СОДЕРЖАНИЕ
Лист для замечаний
Уровень жизни населения (УЖН) – понятие, основные индикаторы УЖН. Социальные нормативы и потребности. Прожиточный минимум, потребительская корзина: понятие, различия, использования.
Уровень жизни населения (УЖН) – понятие, основные индикаторы
Уровень жизни населения
как социально-экономическая категория представляет собой уровень и степень удовлетворения потребностей людей в материальных благах, бытовых и культурных услугах.
Материальные блага
– это продукты питания, одежда, обувь, предметы культуры и быта, жилища.
К бытовым услугам – в широком понимании – относятся коммунальные услуги, в том числе услуги транспорта и связи, услуги службы быта, а также медицинские услуги.
Услуги в области культуры оказывают учреждения культуры, искусства и образования.
Уровень жизни как характеристика благосостояния народа является важнейшим элементом более широкого понятия «образ жизни».
Основные задачи и направления статистического изучения уровня жизни следующие:
1) общая и всесторонняя характеристика социально-экономического благосостояния населения;
2) оценка степени социально-экономической дифференциации общества, степени различий по уровню благосостояния между отдельными социальными, демографическими и иными группами населения;
3) анализ характера и степени влияния различных социально-экономических факторов на уровень жизни, изучение их состава и динамики;
4) выделение и характеристика малообеспеченных слоев населения, нуждающихся в социально-экономической поддержке.
Социально-экономические индикаторы уровня жизни населения
формируются на основе cтатистических данных, характеризующих объем, состав, основные направления использования и распределения между отдельными группами денежных доходов населения, а также, с привлечением других данных, отражающих конечный результат экономической и социальной политики в областях, затрагивающих различные аспекты благосостояния населения.
Социально-экономические индикаторы выражаются через средние и медианные величины, темпы изменения, коэффициенты частоты, концентрации, дифференциации и покупательной способности. Расчет социально-экономических индикаторов производится в соответствии с общими требованиями по формированию макроэкономических показателей и с учетом специфики системы статистических социальных показателей.
Забиваем Сайты В ТОП КУВАЛДОЙ - Уникальные возможности от SeoHammer
Каждая ссылка анализируется по трем пакетам оценки: SEO, Трафик и SMM.
SeoHammer делает продвижение сайта прозрачным и простым занятием.
Ссылки, вечные ссылки, статьи, упоминания, пресс-релизы - используйте по максимуму потенциал SeoHammer для продвижения вашего сайта.
Что умеет делать SeoHammer
— Продвижение в один клик, интеллектуальный подбор запросов, покупка самых лучших ссылок с высокой степенью качества у лучших бирж ссылок.
— Регулярная проверка качества ссылок по более чем 100 показателям и ежедневный пересчет показателей качества проекта.
— Все известные форматы ссылок: арендные ссылки, вечные ссылки, публикации (упоминания, мнения, отзывы, статьи, пресс-релизы).
— SeoHammer покажет, где рост или падение, а также запросы, на которые нужно обратить внимание.
SeoHammer еще предоставляет технологию Буст, она ускоряет продвижение в десятки раз,
а первые результаты появляются уже в течение первых 7 дней.
Зарегистрироваться и Начать продвижение
Ниже приводятся основные определения исходных показателей, используемых в расчетах социально-экономических индикаторов.
РАСПОЛАГАЕМЫЙ ДОХОД ДОМАШНИХ ХОЗЯЙСТВ: определяется как доход, полученный домашними хозяйствами от производственной деятельности, от собственности, а также в результате перераспределительных операций: добавлением полученных субсидий на производство и импорт и текущих трансфертов и вычитанием выплаченных налогов на производство и импорт и текущих трансфертов (включая текущие налоги на доходы и богатство). Располагаемый доход является источником для конечного потребления товаров и услуг и сбережения.
ФАКТИЧЕСКОЕ КОНЕЧНОЕ ПОТРЕБЛЕНИЕ ДОМАШНИХ ХОЗЯЙСТВ включает расход на покупку потребительских товаров и услуг и стоимость индивидуальных товаров и услуг, полученных домашними хозяйствами от органов государственного управления и от некоммерческих организаций бесплатно в виде социальных трансфертов в натуре.
РАСХОДЫ НА КОНЕЧНОЕ ПОТРЕБЛЕНИЕ ДОМАШНИХ ХОЗЯЙСТВ включают расходы на приобретение потребительских товаров и услуг, а также потребление товаров и услуг в натуральной форме: произведенных для себя (сельскохозяйственная продукция личных подсобных хозяйств, условно исчисленные услуги по проживанию в собственном жилище) и полученных в качестве оплаты труда и различных видов вспомоществования.
ДЕНЕЖНЫЕ ДОХОДЫ НАСЕЛЕНИЯ включают оплату по труду всех категорий населения, пенсии, пособия, стипендии и другие социальные трансферты, поступления от продажи продуктов сельского хозяйства, доходы от собственности в виде процентов по вкладам, ценным бумагам, дивидендов, доходы лиц, занятых предпринимательской деятельностью, а также страховые возмещения, ссуды, доходы от продажи иностранной валюты и другие доходы.
ДЕНЕЖНЫЕ РАСХОДЫ И СБЕРЕЖЕНИЯ НАСЕЛЕНИЯ включают расходы на покупку товаров и оплату услуг, обязательные платежи и разнообразные взносы (налоги и сборы, платежи по страхованию, взносы в общественные и кооперативные организации, возврат банковских ссуд, проценты за товарный кредит и др.), покупку иностранной валюты, а также прирост сбережений во вкладах и ценных бумагах.
Публикация социально-экономических индикаторов уровня жизни населения производится на ежемесячной основе в докладах Госкомстата России «О социально-экономическом положении» в соответствии с нижеследующим перечнем:
Сервис онлайн-записи на собственном Telegram-боте
Попробуйте сервис онлайн-записи VisitTime на основе вашего собственного Telegram-бота:
— Разгрузит мастера, специалиста или компанию;
— Позволит гибко управлять расписанием и загрузкой;
— Разошлет оповещения о новых услугах или акциях;
— Позволит принять оплату на карту/кошелек/счет;
— Позволит записываться на групповые и персональные посещения;
— Поможет получить от клиента отзывы о визите к вам;
— Включает в себя сервис чаевых.
Для новых пользователей первый месяц бесплатно.
Зарегистрироваться в сервисе
СРЕДНЕДУШЕВЫЕ ДЕНЕЖНЫЕ ДОХОДЫ исчисляются делением общей суммы денежного дохода за отчетный период на численность наличного населения.
РЕАЛЬНЫЕ РАСПОЛАГАЕМЫЕ ДЕНЕЖНЫЕ ДОХОДЫ определяются исходя из денежных доходов текущего периода за минусом обязательных платежей и взносов, скорректированных на индекс потребительских цен.
СРЕДНЕМЕСЯЧНАЯ НАЧИСЛЕННАЯ ЗАРАБОТНАЯ ПЛАТА работающих в отраслях экономики определяется делением начисленного месячного фонда заработной платы на среднесписочную численность работающих. Социальные пособия, получаемые работающими из государственных и негосударственных внебюджетных фондов не включаются в фонд заработной платы и среднюю заработную плату.
СРЕДНИЙ РАЗМЕР НАЗНАЧЕННОЙ МЕСЯЧНОЙ ПЕНСИИ пенсионера, установленный в соответствии с законодательством, определяется делением общей суммы назначенных месячных пенсий на соответствующую численность пенсионеров.
ПОКУПАТЕЛЬНАЯ СПОСОБНОСТЬ ДЕНЕЖНЫХ ДОХОДОВ НАСЕЛЕНИЯ отражает потенциальные возможности населения по приобретению товаров и услуг и выражается через товарный эквивалент среднедушевых денежных доходов населения и соотношение денежных доходов населения с величиной прожиточного минимума.
РАСПРЕДЕЛЕНИЕ НАСЕЛЕНИЯ ПО УРОВНЮ СРЕДНЕДУШЕВЫХ ДЕНЕЖНЫХ ДОХОДОВ характеризует дифференциацию населения по уровню материального достатка и представляет собой показатели численности (или долей) населения, сгруппированного в заданных интервалах по уровню среднедушевых денежных доходов.
