| Оглавление
Введение…………………………………………………………………………...2
1. Теоретическая часть……………………………………………………………3
1.1. Понятие экономической конъюнктуры………………………………….3
1.2. Показатели эффективности экономической конъюнктуры…………...4
1.3. Методы исчисления общей (абсолютной) и сравнительной (относительной) эффективности……………………………………………...8
2. Расчетная часть………………………………………………………………..13
2.1. Задание 1…………………………………………………………………14
2.2. Задание 2…………………………………………………………………21
2.3. Задание 3…………………………………………………………………27
2.4. Задание 4…………………………………………………………………30
3. Аналитическая часть………………………………………………………….33
3.1. Постановка задачи……………………………………………………….33
3.2. Методика решения задачи……………………………………………....34
3.3. Технология выполнения расчетов……………………………………...35
3.4. Результаты проведенных расчетов………………………………….….37
Заключение……………………………………………………………………….38
Список использованной литературы………………………………………….39
Приложение 1…………………………………………………………………..40
Приложение 2……………………………………………………………………41
Введение
Торговля - один из наиболее важных социально - экономических процессов. Сущность торговли заключается в функционировании развернутого и разветвленного процесса обмена товаров на деньги.
В сфере обращения происходят преобразования, которые в конечном итоге должны привести к формированию полнокровного рынка товаров и услуг, созданию действенного рыночного механизма.
Рынок товаров представляет собой единую систему с определенной иерархией, прочными взаимосвязями и определенными пропорциями между секторами. Перед статистикой стоит единая цель – оценка, анализ и прогнозирование состояния и развития рынка. Для данной цели применяются одинаковые для всех секторов методы исследования.
Наличие различных товарных рынков вызывает необходимость отслеживания происходящих в них изменений, т.е. осуществления мониторинга отклонений рыночной ситуации от состояния равновесия, или, иными словами, осуществления мониторинга конъюнктуры рынка.
Круг явлений и процессов, которые анализируются при изучении конъюнктуры товарных рынков, включает в себя экономические, технические, естественно-биологические и другие факторы, воздействующие на развитие товарных рынков в каждый конкретный момент.
Забиваем Сайты В ТОП КУВАЛДОЙ - Уникальные возможности от SeoHammer
Каждая ссылка анализируется по трем пакетам оценки: SEO, Трафик и SMM.
SeoHammer делает продвижение сайта прозрачным и простым занятием.
Ссылки, вечные ссылки, статьи, упоминания, пресс-релизы - используйте по максимуму потенциал SeoHammer для продвижения вашего сайта.
Что умеет делать SeoHammer
— Продвижение в один клик, интеллектуальный подбор запросов, покупка самых лучших ссылок с высокой степенью качества у лучших бирж ссылок.
— Регулярная проверка качества ссылок по более чем 100 показателям и ежедневный пересчет показателей качества проекта.
— Все известные форматы ссылок: арендные ссылки, вечные ссылки, публикации (упоминания, мнения, отзывы, статьи, пресс-релизы).
— SeoHammer покажет, где рост или падение, а также запросы, на которые нужно обратить внимание.
SeoHammer еще предоставляет технологию Буст, она ускоряет продвижение в десятки раз,
а первые результаты появляются уже в течение первых 7 дней.
Зарегистрироваться и Начать продвижение
Цель курсовой работы – рассмотреть методику статистического анализа эффективности экономической конъюнктуры. Для достижения этого необходимо решить следующий ряд задач: дать понятие экономической конъюнктуры, определение ее эффективности и показателей ее измеряющих;
В расчетной части применены рассмотренные теоретические знания при решении задач.
В аналитической части взяты данные из Российского статистического ежегодника по обороту оптовой продукции за 5 лет и проведен статистический анализ его динамики.
Все расчеты были произведены с помощью программных средств компьютерной техники - табличного процессора MS Excel.
1.1. Понятие экономической конъюнктуры К числу наиболее важных задач, которые призвана решать статистика рынка, относится изучение рыночной конъюнктуры. Причем эта задача является актуальной как на макро-, так и на микроуровне. Ни одна фирма, крупная или малая, занимающаяся куплей-продажей товаров, не сумеет успешно функционировать без оценки положения на рынке. Любое долгосрочное или оперативное маркетинговое решение принимается на базе конъюнктурных оценок. Термин конъюнктура происходит от латинского слова conjungo-соединяю, связываю. Конъюнктура рынка, или рыночная конъюнктура - это конкретная экономическая ситуация, сложившаяся на рынке на данный момент или ограниченный отрезок времени, уровень экономической активности, характеризуемые движением цен (см. приложение 1), процентных ставок, валютного курса, заработной платы, дивидендов, а также динамикой производства и потребления. Понятие рыночной ситуации включает:
- степень сбалансированности рынка (соотношение спроса и предложения);
- сформировавшиеся, наметившиеся или изменившиеся тенденции его развития;
- уровень устойчивости или колеблемости его основных параметров;
- масштабы рыночных операций и степень деловой активности;
- уровень коммерческого (рыночного) риска;
- сила и размах конкурентной борьбы;
- положение рынка в определенной точке экономического или сезонного цикла. Главная цель изучения конъюнктуры рынка - определить характер и степень его сбалансированности, прежде всего соотношения спроса и предложения. Суть действия рыночного механизма проявляется в стремлении спроса и предложения к равновесию. Однако этот процесс, имеющий стохастический характер, происходит под постоянным воздействием множества противоречивых факторов, что и обусловливает наличие постоянных колебаний и отклонений от основной тенденции развития рынка. Статистика конъюнктуры рынка (или как ее еще часто называют - конъюнктурная статистика) представляет собой раздел статистики рынка, изучающий ситуацию, складывающуюся на рынке под влиянием комплекса социально-экономических, демографических, естественно-природных, организационных, общественно-политических, а также случайных факторов.[1]
Предмет статистики конъюнктуры рынка - массовые процессы и явления, определяющие конкретную рыночную ситуацию, поддающиеся количественной и качественной оценке.
1.2. Показатели эффективности экономической конъюнктуры
Показатели эффективности экономической конъюнктуры должны давать всестороннюю оценку использования всех ресурсов предприятия и содержать все общеэкономические показатели. К ним относятся: 1.Показатели эффективности использования труда: Производительность труда будучи сложной экономической категорией измеряется несколькими показателями, находящимися между собой в определенных отношениях и соотношениях. Среди этих показателей первостепенную роль играют соотношение показателей объема, величин полученных благ от применения соответствующего количества труда. Это соотношение может быть выражено в виде прямых соотношений q (произведенная продукция) к Т (затраты времени в часах, днях и т.п.) и обратных отношений Т : q. Таким образом, существует система взаимообусловленных и взаимообратных показателей: выработка продукции в единицу времени w = q : т и трудоемкость изготовления единицы продукции t = Т : q. Динамика производительности труда по этому методу определяется индексом, имеющим следующий вид:

