|
1) Предмет, структура, общие принципы макроэкономики.
Макроэкономика - раздел экономической теории, в котором рассматриваются закономерности взаимодействия совокупных величин общего уровня цен и безработицы, общего потребления и инвестиций, общего спроса и предложения, их влияние на изменение в объеме производства. Макроэкономика изучает экономику как целостную систему, выделяя крупные составляющие (банковская система и т. д.).
Предметом макроэкономической теории является поведение макроэкономических субъектов на уровне экономики как единого целого.
Объектом её исследования есть агрегированные показатели. Поэтому макроэкономика – наука про агрегированное поведение в экономике. Она изучает доминирующие тенденции в экономике, оставляя вне пределов её рассмотрения частичные изменения, которые касаются отдельных домохозяйств и фирм.
Макроэкономика характеризуется понятием эмерджентности: нельзя дать характеристику экономики в целом, рассматривая только поведение микроэкономических субъектов. Макроэкономика изучает основные экономические проблемы: что производить? Как? Для кого?
Макроуровень является производным от микроуровня и мезоуровня в том плане, что он – результат их взаимодействия. Несмотря на различия в акцентах, микро экономика и макроэкономика по существу не являются различными дисциплинами. Одни и те же концепции и основные идеи используются в обеих областях. Следует очевидный вывод: между микро экономикой (“дерево”) и макроэкономикой (“лес”) есть главным образом количественные различия.
2) Функции макроэкономики, её значения и место в системе экономических наук.
Функции макроэкономики как науки:
-теоретико-познавательный
, смысл которой состоит в познании экономических явлений, процессов и поведения макроэкономических субъектов и создании теоретических моделей, соответствующих объектам исследования;
-практическая
, смысл которой состоит в разработке практических рекомендаций на основании экономического анализа. Эта функция реализуется в первую очередь в разработках экономической политики государства. Кроме того, теорию макроэкономики используют в своей практической деятельности домохозяйства, фирмы и иностранный мир;
Забиваем Сайты В ТОП КУВАЛДОЙ - Уникальные возможности от SeoHammer
Каждая ссылка анализируется по трем пакетам оценки: SEO, Трафик и SMM.
SeoHammer делает продвижение сайта прозрачным и простым занятием.
Ссылки, вечные ссылки, статьи, упоминания, пресс-релизы - используйте по максимуму потенциал SeoHammer для продвижения вашего сайта.
Что умеет делать SeoHammer
— Продвижение в один клик, интеллектуальный подбор запросов, покупка самых лучших ссылок с высокой степенью качества у лучших бирж ссылок.
— Регулярная проверка качества ссылок по более чем 100 показателям и ежедневный пересчет показателей качества проекта.
— Все известные форматы ссылок: арендные ссылки, вечные ссылки, публикации (упоминания, мнения, отзывы, статьи, пресс-релизы).
— SeoHammer покажет, где рост или падение, а также запросы, на которые нужно обратить внимание.
SeoHammer еще предоставляет технологию Буст, она ускоряет продвижение в десятки раз,
а первые результаты появляются уже в течение первых 7 дней.
Зарегистрироваться и Начать продвижение
-прогностический
, который заключается в оценке экономической конъюнктуры и предвидении перспектив экономического развития страны.
-воспитательную и мировоззренческий. Существующий в обществе экономический порядок формирует соответственный тип экономического мышления и своеобразное мировоззрение.
До тех пор, пока представление экономистов основывались на том, что равновесие на микроуровне автоматически обеспечивает равновесие на макроуровне, необходимость в макроэкономике не возникала, хотя такие явления как уровень инфляции, уровень безработицы исследовались, но как определенная сфера знаний экономической теории. Большая депрессия положила конец догматам, что равновесие в масштабах общества может установится и поддерживаться автоматически рынком. Это побудило к теоретическому осмыслению механизма установления и нарушения равновесия в пределах национального рынка, т. е. к возникновению макроэкономики как отдельной науки.
Необходимость макроэкономического исследования объясняется тем, что:
-во первых, анализ малых субъектов хозяйствования и отношений которые возникают между ними на микроуровне, не дают возможности ответить на целый ряд весьма важных для части хозяйственной системы вопросов, таких как: почему происходят изменения условий деловой активности; как можно избежать глубоких спадов производства, гиперинфляции и т. д.;
-во вторых, некоторые экономические явления не могут быть раскрыты категориями и законами микроэкономики (макроэкономическому уровню свойственны законы, отличные о тех, которые отображают правила единичных субъектов хозяйствования);
-в третьих, макроэкономика – не просто огромное количество отдельных субъектов хозяйствования, а новое системное качество.
Из вышесказанного следует, что макроэкономический уровень является производным от микро- и мезоэкономического уровня в том плане, что он является результатом их взаимодействия.
3)История возникновения и развития макроэкономики. Основные экономические течения макроэкономики.
Свое начало макроэкономика берет еще в XVI ст., когда француз Жан Боден обосновал перемену уровня цен (сейчас это называется инфляция) результатом изменения соотношения между количеством денег и товаров.
Последующее развитие макроэкономика обрела в1758 г. в трудах Франсуа Кенэ, который разработал макроэкономическую модель хозяйственного кругооборота. Назвал его «Экономическая таблица». Но она была построена на концепциях, которые не выдержали проверку временем. Главный недостаток его модели был в том, что она не раскрывала механизм саморегулирования рынка.
Сервис онлайн-записи на собственном Telegram-боте
Попробуйте сервис онлайн-записи VisitTime на основе вашего собственного Telegram-бота:
— Разгрузит мастера, специалиста или компанию;
— Позволит гибко управлять расписанием и загрузкой;
— Разошлет оповещения о новых услугах или акциях;
— Позволит принять оплату на карту/кошелек/счет;
— Позволит записываться на групповые и персональные посещения;
— Поможет получить от клиента отзывы о визите к вам;
— Включает в себя сервис чаевых.
Для новых пользователей первый месяц бесплатно.
Зарегистрироваться в сервисе
На этот вопрос ответили представители классической школы. Классическая школа полагала, что свободные рынки сами приведут экономику к равновесию на рынке труда (к полной занятости) и эффективному распределению ресурсов и, соответственно, нет необходимости в государственном вмешательстве. Согласно классической теории рынок автоматически обеспечивает достижение макроэкономического равновесия.
Несмотря на то, что макроэкономические вопросы ставились и изучались еще в XVIII веке, макроэкономика как наука появилась лишь в 30-е - 40-е годы XX века. Катализатором для этого послужила великая депрессия 30-х годов. Правительства были озабочены катастрофическим падением уровня жизни население и нуждалось в разработке экономических способов борьбы с депрессией.
Появление труда английского экономиста Д. М. Кейнса «Общая теория занятости, процента и денег» положило начало макроэкономики, как самостоятельной экономической науки. Центральная идея Кейнса состоит в том, что рыночные экономики не всегда способны к саморегулированию, как это считали классики, поскольку может иметь место определенная негибкость цен. В этом случае, экономика не может самостоятельно выйти из депрессии за счет механизма цен, а требуется вмешательство государства в виде стимулирования совокупного спроса. Появление кейнсианского подхода впоследствии назвали «Кейнсианской революцией» в экономике.
В 70-х годах возникла новая проблема: сочетание стагнации с высокой инфляцией. Произошла так называемая Кейнсианская контрреволюция. Ответом явилось появление доктрины монетаризма во главе с ее основателем М. Фридманом. Они вернулись к идее о саморегулирующихся рынках и выдвинули на центральное место предложение денег.
4)Основные макроэкономические цели. Функции макроэкономики.
Макроэкономические цели:
1. Высокий и растущий уровень национального производства, т. е. уровень реального валового внутреннего продукта (ВВП), а также стабильный рост национального объема производства
. Конечная задача экономической деятельности заключается в том, чтобы обеспечить население товарами и услугами. Совокупным измерителем национального производства выступает валовой внутренний продукт.
2. Стабильный уровень цен
в сочетании с определением цен и заработной платы посредством взаимодействия спроса и предложения на свободных рынках. Распространенным измерителем общего уровня цен является индекс потребительских цен (ИПЦ), учитывающий затраты на приобретение фиксированного набора «корзины» товаров и услуг.
3. Высокий уровень занятости
при небольшой вынужденной безработице. Уровень безработицы колеблется в ходе экономического цикла. В фазе кризиса и депрессии спрос на рабочую силу сокращается, а уровень безработицы увеличивается. В фазе оживления и подъема спрос на рабочую силу растет, а безработица сокращается.
4. Достижение нулевого сальдо платежного баланса
. Эта цель касается открытой экономики и означает достижение общего экономического равновесия на уровне полной занятости при нулевом сальдо платежного баланса.
Макроэкономика выполняет две функции
:
1. позитивная
, призванная объяснить состав макроэкономических явлений и процессов и поведение экономических субъектов при этих условиях. Она стремится дать ответ на вопрос: какой есть макроэкономическая ситуация в стране;
2. нормативная (практическая)
– разработка государственной экономической политики. Она основывается на определенных идеологических засадах и «эталонных» поведенческих функциях хозяйствующих субъектов. Нормативная макроэкономика связана с постановкой целей экономического развития: долгосрочные; краткосрочные.
5)Экономическое моделирование в макроэкономике. Модель экономического кругооборота.
Все макроэкономические процессы изучаются на основе построения моделей. Макроэкономические модели представляют собой формализованное (графическое или алгебраическое) описание экономических процессов и явлений с целью выявления основных взаимосвязей между ними. Для построения модели необходимо выделить существенные, наиболее важные характеристики для каждого исследуемого явления и отвлечься (абстрагироваться) от несущественных явлений и факторов. Таким образом, модель представляет собой некоторое упрощенное отражение действительности, позволяющее выявить основные закономерности развития экономических процессов и разработать варианты решения сложных макроэкономических проблем, таких как экономический рост, инфляция, безработица и др.
Модель экономического кругооборота - простейшая модель рыночной экономики, иллюстрирующая основные функции, выполняемые домашними хозяйствами и предприятиями как главными экономическими агентами на рынках товаров и ресурсов, а также взаимосвязи между этими агентами. В модели выделяются два экономических потока: поток факторов производства и произведённых благ в материальной, физической форме или в форме услуг, и поток доходов и расходов в денежной форме, то есть финансовый поток.
6)Система национальных счетов: методологические принципы и характеристика Особенности версии СНС 1993 г.
СНС – это совокупность взаимосвязанных показателей и классификаций, которые отражают реальные явления и процессы экономики на макроуровне. Она содержит информацию про всех субъектов, которые берут участие в экономических процессах; отображает все экономические операции связанные с производством, распределением и перераспределением доходов, нагромождение активов, конечным потреблением.
При составлении национальных счетов необходимо придерживаться общепринятых принципов, среди которых можно выделить следующие:
-принцип двойной записи
- каждая операция в СНС отражается дважды: в разделе «Использование» предыдущего счета и в разделе «Ресурсы» последующего счета. Дополнительный контроль обеспечивается тем, что каждая статья того или иного счета имеет корреспондирующую статью в другом счете, что и способствует увязке счетов.
-принцип последовательности
, соответствующий последовательности воспроизводственного цикла (производство → образование доходов → распределение доходов → использование доходов).
-балансовый принцип
(регистрация всех экономических потоков в форме балансов).
-принцип расчетных категорий
, где речь идет о том, что балансирующие статьи являются прежде всего расчетными категориями, предназначенными не только для обеспечения баланса между объемами ресурсов и их использованием, но и для характеристики результатов того или иного экономического процесса, что и позволяет считать их важнейшими макроэкономическими показателями.
СНС-93 охватывает отрасли, которые производят материальные блага так и отрасли, что производят услуги.
Принципы СНС-93:
-отображение хоз. кругооборота в трёх аспектах: производство, распределение и конечное использование;
-разграничение между движением товаров и услуг и потоком доходов;
-разграничение между потоками и запасами;
-разграничение конечной и промежуточной продукции;
-разграничение между доходами, полученными от производства, и реализации товаров и услуг, т. е. первичными доходами, и доходами, полученными от перераспределения;
- разграничение доходов и расходов на поточные и капитальные и отображение их в разных счетах.
7)Макроэкономические показатели: сущность, показатели потоков и запасов, номинальные и реальные.
Показатели результатов функционирования экономики в целом на макроуровне принято называть макроэкономическими. Они определяются на основе системы национальных счетов и характеризуют различные стадии экономической деятельности: производство товаров и услуг, образование и распределение доходов, их конечное использование.
Все показатели, используемые в макроэкономике, подразделяются на три группы:
-потоки (потоковые величины);
-запасы (активы) ;
-показатели (индикаторы) экономической конъюнктуры.
Различие между ними состоит в следующем: потоки отражают движение ценностей от одних субъектов к другим в процессе экономической деятельности, а запасы характеризуют накопление и использование ценностей субъектами.
Например, сбережения и инвестиции являются потоковыми величинами, а накопленный в результате капитал является запасом. Бюджетный дефицит – потоковая величина, а государственный долг представляет собой запас.
Показатели экономической конъюнктуры выполняют важную индикативную функцию. К ним относятся: ставка процента; норма (ставка) доходности актива; уровень цен;
инфляция; уровень безработицы и др.
Многие макроэкономические показатели имеют номинальные и реальные значения. Это нужно учитывать при их сравнении.
Поскольку некоторые показатели (например, ВВП/ВНП) измеряются в денежном выражении, то для их сопоставления за разные годы нужно знать, была ли в тот или иной период инфляция или дефляция, т.е. необходимо различать номинальные и реальные величины.
Номинальный ВВП/ВНП отражает физический объем произведенных товаров и услуг в текущих (т.е. действующих в данном году) ценах. На величину номинального ВВП/ВНП оказывают влияние динамика реального объема производства и изменение уровня цен.
Реальный ВВП/ВНП – это номинальный ВВП/ВНП, скорректированный с учетом изменения цен или выраженный в ценах базового года. За базовый принимается тот год, с которого начинается измерение или с которым сопоставляется ВВП/ВНП.
8) Индексы цен.
Индекс потребительских цен
отображает изменения цен репрезентативной потребительской корзины, который представляет собой набор товаров и услуг, что характеризуют типичный уровень и структуру годового (месячного) потребления домохозяйств, и используется для расчёта прожиточного минимума.
Индекс потребительских цен рассчитывается за базовым весом. В макроэкономике его называют индексом Ласпейреса и определяют по формуле:

где и - уровень цен i-го блага соответственно в базовом (0) и поточном (1)годах;
а - количество i-го блага соответственно в базовом периоде.
Индекс цен производителя
– индекс промышленного производителя – отображает изменение цен, что устанавливают производители для продажи товаров на внутреннем и внешнем рынках. Цены производителей не учитывают налога на прибавочную стоимость и акцизных сборов. В целом этот индекс определяют как отношение текущего объема производства в денежной форме к объему производства в предшествующем или др. году.
Дефлятор ВВП
. Рассчитывается: , где реальный ВВП –рассчитывается в ценах базового года, а номинальный ВВП – рассчитывается в сегодняшних рыночных ценах. Дефлятор рассчитывается по корзине товаров и услуг, кот. устанавливается для каждого года. Дефлятор относится к индексу цен Пааше – рассчитывается на основе переменного набора.
Индекс Пааше
, отображает изменение цен на все товары и услуги, произведенные в экономике. Определяется по формуле:

где - количество i-го блага, потребленного в текущем периоде.
Частично недостатки индексов Ласпейреса и Пааше устраняет индекс Фишера
, который определяется по формуле:

9)Характеристика ВВП.
ВВП- стоимость конечных товаров и услуг, произведенных в пределах национальной территории определенной страны за определенный период времени как национальными, так и иностранными ресурсами.
ВВП характеризуется:
-показатель потока (за период времени);
-считают на душу населения;
-показатель товаров и услуг (как материальных так и не материальных) но обязательно платных;
-ВВП включает произведенную, но не обязательно проданную продукцию.
10) ВВП (ВНП) и методы его расчета.
ВВП рассчитывается 3 методами:
-по доходам:
ВВП = Национальный доход + амортизация + косвенные налоги — субсидии — чистый факторный доход из-за границы (или + чистый факторный доход иностранцев, работающих на территории данной страны), где:
Национальный доход = заработная плата + арендная плата + процентные платежи + прибыль корпораций
Данная формула характеризует ВВП по доходам в Системе национальных счетов ООН, версия 2008 года.
Операционная разница измеряет излишек или дефицит, полученный от производства до выплаты любых процентов, ренты или сходных платежей, выплачиваемых по финансовым или материальным непроизведенным активам, заимствованным или арендованным предприятием, а также до получения любых процентов или ренты, полученных по финансовым или материальным непроизведенным активам, принадлежащим предприятию (для некорпорированных предприятий, принадлежащих домашним хозяйствам, данный показатель называется «смешанным доходом»).
-по расходам:

ВВП = Конечное потребление + Валовое накопление капитала (инвестиции в фирму(покупка станков, оборудования, запасов, места производства)) + Государственные расходы + Экспорт — Импорт
Конечное потребление включает в себя расходы на удовлетворение конечных потребностей индивидов или общества, произведенные следующими институциональными секторами: сектор домашних хозяйств, сектор органов государственной власти, сектор частных некоммерческих организаций, обслуживающих домашние хозяйства.
Валовое накопление капитала измеряется общей стоимостью валового накопления основного капитала, изменениями в запасах материальных оборотных средств и чистым приобретением ценностей единицей или сектором.
-по добавленной стоимости (или производственный метод):
ВВП = сумма добавленных стоимостей.
Добавленная стоимость фирмы = доход фирмы — промежуточная стоимость производства товара или услуги
Общая добавленная стоимость = общий уровень выпуска — общая ценность промежуточной продукции
11.
На основе ВВП рассчитываются многие другие показатели системы национальных счетов. Среди них выделяют: валовой национальный доход (ВНД), валовой национальный имеющийся доход, личный доход, безналоговый доход.
Валовой национальный доход (ВНД) – это денежная оценка товаров и услуг, которые становятся доступными для страны в результате осуществления экономической деятельности. Он определяется как сумма ВВП в ценах конечного использования (потребление) и сальдо первичных доходов (Xn), полученных из-за границы. Формула валового национального дохода имеет такой вид:
ВНД=ВВП+Xn=C+Iq+G+Xn.
В системе национальных счетов отдельно выделяется показатель валовой национальный имеющийся доход (ВННД), который определяется как сумма валового национального дохода и сальдо текущих трансфертов, полученных из-за кодона. Сальдо текущих трансфертов – это разница между текущими платежами, которые перераспределяются на межгосударственном уровне.
Наибольшую часть валового национального дохода составляет личный доход (ОД), который является доходом граждан, полученным к уплате ими налогов государству.
12.
БНХ и СНС - системы взаимосвязанных экономических показателей, представленные в особой форме в виде таблиц, счетов или в сочетании и тех, и других. Они являются моделями годового экономического оборота на макроуровне.
Между БНХ и СНС существует много различий в задачах:
1) БНХ обслуживал потребности централизованного планирования общественного производства, его основная задача - наблюдение за процессом производства и движением материальных ресурсов;
2) СНС отвечает потребностям рыночной экономики, где на первый план выдвигаются финансово-денежные отношения.
Также есть различия и в концепциях:
1) трактовка стоимостного состава продукта: в БНХ - это перенесенная стоимость (затраты предметов труда и износ основных фондов) и вновь созданная стоимость (первичные доходы участников производства: населения, занятого в сфере материального производства, и предприятия этой сферы, то есть оплата труда, чистая продукция личного подсобного хозяйства, прибыль и другие элементы прибавочного продукта); в СНС: затраты на предметы труда, оплату факторов производства;
2) трактовка производственной деятельности: в БНХ - это деятельность в сфере материального производства, в СНС - это любая деятельность, приносящая доход.
Наиболее крупные различия методологического характера заключаются:
1) в содержании показателей производства в результате неодинакового подхода к определению сферы создания национального дохода (продукта), а также в содержании показателей потребления (промежуточного и конечного), распределения и перераспределения доходов, внешней торговли;
2) в подходе к трактовке финансовых потоков (займы, кредиты и т.п.): в БНХ они рассматриваются как формы временного перераспределения национального дохода, а в СНС - как вид инвестиций отдельных секторов экономики;
3) в подходе к классифицированию доходов и расходов, а также в определении категории сбережений: в СНС проводится четкое разграничение текущих доходов и расходов, которые балансируются с помощью показателя “сбережения”, рассматриваемого как источник финансирования капитальных затрат; в БНХ такого четкого деления доходов и расходов на текущие и единовременные не предусмотрено, и поэтому нет позиций “сбережения” как разницы между текущими доходами и расходами, в то же время отдельные виды сбережений (например, прирост денежной наличности, прирост вкладов в банках и т.д.) рассматриваются в форме перераспределения национального дохода.
Есть различия и в форме представления данных:
1) СНС - в виде совокупности взаимосвязанных двусторонних счетов и таблиц. Заимствован из бухучета принцип двойной записи: каждый показатель записывается дважды - в дебете одного счета и в кредите другого;
2) БНХ - в виде таблиц, где показываются ресурсы и использование материальных доходов и благ;
3) БНХ - это более замкнутая система показателей, так как ограничивается отражением движения доходов лишь в той степени, в какой оно связано с движением материальных благ;
4) СНС - более развитая модель экономического оборота, так как позволяет проследить его от производства продуктов и услуг и образования, перераспределения и использования доходов до получения конечных финансовых результатов - изменения финансовых активов и пассивов и характеристики их состава.
Несмотря на все указанное выше между СНС и БНХ имеется много общего. Обе системы показателей ставят такие задачи:
а) обеспечить концептуальную основу для системного анализа макроэкономических показателей, то есть определить систему показателей, характеризующих развитие экономики, их содержание, взаимосвязи;
б) координировать экономическую статистику, то есть обеспечить методологическое единство показателей макроэкономической статистики и других разделов статистики (труда, отраслевых, финансовой, банковской, внешнеэкономической), то есть единство классификаций, содержания показателей.
Общность СНС и БНХ касается не только целей, ради которых они разрабатываются, но и ряда методологических подходов к обработке и упорядочению данных для выявления наиболее существенных характеристик экономического процесса. Между СНС и БНХ есть много общего в подходах к оценке показателей (в текущих и постоянных ценах), в трактовке деятельности подсобных хозяйств населения, в методах оценки продукции, не принимающей товарно-денежной формы.
13.
Функция совокупного спроса представляет собой зависимость между величиной совокупного спроса и уровнем доходов в экономике.
Кривая совокупного спроса AD — количество товаров и услуг, которое способны приобрести потребители при сложившемся уровне цен. Точки на кривой представляют собой комбинации выпуска (Y) и общего уровня цен (Р), при которых рынки товаров и денег находятся в равновесии.

Совокупный спрос (AD) изменяется под влиянием динамики цен. Чем выше уровень цен, тем меньше запасы денег у потребителей и соответственно меньше количество товаров и услуг, на которое предъявляется платежеспособный спрос.
Между размерами совокупного спроса и уровнем цен существует и обратная зависимость: рост спроса на деньги влечет за собой повышение процентной ставки.
14.
Кривая совокупного предложения (AS) демонстрирует, какое количество товаров и услуг может быть произведено и выброшено на рынок производителями при разных уровнях средних цен.

В краткосрочном периоде (два-три года) кривая совокупного предложения согласно кейнсианской модели будет иметь положительный наклон, близкий к горизонтальной кривой (AS1).
В долгосрочном периоде при полной загрузке мощностей и занятости рабочей силы кривая совокупного предложения может быть представлена в виде вертикальной прямой (AS2). Выпуск примерно одинаков при различном уровне цен. Изменения размеров производства и совокупного предложения будут происходить под-влиянием сдвигов производственных факторов, прогресса технологии.
15.
Пересечение кривых AD и AS в точке N отражает соответствие равновесной цены и равновесного объема производства (рис. 25.3). При нарушении равновесия рыночный механизм будет выравнивать совокупный спрос и совокупное предложение; сработает, прежде всего, ценовой механизм.
В данной модели возможны следующие варианты:
1) совокупное предложение превышает совокупный спрос. Сбыт товаров затруднен, запасы нарастают, рост производства тормозится, возможен его спад; 2) совокупный спрос обгоняет совокупное предложение. Картина на рынке иная: запасы сокращаются, неудовлетворенный спрос стимулирует рост производства.
Экономическое равновесие предполагает такое состояние хозяйства, когда используются все экономические ресурсы страны (при наличии резерва мощностей и «нормальном» уровне занятости). В равновесной экономике не должно быть ни изобилия простаивающих мощностей, ни избыточной продукции, ни чрезмерного перенапряжения в применении ресурсов.
Равновесие означает, что общая структура производства приведена в соответствие со структурой потребления. Условием рыночного равновесия служит равновесие спроса и предложения на всех основных рынках.
Напомним, что согласно кейнсианским взглядам рынок не обладает внутренним механизмом, способным обеспечивать равновесие на макроуровне. Необходимо участие государства в этом процессе. Для анализа положения о равновесии при неполной занятости была предложена упрощенная модель Кейнса. Для исследования взаимосвязи процентной ставки и национального дохода на рынке товаров и рынке денег была разработана другая схема, объединившая анализ этих двух рынков.

