| МОСКОВСКИЙ ГОСУДАРСТВЕННЫЙ ИНСТИТУТ
РАДИОТЕХНИКИ, ЭЛЕКТРОНИКИ И АВТОМАТИКИ
(ТЕХНИЧЕСКИЙ УНИВЕРСИТЕТ)
Курсовая работа
по предмету
Управление процессами
Тема: Контрольные карты Шухарта (контроль по доле дефектных изделий – распределение параметра дискретно)
Группа: ЭК-1-06
Исполнитель: студент Призов А.А.
Руководитель: Гродзенский С.Я.
МОСКВА 2009
1.Введение.
Шел 1923 год. Работы по телефонизации Америки быстро расширялись. Это стало возможным благодаря изобретению Александра Белла и созданию им специальной корпорации — American Telephone and Telegraph (АТ&Т) для внедрения телефона в жизнь. Как всегда, в новом деле не все ладилось. А тут еще, откуда ни возьмись, появились конкуренты. Пришлось принимать меры. Сгоряча компания объявила, что берется исправлять любую ситуацию, связанную с претензией клиента, в течение суток с того момента, когда о ней узнает.
Одна из главных проблем заключалась в том, что внезапно отказывали промежуточные усилители сигнала, включенные в проводную сеть через каждые 500 м. Без них сигнал становился таким слабым, что практически ничего не было слышно. Так вот, эти усилители были ламповыми (полупроводники еще только предстояло открыть) и часто переставали работать из-за отказов той или иной лампы. Хотя в технических условиях были указаны гарантийные сроки их безотказной работы, лампы про это ничего не знали и гарантийных сроков совершенно не соблюдали. Из-за этого не удавалось сосчитать, сколько требуется аварийных бригад, необходимого для них транспорта и запасных ламп для замены перегоревших.
Компания АТ&Т обратилась за помощью в исследовательский центр, созданный А. Беллом специально для таких целей. Он-то и назывался Веll Laboratories. Случилось так, что как раз в это время туда поступил на работу молодой инженер-физик, которого звали Уолтер Шухарт. Ему и поручили разбираться с проблемой вариабельности (непостоянства) моментов, когда происходили отказы электронных ламп. И он разобрался, причем не только с лампами, но и с тем, как устроены сложные системы и какое воздействие на них оказывает вариабельность.
В мае следующего, 1924 г., Шухарт предложил решение проблемы анализа вариабельности любого процесса, которое оказалось гораздо шире проблемы отказов ламп и привело к созданию концепции статистического мышления, изменило существовавшие представления о свойствах систем и создало предпосылки для современных систем менеджмента качества. Словом, решение У. Шухарта совершило революцию в нашем понимании мира.
Забиваем Сайты В ТОП КУВАЛДОЙ - Уникальные возможности от SeoHammer
Каждая ссылка анализируется по трем пакетам оценки: SEO, Трафик и SMM.
SeoHammer делает продвижение сайта прозрачным и простым занятием.
Ссылки, вечные ссылки, статьи, упоминания, пресс-релизы - используйте по максимуму потенциал SeoHammer для продвижения вашего сайта.
Что умеет делать SeoHammer
— Продвижение в один клик, интеллектуальный подбор запросов, покупка самых лучших ссылок с высокой степенью качества у лучших бирж ссылок.
— Регулярная проверка качества ссылок по более чем 100 показателям и ежедневный пересчет показателей качества проекта.
— Все известные форматы ссылок: арендные ссылки, вечные ссылки, публикации (упоминания, мнения, отзывы, статьи, пресс-релизы).
— SeoHammer покажет, где рост или падение, а также запросы, на которые нужно обратить внимание.
SeoHammer еще предоставляет технологию Буст, она ускоряет продвижение в десятки раз,
а первые результаты появляются уже в течение первых 7 дней.
Зарегистрироваться и Начать продвижение
Как известно, в 1905 г. Альберт Эйнштейн открыл сначала специальную, а затем, в 1916 г., и общую теорию относительности. А примерно в 20-х гг. того же XX в. Вернер Гейзенберг и Эрвин Шредингер сформулировали основные положения квантовой механики. Эти открытия в корне перевернули физику как науку, изменив наше понимание того, как устроена природа. В очередной раз оказалось, что реальный мир совсем не похож на наше представление о нем.
Большинство людей жили (и живут) в статичном детерминированном мире, где четко прослеживаются причины и их следствия, где заранее известно, «что будет, если...». Открытие теории относительности и квантовой механики похоронило эту картину мира. Оказалось, что нет ни абсолютного пространства, ни абсолютного времени, что результат наблюдения влияет на объект, за которым мы наблюдаем, и что предсказать, что «будет, если...», можно только с некоторой вероятностью или неопределенностью. Детерминизм как концепция утратил свои доминирующие позиции в науке. При этом на обычную жизнь простого человека ни теория относительности, ни квантовая механика никакого практического влияния не оказывали и не оказывают.
