краткий курс
МЕНЕДЖМЕНТ
А. БОЛЬШАКОВ
УЧЕБНОЕ ПОСОБИЕ

Санкт-Петербург
Москва • Харьков • Минск
2000
А. С. Большаков
МЕНЕДЖМЕНТ
Серия «Краткий курс»
Главный редактор издательства В. Усманов
Заведующий редакцией Л. Волкова
Выпускающий редактор В. Земских
Верстка И. Рыбина
Редактор Ю.
Kanmypeвcкий
Художественный редактор В. Земских
Корректоры М. Одинокова, Н. Солнцева
ББК 65.050.9(2)2я7 УДК 658.012.4(075)
Большаков А. С.
Б79 Менеджмент / Учебное пособие. — СПб.: «Издательство "Питер"», 2000. — 160 с.: ил. — (Серия «Краткий курс»)
ISBN 5-272-00051-Х
Настоящее учебное пособие разработано на базе курсов «Менеджмент», «Основы менеджмента», «Общая теория менеджмента». Автор обобщает общие идеи, принципы, модели менеджмента, изложенные в научной и учебной литературе российских и зарубежных специалистов.
Книга является базой для дальнейшего изучения специальных вопросов инновационного, финансового, рекламного, банковского менеджмента, управления персоналом.
Для студентов экономических специальностей и руководителей, самостоятельно изучающих основы менеджмента.
© Большаков А. С., 2000
© Серия, оформление, ЗАО «Издательство "Питер"», 2000
Все права защищены. Никакая часть данной книги не может быть воспроизведена в какой бы то ни было форме без письменного разрешения владельцев авторских прав.
ISBN 5-272-00051-Х
Издательство «Питер». 196105, Санкт-Петербург, ул. Благодатная, 67. Лицензия ЛР № 066333 от 23.02.99.
Подписано к печати 30.11.99. Формат 60 х 90/16. Усл. п. л. 10.
Тираж 7000. Заказ 4663.
Отпечатано с готовых диапозитивов в АООТ «Типография „Правда"». 191119, С.-Петербург, Социалистическая ул., 14.
СОДЕРЖАНИЕ
ГЛАВА 1. ВВЕДЕНИЕ. ОСНОВНЫЕ ПОНЯТИЯ......................................................................................................................... 3
1.1. Понятие «организация»............................................................................................................................................................ 3
1.2. Организация как большая открытая система................................................................................................................ 4
Забиваем Сайты В ТОП КУВАЛДОЙ - Уникальные возможности от SeoHammer
Каждая ссылка анализируется по трем пакетам оценки: SEO, Трафик и SMM.
SeoHammer делает продвижение сайта прозрачным и простым занятием.
Ссылки, вечные ссылки, статьи, упоминания, пресс-релизы - используйте по максимуму потенциал SeoHammer для продвижения вашего сайта.
Что умеет делать SeoHammer
— Продвижение в один клик, интеллектуальный подбор запросов, покупка самых лучших ссылок с высокой степенью качества у лучших бирж ссылок.
— Регулярная проверка качества ссылок по более чем 100 показателям и ежедневный пересчет показателей качества проекта.
— Все известные форматы ссылок: арендные ссылки, вечные ссылки, публикации (упоминания, мнения, отзывы, статьи, пресс-релизы).
— SeoHammer покажет, где рост или падение, а также запросы, на которые нужно обратить внимание.
SeoHammer еще предоставляет технологию Буст, она ускоряет продвижение в десятки раз,
а первые результаты появляются уже в течение первых 7 дней.
Зарегистрироваться и Начать продвижение
1.3. Свойства больших систем...................................................................................................................................................... 4
1.4. Внутренняя и внешняя среда организации..................................................................................................................... 7
1.5. Понятия «управление» и «менеджмент».......................................................................................................................... 7
1.6. Необходимые для управления организациями ресурсы.......................................................................................... 8
1.7. Стратегическое управление организациями................................................................................................................. 8
1.8. Оперативное управление...................................................................................................................................................... 10
1.9. Адаптивное управление........................................................................................................................................................ 10
1.10. Организация взаимодействий......................................................................................................................................... 10
1.11. Конкурентное преимущество организации.............................................................................................................. 12
1.12. Критические факторы успеха организации.............................................................................................................. 14
1.13. Научные подходы в управлении организациями.................................................................................................. 14
1.14. Основные школы научного менеджмента................................................................................................................ 15
ГЛАВА 2. ЦЕЛИ, ПРИНЦИПЫ И ЗАДАЧИ УПРАВЛЕНИЯ.................................................................................................. 18
2.1. Постановка оперативных целей....................................................................................................................................... 18
2.2. Соотношение цели и достигнутых результатов....................................................................................................... 18
Сервис онлайн-записи на собственном Telegram-боте
Попробуйте сервис онлайн-записи VisitTime на основе вашего собственного Telegram-бота:
— Разгрузит мастера, специалиста или компанию;
— Позволит гибко управлять расписанием и загрузкой;
— Разошлет оповещения о новых услугах или акциях;
— Позволит принять оплату на карту/кошелек/счет;
— Позволит записываться на групповые и персональные посещения;
— Поможет получить от клиента отзывы о визите к вам;
— Включает в себя сервис чаевых.
Для новых пользователей первый месяц бесплатно.
Зарегистрироваться в сервисе
2.3. Принципы менеджмента....................................................................................................................................................... 19
2.4. Задачи управления................................................................................................................................................................... 20
ГЛАВА 3. ОСНОВНЫЕ ФУНКЦИИ МЕНЕДЖМЕНТА.......................................................................................................... 20
3.1. Постановка целей и задач.................................................................................................................................................... 20
3.2. Анализ............................................................................................................................................................................................ 21
3.3. Прогнозирование....................................................................................................................................................................... 24
3.4. Планирование............................................................................................................................................................................. 25
3.5. Принятие решений.................................................................................................................................................................... 27
3.6. Мотивация труда...................................................................................................................................................................... 27
3.7. Организация и руководство................................................................................................................................................. 31
3.8. Регулирование и разрешение конфликтов в организации..................................................................................... 44
3.9. Контроль, учет и мониторинг.............................................................................................................................................. 47
3.10. Формирование организационной культуры.............................................................................................................. 47
ГЛАВА 4. ТИПЫ ОРГАНИЗАЦИЙ................................................................................................................................................... 52
4.1. Основные определения.......................................................................................................................................................... 52
4.2. Типы организаций по методам работы и приспособляемости к изменениям внешней и внутренней среды................................................................................................................................................................................................................... 55
4.3. Типы организаций по взаимодействию подразделений....................................................................................... 56
4.4. Типы организаций по взаимодействию с человеком............................................................................................. 59
4.5. Новые типы организаций..................................................................................................................................................... 60
ГЛАВА 5. МЕТОДЫ УПРАВЛЕНИЯ.............................................................................................................................................. 65
5.1. Экономические и экономико-математические методы....................................................................................... 65
5.2. Организационно-распорядительные методы.............................................................................................................. 66
5.3. Социально-психологические методы............................................................................................................................ 66
5.4. Лидерство и стили руководства в коллективе............................................................................................................ 68
5.5. Автоматизированные методы........................................................................................................................................... 73
5.6. Программно-целевые и проблемно-ориентированные методы.......................................................................... 75
5.7. Новые технологии управления.......................................................................................................................................... 75
ГЛАВА 6. ИНТЕНСИВНЫЙ И ЭКСТЕНСИВНЫЙ ПУТИ РАЗВИТИЯ ОРГАНИЗАЦИЙ.......................................... 83
РЕКОМЕНДУЕМАЯ ЛИТЕРАТУРА............................................................................................................................................... 86
ГЛАВА 1. ВВЕДЕНИЕ. ОСНОВНЫЕ ПОНЯТИЯ
1.1. Понятие «организация»
Организация
(от позднелат.
organize» —
сообщаю стройный вид, устраиваю) — объединение индивидов в единое целое для совместного труда. Данный термин часто употребляют для обозначения:
• совокупности процессов и действий, ведущих к образованию и совершенствованию взаимосвязей между частями целого;
• внутренней упорядоченности автономных частей целого.
Понятие организации применяется и в отношении биологических, социальных и технических объектов:
• промышленных или малых предприятий;
• фирм, компаний, корпораций, конгломератов;
• заводов;
• автоматизированных или автоматических производств;
• подразделений предприятий (цехов, отделов, секций и др.);
• групп исполнителей каких-либо работ;
• систем управления и др.
Хозяйственные организации руководствуются в своей деятельности заявлением о миссии,
в котором раскрывается предназначение и смысл существования организации. Она должна быть сформулирована предельно четко, ясно и содержаться в учредительных документах.
1.2. Организация как большая открытая система
Система
— объединение частей в целое, свойства которого могут отличаться от свойств входящих в нее частей. Любую организацию можно назвать системой.
Системы бывают открытыми и закрытыми. Открытая система
— это система, питающаяся извне какой-либо энергией или ресурсами. Закрытая система
имеет источник энергии (ресурсов) внутри себя. Примеры закрытых систем: работающие часы с внутренним источником энергии, работающая автомашина, самолет, автоматическое производство со своим собственным источником энергии и т.д. Примеры открытых систем: калькулятор или радиоприемник с солнечной батареей (энергия поступает извне), промышленное предприятие, завод, фирма, компания и др.
Очевидно, что хозяйствующие организации не могут существовать автономно, для осуществления их деятельности необходимы снабжение, сбыт, работа с потенциальными покупателями и т.д. Именно поэтому их правомерно отнести к большим открытым системам.
1.3. Свойства больших систем
НЕАДДИТИВНОСТЬ. Как правило, большие системы характеризуются неаддитивностью, т.е. эффективность их деятельности варьируется во времени и далеко не всегда равна алгебраической сумме эффектов частей в нее входящих.
Например, прибыль промышленной фирмы при прочих равных внешних условиях изменяется в зависимости от эффективности работы входящих в нее подразделений, которая (при одной и той же формальной структуре организации и принципах стимулирования труда) определяется качеством персонала, стилями руководства, личными взаимоотношениями и т.д.
Другой пример. В большинстве случаев эффективность работы группы из 7 человек выше, чем группы, в которую входят 17 сотрудников. Многие психологи считают, что рабочая группа (руководитель плюс взаимодействующие между собой исполнители) с точки зрения эффективности и оперативности руководства, взаимодействия членов и экономии средств должна иметь численность не менее 5 и не более 9 человек (так называемый закон «7 плюс-минус 2»)
.
ЭМЕРДЖЕНТНОСТЬ. Эмерджентность означает несовпадение цели организации с целями входящих в нее частей. Например, цель корпорации состоит в получении максимальной прибыли при минимальных расходах на рабочую силу. Подсистема «персонал» руководствуется целью максимизации оплаты труда при минимизации энергетических затрат. В умении сглаживать подобные противоречия и состоит искусство руководителей.
Другой пример — система «государство», цель которого — получение максимального объема налоговых поступлений. Цель же подсистемы «народ» — максимизация доходов ее частей, а значит, минимизация налоговых отчислений. Очевидно, что цели системы и подсистемы не совпадают: при необоснованно большом повышении ставок налогов население будет скрывать доходы, что приведет к сокращению налоговой базы государства.
СИНЕРГИЧНОСТЬ. Под синергичностью (от греч.
synerqeila —
сотрудничество, содружество) понимается однонаправленность действий, интеграция усилий в системе, которые приводят к возрастанию (умножению) конечного результата. Например, опытный спортсмен, преодолевая планку на большой высоте, толкая штангу, выполняя сложные фигуры на коньках, стремится к оптимальному согласованию движений всех своих мышц и получает лучший результат. В управлении организацией синергичность означает сознательную однонаправленную деятельность всех членов коллектива (подразделений) в стремлении к общей цели. Многие фирмы тратят огромные средства на поиск источников увеличения синергии.
В более общем плане говорят о науке синергетике,
изучающей законы упорядоченности и самоорганизации частей системы из состояния хаоса. Повышение синергии в организации осуществляется прежде всего посредством грамотной работы с персоналом. Менеджменту необходимо иметь информацию о психологии и социальной структуре работающих (образование, возраст, пол, национальность, семейное положение и т.д.), их этике, взглядах, нравах и обычаях, традициях и культуре, на основании которой и строится эффективная система управления организацией.
МУЛЬТИПЛИКАТИВНОСТЬ. Говоря о мультипликативности, имеют в виду управляющие действия или стихийные процессы, направленные на умножение эффективности системы. Например, реконструкция производства позволила фирме добиться резкого увеличения прибыли, дала возможность увеличить долю средств, направляемых на инвестиции, увеличила объемы и номенклатуру выпускаемой продукции. В дальнейшем по мере усложнения организационной структуры
в компании растет бюрократический аппарат, замедляется реакция на новые требования рынка и условия внешней среды и ее рыночные позиции быстро (мультипликативно) ухудшаются. Таким образом, мультипликативность может быть как положительной, так и отрицательной. Отрицательная мультипликативность означает быстрое развитие деструктивных организационных процессов, система стремится к состоянию хаоса и постепенно саморазрушается. Положительной мультипликативности системы способствуют следующие факторы: относительная простота организации (и ее систем управления), соответствие коммуникативной структуры организации целям и задачам, качество персонала. Когда деструктивные процессы в организации начинают нарастать, очень важно не суетиться, избегать быстрых и часто опрометчивых решений, а попытаться подстроиться под ход деструктивного процесса, понять его драматургию и смысл. Очень важно четко осознавать время, когда необходимо принимать ответственные решения. Опытные руководители обладают этим качеством.
УСТОЙЧИВОСТЬ. Устойчивость работы системы может быть нарушена при необоснованном усложнении или упрощении организационной структуры. Опыт управления показывает, что для повышения устойчивости работы, как правило, приходится устранять излишние звенья или подсистемы управления и значительно реже — добавлять новые. На устойчивость работы организации влияют внешние факторы (например, инфляция, спрос, взаимоотношения с партнерами и государством). Для повышения устойчивости работы необходимо быстро перестраивать коммуникации организации в соответствии с новыми целями и задачами.
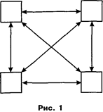
АДАПТИВНОСТЬ. Под адаптивностью понимается способность организации приспосабливаться к новым внешним условиям, возможности саморегулирования и восстановления устойчивой деятельности. Адаптивные организации часто имеют органическую структуру, когда каждый субъект управления (подразделение, рабочая группа, работник) имеет возможность взаимодействовать с каждым, например, как на рис.1.

ЦЕНТРАЛИЗОВАННОСТЬ. Речь идет о свойстве системы быть руководимой из какого-то единого центра, когда все части организации руководствуются командами из центра и пользуются заранее определенными правами. Живые организмы, например, функционируют под руководством центральной нервной системы. В коллективе централизованность осуществляет руководитель, лидер, менеджер; на предприятиях — администрация, аппарат управления; в стране — государственный аппарат. При высокой сложности системы или невозможности единого руководства из центра последний передает часть властных полномочий
автономиям, происходит децентрализация управления.
ОБОСОБЛЕННОСТЬ. Обособленность означает стремление системы к автономности, изолированности и проявляется при решении вопросов распределения ресурсов и властных полномочий частей большой организации, конгломератных объединений, централизации и децентрализации управления. Способствуют обособлению и противоречия целей и интересов, процесс распределения прибылей между частями целого. Часто наблюдаются процессы обособления персонала в неформальные группы
на основе личных связей, симпатий, общих взглядов и черт характера, близкого уровня образования, этнической принадлежности, возраста, должностного положения и т.д. Процессы обособления частей системы являются малоизученными и представляют интерес для исследователей.
СОВМЕСТИМОСТЬ. Под совместимостью понимается взаимоприспособляемость и взаимоадаптивность частей системы. На уровне государства как крупной системы возникают проблемы совместимости национальной экономики с экономиками регионов, отраслей. В России, например регионы-доноры, имеющие в своем распоряжении больший объем природных ресурсов или высокоэффективные производства, вынуждены отдавать в центр большую часть прибылей (в форме налоговых отчислений), которые впоследствии направляются на нужды дотационных регионов Севера, Сибири, Дальнего Востока, что приводит к возникновению центробежных тенденций, дезинтеграции, различным противоречиям и конфликтам. На уровне предприятий нередко возникают противоречия интересов организации и потребностей ее подразделений. К примеру, руководство компании может принять решение о направлении большей части прибыли, зарабатываемой одним подразделением, на развитие другого, в данный момент убыточного.
Если в долгосрочной перспективе конфликтов не возникает, можно говорить о хорошей совместимости работы.
В противном случае необходимо перестраивать организацию, изменять «правила игры», систему ресурсного распределения. Проблемы совместимости в больших системах должны решаться с помощью централизованных механизмов, преодолевающих силы отталкивания, или механизмов адаптации, превращающих центробежные силы в центростремительные. Проблемам психологической совместимости членов коллектива и рабочих групп также посвящено большое число научных работ.
СВОЙСТВО «ОБРАТНЫХ СВЯЗЕЙ». Фундаментальное свойство больших систем — установление обратных связей, сущность которых заключается в том, что информация (ресурсы, энергия) с выхода системы (или входящих в нее подсистем) поступает на вход этой системы (или подсистем, в нее входящих). Для производственной системы принцип обратных связей работает следующим образом. Выходная информация, например показатели хозяйственной деятельности, под действием различных обстоятельств постоянно варьируются во времени, менеджмент постоянно проводит их анализ и сравнение с поставленными целями (вход системы). По результатам сравнения принимаются управленческие решения, корректирующие работу системы (в случае необходимости), что обеспечивает адаптивность
системы (приспособление ее к новым условиям работы) и оперативность
(гибкость) ее управления. Обратные связи нередко играют и негативные системные роли. Например, в подсистеме «персонал» размер вознаграждения влияет на трудовые усилия и полученные работниками результаты. Если вознаграждение за труд несоизмеримо с усилиями, система начинает саморазрушаться, снижаются стимулы к выполнению рабочих заданий и результаты труда (объем продукции, ее качество) также снижаются (рис.2).

1.4. Внутренняя и внешняя среда организации
Любая организация (фирма, промышленное производство, компания и т.д.) имеет свою внутреннюю среду и среду внешнюю, в которой осуществляются ее операции. Внутренняя среда организации формируется:
• в соответствии с целями и задачами организации;
• в соответствии с возможностями организации (финансовыми, материальными).
Внутренняя среда
определяется:
• структурой организации (например, «снабжение—производство—финансы—отдел кадров—сбыт продукции»);
• системой ее управления;
• производственными технологическими процессами;
• уровнем автоматизации, разделением труда, коммуникациями.
К внешней среде
организации относятся:
• поставщики;
• конкуренты;
• покупатели (клиенты);
• партнеры по бизнесу;
• государство и его структуры;
• культура, мораль, традиции;
• профсоюзы;
• экономические факторы;
• политические факторы;
• международное окружение.
Первые пять факторов относят к внешней среде прямого воздействия,
последние пять — к внешней среде косвенного воздействия.
1.5. Понятия «управление» и «менеджмент»
Управление
— это процесс распределения и движения ресурсов в организации с заранее заданной целью, по заранее разработанному плану и с непрерывным контролем результатов деятельности.
Менеджмент
— совокупность методов, принципов, средств и форм управления организациями с целью повышения эффективности их деятельности.
Менеджмент предполагает управление не только формальными,
но и неформальными
организациями, образующимися и действующими спонтанно на основе личных связей, контактов, приятельских и семейных и других видов отношений.
1.6. Необходимые для управления организациями ресурсы
К ресурсам, необходимым для управления организациями, относятся:
• материальные ресурсы
(земля, здания, помещения, оборудование, оргтехника, транспорт, коммуникации) и т.д.;
• финансовые ресурсы
(счета в банках, наличность, ценные бумаги, кредиты и т.д.);
• людские ресурсы
(персонал);
• информационные ресурсы;
• временные ресурсы.
1.7. Стратегическое управление организациями
Стратегическое управление
— управление, предполагающее, что в центре внимания руководства организации находятся факторы внутренней и внешней среды организации, ее окружения (поставщики, клиенты, конкуренты, государственные структуры, партнеры и т.д.).
Стратегическое управление предусматривает планирование текущей деятельности организации для достижения желаемых результатов в будущем с учетом тенденции развития внешней среды.
Стратегическое планирование включает в себя три основных этапа:
• анализ внешней и внутренней среды;
• формулировка миссии
(смысла существования) и целей
организации;
• разработка стратегии(й).
Стратегическое планирование, как правило, охватывает период длительностью более одного года. При определении стратегии руководство должно ответить на следующие основные вопросы:
• какой бизнес следует прекратить;
• какой бизнес целесообразно продолжить;
• в какой надлежит перейти;
• с каким бизнесом должно объединиться.
Области разработки стратегий по М. Портеру:
• лидерство в минимизации издержек
производства (снижение цен и расширение доли рынка);
• лидерство в новизне продукта и специализации производства
(выход на новые сегменты рынка);
• концентрация усилий
фирмы на одном рыночном сегменте.
При концентрации усилий организации на избранных сегментах рынка очень важно выработать правильную стратегию в соответствии с показателям «цена—качество» (прежде всего на новую продукцию»), см. рис.3.
Из рис.3 следует, что в зависимости от выбранного соотношения «цена—качество» фирма может развиваться в двух направлениях:
• стремиться быстро выручить большие деньги и переключиться на другой бизнес (например, за счет высокой цены и среднего качества или низкого качества и высокой цены), так называемая стратегия снятия «сливок»;
• прочно закрепиться на одном из сегментов рынка (например, за счет низкой или средней цены и высокого качества), так называемая стратегия закрепления на рынке.

