Министерство образования Республики Беларусь
Белорусский государственный университет транспорта
Кафедра “Строительные конструкции основания и фундаменты”
КОНТРОЛЬНАЯ РАБОТА 1
ПО ИЖЕНЕРНОЙ ГЕОЛОГИИ
“ Инженерная геология, механика грунтов, основания и фундаменты”
Гомель 2009 г
Содержание
Задание (Вариант 5)
1. Значение инженерной геологии для проектирования и строительства. Задачи, решаемые этой наукой
2. Горные породы геолого-литологического разреза. Происхождение, минералогический и химический составы, структура, текстура и условия залегания. Возможность их использования в строительстве
3. Основные физико-механические показатели свойств горных пород, используемые при проектировании и строительстве. Величины их предельных значений
4. Определение возраста пород заданного геолого-литологического разреза
5. Процессы внутренней динамики Земли, которые проявляются на участке. Определение наиболее и наименее благоприятные участков с точки зрения сейсмической устойчивости
6. Объяснить сущность процессов внешней динамики Земли. Перечислить процессы, протекающие на участке. Указать условия их возникновения и возможные защитные мероприятия 7. Охарактеризовать гидрологические условия участка и дать их инженерно-геологическую оценку
8. Перечислите вопросы, требующие дополнительных изысканий для оценки строительного участка
Литература
Задание (Вариант 5)
На участке, расположенном в зоне многолетней (вечной) мерзлоты (рис.1), проектируется строительство железнодорожных мастерских с горячими цехами и теплоэлектростанцией и жилого поселка с многоэтажными зданиями. В средней части строительного участка протекает река, на которой в зимнее время образуются мощные наледи.
На левом склоне долины реки залегают кристаллические сланцы и перекрывающие их широко развитые аллювиальные отложения, представленные пылеватыми суглинками, супесями, песками, торфами, погребенными мхами и илом с многочисленными прослоями и линзами погребенного многолетнего льда (погребенных речных наледей) и гидролакколитов. Общая мощность этих отложений до 16 м.
Мощность деятельного слоя мерзлоты в этом месте не превышает 1,6 м. На правом склоне залегает диабаз.
Строительство проектируется на обоих склонах долины.
Забиваем Сайты В ТОП КУВАЛДОЙ - Уникальные возможности от SeoHammer
Каждая ссылка анализируется по трем пакетам оценки: SEO, Трафик и SMM.
SeoHammer делает продвижение сайта прозрачным и простым занятием.
Ссылки, вечные ссылки, статьи, упоминания, пресс-релизы - используйте по максимуму потенциал SeoHammer для продвижения вашего сайта.
Что умеет делать SeoHammer
— Продвижение в один клик, интеллектуальный подбор запросов, покупка самых лучших ссылок с высокой степенью качества у лучших бирж ссылок.
— Регулярная проверка качества ссылок по более чем 100 показателям и ежедневный пересчет показателей качества проекта.
— Все известные форматы ссылок: арендные ссылки, вечные ссылки, публикации (упоминания, мнения, отзывы, статьи, пресс-релизы).
— SeoHammer покажет, где рост или падение, а также запросы, на которые нужно обратить внимание.
SeoHammer еще предоставляет технологию Буст, она ускоряет продвижение в десятки раз,
а первые результаты появляются уже в течение первых 7 дней.