Почти одновременно с этими великими достижениями человеческого разума было совершено еще одно открытие, которое, имеет ничуть не меньшее значение для человечества, — это открытие фундаментальной роли вариабельности мира и способа минимизировать ее влияние на решения, которые мы принимаем. Его как раз и совершил Уолтер Шухарт в 1924 г.
Основная идея теории Шухарта очень проста: мир сложен, и точно предсказать результат большинства реальных процессов невозможно в принципе. Но для практики этого и не нужно: достаточно научиться предсказывать результаты с той степенью уверенности, которая экономически оправданна на данном этапе развития человечества и при данном уровне последствий принимаемых решений. Чтобы это сделать, следует принять во внимание, что большая часть результатов любого процесса определяется системой, в которой этот процесс проходит, и лишь небольшая их часть вызвана внешними по отношению к этой системе причинами.
Сервис онлайн-записи на собственном Telegram-боте
Попробуйте сервис онлайн-записи VisitTime на основе вашего собственного Telegram-бота:
— Разгрузит мастера, специалиста или компанию;
— Позволит гибко управлять расписанием и загрузкой;
— Разошлет оповещения о новых услугах или акциях;
— Позволит принять оплату на карту/кошелек/счет;
— Позволит записываться на групповые и персональные посещения;
— Поможет получить от клиента отзывы о визите к вам;
— Включает в себя сервис чаевых.
Для новых пользователей первый месяц бесплатно.
Зарегистрироваться в сервисе
Это важное открытие сделал Джозеф Джуран, предложивший правило 85:15. Оно означало, что 85% всех неприятностей обусловлено поведением системы и только 15% зависят от конкретных внутренних или внешних обстоятельств, например от поведения людей в системе или от качества сырья. Доктор Эдвардc Деминг много раз уточнял оценку Дж. Джурана и в конце жизни пришел к соотношению 98:2, оставляя без присмотра системы всего 2% неприятностей. Поэтому прежде всего надо научиться определять, какие результаты принадлежат системе, а какие — внешним или внутренним внесистемным силам.
Результатами, обусловленными системой, можно управлять, только изменяя саму систему. Но сначала надо устранить все внесистемные воздействия, поскольку они по определению неуправляемы и, следовательно, непредсказуемы. Инструментом, помогающим понять, какие воздействия принадлежат системе, а какие нет, и служат контрольные карты Шухарта (ККШ), теория которых была разработана, а затем развита и расширена в работах другого выдающегося ученого — Эдвардса Деминга.
По сути, речь идет о том, что все системы и все процессы очень болтливы. Они хотят рассказать нам о том, как устроены. Проблема в том, что разговаривают они на своем языке, который надо научиться понимать, т. е. научиться слушать и слышать «голос процесса» или «голос системы». ККШ — это как раз способ перевода информации о процессе или о системе на наш обычный человеческий язык, инструмент, с помощью которого мы можем общаться с нашими процессами и оптимально управлять ими.
Шухарт обнаружил, что система (т.е. вся совокупность элементов, определяющих результат бизнес-процесса), если она находится в стабильном, управляемом, устойчивом состоянии, ведет себя так, что ее результаты можно предсказывать с определенной точностью до тех пор, пока что-то или кто-то не выведет ее из этого состояния. Такую систему принято называть статистически управляемой. Предсказуемость — бесценный дар. Именно она позволяет управлять процессом, а значит, и улучшать его. Без предсказуемости никакое совершенствование невозможно.
Напротив, если есть какие-то внешние вмешательства в систему, то о предсказаниях можно забыть. Система становится не только непредсказуемой, но и неуправляемой. Тогда надо как можно быстрее выявить и устранить источник внешнего вмешательства и вернуть ее в управляемое состояние. Дело за малым. Нужно научиться различать состояния, в которых находится система, а затем решать, что и кому надо с ней делать (или не делать).
ККШ — это и есть диагностический инструмент для ответа на вопрос: надо или не надо вмешиваться в систему, и если надо, то кому? Он построен с помощью статистических методов, но сам не имеет, статистической природы. Это сделано для того, чтобы модели могли избежать «смирительной рубашки» теоретической статистики. В условиях накопления информации система может и сама служить себе эмпирической моделью, гораздо более естественной, чем теоретические модели, навязанные извне. Их призвана заменить концепция операциональных определений.