16.
Потребление и сбережения непосредственно влияют на уровень национального производства, цены и занятость. Чтобы понять это влияние, нужно ввести понятие функции потребления и функции сбережения. Функция потребления
является одной из важнейших в макроэкономике. Она показывает соотношение между потребительскими затратами и безналоговым доходом как в статике, так и в динамике. Функция потребления, которая была введена Кейнсом, основывается на предположении, что существует стабильная эмпирическая взаимосвязь между потреблением и доходом. Графически функцию потребления можно рассмотреть так:

Если бы потребительские расходы полностью равнялись доходам, то график функции потребления принял бы форму биссектрисы. В любой точке биссектрисы потребления полностью равняется доходу. Точка Б означает нулевое сбережения, полное потребление дохода. Справа от точки Б – зона чистого сбережения, которая ограничивается кривой потребления и биссектрисой. Размер чистых сбережений всегда измеряется вертикальным отрезком между кривой функции потребления и биссектрисой. Объем потребления определяется расстоянием от оси доходов к кривой функции потребления. Слева от точки Б отрезок АБ означает превышение потребления над доходами, то есть жизнь в долг или за счет предыдущих сбережений. Превышение потребления над доходом является «чистым отрицательным сбережением», его измеряют расстоянием между биссектрисой и кривой функции потребления.
17.
Потребление и сбережения непосредственно влияют на уровень национального производства, цены и занятость. Чтобы понять это влияние, нужно ввести понятие функции потребления и функции сбережения. Функция сбережения, является зеркальным отражением функции потребления. Функция сбережения графически изображается так:

Графически функцию сбережения изображают, отнимая по вертикали функцию потребления от линии биссектрисы. Объем сбережений определяется расстоянием от линии дохода к кривой функции сбережения. Это расстояние полностью совпадает с расстоянием от кривой потребления к биссектрисе на предыдущем графике. Точка Б на графике так же показывает нулевое сбережения. На отрезке АБ сбережения домашних хозяйств отрицательные - функция сбережения лежит ниже горизонтальной нулевой линии. Из приведенных графиков функций потребления и сбережения видно, что и потребление, и сбережения напрямую зависят от дохода, возрастая с увеличением дохода и уменьшаясь при его сокращении.
18.
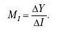
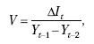
Инвестиции – долгосрочные вложения государственного или частого капитала в различные отрасли экономики как внутри страны, так и за границей с целью извлечения прибыли.В макроэкономике под инвестициями понимаются реальные инвестиции – вложения капитала частной фирмой или государством в производство той или иной продукции.Выделяют три типа инвестиций:1. Производственные инвестиции 2. Инвестиции в жилищное строительство 3. Инвестиции в запасы Различают валовые и чистые инвестиции.Инвестиционный спрос состоит из двух частей.1. Из спроса на восстановление изношенного капитала.2. Из спроса на увеличение чистого реального капитала.Инвестиционный спрос – это самая динамичная и изменчивая составляющая совокупного спроса, она зависит от объективных факторов (состояние экономической конъюнктуры: ожидаемая норма чистой прибыли, ставка процента) и субъективного фактора (решения предпринимателей).Кривая инвестиционного спроса показывает в графической форме размер инвестиций, осуществление которых возможно при каждом данном уровне процентной ставки.Помимо процентной ставки на инвестиции оказывает влияние увеличение ВНП, изменения в размерах налогообложения, технологические изменения и ожидания предпринимателей. В этом случае происходит изменение спроса на инвестиции. Любой фактор, вызывающий прирост ожидаемой доходности инвестиций, смещает кривую инвестиционного спроса вправо, а вызывающий смещение ожидаемой доходности смещает кривую влево.Влияние инвестиций на совокупный спрос (национальный доход) отражается в теории мультипликатора и акселератора. Мультипликатор показывает роль инвестиций в росте объема национального дохода и занятости.

Акселератор представляет собой отношение прироста инвестиций к вызвавшему его относительному приросту дохода, потребительского спроса или готовой продукции и выражается формулой:
где ∆I
– инвестиции; ∆Y
– доход; t –
время.
Простейшая функция инвестиций имеет вид: I = e-dR, где I – автономные инвестиционные расходы; e – автономные инвестиции, определяемые внешними экономическими факторами (запасы полезных ископаемых и т.д.); d — эмпирический коэффициент чувствительности инвестиций к динамике ставки процента; R — реальная ставка процента. Графически функция инвестиций выглядит следующим образом. Она иллюстрирует обратную зависимость объема инвестиций от ставки процента.  В отличие от сбережений инвестиции подвержены постоянной динамике. К факторам, определяющим динамику инвестиций, относят:1) ожидаемая норма чистой прибыли;2) реальная ставка процента;3) уровень налогообложения;4) изменения в технологии производства;5) наличный основной капитал;6) экономические ожидания;7) динамика совокупного дохода. С ростом совокупного дохода автономные инвестиции дополняются стимулированными, величина которых возрастает по мере роста ВВП. Так как инвестиции финансируются из предпринимательской прибыли, а последняя увеличивается с ростом совокупного дохода Y, то и инвестиции увеличиваются с ростом Y. При этом с ростом совокупного дохода возрастают не только собственно производственные инвестиции, но и инвестиции в товарно-материальные запасы и в жилищное строительство, так как на подъеме экономики увеличиваются стимулы к пополнению истощившихся запасов капитала и повышается спрос на жилые дома. Положительная зависимость инвестиций от дохода может быть представлена в виде функции: I = e — dR + γY ,где γ- предельная склонность к инвестированию; Y — совокупный доход. Предельная склонность к инвестированию — доля прироста расходов на инвестиции в любом изменении дохода: где ∆ I – изменение величины инвестиций; ∆Y — изменение дохода.
19.
Кейнсианский крест»— макроэкономическая модель, графическое изображение положительной зависимости между совокупными затратами экономических агентов и общим уровнем цен в экономике.

Основные параметры.
· Потребительские расходы
(обозн. С
) — расходы домохозяйств на товары и услуги.
Модель «кейнсианского креста». Кривая совокупных издержек имеет положительный наклон. Красная точка показывает полную занятость ресурсов в экономике. Потребительские расходы могут быть как автономными (то есть не зависящими от уровня дохода), так и, наоборот, зависящими от заработка и величины предельной нормы потребления (mpc
) (насколько увеличиваются расходы при каждой дополнительной единице располагаемого дохода (Yd
)). Таким образом,
, где

- Инвестиции
( I
) — фирмы закупают капитал с целью увеличения производства товаров и, следовательно, максимизации прибыли
- Государственные закупки товаров и услуг
( G
) — инвестиции государства, зарплата государственным служащим и т. п.
- Чистый экспорт
( Xn
или NX
) — разница между экспортом и импортом. Соотношение экспорта и импорта показывает состояние торгового баланса. Если экспорт превышает импорт, то в стране профицит торгового баланса, если импорт — экспорт, то дефицит торгового баланса, соответственно.
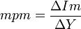
Чистый экспорт также может быть как автономным, так и зависящим, на этот раз, от предельной нормы к импорту (mpm
) и уровня совокупного выпуска. Предельная склонность к импорту объясняет, насколько в среднем увеличивается импорт в страну при каждой дополнительной единице совокупного дохода (или реального ВВП).

, где

Равновесный объем выпуска
( Y
) — равен совокупным издержкам (AE
).
—- формула совокупного выпуска для открытой экономики, определяющая функцию совокупных издержек.
Построение
Кейнсианский крест состоит из двух видов кривых и чертится как функция . Первая строится как функция под углом в 45 градусов. Данная функция определяет кривую реальных совокупных издержек
, так как в макроэкономической теории считается, что реальные общие затраты не могут не равняться совокупному выпуску. Другая кривая является функцией запланированных совокупных издержек
, которая строится в зависимости от типа экономики. Если рассматриваются только частный сектор или закрытая от внешней торговли экономика, то данную кривую чертят под углом равному предельной норме к потреблению (обозн. ранее, mpc
) и на высоте от начала координат, равной либо просто автономному потреблению домохозяйств ( ), либо сумме автономного потребления и инвестиций в экономику ( ), или же сумме первых двух, ранее упомянутых и государственных закупок товаров и услуг ( ). Если же рассматривается открытая экономика, то есть поддерживающая международную торговлю, то тогда угол кривой запланированных издержек равен разнице предельной нормы к потреблению и предельной нормы к импорту (обозн. ранее, mpm
) (mpc — mpm
), а высота кривой относительно начала координат является суммой всех параметров равновесного объема выпуска, но только автономных .
«Кейнсианский крест» является одним из самых известных способов моделирования совокупного спроса. С помощью этой модели можно определить такие параметры, как равновесный объем выпуска, общий уровень цен в экономике, так же, как и в модели AD-AS. Поскольку пересечение кривых совокупных издержек показывает полную занятость ресурсов в экономике, по «кейнсианскому кресту» можно также анализировать фазы экономических циклов.
20.
Суть метода в следующем: при наших допущениях мы знаем, что производство любого объема продукции даст адекватный размер дохода после уплаты налогов. Но также известно, что часть этого дохода домохозяйства могут сберечь, т.е. не потребить. Сбережение, следовательно, представляет изъятие, утечку или отвлечение потенциальных расходов из потока расходов-доходов. Вследствие сбережений потребление становится меньше общего объема производства, или ЧНП. В этой связи самого по себе потребления недостаточно, чтобы выбрать с рынка весь объем произведенной продукции, и это обстоятельство, по всей видимости, приводит к снижению общего объема производства. Однако предпринимательский сектор не намерен продавать всю продукцию только конечным потребителям. Часть продукции принимает форму средств производства, или инвестиционных товаров, которые будут реализованы внутри самого предпринимательского сектора. Поэтому инвестиции можно рассматривать как инъекции расходов в поток доходы-расходы, что дополняет потребление; короче говоря, инвестиции представляют собой потенциальную компенсацию, или возмещение, изъятия средств на сбережения. Если изъятие средств на сбережения превышает инъекцию инвестиций, то будет меньше ЧНП, а данный уровень ЧНП — слишком высоким, чтобы быть устойчивым. Другими словами, любой уровень ЧНП, когда сбережения превышают инвестиции, будет выше равновесного. И наоборот, если инъекции инвестиций превышают утечку средств на сбережения, то будет больше, чем ЧНП, и последний должен повышаться. Повторим: любой размер ЧНП, когда инвестиции превышают сбережения, будет ниже равновесного уровня. Тогда, когда , т.е. когда утечка средств на сбережения полностью компенсируется инъекциями инвестиций, совокупные расходы равны объему производства. А мы знаем, что такое равенство определяет равновесие ЧНП. Этот метод можно проиллюстрировать графически с помощью кривых сбережений и инвестиций. Равновесный объем ЧНП определяется точкой пересечения кривых сбережений и инвестиций. Только в этой точке население намерено сберечь столько же, сколько предприниматели хотят инвестировать, и экономика будет находиться в состоянии равновесия.
МЕТОД ИЗЪЯТИЙ И ИНЪЕКЦИЙ
- определение равновесного чистого национального продукта путем выявления величины его объема, при которой размер изъятий равен размеру инъекций. Здесь под инъекциями понимаются дополнительные инвестиции в экономику, а под изъятиями - отток капитала, его амортизация.
21. Кейнсианская точка зрения на связь инфляции и безработицы.
Между безработицей и инфляцией существует обратная зависимость. Ее впервые вывел Кейнс. Он отмечал, что безработица и инфляция движутся в противоположных направлениях. Количественную зависимость между двумя критериями – безработицей и инфляцией – статистически обосновал Филипс. Он пришел выводу о существовании обратной зависимости между уровнем безработицы и увеличением денежной з\п – в этом суть кривой Филипса. Графиккривой Филипса показывает обратную зависимость между уровнем инфляции и масштабами безработицы. Чем больше масштабы безработицы, тем ниже уровень инфляции и наоборот. Кривая Филипса объясняется тем, что безработица ограничивает возможности роста зарплаты и тем самым и инфляции. И наоборот, инфляция, создавая дополнительный спрос населения и предпринимателей, стимулирует рост производства и занятости, следовательно, ведет к уменьшению масштабов безработицы. Кривая Филипса верна для краткосрочного периода при умеренной инфляции. Но в долгосрочной перспективе она приводит к стагфляции, т.е. созданию спада производства, возрастанию безработицы и инфляции. Практическое значение кривой Филипса состоит в том, что она дает альтернативу безработицы и инфляции в условиях умеренной инфляции. государство имеет выбор приоритета – увеличение занятости или обуздание инфляции.
22. Монетаристская точка зрения на связь инфляции и безработицы.
Иную трактовку кривой Филипса в отличие от кейнсианцев дают монетаристы. Они не отрицают теоретического значения этой кривой, но считают что она достоверна лишь в том случае, когда рост зарплаты соответствует реальному увеличению потребления товаров и услуг, иначе – росту производительности труда. По мнению монетаристов, государственное вмешательство по стимулированию совокупного спроса (гос капиталовложения, сокращение налогов, увеличение социальных программ и т.д.) способны дать лишь кратковременный эффект в уменьшении безработицы. Однако в долговременной перспективе такая политика государства неизбежно приведет к стагфляции – спаду производства, снижению занятости, росту безработицы и инфляции. На рисунке показано смещение кривой Филипса вправо. Точка N1 определяет уровень безработицы и инфляции на более высоком уровне в условиях стагфляции. Монетаристы показали, что сокращение безработицы ниже ее естественного уровня будет достигнуто более значительным ростом инфляции.
23. Экономичкский цикл, его фазы, виды.
Экономические циклы, их виды и причины возникновения. Показатели экономического циклВ действительности экономика развивается не по прямой линии (тренду), характеризующей экономический рост, а через постоянные отклонения от тренда, через спады и подъемы. Экономика развивается циклически (рис. 1.). Экономический (или деловой) цикл (business cycle) представляет собой периодические спады и подъемы в экономике, колебания деловой активности. Эти колебания нерегулярны и непредсказуемы, поэтому термин «цикл» достаточно условный. Выделяют две экстремальные точки цикла: 1)точку пика (peak),соответствующую максимуму деловой активности; 2) точку дна (trough), которая соответствует минимуму деловой активности (максимальному спаду).

