| Міністерство освіти та науки України
Кафедра менеджменту
Розробка антикризової стратегії великого машинобудівного підприємства на основі створення технопарку
ПОЯСНЮВАЛЬНА ЗАПИСКА
АННОТАЦИЯ
Дипломная работа 154 листа, 7 таблиц, 12 рисунков, 46 источников.
В первом разделе рассматриваются теоретические основы и практические аспекты организации процесса стратегического управления предприятием. Рассмотрены вопросы формирования портфеля стратегий предприятия и организации процесса стратегического управления. Представлена организационная структура отдела стратегических исследований и развития, разработанная на основе анализа опыта организации стратегического управления предприятием.
Во втором разделе проведен ситуационный анализ деятельности базового предприятия. Рассмотрены программы и основные мероприятия по реализации стратегии базового предприятия. Проанализирована динамика основных технико-экономических показателей деятельности предприятия за последние четыре года. Проведен анализ влияния факторов внешней и внутренней среды на конкурентные преимущества предприятия. Рассмотрены основные составляющие стратегии базового предприятия в текущий период.
В третьем разделе представлены некоторые пути развития базового предприятия в период до 2010 года. Рассмотрены вопросы создания технопарка на основе предприятия, сформулированы основные концепции создания и деятельности технопарка, основанные на анализе мирового опыта и отечественного законодательства. Проведен анализ целесообразности и принципы создания вузовско - промышленного центра на базе ДГМА и НКМЗ. На основе анализа опыта ведущих промышленных корпораций мира предложены пути повышения гибкости и развития некоторых систем и процессов предприятия, направленные на создание высокоорганизованного производства и обеспечение успешной реализации стратегии развития предприятия до 2010 года.
СОДЕРЖАНИЕ
Введение
1 Стратегическое управление как инструмент достижения устойчивого развития предприятия в условиях высокой изменчивости среды
1.1 Современные подходы к формированию антикризисной стратегии промышленного предприятия
1.2 Раннее обнаружение «слабых сигналов» о возможных исходных экономических явлениях механизма кризисного состояния предприятия
Забиваем Сайты В ТОП КУВАЛДОЙ - Уникальные возможности от SeoHammer
Каждая ссылка анализируется по трем пакетам оценки: SEO, Трафик и SMM.
SeoHammer делает продвижение сайта прозрачным и простым занятием.
Ссылки, вечные ссылки, статьи, упоминания, пресс-релизы - используйте по максимуму потенциал SeoHammer для продвижения вашего сайта.
Что умеет делать SeoHammer
— Продвижение в один клик, интеллектуальный подбор запросов, покупка самых лучших ссылок с высокой степенью качества у лучших бирж ссылок.
— Регулярная проверка качества ссылок по более чем 100 показателям и ежедневный пересчет показателей качества проекта.
— Все известные форматы ссылок: арендные ссылки, вечные ссылки, публикации (упоминания, мнения, отзывы, статьи, пресс-релизы).
— SeoHammer покажет, где рост или падение, а также запросы, на которые нужно обратить внимание.
SeoHammer еще предоставляет технологию Буст, она ускоряет продвижение в десятки раз,
а первые результаты появляются уже в течение первых 7 дней.
Зарегистрироваться и Начать продвижение
1.3 Отдел стратегических исследований и развития как основной элемент системы стратегического управления предприятием
2 Ситуационный анализ деятельности базового предприятия
2.1 Анализ программ реализации стратегии предприятия в 2004-2007 годах
2.2 Анализ основных технико-экономических показателей деятельности базового предприятия
2.3 Анализ факторов внешней среды, влияющих на конкурентные преимущества предприятия
2.4 Основные составляющие стратегии базового предприятия
3 Разработка и обоснование некоторых путей развития базового предприятия в рамках стратегии развития АО НКМЗ до 2010 года
3.1 Создание технопарка на базе ЗАО НКМЗ как инструмент повышения конкурентоспособности предприятия за счёт увеличения наукоёмкости выпускаемой продукции и внутренней эффективности производства
3.2 Создание вузовско - промышленного центра ЗАО НКМЗ – ДГМА с целью совершенствования системы поиска, разработки и коммерциализации инновационных научно-технических идей
3.3 Создание высокоорганизованного производства как залог успеха предприятия в реализации стратегии развития
4 Охрана труда
Заключение
Список литературы
Приложение А
ВВЕДЕНИЕ
В условиях перехода внешнего окружения на новый уровень изменчивости, характеризующийся высокой степенью неопределенности результатов стратегических и тактических решений, адекватным образом необходимо преобразовывать стратегические позиции предприятия. Только путём своевременного выявления и устранения разрывов в стратегической активности и потенциальных возможностях предприятия можно удержать позиции предприятия в конкурентной борьбе, обеспечить его жизнеспособность в условиях рыночной экономики. Как свидетельствует практика, именно управление является наиболее слабым звеном в хозяйственном механизме многих промышленных предприятий, и в то же время именно этим вопросам не уделяется должного внимания. Практический опыт показывает, что экономический кризис в Украине - это в первую очередь кризис управления, поэтому необходимы серьезные структурные изменения качественного характера в управленческой среде.
В связи с этим внедрение стратегического менеджмента в системы управления отечественными предприятиями– это не механический процесс перенесения зарубежного опыта, а творческий поиск новых, соответствующих нашим реалиям, конкретных мер. При этом необходимо обеспечить поэтапный подход к подтягиванию системы управления отечественными предприятиями до современного уровня, не допуская игнорирования ключевых положений, выработанных зарубежными системами управления в процессе их эволюционного развития, и одновременно, с учётом фактора кризиса времени, тщательно отбирать и использовать только то, что необходимо для последовательного приведения в соответствие долгосрочной стратегии и потенциала предприятия, его потребностей и возможностей в условиях быстро меняющейся конъюнктуры рынка. Реализация этой задачи на предприятиях Украины приобретает в силу их значительной специфики особую сложность и актуальность.
Сервис онлайн-записи на собственном Telegram-боте
Попробуйте сервис онлайн-записи VisitTime на основе вашего собственного Telegram-бота:
— Разгрузит мастера, специалиста или компанию;
— Позволит гибко управлять расписанием и загрузкой;
— Разошлет оповещения о новых услугах или акциях;
— Позволит принять оплату на карту/кошелек/счет;
— Позволит записываться на групповые и персональные посещения;
— Поможет получить от клиента отзывы о визите к вам;
— Включает в себя сервис чаевых.
Для новых пользователей первый месяц бесплатно.
Зарегистрироваться в сервисе
Специалисты Ново-Краматорского машиностроительного завода с целью решения данной задачи пошли путём ускоренного эволюционного развития. Ускоренное эволюционное развитие предполагает сокращение длительности прохождения предприятием этапов развития, основанных на внедрении систем всеобщего управления качеством, управления знаниями, развитии предприятия до уровня организации мирового класса.
В тоже время достижение данных стратегических целей в период до 2010 года без адекватной реакции на изменение условий внешней среды и применения передового зарубежного опыта невозможно.
При возрастании наукоёмкости выпускаемой машиностроительной продукции и усилении конкурентной борьбы наиболее важным направлением развития предприятия является развитие его научно-технического потенциала. Признанным способом его повышения является создание научно-производственных инновационных структур, интеграция научного и промышленного потенциала региона или страны. Сложность формирования подобных структур заключается в различии подходов и способов объединения научного и промышленного потенциалов, отсутствие единой организационной базы, недостаточность комплексности и специфичность законодательной базы Украины по инновационным структурам.
Поэтому данная работа, включающая в себя вопросы формирования портфеля стратегий предприятия, реагирования на слабые сигналы, практической организации процесса стратегического управления предприятием, затрагивающая практические аспекты создания вузовско-промышленного центра на базе научного потенциала ДГМА и высокоорганизованного производства НКМЗ, а также рассматривающая практические аспекты, оценку необходимости и основные принципы создания технологического парка на основе Ново-Краматорского машиностроительного завода, является актуальной.
1 СТРАТЕГИЧЕСКОЕ УПРАВЛЕНИЕ КАК ИНСТРУМЕНТ ДОСТИЖЕНИЯ УСТОЙЧИВОГО РАЗВИТИЯ ПРЕДПРИЯТИЯ В УСЛОВИЯХ ВЫСОКОЙ ИЗМЕНЧИВОСТИ ВНЕШНЕЙ СРЕДЫ
1.1 Современные подходы к формированию антикризисной стратегии промышленного предприятия
Понятие стратегии взято из военного лексикона, где оно обозначает планирование и проведение в жизнь политики страны или долгосрочных военных действий воинских подразделений с использованием всех доступных средств. Под стратегией в менеджменте понимают набор правил и приемов для принятия решений, которыми организация руководствуется в своей деятельности.
Стратегия – это обобщающая модель действий, необходимых для достижения поставленных целей путём координации и распределения ресурсов предприятия. Понятие стратегии тесно связано с понятием стратегического управления.
Стратегическое управление – это процесс принятия и осуществления стратегических решений, центральным звеном которого является стратегический выбор, основанный на сопоставлении собственного ресурсного потенциала с возможностями и угрозами внешнего окружения, в котором оно действует. Стратегию можно рассматривать как основное связующее звено между тем, что организация хочет достичь – её целями, и линией поведения, выбранной для достижения этих целей. Стратегия должна стать «нитью времени», связывающей прошлое и будущее, одновременно обозначившей путь к развитию. В самом общем виде стратегия может быть определена как эффективная деловая концепция, дополненная набором реальных действий, который способен привести эту деловую концепцию к достижению реального конкурентного преимущества, способного сохраняться длительное время. Разработка стратегии должна основываться на глубоком понимании рынка, оценке позиции предприятия на рынке, осознании своих конкурентных преимуществ. Основной задачей стратегии является определение такой модели действий и направления деятельности, которые позволили бы предприятию достичь долговременных конкурентных преимуществ и развивать свою деятельность при постоянно изменяющихся условиях внешней среды. При этом формулировка стратегии подлежит изменениям в соответствии с изменением внутренних и внешних факторов, что является одним из требований стратегического управления. Для определения места стратегии в цикле стратегического управления необходимо знать, что процесс стратегического управления состоит из пяти взаимосвязанных этапов:
1) определение бизнеса и миссии организации;
2) разработка долгосрочных и краткосрочных целей;
3) разработка стратегии предприятия;
4) реализация стратегии;
5) оценка эффективности стратегии и коррекция предшествующих этапов.
В стратегическом управлении выделяются четыре уровня стратегии организации:
· корпоративный – он присутствует в организациях, действующих в нескольких сферах бизнеса. На этом уровне принимаются решения о покупке, продаже, ликвидации или перепрофилировании сфер бизнеса, рассчитываются стратегические соответствия между сферами бизнеса, распределяются ресурсы организации между сферами бизнеса;
· сферы бизнеса – уровень первых руководителей подразделений сфер бизнеса и руководителей не диверсифицированных предприятий. Целью разработки стратегии на данном уровне является повышение конкурентоспособности предприятия и его конкурентного статуса;
· функциональный уровень – уровень руководителей функциональных служб предприятия, занимающихся маркетинговой деятельностью, НИОКР, материально-техническим снабжением, организацией производства, персоналом, сбытом, финансами, планированием и др.;
· линейный – уровень руководителей подразделений предприятия или представительств. На этом уровне принимаются оперативные решения в процессе стратегических изменений среды.
В теории стратегического управления весь набор стратегий классифицируется по следующим основным признакам:
- принадлежность к пяти основополагающим стратегиям достижения конкурентных преимуществ, то есть к общим стратегиям Портера;
- принадлежность к стратегиям достижения поставленных целей путем координации и распределения ресурсов предприятия, то есть деловые стратегии;
- принадлежность к стратегиям, применяемым в зависимости от внешних и внутренних условий и разрабатываемым функциональными отделами предприятия, то есть к функциональным стратегиям;
- принадлежность к стратегиям, связанным с конкретизацией стратегических действий, то есть к оперативным стратегиям.
Общие стратегии Портера
Общие стратегии Портера предполагают, что предприятие, которое хочет создать себе конкурентные преимущества, должно сделать выбор одной или нескольких из базовых стратегий. Конкурентные преимущества не являются постоянными, они завоёвываются и удерживаются только при постоянном совершенствовании всех сфер деятельности. В современном периоде возрастает необходимость дополнения основных общих стратегий Портера дополнительными, также позволяющими предприятию эффективно конкурировать на рынке- стратегии инноваций, оперативного реагирования и синергизма. Общие стратегии на современном этапе развития стратегического управления могут быть следующие:
1 стратегия лидерства в издержках направлена на достижение конкурентных преимуществ за счет относительно низких затрат на некоторые важные элементы продукции и более низкой себестоимости по сравнению с конкурентами. Стремление быть производителем с наименьшими в отрасли издержками представляет собой эффективный способ конкуренции на рынках, где большинство покупателей чувствительны к ценам. Для осуществления данной стратегии необходимо наличие таких рыночных условий, как эластичность спроса по цене, однородность продукции, наличие доступа к источникам снижения себестоимости продукции и другие. В тоже время существуют риски, связанные с осуществлением стратегии лидерства в издержках. К ним можно отнести увлечение производством одного товара при отсутствии обновления продукции, появление технологий, которые сводят на нет преимущество в издержках; инфляционный рост издержек, что уменьшает целесообразность снижения себестоимости, появление более совершенных товаров, увеличение чувствительности покупателей к качеству продукции и другие.
При осуществлении данной стратегии особое внимание отводится контролю затрат, повышению эффективности производства и экономии всех видов ресурсов путём увеличения масштаба производства, обучения персонала, смены технологий, рационализации конструкции изделия и др.. Осуществление стратегии требует от предприятия оптимальности производства и захвата определенной доли рынка.
Считается, что предприятие, использующее данную стратегию, получает такие выгоды, как возможность вести наступательную ценовую конкуренцию и увеличивать долю рынка, лучшая защита от диктата крупных поставщиков и потребителей, а также от товаров-заменителей.
2 Стратегия дифференциации продукции направлена на изготовление особой продукции, являющейся модификацией стандартного изделия. Такая продукция предназначена для потребителей, которых не устраивает стандартная продукция, что обуславливает их готовность платить за уникальность дифференцированной продукции.
Стратегия дифференциации основана на производстве обширной номенклатуры товаров одного функционального назначения и позволяет предприятию удовлетворять потребности большого числа потребителей.
Для осуществления стратегии дифференциации необходимы такие рыночные условия, как наличие множества отличительных характеристик продукции, которые выделяются и ценятся покупателями, преобладание неценовой конкуренции и недоступность имитации конкурентами признаков дифференциации.
При осуществлении стратегии могут возникать такие риски, как неправильное определение ценности отдельных свойств продукции для покупателей, имитация продукции конкурентами, возможность снижения потребности покупателей в дифференцированной продукции.
При использовании стратегии предприятие получает выгоды за счёт увеличения объёма продаж данной продукции путем удовлетворения потребителей различных сегментов рынка. При дифференциации продукции её себестоимость повышается, но затраты компенсируются за счет более высоких цен. Дифференциация продукции позволяет уклониться от ценовой конкуренции, разойтись с конкурентами по разным рыночным сегментам.
3 Стратегия фокусирования предполагает выбор ограниченной по масштабам сферы хозяйственной деятельности с резко очерченным кругом потребителей. Деятельность концентрируется относительно небольшой целевой группы потребителей, на части товарного ассортимента, каком - либо аспекте деятельности. Причиной выбора такой стратегии часто является отсутствие ресурсов, однако более важная причина – усиление барьеров входа на рынок. Поэтому этой стратегией часто пользуются небольшие предприятия. Выделяют два направления фокусирования: в пределах выбранного сегмента фирма старается достичь преимущества в издержках, либо усиливает дифференциацию продукции.
Для осуществления стратегии фокусирования необходимы такие рыночные условия как разнообразие потребностей покупателей в данном товаре, наличие узких сегментов для концентрирования деятельности, наличие определенной прибыльности и потенциала роста сегмента, значительные входные барьеры и ограниченность ресурсов предприятия.
Однако существуют риски при осуществлении фокусирования, связанные с увеличением привлекательности узкого сегмента для конкурентов, резким увеличением различия в ценах специализированных предприятий и предприятий, работающих на всем рынке (что влечёт за собой отказ потребителей от преимуществ специализированных товаров), сокращением различия между потребностями целевого сегмента и всего рынка, повышением уровня специализации конкурентов.
В качестве выгод от использования стратегии фокусирования может быть уход от прямой конкуренции с предприятиями, осуществляющими стратегию лидерства в издержках или стратегию дифференциации, возможность быстрой переориентации с одного узкого сегмента на другой или же возможность создания конкурентных преимуществ за счёт удовлетворения ограниченного круга потребителей при использовании небольшого количества ресурсов.
4 Стратегия инноваций (первопроходца) предполагает приобретение конкурентных преимуществ с помощью создания принципиально новых технологий или удовлетворения существующих потребностей (осознанных или неосознанных) новым способом.
Стратегия инноваций означает, что фирма предлагает на рынок новую оригинальную продукцию. Для осуществления этой стратегии необходимо отсутствие аналогов продукции на рынке и наличие потенциального спроса на предлагаемые новинки.
На предприятия, осуществляющие эту стратегию, могут воздействовать риски и опасности, связанные с большими затратами на создание новинок, опасностью имитации или быстрого освоения аналогичной продукции фирмами-конкурентами, неготовностью рынка воспринимать предлагаемые новинки, отсутствием каналов распределения новой продукции или же не конкурентоспособностью новинки.
Основная выгода стратегии состоит в получении большого размера прибыли от реализации проектов.
5 Стратегия оперативного реагирования предполагает достижение успеха посредством быстрого реагирования на изменения во внешней среде. Предприятие, осуществляющее данную стратегию, получает конкурентные преимущества в связи с временным отсутствием конкурентов на рынке новой или модифицированной продукции.
К рыночным условиям, обуславливающим выбор этой стратегии, относятся наличие перестраиваемой технологии производства, необходимость времени для приспособления выпускаемой продукции к новым потребностям рынка, отставание конкурентов и другие.
При осуществлении стратегии возникает риск исчезновения предпосылок для её применения.
Выгода от использования стратегии заключается в получении дополнительной прибыли в связи с временным отсутствием товаров конкурентов на рынке, что обуславливает приобретение предприятием статуса монопольного производителя.
6 Стратегия синергизма заключается в получении конкурентных преимуществ за счёт соединения хозяйственных подразделений в одну портфельную единицу. Эффективность деятельности повышается за счёт совместного использования ресурсов, инфраструктуры или сфер деятельности предприятия. Эффект от проведения данной стратегии можно объяснить выражением «2+2>4», то есть взаимодействие двух подразделений даёт больший эффект, чем может дать каждое подразделение при не взаимосвязанной деятельности. В настоящее время осуществление данной стратегии зачастую предполагает реинжиниринг бизнес-процессов на предприятии с целью их оптимизации и максимизации получаемых результатов.
Корпоративные (портфельные) стратегии
Корпоративные (портфельные) стратегии описывают общее направление роста предприятия. Они показывают, как управлять различными видами бизнеса, чтобы сбалансировать портфель продукции. Корпоративная стратегия включает:
- распределение ресурсов между хозяйственными подразделениями на основе портфельного анализа;
- решения о диверсификации производства с целью снижения хозяйственного риска и получения эффекта синергии;
- изменение структуры предприятия;
- решения о вертикальной или горизонтальной интеграции;
- единую стратегическую ориентацию подразделений.
Корпоративная стратегия может включать несколько основополагающих стратегий:
1) Стратегия диверсификации предполагает включение в портфель сфер бизнеса новых сфер посредством приобретения предприятий или подразделений, создания совместных предприятий, создания предприятий или подразделений.
Следствием диверсификации являются синергетические эффекты, проявляющиеся в снижении интегральных издержек, возникающие за счет общего использования ресурсов. Синергетические эффекты называются стратегическими соответствиями. Они определяются как сходные статьи затрат в структурах издержек различных предприятий, принадлежащих одному портфелю сфер бизнеса, которые могут трансформироваться друг в друга. Стратегические соответствия могут быть маркетинговыми, производственными и управленческими.
2) Стратегия откачки капитала и ликвидации применяется тогда, когда ранее привлекательная сфера бизнеса перестаёт приносить требуемую прибыль, и единственным правильным решением становится прекращение её деятельности в рамках портфеля, при этом возникает несколько возможностей: продать, ликвидировать или дождаться банкротства.
3) Стратегия изменения курса и реструктуризации (улучшения эффективности функционирования)
В зависимости от причин принятия стратегии могут иметь место такие подходы, как концентрирование на восстановлении прибыльности в убыточных сферах бизнеса, реализация стратегии «снятия урожая» в слабых сферах и направление в благополучные сферы высвобождаемых ресурсов, введение режима экономии во всех сферах, ревизия портфеля посредством продажи слабых и приобретения привлекательных сфер, смена высшего звена управления или же проведение мероприятий по повышению прибыльности. Стратегия реструктуризации предполагает осуществление радикальных изменений в портфеле.
Стратегия международной диверсификации предполагает функционирование диверсифицированного предприятия на множестве национальных рынков.
4) Стратегия глобализации предполагает продвижение на всех национальных рынках исключительно стандартизованной продукции.
Деловая стратегия
Деловая стратегия разрабатывается на уровне бизнес-единицы предприятия или его хозяйственного подразделения, работающего в определенной сфере бизнеса и на определенном товарном рынке. Деловая стратегия имеет гораздо более конкретный вид, чем корпоративная стратегия, и может быть представлена в виде программы её реализации. Деловая стратегия представляет, прежде всего стратегию развития, так как деятельность – это движение вперед. Деловая стратегия включает в себя ряд более конкретизированных составляющих:
1 Товарно-рыночная стратегия - состоит из товарной стратегии (номенклатурная и ассортиментная стратегия, стратегия обновления номенклатуры, изменения масштабов производства, стратегия качества продукции) и рыночной стратегии (стратегия выбора структуры рынка сбыта, стратегия рыночной экспансии, стратегия конкуренции на товарном рынке, стратегия ценообразования).
2 Ресурсно-рыночная стратегия – состоит из ресурсной стратегии (стратегия объёма запасов ресурсов, стратегия качества ресурсов и др.) и стратегии поведения на рынке ресурсов (выбор и оптимизация структуры поставщиков и объёмов поставок).
3 Технологическая стратегия – предполагает ориентацию на неизменную, развивающуюся или инновационную технологию производства, отсутствие стабильной технологии.
4 Интеграционная стратегия – предполагает осуществление горизонтальной, вертикальной или диагональной интеграции подразделений или реинтеграции подразделений.
5 Финансовая стратегия - предполагает выбор источников финансирования, стратегии привлечения, инвестирования и возврата средств
6 Социальная стратегия – стратегия дифференциации и организации сотрудничества работников, стратегия изменения численности работающих.
7 Стратегия управления – предполагает выбор типа управления, организационной структуры, типа применяемой руководством предприятия власти.
8 Стратегия экономической безопасности и управления риском – предполагает анализ участия предприятия в рисковых проектах, осуществление управления рисками на основе их анализа и оценки.
9 Стратегия маркетинга – предполагает использование маркетинга как принципа деятельности и метода достижения конкурентных преимуществ за счёт наиболее полного удовлетворения потребностей покупателей.
Функциональные стратегии
Функциональные стратегии разрабатываются функциональными службами предприятия на основе корпоративной и деловой стратегий.
При выбранной деловой стратегии определяются стратегии отделов, которые позволили бы каждому отделу в отдельности и всем отделам вместе действовать и координировать свои действия в направлении, определенном деловой стратегией или корпоративной стратегией.
Каждое функциональное подразделение должно ориентировать свою деятельность на эффективную реализацию целей всего предприятия. В общем случае выделяют следующие функциональные службы, которым рекомендуется разрабатывать стратегии: отдел маркетинга, конструкторские и технологические службы, отдел материально-технического снабжения, службы координации производства, отдел сбыта, финансовый отдел и некоторые другие, в зависимости от особенностей конкретного предприятия. Каждая служба разрабатывает свою стратегию, а затем все независимые функциональные стратегии взаимно увязываются с целью получения максимального синергетического эффекта.
Операционные стратегии являются ещё большей конкретизацией функциональных стратегий, путём составления их моделей осуществляется стратегическое управление операциями отдельных функций (запасы, технологии и т.п.).
Важным условием правильного использования стратегического управления в практической деятельности предприятия является формирование портфеля стратегий, отвечающего требованиям общей теории стратегического управления предприятием. В число этих требований входят такие, как установление четких взаимосвязей между различными уровнями стратегий, соблюдение иерархической подчиненности стратегий нижнего уровня стратегиям высшего, соответствие стратегий целям и возможностям предприятия, приведение портфеля стратегий в соответствие с требованиями условий внешней среды, использование отдельных стратегий только при наличии необходимых ресурсов и исходя из целесообразности.
Наиболее эффективным способом обеспечения целесообразного использования стратегического управления является формирование портфеля стратегий путём применения теоретического алгоритма.
Данная теоретическая концепция предполагает осуществление процесса стратегического управления поэтапно, с полной проработкой каждого этапа в отдельности, но без отрыва от логической цепи всего процесса.