У Шухарта скрывались не столько статистика, сколько экономика и его соображения о том, оправдаются ли расходы, связанные с выявлением признаков неуправляемости процесса, теми выгодами, которые мы получим благодаря их обнаружению и устранению.
В настоящее время в связи с резким ростом автомобилизации России в нашей стране широко внедряется комплекс стандартов, объединенных под шапкой ИСО/ТУ 16949. В этих стандартах применение ККШ для анализа стабильности процессов — обязательное требование.
2.Контрольные
карты
для
дискретных
величин.
.
Дискретные величины — результаты подсчета чего-либо, например числа дефектов какого-либо изделия или числа бракованных изделий в проверенной партии. Поскольку эти величины представляют собой число появлений некоего признака (атрибута) изделий, они иногда называются атрибутами.
Существуют два коренных отличия атрибутов от факторов. Во-первых, в отличие от факторов атрибуты обладают естественной неустранимой дискретностью. Во-вторых, любой подсчет должен предусматривать выбор «области определения» или «множества возможных значений».
Строго говоря, непрерывные величины (факторы) тоже имеют некоторую дискретность, но ее всегда можно уменьшить, используя меньшие единицы измерения. Для счетных данных, основанных на появлении отдельных событий или признаков (атрибутов), это невозможно. Атрибуты — это всегда натуральные числа. Дискретность им внутренне присуща и поэтому неустранима. Дискретность атрибутов обязательно надо учитывать при построении контрольных карт.
Область определения представляет собой основу для интерпретации результатов счета. Для сравнения двух дискретных величин надо, чтобы они имели совпадающие области определения. Если же их области определения не совпадают, пусть даже незначительно, то сравниваемые величины надо превратить в относительные показатели (дроби), и лишь тогда их можно осмысленно сравнивать. Такое преобразование дискретных данных в доли достигается делением результатов подсчета на их область определения.
Операции с дискретными данными предполагают ответ на два вопроса. Сильно ли мешает их неустранимая дискретность построению контрольных карт? Равны ли области определения? Когда число событий мало, дискретность служит препятствием и нужны специальные методы построения контрольных карт. Если области определения не совпадают (хотя бы приблизительно), результаты подсчета нельзя сравнивать (пока они не обращены в доли).
2.1.
Простой
подход
к
дискретным
величинам
При работе с дискретными величинами каждый образец описывается одним числом. Поскольку каждый результат подсчета — это индивидуальное значение, Х
mR
-карту
можно использовать для отражения самих значений или доли этих значений. Каждое значение или доля рассматривается как наблюдение, и скользящий размах используется для измерения вариации от одного значения к другому. При переходе к дискретным величинам нет проблем, если их дискретность мала относительно области определения. Иными словами, когда среднее число событий (в выборке или за период времени) велико, различия между факторами и атрибутами не так важны, как в случае, если это значение мало.
Насколько большим должно быть среднее число событий? Достаточно большим, чтобы предотвратить влияние дискретности на контрольные пределы карты или вид хода процесса. Пагубное влияние дискретности на контрольную карту начинается тогда, когда стандартное отклонение процесса становится меньше единицы измерения. Во многих случаях стандартное отклонение примерно пропорционально квадратному корню из среднего дискретного значения. В то же время наименьшая единица «измерения» дискретных величин всегда целое число. Объединяя эти факты, мы можем заключить, что ХmR-карту для дискретных данных можно построить во всех случаях, когда среднее значение подсчета больше единицы. Если же оно больше двух, то влияние дискретности на контрольные пределы будет ничтожным.
Эта нижняя граница (от одного до двух подсчетов на выборку) гораздо ниже обычно применяемого ограничения. Причина, по которой столь низкое ограничение приемлемо для контрольной карты, заключается в ее специфике: контрольная карта призвана скорее обозначить границы гистограммы, чем описать ее форму. Дискретность атрибутов ощутимо не влияет на контрольные пределы (на уровне Зσ), если среднее дискретное значение не очень мало.
Это означает, что большинство атрибутов можно успешно описывать обычными ХmR-картами. Применение специальных контрольных карт может потребоваться только в том случае, если среднее дискретное значение будет очень мало.
Таким образом, можно использовать некоторые свойства дискретных данных для вычисления более узких контрольных пределов.
Пример №1. (см. приложение)
2.2.
Карты
для
биномиальных
величин
Любая дискретная величина должна иметь область определения. Именно она и определяет ключевое различие между двумя главными типами дискретных величин.
Рассмотрим выборку, состоящую из п
элементов, отобранных в случайные моменты времени из потока продукции в некоторой точке производственного процесса. Если каждое из отобранных изделий считается либо годным, либо негодным, то число негодных будет искомой дискретной величиной. Обозначим это число символом Y.