Организация имеет возможность формирования стратегии посредством изменения пяти основных элементов:
• продукт;
• рынок;
• отрасль;
• положение организации внутри отрасли;
• технологии.
Принято выделять эталонные стратегии
развития организаций:
• концентрированного роста;
• интегрированного роста;
• диверсифицированного роста;
• сокращения.
Стратегии концентрированного роста:
• стратегия усиления позиции
уже освоенных продуктов на знакомом рынке (например, за счет маркетинговых усилий);
• стратегия поиска новых рынков
для уже производимого продукта;
• стратегия разработки нового продукта
на уже освоенном рынке.
Стратегии интегрированного роста:
• стратегия обратной вертикальной интеграции
(интеграция с поставщиками);
• стратегия вперед идущей интеграции
(интеграция с дистрибьюторами и торговыми организациями).
Стратегии диверсифицированного роста:
• стратегия центрированной диверсификации
(поиск дополнительных возможностей для изготовления новых продуктов на неизменной производственной базе);
• стратегия горизонтальной диверсификации
(производство новой продукции по новой технологии, отличной от используемой на освоенных рынках);
• стратегия конгломератной диверсификации
(фирма расширяется за счет производства новых продуктов, технологически не связанных с производимыми; новые продукты реализуются на новых рынках; самая сложная стратегия развития).
Стратегии сокращения:
• стратегия ликвидации бизнеса;
• стратегия «сбора урожая»
(сокращение закупок и затрат на рабочую силу, получение максимальных доходов от реализации имеющихся продуктов в краткосрочной перспективе);
• стратегия сокращения
(закрытие или продажа подразделений или бизнес-единиц, обеспечивающих невысокую степень синергитичности);
• стратегия сокращения расходов
(разработка мероприятий по сокращению затрат).
На практике организация может одновременно реализовывать несколько стратегий. В этом случае говорят, что фирма осуществляет комбинированную
стратегию.
1.8. Оперативное управление
Оперативное управление
осуществляется на основе стратегии(й) организации и предполагает разработку оперативных (тактических) целей и планов действий, которые должны строго исполняться и постоянно контролироваться.
Оперативное управление осуществляется по пяти основным направлениям:
• финансы
(финансовое планирование);
• материально-техническое снабжение и сбыт продукции;
• персонал
(найм, отбор, обучение, переобучение, оценка деятельности, повышение квалификации, ротация кадров);
• информационное обеспечение деятельности организации
(анализ внутренней и внешней среды, маркетинговые исследования и т.д.);
• временное управление работами
(построение сетевых графиков, графиков Ганта, составление расписаний движения ресурсов).
Оперативное планирование, как правило, осуществляется на срок до 1 года.
Цель оперативного управления — реализация плановых заданий и борьба с отклонениями от них. В случае неожиданного отклонения результатов деятельности от плановых заданий руководство организации обращается к адаптивному управлению.
1.9. Адаптивное управление
Адаптивное управление
предполагает приспособление
организации к изменениям внешней и внутренней сред с возможной корректировкой оперативных целей, задач и планов в зависимости от складывающейся ситуации.
Основной фактор эффективности адаптивного управления — время. От умения менеджера управлять своим рабочим временем и рабочим временем подчиненных, быстро и правильно реагировать на изменения ситуации зависят будущее организации, эффективность ее деятельности.
Роль адаптивного управления возрастает в следующих ситуациях:
• в период выхода организации из кризиса
(антикризисное управление);
• при внедрении инноваций
(инновационное управление);
• в случае осуществления организационных изменений.
1.10. Организация взаимодействий
Организационные взаимодействия осуществляются посредством:
• полномочий
(закрепленных в должностных инструкциях или других документах);
• делегирования (передачи) ответственности
(закрепленной также в должностных инструкциях или других документах);
• делегирования (передачи) власти
(можно иметь власть, но не иметь полномочий, и наоборот);
• согласований и консультаций, советов;
• принципа единоначалия;
• аппарата;
• специальных временных или постоянных комитетов
(организованных для достижения какой-либо цели или осуществления постоянного контроля над какой либо функцией организации);
• специальных интеграционных механизмов
(института заместителей, подразделений, повышающих синергию и снижающих эмерджентность организации).
Полномочия
— права и возможности использования власти.
Власть
— возможность влияния на поведение других людей, реализующаяся на основе:
• приказов, распоряжений, правил, процедур,
не противоречащих действующему законодательству (законная власть);
• вознаграждения;
• принуждения и страха;
• убеждения и обоснований
действовать именно так;
• личного участия и примера;
• экспертных советов и решений, консультаций;
• веры
(разумной, например в достижение цели, или слепой, на основе религиозных чувств человека);
• традиций
(кровная месть, христианские, мусульманские традиции и т.д.);
• харизмы
(индивидуальных черт человека, помогающих ему осуществлять эффективное влияние на других).
Огромное значение имеет достижение и поддержание в рабочем коллективе баланса власти,
определяемого основным законом
:уровень влияния властного лица А на лицо Б равно степени зависимости лица Б от лица А (рис.4).

Повышение власти руководителя возможно только при повышении зависимости сотрудников от менеджера (рис.4). И наоборот, повышение власти подчиненных над руководителем возможно только при повышении зависимости менеджера от работников. Если власть руководителя над подчиненными больше, чем власть подчиненных над руководителем, баланс власти нарушается, возникают связанные с ее применением проблемы, зреют конфликты.
В соответствии с моделью Хоманса
(рис.5) к факторам, определяющим эффективность групповых взаимодействий, относятся групповые эмоции и деятельность отдельных индивидов, каждый из факторов взаимообусловливает значение остальных.

Коммуникации в организации могут проводиться по нисходящей —
с высшего уровня управления на низший (приказы, указания, инструкции и т.д.) и по восходящей —
с низшего на высший (сообщения о поломках, проблемах и т.д.). Возможны коммуникации и на одном уровне иерархии управления (горизонтальные коммуникации).
Процесс обмена информацией в организации следующий:
Отправитель—Канал связи—Получатель—Обратная связь.
На каждом из этапов следует контролировать, достоверность информации. В организациях четкой передаче сообщений нередко препятствуют различные помехи:
• слухи;
• личные взаимоотношения между людьми;
• искаженное самомнение членов коллектива;
• власть авторитета;
• лидерство в коллективе и т.д.
С развитием локальных и глобальных информационных сетей и систем появилась возможность повысить достоверность, скорость, объемы и оперативность передачи информации. В руках опытных менеджеров информационные системы позволяют вести оперативное наблюдение, осуществлять руководство и своевременно реагировать на непредвиденные (нештатные) ситуации.
1.11. Конкурентное преимущество организации
При прочих равных условиях конкурентное преимущество организации возникает:
• при разработке организацией ноу-хау
в области технологий, организации производства и управления, мотивации труда, организационной культуры, и т.д.;
• при грамотной и оперативной
работе с поставщиками, клиентами (покупателями), дистрибьюторами и государственными структурами;
• при реализации комплексной системы в трудовых отношениях
организации.
Прекрасный пример использования комплексной системы в трудовых отношениях — опыт японских корпораций. Во многом именно на ней зиждется так называемое «японское чудо» — стремительный рывок в развитии промышленности и вхождение Японии в ряды наиболее развитых стран мира. Комплексная система трудовых отношений (или, как ее называют японцы, «пять великих систем») построена следующим образом (рис.6).

Система пожизненного найма
(СПН) в ее классическом виде применяется на крупных предприятиях и в государственной службе Японии. Пожизненный найм предполагает джентльменское соглашение между работодателем и наемным работником, смысл которого состоит в том, что сотрудник материально заинтересован в работе на данном предприятии и пожизненно связал с ним свою судьбу. Его мотивацию обеспечивают две другие системы: система оплаты труда
(СОТ) и система кадровой ротации
(СКР).
Система оплаты труда построена на следующих принципах:
• чем дольше сотрудник работает в организации, тем выше его заработная плата (она растет за счет роста квалификации и опыта со временем);
• чем выше квалификация, тем выше заработная плата;
• чем выше реальный трудовой вклад, тем выше заработная плата;
• зависимость оклада (для служащих) от результатов деятельности предприятия в целом;
• низкая дифференциация в оплате труда (в среднем 1:4-1:5);
• периодические (2-3 раза в год) выплачиваются премии (бонусы), размер которых зависит от квалификации работника и финансового состояния предприятия;
• премии по итогам работы за год выплачиваются в зависимости от результатов работы предприятия и размера индивидуальной заработной платы;
• единовременное пособие при выходе на пенсию имеет достаточно ощутимый размер (до 80 месячных окладов);
• работники имеют возможность брать кредиты у предприятия;
• реальная социальная помощь (медицинские страховки, страхование на случай смерти).
Суть системы кадровой ротации (СКР) состоит в том, что работник через каждые 2-3 года перемещается по горизонтали и вертикали. Таким образом у него накапливается опыт, появляются новые знания, повышается заработок. Ротация проводится, как правило, без согласия работника. Выпускники престижных вузов начинают работу в корпорации с должностей, не требующих высокой квалификации. Профессиональное образование строится на основе системы подготовки на рабочих местах
(СПРМ).
Суть системы репутаций
(СР) заключается в том, что на каждого работника корпорации составляется письменная характеристика, в которой отмечаются все его достоинства и недостатки. Она помогает работнику объективно оценивать себя, стимулирует к повышению квалификации, более быстрому перемещению по служебной лестнице, переквалификации (через систему СПРМ) и повышению заработной платы.
Ценность «пяти японских систем» заключается в том, что они представляют собой неразрывный комплекс взаимосвязанных и взаимообусловливающих друг друга подсистем,
работающих на единые цели обеспечение высокой производительности труда, экономический рост страны и высокий уровень жизни населения. Общинное сознание японцев, их традиции, культура, мораль и нравственность помогают наиболее эффективно использовать все преимущества этой системы.
1.12. Критические факторы успеха организации
Организация должна постоянно исследовать влияние различных факторов (прибыли, рентабельности, производительности труда и т.д.) на конечные показатели ее деятельности. Для этого проводится мониторинг и анализ показателей во времени, делаются соответствующие организационные выводы и принимаются управленческие решения. Очень важно определить наиболее значимые, так называемые критические факторы
успеха организации на рынке, которые, как правило, придают новый импульс деятельности организации, создавая мультипликативный эффект, что выражается в быстром росте прибылей, рентабельности, инвестиций и т.д. Например, принципиально новая конструкторская идея изделия или программного продукта (операционная системаWindows
компанииMicrosoft)
дает толчок для развития не только компании-производителя, но и других организаций, вынужденных подстраиваться под этот продукт, налаживать выпуск аналогичных или совместимых продуктов. Для выявления критических факторов успеха обычно используются опросы специалистов и менеджеров организации, которым предлагается выделить от 3 до 6 наиболее значимых.
Приведем некоторые примеры критических факторов успеха организаций:
• автомобильная промышленность
экономия топлива, дизайн автомобиля, эффективная организация торговли, низкая себестоимость;
• производство программного обеспечения:
новизна продукта, качество рекламы, широкий международный сбыт и обслуживание;
• производство пищевых продуктов
эффективность рекламы, выбор эффективной системы торговли (например, мелко- и крупнооптовой, розничной торговли, дистрибьюторы);
• учебно-консультационная компания
: привлечение лучших докладчиков, определение интересных тем, количество адресатов для рассылки информационных материалов;
• производитель комплектующих для электронной промышленности
: умение привлекать и удерживать на работе лучших конструкторов, государственная поддержка научных исследований, поддержка торговых посредников, определение новых потребностей рынка;
• страховые компании
: подготовка управляющего персонала, эффективность и качество рекламы, производительность труда страховых агентов.
1.13. Научные подходы в управлении организациями
Существует четыре основных подхода к управлению организациями:
• классический, или традиционный подход;
• процессный подход;
• системный подход;
• ситуационный подход.
Суть традиционного
подхода: отдельно рассматривается работа, администрирование, персонал, мотивация труда, лидерство, организационная культура и т.д.
Суть процессного
подхода: управление рассматривается как процесс, например: «постановка целей—планирование—организация работ—мотивация—контроль». Разработка процесса — алгоритма управления организацией, ставится на первый план.
Суть системного
подхода: организация рассматривается как система, со своим входом (цели, задачи), выходом (результаты работы по показателям), обратными связями (между персоналом и руководством, внешними снабженцами и менеджерами, внешними сбытчиками и менеджерами, покупателями и внутренними сбытчиками и т.д.), внешними воздействиями (налоговое законодательство, экономические факторы, конкуренты и т.д.). Основные цели при системном подходе:
• снижение эмерджентности;
• повышение синергичности;
• обеспечение положительной мультипликативности в организации;
• обеспечение устойчивости функционирования организации;
• обеспечение адаптивности работы организации;
• обеспечение совместимости работы подсистем организации (например, подсистемы «персонал» с подсистемой «руководство», подсистемы «сбыт» с подсистемой «покупатели» и т.д.);
• обеспечение эффективной работы обратных связей в организации как внутри подсистем, так и между подсистемами.
Суть ситуационного
подхода: методы управления могут меняться в зависимости от ситуации; на практике результаты деятельности организации анализируются в различных практических ситуациях; ищутся наиболее значимые ситуационные факторы, влияющие на показатели хозяйственной деятельности в динамике, прогнозируются последствия (будущий спрос, затраты, финансовые поступления и т.д.); на основании полученных данных планируется будущая деятельность организации. Часто ситуационный анализ проводят методами экспертных оценок, «мозгового штурма (атаки)» (с аргументами «за» и «против»), с использованием кейсов (от англ. «случай») — деловых ситуаций, помогающих накапливать практический опыт и принимать правильные управленческие решения.
1.14. Основные школы научного менеджмента
Классическая (традиционная) школа управления:
Ф. У. Тейлор (1856-1915), Х. Эмерсон (1853-1931), Г. Гант (1861-1919), Л. Гилбрет (1878-1972), Ф. Гилбрет (1868-1924), Г. Форд (1863-1947), X. Хэтэуэй, С. Томпсон, А. Файоль (1841-1925), Л. Гьюлик и Л. Урвик, Дж. Муни, А. Рилей, Э. Бреч, Л. Аллен, М. Вебер, М. Фоллет, Р. Шелтон.
Основное внимание исследователей этой научной школы привлекали вопросы эффективности труда в основном на низших уровнях управления:
• повышения производительности и эффективности труда;
• нормирование труда;
• работа с кадрами (набор, отбор, переквалификация);
• мотивации труда работников;
• разрешение социальных проблем.
Из этой школы выделилась отдельная группа ученых, внимание которых привлекали общие функции и принципы управления, функции менеджеров и руководителей на всех уровнях управления предприятием. Наиболее известными представителями административной и функциональной школы управления
являются А. Файоль, Дж. Муни, А. Рейли, Л. Гьюлик и Л. Урвик, Р. Дейвис, Г. Кунтс, С. 0'Доннел, М. Вебер, Ч. Бернард, которые рассматривали следующие вопросы:
• основные принципы менеджмента;
• основные функции управления;
• процессный подход к управлению;
• принципы работы менеджеров низшего, среднего и высшего звена управления;
• построение организации;
• централизация и децентрализация власти;
• мотивация труда и стабильность кадров;
• разделение труда;
• власть и ответственность;
• справедливость оплаты;
• контроль.
Изучая вопросы эффективности труда, построения эффективно работающих организаций, некоторые исследователи чувствовали, что резервы следует искать не только в методологиях и технологиях управления, но и в самом человеке, что привело к формированию «школы человеческих отношений».
В конце 1950-х гг. некоторые ее представители выделились в школу «поведенческих» наук (бихевиористскую школу),
изучающую не просто межличностные отношения, а самого человека.
Своей известностью «школа человеческих отношений» обязана трудам таких ученых, как Г. Мюнстерберг (1863-1916), М. Фоллетт (1868-1933), Э.Мэйо (1880-1949), Ч. Бернард (1887-1961), Ф. Ротлисбергер, Г. Саймон, А. Райс, Д. Мак-Грегор, А. Маслоу, К. Арджирис, Р. Лайкерт, Д. Домма, Дж. Баллантайн, Р. Черчмен, Р. Акофф, Е. Арноф.
Основное внимание исследователей привлекали следующие проблемы:
• социальная ответственность бизнеса перед работниками;
• индивидуальная психология;
• человеческие потребности;
• психология и мотивация работников;
• конфликты (функциональные и дисфункциональные);
• обеспечение единства целей и усилий членов коллектива;
• формальные и неформальные организации;
• статусы и роли членов коллектива;
• авторитет и лидерство в коллективе;
• роль социальных, половых, возрастных, этнических и других, влияющих на эффективность труда факторов.
Счастливый рабочий — есть эффективный и производительный рабочий, утверждали представители этой школы. Как обеспечить ему это счастье?
Постепенно становилось ясно, что эффективность труда индивида зависит не только от его психологии, но и от сложнейших групповых (социальных) взаимосвязей внутри организации. Начиналось формирование школы «социальных систем»,
которая возникла под влиянием концепций структурно-функционального анализа, развиваемых Т. Парсонсом, Р. Мертоном, а также общей теории систем (Л. Берталанфи, А. Рапопорт). Такие ее представители, как Ч. Бернард, (1887-1961), Ф. Селзник, Г. Саймон (р. 1916), Д. Марч, А. Этциони, М. Хейра, индустриальные социологи Э. Трист рассматривали социальную организацию как комплексную организационную систему с рядом составляющих:
• индивид;
• формальная структура организации;
• неформальная структура организации;
• статусы и роли членов организации;
• внешнее окружение (государственные структуры, поставщики, покупатели, партнеры, конкуренты и т.д.);
• технические средства труда.
Представители этой школы исследовали взаимодействие этих составляющих между собой, неаддитивность, коммуникативные связи и равновесие организационных систем, вопросы мотивации труда (баланс «вклада» и «удовлетворения»), лидерства, стратегического планирования, принятия решений, взаимодействия человека и машины (индустриальная социология). Прагматично ориентированные «практики» (руководители крупных фирм и компаний, государственных структур) считали, что менеджмент должен быть построен на обобщении опыта прошлой работы с использованием методов экономических наук, психологии, социологии, статистики, математики (так называемое «эмпирическое» направление,
или «менеджеризм»).
Эмпирики часто говорили о необходимости создания единой теории управленческой деятельности. К представителям «эмпирической» школы управления относятся Р. Дэйвис, Л. Эппли, Э. Дэйл, А. Слоун, А. Чандлер, Г. Саймондс, У. Ньюмен, Э. Петерсен, Э. Плоумен, А. Коуэл, А. Свенсон, Т. Левитт, У. Беннис, П. Друкер и др.
По мере развития математики и экономико-математических методов, теории систем и управления, кибернетики, вычислительной техники с начала 1950-х гг. стала постепенно формироваться «новая школа» управления,
в которую входили Л. Берталанфи, Д. Форрестер, А. Рапопорт, К Боулдинг, С. Бир, Е. Арноф, Р. Аккоф, Д. Экман, Р. Калман, Л. Заде, М. Месарович, Я. Типберген, Л. Клейн, А. Гольдбергер, В. Леонтьев и др.
Внимание представителей «новой школы» было сфокусировано на:
• сетевом планировании;
• планировании расписаний (поступлении и расходовании ресурсов, запасов, ходе технологических процессов);
• оптимизации и распределении ресурсов организации (линейные, нелинейные и динамические методы);
• управлении и оптимизации запасов ресурсов;
• использовании «теории игр» при принятии решений в условиях неопределенности и рисков (которая в дальнейшем переросла в самостоятельную область математики — «теорию принятия решений»);
• прогнозировании;
• использовании «теории массового обслуживания» для вычисления вероятности очередей и их минимизации;
• системном анализе (с помощью «дерева» целей, критериев значимости целей и вероятностей их достижения);
• эконометрике (построении инструментами математики различных макроэкономических моделей и моделей типа «затраты—выпуск»);
• исследовании операций как отдельной научной дисциплиной для решения задач планирования принятия решений, оптимизации и прогнозирования;
• статистических методах анализа и оценки различных ситуаций (однофакторный, двухфакторный, кластерный, корреляционный анализ и др.).
Наибольшую значимость приобрел системный подход к управлению. Цель системного анализа заключается в оценке эффектов деятельности организации при минимуме затраченных ею ресурсов. Основные этапы системного анализа включают в себя:
• формулирование целей (как правило, в показательной форме);
если необходимо, строится дерево целей с коэффициентами значимости всех целей;
• разработка альтернативных вариантов реализации цели(ей);
• оценки альтернатив решений (в цифровой форме);
• оценки эффектов и затрат для каждой альтернативы;
• выборе лучшего варианта, обеспечивающего минимум затрат при максимуме эффекта.
Таким образом, все учения об управлении можно разбить на две большие группы, одномерные и синтетические.
Одномерные учения исследуют отдельно процессы труда, человека, администрирование и др.
Синтетические учения исследуют управление как многоплановое, комплексное и изменяющееся явление, связанное с внутренним и внешним окружением организации.
К синтетическим учениям относятся, например:
• «школа социальных систем»;
• системный подход;
• управление по целям
П. Друкера (МВО);
• ситуационные теории
(методы управления меняются в зависимости от ситуации, а поэтому управление является искусством);
• теория
«7-S»
(Т. Питерс, Р. Уотерман, Р. Паскаль, Э. Атос). Эффективная организация формируется на базе 7 взаимосвязанных составляющих, изменение каждой из которых требует соответствующего изменения остальных шести: стратегии управления, структуры организации, процессов организации, штатов, стиля руководства, квалификации персонала, разделенных ценности. Основная задача менеджмента — гармонизация этих семи составляющих;
• теория
Z.
На основе анализа японского опыта управления У. Оучи вывел формулу успеха функционирования организации: долгосрочный наем кадров, групповое принятие решений, индивидуальная ответственность, оценка кадров и их умеренное продвижение, формализация методов контроля, неспециализированная карьера, всесторонняя забота о работниках. Теория Z является альтернативой бихевиористской концепции Д. Мак-Грегора (выделявшего в зависимости от взглядов руководителя на подчиненных два типа управления: Х и Y). Руководствующийся теорией Х
руководитель считает, что человек по природе своей ленив, склонен к принуждению, избегает ответственности, что требует применения авторитарного стиля руководства. Руководствующийся теорией
Y
руководитель считает, что в благоприятных условиях человек стремится к творчеству, с готовностью принимает на себя ответственность, осуществляет самоконтроль, а значит, наиболее адекватным стилем руководства является либерально-демократический стиль. Д. Мак-Грегор считал, что более эффективным является управление типа Y.
ГЛАВА 2. ЦЕЛИ, ПРИНЦИПЫ И ЗАДАЧИ УПРАВЛЕНИЯ
2.1. Постановка оперативных целей
Целенаправленность управления предполагает осознанное движение к четкой и ясной цели (несмотря на препятствия и даже вопреки им). В последнее время в литературе появилось даже новое понятие «напористость менеджера», которое предусматривает осуществление неоднократных мер, решений или мероприятий, направленных на достижение поставленной цели. Очень важно, чтобы цель была поставлена в показательной форме и ее можно было измерить.
Примеры правильно поставленных целей:
• повышение объемов продаж на 10 %;
• снижение себестоимости продукции на 5 %;
• повышение прибыли на 7 %;
• повышение рентабельности на 2 %.
Примеры неправильно поставленных целей:
• повышение качества продукции;
• улучшение дизайна выпускаемой продукции и т.д.
Очевидно, что в первом случае необходимо выделить показатель или показатели, позволяющие оценить качество продукции, например среднее время наработки на отказ продукта, или процент выхода годных изделий (например, при изготовлении микросхем).
Во втором случае необходимо разработать систему оценки дизайна продукции (например, автомобиля или электронной системы). Обычно для этих целей используется метод экспертных опросов (например, по баллам: 1— удовлетворительно; 2 — хорошо; 3 — отлично) специалистов или потенциальных покупателей, клиентов, дистрибьюторов. Опрос экспертов позволяет вычислить максимальный средний балл дизайна выпускаемой продукции и поставить цель на будущее.
2.2. Соотношение цели и достигнутых результатов
Часто встречаются три варианта.
1. Конечный результат (который также должен быть обязательно измерен) не только близок, но и превосходит поставленную цель.
2. Конечный результат уступает поставленной цели.
3. Конечный результат противоречит поставленной цели.
Очевидно, что в первом варианте организация явно выиграет от полученного результата, но в дальнейшем необходимо стремиться к более точным предварительным расчетам и планам.
Во втором случае важно проанализировать причины неудачи (отрицательный результат — тоже результат) и сделать правильные выводы. В некоторых ситуациях конечный результат оказывается хуже из-за слабой «напористости» менеджеров, плохой системы управления организацией, в других случаях — из-за несбалансированности оптимистических и пессимистических оценок при постановке цели. Важно понять, почему не удалось достичь планируемых показателей.
Часто встречается третий вариант исхода, когда достигнутые результаты приходят в противоречие с поставленными ранее целями. Примером может служить ведущаяся во многих странах мира длительная борьба с алкоголизмом, коррупцией, наркоманией и т.д. Более того, во многих случаях эти проблемы не только не разрешаются, но и усугубляются. В экономике также возможны ситуации, когда цель, например повышение производительности труда за счет ужесточения дисциплины, входит в противоречие с достигнутым результатом (снижение психологической мотивации к труду приводит к резкому уменьшению показателей производительности).
2.3. Принципы менеджмента
Принципы менеджмента реализуются через сознание, интеллект, волю (напористость) и целеустремленность человека. Важно обеспечить такие условия труда, чтобы в максимальной степени использовать эти человеческие качества.
Основные принципы менеджмента включают в себя:
• принцип научности
(важно понимать причины несовпадения целей и результатов, видеть противоречия между теорией и практикой, знать свойства больших систем и методы работы в них);
• принцип системности
и комплексности
(важно видеть наиболее значимый комплекс взаимосвязанных и взаимообусловленных подсистем, входящих в организацию, например, как в Японии: «подсистема пожизненного найма», «подсистема подготовки на рабочем месте», «подсистема ротации кадров», «подсистема репутаций», «подсистема оплаты труда», которые взаимодополняют друг друга и обеспечивают рост производительности труда, жизненного уровня и мотивированности персонала, экономический рост всей страны);
• принцип единоначалия и коллегиальности
в выработке решений (за реализацию коллегиально принятого решения персональную ответственность несет руководитель организации);
• принцип демократического централизма
(означает необходимость разумного, рационального сочетания централизованного и децентрализованного начал в управлении, соотношение прав и ответственности между руководством и коллективом, нарушение данного баланса ведет либо к автократии в управлении, либо к охлократии (власти толпы));
• принцип баланса власти
(основной закон: уровень влияния руководителя на подчиненных равен степени зависимости подчиненных от руководителя);
• принцип оптимального сочетания отраслевых
(интересов организаций) и территориальных
интересов (экология, занятость населения, социальные, культурно-этнические и экономические проблемы регионов);
• принцип приоритетности
(очередности) действий с учетом значимости этапов работ;
• принцип оптимального сочетания положительной синергичности
в деятельности организации (через общую заинтересованность в результатах труда) и здоровой состязательности
(конкуренции) между ее членами;
• постоянный учет психологических, возрастных, половых и культурно-этнических особенностей
работников и их мотивацию.
2.4. Задачи управления
К основным задачам управления можно отнести:
• управление персоналом
(коллективом, кадрами);
• управление качеством
продукции;
• управление инновациями
(нововведениями в организации);
• стратегическое управление
(стратегия роста, стратегия ограниченного роста, стратегия сокращения, сочетание стратегий);
• управление финансовыми ресурсами;
• управление материальными ресурсами и запасами;
• управление информационными ресурсами;
• управление временными ресурсами
(сетевое планирование);
• управление производительностью труда;
• антикризисное управление
предприятием;
• управление маркетингом
(маркетинговыми стратегиями, например, стратегиями «цена—качество»);
• управление по целям (МВО)
(предложено в 1950-х гг. П. Друкером, предполагает правильную постановку цели(ей) и последующий переход к формированию функций и процессов управления; необходимо не только реагировать задним числом на негативную ситуацию, но и предварительно разрабатывать ряд мероприятий с целью ее недопущения);
• управление по результатам
(цикличный процесс постановка результатов (целей) — процесс ситуационного управления — контроль за результатами; на первый план выходят оперативная реакция на неожиданные ситуации и напористость менеджера).
ГЛАВА 3. ОСНОВНЫЕ ФУНКЦИИ МЕНЕДЖМЕНТА
Можно выделить 10 основных функций менеджмента.
1. Постановка целей и задач.
2. Анализ.
3. Прогнозирование.
4. Планирование.
5. Принятие решений.
6. Мотивация труда.
7. Организация и руководство.
8. Регулирование и разрешение конфликтов.
9. Контроль, учет и мониторинг.
10. Организационная культура.
3.1. Постановка целей и задач
Грамотная постановка целей определяет будущее организации. Цель должна быть поставлена четко и ясно, как правило, в показательной форме. Этап постановки целей и задач связан с предварительным анализом и прогнозами на будущее (рис.7).

