|
Рациональный штандорт промышленного предприятия В. Лаунхардта
Главное открытие немецкого ученого В. Лаунхардта (W. Launhardt), основная работа которого была опубликована в 1882 г., – метод нахождения пункта оптимального размещения отдельного промышленного предприятия относительно источников сырья и рынков сбыта продукции.
Решающим фактором размещения производства у В. Лаунхардта, так же как и у Й.Тюнена, являются транспортные издержки. Производственные затраты принимаются равными для всех точек исследуемой территории. Точка оптимального размещения предприятия находится в зависимости от весовых соотношений перевозимых грузов и расстояний. Для решения этой задачи В. Лаунхардт разработал метод весового (или локационного) треугольника.
   
Рис. 2 Локационный треугольник В. Лаунхардта
Пусть требуется найти пункт размещения нового металлургического завода. Известны пункт добычи железной руды – точка А (рис. 2), пункт добычи угля – точка В и пункт потребления металла – точка С. Транспортный тариф равен t (на 1 т.км). Расход руды на выплавку 1т металла равен а, расход угля – b. Известны также расстояния между пунктами (стороны локационного треугольника): АС = S1
; BC=S2
; AB=S3
.
Возможным пунктом размещения металлургического завода может быть в принципе каждая из трех точек размещения источников руды и угля и потребителя металла. В этих случаях суммарные затраты, связанные с перевозкой всех необходимых грузов для потребления 1 т металла, будут равны:
(bS3
+ S1
)t – при размещении завода в точке А;
(aS3
+ S2
)t – при размещении завода в точке В;
(aS1
+ bS2
)t – при размещении завода в точке С.
Наилучшим пунктом размещения завода из рассмотренных трех будет тот, в котором транспортные затраты минимальны. Однако искомый пункт размещения может не совпадать ни с одной из вершин локационного треугольника, а находиться внутри него в некоторой точке М.
Расстояния от внутренней точки M до вершин треугольника составляют:
AM = г1
, ВМ = г2
, СМ = г3
.
Тогда транспортные издержки при размещении металлургического завода в точке М будут равны
Т= (ar1
+br2
+r3
)t.
Выполнение требования Т→min дает точку оптимального местоположения предприятия.
Забиваем Сайты В ТОП КУВАЛДОЙ - Уникальные возможности от SeoHammer
Каждая ссылка анализируется по трем пакетам оценки: SEO, Трафик и SMM.
SeoHammer делает продвижение сайта прозрачным и простым занятием.
Ссылки, вечные ссылки, статьи, упоминания, пресс-релизы - используйте по максимуму потенциал SeoHammer для продвижения вашего сайта.
Что умеет делать SeoHammer
— Продвижение в один клик, интеллектуальный подбор запросов, покупка самых лучших ссылок с высокой степенью качества у лучших бирж ссылок.
— Регулярная проверка качества ссылок по более чем 100 показателям и ежедневный пересчет показателей качества проекта.
— Все известные форматы ссылок: арендные ссылки, вечные ссылки, публикации (упоминания, мнения, отзывы, статьи, пресс-релизы).
— SeoHammer покажет, где рост или падение, а также запросы, на которые нужно обратить внимание.
SeoHammer еще предоставляет технологию Буст, она ускоряет продвижение в десятки раз,
а первые результаты появляются уже в течение первых 7 дней.
Зарегистрироваться и Начать продвижение
Данная задача имеет геометрическое и механическое решения.
Геометрический метод нахождения точки размещения состоит в том, что на каждой из сторон локационного треугольника строится треугольник, подобный весовому (стороны которого относятся как а:b:1). Затем вокруг построенных таким образом треугольников описываются окружности, точка пересечения которых и является точкой минимума транспортных издержек. Этот метод – для случая, когда соотношения расстояний S1
, S2
, S3
соответствуют свойству треугольника (одна сторона меньше суммы двух других). В противном случае (например, когда S1
>S2
+S3
) точка минимума транспортных затрат будет совпадать с одной из вершин локационного треугольника.
Механическое решение рассматриваемой задачи основывается на аналогии с методом нахождения точки равновесия сил. При этом веса руды, угля, металла выступают в качестве сил, с которыми притягивают производство соответствующие вершины локационного треугольника. Искомая точка является точкой равновесия трех связанных нитей, проходящих через вершины локационного треугольника. При этом к концам нитей подвешены грузы (Qa
, Qb
, Qc
), пропорциональные а, b, 1. Весовой треугольник В. Лаунхардта – одна из первых в экономической науке физических моделей, используемых для решения теоретических и практических задач.