Схема процесса стратегического управления на современном предприятии представлена на рисунке 1. В соответствии с предложенной схемой, формирование портфеля стратегий является лишь составной частью процесса стратегического управления, причем обязательным условием является разработка портфеля стратегий на основе миссии и целей фирмы, в соответствии с результатами анализа внешней среды, сильных и слабых сторон предприятия. Лишь при соблюдении данных условий использование стратегического управления предприятием может быть эффективным.
Следует отметить, что при формировании портфеля стратегий могут использоваться методы проектного менеджмента, позволяющие повысить прозрачность, наглядность и структурированность портфеля, а также обеспечить контроль реализации мероприятий в режиме реального времени.

Рисунок 1 - Процесс стратегического управления на современном промышленном предприятии
2.2 Раннее обнаружение «слабых сигналов» о возникновении исходных экономических явлений механизма кризисного состояния фирмы
Действие механизма возникновения кризисного состояния производственной системы вообще и фирмы, в частности, протекает во времени. В зависимости от интенсивности воздействия на фирму внешних и внутренних факторов период времени от исходного до завершающего явления может быть разным. Тем не менее, в любом случае успех стратегии антикризисного управления во многом зависит от того, удалось ли руководству фирмы своевременно обнаружить момент возникновения исходного явления, с которого начинается движение к кризисному (переломному) состоянию. Раннее обнаружение таких исходных явлений возможно лишь в том случае, если аналитические службы фирмы ведут постоянное слежение за множеством «сигналов», поступающих из внешней среды, а также сигналов о состоянии процессов, протекающих в самой фирме. Для краткости назовем их внешними и внутренними сигналами о возможных изменениях состояния фирмы.
Поддержание высокого уровня конкурентного преимущества по существу и является главной задачей антикризисного управления. Это вытекает из самого понятия КПФ как состояния, при котором все ресурсы фирмы используются настолько плодотворно, что фирма оказывается более прибыльной, чем ее ведущие конкуренты. Это одновременно означает, что фирма занимает прочное положение на рынке товаров и услуг, ее продукция конкурентоспособна и пользуется постоянным спросом. Она следит за изменениями конъюнктуры рынка, своевременно и эффективно отвечая на «вызовы» внешней среды.
Естественно, такое состояние предполагает и устойчивое финансовое положение фирмы, при котором потребности в финансовых ресурсах для текущего и, особенно, для стратегического, перспективного развития удовлетворяются полностью и главным образом за счет собственных средств. Это в свою очередь позволяет фирме своевременно обеспечивать себя и другими ресурсами: техническими, технологическими, кадровыми, пространственными, информационными и др.
Вместе с тем такое «лучезарное» состояние не может длиться вечно. КПФ, как и всякое явление, имеет определенный жизненный цикл, поскольку всякая производственная система в соответствии с закономерностью эквифинальности обладает предельными возможностями, ограничивающими ее дальнейшее существование в первоначальном виде определенным периодом времени. Следовательно, задачей руководства фирмы является определение наиболее рационального момента начала коренных преобразований, связанных с переходом в новое качественное состояние. Эти преобразования могут вылиться в диверсификацию производства, перевод капиталов в другую отрасль, преобразование организационно-правового статуса либо ликвидацию фирмы вообще и т. п. Конкурентное преимущество фирмы не может существовать вечно. Это объясняется постоянным изменением конъюнктуры рынка, изменениями параметров спроса, параметров факторов производства, моральным и физическим старением элементов стратегического потенциала фирмы. Ввиду того, что все эти изменения не наступают одновременно, уровни конкурентного преимущества фирмы в разные моменты времени будут различны. Продолжительность ЖЦКПФ для разных стран и разных фирм тоже будет различной. Однако можно с уверенностью сказать, что характер кривой для всех фирм будет одинаковым. Такой цикл называется традиционным. Графическое отображение традиционного цикла представлено на рисунке 2. Выделим этапы традиционного ЖЦКПФ. Кривая ЖЦКЛФ состоит из отдельных участков, каждый из которых описывает зависимость уровня конкурентного преимущества фирмы от условий, возникающих в тот или иной отрезок времени.
 |
    КПФ
Зарождение Ускорение Замедление Зрелость Спад
Время
Рисунок 2 - Жизненный цикл конкурентного преимущества фирмы (традиционный)
Могут быть обнаружены следующие этапы КПФ:
1) зарождение КПФ;
2) ускорение роста КПФ;
3) замедление роста КПФ;
4) зрелость КПФ;
5) спад (утрата) КПФ.
На каждом этапе имеются факторы, способствующие развитию кризиса фирмы. В данной работе мы остановимся только на наиболее значимых факторах, проявляющихся в слабых сигналах о возникновении изменения состояния фирмы.
Слежение за слабыми сигналами и поддержание нормального состояния КПФ на всех этапах ЖЦ является основой для квалифицированного решения о миссии фирмы и ее потенциале.
Таким образом, в развитии фирмы при любых обстоятельствах наступает резкий, крутой перелом, именуемый кризисом. Важно своевременно обнаружить начальное экономическое явление, сигнализирующее о том, что появились первые признаки возможного изменения существующего состояния фирмы. Поскольку и внешняя, и внутренняя среда фирмы динамичны, указанные исходные явления могут появляться практически в любой момент. Поэтому важнейшим принципом стратегического антикризисного управления является состояние постоянного ожидания сигналов о надвигающемся кризисе и немедленная реакция на эти сигналы.
Установить все возможные варианты сигналов практически невозможно, поскольку многообразие обстоятельств, формирующих состояние внешней и внутренней среды фирмы, учесть нельзя. Однако наиболее существенные источники и характер подобных сигналов могут быть определены. Предлагается «набор» таких сигналов, приведенный в приложении А( в таблицах 1 и 2).
Наиболее сложным в процессе антикризисного управления является выявление цепочек экономических явлений, возникающих после обнаружения того или иного сигнала, и выработка соответствующих решений, направленных либо на усиление положительных последствий, либо на ослабление угроз, обусловленных этими цепочками.
Подобные «цепочки», как говорилось выше, в большинстве случаев будут иметь вид сетей со сложными прямыми и обратными связями. В таких сетях должны быть найдены «узловые точки», за которыми устанавливается постоянное наблюдение; должна быть определена вероятность того или иного пути приближения фирмы к кризисному состоянию; должны быть определены варианты предотвращения, недопущения или выхода из кризисного состояния.
Важно увязать антикризисное управление с этапами жизненного цикла конкурентного преимущества фирмы. При этом следует иметь в виду, что жизненный цикл конкурентного преимущества и жизненный цикл фирмы - понятия разные. За время жизненного цикла фирмы может смениться несколько жизненных циклов ее конкурентного преимущества. Как видно из схемы, своевременное зарождение очередного цикла конкурентного преимущества позволяет (до определенного момента) поддерживать живучесть фирмы. Это происходит в случае своевременного обнаружения сигналов об угрозе утраты конкурентного преимущества фирмы и принятия адекватных мер противостояния этой угрозе. Эти меры, как правило, не выходят за рамки маркетинговой стратегии: своевременного снятия с производства устаревших товаров и вывода на рынок новых, конкурентоспособных товаров и услуг; изменения ценовой политики; изменения стратегии формирования спроса и стимулирования сбыта; изменения стратегии распределения, предпродажного и послепродажного обслуживания покупателей; поиск новых сегментов рынка и т. п.
Интенсивность противостояния утрате конкурентного преимущества, то есть степень агрессивности маркетинговой стратегии, предопределяет продолжительность периода бескризисного состояния фирмы, или, что то же самое, продолжительность жизненного цикла существования фирмы с ее первоначальной миссией.
Однако если рассматривать поддержание конкурентного преимущества как непрерывный процесс, протекающий в условиях использования фирмой изменчивой технологии, то можно прийти к выводу, что борьба за выживание - это и есть борьба за высокий уровень конкурентного преимущества в течение всего жизненного цикла фирмы. И кризисное состояние наступает тогда, когда все возможности поддержания конкурентного преимущества в рамках первоначальной миссии исчерпаны.
Не менее важным аспектом раннего обнаружения слабых сигналов о приближении кризисного состояния является проблема количественной оценки интенсивности сигналов, реальной возможности измерения этой интенсивности на основе доступной информации, критериев выделения из «фоновых шумов» истинного сигнала.
По-видимому, критериями разграничения «естественных» колебаний в деловой активности («фоновых шумов») от истинных сигналов, возвещающих наступление кризисного (переломного) состояния деловой активности можно считать два момента:
— во-первых, степень отклонения от долгосрочной тенденции, характеризующей данный процесс;
— во-вторых, темп нарастания величины этого отклонения в единицу времени.
В отличие от «фонового шума» истинным сигналом о начинающемся движении к потенциальному кризисному состоянию является возникновение кумулятивного роста величины отклонений тех или иных показателей, характеризующих состояние внешней и внутренней среды фирмы, от долгосрочной тенденции изменения этих показателей.
Например, в течение относительно продолжительного периода колебания спроса на товар фирмы составляли ± 5% в неделю от среднемесячной величины. Наблюдения, проводимые службой маркетинга фирмы, обнаружили в определенный момент времени падение спроса на 8% (в первую неделю), а затем — на 15% (во вторую неделю). Такое резкое изменение спроса на товар должно быть воспринято руководством фирмы как сигнал о надвигающейся угрозе положению фирмы, необходимости анализа причин такого резкого падения спроса и разработки адекватных мер противодействия потенциальной угрозе.
Следовательно, для раннего обнаружения подобных «слабых сигналов» необходимо постоянное наблюдение (сканирование) состояния внешней и внутренней среды фирмы. Такое сканирование возможно лишь в случае придания наблюдаемым явлениям количественной определенности. Вместе с тем, не все из перечисленных в таблицах 1 и 2 приложения А исходных явлений могут быть непосредственно оценены количественно. Однако невозможность непосредственной количественной оценки исходных явлений вовсе не означает невозможности косвенной оценки вызываемых этими явлениями последствий.
Основу косвенной оценки последствий, вызываемых тем или иным исходным явлением, составляет логический анализ влияния друг на друга следующих одного за другим экономических явлений. Эти влияния вначале определяются с качественной стороны, то есть устанавливаются причинно-следственные связи между следующими друг за другом явлениями. Затем эти связи детализируются до тех пор, пока не станет возможным придать им количественную определенность или же контролировать качественную выраженность явлений.
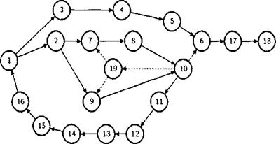
Для примера можно рассмотреть цепочку экономических явлений, вызванных изменением одного из факторов внутренней среды фирмы (отсутствие доступной и полной информации), представленную на рисунке 3 и цепочку экономических явлений, возникающих в результате воздействия на состояние фирмы одного из внешних факторов фирмы (падение спроса на товар фирмы), представленную на рисунке 4.
На рисунке 3 цепочка экономических явлений, вызванная слабыми сигналами, идущими от параметров информационных ресурсов и воздействующими на конкурентное преимущество фирмы. Из него видно, что отсутствие у фирмы постоянно актуализируемых баз данных о различных состояниях производства, кадров, оборудования и т. д., вызывает явления, приводящие к ухудшению КПФ. Отсутствие достоверной и полной информации о производственной системе (1) вызывает принятие неадекватных решений в различных областях (2), например: принятие неадекватных решений в области маркетинга (3), управления производством (4), управления финансами (5). Принятие неправильных решений в области маркетинга может вызвать два направления развития явлений: во-первых, неадекватное управление качеством продукции (6) и, соответственно, снижение качества продукции (8), а затем снижение спроса на товар фирмы (9); во-вторых, неправильный учет параметров спроса (7) и затем то же снижение спроса на товар фирмы (9). Далее это приводит к уменьшению прибылей (10) и ухудшению конкурентного преимущества фирмы (16).
Если происходит принятие неадекватных решений в области управления производством (4), то возможно либо повышение уровня издержек (11), либо снижение объемов производства (12), а затем переход к (10) и (16) явлениям. Принятие неадекватных решений в области управления финансами (5), возможно, приведет к тому, что вместо вложения собственных средств в развитие производства произойдет покупка ценных бумаг или выдача дивидендов (13). В результате отсутствия средств для финансирования производства (14) потребуется привлечение заемных средств к финансированию производства (15), соответственно, повысится уровень издержек (11), связанных с обслуживанием кредита и далее снизится прибыль и ухудшится КПФ. В результате развития представленных в цепочке экономических явлений происходит ухудшение КПФ и, как следствие, может развиться банкротство фирмы.

Рисунок 2 - Экономические явления, вызванные параметрами информационных ресурсов

Рисунок 3 - Цепочка экономических явлений, которые могут наступить под влиянием исходного явления «Падение спроса на товары фирмы».
Такая последовательность экономических явлений — только один из возможных вариантов возникающих явлений. События могут развиваться и по-иному. То, по какому из указанных путей фирма скорее будет приближаться к кризисному состоянию в данном случае, зависит, прежде всего, во-первых, от структуры фирмы, от организации производства и т. п., и, во-вторых, на какой стадии ЖЦКПФ находится данная фирма. Также хотелось бы обратить внимание на то, что явления (7) и (8) провоцируют тенденцию к падению спроса на товар фирмы (9), а данный параметр относится к фактору внешней среды. Далее можно проследить развитие событий в цепочке экономических явлений, инициируемых параметрами спроса, независимо от того, было ли падение спроса на товар фирмы спровоцировано изменениями внутренних факторов фирмы или это произошло по каким-то другим причинам.
На рисунке 3 представлена цепочка экономических явлений, возникающих в результате падения спроса на товар фирмы, где:
1) Падение спроса на товар фирмы.
2) Маркетинговые исследования причин падения спроса и выработка новой стратегии.
3) Снижение объема продаж товаров фирмы.
4) Увеличение издержек производства за счет постоянных издержек.
5) Сокращение общей выручки от продаж товаров фирмы.
6) Сокращение массы прибыли, получаемой фирмой.
7) Привлечение заемных средств для реализации новой стратегии маркетинга.
8) Увеличение издержек, связанных с обслуживанием долга фирмы.
9) Привлечение дополнительных собственных средств для реализации новой стратегии маркетинга.
10) Рост общих издержек производства, связанных с освоением новой стратегии маркетинга.
11) Повышение уровня конкурентного преимущества фирмы за счет реализации новой стратегии маркетинга.
12) Рост спроса на товары фирмы на основе новой стратегии маркетинга.
13) Рост цен на товары фирмы в связи с увеличением спроса на товары фирмы.
14) Увеличение объема продаж товаров фирмы и массы прибыли.
15) Стабилизация спроса на товары фирмы, объема продаж и массы прибыли.
16) Утрата конкурентного преимущества фирмы по внешним или внутренним причинам.
17) Снижение платежеспособности фирмы.
18) Кризисное состояние фирмы.
19) Уровень конкурентного преимущества фирмы остался прежним из-за нехватки дополнительно привлеченных ресурсов.
На рисунке видно, что возможны несколько путей (в данном случае 5) приближения к кризисному состоянию фирмы. Главным образом это зависит от того, на какой стадии ЖЦКПФ находится фирма.
Например, если фирма находится на стадии зарождения или, наоборот, спада, то вероятнее всего, что падение спроса на товар фирмы приведет ее к прохождению пути (1), (3), (4), (5), (6), (17), (18). Это связано с тем, что получение кредита, необходимого для соответствующих маркетинговых исследований, маловероятно, а выполнение необходимых мероприятий за счет собственных средств невозможно в силу их отсутствия. На стадии спада КПФ падение спроса на товар фирмы только еще быстрее ускорит процесс приближения к кризисному состоянию.
Следует отметить, что экономический механизм возникновения кризисного состояния фирмы познается как и любой другой механизм через постоянное наблюдение. Сложность наблюдения за экономическими явлениями, последовательность которых приводит к кризисному состоянию фирмы, состоит в многообразии и динамичности элементов внешней и внутренней среды, подвергаемых наблюдению в каждый данный момент времени.
Из таблиц 1 и 2 приложения А видно, что наблюдение должно быть организовано, по меньшей мере, более чем за пятьюдесятью параметрами внешней и внутренней среды, характеризующими условия функционирования фирмы. Совокупность же сигналов о возникновении исходных экономических явлений механизма возникновения кризисного состояния фирмы превышает 200 наименований. Если учесть, что приведенные в таблицах виды сигналов далеко не полно отражают все возможные их модификации, становится ясным, насколько сложно решается проблема их обнаружения в реальной жизни. Тем не менее сложность этой проблемы не может служить основанием для отказа от попыток ее решения.
Нам представляется, что наиболее целесообразным направлением решения проблемы обнаружения упомянутых сигналов является организация сканирования внешней и внутренней среды фирмы на основе маркетинговых исследований, стратегического контроллинга и внутрифирменного экономического анализа.
Как известно, сканирование - это непрерывное упорядоченное поэлементное просматривание пространства или объекта, осуществляемое перемещением какого-либо луча или пучка лучей.
Применительно к рассматриваемой нами проблеме под сканированием следует понимать непрерывное упорядоченное слежение за параметрами внешней и внутренней среды фирмы, характеризующими степень благоприятствования условий для выполнения первоначальной миссии фирмы.
В качестве «пучка лучей», просматривающих внешнюю и внутреннюю среду фирмы, должна выступать группа экспертов - специалистов в области маркетинга, стратегического контроллинга и внутрифирменного экономического анализа, а также отдел информационного обеспечения фирмы.
Сканирование осуществляется на основе предварительно разрабатываемых методических материалов, которые должны включать следующие основные разделы:
1) Перечень подвергаемых наблюдению общих и специфических для каждой фирмы параметров внешней и внутренней среды;
2) Принципы количественной и качественной оценки внешних сигналов о состоянии и динамике экономической, научно-технической, экологической, демографической, социально-политической, правовой конъюнктуры в национальной экономике и ее отдельных отраслях;
3) Принципы количественной и качественной оценки внутренних сигналов о состоянии и динамике стратегического потенциала и конкурентного статуса фирмы и достигнутом уровне конкурентного преимущества фирмы на отечественном и мировом рынках;
4) Периодичность наблюдения установленных параметров состояния внешней и внутренней среды фирмы и принципы разграничения истинных сигналов и «фоновых шумов»;
5) Методы анализа возможных последствий выявленных в процессе наблюдения исходных экономических явлений и инициируемых ими цепочек промежуточных экономических явлений, которые могут вызвать кризисное состояние фирмы;
6) Методы определения «контрольных точек» в цепочках экономических явлений и порядок наблюдения за этими точками;
7) Методы внутрифирменного экономического анализа, обобщающего результаты наблюдения динамики значений параметров внешней и внутренней среды фирмы и оценка результатов анализа с точки зрения их влияния на возможность выполнения первоначальной миссии фирмы;
8) Принципы выработки антикризисных управленческих решений на основе использования результатов наблюдений и внутрифирменного экономического анализа.
Порядок следования перечисленных разделов по существу отражает порядок проведения комплекса работ по сканированию внешней и внутренней среды фирмы и выработки на этой основе антикризисных управленческих решений.
Следует отметить, что осуществление сканирования внешней и внутренней среды фирмы является неотъемлемой частью процесса стратегического управления, поэтому рассмотрение этого подраздела в данной дипломной работе является целесообразным.
1.3 Отдел стратегических исследований и развития как основной элемент системы стратегического управления предприятием
При создании промышленного предприятия путём капиталовложений учредителей в физическую инфраструктуру, создаётся определенный потенциал получения прибыли. В тоже время на созданный конкурентный потенциал влияют условия внешней среды, то есть при несоответствии имеющейся предпринимательской базы тем требованиям, которые выдвигает внешняя среда, конкурентный потенциал уменьшается или же исчезает. Сохранению и увеличению конкурентного потенциала получения прибыли способствует изменение предпринимательских (или стратегических) способностей предприятия. Под этим понятием понимается возможность или способность предприятия к получению прибыли в будущих периодах. Для того чтобы предпринимательские способности накапливать, необходима не только оперативная деятельность, направленная непосредственно на удовлетворение текущих потребностей потребителей и получение прибыли, но и деятельность по выработке и реализации стратегии развития предприятия с учётом изменений внешней среды. В настоящее время проблема конфликта конкурентной и предпринимательской способностей предприятия находится в центре внимания менеджмента. Чаще всего в конкуренции двух способностей одна начинает доминировать, что отражается либо на оперативной деятельности, либо на будущих показателях предприятия. Усреднение способностей также не приносит желаемых результатов, так как не используется в полной мере ни оперативный, ни стратегический потенциалы, что ведёт к ухудшению конкурентных позиций предприятия на рынке. Наиболее перспективным способом разрешения конфликта является обеспечение продуктивного сосуществования обеих способностей. Эффективным способом уменьшения влияния одной способности на другую является разделение бюджета на две части: оперативный и стратегический бюджеты. При таком подходе оперативный бюджет делится на следующие бюджеты:
1) на сохранение текущей прибыли за счёт имеющихся производственных возможностей (маркетинговый и производственный бюджеты);
2) инвестиции в увеличение производственных мощностей и возможностей;
3) инвестиции в увеличение прибыли за счёт снижения издержек.
Стратегический бюджет включает в себя:
1) инвестиции в улучшение конкурентных позиций в стратегических областях бизнеса;
2) расширение стратегических областей бизнеса на основе географической экспансии на новые рынки;
3) развитие новых стратегических областей бизнеса и уход из неперспективных, диверсификация.
Двойной бюджет имеет следующие преимущества:
– ресурсы стратегического развития не отвлекаются на оперативные потребности;
– сбалансирование долгосрочных и краткосрочных инвестиций;
– возможность оценки правильности распределения средств по различным видам работ;
– анализ двойного бюджета позволяет сравнить время, необходимое для получения отдачи от каждого вида работ.
К недостаткам двойного бюджета следует отнести то, что хотя он и обеспечивает выделение средств на стратегическую деятельность, но он вовсе не гарантирует, что у перегруженного оперативными заботами руководства найдутся время и желание заниматься вопросами исполнения стратегического бюджета. Для обеспечения решения данной проблемы была построена особая структура, так называемый перекрёсток. Суть её заключается в том, что стратегические планы по направлениям деятельности разрабатывают отдельные команды, а после утверждения данных планов они передаются для реализации в подразделения предприятия. Но использование такого подхода приводит к снижению мотивации исполнителей вследствие разделения обязанностей по планированию и реализации стратегии, а также к разделению стратегического и оперативного планирования, что является предпосылкой конфликта между стратегической и оперативной работой.
Поэтому американскими аэрокосмическими фирмами был разработан метод, свободный от перечисленных недостатков – двойная система управления проектами.
В этом методе в подготовке стратегического плана участвуют все организационные единицы. Один из результатов этого плана – распределение приоритетов и бюджетов по стратегическим и оперативным видам деятельности. В процессе стратегического планирования возникают два набора целей и задач: оперативный – получение прибыли в краткосрочном периоде и стратегический – создание потенциала прибыли.
Как показано на рисунке 4, в двойной системе эти наборы целей, стратегий и задач используются для построения планов действующего и вспомогательного бюджетов. Задачи, относящиеся к получению прибыли, становятся оперативными планами, а относящиеся к будущему потенциалу прибыли – планами развития. Особенностью проектов, входящих в план развития, является различная продолжительность по времени, отличие принципов контроля, а также направленность проектов на решение проблем путём взаимодействия всех функциональных подразделений.
Для управления реализацией проектов создаются группы управления, в которые входят эксперты, руководящие действиями специалистов из функциональных подразделений, привлеченных к работе над проектом. При этом создаётся так называемая проектно-матричная организационная структура управления. Однако двойная система управления проектами имеет существенный минус – власть и ответственность за стратегическое развитие отделены от оперативного руководства.
Оперативное управление:
получение прибыли
Стратегическое управление:
создание потенциала получения прибыли
Рисунок 4 – Двойная система управления проектами
Стандартный результат такого разделения – неспособность руководителей проектов предчувствовать и решать проблемы, которые возникают при переходе нового товара или услуги в стадию оперативных работ.
Компания General Electric первой решила эту проблему, предложив концепцию стратегических бизнес – единиц.
Суть этого подхода заключается в сохранении существующей организационной структуры, развитие которой диктовалось потребностями оперативного получения прибыли, но в её рамках (на самых разных уровнях) выделяются самостоятельные подразделения, которые естественным образом связаны и с оперативными прибылями и убытками, и со стратегическими. То есть менеджеры стратегических бизнес - единиц подчиняются двум вышестоящим руководителям, один из которых занимается стратегическим развитием, а другой – оперативной прибылью. Недостатком данного подхода является то, что менеджерам стратегических бизнес – единиц приходится поочерёдно играть две роли, причём зачастую противоречивые.
Иногда необходимость обособления стратегической и оперативной работы может привести к разделению компании на две части. Подразделения, занимающиеся конкурентной деятельностью, подчинены менеджеру по оперативной деятельности, а стратегические бизнес – единицы, связанные с развитием новых видов бизнеса – менеджеру по стратегическому развитию. Но в этом случае контроль над стратегической эволюцией существующего бизнеса передаётся оперативной группе, а деятельность стратегической группы ограничивается созданием новых видов бизнеса. Это обуславливает множество спорных моментов, касающихся функций стратегических бизнес – единиц. Поэтому в последние годы был выработан новый подход к двойной структуре. Вместо того чтобы на основе нескольких проектов создавать единую группу стратегического развития, каждый проект реализуется как венчурное предприятие с собственными ресурсами и капиталом. После завершения стратегического развития, венчурная компания может быть преобразована в оперативное подразделение фирмы и присоединена к существующей оперативной деятельности.