Как видно из рис.7, изначально поставленные цели и задачи в процессе труда могут подвергаться корректировке. На деятельность организации влияют изменяющиеся факторы внешней и внутренней среды: курсы валют, уровень инфляции, взаимоотношения с конкурентами, клиентами, государством, психологический климат и мотивация в коллективе, организационная культура и т.д. Данные факторы обусловливают получение реальных результатов работы, которые могут отличаться от поставленных целей в лучшую или худшую стороны. Искусство менеджера заключается в анализе оптимистических и пессимистических прогнозов и предсказании негативных тенденций в экономике, на рынках и в коллективе. Поставленные цели и задачи должны быть реалистичными.
3.2. Анализ
Анализ
— это сбор, обработка, классификация, систематизация, хранение и обработка информации в целях управления. Проанализированная информация — это новая информация. Для анализа информации используются такие математические инструменты, как гистограммы, диаграммы, графики и т.д.
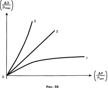
Собираемая информация должна быть достоверной (репрезентативной), качественной и минимальной по объему (информация по существу). Необходимо знать, что выгоды от использования информации могут не только расти (кривая 1, или прямая 2), но и снижаться (кривая 3)(рис.8).

В некоторых случаях требуется проведение более сложных видов статистического анализа:
• однофакторный или двухфакторный
анализ (определяется мера влияния одного или двух факторов на конечный результат, например возраста покупателей (или пола и возраста) на объемы продаж);
• корреляционный анализ
(выявление статистической взаимозависимости двух или более переменных, например тех или иных условий труда и производительности, технологических режимов производства и затрат и т.д.);
• кластерного анализа
(отнесение или группировка тех или иных объектов (фирм, товаров, клиентов) к одному классу или кластеру по их похожести друг на друга).
Стратегическое управление предполагает анализ внешней
и внутренней среды
организации. Анализ внешней среды соответственно включает в себя анализ макроокружения
и анализ непосредственного окружения.
Анализ макроокружения
включает в себя:
• анализ влияния экономических факторов (инфляция, курсы валют, уровень безработицы, процентные ставки, ставки налогов, показатели производительности труда и др.);
• анализ правового регулирования;
• анализ политических факторов;
• анализ социальных факторов (рост и возраст населения, уровень образования, уровень жизни, верования, обычаи, традиции, жизненные ценности);
• анализ научного и технологического развития.
Анализ непосредственного окружения
предполагает:
• анализ покупателей (составляется профиль покупателей);
• анализ поставщиков;
• анализ конкурентов;
• анализ рынка рабочей силы.
Анализ внутренней среды
предусматривает:
• анализ кадрового состава;
• анализ организационных процессов (коммуникации, нормы и правила, процедуры, соотношение прав и ответственности, иерархия подчинения и др.);
• анализ маркетинговых процессов (выбор продукта, стратегия ценообразования, стратегия продвижения товара, выбор рынков сбыта, систем сбыта товара, связи с общественностью и др.);
• анализ финансового состояния.
В анализе внешней и внутренней среды могут быть использованы и другие инструменты:
• матрица
SWOT;
• матрица возможностей;
• матрица угроз;
• профиль среды.
Матрица
SWOT
(от англ. слов: сила, слабость, возможности, угрозы) имеет следующую структуру (рис.9).

Цель позиционирования:
рассмотреть все возможные парные комбинации и выделить те, которые должны быть учтены при разработке стратегии организации.
Поле СИВ:
следует разработать такую стратегию, чтобы сильные стороны организации и ее большие возможности во внешней среде взаимодополняли
друг друга и давали максимальную отдачу.
Поле СЛВ:
стратегия должна быть построена таким образом, чтобы за счет появившихся возможностей попытаться преодолеть
имеющиеся в организации слабости.
Поле СИУ:
стратегия должна предполагать использование силы организации для устранения
угроз.
Поле СЛУ:
организация должна выработать такую стратегию, которая бы позволила ей избавиться
от слабости и предотвратить
нависшую над ней угрозу.
Матрица возможностей
имеет следующую структуру (рис.10):

Если возможность попала на поля ВС, ВУ, СС,
обязательно используйте ее.
Возможности, попадающие на поля СМ, НУ и НМ,
не заслуживают внимания организации.
Если возможности попали на остальные поля, руководство должно принять позитивное решение об их использовании, если организация имеет достаточный объем ресурсов.
Матрица угроз
имеет следующую структуру (рис.11).

Если угроза попадает на поля ВР, ВК и СР,
она должна быть обязательно и немедленно устранена.
Если угроза попадает на поля ВТ, СК и
HP,
она должна быть также устранена в первостепенном порядке.
Если угроза попадает на остальные поля, требуется внимательный и осмотрительный подход к ее устранению.
Профиль среды
формируется следующим образом.
• Выделяются все значимые внешние или внутренние факторы:
• оценивается их важность в баллах:
3 — сильное значение,
2 — умеренное значение,
1 — слабое значение;
• оценивается влияние каждого фактора на организацию в баллах:
3 — сильное влияние,
2 — умеренное влияние,
1 — слабое влияние;
• дается оценка направленности влияния:
+1 — позитивная направленность,
– 1 — негативная направленность.
Полученные экспертные оценки перемножаются, и получается интегральная оценка, показывающая степень важности фактора для организации. Вся информация сводится в таблицу.

3.3. Прогнозирование
Прогнозирование
— это вероятностное определение хода дальнейших событий. Прогнозирование может осуществляться:
• до начала процесса планирования
(например, на основе известной предыстории продаж делается прогноз будущих объемов продаж, после этих прогнозов планируются будущие объемы производства, затраты и т.д.);
• параллельно с процессом планирования
(например, прогнозирование погодно-климатических условий и планирование в связи с этим транспортных перевозок);
• по окончании процесса планирования
(например, в связи с резкими колебаниями валютных курсов, инфляции и других факторов в предшествующем и текущем периодах не представляется возможным точно оценить затраты организации в будущем периоде; на будущий период делаются оптимистический и пессимистический прогнозы).
Если организация развивается стабильно, без качественных скачков (нет выдающихся открытий, крахов рынков сбыта и т.д.), период прогнозирования может составлять одну треть от периода ее предыстории. К важнейшим методам прогнозирования относятся:
• метод краткосрочного прогнозирования,
основанный на сглаживании ряда (с успехом применяется, например, в планировании ежедневных или еженедельных закупок скоропортящихся товаров или товаров широкой номенклатуры, перед закупкой прогнозируются будущие объемы продаж);
• метод долгосрочного прогнозирования,
основанный на выявлении тенденций развития ряда (применяется, например, в прогнозах будущих объемов продаж товара на ближайшие периоды (месяц, квартал, полугодие, год));
• метод экспертных оценок
(применяется в процессе разработки новых товаров, новых технологий, оценки динамики курсов валют, инфляции и т.д.);
• метод «мозгового штурма»
(применяется в процессе разработки новых товаров, новых технологий, там где необходимы не только аргументы, но и контраргументы);
• метод прогнозирования сценариев развития
(применяется, например, при выявлении будущих действий конкурентов, потенциальных покупателей, движения товаров, рабочей силы; применяется в политических и военных исследованиях).
3.4. Планирование
Планирование
— процесс обоснования решения и распределения ресурсов (материальных, финансовых, людских, информационных, временных). Планирование зависит от целей и стратегии развития организации. Выделяют следующие виды стратегии планирования:
• стратегия роста во времени
(например, объемов продаж, объемов производства, производительности, качества, финансовых показателей и т.д., от достигнутого плюс прирост в %).
• стратегия ограниченного роста во времени
(от достигнутого плюс прирост на инфляцию).
• стратегия снижения во времени
(себестоимости продукции, финансовых показателей и т.д.).
• стратегия сокращения
(функций или подразделений организации, аппарата, численности персонала, рынков сбыта и т.д.).
• комбинированная стратегия.
По времени различают:
• краткосрочное (оперативное) планирование
(на срок до одного года);
• долгосрочное планирование
(на срок более года).
После определения целей и стратегии развития приступают к планированию необходимых для выполнения задачи ресурсов. С точки зрения привлекаемых ресурсов можно провести следующую классификацию планирования:
• материально-техническое планирование
(планирование необходимых для выполнения задачи станков, оборудования, запасов, рабочих площадей, мощностей, транспорта, коммуникаций, снабжения, сбыта и т.д.);
• финансовое планирование
(планирование будущей прибыльности и рентабельности работы, заработной платы, оборачиваемости средств, кредитов и др.);
• планирование численности персонала;
• временное планирование
(построение сетевых графиков, графиков Ганта и т.д.);
• планирование информационной архитектуры организации и ее информационных ресурсов.
При планировании будущих объемов выпуска продукции необходимо иметь информацию о:
• жизненных циклах товаров (если предприятие производит и само продает на рынке);
• возможностях производства;
• возможностях рынков сбыта.
Производственный план влияет на издержки. В нем, как правило, указываются:
• объемы выпуска продукции во времени;
• количество работающих и расходы на заработную плату;
• издержки на хранение продукции;
• издержки по задолженным заказам;
• издержки по внеурочным работам или простоям;
• издержки на передачу продукции;
• издержки по найму и увольнению работников и др.
В производственном планировании выделяют три стратегии:
• планирование переменных во времени объемов производства при переменной численности работающих;
• планирование переменных во времени объемов производства при постоянной численности работающих;
• планирование постоянных во времени объемов производства при постоянной численности работающих;
Планирование материальных потребностей для производства осуществляется:
• с учетом будущих объемов производства (запас материальных ресурсов при этом минимален);
• без учета будущих объемов производства (с ориентацией на имеющиеся большие запасы материальных ресурсов).
В некоторых компаниях обеспечение производства материальными ресурсами не предполагает создания запасов, а осуществляется по принципу «точно вовремя», когда комплектующие, сырье, материалы, энергоносители поступают ровно к тому времени, когда это необходимо, что позволяет минимизировать издержки хранения и снизить себестоимость продукции.
Бизнес-план
— это специальный инструмент менеджмента, широко используемый в современной рыночной экономике для инновационной деятельности. Он позволяет дать целостную оценку перспектив и потенциала бизнеса во времени, всесторонне проанализировать намерения и возможности, дать гарантии. Бизнес-план — основа предпринимательства. Для получения дополнительных кредитов или инвестиций необходимо иметь четко обоснованный бизнес-план, в котором будут доказательства того, что новое дело будет прибыльно и рентабельно.
Инвестиционные планы (планы долгосрочных вложений средств)
разрабатываются государственными структурами, частными организациями и частными инвесторами, заинтересованными в привлечении дополнительных финансовых средств.
Различают следующие виды инвестиций (вложений средств):
• государственные
(осуществляются государственными структурами);
• иностранные
(осуществляются зарубежными организациями и лицами);
• частные
(осуществляются частными организациями и лицами из своих и привлеченных финансовых средств);
• производственные
(направляются на новое строительство, реконструкцию, техническое перевооружение предприятий);
• интеллектуальные
(вкладываемые в создание интеллектуальных, духовных продуктов: создание музея, телевизионного проекта, шоу, кинофильма и т.д.).
Качество плана
зависит:
• от выбранной методологии и методик планирования;
• от выбора показателей планирования;
• от взаимодействия и единства органов планирования;
• от максимального учета факторов объективной и субъективной природы (темпы экономического роста страны, инфляция, уровень безработицы, этнокультурные особенности и уровень жизни населения, средний возраст и пол персонала и т.д.).
3.5. Принятие решений
Принятие решений — основная функция управления, сверху вниз пронизывающая любую организацию. Решения принимают руководители, специалисты, эксперты, консультанты, аналитики и системотехники, все те, от кого зависит эффективность работы организации Решения подразделяются на:
• организационные
(ведущие к изменениям в работе подразделений организации или ее систем управления);
• волевые, подкрепленные полномочиями и властью;
• волевые, не подкрепленные полномочиями и властью;
• запрограммированные
(жестко связанные с предыдущими решениями или технологическими операциями);
• рациональные и нерациональные
(рациональное решение принимается на основе анализа и прогнозов).
Решения могут приниматься:
• в условиях риска,
когда вероятности этого риска известны;
• в условиях риска,
когда вероятности этого риска неизвестны.
Выделяют следующие методы принятия решений:
• чисто автократические (принимаю решения только сам, слушая только самого себя);
• автократические с предварительными консультациями со специалистами;
• автократические с предварительным обсуждением в коллективе,
• коллегиальные (принимает решение коллектив по большинству голосов);
• строго математические, на основе теории принятия решений или теории игр;
• на основе экспертных оценок;
• на основе «мозгового штурма»;
• на основе проведенного ситуационного анализа.
Наиболее сложно принимать решения в условиях ограниченности времени. В случае если в организации стремительно нарастают негативные тенденции, очень важно дождаться некоторой стабилизации обстановки и только после этого принимать решения. Иногда скорость реакции на изменение ситуации входит в противоречие с рациональностью принятия решений. Управленческое решение должно быть принято всегда вовремя. В этом заключается искусство руководителя.
3.6. Мотивация труда
Мотивация
— это процесс побуждения к труду. Известно множество различных направлений в теориях мотивации, и в частности:
1. Исторически ранние взгляды на мотивацию к труду,
например политика «кнута и пряника». Их приверженцы придерживаются мнения о том, что человек по своей природе ленив, хитер, эгоистичен, хочет поменьше дать и побольше взять; следовательно, необходимо постоянно принуждать его к труду и систематически поощрять за достижение высоких результатов.
2. Содержательные теории мотивации
(в качестве побудительных мотивов к труду рассматриваются внутреннее содержание человека, его потребности).
3. Процессуальные теории мотивации
(мотивация возникает в процессе труда).
Рассмотрим подробнее каждую из теорий. К содержательным теориям мотивации относятся:
• теория А. Маслоу;
• теория К. Альдерфера;
• теория Д. Мак-Клелланда;
• теория Ф. Герцберга.
А Маслоу (1908-1970) предлагает следующую иерархию побуждающих человека к труду потребностей:
• физиологические
потребности (голод, жажда);
• потребности в безопасности,
стабильности и уверенности в будущем;
• потребности в любви, сопричастности, общении;
• потребности в признании
и самоутверждении;
• потребности в самоактуализации.
А. Маслоу предположил, что потребности в данной иерархии возникают постепенно, начиная с физиологических и т.д. Удовлетворяя первичные потребности, человек постепенно становится мотивированным более высшими. Люди не просто удовлетворяют одну потребность за другой, а движутся вверх, изменяя значимость для себя тех или иных потребностей.
Самоактуализация
— это высшая степень мотивированности человека; его желание и волевые действия стать тем, кем он может стать. Самоактуализироваться — значит, стать тем человеком, которым индивид может стать, достичь максимальной степени реализации имеющегося потенциала. Проблема заключается в том, что:
• человек часто не знает о своих способностях, предназначении или таланте;
• человек знает о своих способностях, но не хочет развивать их в процессе труда (слаба воля);
• человек знает о своих способностях, но не может развивать их в процессе труда по ряду причин (материальных, физических и др.).
По А. Маслоу, высшего уровня мотивированности достигают всего лишь около 1 % всех людей.
В соответствии с теорией К. Альдерфера
потребности человека могут быть объединены в три отдельные группы:
• потребности существования
(в безопасности, физиологические потребности);
• потребности связи
(в принадлежности к какой-то группе и причастности к какому-то делу, стремление быть членом семьи, иметь друзей, коллег и т.д.);
• потребности роста
(потребности в признании, самоутверждении и самосовершенствовании).
Эти потребности также располагаются иерархично, но движение может идти в двух направлениях (в отличие от иерархии А. Маслоу):
• вверх, если предыдущая потребность удовлетворена;
• вниз, если не удовлетворяется потребность более высокого уровня.
В своей теории приобретенных, потребностей
Д. Мак-Клелланд исходил из того, что потребности приобретаются под влиянием жизненных обстоятельств, опыта и обучения и включают в себя:
• потребности достижений
(стремление самостоятельно ставить цели и более эффективно, чем ранее, достигать их);
• потребности соучастия
(стремление к дружеским отношениям с окружающими, общению, работе с людьми);
• потребности властвовать
(первая группа индивидов желает властвовать ради властвования, вторая — ради достижения целей).
Данная система потребностей не имеет строгой иерархии (как в предыдущих теориях), ее элементы оказывают взаимные воздействия. Опытный менеджер, с одной стороны, должен способствовать удовлетворению доминирующих потребностей работников, а с другой — способствовать развитию тех из них, которые в наибольшей степени необходимы для процесса труда. Например, потребность властвования ради достижения цели с развитыми потребностями соучастия или достижения позволяют добиться повышения результатов труда. В теории двух групп факторов
Ф. Герцберг выделяет следующие:
• внешние
или гигиенические
(или факторы здоровья) — заработная плата, условия труда, статус, режим работы, межличностные взаимоотношения, степень контроля за работой;
• мотивирующие
— возможности роста, признание, продвижение по службе, работа сама по себе.
Ф. Герцберг приходит к выводу о том, что факторы, вызывающие рост неудовлетворенности человека, при их устранении необязательно приводят к увеличению удовлетворенности, и наоборот. Переход от удовлетворенности к отсутствию удовлетворенности осуществляется под влиянием мотивирующих
факторов, а переход от неудовлетворенности к отсутствию неудовлетворенности, под влиянием внешних
факторов. Поэтому первостепенное внимание должно уделяться неудовлетворенности человека, а только потом с помощью мотивирующих
факторов необходимо обеспечивать удовлетворенность, обращение же менеджера только к внешним
факторам неэффективно.
К процессуальным теориям мотивации
относятся теория ожидания Врума, теория справедливости (равенства) С. Адамса, модель
Портера—Лоулера, теория постановки целей Э. Локка, концепция
партисипативного управления.
В соответствии с теорией ожидания Врума:
Мотивация
= Ожидаемые результаты работы
х
х Ожидаемое вознаграждение за работу
х
х Значимость результата работы (валентность):
• валентность положительна, если результаты высоко ценятся работником;
• валентность отрицательна, если результаты отрицаются работником;
• валентность равна нулю, если работник безразличен к этому
результату.
Входящие в формулу переменные могут быть оценены с помощью баллов.
Сущность теории справедливости (равенства}
Стейси Адамса заключается в следующем: люди субъективно ощущают справедливость вознаграждения за труд, сравнивают свои и чужие затраты и вознаграждение; поэтому важно так оплачивать труд, чтобы мотивировать работников к труду и добиться сглаживания возникающих между ними негативных ощущений.
С. Адамс выделяет шесть возможных реакций человека на несправедливость.
1. Сокращение собственных затрат энергии
(«Я не намерен полностью выкладываться за такую зарплату»).
2. Попытка увеличения вознаграждения
за свой труд (требования, шантаж и т.д.).
3. Переоценка своих возможностей
(понижение уверенности в себе).
4. Попытка повлиять на организацию или на руководителя
с целью изменить оплату или нагрузку других сотрудников.
5. Выбор другого объекта сравнения
(«Мне с ними не равняться»).
6. Попытка перейти в другое подразделение или другую организацию.
Опытный менеджер должен чувствовать реакции подчиненных и по возможности сглаживать возникающие противоречия.
Модель Портера—Лоулера
представляет собой синтез теории ожидания и теории справедливости (см. рис.12).

