1.Понятие ценной бумаги, ее свойства.
С юридической точки зрения ценная бумага
– это денежный документ, который удостоверяет имущественные права, осуществление или передача которых возможны только при предъявлении данного документа. Для того, чтобы стать ценной бумагой как таковой, финансовый инструмент должен быть признан в качестве ценной бумаги государством.
В соответствии с российским законодательством к ценным бумагам относятся:
Государственные и муниципальные ценные бумаги
Облигация
Вексель
Чек
Депозитный и сберегательный сертификаты
Банковская сберегательная книжка на предъявителя
Коносамент
Акция
Приватизационные ценные бумаги
Складское свидетельство
Инвестиционный пай
Закладная
Другие документы, которые законами о ценных бумагах или в установленном ими порядке отнесены к числу ценных бумаг.
С экономической точки зрения ценная бумага – это совокупность имущественных прав на те или иные материальные объекты, которые обособились от своей материальной основы, получили собственную материальную форму и могут самостоятельно обращаться на рынке.
Ценные бумаги могут предоставлять и неимущественные права (например, акция предоставляет право голоса на общем собрании акционеров, а также право получать информацию о деятельности акционерного общества и так далее).
Для того, чтобы какой-либо финансовый инструмент стал ценной бумагой, необходимо чтобы его в качестве ценной бумаги признало государство и сам рынок. В противном случае этот финансовый инструмент является суррогатом ценной бумаги. Суррогат ценной бумаги
– это финансовый инструмент, похожий на ценную бумагу и выполняющий функции ценной бумаги, но не признанный государством и деловой традицией в качестве таковой. Примером суррогатов ценных бумаг могут быть «билеты МММ», «свидетельства о депонировании акций» компаний АВВА.
7.Понятие рынка ценных бумаг, его сущность и функции.
Рынок ценных бумаг
– часть финансового рынка, где осуществляется эмиссия и обращение ценных бумаг, то есть специальных документов, которые имеют собственную стоимость и могут самостоятельно обращаться на рынке.
Кроме термина “рынок ценных бумаг” используется также термин “фондовый рынок”. Между этими терминами есть некоторое различие. Фондовый рынок объединяет оборот только фондовых (инвестиционных, эмиссонных) ценных бумаг, рынок ценных бумаг – оборот всех ценных бумаг, то есть понятие “рынок ценных бумаг” несколько шире, чем “фондовый рынок”. Однако так сложилось, что в российской научной литературе, а также на практике эти термины используются как синонимы.
Забиваем Сайты В ТОП КУВАЛДОЙ - Уникальные возможности от SeoHammer
Каждая ссылка анализируется по трем пакетам оценки: SEO, Трафик и SMM.
SeoHammer делает продвижение сайта прозрачным и простым занятием.
Ссылки, вечные ссылки, статьи, упоминания, пресс-релизы - используйте по максимуму потенциал SeoHammer для продвижения вашего сайта.
Что умеет делать SeoHammer
— Продвижение в один клик, интеллектуальный подбор запросов, покупка самых лучших ссылок с высокой степенью качества у лучших бирж ссылок.
— Регулярная проверка качества ссылок по более чем 100 показателям и ежедневный пересчет показателей качества проекта.
— Все известные форматы ссылок: арендные ссылки, вечные ссылки, публикации (упоминания, мнения, отзывы, статьи, пресс-релизы).
— SeoHammer покажет, где рост или падение, а также запросы, на которые нужно обратить внимание.
SeoHammer еще предоставляет технологию Буст, она ускоряет продвижение в десятки раз,
а первые результаты появляются уже в течение первых 7 дней.
Зарегистрироваться и Начать продвижение
8. Международный, национальный и региональный рынок ценных бумаг.
По географическому признаку
можно выделить
Национальный рынок ценных бумаг
Региональный рынок ценных бумаг
Международный рынок ценных бумаг
Мировой рынок ценных бумаг.