Изложенный метод нахождения оптимального размещения предприятия применим и для большего числа точек (видов сырья) при условии, что они образуют выпуклый многоугольник.
Теория промышленного штандорта А. Вебера
Основной труд немецкого экономиста и социолога А. Вебера (A.Weber) "О размещении промышленности: чистая теория штандорта" был опубликован в 1909 г. А. Вебер поставил перед собой задачу создать общую "чистую" теорию размещения производства на основе рассмотрения изолированного предприятия. Он делает существенный шаг вперед по сравнению с Й.Тюненом и В.Лаунхардтом, введя в теоретический анализ новые факторы размещения производства в дополнение к транспортным издержкам и ставя более общую оптимизационную задачу: минимизацию общих издержек производства, а не только транспортных.
А. Вебер создал подробную классификацию факторов размещения по их влиянию, степени общности и проявлениям. Фактором размещения он называет экономическую выгоду, "которая выявляется для хозяйственной деятельности в зависимости от места, где осуществляется эта деятельность. Эта выгода заключается в сокращении издержек по производству и сбыту определенного промышленного продукта и означает, следовательно, возможность изготовлять данный продукт водном каком-либо месте с меньшими издержками, чем в другом месте".
Сервис онлайн-записи на собственном Telegram-боте
Попробуйте сервис онлайн-записи VisitTime на основе вашего собственного Telegram-бота:
— Разгрузит мастера, специалиста или компанию;
— Позволит гибко управлять расписанием и загрузкой;
— Разошлет оповещения о новых услугах или акциях;
— Позволит принять оплату на карту/кошелек/счет;
— Позволит записываться на групповые и персональные посещения;
— Поможет получить от клиента отзывы о визите к вам;
— Включает в себя сервис чаевых.
Для новых пользователей первый месяц бесплатно.
Зарегистрироваться в сервисе
В результате отсеивания элементов производственных издержек, не зависящих от местоположения, А. Вебер оставляет три фактора: издержки на сырые материалы; издержки на рабочую силу; транспортные издержки. Однако первый из них – разницу в ценах на используемые материалы – можно, как считает А. Вебер, выразить в различиях транспортных издержек, исключив из самостоятельного анализа. Все же остальные условия, влияющие на размещение предприятия, он рассматривает как некоторую "объединенную агломерационную силу", или третий штандортный фактор. Таким образом, в конечном счете анализируются три фактора: транспорт, рабочая сила, агломерация.
Дальнейший анализ проводится последовательно по трем факторам. Соответственно выделяются и три основные ориентации в размещении: транспортная, рабочая и агломерационная.
Транспортная ориентация.
Согласно А. Веберу, величина транспортных издержек зависит от: 1) веса перевозимых грузов и 2) расстояния перевозки. Под влиянием транспортных издержек промышленное предприятие будет притягиваться к тому пункту, в котором с учетом местоположения потребительского центра и источников сырья имеет место минимальная величина транспортных издержек. Этот пункт есть транспортный штандорт (транспортный пункт). Для нахождения этого пункта используется весовой (локационный) треугольник В. Лаунхардта. При этом важную роль играют два показателя: материальный индекс и штандортный вес.
Например, для производства 100 т продукта требуется 300 т одного материала и 200 т другого. Тогда материальный индекс будет равен (300 + 200)/100 = 5. Штандортный вес составит 300 + 200 + 100 = 600 (т), или 6 в пересчете на 1 т готового продукта, т.е. штандортный вес равен материальному индексу плюс единица. Существуют производства, у которых материальный индекс меньше единицы. Исходя из соотношения указанных показателей легко установить, что производства с высоким материальным индексом тяготеют к пунктам производства сырья и материалов, а производства с небольшим индексом – к центру потребления.
Рабочая ориентация
. Далее, учитывая различия издержек на рабочую силу (рабочих издержек), определяется рабочий пункт, т.е. пункт с наиболее низкими рабочими издержками. Рабочий пункт будет притягивать производство к себе, в результате чего производство либо останется в транспортном пункте, либо переместится в рабочий пункт. Такое перемещение может произойти тогда, когда экономия на рабочих издержках в данном пункте перекрывает перерасход в транспортных затратах из-за перемещения производства.