В модели Портера—Лоулера результаты труда рассматриваются как функция внешнего вознаграждения (зарплата, значимость оплаты, уверенность в связи трудового усилия и размера вознаграждения), внутреннего вознаграждения (похвала, продвижение по службе и т.д.), осознания своей роли в процессе труда и способностей человека.
Если между размером внешнего вознаграждения и затраченными усилиями работника имеется однозначная воспринимаемая индивидом связь, система мотивации работает полностью; в противном случае работник мотивирован частично полученными результатами работы (вторая внутренняя обратная связь) и получает только внутреннее вознаграждение за свой труд.
В соответствии с теорией постановки целей
Эдвина Локка мотивация человека определяется его целями и удовлетворенностью результатами труда. Предполагается, что постановка целей является осознанным процессом, предполагающим будущие намерения человека. Результаты работы индивида зависят от:
• сложности цели;
• ее особенностей (ясность и определенность);
• выгодности (приемлемости) ее для индивида;
• готовности человека приложить определенные усилия для ее достижения (по мере приближения к цели может возрастать).
Качество выполнения рабочих заданий определяется организационными факторами и способностями сотрудника, которые в свою очередь влияют на цели, и как следствие на его мотивацию.
Удовлетворенность или неудовлетворенность работника определяется взаимодействием двух процессов:
• внутренних (оценка индивидом результатов с точки зрения соотнесения их с поставленной целью);
• внешних (оценка человека окружающими).
К недостаткам данной теории относят:
• слабую унифицированность (для необразованных людей, например, ясность цели играет большую роль, а для высокообразованных вызов цели и ее неопределенность открывает простор для творчества);
• не ясна ситуация, когда цель подчиненному ставит руководитель;
• не ясна ситуация, когда идет групповая работа и цель ставится группе в целом;
• стимулирование труда часто направлено не на быстрое достижение цели, а на качество исполнения рабочего задания.
В соответствии с концепцией партисипативного управления
мотивация работника определяется его заинтересованностью в том, как его деятельность сказывается на функционировании всей организации, стремлением участвовать в протекающих в организации процессах. Если работник чувствует, что он нужен организации, что он востребован ею, что между его инициативой и вознаграждением существует прямая зависимость, интенсивность его труда существенно повышается. Партисипативное управление получило широкое распространение в ведущих японских корпорациях:
• сотрудники принимают самостоятельные решения об организации труда;
• сотрудники самостоятельно принимают рабочие решения, постановка целей осуществляется совместно с руководителем;
• сотрудники самостоятельно контролируют качество и количество произведенной продукции;
• сотрудники привлекаются к рационализаторской деятельности (кружки качества, целевые комитеты и т.д.);
• сотрудники самостоятельно формируют рабочие группы.
При разработке системы мотивации работников большое значение имеет информация об их отношении к ценностям организации и к нормам поведения в группах (рис.13).
Отношение к ценностям организации

Область 1 («преданный и дисциплинированный»): работник хорошо относится к организации труда, разделяет взгляды руководства, приемлет нормы поведения в организации.
Область 2 («оригинал»): работник разделяет взгляды руководства и ценности организации, но не приемлет нормы поведения в ней из-за своих особенных черт характера, осознавая свои проблемы.
Область 3 («приспособленец»): работник не разделяет взглядов руководства, ценности организации, но выполняет все нормы установленного поведения в этой организации.
Область 4 («бунтарь»): работник не разделяет взглядов руководства, ценности организации и не приемлет норм поведения.
3.7. Организация и руководство
Организация как понятие включает в себя три основные составляющие:
• организация (проектирование) работ;
• построение (проектирование) структуры всей организации (департаментализация);
• построение системы взаимодействия подразделений и руководства ими.
Организация работ и руководство для каждой из сфер деятельности имеют свою специфику. В сфере производства
организация труда может включать в себя, например:
• организацию рабочих мест;
• выбор технологии изготовления продуктов;
• снабжение производственного процесса;
• хранение сырья, материалов, комплектующих и готовой продукции,
• управление запасами;
• охрана и безопасность труда и др.
В сфере управления
всей организацией:
• подбор и расстановка кадров;
• продвижение кадров (система кадровой ротации);
• переобучение кадров;
• система стимулирования (мотивации) труда;
• делегирование властных полномочий;
• организация взаимодействий между подразделениями;
• организация общей системы снабжения;
• организация маркетинговой службы;
• организация системы сбыта;
• организация планово-финансовой службы и др.
Так как цели, задачи и стратегии со временем изменяются, трансформируются и организационные связи, образования и отношения.
В процессе работы руководитель должен:
• расставлять приоритеты в своей деятельности (уметь выделять первоочередные задачи и т.д.);
• создавать атмосферу взаимного уважения;
• создавать в коллективе мотивационную среду;
• искать эффективные решения и компромиссы.
При организации деятельности менеджеру важно выявить соответствие масштабности и сложности работы (рис.14).
Сложность работы

Масштабность
характеризуется количеством задач или операций, которые работник должен выполнить.
Сложность работы
отражает степень самостоятельности в принятии решений и степень владения процессом труда.
Виды деятельности подразделяются на:
• узкоспециализированные
(с низким масштабом работы);
• широкоспециализированные
(с высоким масштабом работы).
Определение масштаба и сложности процесса труда позволяет в дальнейшем совершенствовать систему оплаты и мотивированности труда (приоритеты в оплате должны быть 1—2—3—4, см. рис.14).
Выявление отношений между работниками в процессе труда позволяет в дальнейшем сформировать оптимальную структуру организации. Большое значение имеет определение менеджментом восприятия процесса труда персоналом, а именно:
• разнообразие видов деятельности;
• самостоятельность в принятии решений (автономность);
• уровень доведения работы до конца;
• уровень информированности работника о конечных результатах труда;
• удовлетворенность масштабом взаимодействия с другими работниками;
• удовлетворенность неформальными связями;
• удовлетворенность степенью контроля за работой.
Очень важно выявить позицию работника в матрице «как-когда-где»
и взаимозависимость
работы (рис.15).
Сложность работы

Взаимозависимость работ может быть:
• складывающейся
(когда не требуется взаимодействие с другими работниками), рис.16;

• последовательной
(начало работы одного зависит от успешного завершения работы другого, например производство автомобилей на конвейере), рис.17;

• связанной
(конец работы одного сотрудника становится началом работы другого с повторением процесса наоборот (взаимодействие хирурга с ассистентами во время операции)), рис.18;

• групповой
(одновременное участие всех сторон в рабочем действии), рис.19.

В проектировании работы и совершенствовании организации труда менеджер должен найти ответы на следующие вопросы:
• целесообразно ли расширение масштаба
работы для конкретного работника (много трудовых операций с редкой их повторяемостью);
• целесообразна ли ротация работы
(перемещение работников с одной трудовой операции на другую и как часто);
• целесообразно ли обогащение работы
и как этого добиться (через повышение разнообразия навыков и умений, через самостоятельность в планировании работ, через самостоятельность в определении ритма работы, через самостоятельность в принятии решений, через уменьшение степени контроля за работой, через усиление связи между результативностью работы и вознаграждением);
• какая форма взаимодействия
наиболее оптимальна для данных целей и задач.
Для решения этих проблем требуются исследование работы, проведение ее диагностики, к примеру по методике Дж. Хакмана и Г. Олдхэма. Данная методика требует ответа на следующие вопросы.
1. Какова степень автономности
вашей работы (в какой степени работа дает сотруднику возможность самостоятельно определить порядок ее выполнения)?

2. Какова степень цельности (законченности)
работы в общем технологическом (трудовом) процессе?

3. Насколько разнообразна работа (в какой степени она требует выполнения различных операций и задач, а также знаний и умений)?

4. Насколько значительна
или важна
работа в целом (влияют ли результаты работы на жизнь или благосостояние других людей)?

5. В какой мере сотрудник ощущает связь личного вклада с результатами труда всего коллектива (уровень обратной связи)?

Дж. Хакман и Г. Олдхэм предложили формулу, по которой можно рассчитывать общий балл обогащения содержания работы (мотивирующий потенциальный балл):

При организации работ очень важно согласовать (гармонизировать)
технологическую и социальную системы. Эффективность работы технологической системы
зависит от:
• технологических (производственных) процессов;
• физических условий работы;
• сложности производственных процессов;
• скорости (ритма) исполнения работы.
Социальная система
включает:
• индивидов;
• рабочие группы;
• руководство;
• коммуникации и кооперацию субъектов системы.
Очевидно, что нецелесообразно внедрение самоуправления в группе, отношения между членами которой характеризуются недоверием и грубостью. Часто технология труда не соответствует отношениям в коллективе, и наоборот. Согласование (уравновешивание) технологической и социальных систем возможно с помощью модераторов. Модераторы
— средства, позволяющие менеджеру привести в равновесие технологическую и социальную системы. Решение данной задачи предполагает:
• установление ролей
(ожидаемого поведения для каждого работника с целью сглаживания возникающих противоречий в процессе труда);
• установление реалистичных целей
для каждого работника, позволяющих сочетать его желания и технологическую необходимость;
• максимальный учет индивидуальных качеств человека, его умений
и способностей
(каждый работник должен быть на «своем» месте).
К факторам, влияющим на структуру организации (по Гелбрейту и Чандлеру),
относятся:
• внешняя среда;
• технология работы;
• стратегический выбор (ориентация на потребителя или на собственный бизнес);
• стратегический выбор рынков сбыта и принципы размещения производства;
• выбор идеологии управления (количество уровней иерархии, число звеньев системы, централизация и децентрализация);
• качество персонала (потребности, квалификация, мотивированность).
Внешняя среда характеризуется степенью динамизма и уровнем сложности окружения (рис.20).

Технология исполнения,
как уже было сказано, может быть:
• складывающейся (наименее сложная организация);
• последовательной (организация средней сложности);
• связанной (организация средней сложности);
• групповой (наиболее сложная организация).
Выбор технологии
зависит от знания:
• степени структурированности работы
(высокая, низкая);
• ритма поступления работы
(известный или неизвестный, как при ремонтных работах, в отделе кадров и т.д.);
• определенности места
ее выполнения (точно знаем, приблизительно знаем, не знаем).
Эффективное функционирование организации предполагает:
• определение степени централизации управления;
• осуществление департаментализация;
• решение вопросов масштаба управляемости и контроля;
• решение вопросов соотношения уровней иерархии и масштаба управляемости;
• разделение и специализацию труда;
• эффективные коммуникации и координацию усилий;
• распределение прав и ответственность;
• определение соотношения дифференциации и интеграции подразделений организации.
Рассмотрим каждое из направлений.
ЦЕНТРАЛИЗАЦИЯ. Централизация означает концентрацию властных полномочий на верхнем уровне руководства организацией. Цель централизации — увеличение синергии, улучшение координации, предотвращение ошибок на нижних уровнях управления. Негативные стороны централизации заключаются в снижении оперативности управления, уменьшении возможностей адаптации к новым условиям работы.
ДЕЦЕНТРАЛИЗАЦИЯ. Децентрализация — это передача или делегирование прав и ответственности за ряд ключевых решений на нижние уровни управления организацией. Цель децентрализации — облегчение процессов принятия решений и инициатив на нижних уровнях управления, оперативность руководства, высокая адаптивность организации к новым условиям. Негативные стороны децентрализации — эмерджентность, обособленность частей, что часто ведет к конфликтам, ослаблению контроля и единства в действиях. Проблема выбора между централизацией
и децентрализацией
весьма сложна, так как решение определяет все структуры организации. На решение менеджмента влияют следующие факторы:
• размеры организации;
• вид бизнеса (предпринимательства);
• качество кадров;
• степень разделения труда;
• стремление частей организации к самостоятельности;
• долевое распределение капитала и финансовые интересы;
• организационная культура;
• государственная политика в области демонополизации, налогообложения и т.д.
ДЕПАРТАМЕНТАЛИЗАЦИЯ. Департаментализация есть процесс организационного обособления. Посредством департаментализации организация может расширяться практически беспредельно (такие корпорации-гиганты, как Еххоп,
Jeneral Motors, IBM
и т.д.). Департаментализация может осуществляться:
• по численности
(в армии, в учебных заведениях и др.);
• по времени
(работы, связанные со сменностью, сезонностью, вахтовые методы работы);
• по территории
(работы, связанные с географией производства и распространения продукта);
• по функциям
(например, типовая функциональная структура «кадры», «финансы», «снабжение», «разработка продукта», «маркетинг», «планирование», «производство», «сбыт»; основной ее недостаток — возможность возникновения «эффекта бутылочного горла», когда руководитель сконцентрирован на оперативной работе, он не уделяет должного внимания вопросам стратегии развития);
• по типу производства
(штучное, мелкосерийное, крупносерийное, массовое, непрерывное);
• по типу оборудования
(участки с обычными станками, роботами, участки ГАП, конвейеры);
• по технологии производства
(заготовительные цеха, цеха механообработки, цеха сборки, цеха настройки и т.д.);
• по продукту
(отделения фирмы: производство холодильников, производство пылесосов, производство кондиционеров);
• по потребителю
(например, отделения фирмы: производство товаров для армии, для промышленности, для дома и т.д.);
• по рынку
(маркетинговая фирма распределяет свои усилия и обособляется по четырем направлениям: рынок рабочей силы, рынок потребителей, рынок товаров, рынок услуг);
• матричная департаментализация
(строки матрицы — продуктовые подразделения, столбцы — функциональные подразделения; недостатки — система двойного подчинения трудна и связана с высокими затратами при внедрении, не отличается гибкостью в кризисные периоды);
• комбинированная
(сочетающая в себе некоторые из перечисленных типов);
• инновационная
(количество, размеры и связи подразделений-департаментов оперативно изменяются во времени под новые цели, задачи и факторы внешней среды);
• бесструктурная
(части организации могут обособляться и взаимодействовать между собой по принципу «каждая с каждой»).
МАСШТАБ УПРАВЛЯЕМОСТИ. Масштаб управляемости — это величина, определяющая количество сотрудников или работ, объединенных под единым руководством. В организации каждый из руководителей способен эффективно работать только с определенным количеством подчиненных. В 1933 г. В. Грейкюнас определил на основе проведенных исследований, что руководитель в состоянии иметь не более 12 контактов с непосредственными подчиненными. В ходе обследования ряда предприятий Д. Вудвор получил следующие данные по масштабу управляемости (см. табл.1).
Таблица 1
| Уровень организации |
Штучное производство |
Массовое производство |
Опытное производство |
| Высшее звено управления |
4 |
7 |
10 |
| Нижнее звено управления |
23 |
48 |
15 |
Многие специалисты в качестве ориентира для определения масштаба управляемости рекомендуют некие усредненные величины. Считается, что для высшего звена управления число подчиненных у одного руководителя должно подчиняться «закону 7 плюс-минус 2», т.е. не менее пяти и не более 9 (в среднем 7). В целом организации могут иметь узкий и широкий
масштабы управляемости (см. рис. 21а, 216).
Соотношение уровней управления
(иерархии) и масштаба управляемости
можно выразить матрицей (см. рис.22).
Каждая организация должна выбрать зону соотношения уровней и масштаба управления, которая, как правило, связана со специализацией и разделением трудового (технологического) процесса на отдельные операции.
СПЕЦИАЛИЗАЦИЯ И РАЗДЕЛЕНИЕ ТРУДА. Разделение труда идет по двум направлениям:
• горизонтальному
(например, последовательно «снабжение—планирование—производство—сбыт»);
• вертикальному
(по уровням иерархии организации).
Сверхспециализация может привести к следующим негативным последствиям:
• затрудняет видение общей цели организации;
• приводит к возрастанию роли координационных механизмов и бюрократического аппарата;
• порождает различия микрокультур труда.
Одновременно специализация и разделение труда способствуют повышению производительности труда.
КОММУНИКАЦИИ И КООРДИНАЦИЯ. В соответствии со структурой, отношениями и культурной средой образуются и коммуникации-связи в организации:
• рабочие горизонтальные
(на одном уровне иерархии);
• рабочие вертикальные
(с одного уровня иерархии на другой);
• линейные
(реализующие отношения «начальник—подчиненные»);
• функциональные (штабные),
несущие совещательные или рекомендательные функции;


• косвенные
(например, инспектор отдела кадров—начальник цеха или главный бухгалтер—начальник цеха; эти связи часто имеют место через «голову руководителя организации», вредят делу и не подкрепляются полномочиями);
• формальные
(связи координации, подкрепляемые принятыми в организации полномочиями, правилами, нормами и процедурами);
• неформальные
(на основе личных взаимоотношений, дружбы, родственных связей и т.д.).
Часто в организации устанавливаются правила взаимодействий ее членов, например (рис.23, 24, 25):



Большое место в организации занимают и коммуникативные стили общения индивидов (рис.26).

Для менеджера очень важно знать, в какой зоне находится он сам и его собеседник и регулировать свое поведение в зависимости от ситуации. Имеющие большое значение невербальные коммуникации. Они характеризуются:
• движениями и пластикой тела (жесты, мимика, позы и т.д.);
• личными физическими данными (строение тела, вес, рост, цвет волос, глаз, запах тела, мускулатура);
• речью (дикция, тембр, мощность ударения и др.);
• манерой поведения;
• внешней средой (дизайн помещения, мебель, чистота, опрятность, освещенность, шум);
• организационной культурой (опоздания, ранний приход, склонность заставлять себя ждать и т.д.).
РАСПРЕДЕЛЕНИЕ ПРАВ И ОТВЕТСТВЕННОСТИ. Возможны два варианта распределения прав и ответственности система «елочка»
и система «матрешка»
(рис.27).

