Банк рефератов содержит более 364 тысяч рефератов, курсовых и дипломных работ, шпаргалок и докладов по различным дисциплинам: истории, психологии, экономике, менеджменту, философии, праву, экологии. А также изложения, сочинения по литературе, отчеты по практике, топики по английскому.
Реклама
Полнотекстовый поиск
Всего работ:
364139
Теги названий
Реклама
VisitTime.ru помогает быстро организовать онлайн-запись клиентов и держать расписание под контролем.
📅 Настройте услуги и длительность приёма, откройте свободные окна — и клиенты запишутся сами в пару кликов.
🕒 Вы избегаете накладок, меньше тратите времени на переписки и звонки, а автоматические напоминания повышают явку.
💡 Отличное решение для мастеров, студий и сервисных команд, которым важны порядок и стабильная загрузка.
Начать пользоваться сервисом



Разделы
Авиация и космонавтика (304)
Административное право (123)
Арбитражный процесс (23)
Архитектура (113)
Астрология (4)
Астрономия (4814)
Банковское дело (5227)
Безопасность жизнедеятельности (2616)
Биографии (3423)
Биология (4214)
Биология и химия (1518)
Биржевое дело (68)
Ботаника и сельское хоз-во (2836)
Бухгалтерский учет и аудит (8269)
Валютные отношения (50)
Ветеринария (50)
Военная кафедра (762)
ГДЗ (2)
География (5275)
Геодезия (30)
Геология (1222)
Геополитика (43)
Государство и право (20403)
Гражданское право и процесс (465)
Делопроизводство (19)
Деньги и кредит (108)
ЕГЭ (173)
Естествознание (96)
Журналистика (899)
ЗНО (54)
Зоология (34)
Издательское дело и полиграфия (476)
Инвестиции (106)
Иностранный язык (62791)
Информатика (3562)
Информатика, программирование (6444)
Исторические личности (2165)
История (21319)
История техники (766)
Кибернетика (64)
Коммуникации и связь (3145)
Компьютерные науки (60)
Косметология (17)
Краеведение и этнография (588)
Краткое содержание произведений (1000)
Криминалистика (106)
Криминология (48)
Криптология (3)
Кулинария (1167)
Культура и искусство (8485)
Культурология (537)
Литература : зарубежная (2044)
Литература и русский язык (11657)
Логика (532)
Логистика (21)
Маркетинг (7985)
Математика (3721)
Медицина, здоровье (10549)
Медицинские науки (88)
Международное публичное право (58)
Международное частное право (36)
Международные отношения (2257)
Менеджмент (12491)
Металлургия (91)
Москвоведение (797)
Музыка (1338)
Муниципальное право (24)
Налоги, налогообложение (214)
Наука и техника (1141)
Начертательная геометрия (3)
Оккультизм и уфология (8)
Остальные рефераты (21692)
Педагогика (7850)
Политология (3801)
Право (682)
Право, юриспруденция (2881)
Предпринимательство (475)
Прикладные науки (1)
Промышленность, производство (7100)
Психология (8692)
психология, педагогика (4121)
Радиоэлектроника (443)
Реклама (952)
Религия и мифология (2967)
Риторика (23)
Сексология (748)
Социология (4876)
Статистика (95)
Страхование (107)
Строительные науки (7)
Строительство (2004)
Схемотехника (15)
Таможенная система (663)
Теория государства и права (240)
Теория организации (39)
Теплотехника (25)
Технология (624)
Товароведение (16)
Транспорт (2652)
Трудовое право (136)
Туризм (90)
Уголовное право и процесс (406)
Управление (95)
Управленческие науки (24)
Физика (3462)
Физкультура и спорт (4482)
Философия (7216)
Финансовые науки (4592)
Финансы (5386)
Фотография (3)
Химия (2244)
Хозяйственное право (23)
Цифровые устройства (29)
Экологическое право (35)
Экология (4517)
Экономика (20644)
Экономико-математическое моделирование (666)
Экономическая география (119)
Экономическая теория (2573)
Этика (889)
Юриспруденция (288)
Языковедение (148)
Языкознание, филология (1140)

Реферат: Экономический анализ рентабельности

Название: Экономический анализ рентабельности
Раздел: Рефераты по экономике
Тип: реферат Добавлен 12:55:48 21 июня 2011 Похожие работы
Просмотров: 296 Комментариев: 21 Оценило: 2 человек Средний балл: 5 Оценка: неизвестно     Скачать

Министерство образования Российской Федерации

Байкальский Государственный Университет Экономики и Права

Реферат

ПО ДИСЦИПЛИНЕ:

«Экономический анализ»

НА ТЕМУ:

«ЭКОНОМИЧЕСКИЙ АНАЛИЗ РЕНТАБЕЛЬНОСТИ»

Выполнила : Пыткина А.В.

