|
Содержание
Введение. 3
1. Теоретико-методологические аспекты анализа конкурентоспособности предприятия. 5
1.1. Сущность и роль конкурентоспособности предприятия. 5
1.2. Показатели конкурентоспособности. 8
1.3. Методология оценки конкурентоспособности. 12
1.4. Стратегические подходы по повышению конкурентоспособности предприятия 17
2. Анализ конкурентоспособности предприятия «Дорстройтранс». 27
2.1. Характеристика предприятия. 27
2.2. Комплексный анализ КСП предприятия. 32
3. Разработка проекта мероприятий по повышению КСП.. 48
3.1. Мероприятия по повышению уровня проектного менеджмента на предприятии с целью повышения уровня выполнения договорных обязательств. 48
3.2. Мероприятия по снижению себестоимости дорожно-строительных работ с целью минимизации отклонения от договорных цен. 53
3.3. Мероприятия по повышению профессионального и образовательного уровня работников ИТР. 55
Заключение. 57
Библиография. 61
Приложения. 64
Приложение 1. Объекты на гарантии. 64
Введение
Основной целью любой фирмы в условиях рыночной экономики является сохранение и расширение своих позиций на рынке (или его сегменте), рост или, по крайней мере, стабильное получение прибыли. Это возможно только при ориентации на максимизацию прибыли, главным средством достижения которой выступает обеспечение высокой конкурентоспособности.
Kонкурентоспособность предприятия - решающий фактор его коммерческого успеха на рынке. Это многоаспектное понятие означает соответствие деятельности дорожной организации условиям рынка, конкретным требованиям клиентов не только по своим качественным, но и по коммерческим и иным характеристикам.
Конкурентоспособность является ключевым показателем, комплексно характеризующим работу любого предприятия, и управление конкурентоспособностью, ее постоянное повышение представляется главной задачей менеджмента организации.
Цель данной работы заключается в анализе конкурентоспособности предприятия и разработке рекомендаций по ее повышению.
Задачи работы:
1. Раскрыть сущность и роль конкурентоспособности предприятия
2. Определить показатели конкурентоспособности
3. Привести методологию оценки конкурентоспособности
Забиваем Сайты В ТОП КУВАЛДОЙ - Уникальные возможности от SeoHammer
Каждая ссылка анализируется по трем пакетам оценки: SEO, Трафик и SMM.
SeoHammer делает продвижение сайта прозрачным и простым занятием.
Ссылки, вечные ссылки, статьи, упоминания, пресс-релизы - используйте по максимуму потенциал SeoHammer для продвижения вашего сайта.
Что умеет делать SeoHammer
— Продвижение в один клик, интеллектуальный подбор запросов, покупка самых лучших ссылок с высокой степенью качества у лучших бирж ссылок.
— Регулярная проверка качества ссылок по более чем 100 показателям и ежедневный пересчет показателей качества проекта.
— Все известные форматы ссылок: арендные ссылки, вечные ссылки, публикации (упоминания, мнения, отзывы, статьи, пресс-релизы).
— SeoHammer покажет, где рост или падение, а также запросы, на которые нужно обратить внимание.
SeoHammer еще предоставляет технологию Буст, она ускоряет продвижение в десятки раз,
а первые результаты появляются уже в течение первых 7 дней.
Зарегистрироваться и Начать продвижение
4. Рассмотреть стратегические подходы по повышению конкурентоспособности предприятия
5. Охарактеризовать деятельность предприятия
6. Провести комплексный анализ КСП предприятия
7. Разработать мероприятия по повышению уровня проектного менеджмента на предприятии с целью повышения уровня выполнения договорных обязательств
8. Разработать мероприятия по снижению себестоимости дорожно-строительных работ с целью минимизации отклонения от договорных цен
9. Разработать мероприятия по повышению профессионального и образовательного уровня работников ИТР.
Объект исследования – дорожно-строительное предприятие ООО «Дорстройтранс»
Предмет исследования – конкурентоспособность предприятия
При написании теоретической части были использованы учебные пособия, журнальные статьи, тематические словари и т.д.
При написании практической части были использованы статистические данные деятельности предприятия, официальная документация, сведения из годового отчета предприятия.
Для исследования были использованы следующие методы и приёмы экономических исследований: статистический метод, метод динамических рядов, корреляционный метод, балльный методы, метод экспертных оценок и т.д.
1. Теоретико-методологические аспекты анализа конкурентоспособности предприятия
1.1. Сущность и роль конкурентоспособности предприятия и товара
Все большую актуальность проблема конкурентоспособности приобретает для российских предприятий, прежде всего в тех сферах экономики, где начинает формироваться конкурентная среда.
Во втором дополненном издании Толкового словаря рыночной экономики указано: «Конкуренция — это соперничество, соревнование между выступающими на рынке предприятиями, имеющее целью обеспечить лучшие возможности сбыта своей продукции, удовлетворяя разнообразные потребности покупателей…» [16, c. 371].
В общем случае, конкурентоспособность (КСП) - это свойство объекта, характеризующего степень удовлетворения конкретной потребности по сравнению с лучшими аналогичными объектами, представленными на данном рынке или конкурентоспособность - это способность выдерживать конкуренцию в сравнении с аналогичными объектами в условиях конкретного рынка [15, c. 162].
Понятие конкурентоспособности является базовым для любого предприятия и рассматривается в трех взаимосвязанных аспектах - уровне предприятия в целом, уровне производства и уровне продукции (рис. 1.1.1).

Рис. 1.1.1. Уровни конкурентоспособности предприятия [23 ,c. 56]
Сервис онлайн-записи на собственном Telegram-боте
Попробуйте сервис онлайн-записи VisitTime на основе вашего собственного Telegram-бота:
— Разгрузит мастера, специалиста или компанию;
— Позволит гибко управлять расписанием и загрузкой;
— Разошлет оповещения о новых услугах или акциях;
— Позволит принять оплату на карту/кошелек/счет;
— Позволит записываться на групповые и персональные посещения;
— Поможет получить от клиента отзывы о визите к вам;
— Включает в себя сервис чаевых.
Для новых пользователей первый месяц бесплатно.
Зарегистрироваться в сервисе
Конкурентоспособность является комплексным системным свойством, по-разному проявляющимся на каждом из уровней.
Конкурентоспособность "уровень предприятия" является общей мерой интереса и доверия к услугам предприятия на фондовом, финансовом и трудовом рынках. В числе главных определяющих факторов этой меры выступают стоимость предприятия, техническая оснащенность рабочих мест, реализуемая концепция управления, управленческие технологии, организационная система, человеческий капитал, стратегический маркетинг, техническая, инвестиционная и инновационная политики.
Конкурентоспособность предприятия — понятие относительное. Она может быть выявлена и оценена только путем сравнения фирм, выпускающих аналогичную продукцию или оказывающих одинаковые услуги применительно к территории, в пределах которой эти фирмы функционируют (на местном, региональном, национальном, мировом рынках). Поэтому одно и то же предприятие может быть конкурентоспособным на местном или национальном рынке и не быть таковой на региональном и тем более на мировом.
Под конкурентоспособностью понимается текущее положение предприятия на рынке (в первую очередь, занимаемая доля рынка - объем продаж в сопоставлении с общими по рынку и объемами продаж предприятий-конкурентов) и тенденции его изменения. За счет своих рыночных преимуществ предприятие получает возможность потеснить конкурентов на рынке, повысить собственные объемы продаж, в определенной мере воздействовать на среднерыночный уровень цен за счет манипулирования объемом продаж и, в конечном итоге, повысить свои конечные финансовые результаты (величину чистой прибыли).
1.2. Показатели конкурентоспособности
Показатели конкурентоспособности на уровне, определяющие общую меру интереса и доверия к предприятию в сфере бизнеса представлены на рис. 1.2.1.

Рис. 1.2.1. Показатели конкурентоспособности на уровне «предприятие» [23,c. 58]
Например, для судостроительного предприятия Российским Агентством по судостроению его деятельность оценивается по следующим направлениям:
Показатели для обобщенного анализа [8,c. 115]:
• Данные о прибыли (убытках).
• Данные о кредиторской задолженности.
• Данные о дебиторской задолженности.
Показатели для детального анализа:
• Показатели рентабельности хозяйственной деятельности.
• Показатели ликвидности.
• Показатели деловой активности.
• Данные об основных средствах.
• Данные о стоимости чистых активов предприятия.
• Данные о доле расчетов в не денежной форме.
Кроме того, представляются сведения об использовании прибыли, недвижимом имуществе предприятия, о наличие признаков банкротства.
Сопоставительный анализ приведенных показателей позволяет сделать вывод о том, что по принятым в судостроении показателям определить уровень конкурентоспособности предприятия, соответствующий мировой практике, не представляется возможным.
Конкурентоспособность производственного комплекса или отдельных его видов является интегральной мерой общего потенциала производственной системы предприятия, характеризующей ее во всех основных срезах - научно-техническом, финансово-экономическом, кадровом, производственно-технологическом.
Обеспечение привлекательности инвесторов и доверия в сфере бизнеса производства продукции предприятия возможно только при наличии конкурентоспособного производственного комплекса, или отдельных его видов, инвестиции в которые способны качественно повысить параметры сферы бизнеса, общий и инновационный потенциал предприятия.
Показатели конкурентоспособности на уровне производственного комплекса предприятия или его вида, как интегральная мера общего и инновационного потенциалов производственной системы предприятия, оценивается следующими показателями, применимыми к технологическому комплексу по производству судна, корабля представлены на рис. 1.2.2.
Отдельного внимания заслуживает оценка влияния издержек производственного комплекса, длительности цикла строительства, обеспечения качества промышленной продукции и других факторов на конкурентоспособность производственного комплекса или его отдельных видов. Не исключена возможность достижения конкурентоспособного уровня только отдельных видов производств, исходя из специфических условий предприятия.

Рис. 1.2.2. Показатели конкурентоспособности производственного комплекса [23,c. 60]
Конкурентоспособность изделий предприятия измеряется степенью удовлетворенности, приверженности и лояльности заказчиков и владельцев продукции. Главными образующими этой интегральной меры выступают качество, полная цена (приобретение, владение, утилизация), сроки поставки, послепродажное обслуживание, информационная поддержка изделий на всем жизненном цикле.
Показатели конкурентоспособности продукции на уровне изделий предприятия, как общая мера удовлетворенности, приверженности и лояльности клиентов к продукции предприятия может быть сведена к следующим основным показателям (рис. 1.2.3).

Рис. 1.2.3. Показатели конкурентоспособности продукции [23,c. 62]
В настоящее время на многих российских предприятиях отсутствует целенаправленная, постоянно действующая, научно-обоснованная комплексная система оценки его конкурентоспособности, а также система стратегического управления по взаимосвязанным целям и показателям, что весьма негативно сказывается на эффективности деятельности предприятия в целом.
Как правило, основные показатели формируются в отделе стратегического планирования предприятия, но носят они в большей степени оперативный характер и не позволяют организовать на предприятии современную систему стратегического менеджмента, эффективно направить, мотивировать и взаимоувязать деятельность подразделений и сотрудников предприятия.
Кроме того, показатели и критерии оценки эффективности деятельности предприятия часто несбалансированны и не в полной мере отражают все значимые аспекты, а система анализа передового опыта лучших фирм мира практически отсутствует. Это обстоятельство не позволяет системно, в показателях отслеживать динамику развития мирового опыта и позиционировать место предприятия среди ведущих фирм мира, а также своевременно прогнозировать основные тенденции развития и разрабатывать обоснованный комплекс мер по обеспечению требуемой конкурентоспособности предприятия.