В системе «елочка» права и ответственность вышестоящего руководства поглощают только часть прав и ответственности (полномочий) нижестоящего руководителя. В данном случае имеет место бюрократическая организация М. Вебера с высокой четкостью в фиксации прав и ответственности руководителя каждого уровня.
Система «матрешка» является системой двойного или множественного подчинения, в ней права и ответственность вышестоящего руководителя полностью поглощают права и ответственность (полномочия) всех нижестоящих руководителей. В этой системе очень сложно найти «крайнего» в силу распыленности прав и ответственности всех нижестоящих уровней.
СООТНОШЕНИЕ ДИФФЕРЕНЦИАЦИИ И ИНТЕГРАЦИИ ПОДРАЗДЕЛЕНИЙ. Дифференциация
характеризуется степенью различия между подразделениями, а интеграция
— уровнем требуемого от них сотрудничества. Для оценки степени дифференциации подразделений в организации П. Лоуренс и Дж. Лорш предлагают использовать четыре параметра:
• ясность и четкость
поставленных перед подразделениями целей;
• формальность структуры
(высокоорганическая, органическая или механистическая);
• тип взаимодействия (с
ориентацией на людей или на задачи);
• скорость обратной связи с результатами работы
(очень низкая, низкая, высокая).
Чем больше подразделения организации отличаются друг от друга по этим четырем переменным, тем более дифференцированной она является. Работу высокодифференцированных организаций очень трудно координировать, поэтому необходимы специальные интеграционные механизмы (институт заместителей, советы, специальные подразделения). Анализ степени дифференциации частей организации позволяет определить уровень потенциального конфликта между ними, а нахождение соответствующего интеграционного механизма создает условия для снижения конфликтности (см. рис.28).

Изменения внешней среды, целей, задач, стратегий обусловливают необходимость проведения организационных изменений.
Организационные изменения могут включать в себя:
• изменения в кадровой политике
фирмы (найм, отбор, перемещение, сокращение, переподготовка и переквалификация персонала);
• изменения в структуре управления
организацией;
• изменения во взаимодействии
подразделений;
• изменения в технологиях
трудовых процессов;
• изменения в трудовых отношениях
фирмы (стимулирование и мотивация труда, система кадровой ротации, участие персонала в управлении организацией);
• изменения в методах управления.
В крупных компаниях, как правило, не реже одного раза в год осуществляются те или иные реформы, а не реже одного раза в 4-5 лет — коренная реорганизация.
Методика организационных изменений в соответствии с моделью Л. Грейнера:
1. Проводится анализ
внешней среды и мер влияния внешних и внутренних факторов.
2. С помощью независимых
экспертов и консультантов концентрируется внимание руководства на новых целях, задачах, проблемах; проводится сбор информации и ее аналитическая обработка.
3. Осуществляется диагностика
организации (сбор информации, социологические опросы) и разработка возможных сценариев развития ситуации.
4. Вырабатывается единое решение
руководства по сценарию организационных изменений, даются финансовые обязательства и гарантии.
5. Формируется благоприятное общественное мнение
(собрания, гласное обсуждение проблем организации, пропаганда), процесс идет сверху вниз.
6. Проводится организационный эксперимент,
выявляются трудности и проблемы.
7. Вырабатываются стимулы к
изменениям, обеспечивается согласие сотрудников.
8. Работники начинают участвовать в осуществлении перемен, процесс начинает идти снизу вверх.
3.8. Регулирование и разрешение конфликтов в организации
Регулирование
— это процесс устранения отклонений текущих показателей от плановых заданий. В условиях, когда производственный процесс не выходит за рамки принятых допущений, основания для его регулирования отсутствуют. Направленные на нормализацию производственного процесса экстренные и эффективные меры включают в себя регулирование состояний:
• производственной системы;
• технологической дисциплины;
• трудовой дисциплины;
• финансовой и плановой дисциплины;
• системы стимулирования и мотивации труда;
• системы снабжения и сбыта;
• маркетинговой системы.
К причинам, обусловливающим необходимость регулирования деятельности организации, относятся:
• отклонения от плановых показателей состояния внутренней среды
организации (ухудшение производственной или технологической дисциплины, старение оборудования, сбои, поломки, аварии и т.д.);
• отклонения от плановых показателей, вызванные изменениями внешних факторов среды,
(отношения с поставщиками, клиентами, рынками сбыта, государственными структурами, резкие изменения курсов валют, экономические кризисы и т.д.);
• отклонения, связанные с организационными конфликтами.
Конфликт
— это отсутствие согласия между двумя или более сторонами.
Из графика (рис.29) видно, что бесконфликтность
(безразличие всех ко всему) и очень высокая конфликтность
обусловливают снижение эффективности деятельности организации. Таким образом, существует оптимальный уровень конфликтности (зона от точки А до точки В), обеспечивающий нормальное функционирование организации.

Если конфликтная ситуация находится под контролем руководства, то такие конфликты называют функциональными.
Они оказывают положительное воздействие на эффективность организации и полезны для нее (диапазон АВ). Функциональные конфликты могут возникать на совещаниях, советах, в деловой полемике и т.д. Участвующие в них стороны обычно контролируют себя и ситуацию.
Если ситуация выходит из-под контроля руководства, конфликт принимает дисфункциональный характер. Дисфункциональный конфликт
приводит к снижению личной удовлетворенности сотрудников, эффективности группового сотрудничества, ведет к враждебности в отношениях, к несправедливости в распределении ресурсов, вынуждает поступать против своей воли в пользу одной из сторон.
Выделяют следующие виды конфликтов:
• внутриличностные
(связанные с противоречиями между «хочу», «могу» и «надо» в человеке);
• межличностные
(на профессионально-производственной, социальной и эмоциональной почве);
• внутригрупповые
(из-за изменения баланса сил в группе, например, в результате смены руководства, появления неформального лидера, повышения нагрузки в работе и т.д.);
• типа «личность—группа»;
• типа «группа—группа»;
• внутриорганизационные
(на почве неправильного распределения властных прав, полномочий и ответственности между уровнями управления — вертикальные;
на одном уровне — горизонтальные;
между линейными и функциональными подразделениями — линейно-функциональные конфликты);
• ролевые
конфликты (из-за неопределенности и конфликта ролей, предоставляемых работнику).
Неопределенность ролей
имеет место в тех случаях, когда сотрудник не имеет четких целей, заранее определенных для выполнения рабочей задачи ресурсов, его полномочия и ответственность весьма расплывчаты. В случаях, когда рабочее задание сотрудника предполагает исполнения им новой, не подкрепляемой его полномочиями и его властью роли, имеет место ролевой конфликт,
как правило, приводящий к стрессу. Причины конфликтов:
• неправильное или несправедливое распределение ресурсов;
• различие целей (высокая эмерджентность и дифференциация подразделений);
• плохая структуризация (неясные, нечетко поставленные задачи);
• различные представления и ценности членов коллектива и групп;
• различия в манерах и стилях поведения и руководства;
• возрастные проблемы («проблема отцов и детей»);
• половые проблемы;
• этнические и межнациональные проблемы;
• проблемы различных уровней образования и культуры;
• плохие организационные коммуникации;
• неправильная ориентация руководителей (на задачи или на человека);
• организационные факторы (недогрузка или перегрузка в работе).
К структурным методам управления конфликтом относятся:
• приказы, распоряжения, директивы и т.д.;
• методы «разведения» участников конфликта по ресурсам, целям, средствам труда и т.д.;
• методы «страхования» от конфликтов (через создание резервных запасов финансовых и материальных средств);
• методы объединения участников конфликта;
• методы с использованием интеграционных механизмов (антикризисные комитеты, введение постов заместителей, кураторов, координаторов и т.д.).
Межличностные стили разрешения конфликтов (рис.30):

• уклонение (зона 3);
• сглаживание (зона 4);
• принуждение (зона 1);
• через сотрудничество и решение проблемы (зона 2);
• через поиск компромисса (зона 5).
Причины сопротивления переменам:
• страх потери функции;
• страх потери заработка;
• страх появления новых проблем.
Методы преодоления сопротивления:
• образование, переквалификация, переподготовка сотрудников;
• привлечение работников к непосредственному участию в организации перемен, создание у сопротивляющихся мотивации к переменам;
• эмоциональная и психологическая поддержка;
• «покупка» работников с помощью материальных стимулов;
• переговоры (обоснование необходимости поиска компромисса);
• кооптация (предоставление сопротивляющемуся лицу веду щей роли во введении новшеств);
• маневрирование (выборочное использование информации для своей пользы);
• принуждение (угроза лишить работы, продвижения по службе, снижения заработка и т.д.);
• увольнение работника.
Неразрешенный конфликт часто ведет к стрессусотрудников.
Стресс —
это значительно отклоняющееся от нормы состояние чувственной и эмоциональной сферы человека, когда его восприятие окружающей среды и поведенческие реакции неадекватны ситуации. Основные причины стресса:
• организационные факторы
(недогрузка, перегрузка, плохие физические условия работы, конфликт и неопределенность ролей);
• личностные факторы
(смерть близких, конфликты в семье, плохие материальные условия и др.);
• неправильное соотношение
между властными полномочиями и ответственностью.
3.9. Контроль, учет и мониторинг
Контроль
— функция управления, выполняющая стабилизирующую роль в петле управления. Непрерывно контролируя результаты работы, организация имеет возможность оперативно принимать управленческие решения и стабилизировать ситуацию в случае ее негативного развития. Контроль может быть непрерывным и дискретным во времени. Например, многие технологические производственные процессы контролируются во времени непрерывно, а контроль за качеством продукции может проводиться дискретно, когда проверяется не вся партия продукции, а отдельные выборки (выборочный контроль).
Важно только, чтобы размер выборки был статистически репрезентативен относительно всей партии.
На производстве обычно контролируют:
• объемы, номенклатуру и качество выпускаемой продукции;
• технологические процессы изготовления продукции (технологическую дисциплину);
• запасы готовой продукции, комплектующих, сырья, материалов;
• производительность труда;
• квалификацию и рост кадров;
• производственную дисциплину (режимы работы подразделений; загрузку оборудования, простои и т.д.);
• трудовую дисциплину;
• финансовую дисциплину (соблюдение договорных обязательств, выполнение планов поставок и реализации продукции, использование финансовых средств, кредитов, сроков и условий платежей и т.д.);
• сбытовую деятельность;
• снабженческую деятельность.
Одновременно с контролем в организации обычно осуществляется учет
, под которым понимается подведение итогов деятельности в краткосрочном периоде, т.е. как бы мгновенный срез процессов и результатов на данный момент времени.
Если число контролируемых показателей велико, а менеджмент нуждается в анализе их взаимосвязей, руководство компании обычно проводит мониторинг
с применением компьютеров или другой техники. Мониторинг позволяет непрерывно отслеживать взаимосвязи результатов и оперативно реагировать на возникающие негативные тенденции.
3.10. Формирование организационной культуры
Один из основных резервов повышения эффективности организации — организационная культура.
Организационная культура
(OK) — это комплекс ценностей, видений, ожиданий, верований, традиций и норм поведения, принимаемых большей частью членов организации.
Принято выделять три уровня ОК (по Э. Шайну):
1. Поверхностный
(то, что воспринимается человеческими чувствами).
2. Подповерхностный
(верования и ценности, сознательно разделяемые членами организации).
3. Глубинный
(скрытые, бессознательно принимаемые на веру
предположения и атрибуты поведения).
ОК имеет субъективные и объективные элементы. Субъективные элементы
ОК:
• истории об организации;
• истории о лидерах;
• организационные табу;
• обряды и ритуалы;
• язык общения;
• лозунги и т.д.
Объективные элементы
ОК:
• месторасположение организации;
• дизайн помещений;
• рабочие места;
• оборудование и мебель;
• удобства;
• комнаты приема;
• стоянки для автомобилей и т.д.
ОК состоит из:
• преобладающей культуры;
• субкультур групп;
• контркультур групп.
Эти три составляющие усиливают или ослабляют
культуру организации в целом.
Преобладающая культура (по
Came)
состоит:
• из разделяемых норм поведения;
• единства в толкованиях;
• материальных объектов;
• разговорных выражений;
• образцов поведения;
• разделяемых чувств.
Влияние ОК определяется:
• масштабами атрибутов
культуры;
• степенью, в которой члены организации разделяют ее основные атрибуты;
• ясности приоритетов атрибутов
культуры (основные и второстепенные).
Управление ОК предполагает:
1. Ее формирование.
2. Ее поддержание.
3. Ее изменение.
ФОРМИРОВАНИЕ ОК. Для формирования ОК необходимо (Э. Шайну):
• решить проблему внешней адаптации
(выработка миссии и стратегии, целей, методов достижения целей, разработка системы контроля и воздействия на индивидов);
• решить проблему внутренней интеграции
(выбрать подходящие методы коммуникаций, критерии вхождения и выхода членов из групп, правильно распределить полномочия и власть, наладить личностные отношения, выработать систему награждений и наказаний, выработать идеологию и веру в успех дела).
На формирование ОК влияют:
• культура общества
(народа), внутри которого организация функционирует;
• культура представителей высшего звена управления
организацией;
• напористость руководства
во внедрении новых норм поведения, идей, взглядов, идеологии.
ОК поддерживается:
• системой оценки и контроля за деятельностью членов организации;
• способами реагирования на ситуации через установление ролей и обучение персонала;
• кадровой работой (найм, обучение, переобучение, отбор, оценка деятельности, повышение квалификации и т.д.);
• соблюдением ритуалов, обрядов, традиций.
Изменение ОК и поведение членов организации может находиться в следующих соотношениях.
• ОК может привести к изменению поведения членов организации (и наоборот).
• ОК может не привести к изменению поведения членов организации.
• Поведение членов организации может измениться без изменения ОК.
• Может измениться поведение членов организации и ОК одновременно.
Существуют различные модели влияния ОК на организационную эффективность:
• модель Сате;
• модель Питера и Утермана;
• модель Парсонса;
• система Квина и Рорбаха.
МОДЕЛЬ САТЕ. В соответствии с моделью Сате вмешательство в организационные процессы позволяет повысить эффективность компании:
• вмешательство менеджеров в поведение
работников;
• обоснование
«нужного для организации» поведения работников;
• вмешательство в коммуникативные процессы организации;
• вмешательство в процессы найма и увольнения
работников.
МОДЕЛЬ ПИТЕРА И УТЕРМАНА. К основным методам воздействия на организационную эффективность правомерно отнести следующие ценностные ориентации
работников:
• взращивание веры в успех дела;
• внушение и обоснование того,
что потребитель диктует организации условия работы, а не наоборот;
• поощрение
автономии и предприимчивости членов организации;
• формирование взгляда
на людей и их компетентность как главный источник производительности и эффективности работы;
• взращивание веры
в эффективность простых структур (групп) управления с немногочисленным штатом;
• обоснование выгодности
оптимального сочетания жесткости и гибкости в управлении через понимание и веру персонала в ценности организации.
МОДЕЛЬ ПАРСОНСА. Согласно этой модели, на уровень организационной эффективности воздействуют следующие функции социальной системы:
• адаптивность
к постоянно меняющимся условиям внешней среды;
• целеустремленность
членов организации;
• интеграция и синергия
подразделений;
• легитимность
(признание людьми ценностей организации).
СИСТЕМА КОНКУРИРУЮЩИХ ЦЕННОСТЕЙ КВИНА И РОРБАХА. В данной модели на организационную эффективность влияют конкурирующие между собой ценности:
• интеграция
(дает порядок, стабильность, предсказуемость) — дифференциация
(дает адаптируемость, гибкость, инновационность);
• интерес к внутреней среде — интерес к внешней среде;
• средства (инструменты) — результаты (показатели работы).
Авторы модели разработали четыре различных подхода к моделям организационной эффективности. Поясним данное положение на рис.31.

