 2005 года на 3954 тыс. руб.
Прибыль (убыток) до налогообложения увеличилась в 2006 году по отношению к 2005 году на 2690 тыс. руб., в 2007 относительно 2006 года уменьшилась на 1261 тыс. руб. и в 2007 году по отношению к 2005 году выросла на 1429 тыс. руб.
В 2006 году по отношению к 2005 году увеличение прибыли до налогообложения произошло за счет увеличения внереализационных доходов на 1386 тыс. руб. В 2007 году по отношению к 2006 году уменьшение прибыли до налогообложения произошло за счет уменьшения внереализационных доходов на 1386 тыс. руб. и уменьшения доходов от участия в других организациях на 1001 тыс. руб.
Прибыль от обычной деятельности так же увеличилась в 2006 году относительно 2005 года на 2674 тыс. руб. В 2007 году относительно 2006 года прибыль от обычной деятельности уменьшилась на 1165 тыс. руб.
Чистая прибыль в 2005 году составила 3618 тыс. руб., в 2006 году увеличилась на 1601 тыс. руб. и составила 5219 тыс. руб. В 2007 году чистая прибыль уменьшилась по отношению к 2006 году на 2168 тыс. руб., а в отношении 2005 года уменьшилась на 567 тыс. руб. и составила 3051 тыс. руб.
В систему анализ прибыли также целесообразно включать сравнительный анализ показателей уровня прибыли данного предприятия и среднеотраслевых, а также предприятий-конкурентов, с целью оценки конкурентной позиции по уровню хозяйствования, а также в рамках конкретного рынка соответствующей продукции (работ, оказанных услуг).
3.3 Факторный анализ
формирования валовой прибыли и прибыли до налогообложения
Анализ влияния факторов на формирование прибыли до налогообложения предприятия за период 2005-2007 гг.
Показатели факторного анализ
прибыли до налогообложения.
Табл. №3.3.1
| Факторы |
Формула расчета |
2005 г. % |
2006 г. % |
2007 г. % |
Изменения (+,-), %
|
| 2006 от 2005 |
2007 от 2006 |
2007 от 2005 |
| 1
|
2
|
3
|
4
|
5
|
6
|
7
|
8
|
| 1. Прибыль от продаж |
стр.50*100% / │стр. 140│ |
3,88% |
8,79% |
9,69% |
4,91% |
0,90% |
5,81% |
| 2. Полученные проценты |
стр.60*100% / │стр. 140│ |
17,58% |
16,83% |
20,33% |
-0,76% |
3,50% |
2,75% |
| 3. Уплаченные проценты |
стр.70*100% / │стр. 140│ |
-5,21% |
-5,00% |
-6,92% |
0,21% |
-1,91% |
-1,71% |
| 4. Доходы от участия в др. организациях |
стр.80*100% / │стр. 140│ |
34,62% |
33,24% |
31,84% |
-1,38% |
-1,40% |
-2,78% |
| 5. Прочие операционные доходы |
стр.90*100% / │стр. 140│ |
17,98% |
17,13% |
18,90% |
-0,85% |
1,77% |
0,92% |
| 6. Прочие операционные расходы |
стр.100*100% / │стр. 140│ |
-0,03% |
-3,09% |
-3,45% |
-3,06% |
-0,36% |
-3,42% |
| 7. Прочие внереализационные доходы |
стр.120*100% / │стр. 140│ |
38,21% |
39,05% |
36,66% |
0,84% |
-2,39% |
-1,55% |
| 8. Прочие внереализационные расходы |
стр.130*100% / │стр. 140│ |
-7,03% |
-6,93% |
-7,04% |
0,10% |
-0,11% |
-0,01% |
| Баланс факторов (прибыль до налогообложения) |
[∑стр. 1,2,3,4,5,6,7,8] |
100% |
100% |
100% |
- |
- |
- |
Анализируя влияния факторов на формирование прибыли до налогообложения предприятия ОАО «Волгоградский речной порт» за 2005-2007 гг., можно сделать следующие выводы:
· наибольшее влияние на формирование прибыли в анализируемом периоде оказали прочие внереализационные доходы (36,66% в 2007 г.), которые увеличились по отношению к 2006 г. на 2,39%.