1.3.
Методология оценки конкурентоспособности
В настоящее время практически ни одна структура в России не занимается решением проблем повышения конкурентоспособности. Стратегическое планирование развития страны (образования, научно-технического, экономического, социального и других направлений) утратило системность, планомерность, обоснованность и эффективность. Создается впечатление, что властные структуры и не пытаются бороться за возрождение величия России. Богатый зарубежный опыт показывает, что переход на рыночные отношения на начальном этапе возможен только на основе титанического труда каждого сначала для общества (потребителя), а потом – для себя, и, прежде всего, этому принципу должны следовать работники всех ветвей власти.
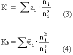
Цена потребления или владения, скажем, для персонального компьютера включает его стоимость на рынке или в магазине и те деньги, которые потребитель платит в течение срока его эксплуатации, например в течение трех лет. Известно, что в США деньги, потраченные на приобретение компьютера, составляют лишь 20% от цены потребления, поэтому там покупатель платит, скорее, за сервис, нежели за системный блок, монитор или принтер. Необходимые пояснения по формуле (1) сделаны, приступим теперь к описанию этапов алгоритма расчета КС:
1) разработать на основе знания рынка и требований к товару совокупность показателей его качества;
2) выбрать из этой совокупности несколько важнейших, назовем их параметрами качества;
3) получить количественные характеристики значимости (а) каждого из параметров путем опроса экспертов при соблюдении условия i=1,m
= 1 (2)
4) сформулировать модель эталона - образца товара в разрезе выбранных параметров с позиции покупателей, задав его количественные оценки (ni
э
);
5) разработать количественные оценки тех же самых параметров качества по своему изделию (ni
) и по изделию-конкуренту (ni
k
) ;
6) оценить уровень качества или потребительского эффекта своего товара (К) и товара-конкурента (Kk
)по формулам:

где
ai
- количественная оценка значимости i-го параметра по своему изделию
ni
э
- количественные оценки
ni
- количественная оценка i-го параметра качества по своему изделию
ni
k
- количественная оценка i-го параметра качества по изделию-конкурента
€i
- количественная оценка значимости i-го параметра по изделию-конкурента/
7) рассчитать цену Ц потребления своего товара и установить цену Цk
потребления товара-конкурента с учетом отпускной или розничной цены и эксплуатационных расходов в период пользования товаром;
8) рассчитать интегральный показатель конкурентоспособности своего товара по отношению к товару-конкуренту:
 (5)
9) если свой товар планируется экспортировать, то необходимо проверить выбранные параметры качества на соответствие интернациональным или национальным стандартам предполагаемого импортера. Если хотя бы один из нормативных параметров не соответствует сравниваемому стандарту, необходимо такое несоответствие устранить. При этом конечная формула для КС примет такой вид:
, (6)
где П
- произведение всех ;
- параметр качества, учтенный в зарубежном стандарте;
= 0 - несоответствие стандарту;
= 1 - соответствие стандарту.
Если хотя бы один из параметров качества будет равен 0, то КС не будет иметь смысла.
Определение конкурентоспособности продукции методом расчета единичных и групповых показателей [12, 36]:
В основе данного — традиционного — метода лежит расчет единичных и групповых показателей, на базе которых определяется интегральный показатель конкурентоспособности. Рассмотрим его более подробно.
На первом этапе выбирается база сравнения. В качестве базы для сравнения может служить лучший из уже существующих на целевом рынке или в мире товаров-конкурентов, или более совершенный образец, появление которого ожидается в ближайшем будущем, или некоторый абстрактный эталон. Если разбить товары на три группы, а именно:
· имеющие аналоги и уже выведенные на рынок;
· имеющие аналоги и находящиеся на стадии разработки;
· не имеющие аналогов,
то получаем, что первый вариант базы сравнения лучше использовать для первой группы, второй — для группы 2, третий — для группы 3.
На втором этапе выделяются наиболее значимые для потребителя критерии. Они делятся на две группы: потребительские и экономические. Первые включают в себя качественные характеристики товара (производительность, габариты, экологическая безопасность, надежность и т.д.), вторые — цену товара, затраты на транспортировку, монтаж и эксплуатацию, что в целом составляет цену потребления. Значение критерия у базисной модели обозначим РБ, а у сравниваемого образца — Р.
На третьем этапе по каждому критерию рассчитывается единичный показатель конкурентоспособности (qi). Если увеличение значения критерия влечет за собой повышение качества, то
qi = Pi/PБi, (1)
а если снижение, то
qi = PБi/Pi, (2)
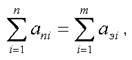
На четвертом этапе внутри каждой группы критериев производят ранжирование показателей по степени их значимости для потребителя и в соответствии с этим присваивают им вес: апi — для потребительских и аэi — для экономических показателей. Причем
, (3)
где n и m — количество потребительских и экономических параметров соответственно.
Необходимость соблюдения этого равенства обоснуем ниже.
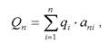
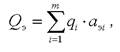
На пятом этапе проводится расчет группового показателя как сводного параметрического индекса конкурентоспособности:
, (4)
, (5)
где Qп и Qэ — сводные параметрические индексы конкурентоспособности по потребительским и экономическим свойствам соответственно.
Вернемся к равенству (3). Его соблюдение обеспечивает сопоставимость Qп и Qэ вне зависимости от количества рассматриваемых критериев.
Экономический смысл интегрального показателя конкурентоспособности заключается в том, что на единицу затрат потребитель получает К единиц полезного эффекта. Если К > 1, то уровень качества выше уровня затрат и товар является конкурентоспособным, если К
< 1 — неконкурентоспособным на данном рынке.
Данный метод имеет ряд недостатков:
1) во всех случаях предполагается линейная зависимость конкурентоспособности от значения критерия, то есть по всем параметрам эластичность спроса равна 1;
2) не учитывается то, что для некоторых критериев существуют ограничения, объективные или субъективные, при нарушении которых конкурентоспособность товара стремится к нулю;
3) при сравнении нескольких товаров необходимо проведение расчетов для каждой пары в отдельности;
4) сложно устанавливать весовые значения aij
, особенно для большого количества критериев;
5) невозможно оценить степень влияния на конкурентоспособность товара факторов, не поддающихся количественной оценке;
6) данным методом рассчитывается конкурентоспособность одного объекта относительно другого, а не уровень конкурентоспособности объекта вообще;
7) существует определенная сложность выбора базы сравнения, особенно в случаях, когда в качестве таковой необходимо принять лучший из существующих образцов. Возникает вопрос: как определить, какой товар является лучшим? Поэтому либо необходимо предварительно сравнивать образцы между собой, либо имеет место интуитивный выбор. Можно брать в качестве базы сравнения лидера по продажам, но эта информация часто закрыта, субъективна и трудно собираема, особенно когда речь идет о товарах широкого потребления, которые распространяются по многим каналам сбыта, имеющим несколько уровней.
1.4. Стратегические подходы по повышению конкурентоспособности предприятия
Можно выделить три основных стратегических подхода к ведению конкурентной борьбы [19,c. 71]:
- стремление иметь самые низкие в отрасли издержки производства;
- поиск путей дифференциации производимой продукции от продукции конкурентов;
- фокусирование на узкой части, а не на всем рынке.
Рассмотрим данные стратегии более подробно.
1. Низкие издержки производства как вид конкурентных преимуществ
Издержки никогда не должны определять цену, но они играют решающую роль в формировании стратегии ценообразования. Ценовые решения неизбежно привязаны к решениям об объемах продаж, а продажи связаны с производственными, маркетинговыми и управленческими издержками. Верно то, что готовность покупателей заплатить ту или иную сумму не зависит от издержек производителя, но верно также и то, что решение продавца о том, какие товары и в каком количестве производить, зависит именно от стоимости производства этих товаров. Фирмы, эффективно устанавливающие цену, решают, что производить и кому это продавать, путем сравнения цен, которые они могут назначить, с издержками, которые они могут взять на себя. Таким образом, получается, что издержки влияют на назначение цен. Фирмы с низкими издержками могут устанавливать низкие цены и продавать больше, так как это привлекает большее количество покупателей.
Общепризнанно, что издержки - многофакторный процесс. Но по вопросу о том, как подходить к анализу факторов и какие принимать решения, - взгляды принципиально различаются. Согласно господствующим ныне в теории и практике представлениям издержки производства на уровне фирмы являются функцией только одного определяющего фактора - объема произведенной продукции. В рамках подобной парадигмы анализ издержек осуществляется с позиции их влияния на количественные и качественные показатели производства. Он включает в себя классификацию видов издержек, сравнение постоянных издержек с переменными, средних издержек с предельными, издержек в краткосрочном и долгосрочном периодах. Другими словами, традиционный анализ в системе управления издержками ограничивается во многих случаях простыми моделями микроэкономики.
Что касается новых подходов к стратегии управления издержками, то они не отвергают необходимости анализа структуры издержек внутри фирмы. Но исходная посылка меняется. Суть в том, что анализ издержек производства и управление ими не могут ограничиваться рамками фирмы. В противном случае руководители концентрируют свое внимание и энергию на решении внутренних проблем, поверхностно изучая рыночные тенденции. При этом решение внешних проблем часто приносится в жертву рационализации внутренних процессов, что снижает конкурентоспособность фирмы. Требуется выход за пределы конкретной фирмы. Создание добавленной стоимости должно учитывать экономические связи с поставщиками, покупателями и другими факторами внешней среды.
Из сказанного следует, что в процессе стратегического управления издержками производства первостепенное значение в настоящее время имеет не только и не столько анализ внутрифирменных факторов, сколько анализ процессов, влияющих на издержки, которые действуют за пределами фирмы, т.е. внешних факторов. К наиболее значимым из них относятся поставщики, потребители, конкуренты, посредники, правительственные и законодательные институты.
Контроль затрат - это неотъемлемая функция управления любой успешно действующей компании. Этот процесс должен быть непрерывным, поскольку все те, кто связан с компанией, не без оснований заинтересованы в том, чтобы определенные издержки росли. Сотрудники хотели бы, чтобы увеличивалось число работников в их отделах или их счета расходов контролировались с меньшей тщательностью. Поставщики полагают, что оказываемые ими услуги оправдывают немного более высокую цену и что покупатели должны быть более сговорчивыми при планировании графиков поставок и управлении запасами. Однако только контроль издержек как таковой редко способен приносить конкурентные преимущества в издержках в течение очень долгого времени. Хотя политика тугого затягивания поясов может приносить временные преимущества в затратах, эти преимущества скоро оказываются утраченными в связи с падением морального настроя сотрудников и доброй воли поставщиков или из-за товаров-имитаторов, выпускаемых конкурентами. Устойчивые преимущества в издержках достигаются не за счет постоянного затягивания поясов, а за счет эффективного использования ресурсов.
Существуют три разных способа, используя которые предприятие может сократить свои затраты на единицу продукции благодаря эффективной организации своих внутренних операций: экономия за счет ассортимента, за счет масштаба и за счет накопленного опыта [18,c. 341].
Экономия за счет ассортимента.
Ассортимент - это величина "портфеля" товаров, выпускаемых фирмой. Многие фирмы продают различные товары. Цель планирования выпуска продукции - в том, чтобы подобрать синергетический "портфель" товаров. Один из важных источников синергии - это экономия, возникающая, когда различные товары имеют общий набор затрат. Фирма, которая тщательно подбирает свой "портфель" товаров для максимизации общих издержек, способна довести свои дополнительные затраты до более низкого уровня по сравнению с дополнительными затратами конкурентов, имеющих менее эффективные "портфели".