С точки зрения осуществимости такого подхода на машиностроительных предприятиях Украины, данный подход не может быть использован из-за ограниченности ресурсов. То есть, отечественные промышленные предприятия не могут позволить себе отвлекать часть своих средств на осуществление проектов, направленных на развитие потенциала путём создания венчурных (рисковых) подразделений, так как такой ход может критически воздействовать на текущую деятельность.
Поэтому для осуществления плана развития должна использоваться имеющаяся материальная база, денежные средства и трудовые ресурсы. Причём работы проектов должны органично увязываться с повседневными процессами. Спорным моментом выступает также концентрация деятельности стратегических подразделений лишь на создании новых видов бизнеса.
После анализа текущего положения и перспектив развития крупнейшего машиностроительного предприятия Украины – АО НКМЗ, а также выявления потребности и возможности внедрения принципов и концепций стратегического управления в систему менеджмента предприятия, была предложена структура стратегического подразделения – отдела стратегических исследований и развития, представленная на рисунке 5.
Отметим, что представленная структура разработана с учётом специфики конкретного предприятия и не является универсальной. В тоже время отдел стратегических исследований и развития является базой для создания службы стратегических исследований и развития, количество функций и осуществляемых бизнес – процессов будет увеличиваться в ходе эволюционного развития предприятия и появления новых подходов к управлению.
Рисунок 5 – Организационная структура управления отделом стратегических исследований и развития
Рассматриваемая структура отдела была разработана с учётом требований к выполнению определенных функций и оптимизации затрат на осуществление стратегического управления.
Организационная структура отдела имеет линейно-функциональный вид и включает элементы матричной и проектной структур. Отдел состоит из двух бюро (включающих в себя несколько групп) и четырёх групп. Начальнику отдела подчинены два заместителя. Заместителю начальника по организации стратегических исследований подчинены бюро анализа корпоративного потенциала и условий внешней среды (состоящее из группы анализа внутренней среды, группы анализа внешней среды и мировых тенденций развития социально-политической, экономической и научно-технической обстановки) и группа информационного обеспечения и организации коммуникаций с подразделениями предприятия. Заместителю начальника по выработке и реализации стратегии развития подчинено бюро по разработке и реализации стратегии (состоящее из групп выработки корпоративной, деловых и функциональных стратегий), группа организации временных творческих коллективов (команд или групп проектов) для осуществления проектов по реализации стратегии развития и группа организации стратегического и оперативного контроля над реализацией проектов. В непосредственном подчинении начальника отдела находится группа по организации двойного бюджетирования и анализа разрывов.
Отдел выполняет функции, связанные с осуществлением процесса стратегического управления предприятием, представленного на рисунке 1. В связи с тем, что предприятие осуществляет свою деятельность в условиях нестабильной экономической среды и высокого уровня конкуренции, в состав отдела стратегических исследований и развития включена группа управления по слабым сигналам, которая занимается выработкой упреждающих действий на будущие возможности и угрозы.
Рассмотрим функции, осуществляемые группами отдела.
Бюро анализа корпоративного потенциала и условий внешней среды:
1) Группа анализа внутренней среды (4 работника) осуществляет:
– анализ НИОКР;
– анализ организационной структуры управления;
– укрупнённый финансовый анализ;
– анализ технических и технологических ресурсов;
– анализ кадрового потенциала;
– анализ маркетинговой деятельности;
– анализ портфеля продукции предприятия.
2) Группа анализа внешней среды и мировых тенденций развития социально-политической, экономической и научно-технической обстановки (4 работника) осуществляет:
– анализ рынка ссудного капитала и ценных бумаг;
– анализ рынка закупок сырья и материалов;
– анализ производственных и поддерживающих мощностей;
– анализ конкурентной среды;
– анализ социально-политической и экономической обстановки;
– анализ рынка труда;
– анализ технологической области и НИОКР;
– анализ случайных явлений и форс-мажорных обстоятельств;
– анализ экологической обстановки и природоохранного законодательства.
3) Группа управления по слабым сигналам (3 работника) осуществляет анализ слабых сигналов об изменении условий внутренней и внешней среды, определяет возможные пути развития событий и осуществляет построение моделей развития ситуации, готовит аналитические выводы и предложения по реагированию на изменение стратегических условий для высшего звена управления предприятием.
Группа информационного обеспечения и организации коммуникаций с подразделениями предприятия (3 работника) организовывает взаимодействие с функциональными подразделениями и центрами прибыли, высшим руководством, осуществляет методологическое и информационное обеспечение отдела, выполняет администрирование баз данных.
Бюро по выработке и реализации стратегии развития:
1) Группа выработки корпоративной стратегии (2 работника +члены команды) организовывает проведение совета по выработке корпоративной стратегии, осуществляет портфельный анализ продукции предприятия, вырабатывает рекомендации по направлениям развития предприятия, координирует деятельность ВТК по реализации стратегии и анализирует результаты стратегического контроля над реализуемыми проектами.
2) Группа выработки и координации деловых стратегий центров прибыли (5 работников + члены команд) организовывает проведение советов по выработке деловых стратегий, осуществляет портфельный анализ продукции центров прибыли, вырабатывает рекомендации по направлениям развития центров прибыли, координирует деятельность ВТК по реализации деловых стратегий и анализирует результаты стратегического контроля над реализуемыми проектами в рамках центров прибыли.
3) Группа выработки и согласования функциональных стратегий (7 работников +члены команды) организовывает проведение советов по выработке функциональных стратегий, осуществляет консультирование функциональных подразделений по стратегическим вопросам, вырабатывает рекомендации по направлениям развития функциональных подразделений, координирует деятельность ВТК по реализации функциональных стратегий и анализирует результаты стратегического контроля над реализуемыми проектами в рамках центров прибыли. Группа осуществляет разработку и реализацию следующих функциональных стратегий:
– инновационной деятельности, технологического развития и перевооружения производства, производственной стратегии;
– стратегии маркетинга и ценообразования, ресурсно-рыночной стратегии;
– стратегии социального развития и роста кадрового потенциала, стратегии в области мотивации персонала;
– финансово-экономической стратегии;
– стратегии экономической безопасности.
Группа организации временных творческих коллективов для осуществления проектов по реализации стратегии развития (5 работников) осуществляет формирование рабочих команд проектов, подбор менеджеров проектов из числа инициативных работников предприятия, разрабатывает принципы привлечения функциональных работников к выполнению отдельных работ в рамках матричной структуры, координирует деятельность команд проектов и осуществляет административный контроль над их деятельностью.
Группа организации стратегического и оперативного контроля над реализацией проектов (5 работников) осуществляет периодический контроль над деятельностью команд проектов, анализирует финансовые результаты деятельности, осуществляет расчёт эффективности проекта в долгосрочной перспективе, контролирует расход ресурсов на реализацию проектов, осуществляет консультирование менеджеров проектов по финансовым вопросам, подготавливает отчётность по реализуемым проектов для высшего руководства и внешних контролирующих органов (при реализации проектов в рамках законодательства по специальным зонам приоритетного развития).
Группа по организации двойного бюджетирования и анализа разрывов (3 работника) осуществляет подготовку бюджетов проектов, увязку текущего и стратегического бюджетов, координирует деятельность команд проектов в рамках существующего бюджета развития, анализирует возникающие разрывы плановых и фактических показателей, проводит поиск и устранение «узких мест», сотрудничает с финансовым отделом по подготовке финансовой документации по проектам.
Следует отметить, что работа отдела стратегических исследований и развития организована в виде непрерывного процесса, при котором каждое бюро выполняет свою часть бизнес – процесса стратегического управления, результаты которой являются базой для выполнения следующей части другими бюро. После окончания реализации отдельного проекта его результаты путём обратной связи влияют на разработку портфеля стратегий и портфеля проектов предприятия, а также на методологию и направления анализа внутренней и внешней среды.
Немаловажно то, что при работе отдела широко используется принципы матричной организации, предполагающие создание постоянных и временных команд. При такой организации в группах выработки стратегий постоянными работниками являются секретарь – фасилитатор (организует и проводит совещания) и аналитики по отдельным направлениям, а к членам команды относятся члены правления, директора производств или функциональные руководители.
Следует отметить, что такая организация отдела стратегических исследований и развития позволяет устранить большинство недостатков, присущих другим формам. Во-первых, для реализации стратегии развития в рамках бюджета развития выделяются работники, заинтересованные как в стратегическом развитии, так и в текущих показателях по проектам. Во-вторых, привлечение руководителей подразделений, выполняющих работы по реализации стратегии развития, к процессу определения направлений развития и планирования позволяет повысить мотивацию непосредственных исполнителей и снизить вероятность конфликтов между стратегической и оперативной работой. В-третьих, в подготовке стратегического плана участвуют все организационные единицы, что повышает эффективность стратегического планирования и выполнимость миссии и стратегий. В-четвёртых, власть и ответственность за стратегическое развитие не отделены от оперативного руководства, что позволяет при переходе стратегического потенциала в текущие конкурентные преимущества быстрее реагировать на оперативные проблемы. И, наконец, в-пятых, отдел органично вписывается в существующую функциональную структуру предприятия, исключает дублирование функций других подразделений, затраты на деятельность отдела при такой организации минимальны, а ожидаемая эффективность от создания отдела высока.
В тоже время при развитии предприятия и переходе его на качественно новый уровень организации, возможно появление потребности в развитии отдела в службу. При этом служба стратегических исследований и развития будет выполнять расширенные функции в пределах многоуровневого процесса стратегического управления, причём такой подход предполагает переход к практике использования венчурного капитала в рамках отдельных проектов.
Предложенная структура отдела в целом удовлетворяет требованиям к выполняемым функциям и осуществляемому бизнес – процессу.
2 СИТУАЦИОННЫЙ АНАЛИЗ ДЕЯТЕЛЬНОСТИ БАЗОВОГО ПРЕДПРИЯТИЯ
2.1 Анализ программ реализации стратегии предприятия в 2004-2007 годах
Стратегическое планирование как составляющая управления предприятием является лишь начальным этапом стратегического управления. На данном этапе вырабатывается миссия и стратегические цели предприятия, комплектуется портфель стратегий, реализация которых позволит предприятию развиваться в выбранном направлении. После определения портфеля стратегий разрабатывается комплекс мер, позволяющий достигнуть поставленных целей. В этом процессе немаловажную роль играет система взаимосвязей институционального, управленческого и технологического уровней управления. Поток разнонаправленных (восходящих и нисходящих) коммуникаций, связанных с разработкой стратегий, позволяет координировать намерения высшего руководства с возможностями и намерениями подразделений предприятия. Результатом принятия согласованных управленческих решений являются годовые Комплексные программы мероприятий по реализации стратегии ЗАО НКМЗ.
Каждая комплексная программа содержит ряд планов, связанных с:
· созданием новой техники;
· внедрением новых технологий и "ноу-хау", созданием новых технических возможностей для повышения конкурентоспособности предприятия;
· снижением издержек по всем видам деятельности и бизнес-процессам;
· совершенствованием финансово-экономического механизма предприятия.
Работы по реализации стратегии в текущем году отражаются в тактических и оперативных планах, увязываются с осуществлением текущей деятельности (по НИОКР, маркетингу, подготовке производства, МТС, производству, финансам, сбыту продукции и другим процессам). Следует отметить, что руководство предприятия нашло то оптимальное сочетание стратегической и оперативной деятельности, которое позволяет "не упасть в пропасть" в текущем периоде и "не врезаться в скалы" в стратегической перспективе.
Рассмотрим некоторые основные мероприятия, направленные на реализацию стратегии, осуществленные предприятием в 2004-2007 годах. Результаты анализа программ реализации стратегии в 2004-2007 годах представим в таблице 1.
Для анализа рассмотрим те мероприятия, удельный вес которых в общем объёме затрат на реализацию является наибольшим или же годовой экономический эффект от внедрения составляет более 30% от совокупных затрат на реализацию (то есть со сроком окупаемости до трёх лет).
В таблице представлены лишь некоторые мероприятия по реализации стратегии, не охватывающие всех составляющих портфеля стратегий предприятия в рассматриваемом периоде.
Следует отметить, что удельный вес затрат на создание новой техники в рассматриваемом периоде является незначительным, в то время как экономический эффект от внедрения новой техники на рынок достаточно высок и влияет на размер прибыли предприятия.
В тоже время удельный вес затрат на техническое перевооружение и модернизацию производства высок, а экономический эффект от внедрения новых технологий и ноу-хау возникает вследствие повышения конкурентоспособности выпускаемой продукции и сокращения издержек и сроков производства, что обусловливает экономию ресурсов и повышение прибыли предприятия как за счёт увеличения качества продукции, так и за счёт сокращения издержек на её производство. Немаловажную роль в развитии предприятия играет совершенствование организационного и
Таблица 1 – Анализ программ реализации стратегии предприятия в 2004-2007 годах
| №п/п
|
Направление мероприятий
|
Затраты,
тыс.долл
|
Экономический эффект,
тыс. долл.
|
Примечания
|
| 1
|
2
|
3
|
4
|
5
|
| 2004 год - создание новой техники
|
| 1
2
3
4
5
6
|
Разработка обвязочной машины с примыкающим оборудованием
Создание тонколистового стана холодной прокатки
Разработка конвейеров общего назначения
Разработка пластинчатого питателя
Разработка экскаватора ЭКГ-10Н
Разработка и создание шнеко-зубчатых дробилок ДШЗ –1600/340
|
2 (НИОКР)
5(НИОКР)
3(НИОКР)
0,5(НИОКР)
3(НИОКР)
6(НИОКР)
|
Перспектива
Перспектива
Перспектива
Перспектива
Перспектива
Перспектива
|
Автоматизация процесса обвязки
Получения полосы толщиной до 0.35 мм
|
| 7
8
9
10
11
|
Комплекс углеразмольного оборудования с тарельчато-валковой мельницей
Разработка пресса жёсткого формования строительного кирпича
Освоение производства крепи шахтной КАБ-4-100
Разработка крана авт. вездеходного спец. г.п.55т.
Разработка угольного комбайна П110
|
5(НИОКР)
2(НИОКР)
5(НИОКР)
342(НИОКР)
428(НИОКР)
|
Перспектива
2(НИОКР)
5(НИОКР)
342(НИОКР)
428(НИОКР)
|
Производительность
до 10 т/ч
Нет аналога, улучшенные грузовые характеристики
Новые рынки сбыта
|
| 2004 год – организационно - технические мероприятия
|
| 1
2
|
Реконструкция термического участка инструментального цеха
Развитие технологии электронных коммуникаций, создание центра передачи данных, внедрение системы "клиент-банк"
|
21,8
8,9
|
5,2
23
|
Повышение эффективности
Сокращение расхода на телефонные каналы, рост эффективности исполь-зования рабочего времени специалистов
|
| 2005 год – техническое перевооружение производств
|
| 1
2
3
4
5
6
7
|
Разработка и освоение для установки "печь ковш" технологии интенсификации выплавки стали
Создание участка по производству литых валков центробежным способом
Приобретение и ввод в эксплуатацию автоматизированной системы объёмного проектирования литейных технологий
Модернизация машин термической резки с ЧПУ "omnimat"
Освоение использования в качестве защитного газа при механизированной сварке смеси Ar+CO2 вместо CO2
Приобретение фрезерно-расточного обрабатывающего центра
3-х ставочная оплата за электроэнергию
|
116,6
3000
86,1
102,6
17,9
3531
93,7
|
132,2
2480
213
-
35,7
-
-
|
Сокращение длительности плавок и повышение качества
Повышение конкурентоспособности
Повышение качества литых заготовок
Обеспечение программы выпуска
Повышение конкуренто-способности продукции
Снижение оплаты на 40%
|
| 2006 год – Развитие экономического механизма
|
| 1
2
3
4
5
6
7
|
Создание сквозной компьютерной системы мониторинга производства "Запуск-выпуск"
Развитие системы управления стоимостью
Разработка гибкой системы ценоформирования
Внедрение КС "быстрый маркетинг"
Разработка системы ФОССТИС
Создание информационно- аналитического центра
Разработка системы обеспечения экономической безопасности предприятия
|
-
-
-
-
-
-
-
|
131
223,7
368
-
-
-
-
|
Снижение себестоимости
Снижение издержек производства на 2-3%
Повышение эффективности производства
Рост прибыли на 172 тыс. долл. в год
Повышение степени гибкости управления и быстроты реагирования
Обеспечение экономической безопасности предприятия по всем составляющим ЭБ
|
| 2006 – Создание новых технических возможностей, новой техники и "ноу хау"
|
| 1
2
3
4
5
|
Разработка и внедрение техпроцесса производства композитных валков с рабочим слоем из быстрорежущей стали методом электрошлаковой наплавки
Разработка технологии интенсификации выплавки стали
Внедрение технологического процесса изготовления стаканов роликов рольгангов методом штамповки взамен механообработки
Создание участка высокоточной механообработки и измерения корпусных деталей
Создание участка дифференцированной термообработки опорных валков прокатных станов
|
797,96
112
6,6
190
695
|
878,2
121,5
85,5
697,2
1542
|
Повышение конкурентоспособности продукции
Повышение качества чистовой обработки
|
| 6
7
8
9
10
11
12
|
Разработка проекта и изготовление опытно-промышленной конструкции базовых узлов сортовой МНЛЗ
Разработка оригинальный техпроцесс изготовления резцов для комплектации проходческих комбайнов
Проектирование гидравлического экскаватора
Изготовление роторного экскаватора
Создание проходческого угольного комбайна П220
Создание толкателя рычажного для передвижения чугунновозных составов при разливке чугуна и шлака у доменной печи
Разработка и создание напольно-завалочной машины
|
109,4
0,3
-
-
-
-
-
|
170
1,5
400
1625
Перспектива
18
23
|
Расширение рынков сбыта, привлечение новых потребителей
Завоевание новых рынков сбыта
|
| 2007 год – Создание новой техники и техническое перевооружение
|
| 1
2
3
4
5
|
Создание участка вакуумирования жидкой стали на базе пароэжекторного насоса
Автоматизация поддержания заданного давления в дымопроводе после дымососов паровых котлов заводской котельной
Внедрение трехставочного тарифа при оплате за потребленную электроэнергию
Внедрение современных средств измерения температуры жидкой стали
Создание участка по изготовлению, ремонту и обслуживанию индукторов для закалки ТВЧ
|
1837
1,1
67
4
2,2
|
495
6,2
180
11
5,4
|
Повышение качества
Экономия
Экономия
Экономия
Экономия
|
финансово-экономического механизма управления, что позволяет производить продукцию с определенными качественными характеристиками в установленные сроки и с оптимальным уровнем затрат на производство.
Развитие функциональных подсистем управления наряду с развитием информационных корпоративных систем также повышает эффективность деятельности предприятия на рынке машиностроительной продукции, характеризующемся высоким уровнем конкуренции.
Мероприятия по реализации стратегии обеспечивают необходимый рост конкурентного потенциала и возможностей предприятия, что оказывает положительное влияние на динамику технико-экономических показателей.
2.2 Анализ основных технико-экономических показателей деятельности АО НКМЗ в 2004-2007 годах
Приведение потенциала предприятия в соответствие с изменчивостью внешней среды обусловило его устойчивое положение в кризисных условиях. Наиболее четкое представление о деятельности предприятия даёт анализ динамики технико-экономических показателей за последние четыре года. Технико-экономические показатели деятельности предприятия представлены в таблице 2.
Следует отметить рост абсолютных величин показателей объёма продаж (показатель 1), объёма произведенных механоизделий (показатель 3), объёма экспорта товарной продукции (показатель 51
), размера среднемесячной заработной платы (показатель 8). В тоже время произошло сокращение численности трудящихся (показатель 11) и тенденция к сокращению численности сохраняется (в основном из-за ухода на пенсию лиц, достигших пенсионного возраста).
Рост объёма продаж свидетельствует о высокой конкурентоспособности выпускаемой продукции, что подтверждается ростом объёмов экспорта в дальнее зарубежье (показатель 51.2
), предъявляющее высокие требования к выходящей на мировой рынок продукции. В тоже время рост объёма тонн механоизделий (показатель 3) и валового объёма станко-нормо часов (показатель 4) менее значителен.
Рост среднемесячного размера заработной платы одного работника (показатель 8) объясняется тем, что при общем сокращении численности промышленно-производственного персонала (показатель 11) объёмы производства (показатель 2) увеличиваются, что создаёт некоторый резерв для повышения заработной платы за счёт повышения производительности труда.
Таблица 2 - Технико-экономические показатели деятельности ЗАО НКМЗ в 2004-2007 годах
| Показатели
|
Ед. изм
|
2004
|
2005
|
% к
сл.п.
|
2006
|
% к
сл.п.
|
2007
|
% к
сл.п.
|
| 1 Объём продаж
|
Тыс.Грн.
|
184448
|
214078
|
116,1
|
322587
|
150,69
|
494496
|
153,3
|
| 2 Объём товарной продукции
|
Тыс.Грн.
|
142916
|
209710
|
146,7
|
243390
|
116,06
|
410847
|
168,8
|
| 3 Механоизделия
|
Тонн.
|
25016
|
27643
|
110,5
|
28053
|
101,48
|
38535
|
137,4
|
| 4 Валовый объём
|
Тыс. ст.-н./ч
|
1106,4
|
1131,4
|
102,26
|
1533,7
|
135,6
|
| 5 Реализация товарной продукции,
в том числе:
51
Экспорт всего
|
Тыс.Грн.
|
164103
80082
|
188119
88920
|
114,6
111,8
|
279493
143785
|
148,57
161,7
|
400437
268750
|
143,3
186,9
|
| 51.1
Ближнее зарубежье
|
Тыс.Грн.
|
49067
|
43381
|
92,8
|
96745
|
223,01
|
187372
|
194,7
|
| 51.2
Дальнее зарубежье
|
Тыс.Грн.
|
31015
|
45639
|
141,9
|
47040
|
103,07
|
81378
|
173,0
|
| 6 Удельный вес экспорта в реализации продукции
|
%
|
48,8
|
47,6
|
51,4
|
67,1
|
| 7 Удельный вес дальнего экспорта
|
%
|
18,9
|
23,4
|
16,8
|
20,3
|
| 8 Среднемесячная зарплата 1-го ППП
|
Грн.
|
182,9
|
229,9
|
120,0
|
418,1
|
181,86
|
708,4
|
169,4
|
| 9 Объём инвестиций в реконструкцию и тех. перевооружение
|
Тыс.Грн.
|
21430
|
15927
|
74,32
|
61301
|
384,9
|
| 10 Балансовая прибыль
|
Тыс.Грн
|
35432
|
65853
|
185,9
|
68386
|
103,85
|
12567
|
18,3
|
| 11 Численность ППП
|
Чел.
|
17464
|
16126
|
92
|
14832
|
91,98
|
14661
|
98,8
|
Следует отметить социальную направленность руководства предприятия, так как для обеспечения производства и реализации указанных объемов продукции требуется (как показывает мировой опыт) в два раза меньше работников.
При более детальном рассмотрении всех факторов, влияющих на ТЭП, заметно влияние действий руководства и служб предприятия на удержание всех показателей на должном уровне, для чего были проведены значительные по масштабам мероприятия.
Сохранение и увеличение объемов продаж и объёма производства обусловлено интенсификацией работы служб маркетинга производств предприятия, приложением огромных усилий по поиску новых потребителей, в том числе и на рынках дальнего зарубежья, а также разработкой и внедрением на рынок новой продукции.
Увеличение объёма и доли дальнего экспорта явилось в свою очередь результатом использования стратегии агрессивного маркетинга и постоянной работы над повышением качества и конкурентоспособности продукции предприятия. В настоящее время ведётся активная работа по увеличению комплексности производимой некоторыми производствами продукции, что должно обеспечить привлечение новых потребителей, нуждающихся в комплексном оборудовании. Именно такая работа с потребителями, применение «сдачи заказа под ключ», должна обеспечить предприятию дальнейший рост продаж, а, следовательно, благосостояния и стабильности.
Большую роль в сохранении и улучшении позиций предприятия сыграло инвестирование в реконструкцию и техническое перевооружение предприятия. Следует отметить, что инвестирование осуществлялось в основном за счёт собственных средств предприятия, чему в свою очередь способствовало его включение в зону приоритетного развития. Обеспечивая процесс технического перевооружения из прибыли предприятия, а по защищенным инвестиционным проектам в зоне приоритетного развития – путём использования специального экономического механизма инвестирования в оборудование под реализацию проекта, предприятие создало базу для производства новой конкурентоспособной продукции. Обновление основных средств сказалось на балансовой прибыли предприятия, но обеспечение устойчивой деятельности в долгосрочной перспективе является первоочередной задачей.
Необходимо отметить рост объёма балансовой прибыли предприятия в течение первых трёх лет анализируемого периода. Этот рост был вызван отчасти инфляционными процессами в стране, но отчасти он явился следствием увеличения объёмов продаж продукции на рынках дальнего зарубежья, где цены на машиностроительную продукцию выше, что позволило, снижая издержки на выпуск конкурентоспособной продукции, получать больший объём прибыли. Объём балансовой прибыли в 2007 году сократился в результате использования средств на реконструкцию и техническое перевооружение производства.