Мэк-о7-4

Иркутск

2010

Введение

Особую роль для любого предприятия играют такие понятия, как прибыль и рентабельность, потому что именно они играют наиболее определяющую роль в жизни предприятия. За счет увеличения этих показателей предприятие может функционировать и увеличивать масштабы своего производства: внедрять современные технологии, тем самым уменьшая себестоимость продукции, постоянные и переменные затраты и делать продукцию наиболее конкурентоспособной.

Значимость экономического анализа таких важнейших показателей, как прибыль и рентабельность предприятия трудно переоценить, ведь именно прибыль есть конечный финансовый результат деятельности предприятия, служащий источником пополнения финансовых ресурсов предприятия.

Анализ прибыли и рентабельности предприятия позволяет выявить большое число тенденций развития, призван указать руководству предприятия пути дальнейшего успешного развития, указывает на ошибки в хозяйственной деятельности, а также выявить резервы роста прибыли, что, в конечном счете, позволяет предприятию более успешно осуществлять свою деятельность.

Прибыль является частью денежных накоплений предприятий. Это обусловлено наличием коммерческого расчета в деятельности предприятий и обособленностью их финансов. Величина прибыли предприятия зависит от результатов его финансово-хозяйственной деятельности, уровня себестоимости продукции, конъюнктуры рынка и т.п.

Прибыль является основным источником развития предприятия, важным критерием эффективности производства, важным доходом государства. Например, на долю налога на прибыли приходится около 20% всех поступлений в государственный бюджет Р.Ф. Постоянно возрастает её роль в образовании бюджетных, внебюджетных и благотворительных фондов, в материальном стимулировании работников и удовлетворении их социальных запросов. Прибыль обеспечивает финансирование мероприятий по подготовке кадров, жилищному строительству, улучшению медицинского обслуживания на предприятии. Её рост служит стимулом к повышению эффективности производства, укреплению коммерческого расчета, а убытки являются наказанием за использование неэффективных методов производства, или за такое использование ресурсов, которое не удовлетворяет желания потребителей. Прибыль получают те предприятия, которые в предшествующий период смогли обеспечить более высокую эффективность в сфере производства, продаже товаров, предвидении будущих событий.

Реклама

В отличие от других стоимостных показателей, прибыль дает обобщающую характеристику всей деятельности предприятия. В ней наиболее полно отражаются изменения объема реализации продукции, ассортимента и её качества, издержек производства. По уровню прибыли можно судить о внедрении в производство достижений науки и техники, эффективности использования производственных фондов, организации труда, конкурентоспособности продукции.

В рыночной экономике развитие и выживание предприятия во многом зависит от внешних факторов. Отсюда необходимы постоянные изменения и обновления производства – технологические, организационные, экономические и т.п. Эти все мероприятия могут быть осуществлены за счет прибыли.

Рынок предъявляет жестокие требования к деятельности хозяйствующего субъекта, через механизм конкуренции здесь происходит отбор наиболее эффективных форм производства. Поэтому, каждое предприятие стремится к тому, чтобы иметь устойчивый рост дохода, а, следовательно, возможность развиваться дальше, ведь прибыль обеспечивает сложное воспроизводство в коммерческих компаниях. Отсутствие прибыли и, следовательно, возможностей постоянного совершенствования производства, ведёт к финансовой несостоятельности, банкротству. [1].

Как известно, в России проблема увеличения прибыли на предприятии была всегда очень болезненной. В условиях инфляции, неплатежей, чередующихся кризисов возможности предприятий очень ограничены. Зачастую всеми силами приходилось бороться за то, чтоб остаться на достигнутом уровне, а говорить о повышении прибыли и не приходилось.

Лишь в последнее время наблюдается известная стабильность, а по заявлению некоторых должностных лиц и рост макроэкономических показателей развития производственной инфраструктуры регионов России. В этих условиях на многих предприятиях существуют реальные возможности увеличения прибыли, реальные перспективы роста. [2].

Анализ рентабельности предприятия

Роль и значение рентабельности на предприятии

Реклама

Итоги работы компании во внешней торговле подлежат оценке за любой отчетный период.В связи с этим по данным учета и отчетности исчисляется система различных количественных и качественных показателей, призванная дать всестороннюю оценку деятельности компании. Показатели эффективности дают ориентировочную оценку выгодности экспортных и импортных операций.Прежде всего, рассмотрим, что представляет собой рентабельность.