Экономия за счет масштаба.
Масштаб - это размер фирмы, измеряемый как ее долговременный устойчивый уровень выпуска. Практически в любом виде работ, начиная от закупок и заканчивая производством, продвижением и сбытом, существует тенденция к снижению величины затрат по мере роста объемов производства. Существует целый ряд предпосылок использования экономии за счет масштаба [20, c. 264]:
- рост масштабов позволяет отдельным работникам трудиться над решением более специализированных задач, повышая свой профессионализм и снижая потери времени при переходе от одной задачи к другой;
- дополнительные постоянные издержки, связанные, например, с разработкой продукции, ниже из расчета на единицу продукции, если их можно разделить на большее количество таких единиц;
- более эффективные производственные процессы (например, сборочные конвейеры) оправданы только при больших масштабах производства;
- возможно возведение более крупных объектов капитального оборудования, при котором затраты растут не в прямой пропорции, а медленнее.
Экономия за счет накопленного опыта.
Экономия за счет опыта - это сокращение издержек, которое возникает с ростом кумулятивных объемов производства, что отличает ее от экономии за счет масштаба, зависящей от текущего объема производства. Старая и молодая компании в том или ином году могут иметь одинаковые объемы производства, добиваясь одинаковой экономии за счет масштаба. Однако более старая компания с более высоким кумулятивным объемом выпуска за предшествующие годы может иметь более низкие издержки благодаря большей экономии за счет накопленного опыта. Экономия на издержках за счет накопленного опыта строится на обучении в процессе деятельности: чем больше компания производит, тем больше она узнает о том, как сделать производство эффективным. Согласно исследованиям Бостонской консультационной группы (BCG), экономия на затратах за счет накопленного опыта затрагивает не только стоимость рабочей силы, но и стоимость капитала, управления, исследований и маркетинга. Консультанты BCG утверждают, что эффект накопления опыта проявляется не только в высокотехнологичном производстве, но и в сфере услуг, и производстве простых потребительских товаров (например, маргарина и пива).
В дополнение к эффективности внутренних издержек компания также может снизить издержки за счет правильного выбора и управления своими внешними контактами с клиентами и поставщиками. Она может организовать это с помощью маркетинговых мероприятий для использования экономии от концентрации и организации закупочной деятельности (экономия от интеграции). При этом внешние издержки могут быть минимизированы путем применения следующих стратегий.
Во-первых, это экономия от концентрации на покупателе. Компания часто может значительно увеличить экономию путем сосредоточения маркетинговых исследований на одном или двух продуктах или рыночных сегментах. Один из очевидных моментов экономии заключается в издержках на продвижение и на рекламную деятельность. Например, некоторые поставщики в автомобильной индустрии не имеют торговых агентов; при этом их менеджеры заключают ежегодные контракты с несколькими или одной автомобильными компаниями на продажу всего объема продукции. Такие тесные связи способствуют не только снижению торговых издержек, но и лучшему пониманию желаний потребителя.
Во-вторых, это экономия от интеграции материально-технического обеспечения (логистики). Компании во всем мире воздействуют на экономику посредством улучшения координации своих действий в отношениях с поставщиками и в сфере сбыта. Улучшение взаимодействия с поставщиками может минимизировать стоимость товарно-материальных запасов, а лучшая координация спецификаций свести к минимуму потребность дальнейшей доработки продукции поставщика, более высокая координация в ценообразовании может сделать компанию и ее поставщиков более конкурентоспособными и рентабельными. Экономия может быть достигнута на другом конце логистической цепочки - в процессе распространения.
В-третьих, использование эффективного трансфертного ценообразования. Все компании в производственной цепи - поставщики сырья, те, кто производит детали, те, кто осуществляет сборку, и те, кто реализует изделие конечному потребителю, - получают выгоду, когда вся цепочка операций работает эффективно. Неэффективность одного из звеньев цепочки поднимет цену для конечного покупателя и тем самым приведет к снижению продаж для всех звеньев цепи. К сожалению, одним из наиболее часто неосознаваемых и в целом неправильно понимаемых источников неэффективности является способ, которым независимые компании и подразделения одной и той же фирмы устанавливают цены на товары, перемещающиеся между ними.
Стратегия управления издержками, включающая в себя учет многообразных экономических связей фирмы, позволяет ей адаптироваться к постоянно меняющимся внешним условиям и добиваться ощутимых конкурентных преимуществ. В связи с этим парадигма управления издержками производства вполне применима к российским предприятиям и может быть эффективна при учете следующих особенностей:
Во-первых, система управления издержками производства в условиях отсутствия равновесного состояния экономики и совершенной рыночной инфраструктуры не может ориентироваться исключительно на приоритет внешних факторов развития предприятия. Следует применять комплексный подход, при котором внутренние и внешние факторы рассматриваются как равнозначные. В этом случае стратегия управления затратами включает в себя две стратегии. Одна связана с совершенствованием технико-экономических и социально-экономических процессов, протекающих внутри предприятия, другая учитывает воздействие внешних факторов на величину издержек производства.
Во-вторых, комплексное управление издержками производства придает важное значение способам организации этой работы. Резервы снижения себестоимости имеются во всех направлениях работы предприятия. По оценкам специалистов, в снабжении они составляют 50%, в сбыте - 40%, в производстве - 10%. В реализации резервов снижения себестоимости на первом месте стоит грамотное планирование, на втором - маркетинговая деятельность.
В-третьих, особое значение в российских условиях управления издержками имеет их воздействие на цену. Если мы исходим из предпосылки о комплексном подходе к использованию внутренних и внешних факторов снижения издержек, то очевидно, что все они прямо или косвенно влияют на цены. Говоря о механизме взаимосвязи издержек производства и цен в российской экономике, следует прежде всего обратить внимание на то, что ограничения, накладываемые нестабильной внешней средой, существенно сказываются на структуре издержек. Поскольку макроэкономические и институциональные условия функционирования в значительной степени одинаковы для всех предприятий, то можно говорить об общей линии по большинству аспектов экономической деятельности.
2. Дифференциация продукции как способ получения конкурентного преимущества
Дифференциация - это способность обеспечить компанию уникальной и большей стоимостью в виде нового качества товара, особых потребительских свойств или послепродажного обслуживания. Стратегии дифференциации уместны в тех случаях, когда потребности и вкусы покупателей слишком отличаются от покупателя к покупателю и поэтому не могут быть удовлетворены путем производства стандартной продукции. Производитель, с успехом применяющий принцип дифференциации, тщательно изучает поведение и потребности покупателей с целью выяснения мнения клиентов относительно ценности и значимости тех или иных признаков. После этого компания дифференцирует свою продукцию согласно одного или, может быть, нескольких признаков, стимулируя тем самым предпочтение покупателей к предполагаемой компанией продукции. Конкурентное преимущество является следствием уникальной (по сравнению с конкурентами) способности фирмы удовлетворять потребности покупателей, отдающих предпочтение тому или иному признаку выпускаемой продукции.
Успешно проведенная дифференциация позволяет фирме [24,c. 128]:
- устанавливать премиальную наценку на свою продукцию;
- продавать больший объем продукции;
- сделать торговую марку фирмы более популярной среди покупателей.
Дифференциация может дать дополнительную прибыль, если премиальная наценка способна покрыть дополнительные затраты, связанные с ее проведением. Дифференциация не приносит желаемых результатов, если признаки, положенные в основу дифференциации продукции, не оценены покупателями столь высоко, чтобы окупить дополнительные издержки фирмы по дифференциации.
Способы дифференциации продукции фирмы от продукции конкурирующих фирм могут быть различными: разные вкусовые качества, сервисное обслуживание, поставка запасных частей, эксклюзивный дизайн и исполнение, престиж и неповторимость, качество производства, полный набор услуг, полный ассортимент продукции и др.
Дифференциация выступает в качестве амортизатора стратегий конкурирующих фирм, потому что покупатели привязываются к торговой марке или модели и согласны платить немного больше за полюбившуюся продукцию. Кроме того, с успехом проведенная дифференциация:
1) создает входные барьеры в виде привязанности покупателей к уникальному характеру производимой продукции, которые новичкам очень трудно преодолеть;
2) ослабляет покупательную способность крупных клиентов, поскольку продукция альтернативных продавцов менее привлекательна для них;
3) ставит фирму в более выгодную позицию при отражении атак со стороны производителей товаров-заменителей, так как покупатели отдают предпочтение марке фирмы.
Наибольший эффект может дать дифференциация, основывающаяся на:
- технологическом превосходстве;
- высоком качестве продукции;
- предоставлении потребителям большего набора сопутствующих услуг;
- предоставлении потребителям большей "ценности" за ту же цену.
Как правило, стратегии дифференциации лучше всего применяются в случаях, когда:
1) существует множество возможных способов дифференциации продукции или услуг, и значительная часть покупателей воспринимает данные различия как имеющие определенную цену;
2) потребности покупателей в данном продукте различаются, причем, сам продукт можно использовать по-разному;
3) незначительное число конкурирующих фирм опирается на подобный подход к дифференциации.
3. Возможности применения стратегии ниш для получения конкурентного преимущества
Фирма-продавец концентрирует свои усилия на одном или нескольких немногочисленных сегментах рынка, разрабатывает маркетинговые подходы и производит товары в расчете на удовлетворение потребителей именно этих групп покупателей.
Согласно такой стратегии товар обязан в максимальной степени отвечать потребностям соответствующей группы потребителей. Фирма детально изучает рынок с целью выявления оптимального сегмента своей деятельности и анализирует сегменты по экономическим, коммерческим и социальным характеристикам. По каждому сегменту рынка фирма конструирует отдельную маркетинговую программу, хотя это связано с построением долгосрочных стратегических целей и увеличением расходов.
Таким образом, конкурентоспособность предприятия выражается в текущем положении предприятия на рынке и тенденциях его изменения. Одним из наиболее интересных подходов для оценки конкурентоспособности предприятия является использование «Модели 5 сил» Портера.
Конкурентоспособность изделий предприятия измеряется степенью удовлетворенности, приверженности и лояльности заказчиков и владельцев продукции. Главными образующими этой интегральной меры выступают качество, полная цена, сроки поставки, послепродажное обслуживание, информационная поддержка изделий на всем жизненном цикле.
За счет использования рыночных преимуществ, предприятие получает возможность потеснить конкурентов на рынке, повысить собственные объемы продаж, в определенной мере воздействовать на среднерыночный уровень цен за счет манипулирования объемом продаж и, в конечном итоге, повысить свои конечные финансовые результаты.
Существует три основных стратегических подхода к повышению конкурентоспособности: ориентация на более низкие издержки в отрасли, поиск путей дифференциации производимой продукции от продукции конкурентов или фокусирование на узкой части рынка.
2. Анализ конкурентоспособности предприятия «Дорстройтранс»
2.1. Характеристика предприятия
С целью изучения деятельности рассматриваемого предприятия были использованы следующие источники:
1. Внутрифирменные документы: Устав, учредительные документы, бухгалтерский баланс и отчет о прибылях и убытках за 2004-2006 гг., справки отраслевого характера, сертификаты качества, коммерческое предложение, прейскуранты
4. Специализированные печатные СМИ по дорожной отрасли
5. Отраслевые стандарты
6. Документация Дорожного Комитета Пермского Края
Предприятие - общество с ограниченной ответственностью «Дорстройтранс» - создано 24 мая 1995 года. Уставный капитал 74 280 000 рублей. Директор общества – Колчанов Юрий Леонидович, заместитель директора по дорожному строительству – Софьин Валерий Александрович, заместитель директора по содержанию дорог – Голдырев Дмитрий Владимирович.