Цикл обычно делится на две фазы (рис. 1.(а)): 1) фазу спада или рецессию (recession), которая длится от пика до дна. Особенно продолжительный и глубокий спад носит название депрессии (depression). Не случайно кризис 1929-1933 получил название Великой Депрессии; 2) фазу подъема или оживление (recovery), которое продолжается от дна до пика. Существует и другой подход, при котором в экономическом цикле выделяют четыре фазы (рис. 1.(б)), но не выделяются экстремальные точки, так как предполагается, что когда экономика достигает максимума или минимума деловой активности, то некоторый период времени (иногда достаточно продолжительный) она находится в этом состоянии: 1) I фаза – бум (boom), при котором экономика достигает максимальной активности. Это период сверхзанятости (экономика находится выше уровня потенциального объема производства, выше тренда) и инфляции. (Вспомним, что когда в экономике фактический ВВП выше потенциального, то это соответствует инфляционному разрыву). Экономика в этом состоянии носит название «перегретой» («overheated economy»); 2) П фаза – спад (recession или slump). Экономика постепенно возвращается к уровню тренда (потенциального ВВП), уровень деловой активности сокращается, фактический ВВП доходит до своего потенциального уровня, а затем начинает падать ниже тренда, что приводит экономику к следующей фазе – кризису; 3) Ш фаза – кризис (crisis) или стагнация (stagnation). Экономика находится в состоянии рецессионного разрыва, поскольку фактический ВВП меньше потенциального. Это период недоиспользования экономических ресурсов, т.е. высокой безработицы; 4) IV фаза – оживление или подъем. Экономика постепенно начинает выходить из кризиса, фактический ВВП приближается к своему потенциальному уровню, а затем превосходит его, пока не достигнет своего максимума, что вновь приведет к фазе бума.
Виды циклов
Выделяют различные виды циклов по продолжительности:
- столетние циклы, длящиеся сто и более лет;
- «циклы Кондратьева», продолжительность которых составляет 50-70 лет и которые названы в честь выдающегося русского экономиста Н.Д.Кондратьева, разработавшего теорию «длинных волн экономической конъюнктуры» (Кондратьев предположил, что наиболее разрушительные кризисы происходят тогда, когда совпадают точки максимального падения деловой активности «длинноволнового цикла» и классического; примерами могут служить кризис 1873 года, Великая Депрессия 1929-1933 годов, стагфляция 1974-1975 годов);
- классические циклы (первый «классический» кризис (кризис перепроизводства) произошел в Англии в 1825 г., а начиная с 1856 г. такие кризисы стали мировыми), которые длятся 10-12 лет и связаны с массовым обновлением основного капитала, т.е. оборудования (в связи с возрастающим значением морального износа основного капитала продолжительность таких циклов в современных условиях сократилась);
- циклы Китчина продолжительностью 2-3 года.
- Выделение разных видов экономических циклов основано на продолжительности функционирования различных видов физического капитала в экономике. Так, столетние циклы связаны с появлением научных открытий и изобретений, которые производят настоящий переворот в технологии производства (вспомним, «век пара» сменился «веком электричества», а затем «веком электроники и автоматики»). В основе длинноволновых циклов Кондратьева лежит продолжительность срока службы промышленных и непромышленных зданий и сооружений (пассивной части физического капитала). Примерно через 10-12 лет происходит физический износ оборудования (активной части физического капитала), что объясняет продолжительность «классических» циклов. В современных условиях первостепенное значение для замены оборудования имеет не физический, а его моральный износ, происходящий в связи с появлением более производительного, более совершенного оборудования, а поскольку принципиально новые технические и технологические решения появляются с периодичностью 4-6 лет, то продолжительность циклов становится меньше. Кроме того, многие экономисты связывают продолжительность циклов с массовым обновлением потребителями товаров длительного пользования (некоторые экономисты даже предлагают причислять их к инвестиционным товарам, закупаемым домохозяйствами), происходящим с периодичностью 2-3 года.
В современной экономике продолжительность фаз цикла и амплитуда колебаний могут быть самыми различными. Это зависит, в первую очередь, от причины кризиса, а также от особенностей экономики в разных странах: степени государственного вмешательства, характера регулирования экономики, доли и уровня развития сферы услуг (непроизводственного сектора), условий развития и использования научно-технической революции.
24. Безработица: суть, типы, измерения.
Безработица - наличие незанятого трудоспособного населения. Безработица классифицируется по многим признакам, и каждый ее тип имеет свои причины и особенности. Различают понятия рабочая сила, занятое население,безработные. Занятое население – это люди, обеспеченные оплачиваемыми рабочими местами. Безработные – те, кто не имеет работы, но занимается ее активным поиском. Вместе они образуют рабочую силу. К числу лиц не являющихся рабочей силой относятся лица пенсионного возраста, лица, занимающиеся домашним хозяйством, учащиеся. Уровень безработицы определяется отношением числа безработных к рабочей силе (в процентах). Если рабочая сила в стране составляет 25 млн. чел., а число безработных – 2,5 млн., то уровень безработицы составит 10%.
Типы безработицы
. Существует много видов и типов безработицы – фрикционная, структурная, технологическая, институциональная, сезонная, скрытая, открытая, женская, молодежная, естественная, циклическая. Нередко люди меняя место жительства, ищут работу поближе к дому и некоторое время не работают. Этот период называется фрикционной безработицей. Обычно он непродолжителен. Структурная безработица – более продолжительный по времени тип естественной безработицы. Он вызван изменениями в структуре совокупного спроса. Изменяется потребительский спрос домашних хозяйств, а вслед за ним и структура производства, изменяющая спрос на рынке труда. Некоторые традиционные профессии становятся невостребованными, а новые, дефицитными. Необходимо время, в течение которого можно получить новую специальность. Следовательно на какой-то период возрастет безработица. Таков же приблизительно механизм технологической безработицы. Структурная и технологическая безработица отличаются от фрикционной тем, что при последней работник не нуждается в переквалификации. Фрикционная безработица возникает в связи с тем, что установление равновесия между количеством нанятых работников соответственного квалификационного уровня, желающих работать по найму при определенном уровне зарплаты и условиях работы с одной стороны и количеством и качеством рабочих мест c другой требует определенного времени. Эта форма безработицы реализуется в праве на поиск более привлекательной по содержанию, условиям труда или уровнем дохода работы. Рассмотренные виды образуют естественную безработицу, когда количество ищущих работу соответствует такое же количество свободных рабочих мест, которые в силу различных причин какое-то время не могут быть заняты. Циклическая безработица связана с колебаниями бизнес-цикла. Она достигает пика в период спада, и ее причина по Кейнсу – недостаток совокупного спроса, т.е. совокупных расходов рыночных субъектов. Именно отсутствие циклической безработицы имеется в виду, когда речь идет о полной занятости.
25. Экономические издержки безработицы. Закон Оукена. Меры преодоления безработицы.
Структурная и технологическая безработица имеют много негативных последствий, но эти последствия не так страшны как последствия от циклической безработицы. Экономические последствия этого вида безработицы-недопроизводство ВВП. Оукен сформулировал закон согласно которого 1% циклической безработицы ведет к снижению фактического объема ВВП на 2,5%. Величина коэффициента Оукена зависит как от технологии производства, так и от поведения экономических субъектов на рынке труда. Зависимость коэффициента от названых факторов иллюстрируется кривой. Рассмотрев видим, что кривая ОукенаY(U) отражает связь между уровнем фактической безработицы(U) и величиной отклонения фактического объема национального производства(Y) от потенциального(Y). Движение по кривой показывает изменение величины потерь ВВП (Y),связанное с изменением отклонения фактической безработицы от естественного уровня. Кривая может смещаться как вправо вверх так и влево вниз. На смешение кривой влияют: изменения потенциального объема национального производства и дохода, которые смещают кривую вправо вверх при росте Y и влево вниз при уменьшении Y; изменения нормы естественной безработицы, которые смещают кривую вправо вверх при увеличении U и влево вниз при уменьшении U.
Экономические издержки безработицы влекут за собой и социально-нравственные потери, которые несравненно более тяжелы по своим последствиям для людей: рушатся семьи, усиливаются пьянство, потребление наркотиков, растет преступность, число самоубийств, психических расстройств. Можно предложить систему мер по преодолению циклической безработицы: стимулирование экономического роста, стимулирование мелкого и среднего бизнеса, организация общественных работ, экспорт рабочей силы, организация службы занятости и социальной защиты безработных.
26.Сущность инфляции
. Инфляция - это обесценение денег, снижение их покупательной способности, дисбаланс спроса и предложения, соответственно, переполнение каналов обращения денежной массы сверх потребностей товарооборота, что вызывает обесценение денежной единицы и соответственно рост товарных цен. Инфляция проявляется в повышении общего уровня цен в стране. Обычно инфляция имеет в своей основе не одну, а несколько взаимосвязанных причин, и проявляется она не только в повышении цен - наряду с открытой, ценовой имеет место скрытая, или подавленная, инфляция, проявляющаяся, прежде всего в дефиците, ухудшении качества товаров. Не всякое повышение цен служит показателем инфляции. Цены могут повышаться в силу улучшения качества продукции, ухудшения условий добычи топливно-сырьевых ресурсов, изменения общественных потребностей. Но это будет, как правило, не инфляционный, а в определенной мере логичный, оправданный рост цен на отдельные товары.
Формы инфляции
. Инфляция может быть скрытой и открытой. В основе и той и другой лежит нарушение равновесия между стоимостью всей массы товаров и услуг и противостоящей ей денежной массой. Главная форма проявления скрытой инфляции - дефицит товаров. Дефицит означает, что деньги вообще не обладают покупательной способностью, поскольку человек не может на них ничего купить. Открытая инфляция проявляется главным образом через рост цен на товары и услуги. Бумажные деньги обесцениваются, возникает избыточная денежная масса, не обеспеченная соответствующим количеством товаров и услуг. Причины инфляции.
Объяснения причин дисбаланса различны. Одни экономисты объясняли его чрезмерным спросом при полной занятости, то есть со стороны спроса. Другие - искали причину в росте производственных расходов или издержек производства, то есть со стороны предложения. Причины возникновения инфляции могут быть как внутренние, так и внешние. Внешние причины.
К внешним причинам относятся, в частности, сокращение поступлений от внешней торговли, отрицательное сальдо внешнеторгового и платежного балансов. Внутренние причины
. Во-первых, как правило, одним из истоков инфляционных процессов служит деформация народнохозяйственной структуры, выражающаяся в существенном отставании отраслей потребительского сектора при явно плохом развитии отраслей тяжелой индустрии, и особенно военного машиностроения. Во-вторых, неспособность преодолеть инфляцию порождается недостатками хозяйственного механизма. В условиях централизованной экономики нет эффективных экономических рычагов, которые способны регулировать соотношение между денежной и товарной массой. Измерение инфляции
. Для измерения темпов инфляции в экономике широко используются индексы, и в частности, индексы цен. Наиболее распространенными являются:
1. Индекс стоимости жизни (индекс цен потребительских товаров);
2. Индекс оптовых цен (индекс цен товаров производственного назначения);
3. Дефлятор ВНП.
На практике широко применяются индексы цен, которые отражают изменение общего (среднего) уровня цен, цен на отдельные товары или группы товаров (например, индексы цен промышленной и сельскохозяйственной продукции).
1) Индекс стоимости жизни В мировой практике широко используется индекс стоимости жизни – индекс розничных цен специального набора товаров и услуг, входящих в бюджет среднего потребителя и составляющих стоимости жизни, его прожиточный минимум. Для его расчета применяется следующая процедура.
- Определяется потребительская корзина: набор наиболее употребляемых, типичных товаров и услуг. Потребительская корзина тем достовернее отражает динамику инфляции, чем больше в ней представлено благ. Устанавливается базовый период – стартовый год, от уровня цен которого подсчитываются их изменения в последующий период.
- Определяется совокупная цена рыночной корзины (суммарная цена всего набора товаров и услуг) для базового периода.
- Подсчитывается совокупная цена такой же корзины для данного (текущего) периода.
- Подсчитывается индекс цен – показатель, отражающий относительное изменение общего (среднего) уровня цен (выражается в процентах) по формуле:
| Индекс цен =
|
Цена рыночной корзины в данном году
|
• 100 %
|
| Цена рыночной корзины в базовом году
|
Индекс цен может иметь три численных значения:
- Индекс цен равен 100 %. Значит, цены являются неизменными.
- Индекс цен выше 100%. Следовательно, цены повысились в текущем году по сравнению с базовым, т.е. произошло инфляционное обесценение денег.
- Третий вариант: индекс цен ниже 100%. Это означает, что произошла дефляция (от лат. deflatio – выдувание, сдувание), т.е. имело место падение уровня цен.
2) Индекс оптовых цен При исчислении индекса оптовых цен (индекса цен товаров производственного назначения) рассматривается изменение цен определенного количества промежуточных товаров, используемых в производстве. Изменение оптовых цен отражает динамику цен на сырье, полуфабрикаты, материалы, конечные виды продукции на оптовом рынке. Два названных индекса тесно взаимосвязаны, так как рост промышленных товаров и услуг в конечном итоге ведет к росту розничных цен. 3) Дефлятор ВНП (индекс цен на конечные товары и услуги) Для измерения общего уровня цен чаще используется индекс цен валового национального продукта – так называемый дефлятор ВНП. Его корзина включает в себя все конечные товары и услуги, произведенные в обществе. Следовательно, дефлятор ВНП более полно отражает изменение цен в обществе, охватывает не только отдельные группы товаров и услуг. Реальный ВНП показывает, насколько возрос валовой национальный продукт исключительно за счет роста цен.
| Дефлятор ВНП =
|
Номинальный ВНП
|
• 100 %
|
| Реальный ВНП
|
При расчете дефлятора ВНП номинальный ВНП означает расходы в нынешнем году по текущим ценам, реальный ВНП – расходы в нынешнем году по ценам базового года.
Причины инфляции. Повышение цен и появление излишнего количества денег – это лишь внешние проявления инфляции. Ее глубинной причиной является нарушение пропорций национального хозяйства вследствие действия различных факторов:
- Общеэкономических
- Социальных
- Финансово-кредитных
Для рассмотрения механизма инфляции можно обратиться к двум ее типам:
- Инфляции спроса, при которой равновесие спроса и предложения нарушается со стороны спроса;
- Инфляции предложения (инфляция издержек), при которой дисбаланс спроса и предложения происходит из-за роста издержек производства.
.
27. Социально-экономические последствия инфляции. Социально-экономические последствия инфляции проявляются в следующем:
1. Инфляция приводит к тому, что все денежные доходы (как населения, так и предприятий, государства) фактически уменьшаются. Это определяется различиями между номинальным и реальным доходом. Номинальный (денежный) доход – это количество денежных средств, которые получает человек в виде зарплаты, процента, ренты и прибыли. Реальный доход определяется количеством товаров и услуг, которые он может купить на сумму номинального дохода. Если номинальный доход остается стабильным или растет медленнее темпов инфляции, то реальный доход падает. Именно поэтому в период инфляции в наибольшей степени страдают люди с фиксированными доходами. Издержки «стоптанных башмаков».
2. Инфляция перераспределяет доходы и богатство. Так, должники богатеют за счет своих кредиторов. Причем выигрывают дебиторы на всех уровнях, т.к. ссуда берется при одной покупательной способности денег, а возвращается, когда на эту сумму можно купить гораздо меньше. Выигрывает и правительство, которое накопило большой государственный долг. Инфляция перераспределяет доход и богатство за счет тех, кто дает деньги, в пользу тех, кто откладывает платежи. Инфляция увеличивает стоимость недвижимого имущества.
3. В период инфляции растут цены на товарно-материальные ценности, пользующиеся спросом на рынке. Поэтому население и предприятия стремятся как можно быстрее материализовать свои быстро обесценивающиеся денежные средства в запасы. Это приводит к недостатку денежных средств у хозяйственных агентов. Результатом ажиотажной закупки товаров является усиление инфляции спроса.
4. Инфляция делает невыгодным долгосрочное инвестирование.
5. Инфляция приводит к обесцениванию амортизационного фонда фирм, что затрудняет процесс нормального воспроизводства. Инфляция уменьшает и реальную ценность всех других сбережений (вклады, облигации, страховки). Люди стараются не делать сбережения, а фирмы значительную часть прибыли направляют на текущее потребление, что ведет к сокращению финансовых ресурсов общества, сворачиванию производства.
6. Инфляция приводит к скрытой конфискации денежных средств у населения и предприятий через налоги. Это имеет место вследствие того, что налогоплательщики из-за роста номинального дохода автоматически попадают в более высокую группу налогообложения. Пути преодоления инфляции
| |
Различают административные и экономические методы борьбы с инфляцией. К административным методам относят установленные государством ограничения на повышение цен и заработной платы. С помощью этих методов можно достаточно эффективно сдерживать рост общего уровня цен. Следует учитывать, однако, что централизированный контроль над ценами, во-первых, создает основу для развертывания подавленной инфляции, а во-вторых, и это главное, блокирует рыночные механизмы и, тем самым, препятствует становлению рыночной экономики, тормозит процесс преодоления кризисных явлений переходного этапа. В этом случае предпочтительнее выглядят экономические методы, заключающиеся в создании экономических условий, сдерживающих стремление и возможности продавцов повышать цены.
Экономические методы регулирования позволяют воздействовать как на инфляцию спроса, так и на инфляцию издержек. Экономические методы сдерживания инфляции можно подразделить на две группы. Первая -- это совокупность мер антимонопольной политики. Известно, что чем выше степень конкурентности рынка, тем выше, при прочих равных условиях, объем предложения и ниже уровень цен. Борьба с монополизмом, таким образом, способствует росту совокупного предложения и, следователь' но, сдерживает инфляцию издержек.
Вторая группа — это совокупность мер, способствующих сокращению удельных издержек производства. Сюда входят: сокращение налогов на бизнес, понижение импортных пошлин на ввозимые средства производства, а также весь комплекс мероприятий по стимулированию технического прогресса.
Как показано выше, высокие темпы роста цен в переходной экономике связаны со взаимодействием инфляции издержек и инфляции спроса, причем повышение совокупного спроса является как бы питательной средой инфляции издержек. Если предотвратить или жестоко ограничить повышение совокупного спроса, то механизм инфляции издержек начинает работать на самоуничтожение. Спад производства и рост безработицы, вызванные стагфляцией, ограничивают рост спроса, а следовательно, и цен на сырьевые ресурсы, и рост номинальной заработной платы. Это, в свою очередь, сдерживает повышение издержек производства и порождаемые им инфляционные тенденции. В силу названных причин политика ограничения совокупного спроса является важнейшим элементом антиинфляционных мероприятий в переходной экономике.
Основные элементы политики ограничения совокупного спроса хорошо известны. Это сокращение бюджетных расходов, сдерживающая фискальная и жесткая кредитно-денежная политика.
|
28. Рынок денег. Равновесие на рынке денег.
Рынок денег – взаимодействие спроса и предложения денег. Предложение денег обеспечивает центральный банк. Так же на спрос оказывают воздействие и коммерческие банки. Плата за пользование чужими деньгами - %ставка. Номинальная процентная ставка назначается банками. Реальная с учетом инфляции. Уравнение Фишера: реальная пр ставка = номинальная -темп инфляции.. при высоких показателях инфляции используется формула : разница между номинальной ставкой и темпом инфляции поделенная на их сумму= реальной проц ставке.
Равновесие на рынке денег
На рынке денег устанавливается равновесие, когда количество находящихся в обращении денег равно объему спроса на них. Это равенство обеспечивается за счет того, что аргументы функции спроса на деньги принимают соответствующие значения.
Так как в неоклассической концепции деньги не являются богатством и потому не представляют собой составную часть имущества, то в ней спрос на деньги существует только для сделок. Поэтому условие равновесия на рынке денег описывает следующее уравнение: M
( , H
) = Py
/V
, получившее название уравнение количественной теории денег. Поскольку скорость обращения задана технологией расчетов, а величина реального национального дохода - технологией производства и уровнем занятости, то параметром, обеспечивающем равновесие на рынке денег является уровень цен, который меняется прямо пропорционально изменению количества денег (рис. 4.12, а
).
В кейнсианской концепции на денежном рынке в результате взаимодействия спроса и предложения определяется не уровень цен, а цена денег - рыночная ставка процента. Условие равновесия на рынке денег описывает уравнение
| |