РАСПРЕДЕЛЕНИЕ ОБЩЕГО ОБЪЕМА ДЕНЕЖНЫХ ДОХОДОВ ПО РАЗЛИЧНЫМ ГРУППАМ НАСЕЛЕНИЯ выражается через проценты общего объема денежных доходов, которым обладает каждая из 20-ти (10-ти) процентных групп населения.
КОЭФФИЦИЕНТЫ ДИФФЕРЕНЦИАЦИИ ДОХОДОВ НАСЕЛЕНИЯ: устанавливают размер превышения денежных доходов высокодоходных групп по сравнению с низкодоходными группами населения. Различаются: коэффициент фондов (соотношение между средними значениями доходов внутри сравниваемых групп населения или их долями в общем объеме доходов) и децильный коэффициент дифференциации (отношение уровней доходов, ниже и выше которых находятся десятые доли совокупности в разных концах ряда распределения населения по уровню среднедушевых денежных доходов)
КОЭФФИЦИЕНТ КОНЦЕНТРАЦИИ ДОХОДОВ (ИНДЕКС ДЖИНИ): устанавливает степень отклонения фактического объема распределения доходов населения от линии их равномерного распределения.
ВЕЛИЧИНА ПРОЖИТОЧНОГО МИНИМУМА представляет собой стоимостную оценку прожиточного минимума: натурального набора продуктов питания, учитывающего диетологические ограничения и обеспечивающего минимально необходимое количество калорий, а также расходов на непродовольственные товары и услуги, налоги и обязательные платежи, исходя из доли затрат на эти цели в бюджетах низкодоходных домашних хозяйств.
ЧИСЛЕННОСТЬ НАСЕЛЕНИЯ С ДЕНЕЖНЫМИ ДОХОДАМИ НИЖЕ ПРОЖИТОЧНОГО МИНИМУМА определяется на основе рядов распределения населения по уровню среднедушевых денежных доходов и является результатом суммирования числа лиц, чьи денежные доходы ниже величины прожиточного минимума.
ДЕФИЦИТ ДОХОДА определяется на основе данных о численности и размере доходов населения с доходами ниже прожиточного минимума и исчисляется как суммарное значение дохода, необходимое для его повышения до величины прожиточного минимума.
С целью устранения фактора изменений цен номинальные денежные доходы и расходы населения рассчитываются в реальном выражении с корректировкой на индекс-дефлятор, отражающий изменение цен на различные компоненты денежных расходов населения.
Результатом пересчета являются показатели, идентифицируемые в определениях как реальные (реальные денежные доходы, реальная заработная плата, реальный размер назначенной месячной пенсии, реальные расходы на конечное потребление домашних хозяйств и т.д.).
Пересчет в сопоставимые цены проводится с использованием:
· индексов потребительских цен: сводных или субиндексов на отдельные товарные группы;
· индексов потребительских цен, дифференцированных по группам населения с различным уровнем доходов.
Расчет показателей в реальном выражении осуществляется методом приведения показателей текущего периода в сопоставимые цены базисного периода по формуле:
Ir = In : ИПЦ * 100
где Ir - значение показателя в реальном выражении за отчетный месяц,
In - значение показателя в номинальном выражении за отчетный месяц,
ИПЦ - индекс потребительских цен в процентах к предыдущему месяцу.
Значение показателя в реальном выражении за период, превышающий месяц, является результатом действий с рядами месячных данных в реальном выражении, либо с применением модифицированных значений индексов, выражающих усредненное для соответствующего периода изменение цен.
Расчеты покупательной способности осуществляются с целью выявления (в количественном выражении) степени относительных, структурных и межрегиональных изменений на потребительском рынке по отношению к денежным доходам населения.
Уровень покупательной способности денежных доходов может быть выражен в двух аспектах:
А. как товарный эквивалент различных видов товаров и услуг, характеризующий количества товаров-представителей (или малых товарных групп), которые можно приобрести на среднедушевой денежный доход;
Б. как количества определенных наборов товаров и услуг (по отношению к величине прожиточного минимума или к стоимости набора из 25-ти продуктов питания), которые можно приобрести на среднедушевой денежный доход.
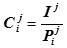
Покупательная способность денежного дохода по i-му товарному эквиваленту определяется отношением денежного дохода к соответствующей средней цене данного товара (товара-представителя):
 где Ci - покупательная способность среднедушевого денежного дохода населения, определенная по i-му товарному эквиваленту,
I - величина среднедушевого денежного дохода населения,
Pi - средняя цена i-го товара-представителя в среднем по России.
Для каждого региона эти показатели исчисляются аналогично показателям федерального уровня:
 Где - покупательная способность среднедушевого денежного дохода населения j-го региона, определенная по i-му товарному эквиваленту,
I
j
- величина среднедушевого денежного дохода населения j-го региона,
средняя цена i-го товара-представителя в j-ом регионе.
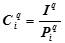
Покупательная способность денежных доходов населения в разрезе групп населения с различным уровнем среднедушевых доходов исчисляется по формуле:
 Где
- покупательная способность среднедушевого денежного дохода населения q-доходной группы населения России, определенная по i-му товарному эквиваленту,
- величина среднедушевого денежного дохода q-ой доходной группы населения,
- средняя цена покупки i-го товара по q-ой доходной группе населения.
Для каждого региона показатели (3) исчисляются на основе соответствующих региональных величин (Iq, Piq) в разрезе групп населения с различными доходами.
Показатели покупательной способности денежных доходов, рассчитываемые в количествах определенных наборов товаров и услуг, оцениваются аналогично показателям по отдельным товарным эквивалентам. В формулах: (1), (2), (3) вместо цены i-го товара-представителя, используется стоимость определенного набора товаров и услуг.[1]
Социальные нормативы и потребности
Важную роль в изучении уровня жизни населения играют социальные нормативы как научно обоснованные ориентиры направленности социальных процессов в обществе. Различают социальные нормативы; развития материальной базы социальной сферы, доходов и расходов населения, социального обеспечения и обслуживания, потребления населением материальных благ и платных услуг, условий жизни, состояния и охраны окружающей среды, потребительского бюджета и др. Они могут быть уровневыми, выражающими абсолютную или относительную величину нормы соответственно в натуральных показателях или процентах (возможные варианты нормативов: моментные, интервальные, минимальные, максимальные), а также приростными, представленными в виде соотношения приростов двух показателей.
Непосредственное отношение к уровню жизни имеет потребительский бюджет, суммирующий нормативы (нормы) потребления населением материальных благ и услуг, дифференцированные по социальным и половозрастным группам населения, климатическим зонам, условиям и тяжести труда, месту проживания и т. д. Различают минимальный и рациональный потребительские бюджеты. Кроме того, к основным социальным нормативам относятся: минимальная заработная плата и пособие по временной нетрудоспособности, пособие по безработице трудоспособных лиц, минимальные трудовые и социальные пенсии для пожилых и нетрудоспособных граждан, инвалидов, минимальные стипендии учащимся, регулярные или разовые целевые пособия наиболее уязвимым в материальном отношении группам населения (многодетным и малообеспеченным семьям, матерям-одиночкам и др.).
В совокупности они образуют систему минимальных социальных гарантий как обязанность государства обеспечить гражданам минимальные размеры оплаты труда и трудовой пенсии, право на получение пособий по социальному страхованию (в том числе по безработице, болезни, беременности и родам, уходу за малолетним ребенком, по малообеспеченности и др.), минимальный набор общедоступных и бесплатных услуг в области образования, здравоохранения и культуры. Стержень социальной политики - прожиточный минимум, и с ним должны увязываться все остальные социальные стандарты и гарантии.
Существующие нормативы отражают современные научные представления о потребностях людей в благах и услугах - личных потребностях. Однако последние не следует абсолютизировать, так как они всегда изменчивы, что затрудняет их количественную оценку. Личные потребности отражают объективную необходимость в определенном наборе и количестве материальных благ и услуг и социальных условий, обеспечивающих всестороннюю деятельность конкретного человека. Личные потребности подразделяются на физиологические (физические), интеллектуальные (духовные) и социальные.
Физиологические потребности являются определяющими первого порядка, поскольку выражают потребности человека как биологического существа; в их составе насущными, первичными, выступают потребности в пище, одежде, обуви, жилище, отдыхе, сне, двигательной активности и т. д.
Интеллектуальные потребности касаются образования, повышения квалификации, творческой деятельности, порождаемой внутренним состоянием человека.