Основные виды деятельности связаны со строительством, ремонтом, эксплуатацией автодорог и дорожных сооружений, железнодорожным строительством, производством асфальтобетонных смесей. Предприятие имеет свою сертифицированную лабораторию.
Миссия «Дорстройтранс»: Обеспечение г. Перми качественными дорогами.
Основные цели ООО «Дорстройтранс»:
1. Увеличение объемов производства и победа в тендерах Дорожного Комитета по выполнению заказов на строительство и обслуживание дорожного полотна;
2. Совершенствование производственного оборудования;
3. Повышение квалификации персонала (управленческого и исполнительного);
4. Улучшений условий труда работников;
С 1998 года предприятие занимается содержанием и текущим ремонтом улиц Дзержинского, Ленинского, Кировского районов г. Перми, с 2000 года – улиц микрорайона Гайва в Орджоникидзевском р-не. Сейчас к ним добавился Индустриальный район. Общая площадь содержания улиц города – 3 400 тыс. м2 (около 35 % всей площади содержания города). С апреля 2006 года добавилось содержание улиц и дорог г. Краснокамска.
ООО «Дорстройтранс» имеет в собственности несколько производственных баз. Основные, используемые в том числе как базы для хранения инертных материалов, - это:
· подъездные пути ООО «Дорстройтранс» на ст. Пермь- Сортировочная,
· тупик ООО «Дорстройтранс» на ст. Блочная по ул. Борцов Революции,1.
Предприятие заготавливает пескосоляную смесь на основе отсева дробления из карьера Теплая Гора, находящегося в собственности предприятия. Отсев дробления габбродиабазов более эффективен при использовании зимой в качестве противогололедного материала, чем песок, в смеси с солью. Отсев дробления крупнее, имеет гранулированную поверхность, «вкрапливается» в снег, тем самым увеличивает шероховатость покрытия. Пескосоляная смесь «работает» до -150
С, тогда как отсев продолжает «работать» и при более низких температурах. Жидкие хлориды также не «работают» при низких температурах, замерзают. Опыт взят из стран Скандинавии. Отсев при накапливании на обочине можно использовать в дальнейшем для ее укрепления, или для исправления профиля проезжей части дорог частного сектора.
Вывозка снега производится на свалки, согласованные с администрациями районов и города Перми: с центральных районов – на ул. Фоминскую, из микрорайона Гайва – на ул.Гайвинскую за ПО «Камкабель», в Кировском районе – на ул. Гальперина.
Общество имеет собственный асфальтобетонный завод с тремя установками, расположенный в Дзержинском р-не г. Перми (микрорайон Пролетарский, ст. Пермь-сортировочная), где находится теплая стоянка для дорожной техники и автомашин, 2-х этажный административно-бытовой корпус, две асфальтосмесительных установки ДС-158, одна - ДС-185, открытый склад для хранения инертных материалов, собственные подъездные пути для их выгрузки, вагоны-думпкары, хоппер-дозаторы и полувагоны для перевозки.
Техника ООО «Дорстройтранс» находится в гаражах и стоянках на базах ст. Пермь-Сортировочная (обслуживает Кировский, Дзержинский, Ленинский, Индустриальный р-ны, Краснокамск), и в Левшино по ул. Первомайская, 9 (обслуживает Орджоникидзевский и часть Дзержинского района).
Парк техники постоянно обновляется. За 2005-2006 год приобретено 8 автосамосвалов КАМАЗ-6520, 2 бульдозера Т-170, 2 фронтальных погрузчика «Дресста», экскаватор «Хитачи», 6 дорожных катков «Динапак», асфальтоукладчик «Динапак», снегопогрузчики, пескоразбрасыватели на базе КАМАЗ и др. Техника покупается как по прямым договорам, так и по договорам лизинга.
Инженерно - технический персонал производственного отдела предприятия регулярно повышает уровень квалификации на курсах и семинарах, проводимых Комитетом по делам строительства и лицензирования строительной деятельности администрации Пермской области, дорожные рабочие и механизаторы – на курсах в ЦНТИ. Инженеры сметной группы имеют квалификационные аттестаты.
ООО «Дорстройтранс» заняло надежные позиции в сотрудничестве с такими предприятиями, как АО «Пермский Завод силикатных панелей», ОАО «Строительно-Монтажный Трест №14», Пермское отделение Свердловской Железной Дороги, ООО «Сатурн-Р», ООО «Пермглавснаб», ООО ПФК «Стройпрогресс». Ведутся успешные переговоры о сотрудничестве со многими промышленными и сырьевыми предприятиями не только в Пермской области, но и с другими регионами России и за рубежом.
На основе изучения бухгалтерского баланса и отчета о прибылях и убытках, проанализируем показатели рентабельности основной деятельности, которые представлены в таблице 2.1.1.
Таблица 2.1.1.
Показатели экономической эффективности производства
| Показатели
|
Годы
|
Изменения +,- (2004-2006)
|
| 2004
|
2005
|
2006
|
| Выручка от реализации продукции, тыс. руб.
|
468888
|
571408
|
649708
|
180820
|
| Себестоимость, тыс. руб
|
348514
|
486595
|
517723
|
169209
|
| Прибыль (убыток) от продаж, тыс. руб.
|
94819
|
80632
|
71612
|
-23207
|
| Прибыль после налогообложения, тыс. руб.
|
77109
|
56808
|
47443
|
-29666
|
| Рентабельность продаж, %
|
20,22
|
14,11
|
11,02
|
-9,1
|
| Среднегодовая стоимость основных фондов, тыс. руб
|
293638
|
306608
|
325531
|
31893
|
Анализируя данные таблицы 2.1.1. можно сделать следующие выводы: Показатель выручки от реализации продукции, работ и услуг за анализируемый период претерпевает изменения в сторону роста. В 2006 году показатель больше, чем в 2004 году на 180820 тыс. руб., в итоге к концу 2006 года этот показатель составил 649708 тыс. руб.
Вместе с тем при росте выручки от реализации растет и себестоимость реализованной продукции, работ и услуг. Если в 2004 году себестоимость составляла 34514 тысяч рублей, то в 2005 году этот показатель увеличился до 486595 тысяч рублей. В итоге, к концу 2006 года уровень себестоимости вырос до суммы 517723 тысячи рублей, что на 169 209 тыс. рублей больше уровня 2004 года. Причем себестоимость растет более быстрыми темпами, по сравнению с выручкой: (в2004 году темп роста выручки относительно 2004 года составил 22%; темп роста выручки в 2006 году относительно 2005 года составил 14%; в 2006 году относительно 2005 года темп роста себестоимости составил 6,4%).
Таким образом, показатели прибыли по годам характеризуются снижением. Если в 2004 году прибыль от продаж составила 94819 тыс. руб., то в 2006 году наблюдается снижение показателей на 23207 тыс. руб., что в свою очередь повлекло и снижение рентабельности продаж на 9,1. с 2004 по 2006 года положение предприятия ухудшается, уровень прибыли от продаж уменьшается на 23207 тыс. руб.
Среднегодовая стоимость основных производственных фондов (ОПФ), также претерпевает изменения в течение трех лет. Если в 2004 году стоимость ОПФ составляла 293638 тыс. руб., то в 2006 году произошло ее увеличение на 31893 тыс. руб. и составило 325531 тыс. руб., что может быть обосновано покупкой нового оборудования.
Далее следует оценить положение предприятия на рынке. По официальным данным СМИ, в 2005 году по объему выполненных работ на первом месте была компания «Пермавтодор» (872,5 млн. руб.), далее следовали «Мостоотряд №123» (788,8 млн. руб.), НПО «Космос» (512,9 млн. руб.), «Пермдорстрой» (255,3 млн. руб.), «Уралсибспецстрой» (172 млн. руб.) и «Дорстройтранс» (171,6 млн. руб.). В 2006 году ситуация кардинально изменилась. Объем средств Дорожного фонда Пермской области увеличился почти на 1 млрд. руб. и составил 4 млрд. 882 млн. руб. На освоение 3 млрд. 778 млн. руб. его бюджета уже определены подрядчики. Главным из них в 2006 году стал «Космос», в 2006 году он освоил 1 млрд. 867 млн. бюджетных средств. Другие пермские компании уменьшили объемы производства, финансируемые Дорожным фондом: у «Пермавтодора» они составят 681,6 млн. руб., у «Мостоотряда №123» — 756,5 млн. руб., у «Уралсибспецстроя» — 79,7 млн. руб., у «Дорстройтранс» — 74,7 млн. руб. (рис. 2.1.1).

Рис. 2.1.1. Доля рынка в 2006 году
Как видно из этих цифр, с увеличением бюджета фонда на 1 млрд. руб. более чем на 1 млрд. руб. увеличились и объемы производства НПО «Космос» (финансируемые через Дорожный фонд). Анализируя тенденции конкурентного уровня отрасли, отчетливо видно снижение доли рассматриваемого предприятия и ослабление конкурентных позиций. Для «Дорстройтранс» данная ситуация должна быть расценена как негативная, что должно послужить стимулом для корректировки стратегии и повышения способности выигрывать тендеры.
2.2. Комплексный анализ КСП предприятия
Главным для успешной работы в условиях рыночной экономики в сфере дорожного строительства является следующее:
1. Профессионализм персонала (каждый должен знать свою задачу и уметь выполнить ее)
2. Наличие современной высокопроизводительной техники европейского класса
3. Качественные дорожно-строительные материалы.
Основным заказчиком дорожных работ, проводимых предприятием Дорстройтранс, является Дорожный Комитет Пермской области, который осуществляет тендерные конкурсы. Поэтому конкурентоспособность предприятия означат соответствие требованиям тендерных конкурсов. В рамках проводимых тендеров определены условия рейтинговой оценки деловой и финансовой деятельности дорожно-строительных и ремонтных организаций. Составление рейтинговых списков осуществляется для общественного признания деловой состоятельности и надежности дорожно-строительных и ремонтных организаций Перми и Пермского Края.
Рейтинговая оценка деятельности дорожно-строительных и ремонтных организаций Пермской области осуществляется по итогам строительного сезона. На основе представленных материалов комиссия устанавливает рейтинг дорожно-строительных и ремонтных организаций, осуществляющих выполнение работ в дорожном строительстве и ремонте.
Рейтинговая оценка производится рейтинговой комиссией ежегодно по состоянию на первое октября текущего года. Результаты рейтинговой оценки учитываются в качестве критерия деловой состоятельности, репутации и надежности организации при конкурсном размещении заказов на строительные и ремонтные работы.
При рассмотрении конкурсных заявок организаций на строительство и ремонт автодорог, при прочих равных условиях, предпочтение отдается той организации, которая по итогам рейтинговой оценки стоит выше нежели та, которая стоит ниже в рейтинговом списке или вообще не принимает участие в рейтинговой оценке.
Рейтинговая оценка деловой состоятельности и надежности организации производится для предприятий всех форм собственности, осуществляющих деятельность в области строительства и ремонта автодорог на территории Перми и Пермского Края и принимающих участие в процедуре составления рейтинговых списков.