|
.
|
|
| |
| Рис. 4.12. Равновесие на рынке денег в неоклассической (а
) и кейнсианской (б
) концепциях
|
В графическом виде оно представлено на рис. 4.12, б
.
При денежной базе H
0
и национальном доходе y
0
ставка процента примет значение i
0
. Если денежная база увеличится до H
1
, то при том же доходе y
0
ставка процента снизится до i
1
. Рост дохода до y
1
при денежной базе H
0
поднимет ставку процента до i
2
.
|
|
В концепции Дж.М. Кейнса ставка процента повышается, если при прочих неизменных условиях:
- Центральный банк сократит свои активы или увеличит минимальные нормы резервного покрытия;
- коммерческие банки продадут имеющиеся у них ценные бумаги населению;
- население увеличит свои сберегательные вклады;
- повысится уровень цен;
- увеличится доля промежуточного продукта в конечном;
- возрастет реальный национальный доход;
- фирмы перейдут от двухразовой выплаты заработной платы в месяц к одноразовой;
- население увеличит долю реальных кассовых остатков в структуре своего имущества вследствие повышения риска рынка ценных бумаг или роста трансакционных издержек при переводе денег в альтернативные финансовые инструменты.
Первые четыре фактора сокращают предложение реальной кассы, а последние четыре - увеличивают спрос на нее; то и другое повышает ставку процента.
29. Функция предложения денег. Денежная масса и ее состав
.
Центральный банк, коммерческие банки и небанковский сектор определяют предложение денег. Предложение денег (МS
)
включает в себя наличность вне банковской системы (С
) и текущие депозиты (D
), которые экономические агенты при необходимости могут использовать для сделок.
Только банки обладают способностью увеличивать предложение денег. Дополнительное предложение денег, возникшее в результате нового депозита, равно

где rr
– норма обязательного резервирования; D
– депозит; коэффициент; 1/rr
– банковский мультипликатор.
Общая модель предложения денег строится с учетом роли ЦБ и возможного оттока части денег с депозитов банковской системы в наличность. Денежная база
(МВ)
– наличность вне банковской системы, а также резервы коммерческих банков, хранящиеся в ЦБ:
МВ = С+R,
где R –
резервы банка.
Тогда предложение денег имеет вид
,
где m
– денежный мультипликатор
(показывает, как изменяется предложение денег при увеличении денежной базы на единицу):
m = (1 + сr)/(сr+rr),
где сr = С/D
, rr = R/D.
сr
– коэффициент предпочтения наличности (определяется главным образом поведением населения, решающего, в какой пропорции будут находиться наличность и депозиты).
Величина rr
зависит от нормы обязательных резервов, устанавливаемой ЦБ, и от величины избыточных резервов, которые коммерческие банки предполагают держать сверх необходимой суммы. Поскольку клиент может помещать деньги на текущий или на срочный вклад, то ЦБ устанавливает разные резервные требования.
Таким образом, предложение денег прямо зависит от денежной базы и денежного мультипликатора.