· следующий по значимости фактор, влияющий на рост прибыли, - доходы от участия в других организациях 31,84% (31,84% в 2007 г.). Влияние этого фактора уменьшилось в 2006 г. на 1,38% относительно 2005 г. и на 1,4% в 2007 г. относительно 2006 г.
· в 2007 г. на балансовый результат значительно повлияли полученные проценты (20,33%). Этот показатель увеличился относительно 2006 года на 3,5%. и на 2,75% относительно 2005 года.
· уплаченные проценты повлияли на уменьшение балансовой прибыли на 6,92% в 2007 году.
· Значительное влияние на финансовый результат повлияла прибыль от продаж (3,88% в 2005 г., 8,79 в 2006 г., 9,69% в 2007г. )
· Прочие операционные расходы оказали незначительное влияние на балансовый результат. (-3,45% в 2007 г.). Однако возросло влияние прочих операционных доходов на 1,77% в 2007 г. относительно 2006 г.
Факторный анализ общей прибыли от продаж продукции
Табл. №3.3.2
Табл. №3.3.3
| 2005
|
2006
|
2007
|
| Q= |
3000 |
3200 |
3300 |
| P= |
7,247 |
7,942 |
7,786 |
| Z= |
4,750 |
4,809 |
4,789 |
| 2005 |
2006 |
2007 |
| Q*P= Выручка
|
| 21741 |
25413 |
25695 |
| Q*Z=Себестоимость
|
| 14249 |
15389 |
15803 |
| Прибыль = Q*P-Q*Z
|
| 7492 |
10024 |
9892 |
Табл. №3.3.4
| 2006 от 2005 |
| S0 |
S1,0 |
S1 |
| 14249 |
15198,93 |
15389 |
| Q0 |
Q1,0 |
| 21741 |
23190,4 |
| 2007 от 2006 |
| S0 |
S1,0 |
S1 |
| 15389 |
15869,91 |
15803 |
| Q0 |
Q1,0 |
| 25413 |
26207,156 |
| 2007 от 2005 |
| S0 |
S1,0 |
S1 |
| 14249 |
15673,9 |
15803 |
| Q0 |
Q1,0 |
| 21741 |
23915,1 |
Табл. №3.3.5
| 2006 от 2005 |
2007 от 2006 |
2007 от 2005 |
| К1 |
1,07 |
1,03 |
1,10 |
| К2 |
1,07 |
1,03 |
1,10 |
В таблице №3.3.2 приведены данные: количество произведенной продукции, оказанных услуг (Q), стоимости одной единицы продукции («P» в тыс. руб.), а также себестоимости единицы продукции («Z» в тыс. руб.). Данные необходимы для расчета. Далее в табл. №3.3.4 рассчитаны фактическая себестоимость реализованной продукции за отчетный период в ценах и тарифах базисного года, себестоимость базисного года, реализация продукции за отчетный период в ценах базисного года и т. д. Исходя из этих данных определены коэффициент роста реализации продукции (К1), коэффициент роста объема реализации продукции в оценке по отпускным ценам (К2), которые сведены в таблицу №3.3.5.
Показатели факторного анализа
валовой прибыли.