Для определения промышленного штандорта с учетом совместного влияния факторов транспортных издержек и рабочей силы А. Вебер прибегает к построению так называемых изодапан (isodapane), смысл которых заключается в следующем. Приросты транспортных затрат, обусловленные перемещением производства из транспортного пункта в рабочий, увеличиваются с удалением от транспортного пункта, причем более или менее равномерно в любом направлении удаления. Поэтому в каждом направлении должны существовать такие пункты, для которых приросты транспортных затрат (или издержки отклонения) будут одинаковыми. Линии, соединяющие эти пункты одинаковых издержек отклонения, и называются изодапанами.
Графически (рис.3) такие линии можно представить в виде замкнутых кривых, которые описываются вокруг пункта транспортного минимума (P) и соединяют точки одинаковых отклонений в транспортных издержках при перемещении производства в рабочие пункты (L1
или L2
). При этом изодапана, соединяющая точки, в которых отклонения транспортных издержек равны экономии на рабочих издержках, называется критической изодапаной для данного рабочего пункта.

Рис.3. Транспортный и рабочие пункты и изодапаны
Если данный рабочий пункт лежит внутри своей критической изодапаны, то перемещение производства из транспортного пункта в рабочий пункт выгодно, если вне ее, то перемещение невыгодно. Например, если для рабочего пункта L1
критической изодапаной является A3
то предприятие предпочтительнее разместить в транспортном пункте Р. Если же критической изодапаной является А4
то предприятие целесообразно разместить в рабочем пункте L1
.
Агломерационная ориентация
. Анализ влияния агломерационных факторов на размещение промышленного предприятия А. Вебер строит на основе оценки изменений, вызываемых процессами агломерации, в оптимальной схеме размещения производства, полученной на основе транспортной и рабочей ориентации. Для этого он вводит дополнительное понятие – индекс сбережений. Смысл этого понятия поясним на следующем простом примере.
Пусть различным объемам агломерированной массы (например, годовым выпускам продукции) соответствуют различные удельные издержки:
100 т → 10 руб;
400 т → 6 руб;
1600 т → 4 руб;
6400 т → 3 руб.
Уменьшение удельных издержек при росте объема производства отражает эффект концентрации. Разница в издержках для этих агломерированных масс по сравнению с первым уровнем концентрации производства составит: для 2-го уровня 4 (10 – 6); для 3-го – 6 (10 – 4); для 4-го – 7(10 – 3). Полученные величины (4; 6; 7) и представляют собой те сбережения, которые получаются для различных степеней агломерации и которые повышаются при укрупнении производства. Эти величины А. Вебер и называет индексами сбережений при агломерации.
Проводимый анализ влияния фактора агломерации на размещение производства предполагает отсутствие влияния всех других факторов, кроме транспортного. Исходя из транспортной ориентации отыскиваются отклонения производства от транспортных пунктов, обусловленные действием фактора агломерации. Такие отклонения целесообразны, если издержки отклонения перекрываются сбережениями в агломерационных пунктах.
Для определения места размещения агломерированного производства вокруг транспортных пунктов проводятся изодапаны, среди которых выделяется критическая изодапана, т.е. геометрическое место точек, в котором перерасход транспортных затрат равен экономии от агломерации производства. А. Вебер утверждает, что отклонение изолированных производств от их транспортных пунктов имеет смысл только тогда, когда все отклоняющиеся производства, не выходя за пределы своих критических изодапан, соединятся в каком-то одном месте. Таким местом является площадь общего сегмента, образованного пересекающимися критическими изодапанами, так как только внутри этого сегмента издержки отклонения для каждого производства не превышают той выгоды, которая получается от соединения, т.е. не превышает агломерационных сбережений. Иллюстрацией этого рассуждения является рис.4.
Рис.4. Транспортне пункты и площадь агломерации производств
       
Агломерируемые производства должны размещаться в заштрихованном сегменте. Выбор точки размещения внутри сегмента осуществляется с учетом транспортного фактора. В более общем случае несколько предприятий образуют не один, а несколько сегментов.
А.Вебер рассматривает различные ситуации при осуществлении агломерации, конкретизируя методику нахождения штандорта. Он предлагает формулы агломерационных эффектов.