Рис. 31.2. Денежное предложение при различных целях денежно-кредитной политики
Графически функция предложения денег имеет три графика (рис. 31.2): 1) ЦБ контролирует денежную массу страны (при монетарной политике, направленной на поддержание М=const); 2) ЦБ контролирует ставку процента (при гибкой денежно-кредитной политике, когда i=const); 3) ЦБ ничего не контролирует (допускаются изменения и массы денег в обращении, и ставки процента).
Общее количество денег, имеющихся в экономике, именуется денежной массой
. Причем в денежную массу включаются не только собственно деньги, но также обязательства банковской системы.
Чаще всего в структуре денежной массы выделяют четыре агрегата :
- М0
– объем наличных денег, находящихся вне банковской системы;
- М1
– сумма М0
и вкладов до востребования в коммерческих банках, кроме вкладов органов государственного управления.
- М2
– сумма М1
и среднесрочных (до 4 лет) вкладов в банках;
- М3
– сумма М2
и долгосрочных банковских вкладов.
30. спрос на деньги.
Спрос на деньги существует у хозяйствующих субъектов и связан с приобретением товаров и услуг. Существует несколько подходов к объяснению спроса на деньги:
1. Неоклассический подход
– спрос на деньги определяется объемом национального производства и скоростью обращения денег.
2. Кейнсианский подход
выделяет три мотива, побуждающих людей хранить часть денег в виде наличности: 1) трансакционный мотив
(для текущих сделок); 2) мотив предосторожности
(на случай непредвиденных обстоятельств в будущем); 3) спекулятивный мотив
(для повышения доходов в будущем, например за счет колебания цен на ценные бумаги).
Деловой спрос на деньги (Мt
)
объединяет в себе первый и второй мотивы; определятся уровнем номинального ВНП (прямо пропорционально).
Спекулятивный спрос на деньги
(Мa
) основан на обратной зависимости между номинальной ставкой процента и курсом облигаций.
Общий спрос на деньги
(Мd
) равен сумме делового и спекулятивного спроса на деньги и зависит от номинальной ставки процента и объема номинального ВНП (рис. 31.1).