Очевидно, что его область определения задается числом отобранных изделий. Оно не может быть меньше 0 и больше n, следовательно, интервал [0; n] полностью определяет набор всех возможных значений величины Y.
Последовательность таких выборок даст ряд результатов наблюдений:
Y
1
,
Y
2
,
Y
3
,
Y
4
,
Y
5
,……
При определенных условиях для характеристики поведения этого ряда Y1,Y2,Y3,Y4,Y5,…можно использовать модель биномиальных вероятностей.
Биномиальное условие 1:
область определения дискретной величины Y должна состоять из п
различных значений.
Биномиальное условие 2:
каждое из этих значений можно классифицировать как либо обладающее, либо не обладающее неким атрибутом. Обычно таким атрибутом служит несоответствие допускам.
Биномиальное условие 3:
пусть р
есть вероятность того, что объект обладает атрибутом. Значение р должно быть постоянным для всех п
объектов любой выборки. Хотя карта проверяет, изменяется ли р от выборки к выборке, р должно быть постоянным внутри каждой выборки.
Биномиальное условие 4:
вероятность того, что некий объект обладает атрибутом, не зависит от того, обладал ли им предыдущий объект. (Негодные объекты обычно не образуют кластеры и независимы друг от друга.)
Когда дискретная величина удовлетворяет этим четырем условиям, для расчета контрольных пределов последовательности Y1,Y2,Y3,Y4,Y5,…можно использовать модель биномиальных вероятностей. Следовательно, мы можем использовать в наших вычислениях известное соотношение между средним и стандартным отклонением биномиального распределения. При этом не надо строить карту размахов.
Буква п
здесь обозначает область определения биномиальных величин, а не объем подгруппы (число значений, используемых для вычисления среднего). Биномиальная величина Y — это индивидуальное значение, единственное для каждой «подгруппы».
Рассмотрим последовательность наблюдаемых значений Y1,Y2,Y3,Y4,Y5,…
удовлетворяющую четырем условиям. Эти значения могут рассматриваться в качестве элементов биномиального распределения с параметрами n и р. Среднее для этого распределения равно
Y=np
а стандартное отклонение

На практике параметр р заменяется средней долей негодной продукции р за базовый период наблюдений:

Таким образом, формулы для расчета 3σ-пределов будут выглядеть следущем образом:

Пример №2 (см. приложение)
Заметим, что процедура использования np-карты подразумевает равную вероятность негодности для каждой из проверенных деталей. Иными словами, вероятность обнаружения негодной продукции внутри каждой выборки, состоящей из 60 элементов, не меняется. (Сама карта предполагает, что вероятность меняется от выборки к выборке.)
2.3.
Карты
для
долей
,
основанных
на
биномиальном распределении
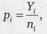
Итак, np-карты следует использовать в тех случаях, когда данные распределены по биномиальному закону и все выборки имеют одинаковые области определения. Если же области распределения меняются от выборки к выборке, напрямую сравнивать результаты нельзя. Каждое дискретное значение надо скорректировать, разделив на его область определения. В результате получаются доли рi. Карта атрибутов, построенная для долей рi, называется р-картой.
В основе р-карты лежит значение выборочной доли негодных изделий р(
, которое определяется по формуле
где Yi — подсчет для i-й выборки; 
ni — число проверенных изделий в i-й выборке.
Средняя доля негодных изделий р рассчитывается так же, как и раньше, а контрольные пределы для значений рi определяются так:

где нижний контрольный предел имеет смысл только если он положителен.
Проблема, связанная с р-картой, заключается в том, что стандартное отклонение зависит о переменной области определения ni. Поскольку область определения меняется, изменяется и вычисленное значение стандартного отклонения, а контрольные пределы приближаются или, наоборот, удаляются от центральной линии. Это означает, что контрольные пределы нужно рассчитывать всегда, когда меняется область определения ni . Если значения ni для каждой выборки различны, контрольные пределы приходится постоянно пересчитывать, и это делает использование р-карт чересчур громоздким и неудобным.
Пример №3 (см. приложение.)
Многие рекомендуют вычислять контрольные пределы по средней области определения п,
если величины ni отклоняются от него не более чем на 20%. В приведенном примере этот подход не работает, поскольку области определения варьируют от 47 до 104.
Однако, поскольку большинство ni близки либо к 50, либо к 100, можно использовать два набора приближенных контрольных пределов. Один основан на п
= 50, а другой — на п
= 100. В этом случае точные значения контрольных пределов потребуются только для тех точек, которые лежат очень близко к приближенным. Понятие «близко» субъективно. Во всех случаях, когда рассчитанные доли чуть меньше или чуть больше приблизительных контрольных пределов, надо определять их точные значения.