Социальные потребности связаны с функционированием человека в обществе - это социально-политическая деятельность, самовыражение, общение с людьми, обеспечение социальных прав и т.д.
Интеллектуальные и социальные потребности относятся к потребностям непервой необходимости и удовлетворяются после того, как наступает определенная степень удовлетворения первостепенных потребностей. Прямой оценки они не имеют, хотя во многом зависят от состояния культуры в обществе, общего уровня и качества жизни населения. Условия же для их удовлетворения характеризуются бюджетом времени населения. По величинам рабочего, нерабочего и свободного времени можно оценить эффективность рабочего времени и возможности удовлетворения интеллектуальных и социальных потребностей человека.
Различаются рациональные (разумные) и иррациональные потребности. Рациональные потребности отвечают научным представлениям о потреблении благ и услуг, необходимых для поддерживания здорового образа жизни человека и гармоничного развития личности. Это общественно полезные потребности, плохо поддающиеся количественной оценке. Их можно определить условно с помощью рациональных норм и нормативов (кроме рациональных норм потребления продуктов питания, устанавливаемых на основе данных науки о питании). Иррациональные потребности выходят за рамки разумных норм, принимают гипертрофированные, иногда извращенные формы, в частности по отношению к питанию.
Внешней формой проявления личных потребностей выступает спрос населения, хотя и количественно, и качественно он отличается от действительной потребности. Различают общий потребительский спрос, объем и структура которого соответствуют объему потребления населением материальных благ и услуг, и платежеспособный спрос на них, отражающий платежеспособные возможности населения.
Наряду с личными выделяют социальные потребности общества, обусловленные необходимостью обеспечения условий его функционирования и развития, в том числе производственные, потребности в управлении, обороне, охране окружающей среды и т. д.
Прожиточный минимум, потребительская корзина: понятие, различия, использования
В Федеральном законе от 24.10.1997 № 134-ФЗ «О прожиточном минимуме в Российской Федерации» даны следующие определения:
· «потребительская корзина
- минимальный набор продуктов питания, непродовольственных товаров и услуг, необходимых для сохранения здоровья человека и обеспечения его жизнедеятельности;
· прожиточный минимум
- стоимостная оценка потребительской корзины, а также обязательные платежи и сборы».
Согласно постановлению Минтруда и Госкомстата «Об утверждении методики исчисления величины прожиточного минимума» (Постановление Минтруда России от 28.04.2000 № 36, Постановление Госкомстата России от 28.04.2000 № 34):
«Методика исчисления величины прожиточного минимума в целом по Российской Федерации… разработана в соответствии с Федеральным законом "О прожиточном минимуме в Российской Федерации", Федеральным законом "О потребительской корзине в целом по Российской Федерации", Постановлением Правительства Российской Федерации от 17 февраля 1999 г. N 192 "Об утверждении Методических рекомендаций по определению потребительской корзины для основных социально - демографических групп населения в целом по Российской Федерации и в субъектах Российской Федерации"»
Стоимость минимального набора продуктов питания определена на основе минимального набора продуктов питания для мужчины трудоспособного возраста (приведен в Методических рекомендациях по определению потребительской корзины для основных социально-демогра-фических групп населения в целом по Российской Федерации и в субъектах Российской Федерации, утвержденных постановлением Правительства Российской Федерации от 17 февраля 1999г. № 192). Данные о стоимости набора приведены в расчете на месяц.
Указанный показатель отражает межрегиональную дифференциацию уровней потребительских цен и не является составляющим элементом величины прожиточного минимума, определяемого в субъектах Российской Федерации, что объясняется различием методологических подходов при их формировании. При расчете стоимости минимального набора продуктов питания по Российской Федерации и субъектам Российской Федерации используются единые (установленные в целом по Российской Федерации) минимальные объемы потребления, в то время как при расчете величины прожиточного минимума - объемы, сформированные на основе зонирования субъектов Российской Федерации в зависимости от факторов, влияющих на особенности потребления продуктов питания».
Таким образом, имеем следующую структуру определений:
Прожиточный минимум определяется из потребительской корзины. При составлении потребительской корзины используются методические рекомендации по определению потребительской корзины от 1999 года.
Минимальный продуктовый набор также определяется исходя из тех же методических рекомендаций от 1999 года.
Стоимость минимального продуктового набора не равна расчетной стоимости минимально необходимого набора продуктов питания, заложенной в прожиточный минимум, так как вторая цифра рассчитывается исходя из региональных особенностей.[2]
Величину прожиточного минимума на региональном уровне определяют органы исполнительной власти на местах, исходя из локальных особенностей потребления и ресурсных возможностей. Порядок расчета прожиточного минимума описан в «Методических рекомендациях» Минтруда России и основан на следующих принципах.
Далее более подробно рассмотрим их.
Прожиточный минимум представляет собой показатель объема и структуры потребления важнейших материальных благ и услуг на минимально допустимом уровне, обеспечивающем условия поддержания активного физического состояния взрослых, социального и физического развития детей и подростков.
Прожиточный минимум используется:
· для оценки уровня жизни населения при разработке и реализации социальной политики и федеральных социальных программ,
· обоснования устанавливаемых на федеральном уровне минимального размера оплаты труда,
· для определения размеров стипендий, пособий и других социальных выплат,
· а также для формирования бюджетов.
Бюджет прожиточного минимума есть стоимостная оценка натурального набора прожиточного минимума, кроме того, он включает в себя расходы на налоги и другие обязательные платежи.
Потребности населения значительно дифференцируются в зависимости от его социально-демографических характеристик и условий проживания, поэтому прожиточный минимум рассчитывают не только в среднем на душу населения или семью, но и отдельно для различных категорий: детей (до 7 лет), подростков (7–15 лет), трудоспособных граждан, пенсионеров. Прожиточный минимум конкретной семьи может быть определен исходя из ее фактического состава и величины.
Основой всех расчетов является набор продуктов питания прожиточного минимума, включающий продовольственные товары, объединенные в 10 агрегированных групп: хлебопродукты; картофель; овощи; фрукты и ягоды; мясопродукты; молокопродукты; рыбопродукты; яйца; сахар и кондитерские изделия; масло растительное, маргарин. Наборы рассчитаны как для отдельных категорий населения, так и по отдельным территориальным зонам России, выделенным с учетом природно-климатических условий.
Итак, для расчета прожиточного минимума:
1) определяется потребительская корзина - понятно, что она зависит от места жительства, от возраста, пола и других факторов;
2) подсчитывается стоимость потребительской корзины плюс обязательные платежи и сборы (НДФЛ и отчисления в Пенсионный фонд) - это и есть величина прожиточного минимума.
Величина прожиточного минимума устанавливается
· в целом по РФ (Правительством РФ),
· в субъектах РФ (органами исполнительной власти субъектов РФ).
Потребительская корзина определяется не реже одного раза в пять лет, а величина прожиточного минимума определяется ежеквартально (и публикуется в официальных изданиях).
Потребительская корзина определяется на основании "Методических рекомендаций по определению потребительской корзины для основных социально-демографических групп населения в целом по Российской Федерации и в субъектах Российской Федерации", утвержденных Постановлением Правительства РФ от 17 февраля 1999 г. N 192.
Потребительская корзина определяется для основных социально-демографических групп населения:
· трудоспособное население
, в том числе мужчины в возрасте 16-59 лет и женщины в возрасте 16-54 лет, за исключением неработающих инвалидов I и II групп этого возраста,
· пенсионеры
, в том числе мужчины в возрасте от 60 лет и женщины в возрасте от 55 лет, а также лица, получающие пенсию по инвалидности,
· дети
, в том числе дети в возрасте 0-15 лет.
Потребительская корзина определяется
· в целом по Российской Федерации;
· в субъектах Российской Федерации.
С учетом природно-климатических условий, национальных традиций и местных особенностей потребления продуктов питания, непродовольственных товаров и услуг - поэтому субъекты РФ распределяются по зонам.
Состав минимального набора продуктов питания, непродовольственных товаров и услуг определяется с учетом:
· научных рекомендаций по минимальным объемам потребления и перечню товаров и услуг, необходимых для сохранения здоровья человека и обеспечения его жизнедеятельности;
· фактического объема потребления продуктов питания, непродовольственных товаров и услуг в малоимущих семьях.