Рис. 31.1. Деловой спрос, спрос на финансовые активы и общий спрос на деньги
31.
Под рынком денег понимают совокупность отношений между банковской системой, создающей всеобщие платежные средства - деньги, и остальными макроэкономическими субъектами, предъявляющими спрос на них. Макроэкономическое понятие «рынок денег» шире «рынка денег» в интерпретации финансистов как рынка краткосрочных кредитов
Рынок денег — сектор или часть рынка долговых капиталов, на котором осуществляются краткосрочные депозитно-долговые операции (сроком до 1 года) и который обусловливает движение оборотных средств предприятий и организаций, краткосрочных средств банков, учреждений, государства и населения.
Рынок денег — это рынок, на котором спрос на деньги и предложение денег определяют процентную ставку или уровень процентных ставок.
Рынок денег — сеть специальных (банковско-финансовых) институтов, которые обеспечивают взаимодействие спроса и предложения на деньги как специфический товар.
Под рынком денег понимают рынок высоколиквидных активов.
Рынок денег имеет сложный механизм функционирования. Его субъектами являются:
• коммерческие банки;
• учетные дома;
• брокерские и дилерские фирмы.
Объектом купли-продажи на рынке денег являются временно свободные денежные средства.
Инструментами денежного рынка являются коммерческие векселя, депозитные сертификаты, банковские акцепты и др.
Ценой "товара" (денег), который продается и покупается на рынке, выступает ссудный процент. Уровень процента на рынке денег является базовым для определения процента на всем рынке ссудных капиталов. С экономической точки зрения, на рынке денег происходит взаимосвязь таких понятий:
• денежная масса;
• доход;
• норма процента.
Основные заемщики: фирмы, кредитно-финансовые институты, государство, население.
32БАНКОВСКАЯ СИСТЕМА:
Функциональная специфика деятельности банков предопределяет необходимость организационно-правового выделения их в определённую самостоятельную, относительно замкнутую структуру, которая называется банковской системой.
Банковская система имеет свое особое назначение, свои специфические черты и функции в экономике, которые не просто повторяют назначение и функции отдельных банков. Возникает банковская система не вследствие механического объединения отдельных банков в случайную совокупность, а строится по заранее предусмотренной концепции, в пределах которой отводится определенное место каждому виду банков и каждому отдельному банку.
Банковская система Украины основана после принятия Верховной Радой Украины в марте 1991 года Закона Украины "Про банки і банківську діяльність".
Банковская система Украины является двухуровневой и состоит из Национального банка Украины и банков разных видов и форм собственности.
Национальный банк Украины является центральным банком, который проводит единую государственную денежно-кредитную политику с целью обеспечения стабильности национальной денежной единицы.
Банки создаются на акционерных или паевых основах юридическими и физическими лицами. Свои функции банки реализуют через выполнение таких операций, как привлечение средств предприятий, учреждений, организаций, населения на депозитные, вкладные счета и недипозитное привлежение средств; кредитование субьектов хозяйственной деяльности и граждан, вложение в ценные бумаги, формирование кассовых остатков и резервов, формирование других активов; кассовое и расчетное обслуживание народного хозяйства, выполнение валютных и других банковских операций.
Банки в своей деяльности руководствуются Конституцией Украини, Законами Украины "Про Національний банк України", "Про банки і банківську діяльність", законодательством Украины про акционерные общества и другие виды хозяйственных обществ, другими законодательными актами Украины, нормативными актами Национального банка Украины и своими статутами.
33
Банк - финансовое предприятие, которое сосредотачивает временно свободные денежные средства (вклады), предоставляет их во временное пользование в виде кредитов (займов, ссуд), посредничает во взаимных платежах и расчетах между предприятиями, учреждениями или отдельными лицами, регулирует денежное обращение в стране, включая выпуск (эмиссию) новых денег.
33Центральный (эмиссионный) банк
в большинстве стран принадлежит государству. Но даже если государство формально не владеет его капиталом (США, Италия, Швейцария) или владеет частично (Бельгия - 50%, Япония - 55%), центральный банк выполняет функции государственного органа. Центральный банк обладает монопольным правом на выпуск в обращение (эмиссию) банкнот - основной составляющей налично-денежной массы. Он хранит официальные золотовалютные резервы, проводит государственную политику, регулируя кредитно-денежную сферу и валютные отношения. Центральный банк участвует в управлении государственным долгом и осуществляет кассово-расчетное обслуживание бюджета государства.
По своему положению в кредитной системе центральный банк играет роль “банка банков”, т. е. хранит обязательные резервы и свободные средства коммерческих банков и других учреждений, предоставляет им ссуды, выступает в качестве “кредитора последней инстанции”, организует национальную систему взаимозачетов денежных обязательств либо непосредственно через свои отделения, либо через специальные расчетные палаты.
34
Коммерческие банки
- основное звено кредитной системы. Они выполняют практически все виды банковских операций. Исторически сложившимися функциями коммерческих банков являются прием вкладов на текущие счета, краткосрочное кредитование промышленных и торговых предприятий, осуществление расчетов между ними. В современных условиях коммерческим банкам удалось существенно расширить прием срочных и сберегательных вкладов, средне- и долгосрочное кредитование, создать систему кредитования населения (потребительского кредита). Инвестиционные операции коммерческих банков связанны в основном с куплей-продажей ценных бумаг правительства и местных органов власти/
Коммерческие банки выполняют расчетно-комиссионные и торгово-комиссионные операции, занимаются факторингом, лизингом, активно расширяют зарубежную филиальную сеть и участвуют в многонациональных консорциумах (банковских синдикатах).
Инвестиционные банки
специализируются на эмиссионно-учредительных операциях. По поручению предприятий о государства, нуждающихся в долгосрочных вложениях и прибегающих к выпуску акций и облигаций, инвестиционные банки берут на себя определение размера, условий, срока эмиссии, выбор типа ценных бумаг, а также обязанности по их размещению и организации вторичного обращения. Учреждения этого типа гарантируют покупку выпущенных ценных бумаг, приобретая и продавая их за свой счет или организуя для этого банковские синдикаты, предоставляют покупателям акций и облигаций ссуды. Хотя доля инвестиционных банков в активах кредитной системы сравнительно невелика, они благодаря их информированности и учредительским связям играют в экономике важнейшую роль.
Сберегательные банки
- это, как правило, небольшие кредитные учреждения местного значения, которые объединяются в национальные ассоциации и обычно контролируются государством, а нередко и принадлежат ему. Пассивные операции сберегательных банков включают прием вкладов от населения на текущие и другие счета. Активные операции представлены потребительским и ипотечным кредитом, банковскими ссудами, покупкой частных и государственных ценных бумаг. Ипотечные банки
- учреждения, предоставляющие долгосрочный кредит под залог недвижимости (земли, зданий, сооружений). Пассивные операции этих банков состоят в выпуске ипотечных облигаций.
Банки потребительского кредита -
тип банков, которые функционируют в основном, за счет кредитов, полученных в коммерческих банках, и выдачи краткосрочных и среднесрочных ссуд на приобретение дорогостоящих товаров длительного пользования и т.д.
К банковским услугам относятся:
- кредитование юридических и физических лиц;
- операции по вкладам;
- валютные операции (только уполномоченные банки);
- операции с драгоценными металлами;
- выход на фондовый рынок и Forex;
- ведение расчётных счётов хозяйствующих экономических субъектов;
- обмен испорченных денежных (рваные, обожжённые, постиранные купюры) знаков на неиспорченные;
- ипотека;
- автокредитование;
- и др.
35
Рынок ценных бумаг (РЦБ) — это рынок, на котором в качестве товаров
выступают ценные бумаги. Главная функция РЦБ состоит в мобилизации
финансовых ресурсов общества для целей организации и расширения масштабов
хозяйственной деятельности.
| Функции рынка ценных бумаг
Рынок ценных бумаг имеет ряд функций, которые условно можно разделить на две группы: обще рыночные функции, присущие обычно каждому рынку, и специфические функции, которые отличают его от других рынков. К общерыночным функциям относятся такие, как:
- коммерческая функция,
т.е. функция получения прибыли от операции на данном рынке;
- ценовая функция
, т.е. рынок обеспечивает процесс складывания рыночных цен, их постоянное движение и т.д.;
- информационная функция,
т.е. рынок производит и доводит до своих участников рыночную информацию об объектах торговли и ее участниках.
- регулирующая функция,
т.е. рынок создает правила торговли и участия в ней, порядок разрешения споров между участниками, устанавливает приоритеты, органы контроля или даже управления и т.д.
К специфическим функциям рынка ценных бумаг можно отнести следующие:
- перераспределительную функцию;
- функцию страхования ценовых и финансовых рисков.
Перераспределительная функция условно может быть разбита на три подфункции:
- перераспределение денежных средств между отраслями и сферами рыночной деятельности;
- перевод сбережений, прежде всего населения, из непроизводительной в производительную форму;
- финансирование дефицита государственного бюджета на неинфляционной основе, то есть без выпуска в обращение дополнительных денежных средств.
В целом же функционирование капитала в форме ценных бумаг способствует формированию эффективной и рациональной экономики, поскольку он стимулирует мобилизацию свободных денежных ресурсов в интересах производства и их распределение в соответствии с потребностями рынка. Ценные бумаги абсорбируют временно свободный капитал, где бы он ни находился, и через куплю – продажу помогают его “перебросить” в необходимом направлении. В практике рыночной экономики это ведет к тому, что капитал размещается главным образом в тех производствах, которые действительно необходимы обществу. В результате возникает оптимальная структура общественного производства (причем не только по размещению капитала, но и по его размерам в отдельных отраслях производства) и создается бездефицитная экономика, то есть общественное производство в основном соответствует общественному спросу. Это важное достоинство рыночной экономики.
|
36
КРЕДИТНО-ДЕНЕЖНАЯ ПОЛИТИКА - целенаправленные действия государства (центрального банка) по регулированию количества денег в обращении.
Направления предполагает крупные капиталовложения на переоборудование промышленных и сельскохозяйственных предприятий и создание производственных структур, чтобы уменьшить зависимость страны в сфере энергетики, повысить производительность труда на предприятиях, удовлетворить нужды населения в целом, а также обеспечить подготовку специалистов (инженеров, техников) и наладить разработки научно-технических исследований.»[4] Для этого также требуются значительные оборотные капиталы, необходимые, например, для выдачи заработной платы, для закупок сырья и энергии.
Выделяют следующие цели:
1. Экономические цели.
После длительного периода экономического роста и полной занятости цели государства в области экономики имеют скорее защитный характер и направлены на поддержание экономической активности и сокращение безработицы. Стремление сохранить и по возможности увеличить производство, а также поддержать достигнутый уровень жизни соответствует современным задачам.
2. Монетарные цели контроля над кредитом.
Цель государственных органов в области денежной политики можно сформулировать кратко: экономический рост без инфляции. Важно, чтобы ресурсы, используемые для развития экономики, были застрахованы от потерь; в частности, кредитование с целью увеличения богатства не должно повлечь за собой повышение цен или истощение валютных ресурсов. Здесь проявляется сдерживающая роль внутреннего и внешнего аспектов кредитной политики.
Стабильность внутренних цен необходима для нормального функционирования экономики. Общее понижение цен повлекло бы за собой замедление темпов производства и тем самым препятствовало бы экономическому развитию;
3. Согласование целей экономической и денежной политики.
При оценке эффективности мер, принимаемых в кредитной сфере, необходимо помнить, что они лишь дополняют экономическую, финансовую и социальную политику правительства. Хотя кредитная политика, даже хорошо продуманная и эффективно осуществляемая, не всегда позволяет предусмотреть и полностью избежать инфляционные напряжения, она должна по меньшей мере смягчать последствия инфляции, препятствовать злоупотреблениям, связанным с накоплением иностранной валюты, созданию товарных запасов в спекулятивных целях и в целом предотвращать опасность чрезмерного избытка денег.
Прямые методы ограничение динамики кредитования Данный вариант мер заключается в том, что в некоторых странах (в Англии, Франции, Швейцарии, Нидерландах) ЦБ обладает правом ограничивать степень роста кредитных вложений деловых банков в небанковском секторе. С этой целью вводится процентная норма расширения кредитных операций за определенный отрезок времени. Если условия не выполняются, ЦБ применяет санкции: банки могут быть обязаны выплатить штрафные проценты или '(как это принято в Швейцарии) перевести на беспроцентный счет ЦБ сумму, равную размеру превышенного кредита.
Косвенные методы
· Учетная (дисконтная) политика Данный вид операций относится к давно используемым методам регулирования. ЦБ выступает в роли кредитора по отношению к деловым банкам. Средства предоставляются при условии переучета векселей банков и под залог их ценных бумаг. Такие полученные в центральном кредитном звене средства называются редисконтными или ломбардными кредитами. ЦБ имеет право манипулировать ставкой процента, по которой он выдает банкам кредиты. Возможность установления "цены" кредита выступает как метод влияния на кредитную систему.
· Операции на открытом рынке рибегая к данному виду регулирования, ЦБ осуществляет куплю и продажу ценных бумаг на открытом рынке (например, на бирже). За счет их продажи банк, по сути, изымает избыточные балансовые резервы коммерческих банков. В макроэкономическом плане это означает изъятие из оборота определенной массы денежных средств. Покупка центральным банком ценных бумаг способствует образованию у коммерческих банков дополнительных балансовых резервов. Денежная масса в обращении возрастает. В итоге расширяются возможности для кредитных операций деловых банков.
· Политика минимальных резервов Согласно сложившимся в мире правилам минимальные резервы хранятся в ЦБ в форме бессрочных вкладов. Верхней границы их не существует. Данные средства не лежат замороженными. Ими могут пользоваться разные банки на протяжении длительного времени, но при этом в распоряжении ЦБ должна оставаться определенная сумма так называемого минимального резерва, необходимая для работы делового банка в течение определенного периода (как правило, одного месяца). Если банк не выполняет это требование, он выплачивает штрафные проценты.
· Добровольные соглашения Совокупность регулирующих мер центрального банка дополняется системой так называемых добровольных соглашений, заключаемых между ЦБ и деловыми банками. Такие договоры особенно удобны в том случае, когда ЦБ должен принимать оперативные решения, действовать быстро и без особого бюрократизма.
37
Дж. М. Кейнс утверждал, что рыночный механизм сам по себе не может обеспечить полное использование ресурсов общества. Для нормального функционирования экономики необходимо вмешательство государства, проведение активной бюджетно-финансовой и кредитно-денежной политики. Поэтому говорят о кейнсианской революции в экономической науке.
В основе кейнсианской макроэкономической теории лежит идея государственного регулирования совокупного спроса. Путем стимулирования государственных и частных инвестиций, расширения системы государственных заказов, увеличения расходов на социальные нужды предполагалось воздействовать на динамику реального производства. Кейнс показал, что именно инвестиции, а не сбережения, способствуют росту производства, который вызывает последующий рост доходов и новых сбережений. Это называется эффектом мультипликатора. Одним из средств расширения платежеспособного спроса и поддержания занятости Кейнс в отличие от своих предшественников считал политику повышения номинальной заработной платы. Основой кейнсианской модели экономического развития служила система государственных финансов: увеличение государственных расходов, прогрессивный рост налогообложения, бюджетные дефициты.
37-39
У монетаристов и кейнсианцев наблюдается сходство взглядов и мнений
по многим вопросам:
1. Методологической основой обеих концепций является теория общего равновесного анализа;
2. Главное место в их исследованиях макроэкономических явлений отводится совокупному спросу;
3. В обеих моделях деньги воздействуют на чистый национальный продукт (ЧНП) в одинаковом направлении – расширение денежного предложения увеличивает ЧНП, и наоборот;
4. В качестве основных целей государственной политики кейнсианцы и монетаристы рассматривают борьбу с инфляцией и безработицей.
Методы проведения денежно-кредитной политики в рамках общей экономической политики
.
В кейнсианской концепции государственного регулирования экономики денежно-кредитная политика занимает второе место. Главная роль в создании совокупного эффективного спроса отводится налогово-бюджетной политике. Деньги в кейнсианском уравнении присутствуют постольку, поскольку каждый компонент совокупного спроса имеет денежное выражение. Изменение в предложении денег, по мнению кейнсианцев, влияет на совокупный спрос через сложную цепь причинно-следственных связей. Большое значение, при этом, имеет политическое решение о проведении денежно-кредитной политики в одной из двух основных форм: политики дорогих денег и политики дешевых денег.
Согласно кейнсианской концепции выбор того или иного вида денежно-кредитной политики определяется тем какая из двух основных причин макроэкономической нестабильности является наиболее существенной в данный момент: рост инфляции или увеличение безработицы. Конфликт макроэкономических целей (кривая Филлипса) определяет выбор между политикой дорогих денег и политикой дешевых денег.
Политика дорогих денег
имеет в качестве основной цели ограничение совокупного спроса и снижение уровня инфляции. Это достигается среди прочих мер, прежде всего, повышением учетной ставки. Политика дорогих денег понижает доступность кредита и увеличивает его издержки, что приводит к сокращению денежного предложения, к сокращению спроса на инвестиции, к сокращению доходов и к снижению уровня инфляции со стороны спроса.
Политика
дешевых денег
направлена на увеличение совокупного спроса и сокращение уровня безработицы. Понижение учетной ставки делает кредит дешевым и легкодоступным, что в конечном итоге увеличивает предложение денег, увеличивает спрос на инвестиции, растет занятость населения, растут доходы населения, увеличивается совокупный спрос.
По мнению кейнсианцев, наиболее существенное влияние денежно-кредитная политика оказывает, на такие составляющие совокупного спроса, как инвестиции (Ig) и чистый экспорт (Хп). Изменения в инвестициях через эффект мультипликатора влияют на потребление домашних хозяйств (С). Величина государственных расходов (G) непосредственно зависит от проводимой в стране налогово-бюджетной политики.
На проведение внутренней денежно-кредитной политики сильное влияние оказывает открытость экономики и усложняющиеся международные экономические связи. На величину чистого экспорта (Хп) оказывают непосредственное воздействие изменения учетной ставки и уровня цен в стране.
Влияние политики дорогих денег на совокупный спрос усиливается сужением чистого экспорта. Аналогичным образом политика дешевых денег усиливается сопутствующим расширением чистого экспорта, которое в свою очередь, ускоряется повышением учетной ставки внутри страны. Таким образом, при определенных обстоятельствах возникает альтернатива – проводить денежно-кредитную политику в целях экономической стабилизации в стране или же для устранения дисбаланса в международных экономических сделках.
По мнению кейнсианцев последствия проведения денежно-кредитной политики невозможно предсказать и оценить однозначно. Влияние денежно-кредитной политики на уровень производства, цены и занятость опосредовано таким большим количеством факторов, плохо поддающихся контролю и управлению, что делает ее малоэффективной.
Монетаристы убеждены, что денежно-кредитная политика определяет уровень экономической активности в стране в гораздо большей степени, чем считают кейнсианцы. По мнению монетаристов, денежное предложение является единственно важным фактором, оказывающим воздействие на уровень производства, цены и занятость.
Они предлагают отличную от кейнсианской модель причинно-следственных связей между предложением денег и уровнем экономической активности. Так как скорость обращения денег у монетаристов стабильна в том смысле, что ее колебания невелики, и она не изменяется в ответ на изменение денежного предложения, то само денежное предложение оказывает предсказуемое воздействие на уровень совокупного спроса (номинального ВНП = РQ).
Монетаристы выступили с резкой критикой кейнсианских методов прямого воздействия государства на объем и структуру совокупного спроса через бюджет посредством манипуляций с расходами и налогами. Представители монетаризма отрицают эффективность налогово-бюджетной политики в перераспределении ресурсов и стабилизации экономики.
С точки зрения монетаристов, предлагаемая кейнсианцами политика дорогих и дешевых денег – вредна и бессмысленна. Конфликт макроэкономических целей не поддается разрешению путем использования мер денежно-кредитной и бюджетной политики
Главная причина макроэкономической неустойчивости, как утверждают монетаристы, лежит в сфере денежных процессов. Инфляция, безработица, спад производства не характерны для рыночной системы как таковой, а проистекают от неправильной денежной политики, осуществляемой государством.
Проведение эффективной финансовой политики согласно монетаристским рекомендациям предполагает:
1. Отказ от произвольных изменений в налоговой или денежно-кредитной политике ради поставленных экономико-политических целей. Экономика, по их мнению, крайне сложная и еще недостаточно изученная система, поэтому государственное вмешательство, направленное на устранение различных кризисных явлений вызывает обратный эффект, т.е. вносит еще больший хаос;
2. Отказ от бюджетной политики в кейнсианском понимании (как инструмента антициклической политики) и замена ее другой политикой, предполагающей , что государство будет играть роль “служащего”, который будет планировать расходы и налоги без необходимости обеспечивать экономическую стабильность;
3. Главным инструментом по поддержанию долгосрочной стабильности должна стать денежно-кредитная политика, основывающаяся на долгосрочном, стабильном росте денежного предложения в соответствии с монетарным правилом. Монетарное
правило
означает ежегодное расширение денежного предложения в том же темпе, что и ежегодный темп роста реального ВВП
4. Законодательное установление монетарного правила с учетом многолетних тенденций в динамике ключевых экономических показателей.
Дискуссии между кейнсианцами и монетаристами об экономической роли государства в рыночной экономике позволили переосмыслить некоторые наиболее фундаментальные аспекты макроэкономической теории. Сегодня очень немногие экономисты придерживаются крайнего кейнсианского взгляда, согласно которому “деньги не имеют значения” или противоположной монетаристской крайности “только деньги имеют значение”. Современная денежно-кредитная политика использует все положительное, что есть в этих двух концепциях.
40 Бюджетно-налоговая политика государства - важное направление его финансовой политики, которое играет большую роль в регулирование экономики посредством налогов и политики доходов и расходов
Бюджетно-налоговая политика – совокупность мер государственного воздействия в области налогообложения и регулирования структуры государственных расходов (фискальная политика) и в области регулирования бюджета (бюджетная политика).
Фискальная политика государства может осуществляться на основе использования различных методов и соответственно принимать разные формы.