Табл. №3.3.6
| Наименование фактора, влияющего на прибыль от продажи продукции |
Формула для расчета влияния фактора |
расчета влияния фактора (2006 от 2005)
|
расчета влияния фактора (2007 от 2006)
|
расчета влияния фактора (2007 от 2005)
|
| 1 |
2 |
3 |
4 |
5 |
| 1. Изменение отпускных цен на реализованную продукцию |
∆Р1 = Qр1 - Qр1,0 = Σ q1*p1 - Σ q1*p0
|
2222,60
|
-512,16
|
1779,90
|
| 2. Изменения в объеме продукции (собственного объема продукции в оценке по базисной себестоимости) |
∆Р2 = P0 * K1 - P0 = P0 * (K1 - 1), где K1=S1,0/S0 - коэффициент роста реализации продукции; S1,0=Σ q1 * z0 - фактическая себестоимость реализованной продукции за отчетный период в ценах и тарифах базисного года S0 =Σ q0 * z0 - себестоимость базисного года
|
499,47
|
313,25
|
749,20
|
| 3. Изменение в объеме продукции, обусловленные изменениями в структуре продукции |
∆Р2 = P0 * (K2 - К1), где K2=Q1,0/Q0 коэффициент роста объема реализации продукции в оценке по отпускным ценам; Q1,0=Σ q1 * p0 - реализация продукции за отчетный период в ценах базисного года, Q0=Σ q0 * p0 - реализация в базисном году
|
0,00
|
0,00
|
0,00
|
| 4. Экономия от снижения себестоимости продукции |
∆Р4 = S1,0 - S1 , S1=Σ q1 * z1 - фактическая себестоимость реализованной продукции за отчетный период
|
-190,07
|
66,91
|
-129,10
|
| 5. Изменения себестоимости за счет структурных сдвигов в составе продукции |
∆Р5 = S0 * K2 - S1,0
|
0,00
|
0,00
|
0,00
|
| ИТОГО: |
2532,00 |
-132,00 |
2400,00 |
| Общее изменение прибыли от продаж |
∆Р = Р1 - Р0
|
2532
|
-132
|
2400
|
Данные таблицы №3.3.6 демонстрируют, что на прибыль от реализации товарной продукции наиболее значительно воздействуют фактор — изменения отпускных цен. Также немало важное влияние оказывают два фактора: изменений в объёме товаров объема товаров в оценке по плановой (базисной) себестоимости и экономия от снижения себестоимости товаров.
Качественный анализ факторов позволяет сделать вывод о том, что прибыль от реализации товарной продукции на предприятии ОАО «Волгоградский речной порт» возрастает, в основном, за счет фактора изменения отпускных цен, выручки от реализации, а также инфляции. Это ставит предприятие в зависимость от поставщиков сырья, влияния инфляционных процессов в стране. Такие же факторы, как влияние на прибыль изменений в объеме производства продукции и в структуре прибыли оказывают незначительное влияние. Это лишний раз подтверждает тот факт, что финансовое состояние предприятия является устойчивым. Но необходимо увеличивать влияние факторов, которые увеличивают прибыль за счет структурных сдвигов в составе продукции.
После выявления факторов прибыли необходимо провести анализ показателей оценки прибыли предприятия. Среди множества показателей оценки прибыли следует выделить основной из них – рентабельность. Показатели рентабельности характеризуют эффективность работы предприятия в целом, доходность различных направлений деятельности, доходность капитала, окупаемость затрат и т.д. Они более полно, чем прибыль, характеризуют окончательные результаты хозяйствования, потому что их величина показывает соотношение эффекта с наличными или использованными ресурсами. Их применяют для оценки деятельности предприятия и как инструмент в инвестиционной политике и ценообразовании.
Так же для улучшения системы проведения анализа прибыли можно провести интегральный анализ прибыли, который позволяет получить наиболее обобщенную характеристику условий формирования прибыли.
3.4 Анализ рентабельности
Показатели рентабельности деятельности предприятия.