Состав потребительской корзины определяется Федеральным законом «О потребительской корзине в целом по Российской Федерации» - в настоящее время действует Федеральный закон от 31 марта 2006 года N 44-ФЗ «О потребительской корзине в целом по Российской Федерации».
В потребительскую корзину входят около несколько групп продовольственных продуктов и непродовольственных товаров, а также услуг и установлены минимальные размеры потребления.[3]
В корзине не предусмотрены алкоголь, табак и т.п. - они не входят в товары, «необходимые для сохранения здоровья человека и обеспечения его жизнедеятельности» и, следовательно, не включены в корзину.
Прожиточный минимум определяется на основании «Методики исчисления величины прожиточного минимума в целом по Российской Федерации», утвержденной Постановлением Минтруда России и Госкомстата России от 28 апреля 2000 г. № 36/34.
Прожиточный минимум исчисляется как сумма:
· стоимости потребительской корзины (по ценам Росстата);
· расходов по обязательным платежам и сборам.
Часть 2
Задание 1
Таблица 1 – Исходные данные
| Показатель |
1997 |
1998 |
| Численность населения на начало года, тыс. чел. |
1506,4 |
1491,9 |
| в том числе в возрасте: |
| моложе трудоспособного |
343,4 |
328,6 |
| трудоспособного |
895,6 |
896,2 |
| старше трудоспособного |
267,4 |
267,1 |
| Численность родившихся, человек |
| Численность умерших, человек |
| Естественный прирост (+), убыль (-), чел. |
| Миграционный приток (+), отток (-), человек |
-7613 |
| Общий прирост (+), убыль (-), человек |
| Коэффициент рождаемости, ‰ |
| Коэффициент смертности, ‰ |
13,0 |
| Коэффициент естественного прироста, ‰ |
| Коэффициент миграции, ‰ |
| Коэффициент общего прироста (убыли), ‰ |
Общая численность жителей области за 2000 г. уменьшилась на 16498 человек. Доля населения в возрасте моложе и старше трудоспособного на начало 2001 г. составляла соответственно 20,2 и 19,9%.
1. Определите:
· показатели естественного движения и миграции населения;
· возрастную структуру населения;
· коэффициенты демографической нагрузки.
2. Возрастную структуру населения на начало и конец года изобразите графически.
Решение
Естественное движение населения - изменение численности населения за счет рождения и смертей. В статистике широко используется показатель естественного прироста населения, который определяют как разность между числом родившихся живыми и числом умерших за определенный период, имея в виду прежде всего положительный результат (число родившихся должно превышать численность умерших). Если разница имеет отрицательный результат, то речь идет о показателе естественной убыли населения.
Воспроизводство населения измеряется с помощью общего коэффициента рождаемости и общего коэффициента смертности (рассчитываются на 1000 человек, т.е. в промилле, ‰).
Интенсивность смертности населения измеряется общим коэффициентом смертности Ксм
, который представляет собой отношение общего числа умерших в течение года (М) к среднегодовой численности населения(Sср).
Определяем среднегодовую численность населения:
Sср
= (1506,4+1491,9)/2 = 1499,15 тыс. чел.
Тогда определяем общее число умерших:
Ксм = М/Sср
* 1000‰ (4)
13 = М / 1499150 * 1000
М = 13*1499150/1000 = 19489 чел.
Рассчитываем численность родившихся:
S = Sн + N– М + П – В, (5)
где S – численность населения на начало следующего года;
N – численность родившихся;
М – численность умерших;
П – число прибывших на территорию области;
В - число выбывших с территории области;
П-В – миграционный приток (отток).
1506400 = 1520200 + N – 19489 – 7613
N = 1506400 – 1520200 + 19489 + 7613 = 13302 чел.
Рассчитываем естественный прирост (убыль), который показывает, на сколько увеличилась (уменьшилась) численность населения за счет естественных факторов рождаемости и смертности):
N – M = 13302 – 19489 = -6187 чел.
Общий прирост (убыль) составляет:
(N – M) + (П – В) = -6187 – 7613 = -13800 чел.
Рассчитаем коэффициент рождаемости:
Кр
= N / Sср
*1000‰ = 13,302 / 1499,15 * 1000‰ = 8,9‰
Коэффициент естественного прироста (убыли) составляет:
К ест.уб.
= (N – M) / Sср
* 1000‰ (6)
К ест.уб.
= -6,187 / 1499,15 * 1000‰ =4,1 ‰
Коэффициент миграции составляет:
Кмигр.уб.
= (П – В) / Sср
* 1000‰ (7)
Кмигр.уб.
= -7,613 / 1499,15 * 1000‰ = 5,1‰
Рассчитываем коэффициент общей убыли:
К общ. уб.
= [(N – M) + (П – В)] / Sср
* 1000‰ =
= К ест.уб.
+ К мигр.уб.
(8)
К общ. уб.
= 4,1 + 5,1 = 9,2‰
Полученные данные занесем в таблицу.
Таблица 2 – Расчет показателей естественного движения и миграции населения
| Показатель |
1997 |
| Численность населения средняя, тыс. чел. |
1499,15 |
| Численность родившихся, человек |
13302 |
| Численность умерших, человек |
19489 |
| Естественный прирост (+), убыль (-), чел. |
-6187 |
| Миграционный приток (+), отток (-), человек |
-7613 |
| Общий прирост (+), убыль (-), человек |
-13800 |
| Коэффициент рождаемости, ‰ |
8,9 |
| Коэффициент смертности, ‰ |
13,0 |
| Коэффициент естественного прироста, ‰ |
4,1 |
| Коэффициент миграции, ‰ |
5,1 |
| Коэффициент общего прироста (убыли), ‰ |
9,2 |
Далее определяем возрастную структуру населения.
Основные показатели, изучающие возрастную структуру населения:
1) численность и доля отдельных возрастных групп в общей численности населения;
2) коэффициент старения — это отношение численности лиц старше 60 (65) лет к общей численности населения, в %.
3) коэффициент демографической нагрузки – это отношение суммы численности лиц в возрасте 0—15 лет и 60+ к численности лиц в возрасте 15—60 лет, %.
Таблиц 3 – Возрастная структура населения
| 1997 год |
Численность населения |
в том числе |
Доля населения в общей численности, % |
| моложе трудоспособного |
трудоспособное |
старше трудоспособного |
моложе трудоспособного (гр. 2/гр. 1) |
Трудоспособное (гр.3/гр. 1) |
старше трудоспособного (гр.4/ гр.1) |
| А |
1 |
2 |
3 |
4 |
5 |
6 |
7 |
| На начало |
1506,4 |
343,4 |
895,6 |
267,4 |
22,8 |
59,4 |
17,8 |
| На конец |
1491,9 |
328,6 |
896,2 |
267,1 |
22,0 |
60,1 |
17,9 |
Численность населения области на начало 1997 года составило 1506,4 тыс. чел., в том числе моложе трудоспособного населения – 22,8%, трудоспособное население – 59,4%, население старше трудоспособного – 17,8%.
Численность населения области на конец 1997 года составило 1491,9 тыс. чел., в том числе моложе трудоспособного населения – 22,0%, трудоспособное население – 60,1%, население старше трудоспособного – 17,9%.
Таким образом, в течение года наблюдается снижение населения области на 14,5 тыс. чел., или на 1,0%, в том числе снижение населения моложе трудоспособного возраста на 0,8% процентных пункта, рост трудоспособного населения на 0,7 процентных пункта и рост населения старшего трудоспособного возраста – на 0,1 процентный пункт.
Рассчитываем коэффициент старения:
на начало года: 267,4 / 1506,4 *100% = 17,8%;
на конец года: 267,1 / 1491,9 * 100% = 17,9%.
Коэффициент демографической нагрузки (Dependency ratio) — число лиц в возрасте 0—15 лет и в возрасте 60 лет и старше на 1000 человек населения в возрасте 16—59 лет. Служит для выражения соотношения экономически и социально неактивного населения и трудоспособного населения и характеризует «нагрузку» на экономику непроизводительного населения.
Различают три вида коэффициента демографической нагрузки:
· отношение общего числа детей и стариков к численности трудоспособного населения,
· отношение численности детей к численности трудоспособного населения,
· отношение численности стариков к численности трудоспособного населения.