2. Показатели эффективности использования основных фондов, оборотных средств:
Фондоотдача - наиболее распространенный показатель экономической эффективности основных фондов, обобщенно характеризуют уровень их использования. При расчете фондоотдачи (h) товарная продукция (валовая) сопоставимых оптовых ценах предприятия делится величину средней балансовой стоимости основных фондов (Фос
), т.е. по формуле
h = Q : Фос
Фондоотдача характеризует использование основных фондов как материальных ресурсов производства. Уровень фондоотдачи находится в зависимости не только от степени использования основных фондов в час или смену, но также от числа смен работы в день и от продолжительности отчетного периода. При трехсменной работе объем продукции за день на единицу стоимости основных фондов будет больше, чем при односменной работе.
Сервис онлайн-записи на собственном Telegram-боте
Попробуйте сервис онлайн-записи VisitTime на основе вашего собственного Telegram-бота:
— Разгрузит мастера, специалиста или компанию;
— Позволит гибко управлять расписанием и загрузкой;
— Разошлет оповещения о новых услугах или акциях;
— Позволит принять оплату на карту/кошелек/счет;
— Позволит записываться на групповые и персональные посещения;
— Поможет получить от клиента отзывы о визите к вам;
— Включает в себя сервис чаевых.
Для новых пользователей первый месяц бесплатно.
Зарегистрироваться в сервисе
Наряду с фондоотдачей в статистике вычисляют обратную ее величину, которую обычно называют фондоемкостью. Рассчитывается фондоемкость по балансовой стоимости производственных основных фондов, либо в среднегодовом исчислении, либо по состоянию на конец соответствующего года.
Уровень фондовооруженности работников определяется как отношение стоимости промышленно-производственных основных фондов к числу работников, применяющих эти основные фонды в производстве. Вооруженность основными фондами на одного работавшего или на одного рабочего определяется на определенную дату через деление стоимости основных фондов на число рабочих или число работающих. Основные фонды (основные фонды РФ см. приложение 2) целесообразно брать по статистическим данным отражающим полную восстановительную стоимость.
К числу показателей эффективности использования оборотных средств относятся скорость и скорость оборота оборотных. Скорость оборота оборотных средств выражается числом оборотов, которые совершили эти средства за данный отчетный период. Число оборотов определяется как частное от деления общей суммы оборота на средние запасы.
3. Показатели себестоимости продукции и структура затрат на производство.
Себестоимость продукции относится к числу важнейших качественных показателей, в обобщенном виде отражающих все стороны хозяйственной деятельности предприятий (фирм, компаний), их достижения и недостатки. Уровень себестоимости связан с объемом и качеством продукции, использованием рабочего времени, сырья, материалов, оборудования, расходованием фонда оплаты труда и т.д. Себестоимость, в свою очередь, является основой определения цен на продукцию. Снижение ее приводит к увеличению суммы прибыли и уровня рентабельности. Чтобы добиваться снижения себестоимости, надо знать ее состав, структуру и факторы ее динамики. Все это и является предметом статистического изучения при анализе себестоимости. Себестоимость продукции (работ, услуг) представляет собой стоимостную оценку используемых в процессе производства продукции (работ, услуг) природных ресурсов, сырья, материалов, топлива, энергии, основных фондов, трудовых ресурсов и других затрат на ее производство и реализацию. [2]
В себестоимости учитываются затраты прошлого труда, перенесенные на вновь созданную продукцию (сырье, материалы, топливо, электроэнергия, износ основных средств), издержки, связанные с использованием живого труда (оплата труда рабочих и служащих, отчисления на социальные нужды), и прочие затраты. Себестоимость является частью стоимости продукции и показывает, во что обходится производство продукции для предприятия (фирмы). Имея данные о себестоимости единицы изделия за предыдущий период (Z0
), по плановым расчетам (Zпл
) и за отчетный период (Z1
), можно дать общую характеристику степени выполнения планового задания по снижению себестоимости и ее динамики, а также определить абсолютную сумму экономии или перерасхода в результате изменения себестоимости.
Индекс планового задания: 
Индекс выполнения планового задания: 
Индекс динамики: 
Перечисленные индексы взаимосвязаны:

4. Обобщенные показатели эффективности производства:
Рентабельность является относительным показателем, который характеризует относительную доходность (прибыльность) какого-либо вида деятельности и выражается в процентах к текущим затратам на производство или к затратам капитала. Общая рентабельность R определяется как отношение общей суммыбалансовой прибыли Прб
к средней стоимости основных производственных фондов, нематериальных активов и материальных оборотных средств Ф:

С точки зрения экономического содержания показатель общей рентабельности характеризует величину прибыли в расчете на 100 руб., вложенных в основные производственные фонды, материальные оборотные средства, нематериальные активы. Предприятие считается рентабельным, если R > 1.
Показатель
рентабельности реализованной продукции Rпр
характеризует эффективность текущих затрат и определяется как отношение прибыли реализованной продукции (Прпр
) к затратам на ее производство Z (полной себестоимости или издержкам обращения в торговых организациях):

Показатель
рентабельности капитала Ок
характеризует деловую активность предприятия (организации) в финансовой деятельности и измеряется с помощью показателя общей оборачиваемости (возврата) капитала, т.е. определяется как отношение выручки от реализации продукции В к капиталу предприятия К (основной капитал, материальные оборотные средства, нематериальные активы, фонды обращения):