Рейтинговая оценка производится по следующим основным критериям деятельности предприятий:
· выполнение инвестиционно-строительной программы;
· качество дорожно-строительных и ремонтных работ (средняя оценка качества работ, наличие дефектов, обнаруженных в гарантийный период);
· показатели выполнения обязательств по договорам подряда (освоение выделенных на объект государственных средств в планируемый период в соответствии с графиками финансирования, выполнение обязательств по договору в соответствии с заявленной в конкурсе ценой);
· обеспечение выполнения временных параметров, предусмотренных в договорах подряда (соблюдение сроков выполнения заказов, сдачи объектов в эксплуатацию и гарантийных обязательств);
· технический уровень применяемых для выполнения заказов оборудования и техники.
· перечень показателей для определения рейтинга предприятий согласно данным, приведенным в таблице 2.2.1. (рис.2.2.1).
Таблица 2.2.1. Показатели для определения рейтинга дорожно-строительных и ремонтных организаций
| №
|
Наименования показателей
|
Кол-во баллов
|
| 1
|
Качество работ
|
50
|
| 1.1
|
Наличие квалифицированного персонала
|
5
|
| 1.1.1
|
Наличие линейных ИТР с высшим специальным или средним специальным образованием
|
3
|
| 1.1.2
|
Наличие линейных ИТР, прошедших курсы переподготовки по производству, технологии и контролю качества работ
|
2
|
| 1.2
|
Технико-эксплуатационные показатели вводимых участков автодорог
|
45
|
| 1.2.1
|
Выполнение гарантийных обязательств
|
15
|
| 1.2.2
|
Показатели ровности покрытия
|
15
|
| 1.2.2
|
Количество рекламаций, предъявленных подрядчику по качеству работ
|
15
|
| 2
|
Выполнение договорных обязательств
|
35
|
| 2.1
|
Соблюдение графика выполнения работ, включая конечную дату ввода
|
20
|
| 2.2
|
Исполнение заказов Дорожного Комитета в соответствии с заявленной на конкурсе ценой
|
15
|
| 3
|
Техническая оснащённость
|
10
|
| 3.1
|
Качественный уровень ведущей дорожно-строительной техники, оборудования и механизмов
|
5
|
| 3.2
|
Уровень лабораторного оснащения, включая уровень геодезического оборудования и экспресс-контроля
|
5
|
| 4
|
Средняя заработная плата на предприятии, в том числе рабочих
|
5
|
| Итог
|
100
|

Рис. 2.2.1. Распределение показателей конкурентоспособности предприятия по степени важности
Проведем анализ конкурентоспособности «Дорстройтранс» на основе вышеуказанных показателей. Как ранее было отмечено, основные предприятия, осуществляющие дорожно-строительные работы – это Космос, Пермавтодор, Мостоотряд № 123, Уралсибспецстрой и Дорстройтранс. Поэтому уровень конкурентоспособности нашего предприятия будем рассматривать в сравнении с остальными крупными предприятиями отрасли.
1. Качество работ:
Наличие квалифицированного персонала оценивается в максимальное количество баллов – 5.
Данный критерий включает в себя оценку только линейного персонала и специалистов лаборатории предприятия (мастеров, прорабов, начальников участков и специалистов лаборатории) (табл. 2.2.2).
Таблица 2.2.2. , Расстановка баллов по уровню профессионального (специального) образования и профессиональной переподготовки линейных ИТР, в процентах от общего числа линейных ИТР
| а) По уровню профессионального (специального) образования
|
80% и более
|
65-80%
|
50-65%
|
менее 50%
|
| 3б
|
2б
|
1б
|
0б
|
| б) По уровню профессиональной переподготовки
|
10% и более
|
5% и более
|
менее 5%
|
|
| 2б
|
1б
|
0б
|
|
По уровню профессионального (специального) образования из общего числа линейных ИТР учитывается количество линейных ИТР с высшим специальным и средним специальным образованием. Баллы присваиваются в следующих параметрах, в процентах от общего числа линейных ИТР:
· если на предприятии линейные ИТР имеют профессиональное высшее и среднее специальное образование 80% и более, то присуждается 3 балла (максимальное количество),
· если данный процент составляет от 65% до 80%, то присуждается 2 балла,
· если данный процент составляет от 50% до 65%, то присуждается 1 балл,
· если данный процент составляет менее 50%, то присуждается 0 баллов.
По уровню профессиональной переподготовки среди линейных ИТР по производству, технологии и контролю качества работ в процентах от общего числа линейных ИТР:
· если на предприятии из общего числа линейных ИТР прошли курсы переподготовки по специальности 10 % и более, то присуждается 2 балла (максимальное количество),
· если 5 % и более, то присуждается 1 балл,
· если менее 5 %, то присуждается 0 баллов.
При этом данные рассчитываются за последний год.
Фактические данные позволяют присвоить следующие баллы рассматриваемым предприятиям (см. табл. 2.2.3):
Таблица 2.2.3. Оценка подрядчиков по критерию наличия квалифицированного персонала
| Подрядчик
|
Удельный вес линейных ИТР с высшим специальным и средним специальным образованием
|
Кол-во баллов
|
Удельный вес линейных ИТР, прошедших курсы переподготовки по специальности
|
Кол-во баллов
|
Общее количество баллов из 5
|
| Космос
|
79%
|
2
|
25%
|
2
|
4
|
| Пермавтодор
|
82%
|
3
|
7%
|
1
|
4
|
| Мостоотряд №123
|
60%
|
1
|
12%
|
2
|
3
|
| Уралсибспецстрой
|
45%
|
0
|
6%
|
1
|
1
|
| Дорстройтранс
|
53%
|
1
|
5%
|
1
|
2
|
Согласно расчетам, приведенным в таблице 2.2.3., Дорстройстранс по уровню квалифицированности персонала находится на четвертом месте из пяти, что говорит о невысоком уровне конкурентоспособности по данному критерию ввиду недостаточного количества профессионалов ИТР и недостаточно активного обучения ИТР. В итоге у предприятия 2 балла из 5 возможных.
Далее проведем оценку по технико-эксплуатационным показателям сдаваемых объектов. Этот критерий включает в себя три показателя:
Выполнение гарантийных обязательств – до 15 баллов.
Количество рекламаций, предъявленных подрядчику по качеству работ и устранение замечаний в срок – до 15 баллов.
Показатели ровности покрытия – до 15 баллов.
Максимальное количество баллов по данному критерию составляет 45.
Итоги по выполнению гарантийных обязательств подводятся в соответствии с гарантийными обязательствами подрядчиков, которые они дали на конкурсе (в договоре) с одной стороны и сколько замечаний организация получила от «заказчика» в свой гарантийный период (3, 5 лет).
Также учитывается устранение замечаний в срок, установленный «заказчиком». Тем подрядчикам, которые не устранили замечания за строительный сезон вплоть до подведения итогов (30.09.07) соответственно присуждается 0 баллов.
Подсчёт баллов по данному критерию ведётся с учётом количества построенных объектов, количества замечаний, полученных от заказчика в гарантийный период по данным объектам и выполнения сроков устранения замечаний к максимально-возможному количеству баллов по данному критерию (30б).
Расчет баллов по данному критерию проведен в таблице 2.2.4.
Таблица 2.2.4. Оценка подрядчиков по уровню выполнения гарантийных обязательств
| Подрядчик
|
Кол-во объектов на гарантии
|
Кол-во объектов с замечаниями от заказчика
|
Устранение замечаний в срок
|
Замечания не устранены до 30.09.07
|
Кол-во баллов
|
| Космос
|
20
|
4
|
4
|
-
|
24
|
| Пермавтодор
|
20
|
7
|
7
|
-
|
19,5
|
| Мостоотряд №123
|
10
|
5
|
5
|
-
|
15
|
| Уралсибспецстрой
|
5
|
1
|
1
|
1
|
0
|
| Дорстройтранс
|
7
|
3
|
3
|
-
|
17,4
|
Алгоритм расчёта следующий:
Космос: 30: 20*16=20.
где 30– максимальное количество баллов,
20 – количество объектов на гарантии,
16 – количество гарантийных объектов без замечаний заказчика.
По остальным подрядчикам расчет аналогичный. Причем, если замечания не устраняются до установленного срока, то таким подрядчикам автоматически присваивается 0 баллов.
Дорстройтранс: 30 баллов: 7 объектов на гарантии (см. приложение 1)* (7-4 = 3 гарантийных объектов без замечаний) = 17,4 балла. Таким образом, по уровню выполнения гарантийных обязательств Достройтранс занимает третье место, то есть имеет один из лучших показателей в отрасли, что свидетельствует о серьезном и ответственном подходе к управлению предприятием.
Оценка показателей ровности покрытия производится следующим образом. Максимальное количество баллов по данному критерию 15 и присуждается следующим образом:
· если показатели ровности попадают в требуемые параметры (по строительству и реконструкции согласно регламента, по ремонтам согласно проекта) (отклонение менее 10%), то подрядчик по данному объекту получает максимальное количество баллов (15б).
· если отклонения составляют в пределах до 25% от требуемых, то присуждается 10 баллов,
· если отклонения составляют в пределах до 50% от требуемых, то присуждается 5 баллов,
· если отклонения составляют более 50% от требуемых, то присуждается 0 баллов
Максимальное количество баллов присуждается в зависимости от отношения стоимости всех затрат на исправление рекламаций и других претензий, предъявленных заказчиком, к общей стоимости выполненных строительно-монтажных работ, т.е. Кпредела_работ
=∑СМРна_исправление_брака
/∑СМР.
Количество баллов определяется по формуле 15 баллов/(1+ Кпредела_работ
*Кприведения
).
Кприведения
определяется опытным путём и одинаков для всех подрядчиков для определения количества баллов от 1 до 15.
Таблица 2.2.4. Оценка подрядчиков по уровню ровности покрытия
| Подрядчик
|
Отклонения в показателях ровности
|
Кол-во баллов
|
| Космос
|
20%
|
10
|
| Пермавтодор
|
7%
|
15
|
| Мостоотряд №123
|
44%
|
5
|
| Уралсибспецстрой
|
65%
|
0
|
| Дорстройтранс
|
15%
|
10
|
Согласно таблице 2.2.4., Дорстройтранс находится на третьем месте по уровню ровности покрытия и его конкурентоспособность по этому показателю можно оценить в 10 баллов. Это средний уровень, зависящий от качества рабочей силы и прочих факторов.
2. Выполнение договорных обязательств
Общее количество баллов по данному критерию 35.
Соблюдение графика выполняемых работ, включая конечную дату ввода – 20 баллов.
Присуждение баллов происходит следующим образом:
· Объекты сданы в срок (согласно договора) и досрочно – 20 баллов,
· Объекты сданы с увеличением срока ввода, не зависимо от каких-либо причин – 0 баллов.
Таким образом, общее количество баллов по всем объектам берётся среднее арифметическое.
Таблица 2.2.5. Оценка Дорстройтранс по выполнению договорных обязательств
| № п/п
|
Наименование объектов
|
В срок и досрочно
|
С увеличением срока ввода
|
| 1
|
Капитальный ремонт ул. Мира
|
-
|
0
|
| 2
|
Реконструкция трамвайных путей по ул. Мира
|
20
|
-
|
| 3
|
Капремонт ул. Дзержинского
|
20
|
-
|
| 4
|
Капремонт ул. Каменского
|
-
|
0
|
| 5
|
Капремонт ул. Окулова
|
-
|
0
|
| 6
|
Капремонт ул. Трамвайная
|
-
|
0
|
| 7
|
Реконструкция перекрестка ул. Стахановская (переходящий объект с 2006г. )
|
-
|
0
|
| |
Расчёт: 60/7=5,71 балла
|
∑=40
|
|
Исполнение заказов Дорожного Комитета в соответствии с заявленной на конкурс ценой – максимально 15 баллов.