В целом динамика технико-экономических показателей деятельности предприятия указывает на устойчивое положение предприятия и на положительные тенденции его развития, свидетельствует о переходе предприятия от стратегии выживания к стратегии роста.
2.3 Анализ факторов внутренней и внешней среды, влияющих на конкурентные преимущества предприятия
В условиях современной рыночной экономики эффективность деятельности предприятия в значительной степени определяется наличием у него конкурентных преимуществ перед предприятиями-конкурентами.
Конкурентные преимущества определяют способность предприятия конкурировать на данном рынке или сегменте рынка. Успешное функционирование предприятия невозможно без наличия конкурентных преимуществ, а также без постоянного приобретения новых конкурентных преимуществ.
Среди основных конкурентных преимуществ выделяют такие, как:
- низкие издержки на производство и реализацию продукции, позволяющие устанавливать более низкие цены на продукцию или получать больший объём прибыли;
- высокая степень дифференциации продукции, предполагающая наличие широкого ассортимента продукции и увеличение объёма прибыли, необходимой для приобретения новых конкурентных преимуществ, за счёт наценки за дифференциацию;
- наличие научно-технической базы, позволяющей производить новые, ещё не известные рынку, товары, способствующие повышению степени удовлетворённости потребителей данного вида продукции, а также наличие системы маркетинга, позволяющей преобразовывать результаты инновационной деятельности в конкретные преимущества предприятия на рынке;
- максимальное соответствие производимой продукции и услуг требованиям узкого сегмента рынка, что позволяет приобретать преимущества за счёт наличия потребителей, заинтересованных в приобретении узкоспециализированных товаров и услуг;
- временное отсутствие товаров конкурентов на рынке, связанное с оперативным реагированием предприятия на изменившиеся условия внешней среды (спрос, требования к качеству и т.п.);
- высокое качество продукции, позволяющее предприятию устанавливать соответствующие цены и улучшать свои конкурентные позиции на будущее;
- высокий синергетический эффект от взаимодействия подразделений в рамках предприятия, позволяющий улучшать качество процессов управления и процесса производства.
Достижение перечисленных конкурентных преимуществ определяется наличием сильных сторон предприятия, а также тенденциями изменения условий внешней среды предприятия. Слабые стороны отрицательно влияют на конкурентные преимущества предприятия.
Для оценки значимости влияния различных факторов на конкурентные преимущества предприятия используется SWOT - анализ.
В данной работе SWOT – анализ был проведен с помощью ППП Microsoft Excel’97 путём составления аналитических таблиц, целью которых является расчёт степени влияния отдельных факторов, влияющих на силу и слабость предприятия, а также расчёт силы влияния факторов внешней среды на конкурентные преимущества предприятия. Для расчёта с помощью экспертов была определена значимость каждого из факторов (определяемая в долях единицы от общего влияния группы факторов), затем группа экспертов выставляла оценку каждому фактору (исходя из степени развитости каждого фактора внутренней среды или важности для деятельности предприятия каждого из факторов внешней среды). Путем вычисления произведения показателя степени значимости на оценку каждого фактора была определена степень влияния отдельного фактора на конкурентные преимущества предприятия. Путём суммирования полученных результатов по каждой группе факторов, определяется показатель силы или слабости предприятия в конкурентной борьбе и показатель суммарного влияния факторов внешней среды.
Анализ факторов внутренней среды предприятия приводится в таблице 3. Как показывает анализ таблицы, наиболее сильно влияют на предприятие такие факторы, определяющие сильные стороны, как наличие собственных технологий, высокое качество выпускаемой продукции, конкурентоспособные цены, наличие финансовых ресурсов для обеспечения процесса производства. Кроме того, важное значение для повышения силы предприятия имеют такие факторы, как высокая квалификация работников, развитая система маркетинга, сертифицированная зарубежными специалистами система качества, а также внедрение информационной корпоративной системы (ИКС) управления, позволяющей значительно повысить эффективность работы функциональных служб предприятия. Суммарное влияние сильных сторон предприятия на его конкурентные преимущества является высоким и равно 4,3. Это означает, что предприятие имеет достаточно преимуществ для ведения конкурентной борьбы на мировом рынке машиностроительной продукции.
Среди факторов, определяющих слабые стороны предприятия, следует выделить такие, как: низкая доля предприятия на мировом рынке машиностроительной продукции, значительные сроки обработки заказов, высокая доля косвенных затрат в себестоимости продукции, недостаточная загрузка производственных мощностей предприятия (в результате высокой доли морально устаревшего оборудования в общем количестве ОПФ), а также низкого уровня автоматизации производственных процессов в большей части цехов предприятия. Суммарная оценка слабых сторон предприятия равна 3,95, что указывает на довольно сильное влияние недостатков на конкурентные преимущества предприятия.
Таблица 3 – Анализ факторов внутренней среды, влияющих на конкурентные преимущества предприятия
| SWOT-ФАКТОРЫ
|
Значимость
|
Оценка
|
Степ.
вл.
|
| Основные сильные стороны
|
| Технические:
|
| 1 Наличие собственных технологий
|
0,2
|
5
|
1
|
| 2 Наличие развитой ИКС
|
0,05
|
5
|
0,25
|
| 3 Высокое качество продукции
|
0,15
|
4
|
0,6
|
| Организационные:
|
| 4 Эффективная система внутрифирменного планирования
|
0,05
|
3
|
0,15
|
| 5 Гибкая структура управления
|
0,05
|
4
|
0,2
|
| 6 Развитая система маркетинга
|
0,05
|
4
|
0,2
|
| 7 Система сдачи заказа "под ключ"
|
0,05
|
3
|
0,15
|
| 8 Сертифицированная система качества
|
0,05
|
4
|
0,2
|
| 9 Высокая квалификация работников
|
0,05
|
5
|
0,25
|
| Экономические:
|
| 10 Наличие финансовых ресурсов
|
0,1
|
5
|
0,5
|
| 11 Конкурентоспособные цены
|
0,2
|
4
|
0,8
|
| Суммарная оценка
|
1
|
4,3
|
| Основные слабые стороны
|
| Технические:
|
| 1 Низкий уровень автоматизации производства
|
0,1
|
4
|
0,4
|
| 2 Высокая доля морально устаревшего оборудования
|
0,1
|
5
|
0,5
|
| 3 Неэкологичные технологические процессы
|
0,05
|
3
|
0,15
|
| Организационные:
|
| 4 Слабая известность торговой марки на мировом рынке
|
0,05
|
5
|
0,25
|
| 5 Низкая доля на мировом рынке машиностроения
|
0,2
|
5
|
1
|
| 6 Низкий процент обновления кадров
|
0,05
|
3
|
0,15
|
| 7 Высокая доля косвенных затрат в себестоимости
|
0,1
|
4
|
0,4
|
| 8 Недостаточный уровень взаимосвязей подразделений
|
0,05
|
3
|
0,15
|
| 9 Значительные сроки проработки заказов
|
0,15
|
4
|
0,6
|
| Экономические:
|
| 10 Недостаточное использование потенциала ЗС
|
0,05
|
3
|
0,15
|
| 11 Недостаточное инвестирование в ОПФ
|
0,1
|
2
|
0,2
|
| Суммарная оценка
|
1
|
3,95
|
Анализ факторов внешней среды приводится в таблице 4. Анализ результатов показал, что наиболее сильное влияние на деятельность предприятия оказывают такие факторы внешней среды, как тенденция экономического развития стран СНГ и постепенное развитие рынков машиностроительной продукции в Украине, открывающая новые возможности для предприятия. Среди угроз, которые могут повлиять на деятельность предприятия, выделяются обострение конкурентной борьбы на внутреннем рынке, а также высокая конкурентоспособность зарубежных корпораций, действующих на мировом рынке машиностроительной продукции. Довольно высокой является степень влияния таких угроз, как закрытие Чернобыльской АЭС, а также введение ограничений на поставку энергоресурсов со стороны российских нефтяных и газодобывающих корпораций.
Суммарная оценка влияния внешних факторов является высокой и составляет 4,15. Это свидетельствует о высокой степени зависимости корпорации от изменения условий внешней среды.
Совокупный анализ внутренних и внешних факторов, влияющих на конкурентные преимущества предприятия показывает, что предприятие способно конкурировать на рынке машиностроительной продукции, но для успешного функционирования в долгосрочной перспективе необходимо постоянно проводить работу для поддержания сильных сторон и устранения имеющихся слабых сторон (или снижения степени их влияния). В тоже время необходимо непрерывно отслеживать изменения внешней среды и адекватно реагировать на появление новых возможностей и угроз, оказывающих влияние на деятельность предприятия.
Таблица 4 – Анализ факторов внешней среды, влияющих на конкурентные преимущества предприятия
| Внешние факторы в SWOT-анализе
|
| Возможности
|
:
|
Коэф.вл.
|
Оценка
|
Ст.вл.
|
| 1 Экономическая интеграция стран Европы
|
0,05
|
2
|
0,10
|
| 2 Экономическое развитие стран СНГ
|
0,15
|
5
|
0,75
|
| 3 Развитие рынков Украины, ее выход из кризиса
|
0,15
|
5
|
0,75
|
| 4 Упрощение государственного регулирования
внешнеэкономической деятельности
|
0,10
|
4
|
0,40
|
| 5 Совершенствование налогового законодательства
|
0,05
|
5
|
0,25
|
| 6 Открытие новых газовых месторождений в Украине
|
0,05
|
2
|
0,10
|
| 7 Ввод новой системы бухгалтерской отчетности
|
0,05
|
3
|
0,15
|
| Угрозы:
|
| 1 Закрытие Чернобыльской АЭС
|
0,05
|
4
|
0,20
|
| 2 Конкуренция на внутреннем рынке
|
0,10
|
5
|
0,50
|
| 3 Конкуренция на внешних рынках
|
0,15
|
4
|
0,60
|
| 4 Приватизация ОблЭнергосбыта и усиление контроля над потреблением энергоресурсов со стороны российских поставщиков
|
0,05
|
4
|
0,20
|
| 5 Инфляция и высокий процент по кредиту
|
0,05
|
3
|
0,15
|
| Суммарная оценка
|
1,00
|
4,15
|
2.4 Основные составляющие рыночной стратегии ЗАО НКМЗ
В ходе антикризисной деятельности предприятие сталкивалось с множеством факторов, указывающих на необходимость коренного изменения форм и методов управления, применяемых при планировании, организации и мотивации деятельности. Руководство предприятия осознало необходимость использования передового опыта ведущих производителей машиностроительной продукции не только в технологической, но и в управленческой сфере.
Даже первые шаги в этом направлении показали, что эффективное управление значительно повышает результативность производственно-хозяйственной деятельности. Дальнейшее развитие управленческой деятельности, направленное на повышение конкурентоспособности продукции и конкурентного статуса предприятия, привело к применению при планировании деятельности стратегического планирования, связанного с определением миссии, выработкой целей, формированием стратегий и механизма их реализации в виде конкретных программ.
В своей деятельности АО НКМЗ использует многие элементы стратегического управления. Портфель стратегий предприятия состоит из таких стратегий, как:
1) Стратегия снижения издержек на выпуск продукции, в которую на данном этапе входит реализация следующих задач:
· упорядочение и минимизация затрат по РСЭО, цеховых и общезаводских расходов;
· снижение удельных затрат по использованию электроэнергии, газа, теплоэнергии;
· снижение финансовых и материальных средств на оплату за газ, электроэнергию и железнодорожные тарифы (за счет использования многовариантных подходов при согласовании цены и способов оплаты, включая и бартерные операции; профессиональных знаний, умения и идей менеджеров, экономистов, которые можно реализовать и при этом получить эффективность за счёт минимизации затрат);
· снижение удельных норм расхода и использования ферросплавов, особенно меди, никеля, чугуна и других, именно за счёт этого можно получить максимальную экономию;
· приобретение металла только по бартеру и только у самых дешёвых производителей;
· приобретение комплектующих и материалов только на конкурсной основе;
· максимальное использование имеющихся запасов, материалов и комплектующих изделий;
· разработка и реализация комплексной программы концентрации однотипных производств (снижение себестоимости производства в результате консервации неиспользуемого оборудования, высвобождения численности, выбора наиболее «дешёвых» технологических маршрутов, блочной концентрации производств металлоконструкции, термообработки, гальванических покрытий и механообработки, что позволит сократить накладные, транспортные и другие расходы);
· рациональное использование эффекта масштаба при производстве механоизделий (в тоннах);
· снижение удельных затрат при выполнении строительно-монтажных работ.
2) Стратегия централизованной диверсификации производства предполагает решение следующих задач:
- проведение активной политики диверсификации производства с учётом динамики изменения конъюнктуры рынка;
- разработка стратегических программ обновления номенклатуры выпускаемой техники и оборудования по центрам прибыли;
- разработка и обеспечение взаимосвязи перспективных, годовых и оперативных планов производства, объёмов продаж и прибыли;
- активное использование перспективного бизнес-планирования как инструмента формирования долговременных конкурентных преимуществ;
- формирование перспективных и годовых бюджетов расходования денежных средств на запланированные объёмы производства, обеспечивающих прибыльность деятельности предприятия и его структурных подразделений;
- разработка и внедрение корпоративного хозрасчета в систему управления производственными затратами на стадии планирования и контроля результатов деятельности;
- совершенствование методов планирования и анализа себестоимости выпускаемой продукции, формирования цен на изготавливаемую технику и оборудование;
- разработка планово-целевых программ реализации комплекса организационно-экономических и технических мероприятий, обеспечивающих выполнение перспективных, текущих и оперативных планов.
3) Стратегия маркетинга – её реализация должна обеспечить:
· надежную, своевременную и достоверную информацию о рынке продукции, на котором действует предприятие;
· необходимое воздействие на потребителя, спрос, рынок, максимально возможный контроль сферы реализации;
· предпосылки для создания машин и оборудования с уровнем качества, удовлетворяющим самые высокие требования потребителя;
· анализ и оценка уровня конкуренции и других внешних факторов, определение потенциальной емкости рынка продукции предприятия с учетом специфики производств – центра прибыли;
· разработка и реализация фирменного стиля акционерного общества, элементов маркетинга продукции, выпускаемой ЗАО НКМЗ.
4) Стратегия управления качеством и конкурентоспособностью продукции предполагает осуществление реализации следующих мероприятий:
- разработка и внедрение комплексной системы управления качеством;
- аттестация всего производства на соответствие требованиям европейских и международных стандартов качества;
- создание и освоение принципиально новой наукоёмкой конкурентоспособной техники и оборудования;
- развитие сотрудничества на взаимовыгодных условиях с западными ведущими фирмами по изготовлению наукоёмкой высококачественной продукции;
- техническое перевооружение и модернизация производства, внедрение прогрессивных технологических процессов;
- активизация инвестиционной и инновационной деятельности.
5) Стратегия синергизма предполагает осуществление следующих мероприятий:
· органичное сопряжение процессов реформирования собственности предприятия и перестройки системы внутрифирменного управления;
· использование комплексного и системного подходов при процессе изменения в организационно-управленческом обеспечении производства, повышение восприимчивости предприятия к изменениям внешних условий, усиление интеграции всех внутрипроизводственных структурных подразделений, кооперация внутрихозяйственных связей, четкая ориентация всех звеньев и процессов управления на повышение конкурентоспособности продукции и рынок;
· осуществление перестройки организационной структуры и системы внутрифирменного управления с целью усиления роли менеджмента в осуществлении стратегических целей, тактических и оперативных планов предприятия;
· создание организационной структуры, обеспечивающей возможность приведения в соответствие стратегии и потенциала предприятия для осуществления быстрой и высокочувствительной реакции на изменения условий внешней среды.
6) Стратегия управления персоналом и трудовой мотивацией предполагает осуществление:
- реорганизации системы обучения и переподготовки кадров с учетом требований стратегического менеджмента;
- совершенствования механизма трудовой мотивации и ответственности за обеспечение конкурентоспособности продукции и предприятия;
- повышения объективности и учёта оценки качества и результатов труда в системе оплаты и стимулирования;
- улучшения условий для развития творческого, инициативного труда;
- разработки эффективной системы признания трудовых заслуг, внедрения нетрадиционных методов стимулирования и оплаты труда;
- развития производственной демократии, обеспечения участия работников в принятии управленческих решений;
- обеспечения социальной защищенности работников предприятия.
7) Стратегия внешнеэкомической деятельности предполагает осуществление мероприятий, связанных с выходом предприятия на мировой рынок с конкурентоспособной продукцией. Предприятие, основывая деятельность на правовых актах, регулирующих внешнеэкономическую деятельность, стремится максимально увеличить объёмы экспорта, так как экспорт продукции позволяет повышать финансовую устойчивость и реагировать на изменение общемировых тенденций развития техники и технологии машиностроительной отрасли. Внешнеэкономическая деятельность позволяет предприятию получать «живые» деньги, в отличие от деятельности на отечественном рынке, где большинство потребителей машиностроительной продукции не в состоянии рассчитываться за приобретенную продукцию денежными средствами и предлагают расчет бартером. Осуществление бартерных операций не позволяет предприятию выплачивать заработную плату работникам за произведенный объём продукции, финансировать воспроизводство основных фондов и расширение материально-технической базы, понижает ликвидность оборотных средств и их оборачиваемость. Как свидетельствует мировой опыт, крупная машиностроительная корпорация, которой является АО НКМЗ, для поддержания и усиления своей конкурентоспособности должна использовать стратегию глобализации бизнеса, базой для осуществления которой являются внешнеэкономические торговые отношения и расширение связей с зарубежными компаниями с целью кооперации.
Использование всех вышеперечисленных стратегий предопределяет позиции АО НКМЗ на отечественном и мировом рынках машиностроительной продукции, позволяет приобретать конкурентные преимущества за счёт повышения эффективности управления и чёткой определенности целей и направлений деятельности, правильно распределять имеющиеся ресурсы между сферами бизнеса предприятия, совершенствовать все подсистемы предприятия и приводить его потенциал в соответствие с условиями внешней среды.
3 РАЗРАБОТКА И ОБОСНОВАНИЕ НЕКОТОРЫХ ПУТЕЙ РАЗВИТИЯ БАЗОВОГО ПРЕДПРИЯТИЯ В РАМКАХ СТРАТЕГИИ РАЗВИТИЯ АО НКМЗ ДО 2010 ГОДА
3.1 Создание технопарка на базе ЗАО НКМЗ как инструмент повышения конкурентоспособности предприятия за счёт увеличения наукоёмкости выпускаемой продукции и внутренней эффективности производства
С развитием рыночных отношений в Украине и других странах Восточной Европы возрастает актуальность новых подходов в деле управления научно-техническим процессом. Появилась необходимость правовых, организационных и экономических решений, которые позволят организовать управление наукой так, чтобы переориентировать и приспособить наработки научных коллективов для подъёма производства. Как известно, науку можно разделить на академическую (фундаментальные исследования и разработки) и прикладную (поисковые и прикладные исследования). Первая нуждается в государственной поддержке, так как сама зарабатывать деньги не может, но подпитывает вторую, как говорил президент США Р. Рейган, «мы даём деньги на науку не потому, что богаты, а мы богаты потому, что даём деньги на науку». То есть имеются достаточные основания к стремлению государственных органов развивающихся стран содействовать ускорению НТП и, в первую очередь, использовать эти результаты во всех отраслях экономики.
С другой стороны, прикладная наука должна быть реальной производительной силой, нацеленной на получение конкретного результата при максимальной эффективности использования вкладываемых в неё средств. Но сейчас ситуация такова, что прикладная наука не может достаточно быстро адаптироваться к новым условиям, а промышленность – использовать имеющиеся и новые научно-технические и технологические разработки. Между наукой и промышленностью существует определенный разрыв, который необходимо ликвидировать. Для этого необходимо способствовать практической реализации достижений прикладной науки, что наиболее эффективно обеспечивает инновационная деятельность отдельных субъектов национальной экономики и инновационная политика государства. Инновационная деятельность привлекает средства для выполнения научно-технических и технологических разработок, освоения производства и продажи инновационной продукции, к числу которой могут относиться высоко ликвидные технологии, машины и оборудование, товары народного потребления, информационные услуги, управленческие решения, образовательные программы и т.д. В тоже время важным направлением при внедрении научных достижений во всех сферах деятельности является коммерциализация науки, предполагающая создание и реализацию цепочки "научно-исследовательская работа – опытно-конструкторские разработки – налаживание и освоение производства – выпуск инновационной продукции – коммерческие усилия и продажа инновационной продукции – получение прибыли" с минимальными затратами времени и средств.
Инновационная деятельность является саморегулирующимся процессом, побудительным мотивом которого является желание получить сверхприбыль или повысить устойчивость предприятия путём реализации новой, более конкурентоспособной продукции, а сдерживающим моментом – повышенная степень риска. В случае оптимального сочетания возможных выгод с уровнем риска инновационных проектов мотивация осуществления инновационной деятельности положительна.
Немаловажную роль в создании положительной мотивации играет инновационная политика государства. Инновационная деятельность в США, Англии, Франции, Германии, Японии и других развитых странах поощряется экономическими методами за счёт предоставления её субъектам существенных льгот на государственном и региональном уровнях, таких как льготное финансирование инновационных структур, льготное налогообложение, льготная амортизационная политика и др.
Одной из проблем инновационного процесса является организация взаимодействия двух важнейших сфер деятельности – науки и производства. Международный опыт инновационной деятельности свидетельствует о разнообразии форм и методов, применяемых в зависимости от политики государства в области научно-технического прогресса и взаимодействия разработчиков научно-технической продукции и производителей. Одной из самых распространенных форм такого взаимодействия стали технопарки.
Под технопарком понимается комплекс, объединяющий ряд научно-технических, производственных и информационных организаций, ядром которого являются высшие учебные заведения, научно-исследовательские институты, промышленные предприятия с высоким удельным весом внедряемых научно-исследовательских работ.
Технопарки создаются в промышленных городах с целью объединения усилий научно-исследовательских, опытно-конструкторских организаций, промышленных предприятий и коммерческих структур для реализации всех циклов инновационного процесса. Основная цель технопарка – сокращение периода между созданием новшеств и их внедрением в производство и получение высокой прибыли в результате продажи продукции с новыми или улучшенными свойствами. В связи с этим технопарки создаются с целью осуществления инновационной деятельности, причём инновации рассматриваются как использование новых идей, товаров, услуг, материалов, технологий или деловой практики промышленностью незамедлительно после их открытия с целью изменения или улучшения выпускаемой продукции, способа её производства или распределения. Функции инновации могут быть и технологические, и управленческие, и организационные.
Основными типами инновационной деятельности являются:
- производство нового продукта или продукта с качественно новыми свойствами;
- внедрение новых средств производства;
- освоение нового рынка сбыта;
- применение новых видов сырья, материалов и полуфабрикатов;
- введение новых организационных и институциональных форм;
- изменения инфраструктуры.
Следует особо подчеркнуть две важные характеристики инновации – новизну (научно-технический аспект) и коммерческий успех (экономический аспект). Научно-технический аспект становится экономическим фактором тогда, когда нововведение воплощается в новый продукт, имеющий спрос.
Наиболее эффективным способом превращения научно-технического аспекта в экономический аспект является, как отмечалось ранее, создание инновационных структур. Около 200 инновационно - технологических центров насчитывается сегодня в Германии. В Китае, где уже более 10 лет реализуется программа инновационно-технологического развития страны, создано 52 технопарка, в каждом из которых функционируют до трёх инновационных центров. В США уже в 1973 году существовало 84 технопарка, в Нидерландах и Германии в 1995 году было зарегистрировано 45 и 50 технопарков соответственно, Япония создала на своей территории 18 технополисов, в Англии существуют 35 технологических зон и технопарков.
В международной практике под технопарком понимается организация, имеющая тесные связи с одним или несколькими вузами, научно-исследовательскими институтами или центрами, промышленными предприятиями, региональными и местными органами власти и управления и осуществляющая на соответствующей территории формирование современной инновационной среды с целью развития предпринимательства в научно-технической сфере путём создания материально-технической, экономической, информационной и социальной базы для становления, развития, поддержки и подготовки к самостоятельной деятельности малых инновационных предприятий и фирм, производственного освоения научных знаний и наукоёмких технологий, ускорения передачи технологий на рынок научно-технической продукции.
Значение технопарков и иных инновационных структур особенно велико для государств СНГ и Восточной Европы, где существовавший экономический уклад не способствовал формированию национальной инновационной способности, то есть способности распространения новации в масштабе всей экономики и других сфер деятельности. В силу этого между наукой и производством образовался разрыв, который перекрыл поток технологий, полученных на основе реализации научный идей и достижений.
С целью ликвидации данного разрыва было создано понятие инновационных структур, представляющих собой юридическое лицо любой организационно-правовой формы, созданное в соответствии с действующим законодательством, либо группа юридических и физических лиц, действующих на основании договора о совместной деятельности, ориентированная на создание и распространение наукоёмкой конкурентоспособной продукции.