Рассчитываем коэффициент демографической нагрузки как отношение общего числа детей и стариков к численности трудоспособного населения:
на начало года: (343,4+267,4) / 895,6 * 100% = 68,2%;
на конец года: (328,6+267,1) / 896,2 * 100% = 66,5%.
«Нагрузка» на экономику непроизводственного населения области составляет на начало 1997 года – 68,2%, а на конец – 66,5%, т.е. нагрузка падает на 1,7%.
Рассчитываем коэффициент демографической нагрузки как отношение численности детей к численности трудоспособного населения:
на начало года: 343,4 / 895,6 * 100% = 38,3%;
на конец года: 328,6 / 896,2 * 100% = 36,7%.
Рассчитываем коэффициент демографической нагрузки как отношение численности стариков к численности трудоспособного населения:
на начало года: 267,4 / 895,6 * 100% = 29,8%;
на конец года: 267,1 / 896,2 * 100% = 29,8%.
Выводы
.
Среднегодовая численность населения области в 1997 году составила 1499,15 тыс. человек.
Наблюдается тенденция к уменьшению численности населения, которая составила на начало 1997 году -1506,4 тыс. человек, на конец года – 1491,9 тыс. человек, в 1996 году – 1520,2 тыс. человек.
Общий коэффициент рождаемостисоставил 8,9 родившихся (на 1000 населения) в 1997 году.
Общий коэффициент смертностисоставил 13,0 умерших (на 1000 населения) в 1997 году.
Естественная убыль
населения составила 6187 человек в 1997 году.
Миграционный отток населения из области в 1997 году составил 7613 человек.
В течение 1997 года наблюдается тенденция увеличения населения в трудоспособном возрасте
(с 895,6 тыс. человек на начало года до 896,2 тыс. человек на конец года, а абсолютный рост численности населения в трудоспособном возрасте – 0,6 тыс. человек). При этом наблюдается снижение численности населения старше трудоспособного возраста (с 267,4 тыс. человек на начало года до 267,1 тыс. человек в конце, а абсолютное снижение составило 0,3 тыс. человек), а также лиц, моложе трудоспособного возраста (с 343,4 тыс. человек на начало года до 328,6 тыс. человек на конец года, а абсолютное снижение составило 14,7 тыс. человек).
Следовательно, наблюдается увеличение населения в трудоспособном возрасте и снижение населения моложе и старше трудоспособного возраста.
Возрастная структура населения области


Рисунок 1 – Возрастная структура населения на начало и конец 1997 года
Задача 2
Таблица 4 - Численность работников промышленного предприятия в 2008 г.
| Показатель |
Значение |
Среднесписочная численность рабочих основного вида деятельности на промышленном предприятии:
в I полугодии
|
800
|
| в III квартале |
770 |
| в октябре |
760 |
| в ноябре |
755 |
| Среднесписочная численность работников неосновных видов деятельности за год, чел. |
105 |
| Фактически явились на работу 1 декабря, чел. |
750 |
| Не явились на работу в декабре: |
| - по болезни с 4 по 12 декабря |
2 |
| - выполняли с 18 по 20 числа государственные обязанности |
1 |
| - прогуляли с 21 по 22 |
1 |
| С 25 декабря прекратили работу без предупреждения администрации |
3 |
| С 21 декабря выбыло работников в связи с сокращением численности персонала |
8 |
| По приказу с 12 декабря зачислены на работу |
10 |
| Штатным расписанием предусмотрено: в среднем за гож на 1 служащего приходится рабочих |
7 |
На основании представленной информации определите:
1) списочную численность рабочих списочного состава на конец декабря;
2) среднюю численность рабочих списочного состава в декабре;
3) абсолютные и относительные показатели движения рабочих на предприятии в декабре;
4) среднесписочную численность в отчетном году:
· рабочих основного вида деятельности;
· служащих основного вида деятельности;
· работников промышленно-производственного персонала;
· всего персонала предприятия.
5) Структуру численности персонала предприятия изобразите с помощью столбиковой или секторной диаграммы.
Решение
В списочной численности работников за каждый календарный день учитываются как фактически работающие, так и отсутствующие на работе по каким-либо причинам. Исходя из этого, в списочную численность целыми единицами включаются, в частности, работники:
· фактически явившиеся на работу, включая и тех, которые не работали по причине простоя;
· не явившиеся на работу по болезни;
· не явившиеся на работу в связи с выполнением государственных или общественных обязанностей.[4]
Не включаются в списочную численность работники:
· подавшие заявление об увольнении и прекратившие работу до истечения срока предупреждения или прекратившие работу без предупреждения администрации. Они исключаются из списочной численности работников с первого дня невыхода на работу.
Рассчитаем списочную численность рабочих (ЧР) на конец декабря.
На конец декабря списочная численность рабочих составила 749 человек (см. табл. 5).
СЧкм
= СЧнм
+ П – В
= 750 +10 – 3 – 8 = 749 чел.
Таблица 5 –Списочная численность рабочих в декабре 2008 г., чел.
| День декабря |
Численность персонала |
| 1 |
750 |
| 2 |
750 |
| 3 |
750 |
| 4 |
750 |
| 5 (выходной) |
750 |
| 6 (выходной) |
750 |
| 7 |
750 |
| 8 |
750 |
| 9 |
750 |
| 10 |
750 |
| 11 |
750 |
| 12 |
760 |
| 13 (выходной) |
760 |
| 14 (выходной) |
760 |
| 15 |
760 |
| 16 |
760 |
| 17 |
760 |
| 18 |
760 |
| 19 |
760 |
| 20 (выходной) |
760 |
| 21 (выходной) |
751 |
| 22 |
751 |
| 23 |
752 |
| 24 |
752 |
| 25 |
749 |
| 26 |
749 |
| 27 (выходной) |
749 |
| 28 (выходной) |
749 |
| 29 |
749 |
| 30 |
749 |
| 31 |
749 |
| Итого |
23339 |
Среднесписочная численность работников за месяц исчисляется путем суммирования списочной численности работников за каждый календарный день месяца, т.е. с 1-го по 30-е или 31-е число (для февраля - по 28-е или 29-е число), включая праздничные (нерабочие) и выходные дни, и деления полученной суммы на число календарных дней месяца.
Численность работников списочного состава за выходной или праздничный (нерабочий) день принимается равной списочной численности работников за предшествующий рабочий день. При наличии двух или более выходных или праздничных (нерабочих) дней подряд численность работников списочного состава за каждый из этих дней принимается равной численности работников списочного состава за рабочий день, предшествовавший выходным и праздничным (нерабочим) дням.
Для расчета среднесписочной численности рабочих за месяц рекомендуется использовать макет табл. 5.1.
Таблица 5.1 - Расчет среднесписочной численности рабочих в декабре 2008г.
| Период |
Списочная численность, человек |
Число календарных дней |
Число
человеко-дней
|
| T |
t |
T * t |
| 1 – 11 |
750 |
11 |
8250 |
| 12 – 20 |
760 |
9 |
6840 |
| 21 – 22 |
751 |
2 |
1502 |
| 23 – 24 |
752 |
2 |
1504 |
| 25 – 31 |
749 |
7 |
5243 |
| Всего |
753 |
31 |
23339 |
Для расчета средней списочной численности работников за месяц используется формула:
=
= чел.
Движение работников списочного состава характеризуется изменением списочной численности работников вследствие приема на работу и выбытия по различным причинам. Движение работников за отчетный период может быть представлено в виде баланса: списочная численность работников на начало отчетного периода плюс численность принятых за отчетный период минус численность выбывших за отчетный период равняется списочной численности работников на конец отчетного периода.
Определим абсолютные показатели движения рабочих предприятия в декабре (табл. 6).