41) Дискреционная и недискреционная бюджетно-налоговая политика.
Выделяют две основные формы бюджетно-налогового регулирования. Это дискреционное бюджетно-налоговое регулирование (свобода действий по обстоятельствам) и использование встроенных стабилизаторов (автоматических бюджетно–налоговых регуляторов).
Дискреционное регулирование – это целенаправленное изменение величин государственных расходов, налогов и сальдо государственного бюджета в результате специальных решений парламента и правительства, направленных на изменение уровня занятости, уровня цен, объема производства и состояния платежного баланса. Недостатком дискреционного регулирования является то, что оно имеет большой временной лаг (эффект опаздывания) из-за продолжительной парламентской процедуры принятия решений.
Недискреционное регулирование - автоматическое увеличение налоговых поступлений, сокращение госрасходов в условиях подъема и, наоборот, автоматическое сокращение налоговых поступлений, увеличение госрасходов во время спада без изменений действующего законодательства - только за счет существования системы встроенных в экономическую систему стабилизаторов.
Примерами встроенных стабилизаторов являются:
- подоходные налоги (пропорциональные и прогрессивные);
- государственные трансферты (пособия малоимущим, пособия безработным);
- государственные расходы по организации общественных работ;
- система участия в прибылях работников.
Таким образом, встроенные стабилизаторы автоматически увеличивают дефицит государственного бюджета во время кризиса и безработицы, и уменьшают его во время инфляции и подъема. Они не имеют временного лага. Однако, недискреционное регулирование слабее, чем дискреционное.
42) Точка зрения кейнсианцев на бюджетно-налоговую политику.
Бюджетно-налоговая (фискальная) политика – это методы законодательной и исполнительной власти по манипулированию государственными расходами и доходами для достижения определенного уровня занятости, цен и объема общественного продукта.
Кейнсианцы рассматривают использование бюджетно-налогового регулирования в краткосрочных (стабилизационных) целях экономического роста. Теорию и практику краткосрочного бюджетно-налогового регулирования разработал английский экономист Кейнс. Также кейнсианцы считают, что такое регулирование является сильным, предсказуемым и имеет простой механизм воздействия.
43) Точка зрения монетаристов на бюджетно-налоговую политику.
Бюджетно-налоговая (фискальная) политика – это методы законодательной и исполнительной власти по манипулированию государственными расходами и доходами для достижения определенного уровня занятости, цен и объема общественного продукта.
Монетаристы являются сторонниками рыночных методов регулирования и рассматривают использование бюджетно-налогового регулирования в долгосрочных целях экономического роста.
44) Сравнительный анализ кейнсианской и монетаристской бюджетно-налоговой политики.
Бюджетно-налоговая (фискальная) политика – это методы законодательной и исполнительной власти по манипулированию государственными расходами и доходами для достижения определенного уровня занятости, цен и объема общественного продукта.
Бюджетно-налоговое регулирование можно использовать в долгосрочных и краткосрочных (стабилизационных) целях экономического роста.
Теорию и практику краткосрочного бюджетно-налогового регулирования разработал английский экономист Кейнс. Противниками краткосрочного бюджетно-налогового регулирования являются сторонники рыночных методов регулирования, например,- монетаристы.
Кейнсианцы считают, что такое регулирование является сильным, предсказуемым и имеет простой механизм воздействия.
45) Госбюджет как основное звено финансовой системы. Дефицит госбюджета, его финансирование.
Государственный бюджет — смета доходов и расходов государства на определенный период, обычно на год, составленная с указанием источников поступления доходов и направлений расходования средств; финансовый план государства.
Под профицитом госбюджета понимается превышение доходов над расходами. А под дефицитом бюджета, наоборот, превышение расходов над доходами.
Бюджетно-налоговое регулирование заключается в манипулировании дефицитом государственного бюджета. Дефицит государственного бюджета, который возникает в связи с разными фазами экономического цикла, называется циклическим дефицитом государственного бюджета. Если этот дефицит используется в качестве краткосрочного регулятора, то он называется активным. Дефицит государственного бюджета, который может существовать в условиях полного использования ресурсов (полной занятости) называется структурным дефицитом государственного бюджета. Фактический дефицит государственного бюджета – это сумма структурного и циклического дефицитов.
Дефицит государственного бюджета может быть профинансирован
тремя способами:
а) путем дополнительной эмиссии денег;
б) за счет кредитов ЦБ;
в) посредством заимствований у населения и фирм.
Каждый из этих способов имеет свои плюсы и минусы. Преимущества первых двух заключаются в том, что их использование дает возможность избежать вытеснения частных инвестиций государственными, поэтому расходы бизнеса и личное потребление не будут уменьшаться. Однако их применение чревато увеличением инфляции.
В результате государственных займов формируется государственный долг . Он может принимать форму внутреннего и внешнего долга. Обычно займы размещаются в первую очередь внутри страны, но часть из них может быть размещена и за границей. Та часть, которую государство занимает за рубежом для покрытия дефицита государственного бюджета, будет, таким образом, входить как в государственный, так и в иностранный долг.Внешний долг ложится тяжелым грузом на страну — надо отдавать ценные товары, оказывать услуги, чтобы оплатить процент и погасить долг. Кроме того, иногда кредитор ставит определенные условия.
46) Налоги: сущность, виды, функции в рыночной экономике.
Налоги - это обязательные индивидуально-безвозмездные денежные платежи, взимаемые государством с юридических и физических лиц на основе специального налогового законодательства.
Налоги выполняют следующие функции:
1.Фискальная функция;
2.Регулирующая функция;
3. Распределительная функция;
4. Стимулирующая функция;
5. Контрольная функция;
6. Социальная функция.
В практике налогообложения используются различные виды налогов.
1. По способу платежа различают прямые и косвенные налоги
Прямые налоги платятся субъектами налога непосредственно и прямо пропорциональны платежеспособности. Это подоходный налог с юридических и физических лиц, налог на операции с ценными бумагами, налог на землю и др.
При косвенном налогообложении субъект налога и его носитель обычно не совпадают. Косвенные налоги взимаются через надбавку к цене и являются налогами на потребителей.
2. Налоги по их использованию подразделяются на общие и специальные (целевые). Общие налоги поступают в бюджет государства для финансирования общегосударственных мероприятий. Специальные налоги имеют строго определенное назначение, например, налоги на реализацию горюче-смазочных материалов поступают в дорожные фонды и предназначены для строительства, реконструкции и текущего ремонта дорог.
3. В зависимости от того, в распоряжение какого органа поступает налог, различают федеральные налоги, региональные налоги субъектов федерации и местные налоги.
47) Модель
IS
-
LM
.
Модель IS-LM, или как ее еще называют модель Хикса - Хансена, является моделью взаимосвязи товарных и денежных рынков. То есть она показывает одновременно равновесие на рынке денег и на рынке товаров.
График IS показывает всевозможные равновесные объемы общественного продукта при разных уровнях банковских процентных ставок. Сдвиг графика IS отражают меры бюджетно-налогового регулирования: изменение государственных расходов и изменение налогов.
График LM показывает всевозможные равновесные процентные ставки при разных объемах общественной продукции. Сдвиг LM связан с изменением кредитно - денежной политики.
48) Экономические функции государства в рыночной экономике.
Некоторые экономические задачи правительства имеют целью поддержать и облегчать функционирование рыночной системы. К их числу можно отнести:
1. Обеспечение правовой базы и общественной атмосферы, способствующих эффективному функционированию рыночной экономики.
2. Защита конкуренции.
3. Перераспределение доходов и богатства.
4. Корректирование распределения ресурсов с целью изменения структуры национального продукта.
5. Стабилизация экономики, контроль за уровнем занятости и инфляции, стимулирование экономического роста.
49) Возрастание роли государства в трансформационной экономике. Рыночные реформы.
В период проведения рыночных реформ оказалась подорванной экономика всех видов кооперации (сельскохозяйственной, потребительской и др.). Государство должно использовать финансовую систему для поддержки кооперации, ее укрепления и развития, включения деятельности кооперативных предприятий в общегосударственные процессы.
Финансовые отношения между государством и кооперативными организациями регулируются с помощью экономических рычагов — системы налогообложения, предоставления различного рода экономических льгот, системы заказов на продукцию и услуги, заключения договоров.
Созданные в условиях социализма различные общественные организации в сфере нематериального производства (учреждения культуры, организации спорта, организации информационной службы, религиозные и др.) сохраняются в условиях перехода к рынку и при рынке. Каждая из этих организаций имеет свой бюджет, формируемый либо независимо от государства (за счет членских взносов, пожертвований, доходов от побочной предпринимательской деятельности), либо с привлечением средств государственных и кооперативных организаций на безвозмездной и паевой основе. Финансовые отношения государства с общественными организациями возможны и на двусторонней основе. Так, бюджетное финансирование может сочетаться с системой налогообложения, а средства общественных организаций могут вкладываться на добровольных началах в развитие государственного сектора.
Существует широкий спектр финансовых отношений между государством и населением. Это финансовые отношения прежде всего по поводу получения различного рода выплат (пенсий, пособий, стипендий), а также предоставления льгот из общественных фондов народного потребления, в частности выплат средств на образование, медицинское обслуживание и др.
50) Экономический рост и его типы. Факторы экономического роста.
Экономический рост
– это долговременная тенденция увеличения реального объема производства в экономике.
Дискуссии
об экономическом росте:
1) Является ли экономический рост главной экономической целью?
Кейнсианцы считают, что цели должны быть краткосрочные.
2) Какими должны быть темпы экономического роста?
Экономический рост бывает экстенсивный и интенсивный
. Экстенсивный экономический рост происходит за счет привлечения дополнительных ресурсов. При этом не меняется средняя производительность труда в обществе. Интенсивный экономический рост связан с привлечением более совершенных факторов производства (технологий и организаций). Однако не бывает чисто экстенсивного или интенсивного роста, но бывает преобладание одного из них.
Факторы
экономического роста:
А) Факторы роста со стороны совокупного спроса.
y= C + G + I + X n
C – Потребительские расходы (самые стабильные);
I – Инвестиции (менее стабильные чем потребительские расходы);
G – Государственные расходы (зависят от государственной политики);
X n – Чистый экспорт (зависит от валютного курса и спроса за рубежом).
Б) Факторы роста со стороны совокупного предложения. Это количество и качество ресурсов, и улучшение их использования. Эти факторы разделяются на экстенсивные и интенсивные.
Различают понятия экономического роста и экономического развития. Экономическое развитие включают экономический рост, который приводит к росту благосостояния людей и не приводит к экологическим проблемам.
51)Кейнсианские модели экономического роста.
Кейнсианские модели экономического роста являются однофакторными моделями, так как представители этого направления считали, что рост национального дохода определяется только одним фактором — нормой накопления капитала. Вторая предпосылка этих моделей сводится к тому, что сама по себе капиталоемкость не зависит от соотношения вклада производственных факторов и определяется лишь техническими условиями производства, то есть нейтральным техническим прогрессом.
Модель Харрода
. Данная модель основана на двух формулах.
Первая использует тождество инвестиций и сбережений (I=S) и принимает вид:
,
где C — капиталоемкость ( );
G — темп роста национального дохода (G );
s — норма сбережений, то есть доля сбережений в национальном доходе (s = S/Y).
Второе уравнение:
где s — норма сбережений, являющаяся заданной величиной и относящаяся к прошлому периоду;
Gw
— необходимый, точнее гарантированный темп роста, который делает величину накопления равной величине сбережения;
Cr
— капитальный коэффициент, требуемая величина капитала, которая необходима для создания 1% прироста национального дохода.
Для достижения динамического равновесия необходимо государственное вмешательство, поскольку постоянный гарантированный темп роста, по мнению кейнсианцев, не достигается автоматически.
Модель Домара
. В отличие от модели Харрода, модель Домара основывается на равенстве денежного дохода (спроса) производственным мощностям (предложение), при условии полной занятости. Прирост производственных мощностей рассматривается как функция инвестиций. Другие факторы, влияющие на изменение инвестиций (величина рабочей силы, НТП), отражаются в показателе «производительность инвестиций».
Назначение модели заключается в том, чтобы определить величину инвестиций и ее рост, и тем самым сделать прирост дохода равным приросту производственных мощностей.
Модель Домара представляет собой уравнение: .
отсюда .
, где:
I — величина ежегодных чистых капиталовложений;
— ежегодный прирост инвестиций;
— темп прироста капиталовложений;
1/a — мультипликатор (а — доля сбережений в национальном доходе, т.е. средняя склонность к сбережениям;
b — потенциальная средняя производительность инвестиций).
52)Неоклассические модели экономического роста.
Особенности:
-многофакторные (зачастую 2);
-анализируют факторы со стороны совокупного предложения (закон Сейа: предложение создает свой спрос);
-в основе неоклассических моделей лежит производственная функция на уровне макроэкономики.
Неоклассическая модель основана на производственной функции Кобба—Дугласа. Производственная функция предложена в виде следующей зависимости:
.
где Y — объем производства, K — капитал, L — труд, α и β — коэффициенты производственной функции, А — параметр производства (характеризующий технологию производства).
Данная функция позволяет оценить вклад различных факторов производства в увеличении национального дохода.
На основе статистических данных о динамике основного капитала, отработанных человеко-часов и объема продукции обрабатывающей промышленности США за 1899—1922 гг. Ч. Кобб и П. Дуглас определили следующие параметры производственной функции: α = 0,25, β = 0,75, A = 1,01.Тогда соотношение означает, что увеличение затрат капитала на 1% вызывает приращение объема производства на 0.25; увеличение трудозатрат на 1% увеличивает объем выпуска на 0,75.
|