На территории СНГ инновационные структуры начали создаваться в начале 90-х годов в России, Беларуси, Узбекистане, Казахстане, Киргизии. Позитивным можно считать опыт организации инновационной деятельности в России на примере Ассоциации "Технопарк", которая была образована в 1990 году для координации деятельности по созданию и развитию технопарков, разработки научно-методического и информационного обеспечения формирования технопарков в России, подготовки для них специалистов. Как международная организация, ассоциация объединяет свыше 90 российских и зарубежных членов (из Украины, Беларуси, Казахстана, Узбекистана). Среди деловых партнёров ассоциации – Ассоциация научных парков США и Канады, Национальная ассоциация инкубаторов бизнеса США, Ассоциация технопарков Германии, Международная ассоциация научных парков и другие.
В настоящее время в 25 регионах России действует свыше 50 технопарков, 30% из них – это стабильно функционирующие структуры. Учредителями технопарков в России являются университеты, научные центры, промышленные предприятия, негосударственные фирмы, органы власти, банки, общественные организации. В технопарках России размещены около 100 малых инновационных предприятий, связанных с предпринимательством в научно-технической сфере, действуют около 200 малых предприятий сервисного назначения.
Российские технопарки, объединенные в Ассоциацию "Технопарк", производят продукцию и оказывают услуги 24 отраслям промышленности и социальной сферы, в том числе наиболее часто в сферах науки, научного обслуживания, экологии, машиностроения, энергетики, информатики, здравоохранения и образования. Основными потребителями продукции и услуг технопарков являются государственные предприятия (22%), частный сектор (17%), Вузы (14,6%), зарубежные потребители (14,6%). Группа технопарков - лидеров получила признание не только в России, но и за рубежом. Это такие технопарки как Томский международный деловой центр "Технопарк", Уфимский "Башкортостан", научный парк МГУ, зеленоградский научно-технологический парк "Авиатехнокон" и другие.
В последнее время основным постулатом государственной политики Украины в сфере реформирования экономики является то, что НТП представляет собой важнейший фактор развития общества. Особенное значение придаётся созданию благоприятного инновационного климата. В Украине инновационная деятельность развивалась по двум направлениям. Во-первых, она была поддержана на государственном уровне путем образования в 1993 году Государственного инновационного фонда и предоставления беспроцентного кредита из него по предлагаемым инновационным проектам сроком на 3 года. Во-вторых, начала формироваться законодательная база инновационной деятельности и осуществляться деятельность по созданию инновационных структур (технопарков, инновационных центров, инновационных инкубаторов).
Начало формированию нормативной базы инновационной деятельности в Украине положило Распоряжение Президента Украины от 23 января 1991 года «Вопросы создания технопарков и инновационных структур других типов» №17/96-рп, за которым последовали Постановления Кабинета Министров от 29 апреля 1996 года «О межведомственном совете по координации деятельности создания и функционирования технопарков и инновационных структур других типов» №471, от 22 мая 1996 года «Об утверждении Положения о порядке создания и функционирования технопарков и инновационных структур других типов» №549 от 4 марта 2004 года «О внесении изменений и дополнений в Постановление Кабинета Министров № 471 от 22 мая 1996 года».
Предпосылками для создания технопарков в Украине явились мощный научный потенциал, наличие высокотехнологичных производств, квалифицированных кадров, источников минеральных ресурсов и развитая инфраструктура связи и транспорта, близость к восточным рынкам, а также накопление капитала в отдельных негосударственных структурах. Сдерживающими факторами являются дефицит собственных средств у субъектов предпринимательской и инновационной деятельности, неприемлемые условия предоставления инвестиций и кредитов, отсутствие законодательных гарантий инвестиций и жесткая налоговая и таможенная политика, правовая неопределенность интеллектуальной собственности и низкий уровень маркетинга. Государство должно помочь в преодолении этих препятствий. В тоже время экономические механизмы инноваций не могут быть чисто рыночными, следует подумать и о технологии управления и сопровождения инноваций, о критериях отбора претендентов в инновационную структуру, о создании инновационного аудита и маркетинговых центров, а также рассмотреть вопрос о подготовке специалистов в сфере трансферта технологий. Сейчас можно констатировать, что работа по созданию технопарков только начинается. В связи с этим понятен путь киевских и харьковских ученых, которые образование своих технопарков реализовали через принятие Закона Украины «О специальном режиме инвестиционной и инновационной деятельности технологических парков «Полупроводниковые технологии и материалы, оптоэлектроника и сенсорная техника», «Институт электросварки имени Патона», «Институт монокристаллов»». В соответствии с ним участники выполнения инновационных проектов получают ряд налоговых и таможенных льгот.
В данной работе целесообразно рассмотрение некоторых положений из законодательной базы, касающейся создания и деятельности технопарков на территории Украины.
В соответствии с «Положением о порядке создания и функционирования технопарков и инновационных структур других типов» под инновационной структурой понимается юридическое лицо любой организационно-правовой формы, которое создано соответственно законодательству, или группа юридических и физических лиц, которая действует на основании договора о совместной деятельности, с обозначенной отраслью деятельности и типом функционирования, ориентированным на создание и внедрение наукоёмкой конкурентоспособной продукции. Участниками инновационных структур могут быть:
– научно-исследовательские и проектно-конструкторские организации, работающие в соответствии с профилем инновационной структуры;
– учебные заведения, которые работают в соответствии с профилем инновационной структуры или специализируются на подготовке и повышении квалификации специалистов по базовым специальностям инновационной структуры;
– промышленные предприятия, которые внедряют результаты научно-исследовательских и опытно-конструкторских работ и изобретений;
– инновационные фонды, коммерческие банки, страховые фирмы;
– субъекты предпринимательской деятельности, которые оказывают услуги в области научно-технического консультирования, экспертизы и ресурсного обеспечения.
Целью создания инновационной структуры является интенсификация разработки, производства, и внедрения наукоёмкой конкурентоспособной продукции с направлением взаимосогласованных действий научных организаций, учреждений образования, промышленных предприятий и других субъектов на удовлетворение потребностей внутреннего рынка и наращивания экспортного потенциала страны. При образовании инновационных структур путём заключения участниками договора о совместной деятельности в данном договоре указывается состав участников, направления инновационной деятельности, органы управления и порядок принятия ими решений, права и обязанности участников, порядок финансирования совместной деятельности и распределения прибыли, принятия новых участников, порядок ликвидации инновационной структуры и разделения имущества между участниками.
Основными источниками финансирования инновационной структуры могут быть:
– вклады участников (в виде зданий, оборудования и других материальных ценностей, права использования земли, воды и других природных ресурсов, ценные бумаги и другие имущественные права, а также денежные средства в национальной и иностранной валюте);
– бюджетное финансирование при выполнении госзаказа;
– кредиты банков;
– инвестиции, в том числе и иностранные;
– прибыль от предпринимательской деятельности инновационной структуры;
– выпуск в оборот ценных бумаг.
Инновационная структура разрабатывает и утверждает проект своей деятельности, который должен включать:
– обозначение концепции и целей функционирования инновационной структуры;
– определение основного инновационного продукта (товара, вида услуг);
– технико-экономическое обоснование;
– информацию о составе участников;
– информацию об органах управления и положение об органе управления научно-технической деятельностью инновационной структуры;
– бизнес-план деятельности инновационной структуры.
В соответствии с Законом Украины «О специальном режиме инвестиционной и инновационной деятельности технологических парков «Полупроводниковые технологии и материалы, оптоэлектроника и сенсорная техника», «Институт электросварки имени Е. Патона» и «Институт монокристаллов» » под технологическим парком понимается юридическое лицо или объединение на основании договора о совместной деятельности юридических лиц (участников), главной целью которых является деятельность по выполнению инвестиционных и инновационных проектов, промышленного внедрения наукоёмких разработок, высоких технологий и конкурентоспособной на мировых рынках продукции.
В рамках выполнения инвестиционных и инновационных проектов, осуществляемых в соответствии с приоритетными направлениями деятельности технопарков, вводится специальный режим инвестиционной и инновационной деятельности. Специальный режим инвестиционной и инновационной деятельности – это правовой режим, который предусматривает установление налоговых и таможенных льгот, а также осуществление государственной поддержки, стимулирование деятельности технопарков, их участников, дочерних и совместных предприятий, выполняющих инвестиционные и инновационные проекты в соответствии с приоритетными направлениями научно-технической деятельности технопарков. При этом под приоритетными направлениями научно-технической деятельности технопарков понимаются экономически и социально обусловленные направления научно-технической деятельности технопарка, направленные на выпуск конкурентоспособной высокотехнологичной и инновационной продукции.
Специальный режим инвестиционной и инновационной деятельности для технопарков, их участников, дочерних и совместных предприятий вводится на срок 15 лет и действует при выполнении инвестиционных и инновационных проектов в приоритетных направлениях деятельности технопарков в течение первых пяти лет с момента регистрации проектов, но в пределах вышеуказанного срока действия специального режима инвестиционной и инновационной деятельности.
Законодательством предусмотрены следующие особенности налогообложения технологических парков, их участников и совместных предприятий:
– суммы налога на добавленную стоимость по операциям продажи товаров (выполнения работ, предоставления услуг), связанных с выполнением инвестиционных и инновационных проектов по приоритетным направлениям деятельности технопарков, а также суммы налога с прибыли, полученной в результате выполнения этих проектов, технопарки не перечисляют в бюджет, а зачисляют на специальные счета (50% на собственный, 50% на счёт технологического парка) и используют указанные суммы исключительно на научную и научно-техническую деятельность, развитие собственных научно-технических и экспериментальных баз;
– технопарки освобождаются от уплаты сбора в Государственный инновационный фонд, начисляемого в зависимости от объёмов реализации продукции в пределах инвестиционных и инновационных проектов по приоритетным направлениям деятельности;
– технопарки, которым предоставляются льготы, обеспечивают ведение отдельного бухгалтерского учёта операций, связанных с выполнением инвестиционных и инновационных проектов;
– средства, не использованные на протяжении установленного срока действия специального режима инвестиционной и инновационной деятельности, накопленные на специальных счетах, подлежат зачислению в Государственный бюджет Украины.
Предусмотрены также некоторые особенности государственной поддержки инвестиционной и инновационной деятельности, к которым можно отнести то, что:
– инвестиционные и инновационные проекты, которые выполняются в установленном этим Законом порядке, являются приоритетными для получения кредитов, предоставляемых под государственные гарантии, и привлечения средств Государственного инновационного фонда и его региональных отделений;
– в случае невыполнения участниками технологических парков своих обязательств по договорам о совместной деятельности, связанной с выполнением проектов, они обязаны по истечении налогового периода, на который приходится прекращение действия договоров, увеличить свои налоговые обязательства на сумму освобожденных от налогообложения средств за весь период действия таких договоров, а также уплатить пеню, начисленную на эту сумму, исходя из 120 процентов учётной ставки Национального банка Украины, которая действовала на день увеличения налоговых обязательств, и за период от даты освобождения этих средств до даты их уплаты в бюджет.
Законодательством устанавливается также специальный порядок ввоза товаров, оборудования, сырья, материалов, комплектующих и других предметов, используемых технологическими парками, их участниками, дочерними и совместными предприятиями. В соответствии с этим порядком сырьё, материалы, оборудование, комплектующие и другие товары, которые не производятся на территории Украины или производятся, но не отвечают техническим характеристикам и международным стандартам, при ввозе в Украину для использования при выполнении инвестиционных и инновационных проектов по приоритетным направлениям освобождаются от уплаты таможенной пошлины и налога на добавленную стоимость.
Расчёты по экспортно-импортным операциям, которые осуществляются при выполнении инвестиционных и инновационных проектов, проводятся в срок до 150 календарных дней. Средства, которые поступили в иностранной валюте от реализации продукции или услуг технопарков, не подлежат обязательной продаже.
Немаловажно, что в соответствии с рассмотренным Законом государство гарантирует стабильность устанавливаемого специального режима инвестиционной и инновационной деятельности технологических парков на весь срок, определяемый этим Законом.
В существующих условиях определить принципы образования и деятельности технопарка на основе Ново-Краматорского машиностроительного завода сложно, так как возникают вопросы об осуществлении финансирования при разработке инновационной продукции и технологий инновационными предприятиями в инкубаторах бизнеса. Также возникает ряд вопросов о структуре и материальной базе технопарка. Но при развитии предприятия до уровня высокоинтеллектуального комплекса, производящего сложную наукоёмкую продукцию, возможно появление необходимости в создании технопарка.
При этом следует отметить, что в соответствии со сложившимися условиями и практикой создания и деятельности технопарков рекомендуется в качестве основы применить разработанное в соответствии с мировыми стандартами положение.
Положение о технопарке
1 Основные понятия и общие положения
1.1 Технопарк - это организация, имеющая тесные связи с одним или несколькими высшими учебными заведениями и научными центрами, промышленными предприятиями, региональными и местными органами власти и управления и осуществляющая на находящейся под ее юрисдикцией территории формирование современной инновационной среды с целью поддержки инновационного предпринимательства и создания наукоёмкой конкурентоспособной продукции.
1.2 Разрабатываемый технопарк характеризуется:
· наличием в составе управления технопарком группы менеджеров, работающей на постоянной основе;
· наличием отработанного механизма взаимодействия технопарка с научными центрами, промышленными предприятиями, региональными властями с целью ускоренного вовлечения их интеллектуальной собственности в хозяйственный оборот на основе создания консорциумов по выполняемым проектам;
· наличием инкубатора бизнеса, в котором размещаются и поддерживаются малые инновационные фирмы, выполняющие проекты в рамках приоритетных направлений деятельности технопарка;
· наличием необходимого количества сервисных фирм, удовлетворяющих спрос со стороны инновационных предприятий и команд проектов на простые и сложные услуги;
· способностью оказывать реальное влияние на социально-экономическое и технологическое развитие территории.
2 Предмет деятельности, цели и задачи технопарка
2.1. Предметом деятельности технопарка является создание условий, благоприятных для ускоренного производственного освоения результатов научно-исследовательских и опытно-конструкторских работ, изобретений и открытий, создание конкурентоспособных, ориентированных на экспорт и импортозамещающих технологий, товаров и услуг и доведение их до потребителя на коммерческой основе. Основным принципом отбора проектов является возможность их коммерциализации в минимально возможные сроки и их соответствие приоритетным направлениям деятельности технопарка, обусловленных в учредительных документах, составляемых при разработке пакета документов.
2.2 Своей деятельностью технопарк преследует следующие цели:
· создание среды, благоприятной для развития малого и среднего инновационного предпринимательства, поддержка предпринимателей из числа учёных и инженеров;
· передача технологий из сектора науки в сектор промышленности, содействие партнерству между государственным и частным секторами экономики;
· содействие конверсии оборонных технологий, разрабатываемых в научно-исследовательских и опытно-конструкторских учреждениях;
· решение вопросов включения наукоемкого сектора инновационного предпринимательства в международную кооперацию, опережающее развитие экспортно-ориентированных производств;
· содействие обеспечению технологической и экономической безопасности Украины;
· формирование среды, благоприятной для ускоренной коммерциализации результатов научных исследований, превращения их в товары и услуги, воспринимаемые рынком;
· подготовка кадров, образовательная деятельность (при помощи вузов, научных и других организаций - учредителей).
2.3 Для достижения названных целей технопарк решает следующие задачи:
· формирование и развитие рыночной инфраструктуры, создаваемой в интересах инновационных предприятий, коммерциализирующих результаты научных исследований, открытий и изобретений;
· привлечение к активной предпринимательской деятельности профессорско-преподавательского состава высших учебных заведений, сотрудников научных организаций, отдельных ученых и специалистов, содействие реализации их идей и проектов;
· обучение и подготовка предпринимателей в сфере экономики, менеджмента, маркетинга, повышение уровня их профессиональных, правовых, экономических и управленческих знаний;
· участие в переподготовке и повышении квалификации профессорско-преподавательского состава вузов и обучение студентов в соответствии с профилем деятельности технопарка;
· содействие разработке и реализации инновационных предложений, научно-технических проектов и программ, направленных на создание наукоемких технологий и конкурентоспособной продукции, ускоренное их освоение в производстве;
· формирование территориальной инновационной системы, ориентированной на эффективное использование научно-технического потенциала региона с целью ускоренного освоения новой техники и наукоемких технологий, участие в разработке и реализации региональных целевых инновационных программ и проектов;
· организация и осуществление международного научно-технического сотрудничества во всех его формах в соответствии с законодательством.
2.4 В соответствии со своими задачами технопарк:
· осуществляет экспертизу и конкурсный отбор инновационных предложений, научно-технических проектов и программ, имеющих коммерческий, экспортный, конверсионный потенциал и направленных на производство новой продукции и услуг на основе передовой техники и наукоемких технологий;
· привлекает на свою территорию действующие инновационные предприятия, направления деятельности которых соответствуют целям и задачам технопарка;
· оказывает действующим совместно с технопарком предприятиям помощь в проведении научно-исследовательских и опытно-конструкторских работ, производственного освоения их результатов, способствует установлению связей с высшими учебными заведениями;
· предоставляет инновационным предприятиям на договорной основе лабораторные, экспериментально-производственные площади, оборудование для выполнения научно-исследовательских и опытно-конструкторских работ, офисные, производственные, складские, учебные и другие помещения, конференц-залы и аудитории;
· оказывает юридические, финансовые, инжиниринговые, маркетинговые, хозяйственные, информационные и иные услуги инновационным предприятиям, а также ученым, изобретателям и их коллективам, занимающимся инновационной деятельностью;
· организует взаимодействие инновационных предприятий с вузами, финансовыми учреждениями, научными организациями, промышленными предприятиями, их объединениями;
· осуществляет инвестирование в инновации, научно-технические проекты и программы, реализуемые расположенными в технопарке инновационными предприятиями, специализирующимися в приоритетных для технопарка направлениях коммерциализации результатов научно-технических исследований, разработок, изобретений (только при условии обязательной коммерциализации);
· предоставляет информацию по инновационным предложениям и продуктам, возможным партнерам и участникам инновационного процесса, продавцам и покупателям интеллектуальной собственности, научно-технической продукции и услуг;
· оказывает помощь учёным в патентно-лицензионной и правовой сферах, в области защиты интеллектуальной собственности;
· осуществляет другие виды деятельности, предусмотренные учредительными документами.
3 Структура технопарка
3.1 Технопарк самостоятельно формирует свою организационную структуру, которая утверждается высшим органом управления технопарка – советом учредителей. Структура технопарка определяется исходя из основных направлений и специфики его деятельности. Структурными составляющими технопарка являются (органиграмма представлена на рисунке 6):
· инкубатор малого бизнеса, размещаемый в много офисном здании, в котором на льготных условиях на срок, не превышающий два года, располагаются малые начинающие инновационные фирмы;
· инновационно - технологический центр, включающий инновационные предприятия, вышедшие из инкубатора, но пожелавшие остаться на территории технопарка; предприятия и фирмы, которые пришли в технопарк из высших учебных заведений, научных центров, промышленных предприятий; дочерние фирмы, филиалы, отделения крупных предприятий и корпораций;
· вузовско – промышленный центр на основе ДГМА и НКМЗ, основанный с целью поиска, разработки и ускоренной коммерциализации новых научно-технических идей, открытий, изобретений в области машиностроения, автоматизации и новых технологий;
· сервисные предприятия и фирмы, предоставляющие предприятиям технопарка офисные, информационные, юридические, патентные, лицензионные, инжиниринговые, маркетинговые, бухгалтерские, финансовые, рекламно-издательские услуги и услуги в области трансферта технологий;
· службы коллективного пользования, включая лаборатории, конструкторские бюро, опытные производства, компьютерные центры, службы коммерции и маркетинга, комплексы технического обслуживания, стандартизации и сертификации.
3.2 Задачи инкубатора бизнеса технопарка состоят в следующем:
· предоставлять начинающим предприятиям помещения на "гибких" условиях;
· выступать в качестве интеллектуального центра, в котором происходит обмен идеями, техническим и управленческим "ноу-хау", а также бизнес - центра, в котором встречаются продавцы и покупатели;
· предоставлять предпринимателю необходимый ему комплекс услуг, включая управленческие, юридические, финансовые, маркетинговые и прочие консультации; оказание содействия в привлечении финансовых средств;
· предоставлять малым начинающим предприятиям информацию, подбирать кадры, искать деловых партнеров;
· обеспечивать взаимодействие между малыми инновационными предприятиями инкубатора бизнеса и технопарком в целом; между малыми инновационными предприятиями, потенциальными заказчиками, инвесторами, представителями органов власти и управления и т.д.;
· содействовать созданию территориального кластера наукоемких компаний, располагающихся в технопарке и оказывающих влияние на развитие местной и региональной технологической базы.
4 Имущество и средства технопарка, деятельность и ликвидация
4.1 Имущество и средства технопарка образуются за счет вкладов его учредителей в уставный фонд и на специальные счета технопарка; доходов от деятельности технопарка; целевых бюджетных ассигнований. Порядок и условия передачи средств учредителями оговаривается в договорах о совместной деятельности.
Порядок деятельности и ликвидации технопарка оговаривается в учредительных документах и законодательстве Украины.

Наибольшую важность и сложность при решении о создании технопарка представляет экономическое и социальное обоснование создания технопарка. В условиях ограниченности финансовых ресурсов именно экономическая выгода может привлечь учредителей и убедить их вложить средства в развитие инновационной базы региона путём создания технопарка. С целью улучшения экономического потенциала страны законодательством Украины предусмотрен ряд льгот, позволяющих совершенствовать инновационную, научную и технологическую базу предприятий, являющихся участниками технопарка. В тоже время государство предприняло ряд мер для сохранения и увеличения экономического потенциала страны. Так, были созданы свободные экономические зоны, предусматривающие предоставление льгот на определенной территории. Также в рамках свободных экономических зон были созданы зоны приоритетного развития, в которых льготы предоставляются отдельным предприятиям и только по защищенным проектам. Основной учредитель технопарка – ЗАО НКМЗ – активно пользуется данным положением, что доказывается осуществлением четырёх крупных инвестиционных проектов в рамках зоны приоритетного развития. Льготы по этим проектам аналогичны льготам при осуществлении проектов в условиях технопарка, поэтому сложно оценить экономический эффект, получение которого будет обеспечено созданием технопарка.
В тоже время нельзя пренебрегать проектом технопарка только по причине прямой экономической нецелесообразности. Существует ряд социальных и косвенных экономических преимуществ, связанных с созданием технопарка. среди основных из них выделяются такие, как:
· создание имиджа предприятия как высокоинтеллектуального, ориентированного на производство наукоёмкой, высококачественной и конкурентоспособной на мировом рынке продукции за счёт представления его в качестве основного учредителя машиностроительного технопарка;
· увеличение наукоёмкости и конкурентоспособности продукции за счёт расширения числа научных учреждений, являющихся партнёрами предприятия по различным инновационным проектам;
· увеличение числа коммерциализируемых на предприятии передовых научных разработок, позволяющих повышать внутреннюю эффективность производства или конкурентоспособность выпускаемой продукции;
· сокращение цикла производства инновационной продукции за счёт сокращения длительность этапа научно-исследовательских и опытно-конструкторских работ;
· уменьшение издержек предприятия на осуществление опытно-конструкторских работ;
· наиболее полное использование научно-технического потенциала внешней среды за счёт увеличения числа внедряемых научно-технических разработок;
· гарантии стабильности законодательства относительно технопарков.
К отрицательным моментам относится необходимость финансирования инновационных предприятий и проектов на начальных этапах их существования, несовершенство законодательства и реальных механизмов поддержки технопарков, необходимость уплачивать 50% высвобожденных от налогообложения средств на специальные счета технопарка и зависимость от партнёров при выполнении проектов в рамках договоров о совместной деятельности, так как в случае невыполнения обязательств и разрыва партнёром договора повышаются налоговые обязательства предприятия перед бюджетом на сумму неуплаченных налогов и таможенных сборов.
Следует отметить, что создание технопарка будет целесообразно в будущем, когда на действующих технопарках будут отработаны схемы государственной поддержки, механизмы функционирования и законодательная база.
3.2
Создание вузовско - промышленного центра ЗАО НКМЗ – ДГМА с целью совершенствования системы поиска, разработки и коммерциализации инновационных научно – технических идей
Одной из ключевых проблем при ускорении научно-технического прогресса в мире является обеспечение соответствия научно-технического уровня продукции и технологических процессов предприятия тем требованиям, которые предъявляются со стороны потребителей продукции. При экспортной ориентации предприятия важность данного соответствия возрастает, так как условия конкуренции на мировом рынке обостряются. Такая тенденция особенно характерна для отраслей, характеризующихся высокой наукоёмкостью выпускаемой продукции. Машиностроение в настоящее время переходит из области преимущественно материалоёмкой и трудоёмкой продукции в область наукоёмкой. Для успешного ведения конкурентной борьбы машиностроительные предприятия должны предлагать потребителям продукцию не только соответствующую мировым стандартам, но и обладающую высокой степенью технической и эксплуатационной новизны. Данная отрасль переходит от методов, позволяющих удовлетворять потребности потребителей, к методам создания этих потребностей. Именно создавая новые потребности можно обеспечить устойчивое положение и развитие предприятия. Достижение высокого уровня конкурентоспособности предприятия не возможно без обеспечения высокой наукоёмкости продукции и используемых технологий.
Решение задач, связанных с повышением конкурентоспособности продукции и организационно-технического уровня производства не возможно без тесного взаимодействия предприятий-продуцентов с научными учреждениями, осуществляющими научно-исследовательские и опытно-конструкторские работы.