В условиях рыночных отношений важное значение приобретает статистический анализ финансовой устойчивости предприятия (фирмы), под которой понимается способность хозяйствующего субъекта вовремя возмещать из собственных средств затраты и расплачиваться по своим обязательствам.
1.3. Методы исчисления общей (абсолютной) и сравнительной (относительной) эффективности
Сущность проблемы повышения экономической эффективности производства состоит в увеличении экономических результатов на каждую единицу затрат в процессе использования имеющихся ресурсов.
Повышение эффективности производства может достигаться как за счет экономии, текущих затрат (потребляемых ресурсов), так и путем лучшего использования действующего капитала и новых вложений в капитал (применяемых ресурсов).
Различают абсолютную и сравнительную экономическую эффективность. Абсолютная характеризует фактическую эффективность уже произведенных затрат, а сравнительная вычисляется на стадиях проектирования и планирования, когда из нескольких возможных вариантов выбирается один – наиболее экономичный.
Сравнительная эффективность представляет частный случай приростной эффективности (приростная эффективность характеризуется отношением прироста эффекта за расчетный период к приросту вызвавших их затрат), когда базой для расчета эффекта и затрат являются не показатели прошлой деятельности, а один из сравниваемых вариантов. В качестве эффекта здесь чаще всего выступает рост прибыли в результате снижения себестоимости при реализации одного варианта по сравнению с другим ( или просто разность себестоимости), а в качестве затрат – дополнительные капитальные вложения, обеспечивающие снижение себестоимости по лучшему варианту. Сравнительная эффективность отражает лишь эффективность совершенствования (реконструкции, развития, улучшения и т.п.) варианта, но не эффективности функционирования усовершенствованного варианта, последняя может оказаться и ниже нормативной.
Важнейшим экономическим результатом рыночной деятельности предприятия с учетом долговременной перспективы его развития является получение максимальной прибыли на вложенный капитал. Соотношение прибыли и единовременных затрат становится исходной основой для реального повышения эффективности производства. Отсюда в качестве исходного количественного критерия эффективности производства должна выступать годовая норма прибыли на вложенный каптал (Е)
,
где К
– вложения в капитал, обеспечивающие получение прибыли, руб.;
П
– чистая прибыль (годовая) за вычетом налогов, руб.
Расчетные значения нормы прибыли могут изменяться в зависимости от структуры каптала, уровня прогнозируемых цен на продукцию, объема спроса и других факторов. Выбранный критерий эффективности производства в виде нормы прибыли на капитал применяется как для сравнения различных вариантов развития предприятия, так и для оценки единственного варианта рынком. В соответствии с принятым критерием определяются конкретные показатели эффективности производства, отражающие основные характеристика затрат и результатов.
В международной практике обоснования эффективности инвестиционных проектов используются следующие обобщающие показатели эффективности производства: чистый приведенный доход (чистая текущая стоимость), срок окупаемости, внутренняя норма доходности, индекс рентабельности, рентабельность и др.
Чистая текущая стоимость (NPV
) определяется как разность между поступлением и расходом денежных средств за весь период предполагаемого функционирования предприятия с учетом фактора времени, представляет собой ожидаемый чистый доход, приведенный к начальному моменту времени
,
где - инвестиционные расходы в периоде t
; t
= 1,2,…,
n
2
.
n
1
- - продолжительность процесса инвестиций;
n
2
- продолжительность периода отдачи от инвестиций;
- дисконтированная сумма денежных доходов;
- дисконтированная сумма денежных доходов;
- коэффициент приведения (дисконтирования);
q
- ставка сравнения .
Необходимо отметить, что показатель NPV
отражает прогнозную оценку изменения экономического потенциала предприятия в случае принятия рассматриваемого проекта.
Внутренняя норма доходности (IRR
) является ставкой процентов, при которой чистая текущая стоимость NPV
равна 0.
Чем меньше ставка по кредитам или уровень дивидендов по сравнению с нормой доходности, тем прибыльнее инвестиционный проект.
При сравнении инвестиционных проектов отбирается наилучший проект с большей нормой доходности.
Индекс рентабельности (Р
I
) рассчитывается по формуле
.
Индекс рентабельности инвестиций характеризует некоторую дополнительную рентабельность, так как при ее расчете доходы и расходы уже дисконтированы по ставке сравнения q
. Если показатель Р
I
равен единице, то это означает, что доходность капиталовложений точно соответствует нормативу рентабельности q
. При Р
I
<1 инвестиции не рентабельны, так как не обеспечивают этот норматив.
Рентабельность капитала (Рк
) – соотношение чистой прибыли (ЧП
) (за вычетом налогов) к собственному капиталу (К
). В условиях рынка рентабельность капитала характеризует минимальную норму прибыльности капитальных вложений и является более стабильным показателем, чем рентабельность продукции.
.
Срок окупаемости (Ток
) – это период времени, который необходим для того, чтобы будущая прибыль (П
) предприятия достигла величины осуществленных капитальных вложений (К
). Показатель срока окупаемости характеризует интенсивность возврата затраченных средств на определенном интервале времени после их вложения. Определяется без учета фактора времени по формуле
.
Абсолютная эффективность характеризует отношение эффекта (результата в виде объема продукции или прибыли или снижения затрат живого труда, себестоимости, материальных ресурсов, капитальных вложений и оборотных средств, приводящего к росту продукции, прибыли) к затратам на реализацию варианта, отобранного по критериям. Абсолютная эффективность в отличие от сравнительной, всегда рассчитывается по фактическим или ожидаемым показателям реализации варианта без приведения их в условный сопоставимый вид.
В условиях рынка каждое предприятие, будучи экономически самостоятельным товаропроизводителем, вправе использовать любые оценки эффективности развития собственного производства в рамках установленных государством налоговых отчислений и социальных ограничений. Особенности функционирования рынка отторгают деление эффективности на общую и сравнительную, характерную для отечественной теории и практики, поскольку возможности способа развития производства и выбор наилучшего варианта зависят от рыночной конъюнктуры. Рыночная же конъюнктура весьма сложна, и переход к рынку обуславливает важность разработки единых подходов к измерению затрат и результатов для отбора и реализации подлинно эффективных решений на всех уровнях управления производством, которые превращают расчет экономической эффективности из формальной хозяйственной процедуры в жизненную необходимость.