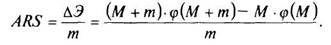
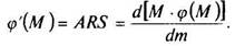
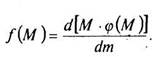
Пусть М – производственная масса какого-либо крупного производства. Величина сбережений от агломерации в расчете на единицу продукта будет выражаться в виде функции сбережения – φ(М). Тогда общая величина сбережений на всю производственную массу будет равна:
Э1
= М · φ(М).
Допустим, что с крупным производством сливается мелкое производство с производственной массой m. Тогда общая сумма сбережения для двух производств составит:
Э2
= (М + m) · φ(М+m).
m:jtg Определим приращение сбережения, получаемого в результате слияния двух производств:
∆Э = Э2
– Э1
= (М + m) · φ(М+m) - М · φ(М)
Слияние мелкого производства с крупным происходит, согласно А. Веберу, в том случае, если величина сбережения от слияния предприятий больше (или по крайней мере не меньше) перерасхода транспортных затрат из-за переноса производства т в пункт производства М, т.е.:
∆Э >
ARSm,
где А – штандортный вес, R – радиус отклонения, S– ставка транспортного тарифа (т • км).
Отсюда можно определить величину наибольшего, экономически допустимого, радиуса отклонения:

Определяем первую производную функции φ:

Обозначим:

Функция ѓ(M), называемая функцией агломерации, служит выражением притягательной силы крупного производства по отношению к рассеянным мелким производствам. Так как ѓ(M) = ARS, то R= ѓ(M)/AS, т.е. максимально допустимый радиус отклонения прямо пропорционален функции агломерации и обратно пропорционален штандортному весу и тарифной ставке.
Выведенная формула агломерации ѓ(M) = ARS включает три фактора, от которых зависит агломерация. Требуется учесть еще одно условие – производственную плотность.
Обозначим через ρ производственную плотность, под которой здесь понимается объем продукции, приходящейся на единицу площади с радиусом R, при равномерном распределении производства на данной площади. Тогда вся производственная масса, притягиваемая к агломерационному центру, будет равна πR2
ρ = М.
Отсюда:

Сравнивая полученную формулу с ранее выведенной, получаем окончательную формулу агломерации:

А. Веберу первому удалось выработать многофакторную теорию размещения промышленного предприятия, опирающуюся на методы количественного анализа (математическое моделирование). Так же как и его предшественник В. Лаунхардт, А. Вебер не вышел за рамки проблемы размещения отдельного предприятия. Однако его исследования стали мощным стимулом для создания более общих теорий размещения.
Теории региональной специализации
и межрегиональной торговли
Теоретические принципы производственной специализации регионов и межрегиональной торговли формально (понятийно-терминологически) были, впервые выведены в рамках теорий международных экономических отношений,' т.е. международниками, а не регионалистами. В первую очередь необходимо, назвать классиков английской политической экономии А. Смита и Д. Рикардо и шведских экономистов Э. Хекшера (Е. Hecksher) и Б. Олина (В. Ohlin). Почему же полученные ими научные результаты правомерно относить к теоретическим основам региональной экономики?
Межрегиональное разделение труда и межрегиональная торговля – это процессы, происходящие в рамках различных частей одной национальной зоны свободной торговли, одной таможенной территории, одной валютной системы, одного национального рынка труда и капитала. В межрегиональной торговле, как правило, отсутствуют административные, таможенные, политические, языковые и другие барьеры, в той или иной степени сохраняющиеся в международных экономических отношениях, несмотря на превалирующую тенденцию либерализации и глобализации.
Основные выводы "международных" теорий А. Смита – Д. Рикардо и Э. Хекшера – Б. Олина получены в системе постулатов межрегиональных отношений, несмотря на то что их авторы в своих поясняющих ситуациях упоминают об Англии, Шотландии, Португалии и приводят другие "международные" примеры. Безусловно, выводы, о которых идет речь, применимы и для международных отношений (в большей степени для валютных и торговых союзов, общих рынков), но они требуют дополнений и корректировок, учитывающих специфику именно международных отношений (включения валютных, таможенных, институциональных и других условий). Отметим, что Б. Олин, лауреат Нобелевской премии, свою главную работу назвал "Межрегиональная и международная торговля" (1933 г.), подчеркивая и общность, и различия двух типов торговли.
Теории абсолютных и сравнительных преимуществ А
.