Одно из его определений звучит так: рентабельность – (от нем. rentabel – доходный, прибыльный) – показатель экономической эффективности производства на предприятиях. Комплексно отражает использование материальных, трудовых и денежных ресурсов. Рентабельным считается предприятие, которое приносит прибыль.

Можно привести одно понятие рентабельности: рентабельность – показатель, представляющий собой отношение прибыли к сумме затрат на производство, денежным вложениям в организацию коммерческих операций или сумме имущества фирмы.

Разделяют рентабельность как общую – процентное отношение балансовой (общей) прибыли к среднегодовой суммарной стоимости производственных основных фондов и нормируемых оборотных средств; и рентабельность расчетную – отношение расчетной прибыли к среднегодовой стоимости тех производственных фондов, с которых взимается плата за фонды. Применяется также показатель уровня рентабельности к текущим затратам – отношение прибыли к себестоимости товарной или реализованной продукции.[3].

Каждое предприятие самостоятельно осуществляет свою производственную и хозяйственную деятельность на принципах самоокупаемости и прибыльности Предприятие имеет определенные расходы по изготовлению продукции и ее реализации.Эти расходы представляют издержки производства данного предприятия (себестоимость), или индивидуальные издержки.Однако издержки отдельного продукта по предприятиям могут отклоняться от средних издержек по отрасли, которые принимаются за общественно необходимые затраты или стоимость, денежное выражение которых составляет цену продукта.

Наличие индивидуальных издержек, порождает обособление другой части стоимости продукции – прибыль, а, следовательно, и относительного ее измерения – рентабельности. Однако абсолютная величина прибыли не дает представления об уровне и изменении эффективности производства или торговли. Сумма прибыли может увеличиваться, а эффективность производства может оставаться на прежнем уровне или даже снизиться. Это происходит в случае, если прирост прибыли получен за счет экстенсивных (количественных) факторов производства – увеличения численности работников, рост парка оборудования и т.д.Если же при росте численности работников их производительность осталась прежней или снизилась, то эффективность производства соответственно не изменяется или даже снижается.Основными отличительными признаками рентабельности в системе торговых и производственных отношений являются следующие:

1) Отношение прибыли к издержкам производства, характеризующие уровень прибыльности текущих затрат (на приобретение сырья, материалов, топлива, расходы по управлению и обслуживанию производства и заработной плате работников)

2) Отношение прибыли к среднегодовой стоимости производственных фондов, характеризующие относительный размер возрастания авансированных затрат и дающие оценку экономической эффективности производственных фондов.[4].

Реальный смысл имеют признаки рентабельности, которые характеризуют эффективность затрат по прибыли, полученной после реализации.

Распределительная функция рентабельности конкретно проявляется в том, что ее величина является одним из основных критериев для распределения части прибавочного продукта – прибыли.

Показатели рентабельности

Прибыль выступает не только основным источником финансовых ресурсов, но и одним из элементов, формирующих важнейший показатель экономической эффективности - рентабельность. Если прибыль - абсолютная величина части чистого дохода, то рентабельность - его относительная величина, выражаемая в процентах к определенной базе (к производственным фондам, себестоимости, имуществу). Рентабельность означает доходность производства, его эффективность.

Различают рентабельность производственных фондов, продукции и вложений в предприятие.

Рентабельность производственных фондов определяется как отношение балансовой прибыли к средней стоимости основных производственных фондов и нормируемых оборотных средств по формуле:

(1)

где:

Р — рентабельность производственных фондов, %

П.— балансовая прибыль;

Ф — стоимость основных производственных фондов в среднем за период;

С — стоимость нормируемых оборотных средств в среднем за период.

Рентабельность производственных фондов предприятий, характеризующая получение прибыли с каждого рубли производственных фондов, определяется на основе плановой и фактической прибыли.[5].

При определении плановой рентабельности производственных фондов балансовая прибыль берется без уменьшения на сумму убытков от жилищно-коммунального хозяйства и расходов на содержание культурно-просветительных учреждений. Основные производственные фонды берутся с учетом их ввода в действие и выбытия в планируемом году, оцениваются по первоначальной стоимости, т.е. без вычета суммы износа. Оборотные средства принимаются в пределах установленного норматива, обеспечивающего создание минимальных производственных остатков.