Зарегистрироваться и Начать продвижение
Геолого-литологический разрез долины р. Угрюмой на участке проектируемого строительства Железнодорожных сооружений (М 1:1500)

1
-суглинки пылеватые, торф, пески мелкозернистые пылеватые, илистые, прослои и линзы глины пылеватой, песок крупнозер-нистый с гравием, галькой и валунами, прослои и линзы погребенного льда (речных наледей и гидролакколитов). Общая мощность – до 30 м; 2
– суглинки пылеватые с включениями валунов и крупных глыб коренных пород; 3
– покровные пылеватые суглинки слресвой и щебнем в основании слоя; 4
– конгломерат валунно-галечный с железистым и известково-глинистым цементом; 5
– слюдяные, хлоритовые, тальковые сланцы; 6
– мраморированный крупнокристаллический известняк темно-серый; 7
– парагнейс; 8
– диабаз
1. Значение инженерной геологии для проектирования и строительства. Задачи, решаемые этой наукой
Инженерная геология – отрасль геологии, изучающая верхнюю часть земной коры в связи со строительством различных сооружений. Значение инженерной геологии для развития народного хозяйства исключительно велико. Строительство гидротехнических сооружений, метрополитенов, железных и автомобильных дорог, различных объектов в зонах вечной мерзлоты, промышленных и гражданских зданий, горных предприятий возможно лишь при условии предварительного проведения широких инженерно – геологических исследований на участке строительства. Это позволяет при проектировании сооружений учесть все природные особенности места строительства и предусмотреть необходимые профилактические мероприятия, предохраняющие сооружения от различного рода деформаций и обеспечивающие их нормальную эксплуатацию.
Научно-технический прогресс обусловил интенсивное вторжение человека в естественные процессы, совершающиеся в природе, в том числе и геологические. Поэтому инженерная геология становится одним из ведущих научных направлений по изучению проблем целесообразного преобразования природы, поскольку одним из основных факторов нарушения природного равновесия являются геологические процессы и явления, вызываемые деятельностью человека. Разработка геологических основ решения проблемы преобразования и охраны природы – одна из важнейших задач инженерной геологии.
2.
Горные породы геолого-литологического разреза. Происхождение, минералогический и химический составы, структура, текстура и условия залегания. Возможность их использования в строительстве
Сервис онлайн-записи на собственном Telegram-боте
Попробуйте сервис онлайн-записи VisitTime на основе вашего собственного Telegram-бота:
— Разгрузит мастера, специалиста или компанию;
— Позволит гибко управлять расписанием и загрузкой;
— Разошлет оповещения о новых услугах или акциях;
— Позволит принять оплату на карту/кошелек/счет;
— Позволит записываться на групповые и персональные посещения;
— Поможет получить от клиента отзывы о визите к вам;
— Включает в себя сервис чаевых.
Для новых пользователей первый месяц бесплатно.
Зарегистрироваться в сервисе
На данном геолого-литологическом разрезе участка присутствуют следующие горние породы:
-на правом склоне залегает диабаз, древняя эффузивная основная порода. Состоит из основного полевого шпата (K2OAl2O3 6SiO2), авгита (Ca (Mg, Fe, Al,) [(Si, Al)2O6], или роговой обманки (Si, Al, Ca, Mg, Fe, Na, Ti, O, OH). Структура мелко- и скрытокристаллическая. Цвет от темно-зеленого до черного. Очень прочная порода. Хорошо полируется и используется для поделок, украшений и как брусчатка.
-в центральной части участка залегает пласт парагнейса, породы образовавшейся в результате глубокого метаморфизма осадочных пород. Структура парагнейса кристаллическая, текстура сланцеватая. По преобладанию темных минералов различают гнейсы биотитовые(K(Fe, Mg)3 (OH, F)2 (AlSi3O10)), роговообманковые (Si, Al, Ca, Mg, Fe, Na, Ti, O, OH) и др. Из гнейсов изготовляют бут-плитняк, щебенку, тротуарные плиты, применяют для облицовки каналов, набережных.
-левее парагнейса залегает пласт темно-серого мраморированного крупнокристаллического известняка. Химический состав CaCO3. Образован из известняка при контактовом метаморфизме. Окраска темно-серая. Структура кристалически-зернистая. Твердость 3-3,5. Используется как строительный и облицовочный материал, для изготовления архитектурных деталей (колонн, карнизов и т. п.), скульптурных изделий.