2. Расчетная часть
По результатам выборочного наблюдения на рынке недвижимости города за неделю получены следующие данные (выборка 20%-ная типическая с пропорциональным отбором внутри типических групп) о цене 1 кв. метра общей площади однокомнатных квартир.
Выборочные данные представлены в табл.1.1.
Таблица 1.1
Исходные данные
| № по п/п
|
Рейтинг района города по удаленности от центра
|
Цена 1 кв. м общей площади квартиры, у.е
|
| 1
|
2
|
361,1
|
| 2
|
5
|
186,7
|
| 3
|
2
|
177,6
|
| 4
|
1
|
406,4
|
| 5
|
5
|
310,2
|
| 6
|
6
|
321,0
|
| 7
|
3
|
390,4
|
| 8
|
3
|
187,3
|
| 9
|
2
|
403,1
|
| 10
|
1
|
433,3
|
| 11
|
6
|
187,3
|
| 12
|
1
|
386,1
|
| 13
|
3
|
138,9
|
| 14
|
1
|
481,4
|
| 15
|
4
|
256,2
|
| 16
|
4
|
266,9
|
| 17
|
6
|
117,0
|
| 18
|
6
|
293,9
|
| 19
|
1
|
500,0
|
| 20
|
2
|
350,0
|
| 21
|
2
|
405,2
|
| 22
|
5
|
210,5
|
| 23
|
5
|
193,3
|
| 24
|
1
|
437,5
|
| 25
|
4
|
267,8
|
| 26
|
2
|
340,9
|
| 27
|
2
|
394,9
|
| 28
|
5
|
266,7
|
| 29
|
3
|
157,9
|
| 30
|
2
|
359,2
|
| 31
|
4
|
286,1
|
| 32
|
1
|
380,8
|
| 33
|
4
|
284,2
|
| 34
|
3
|
350,0
|
| 35
|
3
|
392,5
|
| 36
|
2
|
480,5
|
| 37
|
3
|
402,8
|
| 38
|
1
|
394,1
|
| 39
|
4
|
350,1
|
| 40
|
2
|
363,0
|
Задания 1
1.
Построить статистический ряд распределения банков по Цене за 1 кв. м общей площади квартиры, образовав шесть
групп с равными интервалами.
При построении ряда с равными интервалами величина интервала h
определяется по формуле
,
где
– наибольшее и наименьшее значения признака в исследуемой совокупности, k
-
число групп интервального ряда.
В данном примере, при заданных k
= 6, xmax
= 500,0 у.е., xmin
= 117,0 у.е.:
h = = 63, 8 у.е.
При h
=
63,6 у.е
.
границы интервалов ряда распределения имеют следующий вид (табл. 1.2)
Таблица 1.2
Ряды распределения
| № группы
|
Нижняя граница
|
Верхняя граница
|
| 1
|
117,0
|
180,8
|
| 2
|
180,8
|
244,6
|
| 3
|
244,6
|
308,4
|
| 4
|
308,4
|
372,2
|
| 5
|
372,2
|
436,1
|
| 6
|
436,1
|
и далее
|
Для построения интервального ряда необходимо подсчитать число квартир, входящих в каждую группу (частоты групп). Процесс группировки единиц совокупности по признаку Цена за 1 кв. м общей площади квартиры
представлен во вспомогательной (разработочной) таблице 1.3 (графа 4 этой таблицы необходима для построения аналитической группировки в Задании 2)
Таблица 1.3
Разработочная таблица для построения интервального ряда распределения и аналитической группировки
| Группа
|
№ квартиры
|
Цена за 1 кв.м общей площади квартиры, у.е
|
Структура
|
| 117,0 – 180,8
|
3
|
117,6
|
|
| 13
|
138,9
|
|
| 17
|
117,0
|
|
| 29
|
157,9
|
|
| Всего
|
4
|
591,4
|
10
|
| 180,8 – 244,6
|
2
|
186,7
|
|
| 8
|
187,3
|
|
| 11
|
187,3
|
|
| 22
|
210,5
|
|
| 23
|
193,3
|
|
| Всего
|
5
|
965,1
|
12,5
|
| 244,6 – 308,4
|
15
|
256,2
|
|
| 16
|
266,6
|
|
| 18
|
293,9
|
|
| 25
|
267,8
|
|
| 28
|
266,7
|
|
| 31
|
286,1
|
|
| 33
|
284,2
|
|
| Всего
|
7
|
1921,1
|
17,5
|
| 308,4 – 372,2
|
1
|
361,1
|
|
| 5
|
310,2
|
|
| 6
|
321,0
|
|
| 20
|
350,0
|
|
| 26
|
340,9
|
|
| 30
|
359,2
|
|
| 34
|
350,0
|
|
| 39
|
350,1
|
|
| 40
|
363,0
|
|
| Всего
|
9
|
3105,5
|
22,5
|
| 372,2 – 436,1
|
4
|
406,4
|
|
| 7
|
390,4
|
|
| 9
|
403,1
|
|
| 10
|
433,3
|
|
| 12
|
386,1
|
|
| 21
|
405,2
|
|
| 27
|
394,9
|
|
| 32
|
308,8
|
|
| 35
|
392,5
|
|
| 37
|
402,8
|
|
| 38
|
394,1
|
|
| Всего
|
11
|
4389,6
|
27,5
|
| Группа
|
№ квартиры
|
Цена за 1 кв.м общей площади квартиры, у.е
|
Структура
|
| 436,1 и далее
|
14
|
481,4
|
|
| 24
|
437,5
|
|
| 19
|
500,0
|
|
| 36
|
480,5
|
|
| Всего
|
4
|
1899,4
|
10
|
| Итого
|
40
|
12872,1
|
100
|
На основе групповых итоговых строк «Всего» табл. 1.3 формируется итоговая таблица 1.4, представляющая интервальный ряд распределения квартир по цене за 1 кв.м.
Таблица 1.4
Распределение квартир по цене за 1 кв. м.общей площади, у.е.
| Номер группы
|
Группы квартир, по цене за 1кв. м, у.е.
х
|
Число квартир,
f
|
| 1
|
117,0 – 180,8
|
4
|
| 2
|
180,8 – 244,6
|
5
|
| 3
|
244,6 – 308,4
|
7
|
| 4
|
308,4 – 372,2
|
9
|
| 5
|
372,2 – 436,1
|
11
|
| 6
|
436,1 и далее
|
4
|
| |
Итого
|
40
|
Помимо частот групп в абсолютном выражении в анализе интервальных рядов используются ещё три характеристики ряда, приведенные в графах 4 - 6 табл.1.4. Это частоты групп в относительном выражении
, накопленные (кумулятивные) частоты
Sj
,
получаемые путем последовательного суммирования частот всех предшествующих (j-1) интервалов, и накопленные частости,
рассчитываемые по формуле 
Таблица 1.5
Структура квартир по цене за 1 кв. м
| № группы
|
Группы квартир по цене за 1 кв. м, у.е.
|
Число квартир, fj
|
Накопленная
частота,
Sj
|
Накопленная
частоcть, %
|
| в абсолютном выражении
|
в % к итогу
|
| 1
|
2
|
3
|
4
|
5
|
6
|
| 1
|
117,0 – 180,8
|
4
|
10
|
4
|
10
|
| 2
|
180,8 – 244,6
|
5
|
12,5
|
9
|
22,5
|
| 3
|
244,6 - 308,4
|
7
|
17,5
|
16
|
40
|
| 4
|
308,4 – 372,2
|
9
|
22,5
|
25
|
62,5
|
| 5
|
372,2 – 436,1
|
11
|
27,5
|
36
|
90
|
| 6
|
436,1 и далее
|
4
|
10
|
40
|
100
|
| |
Итого
|
40
|
100
|
|
|
Вывод.
Анализ интервального ряда распределения изучаемой совокупности однокомнатных квартир показывает, что распределение квартир по цене за 1 кв. м общей площади квартиры не является равномерным: преобладают квартиры с ценой за 1 кв. м от 372,2 у.е. до 436,1 у.е. (это 11 однокомнатных квартир, доля которых составляет 27,5%); 22,5% квартир имеют цену за 1 кв. м общей площади менее 372,2 у.е., а 40% – менее 308,4 у.е.
2.
Рассчитайте характеристики интервального ряда распределения: среднюю арифметическую, среднее квадратическое отклонение, коэффициент вариации, моду и медиану.
Для расчета характеристик ряда распределения , σ
,
σ
2
, Vσ
на основе табл. 1.5 строится вспомогательная таблица 1.6 (
– середина j-го интервала).
Таблица 1.6
Расчетная таблица для нахождения характеристик ряда распределения
| Группы однокомнатных квартир по цене за 1 кв.м общей площади, у.е.
|
Середина интервала,
|
Число квартир,
fj
|
|
|
|
|
| 1
|
2
|
3
|
4
|
5
|
6
|
7
|
| 117,0 – 180,8
|
148,9
|
4
|
595,6
|
-175,5
|
30800,3
|
123201,2
|
| 180,8 – 244,6
|
212,7
|
5
|
1063,5
|
-111,7
|
12476,9
|
62384,5
|
| 244,6 – 308,4
|
276,5
|
7
|
1935,5
|
- 47,9
|
2294,4
|
16060,8
|
| 308,4 – 372,2
|
340,3
|
9
|
3062,7
|
15,9
|
252,8
|
2275,2
|
| 372,2 – 436,1
|
404,2
|
11
|
4446,2
|
79,8
|
6368,0
|
70048
|
| 436,1 и далее
|
468,1
|
4
|
1872,4
|
143,7
|
2064497,7
|
82598,8
|
| Итого
|
|
40
|
12975,9
|
|
|
356568,5
|
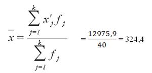
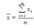
Средняя арифметическая взвешенная определяется по формуле:

где - средняя арифметическая;
- значение признака (варианта);
- число регионов.
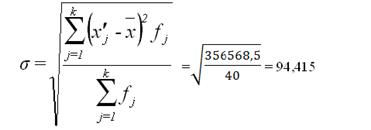
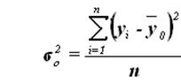
Расчет среднего квадратического отклонения:
Расчет дисперсии:
σ2
=
94,4152 = 8914,19
Коэффициент вариации рассчитывается по формуле:
Конкретное значение моды для интервального ряда рассчитывается по формуле:

где хМo
– нижняя граница модального интервала,
h
–величина модального интервала,
fMo
– частота модального интервала,
fMo-1
– частота интервала, предшествующего модальному,
fMo+1
– частота интервала, следующего за модальным.
Согласно табл.1.3 модальным интервалом построенного ряда является интервал 372,2 – 436,1 у., так как его частота максимальна (f3
= 12).
Мо = 372,2 + 63,8 * = 379,7 у.е.
Более точно моду можно определить графическим методом по гистограмме ряда (рис.1.1).

Рис. 1.1 Определение моды графическим методом
Конкретное значение медианы для интервального ряда рассчитывается по формуле:
,
где хМе
– нижняя граница медианного интервала,
h
– величина медианного интервала,
– сумма всех частот,
fМе
– частота медианного интервала,
SMе-1
– кумулятивная (накопленная) частота интервала, предшествующего медианному.
В рассматриваемом задании медианным интервалом является интервал 308,4 – 372,2 у.е., так как именно в этом интервале накопленная частота Sj
= 25 впервые превышает величину, равную половине численности единиц совокупности 
Ме = 308,4+63,8 * = 331,6 у.е.
Медиану можно определить графическим методом по кумулятивной кривой (рис. 1.2). Кумулята строится по накопленным частотам (табл. 1.5, графа 5).