Таким образом, средняя оценка Дорстройтранс по выполнению договорных обязательств по всем объектам составляет 5,71 балла из 20. Большинство объектов сданы позже указанного срока, что является негативным фактором в оценке конкурентоспособности. Такая ситуация связана с недостаточной проработанностью проектного менеджмента на предприятии.
В таблице 2.2.6 приведена оценка Уралсибспецстрой по тому же критерию.
Таблица 2.2.6. Оценка Уралсибспецстрой по выполнению договорных обязательств
| № п/п
|
Наименование объектов
|
В срок и досрочно
|
С увеличением срока ввода
|
| 1
|
Капремонт ул. Левченко
|
20
|
|
| 2
|
Реконструкция ул. Связистов
|
-
|
0
|
| 3
|
Капремонт ул. Большевитская
|
20
|
|
| 4
|
Частичное строительство ул. Власова
|
-
|
0
|
| 5
|
Реконструкция ул. Карпинского
|
20
|
|
| |
Расчёт: 60/5=12 баллов
|
∑=60
|
|
По остальным подрядчикам ситуация выглядит следующим образом: Космос: Из 20 объектов вовремя или досрочно сданы 17 объектов, то есть количество баллов по критерию «Выполнение договорных обязательств» составляет 17 из 20.
Пермавтодор: Из 20 объектов вовремя или досрочно сданы 10 объектов, то есть количество баллов по критерию «Выполнение договорных обязательств» составляет 10 из 20.
Мостоотряд №123: Из 10 объектов вовремя или досрочно сданы 7 объектов, то есть количество баллов по критерию «Выполнение договорных обязательств» составляет 14 из 20.
Подсчёт и присуждение баллов по критерию «Исполнение заказов Дорожного Комитета в соответствии с заявленной на конкурсе ценой» (15 баллов) ведётся следующим образом:
Максимальное количество баллов присуждается той организации, которая выполнила все договора в соответствии с ценой по договору и менее договорной цены.
Подсчёт ведётся в соотношении максимального количества баллов к общему числу объектов, выполненных в рамках договора.
Таблица 2.2.7. Оценка подрядчиков по уровню отклонения от договорной цены
| Подрядчик
|
Количество объектов (договоров)
|
Кол-во объектов с увеличением договорной цены
|
Количество объектов без увеличения договорной цены
|
∑ баллов
|
| Космос
|
20
|
4
|
16
|
15/20*16=12
|
| Пермавтодор
|
20
|
3
|
17
|
15/20*17=12,75
|
| Мостоотряд №123
|
10
|
2
|
8
|
15/10*8=12
|
| Уралсибспецстрой
|
5
|
1
|
4
|
15/5*4=12
|
| Дорстройтранс
|
7
|
3
|
4
|
15/7*4=8,5
|
По уровню отклонения от договорной цены Дорстройтранс находится на последнем пятом месте и имеет 8,5 баллов из 15, что свидетельствует о менее рациональном ценообразовании по сравнению с другими подрядчиками. По этому показателю существует резерв повышения конкурентоспособности.
3. Техническая оснащённость:
Максимальное количество баллов по данному критерию – 10.
Качественный уровень ведущей дорожно-строительной техники (ДСТ), оборудования и механизмов – 5 баллов.
· Максимальное количество баллов присуждается той организации, у которой 30% ведущей ДСТ (согласно перечня) имеет год выпуска не более трёх лет, для выполнения полного комплекса работ и отвечает современным требованиям по качеству – 5 баллов,
· 2 балла присуждается той организации, у которой аналогичное количество техники имеет год выпуска не более 5 лет,
· 0 баллов соответственно более 5 лет.
Таблица 2.2.8. Уровень технического оснащения
| Подрядчик
|
Количество баллов
|
| Космос
|
2
|
| Пермавтодор
|
2
|
| Мостоотряд №123
|
5
|
| Уралсибспецстрой
|
0
|
| Дорстройтранс
|
5
|
По уровню современности дорожно-строительной техники и других механизмов Дорстройтранс находится наряду с Мотоотряд № 123 на первом месте и имеет 5 баллов, т.к. около 40% техники имеют износ не более трех лет (2004 г.в.). Это преимущество предприятия, которое удалось добиться благодаря небольшим размерами предприятия и которое нужно сохранять.
Уровень лабораторного оснащения, включая уровень геодезического оборудования и приборов экспресс контроля, оценивается максимально 5 баллами.
Соответственно наличие и применение требуемого оборудования имеют свою долю в баллах (0,4-0,8) и подсчёт ведётся по сумме долей баллов.
0 баллов получают те организации, у которых нет свидетельства (аттестации) лаборатории (возможности работы и проведения всего комплекса испытаний и контроля качества работ).
По этому критерию все рассматриваемые организации, в том числе Дорстройтранс, имеют 5 баллов.
5. Уровень зарплаты на предприятии, в том числе рабочих (машинисты ДС техники, дорожные рабочие, монтажники).
Максимально оценивается в 5 баллов.
· 5 баллов присуждается тем организациям, у которых уровень зарплаты соответствует тарифному соглашению и выше.
· 0 баллов – тем организациям, у которых соответственно уровень зарплаты меньше тарифного соглашения.
Таблица 2.2.9. Уровень зарплаты на предприятии
| Подрядчик
|
Машинисты ДС техники
(по тарифному соглашению – 85 руб. в час)
|
Дорожные рабочие (по тарифному соглашению – 34 руб. в час)
|
Монтажники
(по тарифному соглашению – 45 руб. в час)
|
Количество баллов
|
| Космос
|
89
|
34
|
50
|
5
|
| Пермавтодор
|
85
|
35
|
45
|
5
|
| Мостоотряд №123
|
87
|
35
|
50
|
5
|
| Уралсибспецстрой
|
83
|
36
|
45
|
0
|
| Дорстройтранс
|
86
|
34
|
46
|
5
|
По факту уровень заработной платы на всех предприятиях, кроме Уралсибспецстрой, соответствует или выше тарифному соглашению. Соответственно, Дорстройтранс имеет 5 баллов.
В итоге, суммируем все полученные оценки и проанализируем сводный индекс конкурентоспособности Дорстройтранс (табл. 2.2.10)
Таблица 2.2.10. Расчет сводного индекса конкурентоспособности предприятия с расшифровкой по всем элементам
| Наименования показателей
|
Максимальное количество баллов
|
Космос
|
Пермавтодор
|
Мостоотряд №123
|
Уралсибспецстрой
|
Дорстройтранс
|
Среднее значение
|
| Наличие линейных ИТР с высшим специальным или средним специальным образованием
|
3
|
2
|
3
|
1
|
0
|
1
|
1,4
|
| Наличие линейных ИТР, прошедших курсы переподготовки по производству, технологии и контролю качества работ
|
2
|
2
|
1
|
2
|
1
|
1
|
1,4
|
| Выполнение гарантийных обязательств и количество рекламаций, предъявленных подрядчику по качеству работ
|
30
|
24
|
19,5
|
15
|
0
|
17,4
|
15,18
|
| Показатели ровности покрытия
|
15
|
10
|
15
|
5
|
0
|
10
|
8
|
| Соблюдение графика выполнения работ, включая конечную дату ввода
|
20
|
17
|
10
|
14
|
17
|
5,71
|
12,742
|
| Исполнение заказов Дорожного Комитета в соответствии с заявленной на конкурсе ценой
|
15
|
12
|
12,75
|
12
|
12
|
8,5
|
11,45
|
| Качественный уровень ведущей дорожно-строительной техники, оборудования и механизмов
|
5
|
2
|
2
|
5
|
0
|
5
|
2,8
|
| Уровень лабораторного оснащения, включая уровень геодезического оборудования и экспресс-контроля
|
5
|
5
|
5
|
5
|
5
|
5
|
5
|
| Средняя заработная плата на предприятии, в том числе рабочих
|
5
|
5
|
5
|
5
|
0
|
5
|
4
|
| ВСЕГО:
|
100
|
79
|
73,25
|
64
|
35
|
58,61
|
61,972
|
По данным расчета, проведенного в таблице 2.2.10, выявлено, что интегральный показатель конкурентоспособности Дорстройтранс равен 58,61 из 100 при среднем уровне 61,9. Графически все показатели конкурентоспособности отражены на рис. 2.2.2.

Рис. 2.2.2. Подробная структура элементов конкурентоспособности предприятия
В таблице 2.2.11. приведен укрупненный анализ данных.
Таблица 2.2.11. Структурный анализ конкурентоспособности по основным элементам
| Наименования показателей
|
Максимальное количество баллов
|
Космос
|
Пер мавтодор
|
Мостоотряд №123
|
Уралсибспецстрой
|
Дорстройтранс
|
Среднее значение
|
| Качество работ
|
50
|
38
|
38,5
|
23
|
1
|
29,4
|
25,98
|
| Выполнение договорных обязательств
|
35
|
29
|
22,75
|
26
|
29
|
14,21
|
24,19
|
| Техническая оснащённость
|
10
|
7
|
7
|
10
|
5
|
10
|
7,8
|
| Средняя заработная плата на предприятии, в том числе рабочих
|
5
|
5
|
5
|
5
|
0
|
5
|
4
|
| Общая оценка
|
100
|
79
|
73,25
|
64
|
35
|
58,61
|
61,9
|
Схематично результата анализ представлен на рис. 2.2.3.

Рис. 2.2.3. Структурный анализ конкурентоспособности предприятия Дорстройтранс среди крупнейших представителей отрасли
По результатам анализа выявлено, что из четырех оцениваемых параметров, оценка Дорстройтранс превышает средний показатель по пяти подрядчикам, кроме критерия «Выполнения договорных обязательств», который существенно снижает общую конкурентоспособность предприятия.
По сводному индексу предприятие находится на 4 месте после таких предприятий как Космос, Пермавтодор, Мостоотряд № 123. То есть уровень конкурентоспособности нашего предприятия ниже среднего по наиболее крупным предприятиям, но выше половины (100<58,61 > 50) от максимально возможного показателя.
Факторами, повышающими конкурентоспособность предприятия, являются: Выполнение гарантийных обязательств в срок, хорошие показатели ровности покрытия, высокий качественный уровень ведущей дорожно-строительной техники, оборудования и механизмов, высокая средняя заработная плата на предприятии.
Факторами, снижающими конкурентоспособность предприятия, являются: Недостаточной высокий профессиональный и образовательный уровень ИТР, частое несоблюдение графика выполнения работ, превышение завяленной на конкурсе цены.
3. Разработка проекта мероприятий по повышению КСП
Исходя из выявленных факторов, снижающих конкурентоспособность нашего предприятия, резервами является следующие мероприятия:
1. Повышение уровня проектного менеджмента на предприятии
2. Снижение себестоимости дорожно-строительных работ
3. Повышение профессионального и образовательного уровня ИТР.
Рассмотрим каждое из этих мероприятий более подробно:
3.1. Мероприятия по повышению уровня проектного менеджмента на предприятии с целью повышения уровня выполнения договорных обязательств
Проект - это деятельность, направленная на получение определенного результата в обозримой перспективе. В рамках этого определения процесс непрерывного улучшения текущей деятельности проектом не является. Кроме того, проект должен иметь фиксированные срок исполнения и бюджет. Например: Ожидается, что если работы по реконструкции дорожного полотна на ул. Мира будут представлены как проект, то договорные обязательства будут выполнены точно в срок и минимальным отклонением по договорной цене.
Внедрение проектного управления в ООО «Дорстройтранс» предполагает выработку регламента работ в рамках проекта:
1. Составление развернутого плана.