Другой способ, позволяющий избежать вычисления точных значений контрольных пределов для каждого ni ,
заключается в определении узких и широких пределов. Дело в том, что увеличение области определения ведет к сужению контрольных пределов. Следовательно, если их рассчитывать по наибольшему из ni,
вероятность которого достаточно высока при нормальном протекании процесса, то получатся наиболее узкие контрольные пределы из всех возможных. И пока область определения не превышает использованное для вычислений значение ni , все величины долей негодной продукции, лежащие внутри узких контрольных пределов, будут заведомо находиться и внутри точных пределов.
Так же рассчитываются и широкие контрольные пределы: при использовании наименьших из имеющихся ni мы получаем чрезмерно завышенные оценки пределов, и, пока область определения превышает наименьшее из имеющихся значений ni , доли, оказывающиеся вне широких пределов, будут заведомо находиться и вне точных. Очевидно, что такие точки будут служить сигналами выхода процесса из состояния статистической управляемости.
Что же касается точек, лежащих между широкими и узкими пределами, то для них приходится вычислять точные значения контрольных пределов.
Хотя описанные методы и помогают решить проблему переменных контрольных пределов, самый лучший подход — избегать неравных областей определения. Когда подсчеты имеют заведомо неравные области определения, редко удается построить для них эффективные контрольные карты. Контрольные карты для атрибутов эффективнее всего тогда, когда данные собираются специально для анализа при помощи этих контрольных карт. В таком случае обычно легко удается избежать различия областей определения. Подобный случай приведен в примере 2 (вместо использования 100% данных отбиралось только по 60 образцов дважды за смену).
Хотя для биномиальных величин с неодинаковыми областями определения рекомендована р-карта, для таких данных можно построить и nр-карту. Эта карта используется крайне редко по причинам, показанным на рис. 5, где построена nр-карта для данных о неполных счетах.
Хотя контрольные карты на рис. 4 и 5 говорят об одном и том же, выглядят они совершенно по-разному. Меняющаяся центральная линия на рис. 5 затрудняет интерпретацию этой карты. В этом и состоит главная причина редкого использования карт с неравными областями определений.
Точно так же можно построить р-карту для величин с равными областями определений, как это было сделано для числа отвергнутых деталей в таре (рис. 6). При беглом сравнении этой карты с nр-картой, показанной на рис.3, можно заметить, что они не отличаются друг от друга. Все отличия между ними заключаются в наименовании вертикальной оси. Одну и ту же ось можно разметить в процентах, долях или результатах подсчета. График хода процесса и контрольные пределы при этом не изменятся.

Рис.5 np-Карта для данных о неполных инвойсах

Рис.6 р-Карта для данных о числе отвергнутых деталей
Чем отличаются р-карты и nр-карты от карт индивидуальных значений и скользящих размахов? Контрольные пределы, определяемые любым из этих методов, обычно довольно близки. Различия заключаются в способе их получения. Так, например, р-карты и nр-карты изначально ориентированы на биномиальные величины. По этой причине их преимущество основано на четкой связи среднего и стандартного отклонения биномиального распределения. Это позволяет определять контрольные пределы по всего лишь одной статистике — средней доле негодной продукции. Это делает вычисленные контрольные пределы менее чувствительными к внутривыборочной вариации. В результате р-карты и nр-карты становятся наиболее эффективными для анализа данных, распределенных по биномиальному закону.
2.4.
Проблемы
с
картами
,
построенными
для
биномиальных
величин
Выше приведены четыре условия, при которых для описания данных можно применить биномиальное распределение. Некоторые типы дискретных данных и некоторые данные, выраженные в процентах, этим условиям не удовлетворяют, и, следовательно, их нельзя анализировать при помощи р-карт и nр-карт.
Заметим, что проценты, подсчитанные на базе непрерывных величин, а не дискретных, нельзя исследовать при помощи р-карт. Разумеется, проценты вполне могут описывать доли, однако области определения перестают быть дискретными. Поэтому наносить данные этого типа на р-карты не имеет смысла. Для их анализа больше подойдут карта индивидуальных значений и скользящих размахов или карта средних значений и размахов.
РИС
. 7.
Количественные характеристики, обычно выражаемые в процентах
Точно так же дроби, которые не являются долями, не годятся для р-карт. Все доли — дроби, но не все дроби — доли. Дробь можно считать долей тогда, когда знаменатель будет описывать область определения для значений числителя.