-следующий пласт состоит из слюдяных, хлоритовых и тальковых сланцев, образованных в результате контактного метаморфизма осадочных пород. Химический состав сланцев следующий: слюдяные сланцы могут быть образованы водными алюмосиликатами (белая калиевая слюда) (K2O 3Al2O3 6SiO2 2H2O) и биотитом (железо-магнезиальная слюда) (K (Fe, Mg,)3 (OH, F)2 (AlSi3O10)), хлоритовые сланцы образованы хлоритом (Mg3 (AlSi3O10) (OH)2 MgAl(OH)6) , тальковые – тальком (Mg(Si4O10) (OH)2). В зависимости от состава и свойств кристаллические сланцы употребляются как строительные материалы, для изготовления электротехнических щитов, школьных досок облицовки лабораторных столов, в сантехнике, в размолотом виде – для изготовления толя, рубероида и т.д.
-на левом склоне участка залегает пласт образованный валунно-галечным конгломератом с железистым и известково-глинистым цементом, который образовался в результате седиментации терригенных материалов. Существенное влияние на плотность и прочность раздельнозернистых осадков оказывает циркулирующая по их порам вода, включающая в себя растворенные соли, глинистые и органо-минеральные вещества; из циркулирующих растворов выпадают гипс, углекислая известь, гидраты окислов железа, кремнекислота, осаждаются глинистые частицы, органические коллоиды и другие вещества, которые заполняют поры раздельнозернистых осадков. Появление всех этих образований вызывает увеличение плотности песчаных и крупнообломочных пород, что способствует одновременному процессу их цементации; пески превращаются в песчаники, галечники – в конгломераты, щебенка – в брекчии. Прочность образующихся при этом пород определяется прочностью природного цемента; наиболее прочными являются породы, скреплённые кремнистым цементом, менее прочными – глинистым и гипсовым.
-в средней части геолого – литологического разреза пласты сланцев, мраморизованного известняка и парагнейса перекрывают широко развитые аллювиальные отложения, представленные пылеватыми суглинками, супесями, песками, торфами, погребенными мхами и илом с многочисленными прослоями и линзами погребенного многолетнего льда (погребенных речных наледей) и гидролакколитов. Общая мощность этих отложений до 16 м. Аллювий (отложения рек) по месту образования подразделяется на следующие разновидности: русловые отложения - состоят преимущественно из грубых отложений (галечника, гравия, крупного песка), пойменные отложения – образуются во время паводков, когда пойменные террасы покрываются водою, несущей во взвешенном состоянии большое количество продуктов разрушения пород (суглинки, супеси, мелкозернистые пески - осадочные горные породы образующиеся в процессе выветривания горных пород, размером 0,05-0,005мм), старичные отложения – образуются в старицах и сложены преимущественно супесями и илами, содержащими нередко значительное количество органических веществ (ил – молодые рыхлые осадки, не затронутые процессами диагенеза), аллювиально-делювиальные отложения – характерны для внешних частей поймы, представлены различным пойменным аллювием, обогащенным смещенными со склонов обломками пород в виде щебёнки и песчано-глинистого материала. Торф по образованию относится к органогенным углистым каустобиолитам, которые образуются в результате накопления остатков живых организмов и растений на дне водоёмов и рек. Речные наледи развиваются в результате увеличения напора воды в замерзающей реке в местах резкого сужения живого сечения потока или заполнения русла льдом. Размеры наледей бывают от нескольких метров до многих десятков и сотен метров в длину и ширину при толщине ледяного покрова от долей метра до 4-6 м. Гидролакколиты – бугры вспучивания, возникающие вследствие образования инъекционного льда в толще промёрзших пород, т.е. при образовании подземных наледей. Чаще всего гидролакколиты образуются вдоль подножия склонов и в долинах малых водотоков, составляя при благоприятных условиях цепь бугров пучения разных размеров, обычно высотою до 2-3 м. При освоении территорий распространения гидролакколитов нельзя располагать сооружения (дорожные насыпи) на местности где есть бугры пучения, так как под влиянием изменения теплового режима они быстро разрушаются и на их месте образуются понижения. Вследствие того, что участок строительства лежит в зоне вечной мерзлоты грунт имеет слоистую текстуру, которая возникает при промерзании связных грунтов (супесей, суглинков и глин) с образованием ледяных линзочек и прослоев. Прочность грунтов слоистой текстуры зависит от направления действия нагрузки относительно ледяных прослоев; при поперечном направлении прочность их более значительна в сравнении с продольным. Мёрзлые грунты представляют собою сложную четырехкомпонентную систему, включающую следующие составляющие: твёрдую – минеральные частицы грунта; пластично-вязкую – лёд; жидкую – не замерзшую воду; газообразную – пары воды и газы.