После всестороннего обсуждения должен составляться план, по которому в дальнейшем можно будет судить о продвижении проекта, делать предложения и проверять полученные результаты, а также сетевой график проекта (графическое отображение работ и взаимосвязей между ними) и ресурсная гистограмма (графическое отображение потребности проекта в том или ином виде ресурсов в каждый момент времени).
Чтобы заранее оценить, что должно быть сделано и к какому сроку, в расписание проекта следует включить:
• детальный анализ всех действий, необходимых для выполнения проекта;
• реалистические оценки времени на каждый вид деятельности;
• продуманные взаимосвязи между разными видами работ.
В совокупности эти элементы дают ответ на вопрос:
Так как ресурсы нашего предприятия серьезно ограничены, важно вовремя ответить на вопрос: как. Какие ресурсы: люди, оборудование, материалы, инструменты, сооружения, транспорт и т.д. требуются для каждого работ. Будут ли они в наличии, когда это будет необходимо.
Основные процессы планирования:
Некоторые из процессов планирования имеют четкие логические и информационные взаимосвязи и выполняются в одном порядке практически во всех проектах. Так, например, сначала следует определить из каких работ состоит проект, а уж затем рассчитывать сроки выполнения и стоимость проекта. Эти основные процессы выполняются по несколько раз на протяжении каждой фазы проекта. К основным процессам планирования относятся:
Планирование целей - разработка постановки задачи,
Декомпозиция целей - декомпозиция этапов проекта на более мелкие и более управляемые компоненты для обеспечения более действенного контроля,
Определение состава работ в рамках проекта - составление перечня операций, из которых состоит выполнение различных этапов проекта,
Определение взаимосвязей операций - составление и документирование технологических взаимосвязей между операциями,
Оценка длительностей или объемов работ - оценка количества рабочих временных интервалов, либо объемов работ, необходимых для завершения отдельных операций,
Определение ресурсов (людей, оборудования, материалов) проекта - определение общего количества ресурсов всех видов, которые могут быть использованы на работах проекта (ресурсов организации) и их характеристик;
Назначение ресурсов - определение ресурсов, необходимых для выполнения отдельных операций проекта;
Оценка стоимостей - определение составляющих стоимостей операций проекта и оценка этих составляющих для каждой операции, ресурса и назначения;
Составление расписания выполнения работ - определение последовательности выполнения работ проекта, длительностей операций и распределения во времени потребностей в ресурсах и затрат, исходя и с учетом наложенных ограничений и взаимосвязей;
Оценка бюджета - приложение оценок стоимости к отдельным компонентам проекта (этапам, фазам, срокам);
Разработка плана исполнения проекта - интеграция результатов остальных подпроцессов для составления полного документа.
Определение критериев успеха - разработка критериев оценки исполнения проекта.
Вспомогательные процессы планирования:
Кроме перечисленных основных процессов планирования имеется ряд вспомогательных процессов, необходимость в использовании которых сильно зависит от природы конкретного проекта. Такие процессы включают в себя:
Планирование качества - определение того, какие стандарты качества использовать в проекте, и того, как эти стандарты достичь;
Планирование организации - определение, документирование и назначение ролей, ответственности и взаимоотношений отчетности в организации;
Назначение персонала - назначение человеческих ресурсов на выполнение работ проекта;
Планирование взаимодействия - определение потоков информации и способов взаимодействия, необходимых для участников проекта,
Идентификация риска - определение и документирование событий риска, которые могут повлиять на проект;
Оценка риска - оценка вероятностей наступления событий риска, их характеристик и влияния на проект;
Разработка реагирования - определение необходимых действий для предупреждения рисков и реакции на угрожающие события;
Планирование поставок - определение того, что, как и когда должно быть поставлено;
Подготовка условий - выработка требований к поставкам и определение потенциальных поставщиков.
Взаимосвязи между вспомогательными подпроцессами, как и само их наличие, в большой мере зависят от природы проекта.
2. Контроль выполнения проекта.
Последовательное отслеживание выполнения работ будет гарантировать объективную оценку текущего состояния проекта.
В рамках контроля в ООО «Дорстройтранс» важно определить ответственных лиц, которые будут составлять систематические отчеты о продвижении проекта по отношению к первоначальному плану. Эти отчеты позволят отделить реальное от кажущегося.
Как и в планировании, процессы исполнения можно подразделить на основные и вспомогательные.
К основным можно отнести сам процесс исполнения плана проекта.
Среди вспомогательных процессов отметим:
• учет исполнения - подготовка и распределение необходимой для участников проекта информации с требуемой периодичностью;
• подтверждение качества - регулярная оценка исполнения проекта с целью подтверждения соответствия принятым стандартам качества;
• подготовка предложений -сбор рекомендаций, отзывов, предложений, заявок и т.д.;
• выбор поставщиков - оценка предложений, выбор поставщиков и подрядчиков и заключение контрактов;
• контроль контрактов - контроль исполнения контрактов поставщиками и подрядчиками;
• развитие команды проекта - повышение квалификации участников команды проекта.
3. Завершение проекта сопровождается следующими процессами:
• закрытие контрактов - завершение и закрытие контрактов, включая разрешение всех возникших споров.
• административное завершение - подготовка, сбор и распределение информации, необходимой для формального завершения проекта.
Таким образом, руководство предприятия «Дорстройтранс», используя принципы управления проектами в качестве инструмента, будет иметь точное представление, что происходит в рамках проекта, какие работы будут проводиться в дальнейшем, на что нужно обратить пристальное внимание и какие проблемы требуют немедленного решения.
Для того чтобы система проектного управления «прижилась» в ООО «Дорстройтранс», необходимо выполнить ряд мероприятий:
1. Формализовать процедуру управления проектами.
2. Разработать и внедрить стандарты форм документов по управлению проектами.
3. Определить критерии эффективности реализации проектов на основе разработанной системы показателей.
4. Внедрить систему планирования и учета загрузки сотрудников с использованием информационной системы поддержки управления проектами.
5. Проводить систематический сбор и накопление проектной информации о реализуемых проектах в единое хранилище данных на основе информационной системы поддержки управления проектами.
6. Создать проектные коммуникации и организовать информационный обмен при реализации проектов с использованием информационной системы поддержки управления проектами.
7. Обучить сотрудников, принимающих участие в проектах, как теоретическим основам проектного управления, так и работе с ИТ-системой проектного управления.
В результате внедрения системы проектного управления должно быть достигнуто следующее:
• Сроки реализации проекта сократятся на 20-50% за счет планирования, четкой координации и системного контроля работ (на основе изучения опыта аналогичных компаний, уже применяющих данную систему)
• Снизятся проектные риски, в частности риски превышения сроков, бюджетов проектов
• Повысится качество коммуникации между всеми участниками проекта
• Оптимизируются затраты ресурсов (материальных, временных).
• Повысится прозрачность и качество информационной поддержки деятельности управленческого персонала во всех областях и на всех этапах управления проектом
3.2. Мероприятия по снижению себестоимости дорожно-строительных работ с целью минимизации отклонения от договорных цен
Для того чтобы выявить резервы снижения себестоимости, определим структуру затрат. Прямые затраты выглядят следующим образом:
• на оплату труда приходится 6,68 процента себестоимости
• на эксплуатацию машин и механизмов - 5,38 процента
• на материальные затраты - 68,27 процента
Примечательно, что сейчас наблюдается увеличение доли затрат на оплату труда, причем как на бумаге, так и фактически. Цифры приведены средние, по видам же работ они могут колебаться. Например, на объектах капитального ремонта, реставрации доля зарплаты более высокая, на объектах строительства выше для затрат на эксплуатацию машин. Доля зарплаты может колебаться от 2 до 15 процентов, а на строительстве - в пределах 5-7 процентов. Доля затрат на эксплуатацию машин - в пределах 6-8 процентов, иногда доходит до 9 процентов, материальные затраты - от 55до 75 процентов.
Накладные расходы определяются в процентах от прямых затрат либо от затрат на оплату труда.
Динамика затрат на эксплуатацию машин и механизмов в основном соответствует динамике затрат на энергоносители и здесь наблюдается увеличение. Но основной вклад в себестоимость строительства вносят, все-таки, материальные затраты. В связи с вышесказанным приведем обоснования снижения стоимости работ ООО «Дорстройтранс»:
1. Снижение стоимости зимнего содержания может быть достигнуто за счет собственного материала (песок из отсева дробления) и снижения затрат на его производство, снижения накладных расходов и минимума рентабельности. Соль, песок по железной дороге могут перевозиться своим подвижным составом.
2. В расчете должен быть исключен коэффициент на стесненность работ в городских условиях. Предприятие может брать на себя оплату работы за дополнительное время сверх норматива.
3. Предлагается снизить периодичность операции «удаление наката» за счет эффективности операции по подметанию и сгребанию снега с посыпкой ПСС, которая, в свою очередь, достигается за счет применения новой техники.
4. Предприятию необходима новая пескоразбрасывающая техника с повышенной производительностью и грузоподъемностью. Экономия будет достигаться за счет снижения количества рейсов (снег, смет) и проходов при выполнении технологических операций.
5. Дополнительное снижение стоимости ямочного ремонта возможно за счет снижения себестоимости материалов. Предприятие выпускает все марки и типы асфальтобетонных смесей только из собственных инертных материалов (ПЩС, щебень), имеется свой карьер, железнодорожные пути (тупики) и подвижной состав (хопры, думпкары, полувагоны).
6. Снижение стоимости 1 тонны асфальтобетона также может быть достигнуто за счет увеличения общего выпуска данного материала за весь строительный сезон.
7. Снижение стоимости работ по уборке смета вдоль борта может быть достигнута при условии применения новой подметально-уборочной машины «BRODWAY» (SENIOR).
8. Все процессы уборки улиц на лотах «Дорстройтранса» следует технологически зациклить, холостые пробеги следует устранить.
3.3. Мероприятия по повышению профессионального и образовательного уровня работников ИТР
Для того чтобы быть более конкурентоспособным с точки зрения такого крупного заказчика как Дорожный Комитет, важно привести образовательный и профессиональный уровень ИТР в соответствие с требуемым. А именно:
· 80% линейных ИТР должны иметь профессиональное высшее и среднее специальное образование. Фактический уровень 2007 года - 53%.
· 10% из общего числа линейных ИТР должны в течение годы пройти курсы переподготовки по специальности. Фактический уровень 2007 года - 5%.
Для того чтобы повысить профессиональный уровень работников, можно использовать следующие альтернативы:
1. Обновить кадровый состав линейных ИТР с целью привлечения более квалифицированных специалистов. Однако этот вариант наименее приемлемый, так как его реализация повлечет отрицательные последствия в морально-психологическом климате предприятия. Кроме того, найм нового персонала и увольнение имеющегося потребует осуществления серьезных финансовых затрат (ориентировочно 3 000 руб. в расчете на 1 сотрудника). Поэтому этот вариант отклоняется.
2. Обучить оставшиеся 27% сотрудников с квалификацией ниже требуемого уровня. Для этого необходимо направить сотрудника на заочное или вечернее обучение. Расходы на бучение предполагается возмещать частично за счет предприятия (50%), частично за счет сотрудника (50%).
Для того чтобы повысить уровень квалификации, важно отправить оставшиеся 5% сотрудников на повышение квалификации. Причем достижение и поддержание профессионального а также образовательного уровня линейных ИТР должно иметь систематический характер. Ответственность за этот процесс должна иметь кадровая служба ООО «Дорстройтранс»
По предварительным расчетам планово-экономического отдела, затраты на повышение профессионального уровня до требуемого Дорожным Комитетом составят 650 тыс. руб., что является некритичным ввиду существенного повышения уровня конкурентоспособности предприятия. Чем выше будет рейтинг предприятия среди других операторов, тем более емкие инвестиции предложит основной заказчик – Дорожный Комитет Перми и Пермского Края.