Рис. 1.2. Определение медианы графическим методом
Вывод.
Анализ полученных значений показателей и σ
говорит о том, что средняя цена за 1 кв. м. общей площади составляет установилась на уровне 379,7 у.е., отклонение от средней цены в ту или иную сторону составляет в среднем 94,415 у.е. (или 29%), наиболее характерные значения цен за 1 кв. м. общей площади находятся в пределах от 230 у. е. до 418,8 у.е. (диапазон ). Значение V
σ
= 29% не превышает 33%, следовательно, вариация кредитных вложений в исследуемой совокупности квартир незначительна и совокупность по данному признаку качественно однородна. Расхождение между значениями , Мо
и Ме
незначительно ( =324,4 у.е., Мо
= 379,7 у.е., Ме
=331,6 у.е.), что подтверждает вывод об однородности совокупности однокомнатных квартир. Таким образом, найденное среднее значение цены за 1 кв. м. общей площади (324,4 у. е.) является типичной, надежной характеристикой исследуемой совокупности квартир.
3.Вычисление средней арифметической по исходным данным
Для расчета применяется формула средней арифметической простой:
= = 321,802
Причина расхождения средних величин, заключается в том, что средняя арифметическая взвешенная (324,4 у.е.) определяется по фактическим значениям исследуемого признака для всех 40 квартир, а по средняя арифметическая простая (321,802 у.е.) вычисляется для интервального ряда, когда в качестве значений признака берутся середины интервалов
и, следовательно, значение средней будет менее точным.
Задание 2
По исходным данным табл. 1 с использованием результатов выполнения Задания 1 необходимо выполнить следующее:
1. Установление наличия и характера связи между признаками Цена за 1 кв. м.
общей площади квартиры и Рейтингом района города по удаленности от центра
методами аналитической группировки и корреляционной таблицы
Используя разработочную таблицу 3, строим аналитическую группировку, характеризующую зависимость между факторным признаком Х
– Рейтинг района города по удаленности от центра
и результативным признаком Y
– Цена 1 вк. М. общей площади квартиры.
Групповые средние значения
получаем из таблицы 3 (графа 4), основываясь на итоговых строках «Всего». Построенную аналитическую группировку представляет табл. 1.7.
Таблица 1.7
Зависимость цены за 1 кв. м. общей площади квартиры от рейтинга района города по удаленности от центра
| Номер группы
|
Рейтинг района города по удаленности от центра,
х
|
Количество квартир,
fj
|
Цена 1 кв. м. общей площади квартиры, у. е.
|
| всего
|
Средняя цена однокомнатной квартиры,
|
| 1
|
2
|
3
|
4
|
5=4:3
|
| 1
|
1
|
8
|
3419,6
|
427,6
|
| 2
|
2
|
10
|
3635,5
|
363,6
|
| 3
|
3
|
7
|
2019,8
|
288,5
|
| 4
|
4
|
6
|
1811,3
|
301,9
|
| 5
|
5
|
5
|
1167,4
|
233,5
|
| 6
|
6
|
4
|
919,2
|
229,8
|
| |
Итого
|
40
|
12872,8
|
321,82
|
Вывод
. Анализ данных табл. 1.7 показывает, что с уменьшением рейтинга (чем выше значение рейтинга, тем дальше от центра) от группы к группе систематически уменьшается и средняя цена за 1 кв. м. общей площади однокомнатной квартиры, что свидетельствует о наличии прямой корреляционной связи между исследуемыми признаками.
Используя группировки по факторному и результативному признакам, строим корреляционную таблицу (табл. 1.8).
Таблица 1.8
Корреляционная таблица зависимости цены 1 кв. м. общей площади квартиры от рейтинга района города по удаленности от центра
| Рейтинг района города по удаленности от центра
|
Цена 1 кв. М. Общей площади квартиры, у.е.
|
|
| 117,0 – 180,8
|
180,8 – 244,6
|
244,6 – 308,4
|
308,4 – 372,2
|
372,2 – 436,1
|
436,1 и далее
|
Итого
|
| 6
|
1
|
1
|
1
|
1
|
|
|
4
|
| 5
|
|
3
|
1
|
1
|
|
|
5
|
| 4
|
|
|
5
|
1
|
|
|
6
|
| 3
|
2
|
1
|
|
1
|
3
|
|
7
|
| 2
|
1
|
|
|
5
|
3
|
1
|
10
|
| 1
|
|
|
|
|
6
|
3
|
8
|
| Итого
|
4
|
5
|
7
|
9
|
11
|
4
|
40
|
Вывод
. Анализ данных табл. 1.8 показывает, что распределение частот групп произошло вдоль диагонали, идущей из левого верхнего угла в правый нижний угол таблицы. Это свидетельствует о наличии прямой корреляционной связи между рейтингом района города и ценой за 1 кв. м. общей площади.
2. Измерение тесноты корреляционной связи с использованием коэффициента детерминации и эмпирического корреляционного отношения
Для измерения тесноты связи между факторным и результативным признаками рассчитывают специальные показатели – эмпирический коэффициент детерминации и эмпирическое корреляционное отношение .
Показатель рассчитывается как доля межгрупповой дисперсии в общей дисперсии по формуле:
,
где – общая дисперсия признака Y
,
– межгрупповая (факторная) дисперсия признака Y
.
Общая дисперсия
характеризует вариацию результативного признака, сложившуюся под влиянием всех действующих на Y
факторов (систематических и случайных). Этот показатель вычисляется по формуле
,
где yi
– индивидуальные значения результативного признака;
– общая средняя значений результативного признака;
n
– число единиц совокупности.
Общая средняя вычисляется как средняя арифметическая простая по всем единицам совокупности:

Общая средняя будет равна:
= = 321,82
Для расчета общей дисперсии применяется вспомогательная таблица 1.9.
Таблица 1.9
Вспомогательная таблица для расчета общей дисперсии
| № квартиры
|
Цена за 1 кв.м. общей площади квартиры
|

|

|

|
| 1
|
2
|
3
|
4
|
5
|
| 1
|
361,1
|
392,8
|
1542,918
|
130393,21
|
| 2
|
186,7
|
-135,12
|
18257,414
|
34856,89
|
| 3
|
177,6
|
-144,22
|
20799,408
|
31541,76
|
| 4
|
406,4
|
84,58
|
7153,776
|
165160,96
|
| 5
|
310,2
|
-11,62
|
135,024
|
96224,04
|
| 6
|
321,0
|
-0,82
|
0,672
|
103169,44
|
| 7
|
390,4
|
68,58
|
4703,216
|
152412,16
|
| 8
|
187,3
|
-134,52
|
18095,630
|
35081,29
|
| 9
|
493,1
|
81,28
|
6606,438
|
162489,61
|
| 10
|
433,3
|
111,48
|
12427,790
|
187748,89
|
| 11
№ квартиры
|
187,3
Цена за 1 кв.м. общей площади квартиры
|
-134,52