Табл. №3.4.1
| наименование показателя |
Способ расчета |
Значение, % |
| 2005 |
2006 |
2007 |
| 1 |
2 |
3 |
4 |
5 |
| 1. Рентабель-ность продаж |
R1 = с. 050 ф. №2 / с. 010 ф. №2 |
7,15% |
14,78% |
15,65% |
| 2. Общая рентабельность отчетного периода (эко-номическая) |
R2 = с. 140 ф. №2 / с. 300 ф. №1 |
10,31% |
11,82% |
13,62% |
| 3. Рентабель-ность собственного капитала |
R3 = с. 190 ф. №2 / с. 490 ф. №1 + с. 190 ф. №2 / с. 640 ф. №1 + с. 190 ф. №2 / с. 650 ф. №1 |
34,16% |
48,41% |
47,71% |
| 4. Рентабель-ность внеоборотных активов |
R4 = с. 160 ф. №2 / с. 190 ф. №1 |
17,27% |
20,34% |
21,17% |
| 5. Рентабель-ность основного деятельности (окупаемость издержек) |
R5 = с. 050 ф. №2 / с. 020 ф. №2 |
10,91% |
24,41% |
25,44% |
| 6. Рентабель-ность пер-манентного (постоянного) капитала |
R6 = с. 140 ф. №2 / с. 490 ф. №1 + с. 140 ф. №2 / с. 640 ф. №1 + с. 140 ф. №2 / с. 650 ф. №1 |
378,39% |
396,67% |
648,97% |
| 7. Фондорен-табельность |
R7 = с. 140 ф. №2 / с. 120 ф. №1 |
285,16% |
306,94% |
357,56% |
Динамики показателей рентабельности Табл. №3.4.2
| наименование показателя |
Отклоненния |
| 2006 -2005 |
2007 -2006 |
| Абс. |
Отн. % |
Абс. |
Отн. % |
| 1 |
2 |
3 |
4 |
5 |
| 1. Рентабельность продаж |
7,64 |
106,83% |
0,86 |
5,83% |
| 2. Общая рентабельность отчетного периода |
1,50 |
14,57% |
1,80 |
15,23% |
| 3. Рентабельность собственного капитала |
14,25 |
41,71% |
-0,70 |
-1,45% |
| 4. Рентабельность внеоборотных активов |
3,07 |
17,79% |
0,83 |
4,07% |
| 5. Рентабельность основного деятельности |
13,51 |
123,85% |
1,02 |
4,20% |
| 6. Рентабельность перманентного (постоянного) капитала |
18,28 |
4,83% |
252,30 |
63,60% |
| 7. Фондорентабельность |
21,78 |
7,64% |
50,62 |
16,49% |
Из таблицы №3.4.2 видно, что значения всех показателей рентабельности в 2006 году по сравнению с 2005 годом возросли, что можно считать положительной тенденцией: рентабельность продаж возросла на 7,64 пункт или на 106,83%, что говорит об увеличении прибыли на единицу реализованной продукции; экономическая рентабельность увеличилась на 14,57% и это свидетельствует об увеличении прибыли с каждого рубля, вложенного в активы; рост рентабельности внеоборотных активов ( на 17,79%), вызванный увеличением чистой прибыли и сокращением стоимости внеоборотных активов, говорит о более эффективном их использовании.
Частным показателем рентабельности внеоборотных активов является фондорентабельность, увеличение которой свидетельствует о росте прибыли, приходящейся на единицу стоимости основных средств. Возросший уровень рентабельности собственного капитала (на 41,71%) отражает увеличившуюся отдачу средств, сформированных за счет вкладов собственников, а увеличившаяся в 2006 году по сравнению с 2005 годом на 123,85% рентабельность основной деятельности (окупаемость издержек) показывает, что прибыль с каждого рубля, затраченного на производство и реализацию продукции, возросля, и вызвано это опережающими темпами роста прибыли от реализации над темпами роста себестоимости реализованной продукции.
В 2007 году по сравнению с 2006 годом все показатели рентабельности сохранили тенденцию роста (исключение составляет коэффициент рентабельности собственного капитала, уменьшился на 1,45%). Значительный рост рентабельности перманентного капитала (на 63,60%), говорит о повышении эффективности использования капитала, вложенного в деятельность организации на длительный срок. Так же в 2007 году по сравнению с 2006 годом значительно увеличился уровень фондорентабельности (на 16,49%), который свидетельствует о росте прибыли, приходящейся на единицу стоимости основных средств.
3.5. Интегральный анализ прибыли
Рассчитаем для нашего примера все показатели, участвующие в модели, по приведенным исходным данным с учетом всех необходимых поправок:
Показатели анализа по методике корпорации Дюпон Табл. №3.5.1
| Показатели |
2006 |
2007 |
изменение 2007-2006 |
| 1 |
2 |
3 |
4 |
| Рентабельность собственного капитала (%) |
2,950 |
1,935 |
-1,015 |
| Рентабельность активов (%) |
1,390 |
0,915 |
-0,475 |
| Рентабельность продаж (%) |
20,536 |
11,873 |
-8,662 |
| Оборачиваемость активов |
0,067 |
0,077 |
0,009 |
| Финансовый рычаг |
2,121 |
2,114 |
-0,007 |
Мы видим, что рентабельность собственного капитала снизилась в 2007 г. Итак, на рентабельность собственного капитала прямо влияют рентабельность активов и финансовый рычаг. Рентабельность активов в 2007 г. изменялась в том же направлении, как и рентабельность собственного капитала. Значения этих показателей уменьшились на 0,4% и 1% соответственно. Рентабельность продаж в 2007 г. резко снизилась на 8,7% и составила 11,9%.