Таблица 6 - Показатели движения рабочих на предприятии в декабре 2008 г.
| Показатель |
Условное обозначение |
Методика расчета |
Значение |
| 1. Численность на начало месяца, человек |
Тн
|
750 |
| 2. Принято - всего, человек |
П
|
10 |
| 2.1 В том числе на дополнительно введенные места. |
П’
|
3. Выбыло – всего, человек
в том числе:
|
В
|
11 |
| 3.1 в связи с сокращением численности персонала |
В’
|
8 |
| 3.2 по собственному желанию |
В”
|
| 4. Численность на конец месяца, человек |
Тк
|
стр.1+стр.2-стр.3 |
749 |
| 5. Среднесписочная численность |
ССЧ
|
753 |
| 6. Коэффициент оборота по приему, % |
Коб. пр.
|
(стр.2:стр.5)∙100 |
1,3 |
| 7. Коэффициент оборота по выбытию, % |
Коб. выб.
|
(стр.3:стр.5)∙100 |
1,5 |
| 8.Коэффициент восполнения работников, % |
Квосп.
|
(стр.2:стр.3)∙100 |
90,9 |
| 9. Изменение численности персонала, человек |
∆Т
|
стр.4 - стр.1 |
-1 |
| 10. Изменение численности персонала, % |
∆Т
|
(стр.4:стр.1)∙100-100 |
-0,1 |
В численность принятых включаются лица, зачисленные в отчетном периоде в данную организацию приказом (распоряжением) о приеме на работу.
В численность выбывших включаются все работники, оставившие работу в данной организации независимо от оснований (расторжение трудового договора по инициативе работника, инициативе администрации; соглашению сторон; призыв или поступление на военную службу; перевод работника с его согласия в другую организацию или переход на выборную должность и др.), уход или перевод которых оформлен приказом (распоряжением), а также выбывшие в связи со смертью.
В численность выбывших по собственному желанию включаются работники, выбывшие из организации по инициативе самого работника, а также в следующих случаях:
- избрание на должности, замещаемые по конкурсу;
- переезд в другую местность; перевод супруга в другую местность, за границу;
- зачисление в образовательное учреждение, аспирантуру или клиническую ординатуру;
- увольнение по собственному желанию с наступлением пенсионного возраста или получающих пенсию по возрасту;
- необходимость ухода за больными членами семьи или инвалидами I группы;
- соглашение сторон;
- увольнение по собственному желанию беременных женщин, женщин, имеющих детей в возрасте до 14 лет, одиноких матерей - при наличии у них ребенка в возрасте до 14 лет или ребенка-инвалида до 16 лет.
В число принятых и выбывших работников списочного состава не включаются:
- работники, привлеченные на работу по специальным договорам с государственными организациями (военнослужащие и отбывающие наказание в виде лишения свободы);
- внешние совместители;
- работники, выполнявшие работу по договорам гражданско-правового характера.
Движение работников характеризуется показателями оборота кадров и показателем постоянства кадров.
Оборот кадров (К об) - совокупность принятых на работу (зачисленных в списочный состав) и выбывших работников, рассматриваемая в соотношении со среднесписочной численностью работников за определенный (отчетный) период. Интенсивность оборота кадров характеризуется следующими коэффициентами: общего оборота, который представляет собой отношение суммарного числа принятых и выбывших за отчетный период к среднесписочной численности работников; оборота по приему, который представляет собой отношение числа принятых за отчетный период к среднесписочной численности работников за тот же период; оборота по выбытию, который представляет собой отношение выбывших за отчетный период к среднесписочной численности за тот же период.
Коэффициент восполнения работников характеризует восполнение работников, выбывших по различным основаниям из организации, вновь принятыми работниками и рассчитывается путем деления численности принятых работников за период на численность работников, выбывших по различным основаниям за этот период.
Коэффициент постоянства кадров - отношение численности работников, состоящих в списочном составе весь отчетный год, к среднесписочной численности работников за отчетный год. Численность работников, состоящих в списочном составе с 1 января по 31 декабря включительно, т.е. проработавших весь год, определяется следующим образом: из численности работников, состоявших в списках на начало года (на 1 января), исключаются выбывшие в течение года по всем причинам (кроме переведенных в другие организации), но не исключаются выбывшие из числа принятых в отчетном году, т.к. в списках организации на 1 января их не было.
За период, состоящий из нескольких месяцев (квартал, полугодие, год), среднесписочная численность определяется как средневзвешенная величина из показателей средней списочной численности работников за все месяцы (t) данного периода.

Определим среднесписочную численность служащих основного вида деятельности (Тсл) за год:
Тсл = (чел.)
Определим среднесписочную численность служащих основного вида деятельности (Тсл) за год:
Тсл = (чел.)
Определим среднесписочную численность работников промышленно-производственного персонала (Трт) за год:
Трт = 782+112 = 894 (чел.)
Среднесписочная численность работников неосновных видов деятельности за гож составила 105 чел. (по условию).
Среднесписочная численность всего персонала предприятия (Тп) составила за год: Тп = 894 + 105 = 999 чел.

Рисунок 2 – Структура численности персонала предприятия за 2008 г.
Задача 3
1. Постройте баланс основных средств (ОС).
2. Рассчитайте на начало и конец отчетного года:
· Видовую структуру основных средств и структурные сдвиги за год,
· Определите стоимость и долю активно действующей части средств.
3. Рассчитайте показатели, характеризующие движение отдельных видов и всех основных средств предприятия:
· Коэффициенты ввода и обновления;
· Коэффициент выбытия и ликвидации;
· Показатели динамики (абсолютного и относительного увеличения или уменьшения) стоимости основных средств;
4. Определите среднегодовую стоимость основных средств.
5. Изобразите графически на начало и на конец года структуру основных средств предприятия.
Таблица 7 – Наличие основных средств промышленного предприятия на начало года, тыс. руб.
| Наименование |
Значение |
| Здания |
22149 |
| Сооружения |
3210 |
| Машины и оборудование |
9600 |
| Транспортные средства |
1168 |
| Производственный и хозяйственный инвентарь |
26 |
| Другие не перечисленные выше виды основных средств |
20 |
Таблица 8 - Основные средства основного вида деятельности в отчетном году (+) Поступило всего (в том числе новые), (-) Выбыло всего (в том числе списано), тыс. руб.
| Вид средств |
Дата ввода, выбытия |
Сумма |
| Здания |
в сентябре |
-7 (7) |
| Машины и оборудование |
1 октября
1 июля
|
+150 (83)
-107 (74)
|
| Производственный и хозяйственный инвентарь |
1 ноября |
-6 (6) |
Решение
Таблица 9 - Баланс основных средств
| Виды основных фондов |
Наличие на начало года |
Поступило в отчетном году |
Выбыло в отчетном году |
Наличие на конец года |
| Всего |
В том числе ввод в действие новых фондов |
Всего |
В том числе ликвидировано (списано) фондов |
| А |
1 |
2 |
3 |
4 |
5 |
6 |
| Здания |
22149 |
7 |
7 |
22142 |
| Сооружения |
3210 |
3210 |
| Машины и оборудование |
9600 |
150 |
83 |
107 |
74 |
9643 |
| Транспортные средства |
1168 |
1168 |
| Производственный и хозяйственный инвентарь |
26 |
6 |
6 |
20 |
| Другие не перечисленные выше виды основных средств |
20 |
20 |
| ИТОГО
|
36173
|
150
|
83
|
120
|
87
|
36203
|
В зависимости от назначения и натурально-вещественных признаков основные производственные фонды в учете и отчетности подразделяются на следующие виды: здания, сооружения, передаточные устройства; машины и оборудование, транспортные средства, инструмент, производственный инвентарь и принадлежности, хозяйственный инвентарь, рабочий и продуктивный скот, многолетние насаждения и другие, не перечисленные выше виды основных фондов (библиотечные фонды, музейные экспонаты, капитальные затраты в арендованные основные фонды, учитываемые на балансе арендатора).
Соотношение (удельный вес) отдельных видов основных фондов в их общей стоимости образует видовую структуру основных фондов.
Таблица 10 - Видовая структура основных средств в 2008 г.
| Наименование |
Наличие на начало года |
Наличие на конец года |
Структурные сдвиги,
пунктов
|
| тыс. руб. |
процент к итогу |
тыс. руб. |
процент к итогу |
| Здания |
22149 |
61,2% |
22142 |
61,1% |
-0,1 |
| Сооружения |
3210 |
8,9% |
3210 |
8,9% |
0 |
| Машины и оборудование |
9600 |
26,5% |
9643 |
26,6% |
+0,1 |
| Транспортные средства |
1168 |
3,2% |
1168 |
3,2% |
0 |
| Производственный и хозяйственный инвентарь |
26 |
0,1% |
20 |
0,1% |
0 |
| Другие не перечисленные выше виды основных средств |
20 |
0,1% |
20 |
0,1% |
0 |
| Всего |
36173
|
100,0%
|
36203
|
100,0%
|
0
|
За год основные фонды выросли на 30 тыс. руб., или на 0,1%, в том числе наблюдается рост стоимости машин и оборудования на 0,4%, снижение стоимости зданий, производственного и хозяйственного инвентаря на 23,1%.