Многие дроби, используемые в промышленности,—это не доли. Например, отношение числа переделанных изделий к общему числу произведенных в этот день изделий. Это отношение может быть для чего-то полезно, но это не доля, объем произведенной сегодня продукции не влияет на сегодняшние переделки. Единственный способ построения карт для таких данных — использование методов, разработанных для факторов. Более того, для таких данных возникают необычные карты. Описанная выше контрольная карта для дроби выскакивала из статистически управляемого состояния и вверх, и вниз за два последовательных дня. Причиной этого скачка стала авария, из-за которой всепереключились с производства на переделку. Таким образом, в первый из этих двух дней знаменатель был очень маленьким, и дробь стала очень большой. На следующий день, когда с переделкой было покончено, числитель стал очень маленьким, и это повлияло на значение дроби. В общем, всегда лучше наносить на карту индивидуальные значения, а не дроби, как в этом примере.
Другая ситуация, которая не удовлетворяет условиям применимости модели биномиальнных вероятностей, возникает в тех случаях, когда доля негодной продукции непостоянна. В частности, и р-карты, и nр-карты подразумевают систему, имеющую стабильную долю негодной продукции, если процесс статистически управляем. Из этого предположения следует, что выборки, имеющие заведомо различные значения р, не стоит смешивать на одной карте. Примерами могут служить выборки, представляющие разные станки, разные линии или смены, о которых заранее известно, что они имеют разные доли негодной продукции. В таких случаях надо для каждой группы выборок вести отдельные карты. В то же время, если предполагается, что различные станки должны работать идентично, точки, относящиеся к этим станкам, можно наносить на одну карту различными символами. Если эти станки существенно различны, карта это покажет. Руководящим принципом организации контрольных карт должно быть раскрытие неизвестных сторон процесса, а не демонстрация того, что и так понятно.
Еще один случай, при котором неоднородность доли негодной продукции от выборки к выборке не будет постоянной, встречается, когда область определения становится чрезмерно большой. Когда п
выражается тысячами, то практически невозможно получить как р-карты, так и nр-карты, которые показывали бы разумную степень статистической управляемости. Причин этого явления может быть много, но почти все они связаны с корректностью постановки задачи: что именно подсчитывается? Если некий контролер проверяет всю продукцию подряд, то может возникнуть проблема усталости: то, что кажется негодным в 9
утра, к концу рабочего дня может показаться вполне приемлемым. Итак, даже если поток выходящей с конвейера продукции имеет постоянную долю негодных изделий, контрольная карта этого постоянства может и не заметить. Если работает много контролеров, то возникает проблема вариации «от контролера к контролеру» в дополнение к проблеме усталости. Эта проблема делает весьма сомнительным использование р-карт для 100% данных. Большие области определения создают узкие пределы, что приведет к ложным сигналам тревоги и побуждает людей к поиску особых причин в процессе, тогда как истинная проблема заключается в контроле и подсчете или же в предположении о модели биномиальных вероятностей. Для данных такого вида гораздо лучше обычная ХmR-карта.
Пример №4 (см. приложение).
Наконец, в ситуациях, когда негодные изделия появляются группами, использовать карты для дискретных величин не следует. В этом случае не удовлетворяется условие 4 и, следовательно, нельзя применять биномиальную и пуассоновскую вероятностные модели. Когда негодная продукция образует кластеры, можно использовать 100%-ный контроль для отбраковки и нанести данные на карту хода процесса. Но будет неверным нанести на эту карту контрольные пределы, используя биноминальную или пуассоновскую модель. Когда присутствует группировка данных и 100%-ный контроль, карты для дискретных величин почти наверняка укажут на статистическую неуправляемость, безотносительно к тому, насколько хорош или плох исследуемый процесс на самом деле.
2.5. Карты для данных, основанных на распределении Пуассона.
Для биномиальных величин каждое изделие может быть годным или негодным. Такое разделение становится проблемой, если объекты очень сложны или непрерывны. Рассмотрим автомобиль. Его довольно трудно однозначно назвать годным или негодным. При имеющейся его сложности любой автомобиль был бы несоответствующим. В таком случае возникает вопрос: «Сколько дефектов в принципе может быть?» Следующий пример — рулон ткани. Один-единственный дефект в большинстве случаев не сделает этот рулон непригодным для использования. Однако чрезмерное число дефектов — достаточная причина для признания этого рулона некачественным.