Формы такого взаимодействия могут быть различны. Оно может осуществляться путём выполнения совместных проектов, создания различных инновационных структур на основе взаимодействия науки и производства, предоставления заказов на осуществление отдельных научных разработок или создания отдельных научных подразделений в рамках структуры предприятия.
В тоже время ни одно из отечественных промышленных предприятий не может позволить себе осуществлять дорогостоящие и рисковые фундаментальные исследования и разработки. Финансирование фундаментальной науки должно быть прерогативой государства. Государство должно поддерживать фундаментальные научные исследования, результаты которых являются базой для осуществления дальнейших поисковых и прикладных исследований. Предприятия могут позволить себе вкладывать средства в осуществление коммерциализации научно-технических идей только при условии возврата вложенных инвестиций. Однако существует ряд трудностей, связанных, прежде всего, со своевременным выявлением идей, коммерциализация которых позволит предприятию приобрести новые конкурентные преимущества или повысить конкурентный потенциал, и их коммерциализацией.
В данной дипломной работе предлагается разрешить рассмотренные проблемы путём создания вузовско-промышленного центра. С одной стороны, в создании центра заинтересовано АО НКМЗ, являющееся ведущим машиностроительным предприятием Украины. Предприятие стремится к повышению конкурентоспособности своей продукции на мировом рынке за счёт повышения её наукоёмкости и к увеличению внутренней эффективности производства и бизнес-процессов. С другой стороны, в сотрудничестве с Ново-Краматорским машиностроительным заводом заинтересована Донбасская государственная машиностроительная академия, являющаяся одним из лучших машиностроительных вузов Украины и обладающая определенным научным потенциалом. Ранее применялись формы сотрудничества, основанные на взаимодействии кафедр академии, осуществляющих научные и прикладные разработки, со специалистами производственных, конструкторских и технологических подразделений предприятия. Но при таких формах сотрудничества невозможно раскрыть весь имеющийся научный потенциал, как академии, так и предприятия. Поэтому с целью совершенствования взаимодействия между наукой и производством целесообразно создание на основе вузовско-промышленного центра системы поиска, разработки и коммерциализации инновационных научно-технических идей. Действие данной системы позволит сократить цикл внедрения результатов научных разработок и создания новой продукции или технологий, наиболее полно использовать имеющийся в научных учреждениях страны потенциал и уменьшить издержки предприятия за счёт сокращения этапа цикла, на котором производится инвестирование в осуществление научных разработок.
В соответствии с практикой проектирования подобных инновационных структур, предполагается создание структуры, обладающей следующими особенностями:
– исследования и разработки переходят в разряд непосредственной производственной функции, в отличие от осуществления функции НИОКР предприятием, когда она является опосредованной к главной цели – получению прибыли;
– наряду с естественной для центра инновационной реакцией в их набор должны входить производственная, конкурентная и стратегическая реакции, при этом доминирующими являются инновационная и стратегическая реакция как наиболее адекватно отражающие влияние факторов внешней среды на создание нововведений и учитывающие прогнозируемые тенденции и их изменения;
– организационная структура должна быть ориентирована на оптимальное сочетание полномочий и ответственности команд, которыми непосредственно создаются нововведения, что позволит реализовать доминирующую стратегическую реакцию и включить специальные механизмы мотивации создателей интеллектуального продукта, активизирующие инновационную реакцию;
– организационная структура должна обеспечивать эффективное функционирование стратегической и оперативной сфер деятельности;
– организационная структура должна обеспечивать высокий уровень децентрализации управления командами, так как наивысшей степени инновационная и стратегическая реакция достигают тогда, когда руководитель процесса создания конкретного нововведения наделяется достаточными ресурсами, необходимыми распорядительными полномочиями и адекватной ответственностью.
Исходя из указанных особенностей, можно предложить вариант структуры с единым ресурсным и многоаспектным управленческим потенциалами, что позволяет управлять центром как взаимосвязанным и интегрированным целым. Данная структура представлена на рисунке 7.
Высшим органом управления вузовско-промышленным центра является экспертный совет, в который входят представители ДГМА и НКМЗ. Функции высшего руководства заключаются в следующем:
- в формировании стратегического набора проектов, выполняемых в рамках матричной подструктуры коммерциализации идей;
- в обеспечении адекватной реакции центра на стратегические проблемы, формулировании целей и постановке задач;
- в распоряжении стратегическими ресурсами;
- в определении направлений поиска новых идей;
в контроле за реализацией существующего потенциала центра.
Рисунок 7 –Организационная структура вузовско-промышленного центра АО НКМЗ - ДГМА
В функции руководителя центра и руководителей подразделений функциональной поддержки команд входит:
- организация и обеспечение поиска новых научно-технических идей;
- разработка стратегических и тактических планов центра;
- обеспечение достижения планируемых экспертным советом показателей;
- распоряжение материальными, трудовыми, информационными и финансовыми ресурсами.
Подразделения функциональной поддержки команд занимаются организационными вопросами поиска и коммерциализации идей, они участвуют в поиске и коммерциализации идей путём включения их специалистов в команды матричной подструктуры, но и одновременно функционально подчинены руководителю центра и соответствующего подразделения.
В качестве материально-технической базы центра предполагается использовать отдельные административные помещения вуза и предприятия, обеспеченные необходимыми средствами оргтехники и коммуникаций, незагруженные производственные мощности предприятия, экспериментальный участок предприятия и лаборатории вуза.
Финансирование выполняемых проектов, основанных на использовании новых идей, выполняется поэтапно. При поиске и оценке возможности использования и коммерциализации новых идей финансирование осуществляется за счёт средств, выделяемых государством и академией, а также из венчурного фонда, финансируемого предприятием. При принятии решения о коммерциализации идеи после детального технико-экономического обоснования финансирование производится за счёт венчурного фонда или за счёт предприятия.
Логическая последовательность процесса поиска и коммерциализации идей представлена на рисунке 8.
Рисунок 8 - Система поиска и коммерциализации новых научно-технических идей
В соответствии с рисунком, информация о новых идеях, поступающая из внешней среды, анализируется и передаётся на рассмотрению экспертному совету, который решает вопрос о соответствии или несоответствии идеи направлениям глобального поиска предприятия и о возможности коммерциализации новых идей. Команды поиска новых идей проводят непрерывное сканирование внешней научно-технической среды по приоритетным направлениям, анализируют возможность коммерциализации идей и объём необходимых средств. После принятия решения экспертным советом о коммерциализации идеи заключаются договора с научным учреждением, которое проводило разработки, по выполнению совместного проекта. Контроль и координацию работы команд в рамках матричной структуры производит руководитель центра и экспертный совет. Команды формируются из числа учёных (ДГМА и вуза – партнёра), специалистов предприятия и специалистов вузовско-промышленного центра.
Наиболее сложной проблемой при создании вузовско-промышленного центра является экономическое обоснование инвестиций в инфраструктуру центра и формирование венчурного капитала для осуществления поиска и первичной разработки новых научно-технических идей.
К преимуществам вузовско-промышленного центра относятся следующие:
- увеличивается количество принимаемым к коммерциализации научно-технических идей, так как условия отбора проектов для финансирования в рамках центра более смягчены по сравнению с условиями отбора на предприятии, что позволяет наиболее полно использовать научно-технический потенциал внешней среды;
- за счёт реализации инновационной стратегии вузовско-промышленного центра открывается возможность использования предприятием стратегии первопроходца и получение в результате этого высокого уровня прибыли;
- сокращается цикл создания новой продукции, основанной на использовании новых научно-технических идей, а также сроки изменений технологических процессов на предприятии, вызванных коренной модернизацией используемых технологий или внедрением новых технологий на основе коммерциализуемых идей;
- предприятие может ограничивать количество выделяемых на проведение первичной проработки новых идей средств тем венчурным капиталом, который оно передаёт на основе договора о совместной деятельности и учредительных документов вузовско-промышленного центра.
В данной работе оценивается экономическая эффективность вузовско-промышленного центра на основе сопоставления затрат и прибылей от внедрения инноваций, основанных на использовании новых идей, при ведении разработок специалистами предприятия совместно с научным учреждением - партнёром, или же при ведении разработок вузовско-промышленным центром.
В таблице 5 рассмотрены срезы денежных потоков по проекту, выполняемому предприятием самостоятельно. В таблице рассмотрены срезы денежных потоков при выполнении поиска и разработок вузовско-промышленным центром. Представленные данные не связаны с реальными потоками, но отражают общие тенденции затрат и доходов при осуществлении реальных разработок. На рисунках 9 и 10 представлены графики инновационных циклов при выполнении проектов предприятием и центром соответственно. Для возможности анализа с помощью ППП Excel был проведен регрессионный анализ и выведена эмпирическая формула зависимости денежных потоков от момента времени по инновационному циклу. Данная формула имеет вид полинома третьей степени. Для оценки повышения эффективности использования инвестиций при сокращении времени поиска, разработки и реализации идей с помощью ППП Excel проведём анализ соотношения доходов и инвестиций по первоначальному и сокращенному циклам (анализ представлен в таблице 6 ).
Таблица 4 - Инвестиции (-) и доходы (+) при поиске и реализации новых идей собственными силами предприятия
| Месяцы
|
Первоначальный цикл
|
| 0
|
0
|
| 1
|
-593,7
|
| 2
|
-979,8
|
| 3
|
-1181,1
|
| 4
|
-1220,4
|
| 5
|
-1120,5
|
| 6
|
-904,2
|
| 7
|
-594,3
|
| 8
|
-213,6
|
| 9
|
215,1
|
| 10
|
669
|
| 11
|
1125,3
|
| 12
|
1561,2
|
| 13
|
1953,9
|
| 14
|
2280,6
|
| 15
|
2518,5
|
| 16
|
2644,8
|
| 17
|
2636,7
|
| 18
|
2471,4
|
| 19
|
2126,1
|
| 20
|
1578
|
| 21
|
804,3
|
Таблица 5 - Инвестиции (-) и доходы (+) при поиске и реализации новых идей вузовско-промышленным центром
| Месяцы
|
Сокращенный цикл
|
| 0
|
0
|
| 1
|
-903,7
|
| 2
|
-1382
|
| 3
|
-1497,9
|
| 4
|
-1314,4
|
| 5
|
-894,5
|
| 6
|
-301,2
|
| 7
|
402,5
|
| 8
|
1153,6
|
| 9
|
1889,1
|
| 10
|
2546
|
| 11
|
3061,3
|
| 12
|
3372
|
| 13
|
3415,1
|
| 14
|
3127,6
|
| 15
|
2446,5
|
| 16
|
1308,8
|

Рисунок 9 - График доходов и инвестиций при осуществлении поиска и разработки новых научно-технических идей собственными силами предприятия
Рисунок 10 - График доходов и инвестиций при осуществлении поиска и разработки новых научно-технических идей вузовско-промышленным центром
Следует отметить, что выведенные эмпирическим путём зависимости носят непрерывный характер, в то время как значения финансовых потоков, используемые при построении зависимости, являются дискретными. В тоже время в каждый момент времени величина финансовых потоков и их направление определены значением, представляющим собой дискретный срез инвестиций или доходов в данный момент. Сумма инвестиций и доходов может быть определена только лишь суммированием значений дискретных финансовых потоков на определенном интервале.
Для оценки повышения эффективности инновационного процесса при создании вузовско-промышленного центра используем метод суммирования инвестиций и доходов на интервалах инвестирования и получения дохода от внедрения инновационной продукции на рынок или использования инновационных технологий в производственном процессе.
Оценка эффективности вузовско-промышленного центра на обнове анализа сокращения цикла поиска и разработки новых идей представлена в таблице 7. Графическое представление результатов анализа в виде соотношения параметров инновационных циклов приводится на рисунке.
Анализ проводился с помощью ППП Excel (при реализации возможно использование программ, составленных с помощью языка Pascal, среды ППП Delphi или пакета MathCad8) по следующему алгоритму:
1) рассчитываем точку перехода инвестиций в доходы по формуле 1
(1)
где a,b и c –коэффициенты полиномиальной зависимости, характеризующей цикл;
2) определяем длительность инновационного цикла: для первоначального цикла длительность принимаем d=21 неделю, для сокращенного d=16 недель;
Таблица 7 -Оценка эффективности вузовско-промышленного центра на основе анализа сокращения цикла поиска и разработки новых идей
| Циклы/Показатели
|
Первоначальный
|
Сокращенный
|
| Коэффициенты регрессий
|
a
|
-3,8
|
-10,5
|
| b
|
115,2
|
244,2
|
| c
|
-705,1
|
-1137,4
|
| Точка перехода Инв. в Дох.
|
8,508899228
|
6,442063553
|
| Длительность цикла
|
21
|
16
|
| Сумма потоков
|
Инвестиций,млн.у.е.
|
6,848413
|
6,360069
|
| Доходов, млн.у.е.
|
22,239313
|
22,155269
|
| Рентабельность инвестиций,%
|
324,73
|
348,34
|
3) определяем сумму потоков инвестиций по формуле (2):
, (2)
где f(x)-уравнение полиномиальной зависимости, характеризующей циклы;
I – суммарный объём инвестиций
4) определяем сумму потоков доходов по формуле (3):
(3)
где f(x)-уравнение полиномиальной зависимости, характеризующей циклы;
D – суммарный объём доходов;
5) определяем рентабельность инвестиций по формуле (4):
*100%, (4)
где R – рентабельность инвестиций.
Как следует из анализа таблицы и диаграмм рисунка 11, точка перехода инвестиций в доходы переместилась с 8,51 месяцев до 6,44 месяцев, то есть период инвестирования сократился на 2,07 месяцев, что привело к сокращению объёма инвестиций на 488 тыс. у.е. Длительность периода получения доходов вследствие уменьшения длительности инновационного цикла на 5 месяцев также сократилась, но за счёт получения дополнительного дохода от раннего выхода инновационной продукции на рынок совокупный доход, получаемый вследствие реализации новой идеи сократился, но на незначительную величину, равную 84 тыс. у.е. В тоже время рентабельность инвестиций при сокращенном инновационном цикле составила 348,3%, что на 7,3% больше, чем при первоначальном цикле. То есть, несмотря на сокращение времени присутствия инновационной продукции предприятия на рынке, эффективность поиска и разработок новых идей вузовско-промышленным центром выше, чем при осуществлении разработок собственными силами предприятия. Учитывая то, что финансовое участие предприятия в поиске новых идей ограничивается венчурным капиталом, переданным на счёт вузовско-промышленного центра, рентабельность инвестированных средств предприятия ещё больше возрастает.
Исходя из вышесказанного, эффективность вузовско-промышленного центра обуславливается следующими факторами:
1) повышается уровень использования научно-технического потенциала внешней среды, что непосредственно влияет на научный потенциал академии и значительно повышает конкурентоспособность предприятия за счёт повышения наукоёмкости продукции и технологического уровня производственных процессов;
2) увеличивается прибыльность предприятия вследствие реализации конкурентной стратегии «первопроходца» и более раннего выхода на рынок;
3) увеличивается рентабельность инвестированного капитала, что обусловлено существенной разницей темпов сокращения инвестиций и сокращения доходов;
4) сокращается инновационный цикл поиска, разработки и реализации новых идей, что обуславливает увеличение числа последовательно принимаемых к разработке новых идей, а это в свою очередь ведёт к росту степени использования научного потенциала учёных академии и предприятия;
5) увеличивается количество продуктивных связей академии и предприятия с научными учреждениями Украины, что позволяет своевременно выявлять наиболее перспективные идеи и создавать целевые консорциумы по из разработке и реализации.
Таким образом, создание вузовско-промышленного центра является перспективным как для академии, так и для предприятия. Деятельность вузовско-промышленного центра позволит предприятию достичь его целей и миссии.
3.3 Создание высокоорганизованного производства как залог успеха предприятия в реализации стратегии развития
Множество проблем, с которыми сегодня сталкиваются украинские предприятия, можно с известной долей условности свести к нескольким наиболее крупным стратегическим, первая среди которых – неспособность предприятий достаточно быстро и с минимально необходимыми затратами реагировать на потребности рынка, то есть быть гибкими в условиях жесткой конкурентной борьбы.
В сложившейся ситуации одно из естественных и наиболее эффективных направлений дальнейшего развития отечественной промышленности – повышение степени гибкости предприятий к потребностям рынка. Необходимость повышения гибкости предприятий обусловлена многими причинами, наиболее важными из которых являются:
· невозможность увеличивать номенклатуру производимой продукции без повышения степени гибкости;
· невозможность успешного ведения конкурентной борьбы без резкого снижения затрат на производство, технического перевооружения и выпуска новой конкурентоспособной продукции;
· невозможность экспортной ориентации предприятия из-за высокой себестоимости и цены при быстрой сменяемости видов продукции, так как предельные затраты на выпуск дополнительной единицы продукции сравнительно высоки;
· не обладая высокой гибкостью, предприятия не имеют возможность широко использовать применяемые во всем мире передовую технику и прогрессивные технологии, внедрение которых в действующее производство почти невозможно из-за необходимости не частичной, а комплексной замены всей системы основных производственных фондов;
· негибкое производство не предоставляет возможности развития интеллектуального потенциала предприятия, высококвалифицированный персонал оказывается невостребованным;
· отсутствие у предприятий необходимой в условиях рынка гибкости и, как следствие, низкая потребительная стоимость продукции существенно ограничивают возможности предприятия обладать достаточными финансовыми ресурсами, необходимыми для приобретения новой техники и технологий с целью обеспечения непрерывного процесса производства.
Кроме того, создание высокоорганизованного (а значит и гибкого) производства невозможно без ориентации на общемировые тенденции в производстве и управлении. Среди наиболее значимых тенденций изменений в организациях будущего следует выделить такие, как:
· признание времени как ограниченного ресурса, возникновение необходимости в управлении временем;
· информатизация производства и бизнес-процессов, определяющее значение при формировании конкурентных преимуществ предприятия придаётся совокупности знаний;
· сокращение среднего звена управления вследствие автоматизации операций составления отчётности с помощью ЭВМ и уменьшения необходимости координации и контроля работ низовых звеньев из-за роста самоуправления и ответственности на основе широкого внедрения принципов корпоративной культуры;
· преобладание матричной и проектной организационных структур вследствие их высокой гибкости, частичный переход к множественной структуре;
· преобладание квалифицированных специалистов с низкой степенью специализации, создание коллективов личностей, навыки которых выходят за границы структурных рамок;
· усиление роли неформальных структур, сокращение использования иерархических;
· полная децентрализация принятия решений;
· усиление атмосферы корпоративности;
· осуществление деятельности в соответствии с бизнес-процессами на основе накопления знаний;
· принятие решений на основе интуиции, так как информационный взрыв и увеличение скорости изменения внешней среды превзойдут возможности человеческого разума к их восприятию;
· эффективное использование сырьевых ресурсов позволит снизить их себестоимость и увеличить потенциал их применения;
· усиление тенденций к долгосрочному сотрудничеству между поставщиками и потребителями;
· расширение применения принципов партионности, ритмичности, комплектности и ориентированности на конкретного потребителя при всех типах производства;
· постоянное приспособление систем предприятия к изменению условий внешней среды.
В соответствии с рассмотренными тенденциями, любое предприятие при определении направления совершенствования управляющих и производственных систем должно стремится к изменениям, которые позволят достичь наиболее высокого уровня конкурентоспособности.
Рассмотрим основные направления совершенствования систем предприятия с целью создания высокоорганизованного, гибкого и высокоинформатизированного производства.
Одной из основных проблем является повышение гибкости предприятия. При этом гибкость рассматривается как возможность быстрой переориентации производственной системы без коренного изменения материально-технической базы. Гибкость неразрывно связана с адаптивностью, то есть процессом целенаправленного изменения параметров, структуры и свойств подсистем предприятия в ответ на происходящие изменения. То есть, при таком подходе гибкость технических средств коммуникаций, безразличных к виду обрабатываемых материалов и типу выпускаемой продукции, довольно высока, а гибкость производственных зданий и транспортных средств ограничивается только габаритно-весовыми характеристиками выпускаемой продукции. Машины и оборудование обладают широким диапазоном характеристик гибкости и её ограничений, в соответствии с которыми средства производства могут быть отнесены к одной из следующих групп:
1) технологическое оборудование предназначено для изготовления одной детали, то есть жёсткая технология производства;
2) перестраиваемая технология производства, при этом оборудование при замене отдельных его компонентов может использоваться для изготовления нового изделия или строго фиксированной группы изделий;
3) переналаживаемые технологические процессы и соответствующее оборудование, предназначенное для одновременного выпуска группы деталей;
4) гибкая технология производства и оборудование, приспособленное для высокого уровня автоматизации.
Кроме того, «степень гибкости» производственного потенциала характеризуется количеством затраченного времени и количеством необходимых дополнительных затрат при переходе на выпуск новой номенклатуры продукции, а также разнообразием этой номенклатуры. В соответствии с такой характеристикой гибкости различают два её вида: тактическую, определяемую объёмом усилий и средств, необходимых для перехода с производства одного вида деталей на другой в соответствии с текущей производственной программой, и стратегическую, определяемую полным объёмом мероприятий, необходимых для перевода производства на выпуск новой продукции и теми количественными и качественными изменениями производственных мощностей, которые при этом требуются.
В соответствии с вышеизложенными положениями, степень гибкости технологий АО НКМЗ высока, так как основной состав производственного оборудования представлен универсальным станочным парком и гибкими технологическими процессами заготовительного производства. Однако, период перехода на производство новой продукции довольно длителен, что обуславливает недостаточность гибкости предприятия.
Поэтому с целью повышения гибкости предприятия в данной работе предлагается проведение следующих мероприятий:
· приобретение высокоточного автоматизированного оборудования для комплексной механообработки сложных деталей;
· ориентация на ячеечную компоновку оборудования, при которой всё оборудование для выпуска однотипных или сходных изделий должно быть сгруппировано в одном месте, при этом возрастают скорость и качество операций, уменьшаются потери рабочего времени и внутрипроизводственные запасы;
· частичное выведение из состава производственных мощностей единиц оборудования, не отвечающих техническим требованиям при производстве высококачественной продукции и не подлежащих модернизации;
· унификация и стандартизация используемой техоснастки, сокращение до минимума количества специально разрабатываемой оснастки, так как в условиях единичного и партионного производства изготовление оснастки под конкретный заказ увеличивает себестоимость продукции и срок её изготовления;
· сокращение времени переналадок оборудования на производство другого вида продукции за счёт предварительной подготовки к переналадке (до остановки оборудования), улучшения методов переналадки и минимизации специальной техоснастки;
· применение унификации узлов и механизмов продукции, комплектно-блочное конструирование продукции и её сборка по максимально унифицированным блокам;
· максимальное распараллеливание производственных процессов;
· применение высокопроизводительного оборудования и ресурсосберегающих технологий с целью минимизации затрат на производство;
· изыскание возможностей эффективного использования отходов металлургического, сварочного, кузнечно-прессового и механосборочного производственных процессов, то есть ориентация на безотходные технологии производства;
· акцентирование всех технологических процессов на концепцию тотального качества и совершенно бездефектного производства.
Создание высокоорганизованного производства невозможно без усовершенствования всех бизнес-процессов и функциональных механизмов на предприятии.
С целью совершенствования процесса технической и технологической подготовки производства в данной работе предлагаются следующие мероприятия:
- полная автоматизация конструкторских работ на основе широкого использования ЭВМ и современного программного обеспечения, хранение конструкторской документации в расширенных базах данных с возможностью быстрого доступа на основе единого классификатора конструкторской информации;
- автоматизация технологической подготовки производства на основе использования баз данных типовых технологических процессов, разработка технологических процессов с помощью постоянно актуализируемых нормативов по каждому виду оборудования, разработка маршрутных карт технологических процессов с использованием оптимизационных моделей техпроцессов;
- организация интерактивных (в режиме реального времени) диалогов конструкторов и технологов, работающих над разработкой продукции в рамках единого проекта, с помощью компьютерных сетей и личных контактов, оптимизация конструкции продукции и технологии её производства в течение всего времени её разработки;
- создание конструкторских и технологических баз знаний, основанных на собственном опыте и разработках научных организаций, организация оперативного доступа к данным базам всех пользователей;
- максимальное распараллеливание конструкторских и технологических работ по подготовке производства определенного вида продукции;
- унификация инструментального обеспечения сходных групп оборудования;
- своевременное обеспечение технологических процессов всеми необходимыми ресурсами;
- максимально возможное сокращение цикла технологической подготовки производства за счёт введения системы личной и командной ответственности, эффективного использования средств автоматизации конструкторских и технологических работ и других мероприятий.