Для ситуаций зоны 1 — подход «человеческих отношений»: наиболее целесообразным является развитие персонала, его квалификации через взращивание коллективной морали и сплоченности.
Для ситуаций зоны 2 — подход «открытой системы»: наиболее актуальным является акцентирование внимания на прибыли, росте организации и повышении конкурентоспособности посредством ее высокой гибкости и оперативности реагирования на нештатные ситуации.
Для ситуаций зоны 3 — подход «рационально-целевой»: наиболее актуальным является рост производительности труда и эффективности производства на основе высокой способности к интеграции через установление общих целей и планирование.
Ситуации зоны 4 — подход «внутренней целостности»: централизация и интеграция через укрепление стабильности и порядка с помощью четкого распределения работы, ресурсов и информации. Успех в бизнесе предполагает высокую степень совместимости стратегии и культуры в организации. В данном случае возможны следующие ситуации:
• игнорируется
культура, препятствующая эффективному выполнению избранной организацией стратегии;
• система управления подстраивается
под существующую ОК;
• ОК изменяется
в соответствии с выбранной стратегией организации;
• стратегия организации подстраивается
под существующую ОК.
При изучении влияния «национального» (этнического) на организационную культуру необходимо ответить на два вопроса:
• что надо знать о национальной культуре, чтобы предвидеть ее влияние на культуру организационную?
• возможно ли «сращивание» лучших черт разных национальных культур для повышения эффективности работы организации?
При ответе на первый вопрос используются следующие модели:
• в модели Миллера
на формирование ОК влияют: семья, образование, экономика и политика, доминирующая религия страны, система социализации
(принципы группирования
людей), система здоровья
(забота о здоровье), система отдыха
(забота об отдыхе);
• в модели Хофстида —
это переменные национальной культуры: взгляды на степень неравенства людей — дистанция власти,
которую население считает допустимой или нормальной, взгляды на степень предпочитаемого индивидуализма,
на степень мужественности (женственности)
в делах, стремление избегать неопределенности,
взгляды на долгосрочность
(тяга к сбережениям и накоплению) или краткосрочность ориентации
(«живем сегодняшним днем»);
• в модели Лэйн и Дистефано —
это шесть переменных: отношение человека к природе
(подчинение природе, гармония с ней или господство над ней), ориентация во времени
(жить прошлым, настоящим или будущим), вера в природу человека
(человека изменить нельзя — он изначально хороший, нейтральный или плохой, человека изменить можно), ориентация на деятельность
(от работы важно получать удовлетворение, в работе важен процесс, в работе важен результат), отношения между людьми
(на основе иерархических связей, на основе групповых связей, на основе индивидуальных связей) и ориентация в пространстве
(доминирование в человеке коллективизма, смесь умеренного индивидуализма и коллективизма, доминирование индивидуализма). Знание взглядов на природу человека позволяет менеджменту подстраивать под них систему контроля
за работой, стиль управления и организационный климат
(противостояние, компромисс, сотрудничество);
• в модели Оучи —
семь переменных ОК: обязательства организации по отношению к своим членам
(пожизненный найм, долговременная работа, кратковременная), оценка выполняемой работы
(с быстрым продвижением, с медленным продвижением), планирование карьеры,
(широкоспециализированная, умеренная, узкоспециализированная), система контроля
(неформальный, на участии всех сторон, формальный), принятие решений
(групповое, индивидуальное), уровень ответственности
(групповая, индивидуальная), интерес к человеку
(широкий, узкий).
Изучив японский опыт управления, У. Оучи предложил свою теорию эффективного управления — теорию организационной культуры Z. В соответствии с ней эффективное управление предполагает:
• долгосрочный наем кадров;
• групповое принятие решений;
• групповую ответственность персонала;
• умеренное продвижение кадров;
• неформальный контроль;
• умеренно специализированную карьеру;
• осуществление всесторонней заботы о человеке.
У. Оучи положительно ответил и на второй вопрос о возможности слияния различных культур, показав, что некоторые американские компании постепенно переходят к управлению (организационной культуре)типа Z, применяя у себя:
• долговременный наем кадров (вместо контрактной системы, как в типовых американских компаниях);
• медленное продвижение кадров (вместо быстрого);
• умеренно специализированную карьеру (вместо узкоспециализированной);
• неформальный контроль (вместо формального);
• групповое принятие решений (вместо индивидуального);
• всестороннюю заботу о человеке (вместо формального отношения).
Ответственность в большинстве американских компаний пока так и остается индивидуальной. В этом, они считают, имеются свои преимущества. Индивидуализм сознания европейцев и американцев не позволяет пока использовать в фирмах групповую ответственность, свойственную общинному сознанию японцев.
ГЛАВА 4. ТИПЫ ОРГАНИЗАЦИЙ
4.1. Основные определения
1. Субъект хозяйствования —
юридическое лицо (предприятие, акционерное общество, товарищество, кооператив, банк, компания, биржа, ассоциация и т.д.), которое имеет свое имущество, имущественные права независимо от входящих в него лиц и несет ответственность за свои действия.
2. Фирма
— экономически и юридически самостоятельный субъект хозяйствования. Имущественно, социально и организованно обособленный участник хозяйственной деятельности, имеющий свое наименование. Рыночная деятельность осуществляется на базе различных видов собственности государственной, частной, кооперативной, общественных организаций и местных органов государственной власти, национальных и иностранных юридических и физических лиц, а также смешанной. Всем видам фирм обеспечиваются одинаковые условия бизнеса. Юридические лица имеют право добровольно образовывать совместные фирмы, объединяться в экономические группировки в целях проведения единой стратегии в определенной области, в частности в инвестиционной сфере, маркетинге, управлении инновационными процессами и др. Различают следующие разновидности фирм аффилированная —
близкая, родственная фирма, присоединенная к более крупной материнской компании в виде филиала дочерней фирмы; брокерская —
посредническая фирма, преследующая коммерческие цели и действующая по поручению и за счет клиентов; венчурная —
инвестиционная фирма, осуществляющая научные исследования, инженерные разработки; инвестиционная,
занятая инвестированием и операциями с ценными бумагами; инжиниринговая,
специализирующаяся на предоставлении инженерно-консультативных услуг; инновационная,
отрабатывающая новые технологии; консалтинговая,
обеспечивающая консультации в различных областях бизнеса; производственная,
занятая изготовлением конкретной продукции; торговая —
торгово-посредническая деятельность; риэлторская,
занимающаяся операциями в сфере недвижимости.
3. Компания — объединение юридических и физических лиц, предпринимателей для проведения экономической (производственной, торговой, посреднической, финансовой, страховой) деятельности. Под компанией понимают объединения, товарищества, хозяйственные общества, фирмы, корпорации, т.е. предприятия, имеющие разные организационно правовые формы. Компания имеет статус юридического лица. Компания может действовать на принципах корпорации, партнерства и др. Партнерство — одна из форм деловой организации, на основе договора между двумя или более лицами, несущими полную личную ответственность за долги компании.
4. Акционерное общество — 1) объединение нескольких физических лиц, предприятие, объединение нескольких предприятий, формирующее свой капитал посредством выпуска и продажи акций; 2) организационно-правовая форма существования и функционирования предприятий, компаний, привлекающих акционерный капитал. Акционерное общество закрытого типа распространяет свои акции по закрытой подписке среди учредителей. Акции могут переходить от одного владельца к другому только с согласия большинства других акционеров. Акционерное общество открытого типа реализует акции по открытой подписке посредством открытой продажи на аукционе или бирже. Акции могут переходить от одного владельца к другому без согласия остальных акционеров АО — форма концентрации капитала и основная организационная форма крупного предприятия. В уставе акционерного общества фиксируются цели общества, размер капитала, порядок управления, структура руководящих органов и др. Высший орган АО — общее собрание акционеров, созываемое, как правило, один раз в год. Текущими делами АО руководит правление, наблюдательный совет, совет директоров. Капитал АО, образуемый путем объединения многих индивидуальных капиталов и денежных доходов посредством выпуска акций и облигаций, затем увеличивается за счет прибыли акционерного общества и выпуска новых акций. Состоит из собственного капитала и заемного. Собственный капитал включает: средства, полученные от выпуска и реализации акций (собственно акционерный капитал), и резервный капитал, который создается за счет отчислении от прибыли. Заемный капитал образуется за счет банковского кредита и средств от выпуска облигации.
5. Корпорация — 1) организация, имеющая статус юридического лица; 2) ее собственники. Корпорация может быть единоличной (принадлежащей одному лицу) или принадлежать какой-либо семье. Чаще всего основой корпорации являются акционерные общества. В этом случае корпорация не отвечает всем своим имуществом по своим долгам (принцип ограниченной ответственности в пределах своих долей капитала). Часто корпорации объединяют основных производителей однотипной продукции, что приводит к монополизации производства. Корпорации содействуют концентрации инвестиционного капитала, обеспечивают научно-техническое развитие и непосредственно влияют на развитие производства, повышение технического уровня продукции и обеспечение конкурентоспособности. Они получают ускоренное развитие в тех отраслях, где происходит освоение производства при освоении новых поколений изделий. Корпорация имеет своих учредителей, устав, политику и программу развития. Текущими делами корпорации руководит правление, наблюдательный совет (контролирующая группа). Члены правления корпорации, как правило, подчиняются решениям контролирующей группы.
6. Холдинг-компания — корпорация или акционерная компания, контролирующая одну или несколько юридически самостоятельных компании с помощью контрольного пакета акции, которыми она владеет. Имеет в большинстве случаев право голоса. Часто используется для проведения единой политики и осуществления контроля за соблюдением общих интересов больших корпораций, а также для ускорения процессов диверсификации.
7. Концерн — добровольное объединение предприятий, осуществляющее совместную деятельность на основе централизации функций научно технического и производственного развития, а также инвестиционной, финансовой и внешне-экономической деятельности, организации хозрасчетного обслуживания предприятий. Имеет общие финансовые ресурсы для развития, единый научно-технический потенциал и устойчивые кооперативные связи между входящими в его состав организациями. Концерны могут быть отраслевыми и межотраслевыми, объединяют предприятия разной специализации, находящиеся в устойчивых кооперированных связях. Как правило, образуется вокруг крупной материнской компании или холдинга, контролирующего несколько юридически самостоятельных компаний.
8. Трест — объединение предприятий, фирм, в рамках которого участники, вошедшие в состав треста, теряют свою производственно-техническую самостоятельность, руководствуются в своей деятельности решениями управляющего центра.
9. Картель — одна из основных форм соглашений (в письменном или устном виде) о монополизации рынка. В отличие от концернов и трестов картельные соглашения непосредственно не затрагивают производственную и коммерческую самостоятельность вступивших в союз предпринимателей, договаривающихся между собой о монополизации и разделе рынка, об объемах (квотах) производства и реализации продукции, условиях сбыта товаров и найма рабочей силы, ценах и сроках платежа, рационализации производства и управления, обмене патентами и т.д. Картели бывают внутренние, экспортные, импортные и международные. Они создаются с целью ограничения конкуренции, монополизации производства и сбыта того или иного товара, установления на него единой, обязательной для всех участников соглашения, монопольной цены и получения более высокой, чем средняя, прибыли. В современных условиях существует ряд мощных международных картелей, картельные соглашения широко используются мелким и средним бизнесом в борьбе с господствующими на рынке монополиями. В ряде стран заключение картельных соглашений запрещено антимонопольным законодательством или ограничено узкими рамками отдельных отраслей и видов производств.
10. Консорциум — временный союз юридических, независимых, самостоятельных хозяйствующих субъектов. Создается для решения конкретных задач и не является юридическим лицом.
11. Конгломератное объединение — группа предприятий, принадлежащих одной фирме и осуществляющих одну или более стадий производства разнородных продуктов (продуктов, друг с другом не конкурирующих).
12. Конгломератное слияние — слияние фирмы одной отрасли с фирмой другой отрасли (не являющейся ни поставщиком, ни клиентом, ни конкурентом).
13. Товарищество — объединение граждан и (или) хозяйствующих субъектов для совместной хозяйственной деятельности на основе договора между ними. Это предприятия, уставной капитал которых разделен на отдельные доли (паи).
14. Товарищество полное — товарищество, участники которого несут неограниченную солидарную ответственность по обязательствам всем своим имуществом. Имущество полного товарищества формируется за счет вкладов участников, полученных доходов и других источников и принадлежит его участникам на праве общей долевой собственности. Полное товарищество не является юридическим лицом.
15. Товарищество с ограниченной ответственностью — товарищество, уставный капитал которого образуется за счет вкладов (долей, паев) учредителей. Учредители отвечают по своим обязательствам в пределах своих вкладов (долей) в уставном капитале. Является юридическим лицом.
16. Банк — специфичный экономический институт, аккумулирующий денежные средства (вклады), предоставляющий кредиты (займы, ссуды), осуществляющий денежные расчеты, выпуск денег (эмиссию), ценных бумаг (банкноты, чеки, векселя) и др., осуществляющий посредничество во взаимных платежах и расчетах между государствами, предприятиями (фирмами), учреждениями и отдельными лицами.
Современная кредитно-финансовая система состоит из следующих основных видов банков:
• центральные — эмиссионные;
• коммерческие (депозитные);
• инвестиционные (размещают ценные бумаги);
• сберегательные (работающие с широким кругом лиц);
• ипотечные (выдающие долгосрочные ссуды под залог);
• клиринг-банки (члены расчетной палаты, входящие в национальную систему взаимного расчета платежей по чекам);
• банки-консорциумы (специализированные банки, акционерами которых являются в равных долях несколько других банков, как правило создаются для проведения крупномасштабных финансовых операций);
• кооперативные банки (созданные товаропроизводителями на долевых паях, для удовлетворения взаимных потребностей в кредите);
• банки-корреспонденты (состоящие в деловых отношениях с другими банками и выполняющие по их поручениям определенные финансовые операции);
• торговые банки (специализирующиеся на финансировании международной торговли и обладающие большим количеством информации о стране, с которой имеют дело; в настоящее время действуют как эмитенты акций, облигации, привлекая кредиты, акционерный капитал, работая с векселями и иностранной валютой; выступают как консультанты компаний; некоторые торговые банки проводят операции с драгоценными металлами);
• банки-учредители (владеющие контрольным пакетом акций другого банка, контролирующие его деятельность);
• банки банков (центральные банки, контролирующие деятельность других банков, финансово-кредитных институтов и выполняющие по отношению к ним роль банка, выдающего ссуды и хранящего депозиты, резервы);
• банки-гаранты (поручающиеся за своих клиентов, выдают платежные гарантии по поручению за счет клиентов, обеспечивают и другие договорные обязательства: возвращают авансы, выполняют условия торгов или контрактов и т.д.);
• банкирские дома (частные банковские предприятия, объединенные в товарищества с неограниченной ответственностью; часто преобразуются в акционерные банки; учредители — банкиры или группы банкиров).
4.2. Типы организаций по методам работы и приспособляемости к изменениям внешней и внутренней среды
По методам работы и приспособляемости к изменениям внешней и внутренней среды организации подразделяют на два типа:
• механистические организации;
• органические организации.
Механистические
организации — это организации, деятельность которых основывается на формальных правилах и процедурах, централизованном принятии решении, узко определенной ответственности в трудовых операциях и жесткой иерархии власти. Это бюрократический тип организации. Он целесообразен в тех случаях, когда организация оперирует в простой стабильной внешней среде, когда цель проста, труд достоверно измеряется и мотивирует работника, власть руководителя признается работниками как законная. Примеры: завод конвейерного типа, завод-автомат и др. Органические
(адаптивные) организации — это организации, слабо или умеренно использующие формальные правила и процедуры, с децентрализацией власти, структурами с небольшим количеством уровней иерархии и широким участием работников в принятии решений. Они целесообразны, когда имеется сложное и динамическое внешнее окружение. Пример: организация по проектированию и производству электронной техники.
Отличия механистических и органических организаций приведены в табл.2:
Таблица 2
| Механистические организации |
Органические организации |
| Характеристики |
Узкая специализация работ |
Широкая специализация |
| Работа по правилам |
Мало правил и процедур |
| Четкие права и ответственность |
Амбициозная ответственность |
| Ясность в уровнях иерархии |
Уровни управления размыты |
| Объективная система вознаграждения |
Субъективная система вознаграждения |
| Механистические |
Органические |
| организации |
организации |
| Объективные критерии |
Субъективные критерии |
| отбора кадров |
отбора кадров |
| Отношения формальные |
Отношения неформальные |
| и носят официальный |
и носят личностный |
| характер |
характер |
| Условия |
Простое, стабильное |
Сложное, нестабильное |
| окружение |
окружение |
| Цели и задачи стабильны |
Цели и задачи |
| нестабильны |
| Задачи поддаются делению |
Задачи не имеют |
| четких границ |
| Задачи простые и ясные |
Задачи сложные |
| Работа измеряема |
Работу измерить сложно |
| Оплата труда мотивирует |
Мотивирование |
| потребностей верхнего |
| уровня |
| Власть признается |
Авторитет власти |
| завоевывается |
4.3. Типы организаций по взаимодействию подразделений
По взаимодействию подразделений организации делятся на три типа:
• традиционные
организации;
• дивизиональные
организации;
• матричные
организации;
• комбинированные
(состоящие из элементов предыдущих трех).
Традиционные организации могут иметь:
• линейную
структуру управления (рис.32);
• линейно-функциональную
структуру управления (рис.33);
• линейно-штабную (линейно-функционально-штабную)
структуру управления (рис.34).

В принципе, в дивизионах (рис.35) могут быть объединены и финансы, кадры, НИОКР, маркетинг и другие службы.

Дивизионы могут строиться:
• по продукту (дивизионально-продуктовые структуры);
• по региону (дивизионально-региональные структуры);
• по потребителю-клиенту (дивизионально-потребительские структуры);
• по рынку сбыта (дивизионально-рыночные структуры).
Матричные организации —
это организации, использующие работу автономных групп для запуска и внедрения нового продукта или проекта. Каждая автономная группа создается под цель или проект и пользуется при этом определенной свободой в организации своей работы. Они могут самостоятельно приобретать ресурсы, распределять полученную продукцию, участвовать в организации своего труда (рис.36).

Преимущества матричных организаций:
• упрощение иерархии дивизиональных схем;
• динамичность управления;
• органичность рабочих групп (их высокая адаптивность).
Недостатки матричных организаций:
• сложность реализации;
• необходимость в высококвалифицированной рабочей силе;
• тенденции к анархии и групповщине;
• борьба за власть между проектными и функциональными руководителями;
• сложность перестройки матрицы на выпуск принципиально новых заказов;
• высокие накладные расходы (зарплата руководителей и т.д.);
• конфликты между частями организации;
• низкая скорость реакции и трудности в принятии решений в нештатных ситуациях.
4.4. Типы организаций по взаимодействию с человеком
По типу взаимодействия с человеком организации делятся на две группы:
• корпоративные
организации;
• индивидуалистические
организации.
Корпоративная организация
— это замкнутая группа людей с ограниченным доступом, максимальной централизацией и авторитарностью руководства (не путать с корпорацией как субъектом права — юридическим лицом).
Индивидуалистическая организация —
это открытая организация на основе свободного и добровольного объединения индивидов, осуществляющих совместную деятельность (табл.3).
Таблица 3
| Корпоративная организация |
Индивидуалистическая организация |
| Доминирование иерархических властных структур |
Свободное, открытое и добровольное объединение людей |
| Поддержка слабых и ограничение сильных, стандартизация в деятельности организации и тенденции к уравниловке |
Сочетание конкуренции и кооперации в деятельности членов и групп организации |
| Интересы организации согласовываются только ее лидерами, без участия коллектива |
Согласование интересов членов организации с интересами самой организации |
| Централизованное распределение ресурсов |
Дополнительный поиск ресурсов и резервов членами организации |
| Единица управления — рабочая группа, коллектив, организация |
Единица управления — личность |
| Суверенитет организации, свобода организации, коллективная ответственность |
Суверенитет личности, свобода для личности, индивидуальная ответственность |
| Принцип большинства или старшинства при принятии решений |
Принцип меньшинства или право вето в принятии решений |
| Интересы производства доминируют над интересами человека |
Интересы производства согласовываются с интересами человека |
| Двойная мораль: личности и организации |
Общечеловеческая мораль и здравый смысл в поведении |
| Приветствуются послушание и исполнительность |
Лояльность к различным убеждениям членов организации |
| Человек для работы |
Работа для человека |
4.5. Новые типы организаций
• Эдхократические организации;
• многомерные организации;
• партисипативные организации;
• предпринимательские организации;
• организации, ориентированные на рынок.
ЭДХОКРАТИЧЕСКИЕ ОРГАНИЗАЦИИ. Эдхократические организации
— это организации, использующие высокую
степень свободы в действиях работников, их компетентность и умение самостоятельно решать возникающие проблемы. Эдхократия
— это и управленческий стиль руководства, при котором средства достижения сложных целей выбираются самими исполнителями.
Особенности эдхократических организаций:
• работа в областях с высокой технологией, требующая высокой квалификации, творчества, инновационности и эффективной совместной работы;
• органическая структура с преобладанием неформальных горизонтальных связей; часто структура организации вовсе отсутствует;
• иерархическое построение постоянно изменяется, отношения по вертикали и горизонтали носят преимущественно неформальный характер;
• отсутствует жесткая привязка человека к какой-то одной работе;
• принятие решений, власть, система вознаграждения основаны на экспертной власти;
• риск и вознаграждение делятся между участниками трудового процесса;
• контроль за непосредственной работой специалиста отсутствует, осуществляется только финансовый контроль.
Эдхократические организации эффективны при реализации творческих проектов (кино, реклама, телевизионные проекты, шоу, театральные постановки), внедрении новых технологий, при антикризисном управлении.
МНОГОМЕРНЫЕ ОРГАНИЗАЦИИ. Многомерные организации
— это организации, в которых рабочие группы (подразделения) самостоятельно и одновременно выполняют три функции (как бы в трех измерениях) (рис.37):

• обеспечивают свою производственную деятельность необходимыми ресурсами;
• производят для конкретного потребителя, рынка или территории конкретный продукт или услугу;
• обеспечивают сбыт (распределение) своей продукции и обслуживают конкретного потребителя.
Такие автономные группы имеют статус центров прибыли,
а в отдельных случаях могут быть самостоятельными компаниями.
Особенности многомерных организаций:
• бюджеты подразделений разрабатываются самими подразделениями, руководство инвестирует в них средства (дает деньги взаймы);
• в многомерных организациях нет двойного подчинения, как в двумерной матричной модели, руководство группы едино;
• отсутствует необходимость проведения каких либо реорганизаций взаимосвязей автономных групп, подразделения можно просто создавать, ликвидировать или модифицировать;
• каждая часть организации в принципе может быть полностью автономной, занимаясь и набором кадров, и продажами готовой продукции и т.д.;
• основной показатель эффективности работы автономных групп — получаемая прибыль; что упрощает анализ и контроль за деятельностью групп, снижается бюрократизация и упрощается система управления.
ПАРТИСИПАТИВНЫЕ ОРГАНИЗАЦИИ. Партисипативные организации
— это организации, использующие участие работников в управлении. Тем самым обеспечивается мотивированность их труда, обостряется чувство собственника. В таких организациях работники могут:
• участвовать в принятии решений;
• участвовать в процессе постановки целей;
• участвовать в решении проблем организации.
Им дано право:
• выдвигать предложения;
• вырабатывать альтернативы решений проблем;
• выбирать окончательное решение.
В традиционных организациях руководитель принимает решения, а работник их выполняет. В организациях с делегированием прав подчиненный самостоятельно принимает решения в рамках своих полномочий (по системе «елочка» или «матрешка»). В партисипативных организациях решение принимается с учетом мнения (вклада) руководителя и вклада работников.
Примеры форм взаимодействия руководства и работников:
• советы по научно-технической политике
(например, состав: руководитель подразделения, руководитель НИОКР, бригадиры рабочих участков);
• технико-экономические советы
(например, состав: руководители подразделений, начальники цехов, руководители кружков качества, бригадиры рабочих участков);
• советы по планированию сбыта
(например, состав: руководители подразделений, начальники отделов маркетинга и сбыта, представители кружков качества);
• кружки качества
(бригадиры, работники, представители технико-экономического совета);
• целевые, антикризисные комитеты, комитеты по набору кадров;
• конфликтные комиссии
(высшее руководство, руководство среднего звена, независимые эксперты, представители кружков качества и работники).
Решения советов, комитетов, кружков качества, конфликтных комиссий, как правило, являются обязательными для руководителей, при которых они создаются. Одновременно они несут ответственность за принимаемые решения. Очень важно обеспечить баланс власти между советами, комитетами, комиссиями и руководителями, при которых они создаются. Партисипативные структуры распространяются на часть или отдельные уровни
управления организацией.
ПРЕДПРИНИМАТЕЛЬСКИЕ ОРГАНИЗАЦИИ. Предпринимательские организации
— это организации, более ориентированные на рост и на имеющиеся возможности и достижения, чем на контролируемые ресурсы (см. рис.38). Особенности предпринимательских организаций:

• принципиально изменяются функции руководства, оно поддерживает усилия предпринимательских ячеек, делающих бизнес, управление представляет собой перевернутую пирамиду;
• предпринимательские ячейки (автономные рабочие группы — центры прибыли, по статусу могут быть фирмами или компаниями), сами выбирают вид предпринимательства, вид бизнеса, цели, способы, средства деятельности; потребности рынка диктуют им формы деятельности;
• консультанты (бизнес-тренеры) помогают им своим опытом и интуицией делать бизнес;
• ресурсы организации (финансы, информация, кадры, время, идеи) находятся в распоряжении предпринимательских ячеек;
• подразделения, распределяющие рынки и ресурсы для предпринимательских ячеек, координируют деятельность последних;
• критическим фактором успеха в таких организациях являются люди, их квалификация.
ОРГАНИЗАЦИИ, ОРИЕНТИРОВАННЫЕ НА РЫНОК. Это органические, быстро адаптируемые дивизиональные или матричные организации, в которых все их части (НИОКР, производство, кадры, маркетинг, снабжение, сбыт, финансы, обслуживание) группируются вокруг рынка или рынков. Это организации, «движимые рынком» (рис.39, 40). Пример: корпорацияIBM
(в 1985 г перешла от «продуктизации» к «регионализации» управления).
Функции штаб-квартиры корпорации:
• стратегическое развитие корпорации;
• исследования и передовые разработки;
• контроль распределения и использования финансов;
• персонал;
• работа с информацией (поступающей от филиалов и из внешней среды);
• общемировая координация.


Корпорация децентрализовала производственные операции по континентам (США, Европа, Азия, Центральная и Латинская Америка) а маркетинговые процессы (анализ рынков, реклама, сбыт, продвижение товара и т.д.) — по странам внутри континента.
Страновые филиалы IBM имеют высокую степень автономии. Руководство каждого филиала возглавляется советом, в который входят преимущественно граждане данной страны и директор-иностранец, связанный со штаб-квартирой корпорации.
В отношениях исследований, финансов, качества персонала филиал подчиняется штаб-квартире, а во всем остальном филиалы полностью самостоятельны. Они являются центрами прибыли, так как от них зависит в первую очередь продвижение товаров, сбыт и продажи, анализ спроса и рынков. От работы филиалов зависят политика и развитие корпорации. Анализ эффективности работы и прибылей филиалов заставляет корпорацию вовремя переключаться на новые разработки. Организации, «движимые рынком», требуют квалифицированной рабочей силы. Упор в подборе кадров делается на профессионализм и напористость. Из допущенных ошибок делаются не выводы, а извлекаются уроки. Телекоммуникационные средства связи и сети ЭВМ повышают оперативность управления транснациональной корпорацией.
ГЛАВА 5. МЕТОДЫ УПРАВЛЕНИЯ
5.1. Экономические и экономико-математические методы
Экономические методы управления
— это способы воздействия, имеющие в своей основе экономические отношения и экономические интересы людей. Экономические интересы делятся на четыре большие группы:
• интересы государства;
• интересы отрасли;
• интересы коллектива (организации);
• интересы личности.
Между этими интересами всегда существуют диалектические противоречия. Искусство руководителей состоит в разрешении этих противоречий, поиске возможных компромиссов. Возможные экономические рычаги управления включают в себя:
• себестоимость;
• рентабельность;
• прибыль;
• фондоотдачу;
• цену;
• заработную плату и др.
Один из важнейших экономических рычагов управления — заработная плата работников. Существует множество различных способов стимулирования труда. Все они дают тот или иной экономический эффект. Общая для всех оптимизационная кривая выглядит так, как показано на рис.41.