В данном случае можно предположить, что предприятие, не сокращая объем производства, подняло цены на свою продукцию, что вызвало кратковременный рост чистой прибыли.
Также необходимо учесть, что рентабельность продаж не снизилась в 2007 году более значительно благодаря прибыли от прочих видов деятельности, которые нельзя рассматривать как постоянный источник дохода. Если же исключить из рассмотрения эти финансовые результаты, то будет видно, что в целом доходность предприятия росла мене значительными темпами. Таким образом, можно сделать вывод, что у предприятия есть проблемы в основной деятельности, связанные с управлением затратами и ценообразованием, и эти проблемы требуют проведения более глубокого анализа.
Оборачиваемость активов в 2007 г. относительно 2006 г. изменилась не значительно, возросла на 0,009. Таким образом, эффективность инвестиционной деятельности в целом не изменилась.
Финансовый рычаг в течение года практически не менялся и оставался на уровне примерно 2,1 (см. таблицу 3.5.1
). Заемные средства превышают величину пассивов предприятия в 2 раза, и более 60% этих обязательств - долгосрочные. Можно сделать вывод, что все перспективное финансирование предприятие осуществляет за счет заемных средств, а значит, является предприятием с высоким уровнем финансового риска. В течение года собственный капитал предприятия уменьшался, так же как и объем заемных средств.
Из проведенного анализа видно, что резкие изменения рентабельности собственного капитала большей частью обусловлены динамикой рентабельности продаж. Гораздо слабее на результативный показатель влияла оборачиваемость активов и практически не влияла структура пассивов (финансовый рычаг). Таким образом, можно сделать вывод, что основными для данного предприятия являются проблемы в основной деятельности, связанные с управлением затратами и ценообразованием.
Заключение
В курсовой работе рассмотрены теоретические вопросы, касающиеся одной из важнейших категорий экономики - прибыли, анализа ее формирования, оценки показателей прибыли, а также указаны пути увеличения прибыли.
Главной целью системы проведения анализа прибыли является получение аналитической информации необходимой как для стратегичекого планирования прибыли на будующие периода, так и для общего представления о состоянии предприятия, рентабельности производства, реализуемых товаров, работ, услуг и возможных резервов увеличе. Эта главная цель призвана обеспечивать одновременно гармонизацию интересов собственников с интересами государства и персонала предприятия.
Анализ прибыли характеризуется многообразием своих форм. На выбор формы анализа влияет множество факторов: отрасль в которой осуществляет свою деятельность организация, специализация и вид деятельности предприятия объем товарооборота и его скорость и другие. Поэтому менеджерам организации необходимо грамотно оценить сложившуюся ситуацию на предприятии и выбрать именно ту форму анализа, которая даст наиболее исчерпывающую информацию для разработки мер по управлению прибыли с целью ее увеличения. В современной научной литературе выделяют множество методов анализа прибыли, но наибольшую практическую значимость имеет факторный анализ. Его проведение дает наиболее объективную оценку факторов формирования прибыли на предприятии.
Анализ финансовых результатов деятельности ОАО «Волгоградский речной порт» основывалась на целой системе показателей, которые характеризуют структуру прибыли, факторы влияющие на формирование прибыли, рентабельность деятельности предприятия. С этой целью была изучена динамика каждого показателя.
Так как прибыль отражает результаты всех видов деятельности предприятия — производственной, непроизводственной и финансовой. Это значит, что на размерах прибыли отражаются все стороны деятельности предприятия. Так, рост производительности труда означает снижение его затрат на единицу продукции, соответственно при нормальных условиях работы должны относительно снижаться расходы на оплату труда в расчете на единицу продукции. Улучшение использования основных производственных фондов означает, что относительно сокращаются затраты на их содержание и эксплуатацию, уменьшаются амортизационные отчисления в себестоимости отдельных изделий. Это, как и экономия материальных затрат, увеличивает прибыль и эффективность ее использования.