С целью совершенствования организации производства и логистики материальных и информационных ресурсов в данной работе предлагается проведение следующих мероприятий:
· организация производства по системе «точно - вовремя», которая предполагает использование системы «вытягивания» промежуточной продукции последующими технологическими процессами из предыдущих, причём окончательный технологический этап (сборка механоизделий) задаёт темпы работы всех предыдущих;
· усиление производственного контроля за различными этапами процесса производства продукции с помощью внедрения интегрированной компьютерной системы управления производством, действующей в режиме реального времени;
· совершенствование диспетчирования производства на основе интегрированной компьютерной системы управления производством;
· оптимизация транспортных потоков на основе рационального размещения производства конкретной продукции в пространстве;
· координация этапов производства конкретной продукции во времени на основе использования методов управления проектами и специального программного обеспечения, позволяющего гибко планировать временные и ресурсные параметры проектов, вносить изменения в систему и осуществлять контроль над реализацией проектов выпуска продукции в режиме реального времени;
· осуществление ресурсного снабжения производства внешними поставщиками на основе взаимовыгодного сотрудничества с использованием элементов системы «точно - вовремя» и переходом в режим уменьшения размеров партий поставки с установлением периодичности для поставщиков поточно используемых ресурсов, и переход в режим постоянных размеров непериодических поставок для поставщиков дискретно используемых ресурсов;
· сокращение товарно-материальных запасов на складах и запасов ресурсов между этапами технологического процесса в результате улучшения взаимоотношений с внешними поставщиками и введения внутренней системы организации производства «точно – вовремя»;
· изменение порядка стандартных операций в результате функционально-стоимостного анализа и метода экспертных оценок, постоянная рационализация производственных процессов в результате деятельности «команд рационализации» (аналог «кружков качества» в японских фирмах, но с учётом специфических особенностей коллектива предприятия);
· универсализация рабочей силы, расширение квалификации работников с целью повышения их взаимозаменяемости и гибкости производства, частичное введение системы многостаночного обслуживания высокоавтоматизированных станков;
· использование удаленной загрузки технологических процессов для оборудования с числовым программным управлением и предоставление возможности высококвалифицированному оператору координировать процесс технологической обработки.
С целью совершенствования функциональных подсистем, систем управления и бизнес – процессов предприятия до уровня ведущих производителей машиностроительной продукции в данной работе предлагается:
- глобальное внедрение проектного менеджмента на всех уровнях и во всех подсистемах предприятия с целью совершенствования ресурсного и временного планирования, координирования выполнения проектов в пространстве и времени, совершенствования систем ответственности групп проектов за результаты из реализации, внедрения системы контроля деятельности в режиме реального времени и оптимизации организационной структуры предприятия;
- активное использование матричных организационных структур в рамках реализации проектов на основе координации функциональной ответственности и деятельности команд проектов, то есть частичный переход к множественной структуре при выполнении сложных преобразований систем предприятия;
- формирование единой базы знаний на основе интегрирования и аналитической обработки информации об оптимальных вариантах решений различных проблем, постоянная актуализация знаний на предприятии;
- перепроектирование функциональных составляющих системы управления предприятием с целью выделения отдельных и взаимосвязанных бизнес-процессов, обеспечение оперативного осуществления бизнес-процессов с помощью глобальных информационных систем (в режиме реального времени);
- управление процессами, направленное на экономию времени и сокращение производственного и управленческого цикла;
- автоматизация управленческих операций (с помощью специального программного обеспечения), связанных с составлением и анализом отчётности, автоматизация контроля над операциями и результатами, и, как следствие, сокращение среднего управленческого звена до оптимального уровня;
- перераспределение работников, высвободившихся вследствие автоматизации управленческих операций, на выполнение творческих работ или на работы по реализации активных бизнес-процессов;
- делегирование ответственности непосредственно на уровни выполнения работ, полная децентрализация принятия оперативных решений на основе доверия работникам и контроля над результатами, а не операциями;
- доведение принципов корпоративной культуры до сознания каждого работника, создание атмосферы корпоративности и общности целей;
- создание функциональных информационных систем поддержки принятия решений на основе баз данных, информационных коммуникаций и баз знаний;
- совершенствование систем и методов управления персоналом с помощью создания расширенных баз данных о персонале и особенностях каждого индивида, систем оценки и продвижения персонала, систем непрерывного обучения персонала (в том числе и системы «круг по горизонтали») и увеличения кадрового потенциала;
- активное использование концепций биореинжиниринга при осуществлении изменений систем предприятия;
- развитие системы отслеживания и реагирования на изменение факторов внешней среды, создание подразделения активной разведки и экспертной оценки, внедрение системы управления по слабым сигналам;
- расширение применения стратегического управления предприятием на основе системы отслеживания факторов внешней среды, создания системы стратегического управления, деятельности функциональных подразделений и применения проектного менеджмента;
- создание системы непрерывного поиска и устранения «узких мест» в деятельности подсистем предприятия путём создания поисковых групп экспертов и команд проектов их устранения.
Таким образом, в данной работе рассмотрены основные направления совершенствования предприятия, направленные на повышение его гибкости и создание высокоорганизованного производства.
Выбор данных направлений основан на общемировых тенденциях организационного развития, преломлённых через призму особенностей потенциала развития АО НКМЗ. Именно использование такого подхода может обеспечить ускоренное эволюционное развитие предприятия в условиях высокой изменчивости внешней среды. Проведенные аналитические исследования мировых тенденций изменения крупных промышленных корпораций были ориентированы на разработку стратегии развития предприятия до 2010 года. Часть приведенных направлений частично реализуется предприятием в момент написания данной дипломной работы.
В тоже время следует отметить, что данный раздел содержит лишь концептуальное содержание возможных путей развития предприятия. Реализация направления развития с целью создания гибкого, высокоорганизованного и информатизированного производства предполагает осуществление глубокой теоретической проработки и длительного практического осуществления, связанного с большими объёмами инвестирования капитала и использования интеллектуального потенциала персонала предприятия.
Гибкое сочетание текущей деятельности и стратегического развития позволит предприятию за более короткий период обеспечить выполнение миссии и достижение основных стратегических целей, то есть достичь уровня ведущих машиностроительных корпораций.
4 ОХРАНА ТРУДА
4.1 Анализ опасных и вредных производственных факторов
В соответствии с ГОСТ 12.0.003-74 ССБТ, при работе в отделе на человека могут воздействовать различные опасные и вредные производственные факторы. К опасным производственным факторам относят те, которые приводят к травматизму на рабочем месте, а к вредным - факторы, приводящие к профессиональным заболеваниям или снижению работоспособности. Так как в работе сотрудников отдела постоянно используется вычислительная техника (в основном компьютеры), то при организации работы в отделе следует учитывать влияние опасных и вредных производственных факторов на людей.
В общем опасные и вредные производственные факторы подразделяются на:
-физические (повышенный уровень шума на рабочем месте; повышенный уровень ионизирующих излучений; опасный уровень напряжения в электрической цепи; повышенный уровень статистического электричества; повышенный уровень электромагнитных излучений; недостаточная освещенность рабочей зоны; прямая и отраженная блесткость; повышенная пульсация светового потока; повышенный уровень радиации.
- психофизиологические (физические перегрузки (статические, динамические, гиподинамия); нервно-психические перегрузки (умственное перенапряжение, перенапряжение чувственных анализаторов, монотонность труда, эмоциональные перегрузки).
-химические (общетоксического, мутагенного, раздражающего, сенсибилизирующего, канцерогенного действия и влияющие на репродуктивную функцию;
-биологические (макро и микроорганизмы).
Работники отдела подвергаются воздействию опасных и вредных производственных факторов в основном первых двух групп, особенно выражено отрицательное воздействие компьютерной техники.
Проблема отрицательного воздействия компьютерной техники на здоровье человека в данный момент весьма актуальна.
Во-первых, как показали результаты многочисленных научных работ с использованием новейшей измерительной техники зарубежного и отечественного производства, монитор ПК является источником:
– электростатического поля;
– слабых электромагнитных излучений в низкочастотном и высокочастотном диапазонах (2 Гц - 400 кГц);
– рентгеновского излучения;
– ультрафиолетового излучения;
– инфракрасного излучения;
– излучения цветовых импульсов видимого диапазона.
Во-вторых, статическая напряжённая поза оператора, концентрация внимания в течение длительного времени на экране дисплея, приводит к усталости и возникновению болей в позвоночнике, шее, плечевых суставах, зрительных органах.
В-третьих, интенсивная работа с клавиатурой вызывает болевые ощущения в локтевых суставах, предплечьях, запястьях, в кистях и пальцах рук.
В-четвёртых, деятельность оператора предполагает визуальное восприятие отображенной на экране монитора информации, поэтому значительной нагрузке подвергается зрительный аппарат работающих с ПК. Факторами, наиболее сильно влияющими на зрение, являются:
– несовершенство способов создания изображения на экране монитора. Эта группа факторов включает в себя неоптимальные параметры схем развёртки ЭЛТ; несовместимость параметров монитора и графического адаптера; недостаточно высокое разрешение монитора, расфокусировку, адаптера, не сведение лучей и низкий уровень других его технических характеристик; избыточная или недостаточная яркость изображения;
– непродуманная организация рабочего места, которая является причиной наличия бликов на лицевой панели экрана; отсутствия необходимого уровня освещённости рабочих мест; несоблюдения расстояния от глаз оператора до экрана.
В-пятых, работа компьютера сопровождается акустическими шумами, включая ультразвук.
Причиной отклонения здоровья пользователей являются не столько сами компьютеры, сколько несоблюдение принципов эргономики при работе с ними.
4.2 Требования к освещению рабочего места. Расчёт искусственного освещения в помещениях ВЦ
Требования, предъявляемые к освещению помещений, заключаются в обеспечении достаточной освещенности рабочих поверхностей, высокого качества и надежности осветительных установок, удобства их обслуживания и эксплуатации. При этом обязательно учитываются требования пожарной и электробезопасности. Обеспечение достаточной освещенности рабочих поверхностей обуславливается нормами освещенности в зависимости от характеристики зрительной работы ( СП и П II-4-79 ).
В качестве источников общего освещения используют люминесцентные лампы типа ЛБ или ДРЛ, которые попарно объединяются в светильники с индексом цветопередачи не менее 70. В качестве светильников используются установки с преимущественно отраженным или рассеянным светораспределением. Нормы освещенности при использовании светильников Ен=300-400 лк. Светильники общего освещения располагают над рабочими поверхностями равномерно в прямоугольном порядке.
Местное освещение обеспечивается светильниками, установленными непосредственно на рабочем столе. При использовании индивидуального источника предусматривается возможность ориентации его в разных направлениях. Источники света по отношению к рабочему месту располагают таким образом, чтобы исключить попадание в глаза прямого света. Защитный угол арматуры этих источников не менее 30%.Пульсация освещенности используемых ламп не должна превышать 10 %.
Работа с ПК зачастую происходит в помещениях с искусственным освещением, которое должно обеспечивать правильную работу глаз и приближать к оптимальным условиям зрительное восприятие (максимальное - при естественном солнечном освещении).
Общие правила организации освещения заключаются в том, что следует избегать большого контраста между яркостью экрана и окружающего пространства (оптимальным считается их выравнивание), а также не работать с ПК в полутёмном и тёмном помещении.
Освещение в помещениях с ПК должно быть смешанным: естественным - за счёт солнечного света, и искусственным – за счёт осветительных приборов.
Если окна помещения имеют южную ориентацию, необходимо принять меры, благодаря которым интенсивный солнечный свет не мешал бы работе. Так, например, оконные проёмы можно оборудовать жалюзи, занавесями, внешними козырьками.
В качестве источников общего искусственного освещения лучше всего использовать осветительные приборы, которые создают равномерную освещённость путём рассеянного или отражённого светораспределения (свет от ламп падает непосредственно на потолок) и исключают блики на экране монитора и клавиатуре. В соответствии с санитарными нормами, это должны быть преимущественно люминесцентные лампы типа ЛБ с рассеивателями или экранирующими решётками. Следует отметить, что существуют специальные люминесцентные лампы, например, фирмы «VitaLight R», которые излучают свет различного «качества», имитируя, таким образом, полный спектр естественного солнечного света.
Источники света необходимо равномерно распределять по комнате, компонуя в сплошные или прерывистые линии. Линии должны располагаться сбоку от рабочих мест по периметру помещения.
Если деятельность пользователя является комбинированной, то есть предполагает работу как с компьютером, так и с документами, на рабочие места необходимо устанавливать источники местного освещения - настольные лампы с регулируемым наклоном плафона и регулируемой яркостью. В этом случае надо следить, чтобы свет от лампы не действовал раздражающе и не создавал бликов на экране монитора.
Расчет искусственного освещения
При расчете системы искусственного общего равномерного освещения для горизонтальной рабочей поверхности используем метод коэффициента использования светового потока. Расчет искусственного освещения проведен для помещения со следующими габаритами:
Длина А = 9 м, ширина В = 6 м, высота С = 4 м, Высота подвеса светильника (Нр) с учетом высоты помещения равна 2,8 м..
Для освещения данного помещения, исходя из его высоты и технологических особенностей, выбираем светильники типа ДРЛ. Светильники размещаем по прямоугольной схеме расположения, многорядно над рабочими поверхностями.
Определяем наиболее выгодное расстояние между светильниками (L), исходя из соотношения L/Hp =1,5. Из данного соотношения следует, что L составляет:
L = 1,5*2,78 = 4,2 м.
Определяем требуемое количество светильников n:
- количество рядов светильников: 6/4,2 = 2;
- количество светильников в ряду: 9/4,2 = 3;
n = 2*3 = 6штук.
Рассчитаем световой поток Fл по формуле:
Fл = 100*Eн*S*K*z / n*q (4.1)
где Ен – нормированная минимальная освещенность, лк, Ен = 400 лк;
S – площадь освещаемого помещения, м;
К – коэффициент запаса, К = 1,3;
z –коэффициент минимальной освещенности, z = 1,15 (для ламп накаливания);
n – число светильников, штук;
q – коэффициент использования светового потока ламп, который зависит от типа светильника, коэффициента отражения потолка Рп и стен Рс, светопоказателя помещения I, Рп = 70 %, Рс = 50 %.
Находим площадь помещения S:
S=A*B=9*6=54м
Светопоказатель I находится по формуле:
I = A*B / Hp*(A+B) (4.2).
I = 6*9 / 2,8*(6+9) = 1,3.
По таблицам принимаю коэффициент использования светового потока осветительной установки q = 48 %.
Определяю световой поток по формуле 4.1:
Fл = 100*400*54*1,3*1,15/ (6*48) = 11212,4 лм.
По полученному значению светового потока Fл по таблице выбираю реальный источник освещения с ближайшим большим световым потоком. Это будет лампы НВ-750 мощностью w = 750 Вт. Фактический световой поток при этом Fфак. = 13100 лм.
По фактическому потоку определяю фактическую освещенность:
Ефак. = Fфак.*Eн / Fл (4.3)
Ефак. = 13100*400 / 11212,4 = 467,34 лк.
Определяю общую мощность осветительной установки:
W = w*n,Вт (4.4)
W = 750*6 = 4500 Вт
Вывод: на основании расчёта системы освещения, фактическая освещённость помещения составляет 467,34 лк, что соответствует установленным нормам освещения рабочих кабинетов. Для освещения помещения рекомендуется использовать лампы мощностью 750Вт в количестве – 6 штук. Мощность светильной установки составит – 4500 Вт.
4.3 Требования к пожарной безопасности
В соответствии с ГОСТ 12.1.004-91 пожарная безопасность объекта обеспечивается системами предотвращения пожара и противопожарной защиты, в том числе организационно-техническими мероприятиями
Системы пожарной безопасности характеризуются уровнем обеспечения пожарной безопасности людей и материальных ценностей и должны выполнять одну из следующих задач:
- исключить возникновение пожара;
- обеспечить пожарную безопасность людей;
- обеспечить пожарную безопасность материальных ценностей.
Пожар может возникнуть при взаимодействии горючих веществ, окислителя (кислорода) и источников зажигания.
К горючим веществам относятся: строительные материалы для отделки помещения, перегородки, двери, полы, изоляция силовых кабелей, документы и другие бумаги, находящиеся на рабочем месте.
Источниками зажигания могут оказаться электронные схемы ЭВМ, приборы, применяемые для технического обслуживания, устройства электропитания, электрические искры и дуги, а также источники открытого огня, способные вызвать загорание горючих материалов.
Опасными факторами, воздействующими на людей и материальные ценности при возникновении пожара, являются: пламя и искры; повышение температуры окружающей среды; токсичные продукты горения и термического разложения; дым; пониженная концентрация кислорода.
Противопожарная защита достигается применением комбинации из следующих способов:
- применением основных строительных конструкций и материалов с нормированными показателями пожарной опасности;
- организацией с помощью технических средств, включая автоматические, своевременного оповещения и эвакуации людей;
- применением средств пожаротушения и соответствующих видов пожарной техники;
- применением автоматических установок пожарной сигнализации и пожаротушения;
- организацию пожарной охраны; обучение работающих правилам пожарной безопасности; изготовление и применение средств наглядной агитации по обеспечению пожарной безопасности.
Основными огнегасительными веществами являются: пена, углекислота, сжатый воздух, специальные порошки, песок, земля. Помещения должны быть снабжены порошковыми или углекислотными огнетушителями.
Для помещений, предназначенных для размещения электронно-вычислительных машин, предъявляются следующие требования по пожарной безопасности:
- на и под залами ЭВМ, а также в смежных с ними помещениях не разрешается размещение помещений категории А и Б по взрывопожарной опасности. Помещения категории В должны отделяться от залов ЭВМ противопожарными стенами;
- фальшполы в помещениях ЭВМ должны быть выполнены из негорючих материалов (или трудногорючих с пределом огнестойкости не менее 0,5 часа). Пространство под ними следует разделять негорючими диафрагмами на отсеки площадью не более 250 мІ. Диафрагмы должны иметь предел огнестойкости не менее 0,75 часа. В местах пересечения с диафрагмами коммуникации следует прокладывать в специальных обоймах, а зазоры заделывать негорючими материалами;
- звукопоглощающую облицовку стен и потолков следует выполнять из негорючих или трудногорючих материалов;
- для промывки деталей необходимо применять негорючие моющие препараты. Промывка съёмных устройств горючими жидкостями допускается только в специальных помещениях, оборудованных приточно-вытяжной вентиляцией;
- в случае необходимости проведения мелкого ремонта или технического обслуживания ЭВМ непосредственно в машинном зале и невозможности применения негорючих моющих средств разрешается иметь в зале не более 0,5 л ЛВЖ в небьющейся и плотно закрывающейся таре;
- помещения, в которых размещаются персональные ЭВМ и дисплейные залы (где устройство систем автоматического пожаротушения не обязательно), следует оснащать переносными углекислотными огнетушителями из расчёта 2 шт. на каждые 20 мІ площади помещения с учётом предельно допустимой концентрации огнетушащего вещества;
- персональные компьютеры после окончания работы на них должны отключаться от сети питания;
- не реже одного раза в квартал необходимо производить очистку от пыли агрегатов и узлов, кабельных каналов и межпольного пространства.
Не разрешается размещать машинные залы ЭВМ в подвалах; оставлять без наблюдения включенную в сеть электронную аппаратуру, используемую для испытания и контроля ЭВМ.
4.4 Требования к организации рабочего места и режиму работы оператора ПЭВМ
В соответствии с САННиП №4559-88 и ГОСТ 12.1.034-75 ССБТ рабочее место с ПК должно располагаться по отношению к оконным проёмам таким образом, чтобы естественный свет падал сбоку, предпочтительнее слева.
Компьютер должен быть установлен так, чтобы, подняв глаза от экрана, можно было увидеть самый удалённый предмет в комнате. Удачным является расположение рабочего места, когда лицо оператора обращено к входному проёму. Возможность перевести взгляд на дальнее расстояние — один из самых эффективных способов разгрузки зрительной системы во время работы с компьютером.
Идеальное рабочее место оператора ПК должно удовлетворять ряду требований:
1 Оптимальное расстояние от глаз оператора до экрана монитора и оптимальный наклон линии взора;
2 Достаточная освещённость рабочих документов и отсутствие бликов на поверхности экрана;
3 Правильные поза сидения и угол наклона туловища;
4 Правильное положение рук на клавиатуре;
5 Возможность переводить взгляд на дальний предмет;
6 Регулярное дыхание.
Для идеального рабочего места необходимы:
1) Монитор, по всем визуальным и эмиссионным характеристикам удовлетворяющий международным требованиям, с регулируемой яркостью и контрастностью экрана и со специальной подставкой - для установки экрана монитора под нужным углом наклона.
2) Защитный фильтр - для мониторов без маркировки - Low radiation.
3) Регулируемый стол для компьютера, позволяющий изменять высоту положения клавиатуры.
4) Регулируемое кресло.
5) Подставка для ног.
6) Достаточно длинный кабель для клавиатуры, чтобы разместить её в удобном положении.
7) Оригиналодержатель для рабочих материалов.
Конструкция и размеры стола и кресла должны способствовать тому, чтобы оператор занимал оптимальную позу, при которой выдерживаются определённые угловые соотношения
Требования к режиму труда
По характеру решаемых с помощью компьютера задач деятельность операторов можно разделить на три группы:
– Группа А — считывание информации с экранов дисплеев;
– Группа Б — ввод информации;
– Группа В — творческая работа в режиме диалога с ПК.
Кроме того выделяют три категории тяжести и напряжённости работы с ПК. Категорию тяжести определяют:
– Суммарное число считываемых знаков за смену — в группе А;
– Суммарное число считываемых или вводимых знаков за смену — в группе Б;
– Суммарное время непосредственной работы с ПК — в группе В.
Уровень нагрузки и время перерывов для каждой категории устанавливаются в соответствии с нормами режима труда работников ВЦ.
Время перерывов в течение рабочего дня для 8-часовой смены распределяются следующим образом:
– для 1-й категории — два перерыва по 15 мин. через 2 часа после начала смены и после обеденного перерыва;
– для 2-й категории — через 2 часа после начала смены и через 1,5-2 часа после обеденного перерыва по 15 мин. каждый или по 10 мин. через каждый час работы;
– для 3-й категории — через 1,5-2 часа после начала смены и через 1,5-2 часа после обеденного перерыва по 20 мин. каждый или по 15 мин. через каждый час работы.
При 12-часовой смене перерывы в течение первых 8 часов такие же, как и при 8-часовой смене, в течение последних 4 часов, независимо от категории и вида работ,—каждый час по 15 мин.
Не рекомендуется работать за ПК более 2 часов подряд без перерыва. В процессе работы по возможности, чтобы уменьшить отрицательное влияние монотонности, следует менять тип и содержание деятельности.
СПИСОК ЛИТЕРАТУРЫ:
1. Сибиров Ю.Г., Скелотнев Н.Н., Васин В.Е., Нагинаева В.Н. Охрана труда в вычислительных центах – М.: Машиностроение, 1985 – 176с.
2. Экология и безопасность жизнедеятельности: Учеб пособие для вузов/ Д.А. Кривошеев, Л.А. Муравей, Н.Н. Роева и др; Под ред. Л.А. Муравей – М.: ЮНИТИ-ДАНА,2007 – 447с.
3. ГОСТ 12.0.003-74 ССБТ. Опасные и вредные производственные факторы. Классификация.
4. САННиП № 4559-88 Временные санитарные нормы и правила для работников ВЦ
5. СниП II-4-79 Естественное и искусственное освещение. Нормы проектировани.
6. ГОСТ 12.1.034-75 ССБТ Система «Человек – машина» Рабочее место человека – оператора. Термины и определения.
7. ГОСТ 12.1.004-76 ССБТ Пожарная безопасность. Общие требования.
ЗАКЛЮЧЕНИЕ
При выполнении дипломного проекта были проведены исследования, которые показали, что на современном этапе развития экономики особую актуальность приобрело стратегическое управление деятельностью и развитием предприятия. Стратегический менеджмент обеспечивает достижение долгосрочных целей предприятия, которые связаны с повышением эффективности деятельности и постоянным развитием производственной, экономической и социальной базы.
В процессе анализа современных подходов к стратегическому управлению и его концептуальных положений, была исследована классификация основных стратегий, максимально охватывающая все теоретические аспекты и полностью соответствующая системам управления, существующим на отечественных предприятиях. Предложен алгоритм формирования портфеля стратегий предприятия, являющийся индуктивным сочетанием лучших подходов к формированию портфеля стратегий.
Были рассмотрены вопросы организации быстрого реагирования подсистем предприятия на изменение условий внешней среды. Предложена система реагирования на основе непрерывного сканирования условий внешней среды и обнаружения «слабых сигналов» о возможных исходных экономических явлениях, способных повлиять на конкурентные преимущества предприятия.
Предложена организационная структура отдела стратегических исследований и развития, основывающаяся на требованиях к обеспечению рационализации и совершенствования бизнес - процесса стратегического управления. При разработке структуры отдела проведен анализ лучших подходов к организации стратегического управления и управления по «слабым сигналам» на ведущих зарубежных предприятиях.
В ходе ситуационного анализа антикризисной деятельности базового предприятия ЗАО НКМЗ были рассмотрены мероприятия, обеспечившие улучшение показателей деятельности предприятия, а также выявлена связь проводимых мероприятий с динамикой основных технико-экономических показателей деятельности.
При оценке значимости влияния различных факторов на конкурентные преимущества предприятия были выявлены и ранжированы факторы, влияющие на его силу или слабость в конкурентной борьбе.
Анализ основных направлений рыночной стратегии предприятия показал, что в настоящий период предприятие использует стратегическое управление в общей системе внутрифирменного управления.
Портфель стратегий состоит из таких стратегий, как:
· стратегия снижения издержек;
· стратегия централизованной диверсификации производства;
· стратегия маркетинга;
· стратегия управления качеством и конкурентоспособностью продукции;
· стратегия синергизма;
· стратегия управления персоналом и трудовой мотивацией;
· стратегия внешнеэкономической деятельности.