Заключение
В результате проведенного исследования, были сделаны следующие выводы:
Предприятие ООО «Дорстройтранс» создано 26 мая 1995 года. Основные виды деятельности предприятия – строительство железных и автомобильных дорог, содержание автомобильных дорог. Предметом исследования в данной работе выступил анализ конкурентоспособности данного предприятия. Конкурентоспособность – это способность организации вести успешную конкурентную борьбу. Специфика уровня конкуренции и конкурентоспособности на рынке дорожно-строительных работы заключается в том, что предприятие работает только на одного заказчика – Дорожный Комитет. Данная государственная структура на основе четко проработанного регламента и определенных критериев выстраивает рейтинг действующих предприятий и проводит тендер. Чем больше предприятие соответствует представленным критериям, тем более емким будет финансирование проектов.
Рейтинговая оценка производится по следующим основным критериям:
· выполнение инвестиционно-строительной программы;
· качество дорожно-строительных и ремонтных работ (средняя оценка качества работ, наличие дефектов, обнаруженных в гарантийный период);
· показатели выполнения обязательств по договорам подряда (освоение выделенных на объект государственных средств в планируемый период в соответствии с графиками финансирования, выполнение обязательств по договору в соответствии с заявленной в конкурсе ценой);
· обеспечение выполнения временных параметров, предусмотренных в договорах подряда (соблюдение сроков выполнения заказов, сдачи объектов в эксплуатацию и гарантийных обязательств);
· технический уровень применяемых для выполнения заказов оборудования и техники.
· Профессионализм персонала (каждый должен знать свою задачу и уметь выполнить ее)
На основе существующих критериев был проведен анализ конкурентоспособности ООО «Дорстройтранс» оп фактическим данным за 2006-2007гг. наряду с четырьмя другими крупными предприятиями отрасли. Анализ позволил сделать следующие выводы:
По уровню квалифицированности персонала «Дорстройстранс» находится на четвертом месте из пяти, что говорит о невысоком уровне конкурентоспособности по данному критерию ввиду недостаточного количества профессионалов ИТР и недостаточно активного обучения ИТР.
По уровню выполнения гарантийных обязательств Достройтранс занимает третье место, то есть имеет один из лучших показателей в отрасли, что свидетельствует о серьезном и ответственном подходе к управлению предприятием.
По уровню ровности покрытия Дорстройтранс находится на третьем месте и его конкурентоспособность по этому показателю можно оценить в 10 баллов. Это средний уровень, зависящий от качества рабочей силы и прочих факторов.
Оценка Дорстройтранс по выполнению договорных обязательств по всем объектам составляет 5,71 балла из 20. Большинство объектов сданы позже указанного срока, что является негативным фактором в оценке конкурентоспособности. Такая ситуация связана с недостаточной проработанностью проектного менеджмента на предприятии.
По уровню отклонения от договорной цены Дорстройтранс находится на последнем пятом месте и имеет 8,5 баллов из 15, что свидетельствует о менее рациональном ценообразовании по сравнению с другими подрядчиками. По этому показателю существует резерв повышения конкурентоспособности.
По уровню современности дорожно-строительной техники и других механизмов Дорстройтранс находится наряду с Мостоотряд № 123 на первом месте и имеет 5 баллов, т.к. около 40% техники имеют износ не более трех лет (2004 г.в.). Это преимущество предприятия, которое удалось добиться благодаря небольшим размерами предприятия и которое нужно сохранять.
По факту уровень заработной платы на всех предприятиях, кроме Уралсибспецстрой, соответствует или выше тарифному соглашению. Соответственно, Дорстройтранс имеет 5 баллов.
По результатам анализа выявлено, что из четырех оцениваемых параметров, оценка Дорстройтранс превышает средний показатель по пяти подрядчикам, кроме критерия «Выполнения договорных обязательств», который существенно снижает общую конкурентоспособность предприятия.
Факторами, повышающими конкурентоспособность предприятия, являются: Выполнение гарантийных обязательств в срок, хорошие показатели ровности покрытия, высокий качественный уровень ведущей дорожно-строительной техники, оборудования и механизмов, высокая средняя заработная плата на предприятии.
Факторами, снижающими конкурентоспособность предприятия, являются: Недостаточной высокий профессиональный и образовательный уровень ИТР, частое несоблюдение графика выполнения работ, превышение заявленной на конкурсе цены.
На основе выводов, предложены рекомендации по повышению конкурентоспособности ООО «Дорстройтранс»:
1. Повышение уровня проектного менеджмента на предприятии
2. Снижение себестоимости дорожно-строительных работ
3. Повышение профессионального и образовательного уровня линейных ИТР.
Проект как особая форма осуществления целенаправленных изменений предполагает, что они должны быть реализованы в рамках определенных ограничений по срокам, стоимости и характеристикам ожидаемых результатов. Проект становится центром затрат и прибылей, что позволяет организовать учет человеческих, материальных и финансовых ресурсов и выстроить систему мотивации, базирующуюся на конкретных результатах его участников.
Внедрение проектного управления даст предприятию дополнительные конкурентные преимущества, обеспечив:
• повышение эффективности реализации проектов предприятия за счет совершенствования системы управления и внедрения современных информационных технологий управления проектами
• экономию издержек с помощью более рационального использования ресурсов всех видов
• снижение рисков невыполнения договорных обязательств перед заказчиками по проектам
• усиление мотивации персонала на достижение конечных результатов
Снижение себестоимости дорожно-строительных работ будет происходить за счет недоиспользованных резервов без ущерба качеству работ. Основные средства снижения себестоимости: совершенствование технологических процессов, модернизация оборудования, использование сырьевого потенциала.
С целью повышения профессионального и образовательного уровня линейных ИТР предложено провести дополнительное обучение и повышение квалификации имеющихся сотрудников без привлечения дополнительного персонала. Оплата обучения будет производиться 50/50. Затраты на обучения несущественны ввиду значительного повышения уровня конкурентоспособности предприятия. Чем выше будет рейтинг предприятия среди других операторов, тем более емкие инвестиции предложит основной заказчик – Дорожный Комитет Перми и Пермского Края.
Библиография
1. Азоев Г. Л. Конкуренция: анализ, стратегия и практика: Монография. - М.: Центр экономики и маркетинга, 2004.
2. Амбарцумов А.А., Стерликов Ф.Ф. 1000 терминов рыночной экономики: Справочное учебное пособие. М.: Крон-Пресс, 2000.
3. Ансофф И. Новая корпоративная стратегия. СПб.: Питер, 2001.
4. Боумен К. Основы стратегического менеджмента: Пер. с англ. / Под ред. Л. Г. Зайцева, М. И. Соколовой. -М.: Банки и биржи, ЮНИТИ, 2001.
5. Гельвановский М. и др. Конкурентоспособность в микро-, мезо-, и макроуровневом измерениях // Русский экономический журнал. №3. 2005.
6. Голов Г.А., Коровкин И.А., Макаров М.И. Технология оперативной оценки и повышения эффективности и конкурентоспособности продукции (Приоритет - эксперт) // Методы менеджмента качества. - N 9. 2000.
7. Гребнев E.T., Новиков Д.Т., Захаров А.Н. Анализ конкурентоспособности продукции. // Маркетинг в России и за рубежом №3 2002.
8. Горбашко Е.А. Менеджмент качества и конкурентоспособности: Учебное пособие. СПб.: Изд-во СПбГУЭФ, 2006.
9. Гордеев И.Н. Менеджмент конкурентоспособности товара. М.: Интел-Синтез, 2006.
10. Методические рекомендации по определению факторов конкурентоспособности продукции отрасли. М.: НИММАШ. 2001.
11. Куликов Г. Факторы народнохозяйственной конкурентоспособности японской экономики // Российский экономический журнал. № 1. 2004.
12. Лифиц И.М. Теория и практика оценки конкурентоспособности товаров и услуг. - М.: Юрайт, 2001.
13. Ноздрин А. А. Разработка и обоснование стратегий технического развития и концентрации производства предприятий в рыночных условиях: Орел, 2003.
14. Положение о порядке проведения рейтинговой оценки деятельности дорожно-строительных и ремонтных организаций Перми и Пермского Края.
15. Родионова Л.Н., Оценка конкурентоспособности продукции // Маркетинг в России и за рубежом №1. 2000.
16. Семенова Е.И. Конкурентоспособность и методы ее оценки: Моногр. - М.: РГАЗУ, 2000.
17. Тарасова В.П., Крутикова Ф.А. Толковый словарь рыночной экономики. — М.: Рекламно-издательская фирма «Глория», 2003.
18. Фатхутдинов Р.А. Менеджмент конкурентоспособности товара. М.:Изд-во АО «Бизнес-школа Интел-Синтез», 2005.
19. Фатхутдинов Р.А. Конкурентоспособность: экономика, стратегия, управление. М.: Инфра-М, 2000.
20. Целикова Л.В. Конкурентоспособность субъектов рынка и механизм ее оценки // Вестн. Моск. ун-та. Сер.6. Экономика. N 2. 2000.
21. Юданов А.Ю. Конкуренция: теория и практика: Учебное пособие. 2-е изд. М.: Гном-Пресс, 2006.
22. Фасхиев Х.А. Попова Е.В. Как измерить конкурентоспособность предприятия? // Маркетинг в России и за рубежом. - 2003. - №4. - С. 53-68.
23. Шпатов Б. О современных теориях конкурентных преимуществ и отраслевого лидирования // Проблемы теории и практики управления, 2001. - № 3.
24. Экономика для руководителей: проблемы и практика. Кн.1. Рыночная экономика. Т.3. Ч.3. Конкуренция и власть на рынке. Ч.4. Оценка конкуренции / М.Макинтош, В.Браун, Н.Костелло и др. - Жуковский: Изд-во МИМ ЛИНК, 2000.
25. Эльсниц Д. Время вступления на рынок и успех предприятия // Проблемы теории и практики управления, № 2. 2001.
Приложения
Приложение 1. Объекты на гарантии
| Перечень объектов, выигранных ООО "Дорстройтранс"
|
|
| в 2007 г. на капремонт МУ "Пермблагоустройство"
|
|
| |
|
|
|
| |
|
|
|
| №
|
Наименование
|
Сумма контракта, руб
|
Сроки выполнения
|
| |
|
|
|
| 1
|
Капитальный ремонт ул. Мира
|
52 351 855
|
18 мая-10 сентября
|
| 2
|
Реконструкция трамвайных путей по ул. Мира
|
89 107 706
|
25 мая - 05 октября
|
| 3
|
Капремонт ул. Дзержинского
|
5 933 691
|
21 мая - 18 июня
|
| 4
|
Капремонт ул. Каменского
|
3 955 693
|
21 мая - 18 июня
|
| 5
|
Капремонт ул. Окулова
|
4 942 411
|
21 мая - 18 июня
|
| 6
|
Капремонт ул. Трамвайная
|
5 931 575
|
21 мая - 18 июня
|
| |
Итого
|
162 222 931
|
|
| |
|
|
|
| 7
|
Реконструкция перекрестка ул. Стахановская (переходящий объект с 2006г. )
|
52 000 000
|
окончание - октябрь
|
| |
|
|
|
| |
Всего
|
214 222 931
|
|
| |
|
|
|
|