При этом структура основных практически не изменилась за год. Только лишь наблюдаются сокращение удельного веса стоимости зданий в общей стоимости основных фондов на 0,1процентный пункт, увеличение удельного веса стоимости машин и оборудования на 0,1 процентных пункта. Таким образом, наблюдается рост удельного веса активной части основных фондов (в том числе машин и оборудования) и снижение доли пассивной части фондов (в том числе стоимости зданий).
Для практических целей основные фонды подразделяются на две укрупненные группы: активную и пассивную часть фондов. К активным фондам относятся рабочие и силовые машины и оборудование, а также любые средства труда, воздействующие на предмет труда или контролирующие процесс производства, — измерительные и регулирующие устройства и приборы, производственный инструмент, транспортные средства, отдельные виды сооружений. Все остальное к пассивным.[5]
Таблица 11 – Видовая структура основных фондов
| Вид основных фондов |
Стоимость на начало года |
Доля в общей стоимости ОС |
Стоимость на конец года |
Доля в общей стоимости ОС |
Темп роста стоимости, % |
Изменение доли,
%-ные пункты
|
| Активная часть
|
10794
|
29,8
|
10831
|
29,9
|
100,3
|
+0,1
|
| Машины и оборудование |
9600 |
26,5% |
9643 |
26,6% |
100,4 |
+0,1 |
| Транспортные средства |
1168 |
3,2% |
1168 |
3,2% |
100 |
0 |
| Производственный и хозяйственный инвентарь |
26 |
0,1% |
20 |
0,1% |
76,9 |
0 |
| Пассивная часть
|
25359
|
70,1
|
25352
|
70,0
|
99,97
|
-0,1
|
| Здания |
22149 |
61,2% |
22142 |
61,1% |
99,97 |
-0,1 |
| Сооружения |
3210 |
8,9% |
3210 |
8,9% |
100 |
0 |
| Другие не перечисленные выше виды основных средств
|
20
|
0,1%
|
20
|
0,1%
|
0
|
0
|
| ИТОГО
|
36173
|
100,0%
|
36203
|
100,0%
|
100,0
|
0
|
Стоимость активной части основных фондов на конец года возросла на 0,3% по сравнению со стоимостью на начало года, при этом ее доля в общей стоимости основных фондов возросла на 0,1 процентных пункта.
Рассчитаем показатели, характеризующие движение отдельных видов и всех основных средств предприятия.
Рассчитаем стоимость введенных объектов основных фондов в течение года:
ФВ
= т.р.
Рассчитаем стоимость ликвидированных объектов основных фондов в течение года:
ФЛ
= т.р.
Коэффициент выбытия основных средств вычисляется по формуле:
 где К выб- коэффициент выбытия основных средств;
С выб - суммарная стоимость выбывших в течение года основных средств;
С нг - первоначальная стоимость основных средств на начало года.
Определим коэффициент выбытия:

Коэффициент обновления основных фондов рассчитывается по формуле:
 где К обн - коэффициент обновления основных средств;
С введ - суммарная стоимость введенных за год основных средств;
С кг - первоначальная стоимость основных средств на конец года.
Определим коэффициент обновления:

Основные фонды обновляются быстрее, чем выбывают, т.е. не успевают устаревать.
В таблице 12 представлен анализ абсолютного и относительного изменения стоимости основных средств.
Таблица 12 - Показатели, характеризующие движение основных средств в 2008 г.
| Показатель |
Условное обозначение |
Методика расчета |
Группы основных средств |
| здания |
соору-жения |
Машины и
оборуд-е
|
Транспортные средства |
Произв. и хоз. инвентарь |
Другие ОС |
| 1. Наличие на начало года, тыс. руб. |
ОСнг
|
22149 |
3210 |
9600 |
1168 |
26 |
20 |
| 2. Поступило, тыс. руб. |
ОСввед
|
150 |
| 2.1 в том числе новых, тыс.руб. |
ОСнов
|
83 |
| 3. Выбыло, тыс.руб. |
ОСвыб
|
7 |
107 |
6 |
| 3.1.в том числе списано, тыс. руб. |
ОСспис
|
7 |
74 |
6 |
4. Наличие на конец
года, тыс.руб.
|
ОСкг
|
стр.1+стр.2-стр.3 |
22142 |
3210 |
9643 |
1168 |
20 |
20 |
| 5. Коэффициент ввода, % |
Кввода
|
(стр.2:стр.4)∙
100 |
- |
- |
1,6 |
- |
- |
- |
6. Коэффициент
обновления, %
|
Кобн.
|
(стр.2.1:стр.4) ∙
100 |
- |
- |
0,9 |
- |
- |
- |
7. Коэффициент
выбытия, %
|
Квыб.
|
(стр.3:стр.1) ∙
100 |
0,03 |
- |
1,1 |
- |
23,1 |
- |
8. Коэффициент
ликвидации, %
|
Кликв. |
(стр.3.1:стр.1) ∙
100 |
0,03 |
- |
0,8 |
- |
23,1 |
- |
9. Абсолютное
изменение, тыс. руб.
|
∆ОС |
стр. 4-стр.1 |
-7 |
0 |
+43 |
0 |
-6 |
0 |
| 10. Темп изменения, % |
∆Т |
(стр.4:стр.1)∙
100-100 |
-0,03 |
0 |
+0,4 |
0 |
-23,1 |
0 |
Расчет среднегодовой стоимости основных средств выполним по формуле средней хронологической, используя данные таблицы 13.
Таблица 13 - Расчет среднегодовой стоимости основных средств, тыс. руб.
| Дата |
Здания |
Сооружения |
Машины и
оборуд-е
|
Транспортные средства |
Произв. и хоз. инвентарь |
Другие ОС |
Всего |
| 1 января |
| 1 февраля |
| 1 марта |
| 1 апреля |
| 1 мая |
| 1 июня |
| 1 июля |
| 1августа |
| 1 сентября |
| 1 октября |
| 1 ноября |
| 1 декабря |
| 1января следующего года |
| В среднем за год |

Рисунок 3 – Структура основных средств на начало и конец года
Задача 4
Таблица 13 – Распределение населения области по среднедушевому денежному доходу
| Среднедушевой доход, рублей |
2003, III |
| До 1000 |
1,6 |
| 1000 – 1500 |
5,3 |
| 1500 - 2000 |
8,7 |
| 2000 – 3000 |
21,0 |
| 3000 – 4000 |
18,7 |
| 4000 - 4500 |
7,5 |
| 4500 – 5000 |
6,4 |
| 5000 и более |
30,8 |
| Величина прожиточного минимума (в среднем на душу населения в месяц), рублей |
2371 |
Определить:
· среднедушевой денежный доход; модельный доход; медианный доход;
· соотношение среднедушевого дохода и величины прожиточного минимума.
Графически изобразить распределение населения по размеру среднедушевого дохода.
Решение
Среднедушевой доход в интервальном ряду распределения рекомендуется определять по формуле средней арифметической взвешенной.
Определим среднедушевой доход (табл. 14).
Таблица 14 – Расчет среднедушевого денежного дохода
Среднедушевой доход, рублей
|
Среднее значение
Х
|
Распределение населения области по среднедушевому денежному доходу, %
f
|
x * f |
| А |
1 |
2 |
3 |
| До 1000 |
750 |
1,6 |
12 |
| 1000 – 1500 |
1250 |
5,3 |
66,25 |
| 1500 - 2000 |
1750 |
8,7 |
152,25 |
| 2000 – 3000 |
2500 |
21,0 |
525 |
| 3000 – 4000 |
3500 |
18,7 |
654,5 |
| 4000 - 4500 |
4250 |
7,5 |
318,75 |
| 4500 – 5000 |
4750 |
6,4 |
304 |
| 5000 и более |
5250 |
30,8 |
1617 |
| Всего |
3649,8 |
Среднедушевой денежный доход населения области во II квартале 2003 года составил 3649 руб. 80 коп.
Модальный доход (Мо)
– это уровень дохода, встречающийся наиболее часто среди населения (имеющий наибольшую частоту).