После проведенного анализа стало возможным сформулировать следующие выводы и рекомендации, реализация которых может повысить уровень финансово-хозяйственной деятельности, улучшить финансовое состояние предприятия.
Для повышения финансово-экономического положения предприятия необходимо решение ряда задач:
· снижение себестоимости производимой продукции;
· повышение конкурентоспособности продукции предприятия;
· повышение эффективности управления собственностью и ресурсами;
· улучшение менеджмента;
· внедрение маркетинговой стратегии;
· разработка новой финансовой стратегии;
· создание благоприятных условий для инвесторов, кредиторов, имеющих намерение выделить средства для финансирования или реструктуризации кредиторской задолженности.
Для исправления ситуации, необходим не только поиск и качественное выполнение заказов, но и осваивание дополнительных источников доходов и поступлений.
У предприятия должны быть стабильные источники доходов, которые обеспечивали бы стабильное поступление денежных средств. Ниже предлагаются некоторые возможные пути формирования таких источников.
Для развития предприятия и ввода в эксплуатацию новых транспортных средств и предоставления новых услуг в ОАО «Волгоградский речной порт» необходимо провести работы по модификации структуры активов предприятия и формируемой отчетности, в соответствии с требованиями организаций-лизингодателей и кредитных организаций, что позволит привлечь сторонние долгосрочные заемные средства.
«ВРП» важно в сотрудничестве с Администрацией г. Волжского провести работу по созданию на базе Волжского порта интермодального терминала, который позволит объединить в части предоставления транспортно-экспедиционных услуг: железную дорогу, аэропорт, автоперевозчиков, Волгоградский речной порт, Волгоградскую таможню, экспедиторов и т.д., Это позволит перейти на новый уровень взаимоотношений с грузовладельцами как российскими, так и зарубежными.
«ВРП» необходимо рассматреть возможность участия в работе транспортного коридора «Дунай – Волга», что влечет за собой взаимодействие на очень серьезном уровне с грузовладельцами и экспедиторами из Европы.
Создание инфраструктур будет оказывать дополнительные услуги в сфере транспортных перевозок, а именно:
· создание терминала, специализированного на работе с крупнотоннажными контейнерами (40-футовыми) и спецконтейнерами для химгрузов;
· организация транспортно-брокерской структуры, оказывающей информационные услуги для клиентов в сфере нахождения судов для фрахта, а для судовладельцев попутного груза;
Стратегически важно изучить возможность и организовать на паритетных началах судоходную компанию, имеющую суда класса «река-море». Это позволит резко увеличить грузопоток, проходящий через порты «ВРП».
При реализации данных предложений произойдет рост как грузовых так пассажирских рейсов на 30%, что повлечет за собой увеличение выручки от реализации товаров, работ, услуг и прибыли. Так планируется снижение себестоимости на 10% за счет использования более экономичных типов топлива. Можно провести первичные расчеты на основе предполагаемых данных и сравнить их с данными 2007г.
Горизонтальный анализа плановых показателей Табл. №4.1
| Наименование показателя |
2007 |
План |
Измененние (тыс. руб., %) |
| 1
|
2
|
3
|
4
|
5
|
| Выручка от продаж
|
25695
|
33403,5
|
7708,5
|
130,00%
|
| Себестоимость |
15803
|
18489,51
|
2686,51
|
117,00%
|
| Валовая прибыль
|
9892
|
14913,99
|
5021,99
|
150,77%
|
| Коммерческие расходы |
2723
|
3267,6
|
544,6
|
120,00%
|
| Управленческие расходы |
3149
|
3778,8
|
629,8
|
120,00%
|
| Прибыль от продаж
|
4020
|
7867,59
|
3847,59
|
195,71%
|
| Чистая прибыль
|
3051
|
6898,59
|
3847,59
|
226,11%
|
Таким образом, чистая прибыль увеличится на 3847,59 тыс. руб. или на 126%, при снижении себестоимости на 10% и росте выручке от продаж на 30%.
Проанализируем полученные данные с помощью методики корпорации Дюпон, и сравним их с данными за 2007г.