Смита и Д.Рикардо
Названные классики политической экономии были идеологами свободной торговли (фритредерства), противостоящими сторонникам экономического меркантилизма. В этом отношении они, безусловно, родственны всем теоретикам региональной экономики. Международная (межрегиональная) торговля рассматривалась ими как способ получения выгоды для каждого участника.
Международное разделение труда, полагал А. Смит, целесообразно осуществлять с учетом тех абсолютных преимуществ, которыми обладает та или иная страна (имеем в виду регион). Каждая страна (регион) должна специализироваться на производстве и продаже того товара, по которому она обладает абсолютным преимуществом. Если страна (регион) сконцентрирует свои ресурсы на производстве только таких товаров и откажется от производства тех товаров, по которым она (он) не обладает абсолютными преимуществами, то это приведет к увеличению объемов производства и потребления товаров в сотрудничающих странах (регионах).
Рассмотрим условную ситуацию, когда два региона (А и В) производят два продукта (металл и хлеб) с разными трудовыми затратами:
| Товары
|
Затраты труда на производство единицы продуктав регионе
|
| А
|
В
|
| Металл
Хлеб
|
5
1
|
4
2
|
В каждом регионе имеется по 10 единиц трудовых ресурсов, которые являются единственным ограничивающим фактором.
При изолированном (автаркическом) функционировании регионы могут производить продукты в разных соотношениях, сообразуясь со своими внутренними потребностями. В частности, регион А может произвести 1 ед. металла и 5 ед. хлеба, регион В – 0,5 ед. металла и 4 ед. хлеба. Оба региона при этом полностью используют свои трудовые ресурсы.
Исходя из принципа абсолютных преимуществ региону А целесообразно специализироваться на производстве хлеба (разница издержек 1 - 2 = -1), а региону В – на производстве металла (разница издержек 4 - 5 = -1). Тогда регион А сможет произвести 10 ед. хлеба, а регион В – 2,5 ед. металла. При этом возникает множество вариантов обмена.
Допустим, оба региона намерены в результате специализации и обмена увеличить потребление обоих продуктов по сравнению с изолированным развитием. Пусть регион А из произведенных 10 ед. желает 5,2 ед. использовать внутри региона, а 4,8 ед. продать в обмен на металл. Регион В намерен из 2,5 ед. металла использовать у себя 1,3 ед., а 1,2 ед. обменять на хлеб. Очевидно, здесь возникает вопрос о ценах обмена. Один из компромиссов – "справедливые" цены, пропорциональные трудовым затратам на производство металла и хлеба, т.е. 4:1. В этом случае предлагаемые на продажу регионом А 4,8 ед. хлеба эквивалентны 1,2 ед. металла, предлагаемых регионом В.
В итоге в регионе А потребление составит: 1,2 ед. металла (+0,2) и 5,2 ед. хлеба (+0,2), в регионе В: 1,3 ед. металла (+0,8) и 4,8 ед. хлеба (+0,8). Существует достаточно широкий диапазон цен обмена, позволяющий обоим регионам получить выгоду от торговли.
Д. Рикардо продвинулся в теории существенно дальше А. Смита. Он доказал, что абсолютные преимущества представляют лишь частный случай общего принципа рационального разделения труда. Главное – не абсолютные, а относительные (сравнительные) преимущества. Даже страны (регионы), имеющие более высокие производственные издержки по всем товарам, могут выиграть от специализации и обмена благодаря "игре" на разнице издержек.
Вернемся к предыдущему примеру. Вместо региона В введем в рассмотрение регион С, в котором издержки выше, чем в регионе А, по обоим товарам:
| Товары
|
Затраты труда на производство единицы продукта в регионе
|
| А
|
С
|
| Металл
Хлеб
|
5
1
|
6
2
|
Если придерживаться принципа А. Смита, то торговля региона А с регионом С бессмысленна ("там все дороже"), а для региона С с регионом А безнадежна ("нашу дорогую продукцию не купят"). На самом деле это не так.
Сохраним все прежние условия по региону А. Регион С при изолированном развитии производит и потребляет 0,4 ед. металла и 3,8 ед. хлеба, он также располагает 10 ед. трудовых ресурсов.
Замечаем, что регионы А и С имеют существенно разные соотношения издержек. В регионе А металл "дороже" хлеба в 5 раз, а в регионе С – только в 3 раза. Таким образом, регион А имеет относительное (и абсолютное) преимущество по производству хлеба, а регион С – относительное (но не абсолютное) преимущество по производству металла. На использовании относительных преимуществ основана рациональная специализация регионов и межрегиональная торговля.