|
18095,630

|
35081,29

|
| 12
|
386,1
|
64,28
|
4131,918
|
149073,21
|
| 13
|
138,9
|
-182,92
|
33459,726
|
19293,21
|
| 14
|
481,4
|
159,58
|
25465,776
|
231745,96
|
| 15
|
256,2
|
-65,62
|
4305,984
|
65638,44
|
| 16
|
266,9
|
-54,92
|
3016,206
|
71235,61
|
| 17
|
117,0
|
-204,82
|
41951,232
|
13689,0
|
| 18
|
293,9
|
-27,92
|
779,526
|
86377,21
|
| 19
|
500,0
|
178,18
|
31748,112
|
250000,0
|
| 20
|
350,0
|
28,18
|
794,112
|
122500,0
|
| 21
|
405,2
|
83,38
|
6952,224
|
164187,04
|
| 22
|
210,5
|
-111,32
|
12392,142
|
44310,25
|
| 23
|
193,3
|
-128,52
|
16517,390
|
37364,89
|
| 24
|
437,5
|
115,68
|
13381,862
|
191406,25
|
| 25
|
267,8
|
-54,02
|
29181,160
|
71716,84
|
| 26
|
340,9
|
19,08
|
364,046
|
116212,81
|
| 27
|
394,9
|
73,08
|
5340,686
|
155946,01
|
| 28
|
266,7
|
-55,12
|
3038,214
|
71128,89
|
| 29
|
157,9
|
-163,92
|
2689,766
|
24932,41
|
| 30
|
359,2
|
37,38
|
1397,264
|
129024,64
|
| 31
|
286,1
|
-35,72
|
1275,918
|
81853,21
|
| 32
|
380,8
|
58,98
|
3478,640
|
145008,64
|
| 33
|
284,2
|
-37,62
|
1415,264
|
80769,64
|
| 34
|
350,0
|
28,18
|
794,112
|
122500,0
|
| 35
|
392,5
|
70,68
|
4995,662
|
15056,25
|
| 36
|
480,5
|
158,68
|
25179,342
|
203880,25
|
| 37
|
402,8
|
80,98
|
6557,760
|
162247,84
|
| 38
|
394,1
|
72,28
|
5224,398
|
155314,81
|
| 39
|
350,1
|
28,28
|
799,758
|
122570,01
|
| 40
|
363,0
|
41,18
|
1695,792
|
131769,0
|
| Итого
|
12872,8
|
36,96
|
394058,908
|
4536783,42
|
Общая дисперсия будет равна:

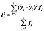
Межгрупповая дисперсия вычисляется по формуле
,
где –групповые средние,
– общая средняя,
–число единиц в j-ой группе,
k
– число групп.
Для расчета межгрупповой дисперсии строится вспомогательная таблица 1.10. При этом используются групповые средние значения из табл. 1.7 (графа 5).
Таблица 1.10
Вспомогательная таблица для расчета межгрупповой дисперсии
| Группы банков по размеру кредитных вложений,
млн руб.
|
Число банков,

|
Среднее значение в группе
|

|

|
| 1
|
2
|
3
|
4
|
5
|
| 1
|
8
|
427,5
|
102,68
|
84345,46
|
| 2
|
10
|
363,6
|
41,78
|
174455,68
|
| 3
|
7
|
288,5
|
-33,32
|
7771,55
|
| 4
|
6
|
301,9
|
-19,92
|
2380,84
|
| 5
|
5
|
233,5
|
-88,32
|
39002,11
|
| 6
|
4
|
229,8
|
-92,02
|
33870,72
|
| Итого
|
40
|
321,82
|
|
149724,457
|
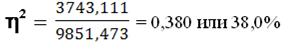
Расчет эмпирического коэффициента детерминации по формуле:

Вывод.
38,0 % вариации цены 1 кв. м. общей площади обусловлено вариацией рейтинга района горда, а 62% – влиянием прочих неучтенных факторов.
Эмпирическое корреляционное отношение
оценивает тесноту связи между факторным и результативным признаками и вычисляется по формуле
Значение показателя изменяются в пределах
Чем ближе значение к 1, тем теснее связь между признаками. Для качественной оценки тесноты связи на основе служит шкала Чэддока (табл. 1.11):
Таблица 1.11
Шкала Чэддока
| h
|
0,1 – 0,3
|
0,3 – 0,5
|
0,5 – 0,7
|
0,7 – 0,9
|
0,9 – 0,99
|
| Характеристика
силы связи
|
Слабая
|
Умеренная
|
Заметная
|
Тесная
|
Весьма тесная
|

Вывод
. Согласно шкале Чэддока связь между ценой за 1 кв. м. общей площади квартиры и рейтингом района города по удаленности от центра является умеренной.
Задание 3
1.
Определение ошибки выборки средней цены 1 к. м. общей площади однокомнатной квартиры и границы, в которых будет находиться средняя цена 1 кв. м. общей площади однокомнатной квартиры в генеральной совокупности.
Средняя ошибка выборки
определяется по формуле:
,
где – общая дисперсия выборочных значений признаков,
N
– число единиц в генеральной совокупности,
n
– число единиц в выборочной совокупности.
Предельная ошибка выборки
определяет границы, в пределах которых будет находиться генеральная средняя:
,
В математической статистике доказано, что предельная ошибка выборки Δ
кратна средней ошибке µ
с коэффициентом кратности
t
, который зависит от значения доверительной вероятности Р:
Для наиболее часто используемых уровней надежности Р
значения t
задаются следующим образом (табл. 1.12):
Таблица 1.12
| Доверительная вероятность P
|
0,683
|
0,866
|
0,954
|
0,988
|
0,997
|
0,999
|
| Значение t
|
1,0
|
1,5
|
2,0
|
2,5
|
3,0
|
3,5
|
В нашем примере P = 0,997, следовательно, t = 3,0 По условию задания выборочная совокупность насчитывает 40 однокомнатных квартир, выборка 20%, следовательно, генеральная совокупность включает 200 однокомнатных квартир ( N = 100/20*40) . Выборочная средняя , дисперсия определены в Задании 1 (п. 3). Значения параметров, необходимых для решения задачи, представлены в табл. 1.13:
Таблица 1.13
| Р
|
t
|
n
|
N
|