Показатели анализа по методике корпорации Дюпон Табл. №4.2
| Показатели |
2007 |
План |
Изменение |
| 1 |
2 |
3 |
4 |
| Рентабельность собственного капитала (%) |
1,935175 |
4,375608 |
2,440432654 |
| Рентабельность активов (%) |
0,915287 |
2,069548 |
1,15426084 |
| Рентабельность продаж (%) |
11,87391 |
20,6523 |
8,778391486 |
| Оборачиваемость активов |
0,077084 |
0,100209 |
0,023125176 |
| Финансовый рычаг |
2,114282 |
2,114282 |
0 |
Рентабельность продаж возросла на 8,8% и составила в плановом периоде 20,7%. Рентабельность активов так же, как и рентабельность собственного капитала увеличилась на 1,2% и 2,4% соответственно. Оборачиваемость активов увеличилась не значительно.
Данный пример показывает необходимость принятия срочных мер для проведения предложенных плановых задач, цель которых является увеличение прибыли, рентабельности деятельности предприятия, снижение финансовых рисков и увеличения инвестиционной привлекательности данного предприятия.
Список используемой литературы
1. Гражданский кодекс Российской Федерации Часть I. – М.: ООО «ВТРЭМ», 2001. – 169с.
2. Балабанов И.Т. Финансовый анализ и планирование хозяйствующего субъекта. – 2-е изд. доп. – М.: Финансы и статистика, 2000. – 208с.
3. Барышников Н.П. Бухгалтерский учет, отчетность и налогообложение / В 2т.- М: Информационный издательский дом «Филинь»,1998.-Т2.-с.351
4. Беннет Р. Секреты эффективного управления = Effectivemanagement.: Пер. с англ. – М.: ЛОРИ, 1999. – 216с.
5. Бланк И.А. Управление прибылью. – Киев: НикаЦентр, Эльга, 1998. – 544с.
6. Вещунова Н.Л., Фамина Л.Ф. Бухгалтерский учет на предприятиях различных форм собственности. – М.: Финансы, 1999.-246с.
7. Гиляровская Л.Т., Ендовицкий Д.А. Финансово-инвестиционный анализ и аудит коммерческих организаций. – Воронеж: Издательство Воронежского государственного университета, 1997. – 336с.
8. Глазунов В.Н. Критерии оценки рентабельности и платежеспособности.– М.: Дело, 2000. - №1. – С.67-72
9. Друкер П. Эффективное управление = ManagingforResults.: Экономические задачи и оптимальные решения / Пер. с англ. М. Котельниковой. – М.: Фаир-пресс, 1998. – 288с.
10. Ефимова О.В. Финансовый анализ. - М.: «Бухгалтерский учет», 1998 г. – 235с.
11. Ивашковский С.Н. Экономика: Микро- и макроанализ: Учебно-практическое пособие. - М.: Дело, 1999. – 360с.
12. Ковалев А.И., Привалов В.П. Анализ финансового состояния предприятия. - М.: Центр экономики и маркетинга, 2000 г. – 486с.
13. Ковалев В.В. Финансовый анализ: методы и процедуры: Научное издание / В.В. Ковалев. – М.: Финансы и статистика, 2001. – 560с.: ил.
14. Ковалев В.В. Финансовый анализ: Управление капиталом. Выбор инвестиций. Анализ отчетности. – 2-е изд., перераб. и доп. – М.: Финансы и статистика, 2000. – 512с.: ил.
15. Ковалев В.В., Волкова О.Н. Анализ хозяйственной деятельности предприятия. – М.: Проспект, 2000. – 424с.
16. Ковалева А.М. Финансы в управлении предприятием: М.: Финансы и статистика,1998. - 339с.
17. Любушин Н.П., Лещева В.Б., Дьякова В.Г. Анализ финансово-экономической деятельности предприятия. - М.: ЮНИТИ-ДАНА, 1999 г. – 254с.
18. Миляков Н.В. Налоги и налогообложение: Курс лекций. – М.: ИНФРА-М, 2000. – 492с.
19. Прыкина Л.В. Экономический анализ предприятия: Учебник для вузов / Л.В. Прыкина. – М.: ЮНИТИ-ДАНА, 2001. – 360с.
20. Раицкий К.А. Экономика предприятия. – М.: ИВЦ «Маркетинг», 2000. – 346с.