Фактическая рентабельность производственных фондов определяется как отношение балансовой прибыли к фактической среднегодовой стоимости основных производственных фондов и нормируемых оборотных средств. Фактические остатки нормируемых оборотных средств исчисляются на основе остатков по балансу, за вычетом задолженности поставщикам по акцептованным платежным требованиям, срок оплаты которых не настудил, и поставщикам по неофакгурованным поставкам; износа малоценных и быстроизнашивающихся предметов; резерва на возмещение плановых потерь и предстоящих расходов. Можно рассчитать данную рентабельность по чистой прибыли, т.е расчетную рентабельность.

Расчетная рентабельность — это отношение чистой прибыли к средней стоимости основных производственных фондов и нормируемых оборотных средств Чистая прибыль берется как балансовая прибыль за минусом налоговых платежей.

Таким образом, уровень рентабельности находится в прямой зависимости от прибыли и в обратной от стоимости производственных фондов. Рост прибыли способствует повышению рентабельности, а увеличение производственных фондов приводит к снижению уровня рентабельности. Уровень рентабельности отдельных предприятий оказывает прямое влияние на рентабельность концернов, объединений, отрасли в целом. Чем выше рентабельность отдельных предприятий, тем "выше уровень рентабельности промышленности и всего народного хозяйства. [6].

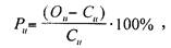
Для того, чтобы правильно организовать выполнение плана по рентабельности производства, необходимо рассчитать рентабельность по видам изделий. Уровень рентабельности отдельных видов продукции определяется отношением прибыли от реализации данной продукции к ее полной себестоимости по формуле:

(2)

где:

Р - уровень рентабельности единицы изделия (в %);

О - оптовая, действующая цена единицы изделия

С - полная себестоимость единицы изделий.

Уровень рентабельность изделий разный. Отклонения в уровне рентабельности различных видов продукции обусловлены многими причинами объективного и субъективного характера. Так, новые виды продукции, выпуск которых еще недостаточно освоен предприятиями, как правило, имеют более низкую рентабельность по сравнению со старой продукцией. [7].

В рыночной экономике все большее влияние на рентабельность продукции оказывает конъюнктура рынка, конкурентоспособность изделий.

Во многих случаях уровень рентабельности изделия зависит от результатов работы данного производственного коллектива. Систематическое снижение себестоимости продукции, повышение качества и сортности изделий ведет к росту рентабельности и наоборот, наличие перерасхода по себестоимости, ухудшение качества и сортности продукции снижает рентабельность этих изделий.

Кроме этого, для характеристики рентабельности продукции ее определяют и другими методами как отношение прибыли от реализации продукции к сумме ее выручки, как отношение балансовой прибыли к выручке от реализации продукции, как отношение чистой прибыли к выручке от реализации продукции. Эти показатели позволяют судить об эффективности текущих затрат предприятия и доходности реализуемой продукции.

Рентабельность вложений в предприятие определяется по стоимости его имущества. Расчет можно делать по балансовой и чистой прибыли стоимость имущества берется из бухгалтерского баланса. В первом случае рентабельность определяется как отношение балансовой прибыли к стоимости имущества. [8].

Во втором случае рентабельность определяется как отношение чистой прибыли к стоимости имущества.

Данные показатели характеризуют уровень прибыли (балансовой или чистой) на каждый рубль, вложенный в имущество предприятий. Чем выше этот уровень, тем эффективнее использовалось имущество. Для такой характеристики можно использовать также выручку от реализации продукции по отношению к стоимости имущества.

Другими показателями рентабельности могут служить рентабельность собственных средств и долгосрочных капитальных вложений.

Первый показатель определяется отношением чистой прибыли к собственным средствам предприятия (по бухгалтерскому балансу).

Второй показатель представляет собой отношение доходов от ценных бумаг и долевого участия в других предприятиях к сумме долгосрочных финансовых вложений. [ 9].

Методы повышения рентабельности производства

Многообразие показателей рентабельности определяют альтернативность поиска путей повышения. Каждый из исходных показателей раскладывается в факторную систему с различной степенью детализации, что задает границы выявления и оценки производственных резервов.

При анализе путей повышения рентабельности важно разделять влияние внешних и внутренних факторов. Такие показатели, как цена продукта и ресурса, прибыль от реализации и рентабельность продаж, находятся между собой в тесной функциональной связи. Для монопродукта и моноресурса взаимосвязь этих показателей можно отразить с помощью схемы.