Строительные свойства аллювиальных отложений отличаются большой сложностью в зависимости от гранулометрического и минералогического состава, плотности, влажности, консистенции и других факторов. Характерная строительная особенность крупнообломочных и песчаных аллювиальных отложений – их малая уплотняемость. Как правило, они бывают хорошим основанием для сооружений (зданий, насыпей и т. п.) которые производят только статическую нагрузку. При воздействии динамической нагрузки (от проходящих поездов, молотов и т. п.) в зависимости от природной плотности отложений уплотнение их может быть значительным. Поэтому, проектируя сооружения с динамическими нагрузками, следует точно определить природную плотность песков в условиях их естественного залегания.
3. Основные физико-механические показатели свойств горных пород, используемые при проектировании и строительстве. Величины их предельных значений
Основными показателями физико-механических свойств и параметров пород, используемых в инженерных расчётах являются: сжимаемость и прочность. Сжимаемость горных пород определяет возможную осадку сооружения, а прочность связана с величиной нагрузки на основание сооружений. Устойчивость склонов тесно связана с прочностью слагающих их пород. В массиве горных пород наиболее слабые разности будут определять прочность всего массива, даже если их толщина составляет всего насколько миллиметров.
Степень сжатия и уплотнения грунтов, и явления происходящие в них при этом, зависят от вида и структурных особенностей грунтов. Сжатие раздельнозернистых грунтов (песок, гравий, щебёнка и т.п.), у которых внутренние структурные связи отсутствуют, зависит от степени их плотности, гранулометрического и минералогического состава и характера внешнего воздействия. При статическом давлении, обусловленном весом сооружений уплотнение раздельнозернистых грунтов будет вызываться перемещением отдельных зёрен относительно друг друга (чему препятствует трение, возникающее на поверхности перемещения зерен); это протекает сравнительно быстро и почти не зависимо от влажности, и при тех давлениях, которые практически передаются на грунты от веса возводимых сооружений, сжатие рассматриваемых грунтов сравнительно незначительное. Поэтому как основания сооружений раздельнозернистые грунты вполне удовлетворительны.
Сжимаемость горных пород определяется экспериментально коэффициентом уплотнения или величиной общей деформации «Е».
Прочность пород определяют испытанием пород на сдвиг или одноосное сжатие. Известны и другие, косвенные методы.
Устойчивость склонов тесно связана с прочностью слагающих их пород. В массиве горных пород наиболее слабые разности будут определять прочность всего массива, даже если их толщина составляет всего насколько миллиметров.
4. Определение возраста пород заданного геолого-литологического разреза
По таблице 1 методического пособия определяем возраст пород заданного геолого-литологического разреза:
-суглинки пылеватые с включениями валунов и крупных глыб, а также покровные пылеватые суглинки с дресвой и щебнем в основании слоя относятся по возрасту образования, так же как и аллювиальные отложения к современному отделу четвертичного периода кайнозойской эры.
-конгломерат валунно-галечный с железистым и известково-глинистым цементом относятся к силурийскому периоду палеозойской эры.
-слюдяные, хлоритовые и тальковые сланцы по возрасту образования относятся к ордовикскому периоду палеозойской эры.
-мраморизованный крупнокристаллический известняк относится к кембрийскому периоду палеозойской эры.
-парагнейс – к протерозойской эре.
-диабаз – архейской эре.
5. Процессы внутренней динамики Земли, которые проявляются на участке. Определение наиболее и наименее благоприятные участков с точки зрения сейсмической устойчивости
По геолого-литологическому разрезу можно перечислить следующие процессы внутренней динамики земли:
-тектоническое движение земной коры, которое носит складчатый характер, и в результате чего образовалась антиклиналь.
С точки зрения сейсмической устойчивости участка строительства можно сказать что правый склон, где залегает диабаз наиболее сейсмоутойчив по сравнению с левым склоном, где залегают аллювиальные отложения.