В третьем разделе предложены некоторые пути развития АО НКМЗ в период до 2010 года. Были проведены исследования мирового и отечественного опыта создания инновационных структур, деятельность которых направлена на разработку и коммерциализацию новых идей, позволяющих повысить наукоёмкость и конкурентоспособность выпускаемой продукции, или же повысить эффективность внутренних бизнес-процессов предприятия. Исследованы принципы создания и функционирования технопарков, предложена структура технопарка на основе АО НКМЗ, изучены предпосылки и обоснована необходимость создания технопарка в период до 2010 года.
В качестве основы для формирования технопарка в данной работе предлагается создание вузовско-промышленного центра АО НКМЗ – ДГМА. Создание вузовско-промышленного центра направлено на объединение научного потенциала вуза и научно-производственного потенциала предприятия. Целью деятельности вузовско-промышленного центра является ускоренные поиск, разработка и коммерциализация новых научно-технических идей. Деятельность центра направлена на обеспечение наиболее полного использования научно-технического потенциала научных учреждений региона и страны, на сокращение времени поиска, разработки и коммерциализации инновационных научно-технических идей. Был предложен вариант экономического обоснования создания вузовско-промышленного центра на основе анализа сокращения времени поиска и разработки новых идей.
В результате анализа общемировых тенденций развития промышленных корпораций был предложен ряд мероприятий, направленных на приведение производственных и управленческих систем предприятия к уровню ведущих машиностроительных корпораций. Реализация предложенных мероприятий способна обеспечить ускоренное эволюционное развитие предприятия до уровня организации мирового класса. Следует отметить, что в данной работе предложены лишь основные направления развития предприятия и только в виде концептуальных положений, требующих более глубокой проработки.
Следует отметить, что цель работы, заключающаяся в изучении ключевых положений теории стратегического управления и определении основных стратегических направлений развития АО НКМЗ, была достигнута.
Задачи дипломной работы, заключающиеся в аналитическом обзоре общемировых тенденций развития ведущих машиностроительных корпораций и в разработке принципов интеграции научного и производственного потенциала региона с целью создания высокоорганизованного производства, были выполнены в полном объёме.
СПИСОК ЛИТЕРАТУРЫ
1 Питання створення технопарків та інноваційних структур інших типів: Розпорядження Президента України №17/96 від 23.01.1996 р. // www.rada.kiev.ua
2 Про затвердження Положення про порядок створення та функціонування технологічних парків та інноваційних структур інших типів: Постанова Кабінету Міністрів України від 22.05.1996 р.№549 //www.rada.kiev.ua
3 Про спеціальний режим інвестиційної та інноваційної діяльності технологічних парків “Напівпроводникові технології та матеріали, оптоелектроніка та сенсорна техніка”, “Інститут електрозварювання ім. Б.Патона” та “Інститут монокристалів”:Закон України від 16.07.2006 р. №991// www.rada.kiev.ua
4 Про проєкт Закону України про спеціальний порядок ввозу товарів, обладнання, сировини, матеріалів, комплектуючих виробів та інших предметів, які використовуються технологічними парками: Постанова Верховної Ради України від 15.07.2006 р.№ 957и //www.rada.kiev.ua
5 Про відкриття спеціальних рахунків технологічними парками “Напівпроводникові технології та матеріали, оптоелектроніка та сенсорна техніка”, “Інститут електрозварювання ім. Б.Патона” та “Інститут монокристалів”: Постанова Кабінету Міністрів України від 26.06.2007р. №1018 // www.rada.kiev.ua
6 Алексеева М.М. Планирование деятельности фирмы. - М.: Финансы и статистика, 2004.-248с.
7 Ансофф И.. Стратегическое управление. М.: Экономика, 1989.-519с.
8 Ансофф И. Новая корпоративная стратегия. СПб.: «Питер», 2006.-416с.
9 Боуман К. Основы стратегического менеджмента / Пер. с англ. под ред. Л.Г. Зайцева,М.И. Соколовой. М.: «Банки и биржи», ЮНИТИ,2004.-296с.
10 Базаров Г.З. и др. Теория и практика антикризисного управления.-М.:ЮНИТИ, 1996. – 538с.
11 Виханский О.С. Стратегическое управление: Учебник для ВУЗов- издание 2-е.- М.: «Гардарика», 2006.-256с.
12 Друкер П. Эффективное управление. Экономические задачи и оптимальные решения.-М.: ФАИР-ПРЕСС, 2005. – 288с.
13 Забелин Р.Г., Моисеева О.И. Основы стратегического управления. М.: ИВЦ «Маркетинг», 2005.-195с.
14 Карлоф Б. Деловая стратегия: концепция, содержание, символы.-М.:Экономика, 1991.-239с.
15 Клейнер Г.Б. и др. Предприятие в нестабильной экономической среде: риски, стратегия, безопасность. - М.: Экономика, 2004.-328с.
16 Крутько В.Н. Введение в менеджмент кризисных ситуаций. – К.:МЗУУП, 1994. – 51с.
17 Майталь Ш. Экономика для менеджеров: десять инструментов для руководителей. – М.: Дело, 1996. – 416с.
18 Макогон Ю.В. Совместное предпринимательство. - Донецк, 1996.
19 Маркова В.Д., Кузнецова С.А. Стратегический менеджмент. Курс лекций. -М: ИНФРА-М,2006.-288с.
20 Менеджмент организаций. Учебное пособие/Под ред. Румянцевой З.П., Саломатина Н.А.-М.:ИНФРА-М, 2004.-432с.
21 Мескон М. и др. Основы менеджмента/Пер. с англ. – М.: Дело, 1992 –701с.
22 Оучи У. Методы организации производства (японский и американский подходы).-М.: Экономика, 1998.-352с.
23 Портер М. Международная конкуренция/Пер. с англ. - М.: Прогресс, 1993.-896с.
24 Савицкая Г.В. Анализ хозяйственной деятельности предприятия. – Минск: Экоперспектива, 2004.-498с.
25 Самочкин В.Н. Гибкое развитие предприятия: анализ и планирование. – М.: Дело, 2006.-336с.
26 Самочкин В.Н. Гибкое развитие предприятия: Эффективность и бюджетирование. - М.: Дело, 2007.-352с.
27 Скударь Г.М. Управление конкурентоспособностью крупного акционерного общества: проблемы и решения. – К.: Наукова думка, 2006.-496с.
28 Смирнов Э.А. Основы теории организации. Учебное пособие. - М.: Аудит, ЮНИТИ, 2005.-388с.
29 Стратегия и тактика антикризисного управления фирмой/Под ред. Градова А.П. - СПб.: Специальная литература, 1996.-510с.
30 Томпсон А.А., Стрикленд А.Дж. Стратегический менеджмент: искусство разработки и реализации стратегии/Пер. с англ. под ред. Зайцева Л.Г. М.: Банки и биржи, ЮНИТИ, 2005.-576с.
31 Управление проектами/ Под ред. Ильина Н.И. – М.:Экономика,2004.-564с.
32 Чернявский А.Д. Антикризисное управление: учебное пособие. – К.:МАУП, 2007.-208с.
33 Белая Н. Экономическая политика и проблема реализации научного потенциала//Бизнес-информ, 2004.- №2.-с.12-15
34 Василенко В. Условия повышения эффективности специального режима инвестиционной деятельности//Экономика Украины.-2007.-№3.-с.47-50
35 Величко О.В. Державне регулювання інвестиційної діяльності//Фінанси України.-2007г.-№3.-с.126-134
36 Лукинов И. Приоритетная политика государства в технологических преобразованиях//Экономика Украины.-2004.-№2.-с.4-19
37 Програма розвитку в Україні СЕЗ і територій зі спеціальним режимом інвестиційної діяльності до 2010 р. // Офіційний вісник України.2006.-№39.-стр.19-40
38 Смоляр Л. Государственная инновационная политика и условия её реализации на предприятиях // Экономика Украины.1993.-№7.-с.28-35
39 Отчёты о результатах финансово-хозяйственной деятельности в 2004-2007 годах
40 Программы мероприятий по реализации стратегии АО НКМЗ в 2004-2007 годах
41 Бородин В. Проектирование структуры инновационной научно-технической фирмы // Проблемы теории и практики управления.-2004.-№1.-с.98-103
42 Даглев А. Передача технологий из государственного сектора науки в промышленность как инструмент государственной инновационной политики// Проблемы теории и практики управления.-2006.-№5.-с.65-70
43 Строев Е. Инвестиционная политика государства//ЭКО.-2005.-№1.-с.28-31
44 Хэмилтон А. Инновационная и корпоративная реструктуризация в мировой экономике// Проблемы теории и практики управления.-2007.-№4.-с.89-95
45 Чумаченко Б. Международный трансферт технологий: опыт американских корпораций// Проблемы теории и практики управления.-2007.-№6.-с.33-41
46 Информация о технопарках России (информационный выпуск ассоциации «Технопарк»).- www.tpark.ru, www.tecnopark.al.ru, www.bushedu.ru, www.rcsme.ru
ПРИЛОЖЕНИЕ А
Внешние и внутренние сигналы о возможных изменениях состояния предприятия
Таблица А.1 - Внешние сигналы о возможных изменениях состояния (статуса) фирмы
| Факторы внешней среды
|
Сигналы о возникновении исходных экономических явлений механизма изменения состояния фирмы
|
| Агрегированные
|
Детализированные
|
Сигналы о расширении возможностей
|
Сигналы о нарастании угроз
|
| 1
|
2
|
3
|
4
|
| 1 Параметры спроса
|
Величина спроса
|
— рост величины спроса на товары фирмы
— рост спроса на новые товары фирмы, выводимые на рынок
|
— падение величины спроса на товары фирмы
— рост величины спроса на аналогичные товары конкурентов
|
| Стабильность спроса
|
— стабилизация спроса и прибылей от продажи товаров
|
— усиление колебаний в спросе и прибылях
|
| Требования покупателей к качеству товаров фирмы
|
— нарастание спроса на товары стандартного качества
|
— нарастание спроса на товары, превышающие стандарты качества
|
| Эластичность спроса
|
— снижение эластичности спроса
|
— усиление эластичности спроса
|
| Разнообразие потребителей товаров фирмы
|
— появление новых сегментов рынка, предъявляющих спрос на товары фирмы
|
— во всех обслуживаемых сегментах рынка утрачивается интерес к товарам фирмы
|
| Экономический потенциал покупателей
|
— повышение покупательной способности
|
— снижение покупательной способности
|
| 2 Параметры факторов производства
|
Конъюнктура рынков сырьевых и материальных ресурсов
|
— рост предложения сырьевых и материаль-ных ресурсов
— снижение цен на сырье и материалы
|
— сокращение предло-жения сырьевых и материальных ресурсов
— рост цен на сырье и материалы
|
| Конъюнктура рынков трудовых ресурсов
|
— снижение уровня занятости, избыточное предложение на рынках труда
|
— сокращение источников пополнения трудовых ресурсов
|
| — стабилизация уровня оплаты труда
|
— рост уровня оплаты труда в связи с инфляцией
|
| Конъюнктура рынков финансовых ресурсов
|
— снижение процентных ставок по кредитам коммерчес-ких банков
— рост курса акций фирмы
— получение фирмой субсидий из различных фондов
|
— повышение процентных ставок по кредитам коммер-ческих банков
— падение курса акций фирмы
— прекращение субсидирования предприятия
|
| Развитие инновационной деятельности
|
— снижение стоимости лицензий на использование изобретений и открытий
— либерализация условий получения грантов и государственных заказов на НИОКР
|
— рост стоимости лицензий на использование изобретений и открытий
— ужесточение условий получения грантов и государственных заказов на НИОКР
|
| Конъюнктура рынков средств производства
|
— рост предложения средств производства
— снижение цен на средства производства
|
— сокращение предложения средств производства
— рост цен на средства производства
|
| 3.Параметры родственных и поддерживающих отраслей
|
Изменение потенциала родственных отраслей
|
— рост интенсивности возникновения специализированных производств, с которыми возможно кооперирование
|
— свертывание производства родственных отраслей
|
| — рост предложений о совместной деятельности
|
— переориентация родственных отраслей на новую технологию
|
| Производственная инфраструктура
|
— рост научно-технического и экономического потенциала отраслей внешней инфраструктуры
— снижение цен на услуги отраслей инфраструктуры
|
— стагнация научно-технического и экономического потенциала отраслей внешней инфраструктуры
— рост цен на услуги отраслей инфраструктуры
|
| Социальная
инфраструктура
|
— рост потенциала отраслей внешней социальной инфраструктуры
— снижение цен на услуги отраслей внешней социальной инфраструктуры
|
— стагнация потенциала отраслей внешней социальной инфраструктуры
— рост цен на услуги отраслей внешней социальной инфраструктуры
|
| Использование достижений, полученных в родственных отраслях
|
— подтверждение возможности использования достижений родственных отраслей при выполнении миссии фирмы
— возникновение правовой основы использования достижений
—усиление интеграции с родственными отраслями
|
— неприемлемость
достижений родственных отраслей для целей фирмы
— недоступность достижений ввиду высокой стоимости
—усиление соперничества с родственными отраслямси
|
| 4.Параметры конкурентной среды
|
Соперничество между существующими конкурирую-щими системами («центральный ринг»)
|
— конкурентный статус фирмы-конкурента существенно понизился
— число конкурирующих фирм существенно сократилось
|
— конкурентный статус фирмы-конкурента существенно повысился
— число конкурирующих фирм существенно возросло
|
| — ценовая война отсутствует
|
— ценовая война началась
|
| Конкурентные силы, возникающие вследствие
угрозы со стороны товаров-заменителей
|
— «потолок цен», создаваемый товаром-
заменителем, не лимитирует потенциальной прибыли
— покупатели трудно
переходят на товар-заменитель из-за связанных с этим дополнительных затрат
|
— «потолок цен», создаваемый товаром -
заменителем, существенно снижает потенциальную прибыль
— покупатели охотно «переключаются» на товар- заменитель ввиду его дешевизны
|
| Конкурентные силы, возникающие вследствие угрозы появления новых конкурентов
|
— барьер для входа на рынок новых конкурентов чрезвычайно высок
— фирмы, захватившие рынок, проявляют склонность к агрессии
|
— барьер для входа на рынок практически отсутствует
— фирмы, функционирующие на рынке, проявляют лояльность к новым конкурентам
|
| Конкурентные силы, возникающие вследствие экономических возможностей и торговых способностей поставщиков
|
— экономический потенциал поставщиков слаб ввиду незначительной доли затрат на их продукцию в издержках покупателя
— поставщики — субъекты рынка монополистической конкуренции
— поставщики не могут влиять на цены
|
— экономический потенциал поставщиков высок ввиду существенной доли затрат на их продукцию в издержках покупателя
— поставщики — субъекты рынка совершенной конкуренции
—поставщики могут влиять на цены
|
| Конкурентные силы, возникающие вследствие экономических возможностей и торговых способностей покупателей
|
— основная масса покупателей - субъекты рынка совершенной конкуренции
|
— основная масса покупателей - субъекты монопсонии
|
| 5.Деятель-ность государственных властных структур
|
Налоговая политика
|
— снижение налоговых ставок
— введение налоговых льгот на товары фирмы
— сокращение числа налогов без повышения ставок на действующие налоги
|
— повышение налоговых ставок
— снятие налоговых льгот с товаров фирмы
— введение новых налогов
—введение налоговых льгот на субституты
|
| Кредитно-денежная политика
|
— снижение учетной ставки Центрального Банка
— благоприятное изменение валютного курса рубля
— либерализация бюджетных ассигнований
|
— повышение учетной ставки Центрального Банка
— неблагоприятное изменение валютного курса рубля
— жесткая политика финансовой стабилизации
|
| Таможенная политика
|
— благоприятное изменение экспортных и импортных таможенных пошлин
|
— неблагоприятное изменение экспортных и импортных таможенных пошлин
|
| Правовая среда
|
— стабильное гражданское и коммерческое законодательство
— введение регистрационного порядка
|
— изменчивое гражданское и коммерческое законодательство
— введение разрешительного порядка
|
| Политика цен и доходов
|
— введены свободные цены на товары
|
— введен контроль над ценами
|
| — введено налогообложение, стимулирующее рост дохода в зависимости от динамики цен
|
— введено налогообложение, стимулирующее снижение доходов в зависимости от динамики цен
|
| 6 Случайные явления
|
Форс-мажорные обстоятельства
|
— фирма расположена в регионе, где стихийные бедствия мало вероятны
|
— фирма расположена в регионе, подверженном систематическим стихийным бедствиям
|
| Внешняя политика иностранных государств- партнеров по бизнесу
|
— стабильна и предсказуема
— надежность инвестиций гарантируется
|
— случайна и нестабильна
надежность инвестиций не гарантируется
|
| Демографические шоки
|
— рост рождаемости и снижение смертности
— непредвиденные миграционные процессы положительного характера
— снижение социальной напряженности
— стабилизация половозрастной
структуры населения
|
— снижение рождаемости и рост смертности
— непредвиденные миграционные процессы отрицательного характера
— усиление социальной напряженности
— резкое изменение
половозрастной
структуры
|
| Научно-техни-
ческие прорывы
|
— новые открытия и изобретения реализуются фирмой, в результате существенно повышается эффективность ее функционирования
|
— новые изобретения и открытия реализуются конкурентами. Их конкурентный статус повышается
|
Таблица А.2 - Внутренние сигналы о возможных изменениях состояния (статуса) фирмы
| Факторы внешней среды
|
Сигналы о возникновении исходных экономических явлений механизма изменения состояния фирмы
|
| Агрегированные
|
Детализированные
|
Сигналы о расширении возможностей
|
Сигналы о нарастании угроз
|
| 1
|
2
|
3
|
4
|
1.Параметры технических
ресурсов фирмы
|
Средства технологичес-кого оснащения (СТО)
|
— ввод в строй СТО, обеспечивающих усиление внутренней гибкости фирмы
— ввод в строй СТО,
обеспечивающих
рост производитель-ности труда
—ввод в строй СТО, обеспечивающих достижение высокого уровня конкурентного статусафирмы (КСФ)
|
— нарастание износа СТО, вызывающее рост издержек производства
— вывод из строя комплекса СТО,
вызвавший сокращение объемов производства
— отсутствие резерв-
ных СТО, вызвавшее снижение внутренней гибкости фирмы
—ввод в строй неперспективных и неэффективных СТО
|
| Сырье,
материалы, полуфабрикаты
|
— применение материалов и полуфабрикатов, вызвавшее повышение конкурентоспособности выпускаемых
товаров
— применение материалов и полуфабрикатов, снижающих издержки
— наличие страховых запасов материалов и полуфабрикатов
|
— применение материалов и полуфабрикатов, вызвавшее снижение
конкурентоспособности выпускаемых
товаров
— применение материалов и полуфабрикатов, повышающих издержки
— отсутствие страховых запасов мате-
риалов
|
| Энергия
|
— ввод в строй системы преобразования, передачи и контроля использования энергии,
обеспечивающей
снижение потерь
— ввод в строй резервных энергетических мощностей
|
— применение устаревших систем преобразования, передачи и контроля использования энергии, вызывающих рост потерь
— отсутствие резервных энергетических мощностей
|
| 2.Параметры
технологических ресурсов
|
НИОКР
|
— наличие научных
заделов фундаментального и прикладного характера,
обеспечивающих
устойчивое конкурентное преимущество фирмы
— наличие потенциала для проведения систематических НИОКР,
способного поддерживать конку-
рентное преимущество фирмы
|
— отсутствие научных
заделов фундаментального и прикладного характера,
способных обеспечить устойчивое
конкурентное преимущество фирмы
— отсутствие потенциала для проведения систематических НИОКР, способного обеспечить
поддержку конкурентного преимущества фирмы
|
| Технология
изготовления
товаров фирмы
|
— применение плодотворной и изменчивой технологии, обеспечивающих в
течение жизненного цикла спроса эффективное изменение поколения продукции и базовые технологические процессы
|
— применение стабильной технологии, не позволяющей в течение жизненного цикла
спроса эффективно изменять поколения продукции
фирмы
|
| 3 Параметры
кадровых ресурсов
|
Работники,
определяющие
цели фирмы
|
— ориентированы на
нужды, потребности и запросы потенциальных покупателей товаров фирмы
— ориентированы на
усиление стратегического потенциала
фирмы
|
— ориентированы на внутренние потребности фирмы
— ориентированы на решение тактических задач фирмы
|
| Работники, разрабатывающие средства достижения целей фирмы
|
— ориентированы на
социально-экономический подход к выбору предпочти-
тельных средств достижения целей фирмы
— ориентированы
преимущественно
на инновационный
подход к выработке
средств достижения
целей фирмы
— ориентированы на
выбор средств,
обеспечивающих
конкурентное пре-
имущество фирмы
|
— ориентированы на необходимость достижения целей фирмы без учета
экономических и социальных последствий («любой ценой»)
— ориентированы преимущественно на использование и модернизацию традиционных средств достижения целей
— ориентированы преимущественно на политику «гонки за лидером»
|
| Работники, организующие
процесс создания средств достижения целей фирмы
|
— ориентированы на
маркетинговый
подход к организации производственного процесса фирмы
|
— ориентированы на соблюдение внутренних интересов производственных подразделений
|
| Работники, непосредственно создающие средства достижения целей фирмы
|
—ориентированы на обладание высокой квалификацией, универсальными умениями и знаниями
|
—ориентированы на необходимость выполнения традиционных видов работ
|
| 4 Параметры
пространственных ресурсов
|
Территория площадки фирмы
|
— земельный участок,
занимаемый фирмой, принадлежит ее владельцам на правах частной собственности
|
— земельный участок, занимаемый фирмой, арендован или находится в пожизненном пользовании владельцев фирмы
|
| Производственные здания
|
— строительные характеристики зданий позволяют лег-
ко адаптироваться
к изменению целей
фирмы
— строительные характеристики полностью обеспечивают техническую и экологическую безопасность производственного процесса
|
— строительные характеристики зданий жестко приспособлены к стабильным целям
фирмы
— строительные характеристики зданий не в полной мере обеспечивают техническую и экологическую безопасность производственного процесса
|
| Непроизводственные здания
|
— строительные характеристики и интерьеры обеспечивают комфортные
условия труда и отдыха научно-инженерного и управленческого персонала
|
— строительные характеристики и интерьеры зданий не отвечают санитарным нормам и нормативам технической и экологической безопасности
|
| Сооружения и инженерные коммуникации
|
— обеспечивают возможность эффективного транспортирования и хранения необходимого количества средств и предметов труда, топлива, энергии, информации
|
— не обладают необходимыми параметрами для обеспечения эффективного и безопасного обслуживания производственного процесса
|
| 5.Параметры
ресурсов организационной структуры фирмы
|
Степень адекватности и время прохождения управленческих воздействий по
уровням иерархии
|
— управленческие воздействия, выработанные на верх-
нем уровне иерархии, доходят до нижнего уровня без искажений и в кратчайшие сроки
— обратные связи между уровнями иерархии постоянны и обладают полнотой информации
|
— управленческие
воздействия, выработанные на верхнем уровне иерархии, искажаются по мере прохождения последующих уровней
— обратные связи между уровнями иерархии случайны и недостаточно информативны
|
| Степень автономии лиц, принимающих решения (ЛПР), на каждом уровне иерархии управления фирмой
|
— ЛПР верхнего уровня иерархии определяют только глобальные стратегические цели фирмы
— ответственность за определение локальных стратегических целей и тактические решения делегируется на нижние уровни
|
— ЛПР верхнего уровня иерархии принимают единолично стратегические и тактические решения
— ЛПР нижних уровней иерархии лишены возможности принимать самостоятельные решения
|
| Степень гибкости организацион-ной структуры управления
|
— организационная структура регулярно приспосабливается к изменяющимся целям, системы управления ориентированы на товары или рынки, число уровней иерархии минимально, организация – матричная (командная)
|
—организационная структура не изменяется, функциональная организация подразделений, многоуровневая система иерархии управления
|
| 6 Параметры информационных ресурсов
|
Информационное обеспечение производства
|
— фирма располагает постоянно актуализируемыми базами данных: о производственной структуре; состоянии и ходе технологических процессов;
нормативно- справочной информации; о состоянии оборудования; о состоянии кадров; о программном обеспечении ЭВМ
|
— актуализация информационного обеспечения производства проводится нерегулярно и не по всем необходимым направлениям
|
| Информационное обеспечение
НИОКР
|
— базы данных об объектах проектирования, результатах НИОКР, ходе выполнения НИОКР постоянно актуализируются
|
— актуализация информационного обеспечения НИОКР осуществляется нерегулярно
|
| 7 Параметры финансовых ресурсов
|
Степень зависимости от привлекаемых источников финансирования
|
— потребности в финансовых ресурсах преимущественно удовлетворяются за счет собственных средств; заемные средства привлекаются эпизодически
|
— потребности в финансовых ресурсах
удовлетворяются частично за счет собственных средств; заемные средства привлекаются систематически
|
| 8 Параметры
стратегического потенциала фирмы
|
Соответствие стратегического
потенциала фирмы (СПФ) ее целям формирования конкурентного преимущества (КПФ)
|
— значения показателей соответствия СПФ целям фирмы по формированию и поддержанию КПФ по всем видам ресурсов существенно близки к единице
|
— значения показателей соответствия СПФ целям фирмы по формированию и поддержанию КПФ по большинству видов ресурсов существенно меньше единицы
|
|