Видно, что при начальном росте заработной платы эффект от деятельности будет расти. В точке Зopt
он достигнет максимального значения Эmax
. Дальнейший рост заработной платы, очевидно, приводит к большим общим затратам, в результате чего себестоимость и цена продукции будут расти, а объемы продаж, выручка, прибыль и рентабельность падать. Общий эффект от деятельности будет снижаться.
Экономико-математические методы
— это методы, основанные на аналогичном поиске показанных оптимизационных кривых не только для заработной платы, но и для других показателей и всей производственной системы (модели «вход—выход» или «эффект— затраты»). Оптимизационные кривые могут быть разными с учетом интересов человека, организации, отрасли и государства.
5.2. Организационно-распорядительные методы
Организационно-распорядительные методы
— это методы на основе силы и авторитета власти, т.е. указов, законов, постановлений, приказов, распоряжений, указаний, инструкций и т.д. Они позволяют:
• регламентировать деятельность (всей организации, структурных подразделений, должностей, функций);
• обеспечивать организацию нормативами (времени, численности персонала, нормативами выработки, концентрации вредных веществ, нормативами соотносительности, например преподавателей и студентов в вузе);
• поддерживать дисциплину (предостережение, разъяснение, ознакомление, советы).
5.3. Социально-психологические методы
Социально-психологические методы
— это методы, использующие индивидуальное и общественное (групповое) сознание и психологию, основывающиеся на общественно-значимых морально-этических категориях, ценностях и воспитании. Социальные процессы идут на четырех уровнях:
• на уровне всего общества (государства);
• на уровне коллектива (организации);
• на уровне рабочей группы;
• на уровне индивида (личности).
К основным факторам, определяющим ход социальных процессов, относятся:
• демографические факторы;
• возраст;
• пол;
• этническая принадлежность;
• уровень образования и квалификация;
• размер рабочей группы;
• психологический климат.
Для менеджера очень важно:
• правильно оценить индивидуальные качества работника;
• правильно подобрать, расставить и закрепить кадры на рабочих местах;
• создать условия для максимального проявления индивидуальных профессиональных качеств работника.
Например, тенденция, показывающая зависимость психологического климата (количества конфликтов) Пk
от численности коллектива N, изображена на рис.42.

Тенденция зависимости психологического климата от среднего возраста коллектива аналогичная. Конкретную форму этих кривых определяет специфика работы.
Тенденция зависимости склонности к изменениям и имиджа личности руководителя от возраста показана на рис.43.

Из графика (рис.43) видно, что с возрастом склонность к изменениям падает, а требования к имиджу (уважению и вниманию) возрастают. Тенденция зависимости психологического климата от среднего уровня квалификации Q показана на рис.44.

Конкретные виды отмеченных зависимостей обусловливаются ситуацией, сферой деятельности и социальным составом рабочих групп.
5.4. Лидерство и стили руководства в коллективе
Проблемы лидерства являются ключевыми для достижения организационной эффективности. Метод управления на основе лидерства в коллективе позволяет быстро решать наиболее сложные задачи и оперативно реагировать в неожиданных ситуациях.
Лидерство
— это процесс преимущественно несилового воздействия в направлении достижения группой или организацией своих целей. Лидерство преимущественно строится на отношениях типа «лидер—последователи», а не «начальник—подчиненный».
Не каждый менеджер может быть лидером. В коллективе может появиться и неформальный лидер.
Подходы к изучению лидерства различаются комбинацией трех основных переменных:
• лидерских качеств
(ум, преобладание над другими, уверенность в себе, активность, знание дела, способность управлять вниманием других, способность получать доверие от подчиненных, способность управлять собой и т.д.);
• лидерского поведения
(авторитарного, демократического, пассивного, (К. Левин), с ориентацией на формальное структурирование рабочих отношении в коллективе или на сами отношения с подчиненными (исследования Университета штата Огайо); с ориентацией на проблемы в работе или на отношения с подчиненными (решетки Блэйка и Моутона); четыре стиля лидерства Р. Ликерта (1 — ориентация на выполнение задания, авторитарный стиль, 2 — стиль, близкий к Теории Х
Д. Мак-Грегора, 3 — стиль, близкий к Теории Y
Д. Мак-Грегора; 4 — ориентация на развитие отношений с подчиненными и групповую совместную работу с ними); четыре стиля лидерства на основе матрицы «вознаграждение—наказание; в связи с ситуацией—без связи с ситуацией»; с помощью заменителей лидерства (Керр, Джермейер) на уровне личных качеств подчиненных (когда лидерство не требуется и даже вредит из-за личных качеств подчиненных, например высокого профессионализма), на уровне содержания работы (когда оно не требуется из-за ясности, беспроблематичности работы) и на уровне организационного окружения (когда оно не требуется из-за высокой формализованности или специализации работы и тесной взаимосвязи подчиненных между собой);
• ситуации,
в которой действует лидер.
Важную роль при этом играет и поведение последователей.
Ранние концепции лидерства (личностные и поведенческие)
предлагали обращать внимание только на личные качества лидера и образцы его поведения. Ситуационные факторы при этом не учитывались. К основным, основанным на ситуационном лидерстве
подходам относятся:
• континуум лидерского поведения Танненбаума—Шмидта (рис.45);

• ситуационная модель Фидлера(рис.46);

• ситуационная модель Херсея и Бланшарда (рис.47);

• модель «путь—цель» Торенса, Митчелла и Хауса;
• модель Стинсона—Джонсона;
• модель принятия решений Врума—Йеттона-Яго (рис.48).

Континиум лидерского поведения Танненбаума—Шмидта
Лидер:
1) дает свободу коллективу принимать решения, а сам только утверждает их;
2) делегирует группам право принимать решения по определенным вопросам;
3) выдвигает проблемы, просит дать предложения и сам принимает решения;
4) предлагает решения сам и считает возможным их изменение с учетом мнения и инициативы коллектива;
5) выдвигает идеи и предлагает их обсудить, принимает решения сам;
6) принимает решения сам и убеждает последователей в правильности своих решений;
7) сам принимает решения и доводит их до подчиненных.
В соответствии с этой моделью лидер выбирает один из семи возможных образцов поведения в зависимости от своих взглядов об источниках власти, отношении с последователями и ситуации. Демократ
считает, что власть ему дается последователями, которых он ведет, что люди склонны к самоуправлению при условии правильного мотивирования. Автократ
считает, что власть дается его положением в группе (организации) сверху, что люди внутренне ленивы, эгоистичны и на них опасно полагаться. Между этими крайностями существуют еще пять промежуточных стилей поведения. Выбор одного из них обусловливается изменением ситуации и изменением отношений с последователями.
Ситуационная модель Фидлера
Измерение показателя НПР (наименее предпочитаемого работника) проводилось по показателям:

Фидлер полагает, что лидер-респондент, набравший более высокие баллы, т.е. описавший своего НПР очень позитивно, ориентирован на отношения (лидер с высоким НПР), а менеджеры, набравшие более низкие баллы, имеют стиль, ориентированный на работу (лидер с низким НПР). Фидлер считает, что лидерский стиль остается относительно постоянным и почти не меняется во времени, т.к. в стиле отражена внутренняя мотивация на отношения с людьми или на работу.
Анализ показал, что в ситуациях 4-7 (условия умеренной благоприятности) лучших результатов добиваются лидеры с высоким НПР. В ситуациях 1, 2, 3 (условия наиболее благоприятные) и 8 (условия наименее благоприятные) добиваются лидеры с низким НПР.
Модель Херсея и Бланшарда
Зрелость последователей:
• З1 — способны работать в незначительной степени, желают работать редко;
• З2 — способны работать в некоторой степени, иногда желают работать;
• З3 — способны работать в достаточной степени, работать желают часто;
• З4 — способны работать в значительной степени, обычно желают работать.
Стили руководства:
• S1— указывающий (даю задания и проверяю исполнение);
• S2 — убеждающий (объясняю и убеждаю);
• S3 — участвующий (помогаю в работе, выступаю как партнер);
• S4 — делегирующий (делегирую ответственность, переключаюсь с задачи и человека на развитие организации);
• граница областей S2 и S3: необходима интенсивная работа с человеком.
Модель «путь—цель» Теренса, Митчелла и Хауса
Эффективный лидер помогает
подчиненным идти путем, ведущим к желаемой цели. Если мотивация работника (уверенность в связи величины усилия и размера вознаграждения) поддерживается
оптимальным лидерским стилем, то организация функционирует эффективно. В этой модели можно выбрать один из четырех стилей:
• директивный
(объясняю, что и как делать, говорю что и когда от них ожидается, какое будет вознаграждение, разъясняю путь к вознаграждению);
• поддерживающий
(обращение с подчиненными как с равными, помощь и поддержка в работе);
• ориентированный на достижения
(установление напряженных, но притягательных целей, обоснование выгоды от достижения этой цели);
• участвующий
(советы с подчиненными, привлечение их к участию в управлении).
На выбор стиля влияют следующие ситуационные факторы:
• качество подчиненных
(вера в предопределенность результатов — в связи между трудовыми усилиями и вознаграждением, склонность к подчинению, способности);
• организационные факторы
(содержание и структура работы, система формальной власти, культура группы).
Например, когда задачи или цели неясны руководителю, выгодно использовать участвующий
стиль. Когда у подчиненных отсутствует возможность отличиться, то применяется стиль, ориентированный на достижения.
Когда идет утомительная, рутинная и неинтересная работа, выгоден поддерживающий стиль.
Если работник не ощущает связи усилия с вознаграждением, целесообразен директивный стиль.
Ситуационная модель Стинсона—Джонсона
В этой модели выбор лидерского стиля обусловливается следующими ситуационными факторами:
• качества подчиненных
(их потребность в достижении результатов, их знания и опыт);
• структурированность работы
(высокая и низкая).
Согласно этой модели, высокий интерес к работе и низкий к отношениям с подчиненными со стороны лидера эффективен в следующих двух ситуациях:
• работа отличается высокой структурированностью,
у последователей сильная потребность
в достижении и независимости, у них большие знания и опыт
для выполнения работы;
• работа имеет низкую степень структурированности,
последователи не испытывают потребности в
достижении результатов и независимости, у них низкие знания и опыт.
Низкий интерес к работе и высокий к отношениям целесообразен в следующих двух ситуациях:
• работа высоко структурирована, но последователи не испытывают потребности в достижении и независимости при наличии у них достаточных знаний и опыта;
• работа не структурирована, но последователи имеют сильную потребность в достижении и независимости при наличии у них больших знаний и опыта.
Ситуационная модель принятия решений Врума—Йеттона-Яго
В этой модели рассматривается только один аспект лидерского поведения — привлечение подчиненных
к принятию решений. Исследователи разработали специальное «дерево вопросов», с помощью которого можно выбрать тот или иной стиль поведения руководителя (по принципу «низкий (Н)—высокий (В), рис.48). Оценка эффективности решения в данной модели определяется на основе уравнения:

где Ркач
—
качество решения (высокое, низкое по баллам); Робяз
—
уровень обязательств по выполнению решений (высокий или низкий); Рвремя
—
степень срочности решения (высокая, низкая по баллам). Полная оценка решения определяется:
Э
= Рэфф
– ОСПВ
+ ОВГР,
где ОСПР —
оценка стоимости потерянного времени на принятие решения; ОВГР —
оценка выигрыша от группового решения по сравнению с единоличным; А1 — руководитель принимает решение сам, используя имеющуюся у него на данное время информацию; А2 — руководитель получает необходимую информацию от своих подчиненных и затем сам принимает решение; работники привлекаются только на этапе сбора информации, выработку решения и его принятие осуществляет руководитель; К1 — руководитель делится соображениями с каждым из подчиненных, получая от них идеи и предложения, не собирая их в группу; затем он сам принимает решение, которое может либо отражать, либо не отражать их вклад; К2 — то же, что и К1, только в группе; Г — руководитель делится соображениями по проблеме с подчиненными, собрав их в группу. Все вместе пытаются найти консенсус относительно решения. Роль руководителя сводится к роли председателя собрания. Он не пытается влиять на группу, а проявляет готовность принять и выполнить любое решение, получившее поддержку всей группы.
Новые концепции в теориях лидерства пытаются соединить традиционный (личностный и поведенческий) и ситуационные подходы.
К ним относятся:
• концепция атрибутивного лидерства;
• концепция харизматического лидерства;
• концепция преобразующего лидерства.
КОНЦЕПЦИЯ АТРИБУТИВНОГО ЛИДЕРСТВА. Суть концепции:
атрибутивные помехи (приписывание внутренних причин плохой работы подчиненного и недостоверная информация о нем, например лень, низкая ответственность, низкие способности) часто искажают восприятие руководителя и заставляют его быть непоследовательным в своем поведении. В результате не только лидер воздействует на подчиненных, а отношения «лидер—подчиненные» влияют на лидера. Эти отношения могут привести к увольнению работника или к уходу руководителя. Если отношения адекватны ситуации (взгляды и поведение руководителя в работе с подчиненными принимаются ими), то организация функционирует эффективно и происходит обогащение отношений. В обратном случае имеет место обеднение отношении и, как следствие, конфликты. Адекватность отношении и ситуации может достигаться:
• если подчиненный извлекает уроки из поведения руководителя;
• если руководитель извлекает уроки из поведения подчиненных.
КОНЦЕПЦИЯ ХАРИЗМАТИЧЕСКОГО ЛИДЕРСТВА. Харизматическое влияние
— это влияние, основанное не на логике в действиях, а на личных качествах лидера его внешней и внутренней привлекательности, имиджа, манеры и стиля поведения (речь, жесты, позы) и т.д. Харизма дает преимущества лидеру вести за собой людей.
Харизма —
это источник лидерской власти над подчиненными, власть примера. У харизмы есть позитивная этическая (Сахаров, Мартин Лютер Кинг) и негативная (Сталин, Гитлер) стороны.
КОНЦЕПЦИЯ ПРЕОБРАЗУЮЩЕГО (РЕФОРМАТОРСКОГО) ЛИДЕРСТВА. Способности лидера переводить новые видения решения проблем в действия последователей, вызывать их энтузиазм — основа преобразующего лидерства. Лидер-преобразователь вдохновляет не харизмой, а творческим подходом к делу, подкрепленным реальными прошлыми достижениями, а не мифами. Отношения с подчиненными строятся не по принципу «люблю/ненавижу», а по принципу «уважаю/рассчитываю». Последователи при этом вдохновляются не краткосрочными целями (заработок, быстрейшее исполнение работы), а долгосрочной — измениться группой через развитие. К отличительным особенностям лидера-преобразователя относятся:
• умение привлекать подчиненных к управлению и активно участвовать в деятельности группы;
• умение постоянно балансировать между соглашательством с группой и подхалимством со стороны подчиненных.
5.5. Автоматизированные методы
Автоматизированные методы управления —
это методы, в которых используются электронно-вычислительные, телекоммуникационные средства и сети ЭВМ для осуществления коммуникаций в системе управления организацией, ее связей с внешней средой и реализации основных функций менеджмента: анализа, прогнозирования, планирования, оптимизации и принятия решений, учета, контроля, мониторинга.
Построение автоматизированной системы управления организацией (АСУО) включает в себя разработку следующих восьми компонент:
• разработку модели организации, сетевого обеспечения АСУО;
• информационного обеспечения АСУО;
• математического обеспечения АСУО;
• лингвистического обеспечения АСУО;
• программного обеспечения АСУО;
• технического обеспечения АСУО;
• организационного обеспечения АСУО (совокупность документов, устанавливающих правила взаимодействия подразделений, в которых функционируют подсистемы и локальные сети АСУО);
• методического обеспечения АСУО (совокупность документов, правил, инструкций, нормалей, стандартов, необходимых для правильной и совместимой эксплуатации подсистем и локальных сетей АСУО).
Основа АСУО — это план баз данных (БД) организации, разрабатываемый в соответствии с моделью организации. Графически модель АСУО можно представить в виде трехмерной матрицы (рис.49).

Ключи к модели организации:
· И — предметная БД используется
в конкретном процессе и на конкретном участке;
· С — предметная БД создается
в конкретном процессе работы на конкретном участке.
Ключи полномочий:
· ОО — руководитель подразделения — основной ответственный
за процесс;
· ОУ — подразделение — основной участник
процесса;
· ЧУ — частичное участие
подразделения в процессе.
Например, процесс «закупочная деятельность» использует БД «материалы», состоящую из 7 полей. Эта БД создается в процессе «получение материалов». Ответственность за эти процессы несет руководитель отдела снабжения (см. табл.):
| Поставляемый материал |
Марка |
Цена за усл. ед., руб. |
Максимальные объемы поставки |
Адрес отправителя |
Адрес получателя |
Сроки поставки |
Участки работы «производство» и «склад» могут частично участвовать в процессах «закупочная деятельность» и «получение материала», так как им необходима информация об объемах поставок и марках материала, чтобы предварительно подготовить склады под прием материала и организовать технологический процесс изготовления продукции.
Между подразделениями идет постоянный обмен информацией, причем некоторые поля одной БД могут использоваться несколькими подразделениями организации одновременно. Такие коммуникации могут обеспечить локальные сети ЭВМ, которые, как правило, интегрированы в глобальную сеть. Рабочее взаимодействие между подразделениями организации может быть дополнено с помощью электронной почты.
Цели функционирования АСУО:
• минимизация времени на коммуникационные процессы
в организации, повышение оперативности управления;
• учет и контроль
производственных процессов, что снижает общие издержки;
• обеспечение оптимального планирования,
оптимального распределения ресурсов и управления запасами;
• составление расписаний движения ресурсов в организации
и др.
Высший уровень автоматизации управления — это интеграция автоматизированных процессов проектирования, планирования, производства, хранения и сбыта посредством использования САПР, автоматизированных подсистем оптимизации планирования и принятия решений (сетевые графики, графики Ганта и т.д.), ГАП, автоматизированных складов и транспортных средств. Телекоммуникационная техника и сети ЭВМ используются для осуществления финансовых расчетов, работы с поставщиками, клиентами (бизнес в Интернете, электронные магазины), партнерами.
5.6. Программно-целевые и проблемно-ориентированные методы
В программно-целевых методах управления используется специальная матрица программно-целевого управления (см. табл.):
| Мероприятия |
Исполнители |
Ресурсы |
Сроки |
Цели |
| 1. Организационно- |
| экономические |
| 2. Научно-технические |
| 3. Технико-технологи- |
| ческие |
| 4. Экологические |
Проблемы:
• необходима координация исполнением программ по срокам, исполнителям и целям;
• необходимо правильное распределение прав, ответственности и ресурсного обеспечения.
Проблемно-ориентированные методы управления используют в сложных нештатных ситуациях (экономические кризисы, потери рынков сбыта, стихийные бедствия, аварии, чрезвычайные ситуации). В частности:
• выделяются сложные критические ситуации — проблемы, которые могут возникнуть в будущем и которые необходимо быстро решить;
• для каждой из ситуаций разрабатываются возможные сценарии (схемы, алгоритмы) развития событий, делаются оптимистический и пессимистический прогнозы;
• разрабатываются сценарии ответных действий на возможные нештатные ситуации; основная цель — минимизация потерь и быстрейшее спасение самого ценного.
В таких ситуациях основной критический ресурс — время, на первый план выходит умение оперативно управлять временем. Специальные тренировки, сборы, тренинги позволяют скоординировать действия подразделений и руководства в нештатных ситуациях, выявить и проанализировать ошибки в ответных действиях.
5.7. Новые технологии управления
В основе новых управленческих технологий лежат концепции инжиниринга и реинжиниринга
бизнеса.
Общее управление деловыми (бизнес) процессами называют инжинирингом
бизнеса, ибо в его основе — непрерывное проектирование унифицированных процессов: их наименования, содержания, входа, выхода, обратных связей и т.д. Реинжиниринг — это перестройка
(перепроектирование) бизнес-процессов с целью достижения качественного (скачкообразного) повышения эффективности деятельности фирмы. Последний термин появился в начале 1980-х гг. и связан с перестройкой деловых процессов поставок в компанииFord Motors
и процессов оплаты счетов в компанииIBM Credit.
Основателем теории реинжиниринга считают М. Хаммера (перу которого в соавторстве с Дж. Чампи принадлежит бестселлер «Реинжиниринг корпорации: манифест для революции в бизнесе»).
На современном этапе развития компьютерных и телекоммуникационных технологий правомерно говорить и о принципиально новых технологиях управления унифицированными бизнес-процессами на базе матричных структур.
Определяющими факторами обеспечения конкурентного преимущества матричной организации становятся скорость модификации, качество продукта и минимизация издержек. На первый план выходит проблема разработки технологии управления, позволяющей находить экономичные (по времени и затратам ресурсов) и качественные маршруты исполнения заказов.
На смену концепции группировки работ вокруг продукта и результата (как в традиционных, матричных организациях) приходит концепция группировки работ вокруг функциональных областей и бизнес-процессов (рис.50).