В подобных случаях можно сосчитать сами дефекты. Результаты таких подсчетов будут иметь свои области определения, но их природа будет совершенно иной, чем в случае с биномиальной моделью. Для примеров выше, области определения — это, соответственно, весь автомобиль или весь рулон ткани. Хотя область определения в каждом из этих случаев состоит из одной явно определенной сущности (автомобиль или рулон), подсчитываемая величина (число дефектов) не ограничивается нулем и единицей. Такая дискретная величина может принимать огромные значения, а область определения изменилась от «числа отдельных объектов» до «ограниченной области пространства, времени или изделия».
Другой способ различать биномиальные и пуассоновские величины можно сформулировать при помощи следующего принципа. Для биномиальных величин можно сосчитать либо число годных, либо число негодных изделий. Для пуассоновских величин можно сосчитать только число дефектов, но ни в коем случае не «число недефектов».
Вот предварительные условия применения пуассоновского распределения:
Пуассоновское условие 1.
Подсчет описывает число событий.
Пуассоновское условие 2.
Эти дискретные события встречаются в хорошо
определенной конечной области пространства, времени или изделия.
Пуассоновское условие 3.
Эти события случаются независимо друг от друга
и их вероятности прямо пропорциональны размерам областей определения. (Это означает, что вероятность события не зависит от того, какую часть пространства, или времени, или продукта вы выбрали как область определения — вероятность события однородна в каждой выборке.)
Первые два условия легко проверить для каждого конкретного случая, однако их выполнения недостаточно для суждения об использовании модели Пуассона. Именно третье условие существенно для использования распределения Пуассона.
Стандартное отклонение величины, распределенной по закону Пуассона, равно квадратному корню из ее среднего значения. Это свойство позволит нам обойтись без карты размахов и определить контрольные пределы лишь по одной статистике положения — среднему.
Еще раз напомним, что для сравнения отдельных результатов подсчетов они все должны иметь одну и ту же область определения. Если это требование выполнено, мы можем выразить среднее число обнаруженных дефектов так:

Вот формулы для вычисления контрольных пределов с-карты:
верхний контрольный предел:
центральная линия: 
нижний контрольный предел: 
Когда распределение Пуассона характеризует последовательность подсчетов, эти пределы определяют их естественную вариацию. Удовлетворительные результаты можно получить, только если все три условия распределения Пуассона выполнены.
В случае если продукция не непрерывная, может возникнуть другая проблема, связанная со сбором данных для с-карты. Это проблема «отбрасывания при первом дефекте». Поскольку чаще всего контроль в промышленности организован таким образом, что вся выпускаемая продукция сортируется на годную и негодную, большинство контролеров бракуют изделие, как только увидят одно несоответствие, и переходят к следующему изделию. Анализировать такие данные при помощи с-карт нельзя.
Данные для с-карты должны состоять из подсчетов общего числа дефектов (данного типа), обнаруженных в исследуемой области. Следовательно, контролер должен продолжать поиск дефектов и после обнаружения первого из них (пусть даже самого серьезного!). Многим контролерам бывает трудно привыкнуть к этому, особенно для дискретных изделий.
Другой важный аспект использования с-карт связан с тем, что при малых средних распределение Пуассона сильно скошено. А скошенность меняет вероятности случаев ложных тревог. Если среднее значение дефектов в выборке менее 1, то вероятность превышения верхнего предела на уровне За составляет 3-4%; для среднего числа дефектов от 1 до 3 вероятность ложной тревоги равна 2%; для среднего числа дефектов от 3 до 10 — 1%; для интервала от 7 до 12 вероятность ложной тревоги составляет приблизительно 0,5%. В то же время приведенные уравнения для пределов не дает нижнего контрольного предела, пока среднее число дефектов не превышает 9. По этой причине трудно обнаружить какие бы то ни было улучшения процесса, если среднее число дефектов меньше 10.
Такие проблемы при работе с обычными трехсигмовыми пределами преодолимы. Регулярные пределы слишком консервативны, чтобы быть практически полезными. Однако, поскольку предположения, которые оправдывают использование с-карты, в то же время оправдывают и использование распределения Пуассона, существует простой путь избавления от обоих недостатков Зσ-пределов для пуассоновских данных. Этот путь заключается в использовании контрольных пределов, соответствующих вероятности 0,005 и 0,995, представленных в таблице 7. И несмотря на то, что верхний предел, соответствующий 0,995 может оказаться как выше, так и ниже предела 3σ, вероятность того, что некое измерение окажется выше 0,995, никогда не превышает 0,005, если процесс управляем. Аналогично, хотя нижний предел для 0,005 всегда находится выше, чем 3σ-предел, вероятность того, что некое измерение окажется ниже его, никогда не превышает 0,005. Таким образом, эти пределы минимизируют риск ложных тревог и тем самым обеспечивают баланс между чувствительностью к улучшению ухудшению процесса. Это разумная альтернатива применению в с-картах контрольных пределов на уровне 3σ.