|

|
| 0,954
|
3,0
|
40
|
200
|
324,4
|
8914,19
|
Расчет средней ошибки выборки по формуле: 
Расчет предельной ошибки выборки: 
Доверительный интервал для генеральной средней будет иметь следующие значения:
324,4 – 40,05 324,4 + 40,05,
283,95 у. е. 364,45 у. е.
Вывод.
На основании проведенного выборочного обследования однокомнатных квартир города с вероятностью 0,997 можно утверждать, что для генеральной совокупности квартир средняя цена 1 кв. м. находится в пределах от 283,95 у. е. до 364,45 у. е.
2. Определение ошибки выборки для доли банков с объемом кредитных вложений 175млн руб. и выше, а также границ, в которых будет находиться генеральная доля
Доля единиц выборочной совокупности, обладающих тем или иным заданным свойством, выражается формулой , где m
– число единиц совокупности, обладающих заданным свойством; n
– общее число единиц в совокупности.
Предельная ошибка выборки доли единиц, обладающих заданным свойством, рассчитывается по формуле
,
где w
– доля единиц совокупности, обладающих заданным свойством;
(1-
w
)
– доля единиц совокупности, не обладающих заданным свойством,
N
– число единиц в генеральной совокупности,
n
– число единиц в выборочной совокупности.
Предельная ошибка выборки определяет границы, в пределах которых будет находиться генеральная доля р
единиц, обладающих заданным свойством:
По условию Задания 3 исследуемым свойством является равенство или превышение средней цены 1 кв. м. величины 308,5 у.е.
Число квартир с заданным свойством определяется из табл. 1.3 (графа 3): m
=24
Доля единиц выборочной совокупности будет равна: w= = 0,6
Расчет предельной ошибки выборки для доли:
= 3 * = 0,069
Определение доверительного интервала генеральной доли:
0,6 – 0,069 ≤ р
≤ 0,6 + 0,069
0,531 ≤ р
≤ 0,669
Вывод.
С вероятностью 0,997 можно утверждать, что в генеральной совокупности однокомнатных квартир доля квартир со средней ценой 1 кв. м. общей площади 308,5 у.е. и выше будет находиться в пределах от 53,1% до 66,9%.
Задание 4
Имеются следующие данные об обороте розничной торговли на вещевых, смешанных и продовольственных рынках городов региона:
Таблица 2.1
| Город
|
Объем продаж в текущих ценах, млн.руб.
|
2-й год в % к 1-му году 
|
3-й год в % ко 2-му году 
|
| 1-й год 
|
3-й год 
|
в сопоставимых ценах (ценах 1-го года)
|
| 1
|
1906,2
|
2319,9
|
109,0
|
115,0
|
| 2
|
42,8
|
49,7
|
103,0
|
103,0
|
| 3
|
369,3
|
495,6
|
120,0
|
112,0
|
| 4
|
11,6
|
12,2
|
94,0
|
107,0
|
| 5
|
606,0
|
672,2
|
99,0
|
82,0
|
| сумма
|
2935,9
|
3549,6
|
|
|
По каждому городу и для всех городов вместе вычислите базисные (к 1-му году) индексы:
· оборота розничной торговли в текущих ценах;
· оборота розничной торговли в сопоставимых ценах;
· цен;
· абсолютные просты оборота розничной торговли за счет изменения физического объема продаж товаров, за счет изменения цен на товары.
Сделайте выводы.
Решение.
Абсолютные приросты оборота розничной торговли за счет изменения фактического объема 
Абсолютные приросты оборота розничной торговли за счет изменения цен на товары 
Расчет показателей для первого города:




товарооборот в 1-м году по ценам 1-ого года.

Товарооборот 3-его года в ценах 1-ого года
Индекс оборота торговли в сопоставимых ценах:


Аналогично рассчитываются показатели по остальным городам. Результаты расчетов приведены в таблице 2.2:
Таблица2.2.
| Город
|
Индекс товарооборота
|
Абсолютный прирост оборота, млн. руб
|
Товарооборот 1-ого года в ценах 1-ого года, млн. руб.
|
индекс цен
|
Товарооборот 3-его года в ценах 1-ого года, млн. руб.
|
| в текущих ценах
|
в сопоставимых ценах
|
за счет изменения объема продаж
|
за счет изменения цены
|
| 1
|
1,2
|
1,3
|
413,7
|
-118,3
|
1945,1
|
0,98
|
2438,2
|
| 2
|
1,2
|
1,1
|
6,9
|
8,2
|
39,1
|
1,09
|
41,5
|
| 3
|
1,3
|
1,3
|
126,3
|
-1,5
|
369,9
|
1,00
|
497,1
|
| 4
|
1,1
|
1,0
|
0,6
|
1,0
|
11,1
|
1,05
|
11,2
|
| 5
|
1,1
|
0,8
|
66,2
|
312,2
|
443,5
|
1,37
|
360,0
|
| по всем
|
1,2
|
1,2
|
613,7
|
201,7
|
2808,7
|
0,98
|
3347,9
|
Вывод:
Результаты проведенного исследования показали, что товарооборот в текущих ценах по городу 1 (2; 3; 4; 5; по всем вместе)увеличился на 20% (20%; 30%; 10%; 10%; 20%), в сопоставимых ценах (ценах 1-ого года) товарооборот по городам 1, 2, 3, 4, и по всем вместе увеличился на 30%, 10%, 30%, 0% и 20% соответственно, а по городу 4 сократился на 20%. Цены на товары по городу 1 и по всем городам вместе сократились на %, а по городам 2, 3, 4, 5 увеличились на 9%, 0%, 5% и 37%. Абсолютный прирост оборота за счет изменения цены в городах 1 и 3 составил -118,3 и -1,5 млн. руб., а в городах 2, 5 и по всем городам вместе увеличился на 8,2, 312,2 и 201,7 млн. руб; в городе 4 оборот не изменился. Абсолютный прирост оборота за счет изменения фактического объема продаж в городах 1, 2, 3, 4, 5 и во всех городах вместе увеличился соответственно на 413,7, 6,9, 126,3, 0,6, 66,2 и 613,7 млн. руб.
[1]
Социально-экономическая статистика: Учебник для вузов /Под ред. Проф.Б.И. Башкатова. - М.: ЮНИТИ-ДАТА, 2002. – 703 с.
[2]
Экономическая статистика: Учебное пособие / под ред. Т.В. Черновой. – Таганрог: изд-во ТРГУ, 1999
|