Объем продукции

в стоимостном выражении (N)

= Объем продукции в физических единицах (q) X Цена единицы продукции(Ц)
Затраты на производство в денежном выражении (N/S) = Объем использованных ресурсов (в натуральном выражении)(z) X Цена единицы ресурса(С)
Доходность (N/S) = Производительность ресурсов(q/z) X Возмещение затрат в цене продукта (Ц/С)
Прибыль (N-S) = Объем продукции в стоимостном выражении (q/Ц) X Затраты на производство в денежном выражении(z/C)

Доходность производства продукции рассматривается как произведение коэффициента производительности ресурсов и коэффициента соотношения цен единицы продукта и единицы ресурса.

Последнее соотношение обычно называют финансовой производительностью (дефлятором) цены, потому что оно характеризует меру возмещения дополнительных затрат в цене реализуемой продукции в результате повышения себестоимости (затрат ресурсов за счет роста цен на ресурсы).

Крупные предприятия главное внимание обращают на проблемы контроля за изменениями промышленной производительности и стараются снижать роль внешнего фактора (финансовой производительности). Дело в том, что одним из условий процветания предприятия является расширение рынка сбыта продукции за счет снижения цены на предлагаемые товары. Поскольку этот процесс не сопровождается снижением цен на потребляемые ресурсы, то роль дефлятора цены в формировании доходности предприятия понижается.

Это естественным образом переключает сферу усилий руководства на контроль за изменением промышленной производительности, т.е. за внутренними факторами: снижение материалоемкости и трудоемкости, повышение отдачи основных средств (машин, оборудования и т.д.). [10].

В заключение хотелось бы подвести итог. Итак, рентабельность деятельности предприятия стоит в анализе экономической эффективности работы этого самого предприятия далеко не на последнем месте. Также, мы выяснили, что рентабельность напрямую зависит от величины прибыли, которая, в свою очередь, зависит от объема выпуска продукции, издержек производства, цен реализации и пр. Рентабельность рассчитывается несколькими методами, с учетом внешних и внутренних факторов, что позволяет составить более полную картину. Определение рентабельности необходимо для оценки текущего положения дел и эффективности деятельности предприятия, а также для дальнейшего ее планирования и корректировки.

Список литературы

1. Абрютина М.С., Грачев А.В. Анализ финансово – экономической деятельности предприятия: Учеб.-практ. Пособие. – 2-е изд., испр. – М.: Дело и Сервиз, 2007. – 256 с.

2. Астахов В.П. Анализ финансовой устойчивости фирмы и процедуры, связанные с банкротством. – М.: Ось-89, 2005.

3. Гавренкова В.И. Организация производства: Учеб. пособие. – Владивосток: ДВТИ, 2008.

4. Грузинов В.П., Грибов В.Д. Экономика предприятия. – М.: МИФ, 2010.

5. Полякова В.Г., Маркова В.Д. Бизнес-планирование: Практическое руководство. – Новосибирск: Экор, 2009.

6. Развитие конкуренции на рынках РФ (доклад ГКАП РФ) //Вопросы экономики. 2004. № 11.

7. Савицкая Г.В. Анализ хозяйственной деятельности предприятия. – Минск: "Экоперспектива", “ Новое знание”, 1999.- 498с.

8. Самуэльсон П. Экономика: В 2 т. – М.: АЛГЕН, 2002.

9. Сергеев И.В. Экономика предприятия: Учеб. пособие. – М.: Финансы и статистика, 2006.

10.Современная экономика / Под ред. О.Ю. Мамедова. – М.; Ростов-на-Дону: Феникс, 2009.

11.Хайман Д.Н. Современная микроэкономика. – М.: Финансы и статистика, 2004.

12.Шеремет А.Д., Сайфулин Р.С. Методика финансового анализа. – М.: ИНФРО-М, 2008.

Оценить/Добавить комментарий
Имя
Оценка
Комментарии:
Хватит париться. На сайте FAST-REFERAT.RU вам сделают любой реферат, курсовую или дипломную. Сам пользуюсь, и вам советую!
Никита15:24:41 04 ноября 2021
.
.15:24:40 04 ноября 2021
.
.15:24:38 04 ноября 2021
.
.15:24:37 04 ноября 2021
.
.15:24:35 04 ноября 2021

Смотреть все комментарии (21)
Работы, похожие на Реферат: Экономический анализ рентабельности

Назад
Меню
Главная
Рефераты
Благодарности
Опрос
Станете ли вы заказывать работу за деньги, если не найдете ее в Интернете?

Да, в любом случае.
Да, но только в случае крайней необходимости.
Возможно, в зависимости от цены.
Нет, напишу его сам.
Нет, забью.



Результаты(294402)
Комментарии (4230)
Copyright © 2005 - 2024 BestReferat.ru / реклама на сайте