6. Объяснить сущность процессов внешней динамики Земли. Перечислить процессы, протекающие на участке. Указать условия их возникновения и возможные защитные
мероприятия
Процессы внешней динамики земли, которые проходят на участке строительства следующие:
-выветривание (разрушение горных пород под действием атмосферных агентов), на участке преобладает физический характер выветривания.
-осадкообразование (смещение продуктов выветривания и накопление их в пониженных местах с образованием в новых условиях других толщ осадочных пород).
-смыв и делювий (смытые водой продукты выветривания накапливаются на склонах и в основании склонов).
-эрозия (разрушающее воздействие поверхностных водотоков на горные породы).
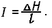
7. Охарактеризовать гидрологические условия участка и дать их инженерно-геологическую оценку
На участке преобладает безнапорное движение подземных грунтовых вод, которое происходит в результате разности уровня в её двух сечениях . Разность уровней ∆Н=Н1-Н2 в сечениях 1 и 2 и обусловливает движение воды в направлении сечения 1.
Скорость движения подземного потока зависит от разности напора (чем больше ∆Н, тем больше скорость).

И от длинны пути фильтрации l(чем меньше lпри том же значении ∆Н, тем скорость больше).
Отношение разности напора ∆Н к длине пути фильтрации l называется гидравлическим уклоном и обозначается через I:

Линейный закон фильтрации (закон Дарси).
Движение подземного потока в пористых породах (песок, супесь, суглинок) имеет параллельно струйчатый, или ламинарный, характер, т.е. без разрывов и пульсаций, с плавным изменением скорости и подчиняется закону Дарси, который выражается формулой

где Q – расход воды (количество фильтрующейся воды в единицу времени); k - постоянная величина для данной породы, характеризующая её водонепроницаемость (коэффициент фильтрации); F – площадь поперечного сечения потока; ΔН – напор или разность уровней в двух рассматриваемых сечениях; - длина пути фильтрации; I– гидравлический уклон.
Для определения коэффициента фильтрации используют следующие методы:
- полевыми опытно-фильтрационными работами – откачками, наливами, нагнетанием и инфильтрацией из шурфов;
- в лаборатории с помощью различных приборов;
- по эмпирическим формулам.
8. Перечислите вопросы, требующие дополнительных изысканий для оценки строительного участка
Глинистые аллювиальные породы в большинстве представлены супесями и суглинками. Строительные свойства глинистых аллювиальных отложений отличаются большой сложностью в зависимости от гранулометрического и минералогического состава, плотности, влажности, консистенции и других факторов. Поэтому объективная оценка глинистого аллювия применительно к строительству конкретного объекта может быть дана лишь с учетом совокупности его физико-механических свойств после всестороннего его изучения.
При гидрологических исследованиях определение характера взаимодействия изучаемого водоносного горизонта с поверхностными водами во времени является важной задачей, так как это имеет существенное значение при решении вопросов водоснабжения путём использования грунтовых вод или для борьбы с притоком грунтовых вод в котлованы, выемки и иные сооружения.
Для обеспечения прочности, устойчивости и эксплуатационной пригодности зданий и сооружений, возводимых на пучинистых грунтах, в основном применяются инженерно–мелиоративные, строительно-констуктивные, и термохимические мероприятия.
Нормами проектирования предусматривается использование вечномерзлых грунтов как оснований сооружений при условии сохранения вечномерзлого состояния в течение всего периода эксплуатации сооружения – принцип 1 и при условии оттаивания вечномерзлых грунтов основания до начала строительства или во время строительства и эксплуатации сооружения – принцип 2. Выбор того или иного принципа производится на основе технико-экономических расчетов.
Литература
1. Седенко М. В. Геология, гидрогеология и инженерная геология. Минск: Вышэйшая школа, 1975.
2. Швецов Г. И. Справочник «Основания и фундаменты» Москва: Высшая школа, 1991.
3. Дуденцева И. Л. Задание на контрольную работу « Инженерная геология, механика грунтов, основания и фундаменты » Москва 1988.
|