Модальный доход рекомендуется рассчитать по формуле:
(12)
где XMo
– нижняя граница модального интервала. Модальным называется
интервал, имеющий наибольшую частоту;
i- величина модального интервала;
dMo
– частота модального интервала;
dMo
-1
– частота интервала, предшествующего модальному;
dMo
+1
– частота интервала, следующего за модальным.
Определим модальный доход:
Наибольшую частоту имеет население со среднедушевым денежным доходом от 2000 до 3000 руб.
2842,46 руб.
Наиболее распространенный среднедушевой доход характеризуется средней величиной 2842,46 руб.
Медианный доход (Ме
)
– это уровень дохода, делящий совокупность на две равные части: половина населения имеет среднедушевой доход, не превышающий медианный, а другая половина – доход не меньше медианного.
Медианный доход рассчитывают по формуле:
(13)
где XMe
– нижняя граница медианного интервала. Медианным называется первый интервал, накопленная частота которого превышает половину общей суммы частот;
i- величина медианного интервала;
FMe
-1
– накопленная частота интервала, предшествующего медианному;
fMe
– частота медианного интервала.
Определим медианный доход. Медианным интервалом является интервал 3000 – 4000 тыс. руб., так как именно в этом интервале накопленная частота Sj
= 55,3 впервые превышает величину, равную половине численности единиц совокупности
руб.
В рассматриваемой совокупности населения половина населения области имеют в среднем среднедушевой доход не более 4550,80 руб., а другая половина – не менее 4550,80 руб.
Определим соотношение среднедушевого дохода и прожиточного минимума:
3649,80 / 2371 = 1,54.
Таким образом, среднедушевой денежный доход населения во втором квартале 2003 года превысил прожиточный минимум в 1,54 раза и составил 3649,80 рублей.
На рисунке 4 представлено распределение населения по размеру среднедушевого дохода.

Рисунок 4 – Структура денежных доходов населения области во 2 квартале 2003 года
Задача 5
Таблица 15 – Распределение общего объема денежных доходов населения области
| Показатель |
3 кв. 2003 года |
Денежные доходы,
в том числе по 20-процентным группам населения
|
100,0 |
| Первая (с наименьшими доходами) |
7,2 |
| Вторая |
12,1 |
| Третья |
16,7 |
| Четвертая |
23,1 |
| Пятая (с наивысшими доходами) |
40,9 |
1. Построить кривую Лоренца.
2. Определите коэффициент концентрации доходов (индекс Джини).
Решение
Кривая Лоренца — кривая, которая показывает, какую часть совокупного денежного дохода страны получает каждая доля низкодоходных и высокодоходных семей, то есть отражает в процентах распределение дохода между семьями с разным достатком.[6]

Рисунок 5 – Кривая Лоренца
Индекс Джини рассчитывают по следующей формуле:
, (14)
где: - доля населения i
-той социальной группы в общей численности населения;
- доля доходов, сосредоточенная в i
-той социальной группе населения;
- кумулятивная доля дохода (доля доходов нарастающим итогом);
n
– число социальных групп.
Для расчета этих показателей и построения кривой используем рабочую таблицу.
Таблица 16 - Распределение населения по численности и суммарному доходу
| Социальная группа |
Доля населения, dх
|
Доля денежных доходов в общем объеме, dy
|
Расчетные показатели |
| доля доходов нарастающим итогом, dy
H
|
dх
dy
|
dх
dy
H
|
| Первая |
0,2 |
0,072 |
0,072 |
0,0144 |
0,0144 |
| Вторая |
0,2 |
0,121 |
0,193 |
0,0242 |
0,0386 |
| Третья |
0,2 |
0,167 |
0,360 |
0,0334 |
0,072 |
| Четвертая |
0,2 |
0,231 |
0,591 |
0,0462 |
0,1182 |
| Пятая |
0,2 |
0,409 |
1,00 |
0,0818 |
0,2000 |
| Итого |
1,0 |
1,000 |
х |
0,2000 |
0,4432 |
Индекс Джини рассчитаем по формуле (14):
.
Индекс концентрации доход составляет 0,3136, т.е. небольшое расслоение между доходами населения области.
Задача 6
По данным о денежных доходах и расходах населения рассчитайте:
1. прирост денег на руках у населения (превышение денежных доходов над расходами);
2. располагаемые денежные доходы населения;
3. реальные денежные доходы;
4. удельный вес (долю) расходов на оплату обязательных платежей и взносов в денежных доходах населения;
5. реальные располагаемые денежные доходы населения;
6. уровень инфляции по годам в сравнении с 1995 годом.
Таблица 17 – Денежные доходы и расходы населения Архангельской области
| Показатель |
1996 |
| Денежные доходы, млрд. руб. |
12195,7 |
| Денежные расходы и сбережения |
8817,7 |
| в том числе обязательные платежи и взносы |
764,3 |
| Индекс потребительских цен |
117,9 |
Прирост денег на руках у населения определяется как разность между денежными доходами (ДД
) и денежными расходами (ДР
).
Рассчитаем прирост денег на руках у населения:
12195,7 – 8817,7 = 3378 млрд. руб.
Располагаемые доходы (РаспДД
) определяются путем вычитания из номинальной суммы доходов суммы обязательных платежей и взносов (ОПиВ
).
РаспДД = ДД – ОПиВ
Определим располагаемые денежные доходы населения:
РаспДД = 12195,7 – 764,3 =11431,4 млрд. руб.
Расчет показателей в реальном выражении осуществляется делением соответствующих показателей текущего периода на индекс потребительских цен (ИПЦ), выраженный в коэффициентах.

Рассчитываем реальные денежные доходы:
РеалДД = 12195,7 / 1,179 = 10344,10 млрд. руб.
Рассчитываем реальные денежные доходы:
РеалДР = 8817,7 / 1,179 = 7478,96 млрд. руб.
Удельный вес расходов на оплату обязательных платежей и взносов (УдОПиВ) в денежных доходах населения:
УдОПиВ = ОПиВ / ДД
УдОПиВ = 764,3 / 12195,7 * 100% = 6,27%.
Реальный располагаемый доход домашних хозяйств (РеалРаспДД
) отражает максимальную стоимость товаров и услуг, которые могли бы приобрести домашние хозяйства на свои текущие доходы исходя из цен базисного периода, не прибегая к реализации накопленных финансовых или нефинансовых активов и не увеличивая свои финансовые обязательства.

Определяем реальные располагаемые денежные доходы населения:
РеалРаспДД = 11431,4 / 1,179 = 9695,84 млрд. руб.
Уровень инфляции (Уинф
) за период определяется как темп прироста цен за этот период, т.е. Уинф
= ИПЦ – 100 %.
Тогда уровень инфляции составит 117,9 – 100 = 17,9%.
Таким образом, в 1996 году прирост денег на руках у населения составил 3378 млрд. руб. Располагаемые денежные доходы в анализируемом периоде составили 11431,4 млрд. руб. Реальные денежные доходы в 1996 году составили 10344,1 млрд. руб., а расходы – 7478,96 млрд. руб. При чем расходы на оплату обязательных платежей и взносов составляют 6,72% от денежных доходов населения. Максимальная стоимость товаров и услуг, которые могли бы приобрести домашние хозяйства на свои текущие доходы исходя из цен 1995 года, не прибегая к реализации накопленных финансовых или нефинансовых активов и не увеличивая свои финансовые обязательства, составляет 9695,84 млрд. руб. (это реальные располагаемые денежные доходы населения). Уровень инфляции в 1996 году по сравнению с 1995 составил 17,9%.
[1]
Методологические положения по статистике. Вып. 1, Госкомстат России. - М., 1996.
[2]
Не та цифра / Елизавета Сурначева // Полит.ру. – 01.02.2009. - http://www.polit.ru/analytics/2008/03/27/rosstat.html
[3]
http://rosprofsouz.ru/interest/58248/58255/index.html
[4]
Постановление Госкомстата РФ от 04.08.2003 № 72 "Об утверждении порядка заполнения сведений о численности работников и использовании рабочего времени в формах федерального государственного статистического наблюдения"
[5]
Основные промышленно-производственные фонды / А.С. Паламарчук // Справочник экономиста. – 2007. - № 8.
[6]
Экономический словарь. Под ред. А.И.Архипова. – М.: ТК "Велби", издательство "Проспект", 2004 г.
|