В традиционной матричной системе управления производство нового продукта предполагает построение новой линии матрицы или перестройку рабочих групп под новый заказ,
что ведет к дополнительным затратам (рис.50а), видно, что управление осуществляется по двум векторам: управление запуском проектов-заказов и управление этапами работ (идея, НИОКР, проектирование, производство и т.д.).
Новая концепция предусматривает управление унифицированными процессами
(а не ходом проектов по выстроенным заранее линиям матрицы), посредством которых реализуется множество различных проектов (заказов, продуктов). Управление ведется по двум векторам: управление функциональными областями и управление унифицированными процессами. В качестве функциональных областей
(ФО) рассматриваются не только укрупненные «НИОКР», «Проектирование», «Производство» и т.д., но и более мелкие, например в проектировании: «Эскизное проектирование», «Конструкторское проектирование», «Технологическое проектирование»; в производстве: «Заготовительное производство», «Механообработка», «Физико-химическое производство», «Сборочное производство» и т.д. Каждая ФО имеет допустимое множество унифицированных
процессов, посредством которых реализуется тот или иной заказ, причем, множество различных заказов в матрице не требует дополнительного построения линий матрицы (например, из рис.50б следует, что заказ А может быть реализован в матрице по маршруту 11-22-13-44, а заказ В по маршруту 41-32-33-24). Повышение уровня разделения труда позволяет перейти и к трехмерным матричным схемам: функциональные области—процессы—операции (трудовые действия). Данная схема представлена на рис.51.

Из рис.51 следует, что у каждого процесса ФО может быть множество операций (трудовых действий). Например, процесс «закупочная деятельность»—ФО—«снабжение» включает в себя следующие действия-операции: «подготовка требования на закупку», «выбор поставщиков», «подготовка закупочных заказов», «осуществление заказа», «наблюдение за прохождением заказа» и т.д.
Процесс «технологическое проектирование»—ФО—«проектирование узла N» может включать в себя унифицированные технологические операции, исполнение которых обеспечивает то или иное качество и стоимость конечного продукта. Наиболее актуальной проблемой в данном случае является нахождение эффективного (оптимального) маршрута исполнения заказа
(МИЗ). Один из вариантов решения данной проблемы показан на рис.52.

Данная схема может быть реализована в виде компьютерной программы и использоваться в качестве подсистемы АСУ (с элементами самообучения).
Например, внедрение системы кодировки деталей и сборочных единиц позволяет создать специальные классификаторы деталей или сборочных единиц (нашедших широкое применение во многих отраслях) и осуществлять их автоматический поиск. Кроме того, имеется возможность автоматизировать расчет частотности использования процессов или операций, равно как и их выделение (по максимальным значениям). База данных и знаний
(БДЗ) формируется из обучающего множества правил типа «ЕСЛИ — ТО». Например, «ЕСЛИ код детали — ТО маршрут ее исполнения»;
«ЕСЛИ код сборочной единицы
(СЕ) — ТО маршрут ее сборки»;
«ЕСЛИ код товара — ТО маршрут ее сбыта»; «ЕСЛИ код заказа — ТО маршрут его реализации» и т.д. Поиск аналогичных маршрутов исполнения осуществляет информационно-поисковая система
(ИПС) из БДЗ. Предлагаемая методология автоматического синтеза МИЗ позволяет существенно экономить время (в 2 и более раз) на подготовку производства и само производство.
Достоверность автоматического синтеза одного маршрута
можно оценить с помощью эксперта или группы экспертов по балльной системе. Достоверность
работы всей подсистемы в промежутке времени Dt оценивается по формуле:
ДПС
= NН.Э.
/
Nобщ.
,
гдеNН.Э.
—
количество неисправленных экспертами МИЗ; Nобщ.
— общее, выработанное автоматизированной системой количество МИЗ в промежутке времени Dt.
Аддитивный функционал качества автоматически синтезируемого маршрута исполнения заказа определяется как:
Fk
= c1
1/Ni
+ c2
1/J0
+c3
dA
,
где с1
, с2
, с3
—
весовые коэффициенты значимости частных критериев (обычно определяются методом экспертных оценок);Ni
— первый частный критерий-уровень глобального поиска аналогичных маршрутов исполнения (рассчитывается ЭВМ по результатам поиска ИПС); J0
— второй частный критерий, относительный уровень фильтрации спектра применяемости процессов или операций (рассчитывается на ЭВМ по результатам выделения процессов с максимальными частотами их применяемости на практике):
J0
= J
ОПТ
/ n,
где J
ОПТ
— оптимальный уровень применяемости бизнес-процессов или операций; все процессы или операции выше его выделяются (рассчитывается на ЭВМ); п —
полное количество уровней спектра применяемости бизнес-процессов или операций;dA —
третий частный критерий, относительный уровень разброса бизнес-процессов или операций (рассчитывается по частотам расположения процессов или операций в выделенных ИПС машрутах-аналогах).
Некоторые исследования показывают, что с достоверностью 0,7-0,9 можно синтезировать за 6 месяцев порядка 6000 эффективных маршрутов исполнения (функционал качества при этом достигает экстремума) для серийной унифицированной наукоемкой продукции (тела вращения, плоскостные детали, сборки и т.д.). Необходимый объем БДЗ при этом — 3000 правил. Если количество правил БДЗ уменьшается до 1000, достоверность работы системы падает до 0,1-0,3. Соответственно уменьшаются и экономические показатели.
Расчеты показали, что в краткосрочном периоде использование данного метода позволяет добиться сокращения издержек по следующим позициям:
• на 80-90 % снижаются затраты на технологическое проектирование (разработка МИЗ);
• происходит сокращение расходов (до 50 %) на подготовку, переподготовку и перемещение персонала при выполнении различных заказов (т.к. автономные рабочие группы занимаются узкоспециализированными, унифицированными функциями);
• уменьшается время на подготовку производства и само производство (до 40 %);
• снижаются накладные расходы (на управленческий персонал, диспетчеризация, работа технологов).
В долгосрочном периоде компания получает возможность увеличить объемы продаж, прибыль и рентабельность (гарантии качества продукции способствуют повышению репутации компании и ее товаров). Создание предпосылок для снижения затрат, а следовательно, и себестоимости продукции, проведение гибкой ценовой политики позволяет обеспечить дополнительный прирост прибыли. Расчеты (например, с использованием программыProject Expert
) показывают, что для мелкосерийных производств, затраты на внедрение и сопровождение такой системы в долгосрочном периоде окупаются за 1,5-2,5 года, для крупносерийного производства — за 2,5-3 года. При этом создается современная инфраструктура предприятия и задел на будущее. Анализ показал, что экономический эффект (выраженный через разность притока и оттока средств за планируемый период инновационного проекта) по расчетам может приближаться к $ 500 тыс. за 2 года. Очевидно, что данная цифра может варьироваться в зависимости от типа предприятия. Внедрение данной технологии управления требует определенных затрат. Не для всех организаций выгодно применение такого управления. Для фирм-виолентов
и фирм-патиентов
такая система управления не всегда выгодна. Для фирм-эксплерентов (фирм-пионеров)
и фирм-коммутантов,
занимающихся выпуском наукоемкой продукции (особенно ТНП), такая система управления будет эффективной.
Показанная методология управления обусловливает и требования к персоналу автономных рабочих групп матричной организации. Работники должны быть инициативны, обладать высокой квалификацией и напористостью. Мотивация группы должна быть комплексной
и сочетать в себе три составляющие:
• традиционную мотивацию;
• лидерство;
• организационную культуру.

Автором была исследована комплексная модель мотивации
(КММ), включающая в себя эти три основные составляющие (рис.53). Матрица синергии работы для графа будет имеет вид:

Элементом матрицы может быть: п — позитивное влияние (1), н — негативное влияние (0), о — отсутствие связи. Анализ количества элементов «н» и «п» и их взаимосвязей позволяет объективно оценить ситуацию и наметить ряд мероприятий по ее улучшению.
Для обеспечения синергии работы необходимы: анализ ситуации в группе, определение первоочередных корректирующих воздействий; разработка мероприятий по применению новой схемы мотивации; запуск схемы мотивации; оценка мотивационного потенциала и контроль (мониторинг) за мотивационной средой в группе.
Цель этих мероприятий состоит в обеспечении положительной синергии работы группы. Матрица положительной синергии работы в итоге должна иметь вид:

Выбор доминирующей компоненты (мотивация персонала, лидерство в группе или организационная культура), с помощью которой должна включиться вся схема инициации мотивационного потенциала, осуществляется в соответствии со следующими критериями:
• быстрота (скорость) включения мотивационной составляющей: за какой период могут быть осуществлены намеченные мероприятия;
• стоимость реализации плана включения мотивационной составляющей;
• быстрота (скорость) отдачи: когда может быть получен экономический эффект от внедрения всей системы мотивации.
Принятие решения о выборе доминирующей составляющей включения можно осуществить по следующей методике.
Методика(пример):
Реализуем метод экспертного попарного сравнения критериев и вариантов между собой (баллы-оценки в данном примере взяты произвольно):
1) попарно сравниваем критерии по 10-балльной шкале и формируем матрицу. Сравнение ведем по принципу «критерий строки к критерию столбца»:

БВ — быстрота включения;
СР — стоимость реализации;
БО — быстрота экономической отдачи.
5 — критерии равнозначны (сумма оценок для пары критериев 10);
6 — быстрота включения превосходит по значимости стоимость реализации на 1 (оценки в сумме 6 + 4 =
10);
9 — быстрота включения превосходит по значимости быстроту отдачи на 4 (в сумме 9 + 1 =
10);
можно заметить, что сумма элементов диагоналей матрицы 10;
Аналогично можно сравнить любые критерии, используя весь
спектр оценок от 1 до 10.
2) Попарно сравниваем варианты по 10-балльной шкале для критерия «быстрота включения» и формируем матрицу:

Сравнивая варианты, во внимание берется только быстрота включения, остальные критерии игнорируются.
3) Попарно сравниваем варианты по 10-балльной шкале для критерия «стоимость реализации» и формируем матрицу:

4) Попарно сравниваем варианты по 10-балльной шкале для критерия «быстрота отдачи» и формируем матрицу:

5) Находим среднюю значимость первого критерия «быстрота включения» по отношению к «стоимости реализации» и «быстроте отдачи»:
с1
= (6 + 9) / 2 = 7,5 (суммируем элементы строк матрицы оценок критериев и делим на их количество).
6) Аналогично находим средние для стоимости реализации и для быстроты отдачи:
с2
=(4+4)/2=4 (для стоимости реализации);
с3
=
(1 + 6) / 2 =
3,5 (для быстроты отдачи).
Таким образом, мы видим, что наибольший приоритет имеет быстрота включения, далее с небольшим отрывом следуют стоимость реализации и быстрота отдачи.
7) Находим средние оценки для мотивации, лидерства и организационной культуры (по отношению друг к другу) по критерию «быстрота включения»:
f
11
= (5 + 8) / 2 = 6,5 (для мотивации по отношению к лидерству и ОК);
f
12
=
(5 + 4) / 2 = 4,5 (для лидерства по отношению к мотивации и ОК);
f
13
= (2 + 6) / 2 = 4 (для ОК по отношению к мотивации и лидерству).
8) Аналогично находим средние оценки для мотивации, лидерства и ОК по критерию «стоимость реализации»:
f
21
= (4 + 7) / 2 = 5,5 (для мотивации по отношению к лидерству и ОК);
f
22
= (6 + 3) / 2 = 4,5 (для лидерства по отношению к мотивации и ОК);
f
23
= (3 + 7) / 2 = 5 (для ОК по отношению к мотивации и лидерству).
9) Аналогично находим средние оценки мотивации, лидерства и ОК по критерию «быстрота отдачи»:
f
31
= (7 + 5) / 2 = 6 (для мотивации по отношению к лидерству и ОК);
f
32
= (3 + 6) / 2 = 4,5 (для лидерства по отношению к мотивации и ОК);
f
33
= (5+4) / 2 = 4,5 (для товара ОК по отношению к мотивации и лидерству).
10) Итоговый расчет оценочной функции вариантов.
Для мотивации:

Для лидерства:

Для ОК:

Мы видим, что компонента «традиционная мотивация» имеет наибольшую оценочную функцию, следовательно, ее необходимо задействовать в первую очередь. Именно она запустит полный мотивационный цикл и создаст в системе позитивный синергетический эффект.
Данная методика может быть использована в процессе оценки вариантов вложения средств, вариантов инвестирования, вариантов изготовления, вариантов технологий и т.д. Наиболее ответственными этапами в этих случаях являются выбор критериев оценки, оценка пар критериев и пар вариантов. В них должны принимать участие квалифицированные специалисты (эксперты) в конкретной области. В ряде случаев оценки исходных матриц должны проставляться как средние из оценок, полученных группой экспертов по конкретному вопросу сравнения пары.
В результате исследований КММ выявлены причины слабой мотивации персонала и получены некоторые практические результаты (табл.5).
Таблица 5
Некоторые причины слабой мотивации персонала и экономические результаты внедрения КММ
| Выявленные причины слабой мотивации персонала
|
Предпочтительная применяемая модель
|
Экономические результаты запуска КММ
|
| 1 |
Отсутствие связи «усилие— вознаграждение» |
Модели Портера— Лоулера, Врума, теории ожидания |
Рост производительности на 10 % (к базовому периоду) |
| 2 |
Слабое руководство (неадекватная реакция на ситуацию) |
Модель Фидлера |
Выявлены резервы увеличения производительности труда и сокращения затрат; обеспечен рост рентабельности работы на 5 % (к базовому периоду) |
| 3 |
Низкая «зрелость» исполнителей |
Модель Митчелла и Хауса |
Обеспечен рост производительности труда на 20 % (к базовому периоду) |
| Выявленные причины слабой мотивации персонала |
Предпочтительная применяемая модель |
Экономические результаты запуска КММ |
| 4 |
OK не соответствует взглядам группы |
Модель Питера и Утермана, модель Сате |
Обеспечен рост рентабельности на 10 % (к базовому периоду) |
| 5 |
В группе отсутствует поддержка ОК |
Модель Сате. |
Обеспечен рост рентабельности на 15 % |
| 6 |
ОК не реагирует на изменение ситуации |
Модель Парсонса |
Рост производительности Труда на 25 % |
| 7 |
Национальные (этнические) проблемы в группе |
Модель Хофстида, модель Лэйн и Дистефано |
Снижение затрат на 7 % |
| 8 |
Неправильное распределение обязанностей членов группы (потребности не соответствуют задачам) |
Модель Маслоу |
Рост рентабельности в группе на 10 % |
| 9 |
Отсутствие возможности удовлетворения потребностей высокого уровня работников |
Модель Альдерфера |
Рост производительности труда на 5 % |
| 10 |
Высокие амбиции членов группы |
Модель Мак-Клелланда |
Рост рентабельности труда на 15 % |
| Выявленные причины слабой мотивации персонала |
Предпочтительная применяемая модель |
Экономические результаты запуска КММ |
| 11 |
Неудовлетворенность трудом |
Модель Герцберга |
Рост производительности труда на 20 % |
| 12 |
Высокий уровень конфликтное™ в работе группы |
Достижение компромисса |
Рост производительности труда на 5 % |
| 13 |
Высокий уровень конфликтности в группе |
Разрешение проблемы |
Рост рентабельности труда на 10 % |
| 14 |
Высокий уровень конфликтности в группе |
Кооптация (предоставление сопротивляющемуся лицу ведущей роли во внедрении новшеств) |
Увеличение производительности труда на 15 % |
ГЛАВА 6. ИНТЕНСИВНЫЙ И ЭКСТЕНСИВНЫЙ ПУТИ РАЗВИТИЯ ОРГАНИЗАЦИЙ
Современный менеджмент устремлен в будущее, одна из основных его задач — создание предпосылок и условий экономического роста организации. На первый взгляд представляется, что усилия руководства должны быть направлены на увеличение объемов выпуска, выручки, прибыли организации. Но этого недостаточно. Необходимо учитывать и расходы организации.
Как определить уровень издержек, позволяющий добиться максимальной эффективности производства? Как оценить экономический рост фирмы, завода, малого предприятия?
Каждая организация имеет возможность оценить эффективность своей деятельности, используя оптимизационную кривую (рис.54).

По оси абсцисс обычно откладывается ресурсное обеспечение работ (например, в рублях); по оси ординат — результаты деятельности организации (в качестве которого может выступать прибыль или любой другой показатель эффективности). Например, временно приостановившая производство фирма продолжает хранить запасы, платит некоторые виды налогов и т.д. Ресурсное обеспечение работ в этом случае отсутствует, но имеются определенные затраты на поддержание жизнедеятельности. Эффект (измеренный прибылью) в этом случае будет отрицательным (точка 1). По мере роста ресурсного обеспечения работ фирма будет производить товар и получать прибыль. Эффективность ее деятельности возрастает и фирма смещается в точку 2. Дальнейшее увеличение ресурсного обеспечения работ, очевидно, приведет фирму к максимальной эффективности Эмакс
(точка 3) и оптимальному расходу ресурсов Ропт
.
Предположим, что ресурсное обеспечение работ необдуманно увеличивается. Очевидно, что в этой ситуации будет возрастать и расходная часть бюджета фирмы, а прибыль будет уменьшаться Эффективность ее деятельности уменьшается (точка 4) и в какой-то момент становится отрицательной (точка 5).
Чем уже оптимизационная кривая, тем выше сложность управления фирмой,
тем труднее поддерживать ее максимальную эффективность. Работа в области экстремальной эффективности (Эмакс
) требует от руководства быстрых и грамотных решений, время реагирования на изменения ситуационных факторов сводится к минимуму.
Каждая организация должна знать свои потенциальные возможности и периодически пересматривать оптимизационные кривые. Информационной базой для такого рода деятельности являются бизнес-планы, стратегические, инновационные и инвестиционные планы, балансы, аналитические материалы.
Важно постоянно следить за динамикой ресурсного обеспечения и эффекта (см. рис.55). Такой мониторинг позволит увидеть, как развивается организация, по интенсивному или экстенсивному пути. Например, зная свою оптимизационную кривую за прошлый год (t1
), фирма решает увеличить объемы производства (рост потребностей на рынке стимулирует этот процесс). Очевидно, ей требуются дополнительные ресурсы, что может привести к снижению эффекта на прошлогодней оптимизационной кривой. Поэтому фирма планирует предпринять ряд качественно-новых организационных и технологических изменений, позволяющих сместить максимум оптимизационной кривой вправо вверх (t2
) от точки А к точке В. Таким образом, приращение ресурсного обеспечения DРопт
должно выразиться в приросте эффективности DЭмакс
.

Из графика видно, что возможны следующие соотношения приращений DРопт
и DЭмакс
, которые и обусловливают направления экономического роста.
Если
D
Эмакс
>
D
Ропт
, то организация развивается по интенсивному пути.
Если
D
Эмакс
<
D
Ропт
, то организация развивается по экстенсивному пути.
Если
D
Эмакс
=
D
Ропт
, то возникла пограничная ситуация.
Таким образом, оптимальное управление
предполагает целенаправленное (планомерное) перемещение организации из точки А в точку В с условием DЭмакс
> DРопт
.
В относительных координатах это будет выглядеть следующим образом (см рис.56).

• кривая 1 показывает, что организация развивается по экстенсивному пути (прирост эффекта меньше, чем наращивание ресурсного обеспечения работ);
• кривая 3 показывает, что организация развивается по интенсивному пути (прирост эффекта больше, чем наращивание ресурсного обеспечения работ);
• прямая 2 — пограничная ситуация (равномерные прирост эффекта и ресурсов).
Все кривые, расположенные под второй прямой, определяют варианты экстенсивного развития организации. Все кривые, расположенные над второй прямой, определяют варианты интенсивного развития организации.
Менеджеры высшего звена должны постоянно отслеживать динамику этих приращений и в случае получения отрицательных результатов оперативно предпринимать комплекс экономико-организационных и научно-технических мероприятий по выводу организации из области экстенсивного в область интенсивного развития.
РЕКОМЕНДУЕМАЯ ЛИТЕРАТУРА
1. Мескон. М.
и др. Основы менеджмента — М.: Дело, 1997.
2. Виханский О. С., Наумов А. И.
Менеджмент / Учебник для вузов. — М.: Гардарика,1998.
3. Лебедев О. Т., Каньковская А. Р.
Основы менеджмента / Учебное пособие. — СПб.: ИД «МиМ», 1997.
4. Зайцева О. А., Радугин А. А., Радугин К. А., Рогачева Н. И.
Основы менеджмента / Учебное пособие для вузов. — М.: Центр, 1998.
5. Кузнецов Ю. В., Подлесных В. И.
Основы менджмента. — СПб.: ОЛБИС, 1998.
6. Кабушкин Н. И.
Основы менеджмента. — Минск: ЭКОНОМ-ПРЕСС. 1998.
7. Армстронг М.
Основы менеджмента — Ростов-на-Дону: Феникс, 1998.
8. Прыткин Б. В., Прыткина Л. В., Эриашвили Н. Д., Усман 3. А.
Общий курс менеджмента / Учебник. — М.: ЮНИТИ, 1998.
9. Основы управления персоналом: Учебник для вузов / Под редакцией Б. М. Генкина — М.: Высшая школа, 1996.
10. Котлер Ф.
Маркетинг менеджмент. — СПб.: Питер, 1998.
11. История менеджмента / Уч. пособие / Под ред. Д. В. Валового — М.: ИНФА, 1997.
12. Э. А. Уткин.
История менеджмента. — ЭКНОС, 1997.
13. Герчикова И. Н.
Менеджмент / Учебник — М.: Банки и биржи. ЮНИТИ, 1997.
14. Фатхутдинов Р. А.
Инновационный менеджмент / Учебник для вузов. —М.: «Интел-Синтез», 1998.
15. Инновационный менеджмент / Справочное пособие / Под ред. П. Н. Завлина, А. К. Казанцева, Л. Э. Миндели. — М.: Центр исследований и статистики науки, 1998.
16. Бодди Д., Пэйтон Р.
Основы менеджмента. — СПб.: Питер, 1999.
|