Допустим, что в условиях разделения труда регион А будет производить 10 ед. хлеба, а регион С – 1 ед. металла (10:6 =1 ). Существует множество вариантов обмена, при котором оба региона безусловно выигрывают в том смысле, что оба могут увеличить внутреннее потребление обоих товаров по сравнению с автаркической ситуацией. Например:
вариант 1 – Регион А вывозит 4,6 ед. хлеба, регион С – 1 1 ед. металла. В регионе А потребление составит: металла – 1 (+ ), хлеба – 5,4 (+0,4). В регионе С потребление составит: металла – (+0,04 (4)), хлеба – 4,6 (+0,8);
вариант 2 – Регион А вывозит4,8 ед. хлеба, регион С–1 ед. металла. Тогда потребление в регионе А: металла – l (+ ), хлеба – 5,2 (+0,2). Потребление в регионе С: металла – (+0,15 (5)), хлеба – 4,8 (+1,0).
Отметим, что обмен по ценам, пропорциональным региональным трудовым издержкам (6 : 1), является невыгодным для региона А. При таких ценах он в результате обмена не может получить выигрыш в потреблении по обоим продуктам.
Из анализа, проведенного Д. Рикардо, следует два вывода:
1. выигрыш при обмене происходит не из абсолютного преимущества, а из того, что соотношения издержек в разных регионах различны;
2. производство и потребление всех товаров может быть увеличено, если регионы будут специализироваться на производстве и торговле теми товарами, по которым они обладают сравнительными преимуществами.
К сожалению, имеется масса свидетельств того, что обыденное экономическое мышление по-прежнему тяготеет к представлениям А. Смита, но не Д. Рикардо.
Теория Хекшера – Олина
В теориях А. Смита и Д. Рикардо главным фактором, определяющим рациональную структуру производства и обмена, являются трудовые издержки. В 30-х годах уже XX в. шведские экономисты Э. Хекшер и Б. Олин развили теорию международного (межрегионального) разделения труда, введя в рассмотрение соотношения основных взаимозаменяемых факторов производства (труда, капитала, земли и др.). Их основные теоретические положения сводятся к следующему:
1. страны (регионы) должны вывозить продукты интенсивного использования избыточных (относительно недефицитных) факторов производства и ввозить продукты интенсивного использования дефицитных для них факторов;
2. в международной (межрегиональной) торговле при соответствующих условиях осуществляется тенденция выравнивания "факторных цен";
3. вывоз и ввоз товаров могут заменяться перемещением факторов производства.
Хекшер и Олин обосновывали целесообразность либерализации не только торговли, но и международного (межрегионального) перемещения факторов производства. Отметим снова, что в приведенных постулатах и выводах отсутствует какая-либо международная специфика. Эта теория находится полностью в рамках условий межрегиональных отношений. Тем более что по сравнению с товарообменом перемещение труда и капитала между регионами одной страны встречает гораздо меньше препятствий, чем между разными странами.
Из выводов Хекшера-Олина следует, что отсталые или развивающиеся страны (регионы), имеющие, как правило, сильный дефицит капитала и избыток рабочей силы, должны специализироваться на производстве и вывозе трудоемкой продукции. Развитые же страны (регионы), накопившие большие массы функционирующего капитала (в том числе научно-технического), должны стремиться к вывозу капиталоемкой продукции. Страны (регионы), обладающие большими площадями сельскохозяйствен-ных угодий и относительно низкой плотностью населения, заинтересованы в расширении вывоза сельскохозяйственной продукции. Заметим, что земля и другие естественные ресурсы являются немобильными факторами, а перемещаться могут только продукты их использования.
Основные допущения и интерпретации теории Хекшера-Олина подвергались проверке и корректировке в последующие десятилетия. В частности, было установлено, что для выбора целесообразной структуры вывоза и ввоза товаров необходимо принимать во внимание не только прямые затраты производственных факторов, но и косвенные – сконцентрированные в потребляемом сырье и материалах. Эту аналитическую задачу реализовал много позже В. Леонтьев на основе метода межотраслевого баланса (input-output analysis). Полученные им результаты вошли в историю как парадокс В. Леонтьева.
|