2.6.
Карты
для
числа
дефектов
на
единицу
области
определения
Если область определения меняется от выборки к выборке, нельзя прямо сравнивать величины. Прежде чем нанести такие данные на карту, их надо преобразовать в дроби. Если эти данные удовлетворяют условиям применимости вероятностной модели Пуассона, полученные дроби станут дефектами на единицу области определения. Такие дроби обычно получаются делением числа дефектов с на соответствующую область определения ai Полученные значения ui наносятся на карту хода процесса.
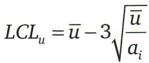
Теперь хотелось бы обратить внимание на то, что, если вариация ai случайна по своей природе и, следовательно, значения к. представляют собой отношения двух случайных величин, применять контрольные пределы u-карты в данном случае нельзя. С другой стороны, если вариация ai задается искусственно или внутренне присуща (например, если она основана на физических различиях деталей), то можно приближенно использовать контрольные пределы, процедура расчета которых показана ниже.
Среднюю долю дефектов на единицу области определения, обычно обозначаемую символом и,
можно рассчитать так:

Таким образом, u представляет собой средневзвешенное значение на единицу области определения. Как только определена величина u, можно рассчитать контрольные пределы:
Верхний контрольный предел: 
Центральная линия:

нижний контрольный предел: 
(если положителен).
Подобно р-карте, контрольные пределы u-карты изменяются вместе с областью определения от выборки к выборке.
Пример №6 (см. приложение)
Поскольку контрольные пределы для u-карты изменяются вместе с областью определения от выборки к выборке, невозможно предугадать их значения и применить к данной выборке. Это создает дополнительные сложности для пользователя этой карты. Однако существует два пути определения приблизительных контрольных пределов (подобно р-карте), которые помогают решить эту проблему.
Если области определения меняются в пределах ±20% от некоего среднего значения, то приблизительные контрольные пределы можно найти по среднему значению областей определения. Для точек, находящихся рядом с приблизительными контрольными пределами, придется рассчитать их точные значения.
В качестве альтернативного подхода можно использовать узкие и широкие пределы. Наибольшим значениям а
i
соответствуют узкие пределы, а наименьшим — широкие. Точки, оказавшиеся за широкими пределами, определенно соответствуют моментам выхода процесса из статистически управляемого состояния; точки, оказавшиеся внутри узких пределов, гарантированно будут и внутри точных. Таким образом, точные значения пределов нужно определить только для тех точек, которые лежат между широкими и узкими пределами, или тех, которым соответствуют очень большие или очень маленькие области определения.
Однако наилучший способ решить эту проблему — избежать переменных областей определения. Это невозможно, если, например, данные непрерывно поступают в ходе продолжающейся проверки качества, однако в таких случаях карты для атрибутов редко оказываются эффективными. Такие данные обычно слишком агрегированы, и слишком медленно накапливается информация для улучшения процесса. Данные, которые достаточно подробны и своевременны, обычно собираются специально для карт. В этом случае причин для формирования переменных областей определения практически нет.
Наконец, в некоторых случаях можно определить и использовать при построении u-карт вероятностные контрольные пределы. Они будут по-прежнему варьироваться вместе с областями определения, но центральная линия останется такой же, как и при использовании обычных Зσ-пределов.
Пример №7 (см. приложение)
2.7.
Выводы
Чтобы понять, какую карту использовать в каждом конкретном случае, рассмотрим блок-схему на рис. 12.
Дискретные величины основаны на подсчетах. Величины, не основанные на подсчетах, прослеживаются при помощи либо карты средних и размахов, либо ХmR-карты, либо карты скользящих средних. Если выполняются все четыре условия биномиальной модели, для анализа дискретных величин можно взять либо nр-карту, либо р-карту. Если выполняются все три условия модели Пуассона, можно использовать либо с-карту, либо u-карту. Если есть сомнения в выполнимости условий применимости этих распределений, дискретные величины всегда можно отслеживать при помощи ХmR-карты. Если области определения меняются от выборки к выборке, подсчеты преобразуются в доли, и лишь затем используются карты для дискретных величин.
Условия биномиальной модели и модели Пуассона служат основой для вычисления контрольных пределов пр-, р-, с-
и u-карт. Все эти четыре карты предполагают, что вариация служит функцией среднего; этот принцип используется при построении контрольных пределов. Если упомянутые условия не выполняются, то это предположение становится некорректным, поэтому использовать пр-, р-, с-
и u-карты нельзя. Пользователь контрольных карт обязан проверять эти условия при любом применении.
|