21. Савицкая Г.В. Анализ хозяйственной деятельности предприятия.: Учеб. пособие. – 4-е изд., перераб. и доп. – Минск: Новое издание, 1999. – 688с.
22. Савицкая Г.В. Анализ хозяйственной деятельности предприятия: 2-е изд., перераб. и доп. – Мн.: ИП Экоперспектива, 1997. – 741с.
23. Самуэльсон П. Экономикс. / Пер. с англ. М. Мишина. – М.: ИНФРА-М, 1999. – 592с.: ил.
24. Сухова Л.Ф., Чернова Н.А. Практикум по разработке бизнес-плана и финансовому анализу предприятия: Учеб. пособие для вузов. – М.: Финансы и статистика, 2000. – 160с.: ил.
25. Шеремет А.Д. и др. Методика финансового анализа: Учеб. пособие для вузов./ Шеремет А.Д., Сайфулин Р.С., Негашев Е.В. – 3-е изд., перераб. и доп. – М.: ИНФРА-М, 2000. – 208с. – (Сер. «Высшее образование»)
26. Астринский Д. Экономический анализ финансового положения предприятия // Экономист. – 2000. - №12. – С.53-59
27. Косякин И. Финансовый анализ, как инструмент управления предприятием // Финансовая газета. – 1998. - №7. – С.13-16
28. Крайнина М. Бухгалтерский баланс, как база для принятия решений по управлению активами и пассивами предприятия // Менеджмент в России и за рубежом. – 2000. - №6. – С.110-113
29. Ложкин О. Факторная зависимость рентабельности капитала // Аудит и финансовый анализ. – 2001. - №3. – С.130-131
30. Матвейчева Е., Вишнинская Г. Финансовые результаты деятельности предприятия // Аудит и финансовый анализ. – 2000. - №1. – С.28-32
31. Мелентьева В. Анализ рентабельности торговых предприятий // Аудитор. – 1999. - № 9 - 10
32. Федосеева Н. Бухгалтерская обработка документов // Экономика и учет труда. – 2001.-№10. – С.12-19
33. Хомидов А. Анализ бухгалтерского баланса // Аудит и финансовый анализ. – 2001. - №1. – С.5-24
34. Чернов В. Анализ рентабельности // Аудит и финансовый анализ.– 2001. - №2. – С.70-71
35. Шамхалов Ф. Прибыль – основной показатель результатов деятельности организации // Финансы. – 2000. - №6. – С.19-22
36. Яцюк Н., Халевинсая Е. Оценка финансовых результатов деятельности предприятия // Аудит и финансовый анализ. – 2002. - №1. – С.80-100
1
В частности, в статье Шамхалова Ф.И. «Прибыль – основной показатель результатов деятельности организации» [44, с.19] изложена сущность и понятие прибыли предприятия. В книге Ковалева В.В. «Финансовый анализ: методы и процедуры» [13, с.76] представлена градация прибыли на виды. В работе Бланка И.А. «Управление прибылью» [5, с.24] дана классификация видов прибыли и методов ее анализа. В статье Чернова В.А. «Анализ рентабельности» [43, с.70] (Аудит и финансовый анализ. №2, 2001.) представлены основные коэффициенты рентабельности предприятия.
[2]
Беннет Р. Секреты эффективного управления = Effectivemanagement.: Пер. с англ. – М.: ЛОРИ, 1999. – 216с. (стр. 54)
3Ковалев В.В. Финансовый анализ: методы и процедуры: Научное издание / В.В. Ковалев. – М.: Финансы и статистика, 2001. – 560с.: ил. (стр. 126)
[4]
Ивашковский С.Н. Экономика: Микро- и макроанализ: Учебно-практическое пособие. - М.: Дело, 1999. – 360с.
[5]
Бланк И.А. Управление прибылью. – Киев: НикаЦентр, Эльга, 1998. – 544с.
[6]
Астринский Д. Экономический анализ финансового положения предприятия // Экономист. – 2000. - №12. – С.53-59
[7]
Яцюк Н., Халевинсая Е. Оценка финансовых результатов деятельности предприятия // Аудит и финансовый анализ. – 2002. - №1. – С.80-100
|