Национальный рынок ценных бумаг
– это относительно замкнутый оборот ценных бумаг внутри национальной экономики. На национальном фондовом рынке происходит перераспределение внутренних денежных капиталов между субъектами экономической деятельности.
Региональный рынок ценных бумаг
– это относительно замкнутый оборот ценных бумаг внутри данного региона. Региональные рынки ценных бумаг могут формироваться внутри национального государства (например, рынок ценных бумаг Уральского, Сибирского и т.д. региона), а также в рамках регионов, объединяющих несколько национальных рынков, например, рынок ценных бумаг стран Юго-восточной Азии, Латиноамериканских стран и т.д.
Международный рынок ценных бумаг
– это оборот ценных бумаг между национальными экономиками. Основным признаком “международности” рынка является пересечение национальным капиталом национальные границы, перелив капитала из одной страны в другую. Например, когда Россия выпускает еврооблигации и их покупают инвесторы из разных стран, то капитал из этих стран привлекается в Россию (в данном случае в бюджет РФ). Когда акции “Вымпелкома” были размещены на Нью-йоркской фондовой бирже и их купили американские инвесторы, это означает, что американский капитал привлечен в российскую компанию.
Мировой рынок ценных бумаг
– это совокупность национальных фондовых рынков в их взаимосвязи и взаимозависимости.
9. Первичный и вторичный рынок ценных бумаг в российской и международной практике.
По отношению ценных бумаг к их выпуску в обращение
можно выделить
Первичный рынок ценных бумаг
Вторичный рынок ценных бумаг.
Первичный рынок ценных бумаг
– это продажа ценных бумаг их первым владельцам. Именно на первичом рынке эмитент (например, акционерное общество), продавая свои ценные бумаги (акции или облигации) привлекает капитал инвесторов, поэтому важнейшей чертой первичного рынка ценных бумаг является раскрытие информации эмитентом о себе и о выпускаемых ценных бумагах. Имея всю необходимую информацию, инвестор может принять взвешенное решение о покупке предлагаемых ценных бумаг.
Сервис онлайн-записи на собственном Telegram-боте
Попробуйте сервис онлайн-записи VisitTime на основе вашего собственного Telegram-бота:
— Разгрузит мастера, специалиста или компанию;
— Позволит гибко управлять расписанием и загрузкой;
— Разошлет оповещения о новых услугах или акциях;
— Позволит принять оплату на карту/кошелек/счет;
— Позволит записываться на групповые и персональные посещения;
— Поможет получить от клиента отзывы о визите к вам;
— Включает в себя сервис чаевых.
Для новых пользователей первый месяц бесплатно.
Зарегистрироваться в сервисе
Вторичный рынок ценных бумаг
– это перепродажа ценных бумаг, их обращение после первичного размещения. Важнейшей чертой вторичного рынка ценных бумаг является его ликвидность. Ликвидность рынка ценных бумаг
- это его способность поглощать в короткое время значительные объемы ценных бумаг при незначительных колебаниях курсовой стоимости и низких издержках на реализацию. Несмотря на то, что с вторичного рынка эмитент не может привлечь капитал, развитый вторичный рынок является очень важным фактором и для формирования первичного рынка. Ведь если покупатель знает, что его ценная бумага ликвидная, он с большей уверенностью купит такую бумагу и на вторичном, и на первичном рынке. Под ликвидностью ценной бумаги
понимается способность ценной бумаги быстро и без существенных потерь продаваться на рынке при незначительных колебаниях курсовой стоимости и низких издержках на реализацию.
10. Фундаментальные свойства первичного и вторичного рынков ценных бумаг.
Первичный рынок ценных бумаг
– это продажа ценных бумаг их первым владельцам. Именно на первичом рынке эмитент (например, акционерное общество), продавая свои ценные бумаги (акции или облигации) привлекает капитал инвесторов, поэтому важнейшей чертой первичного рынка ценных бумаг является раскрытие информации эмитентом о себе и о выпускаемых ценных бумагах. Имея всю необходимую информацию, инвестор может принять взвешенное решение о покупке предлагаемых ценных бумаг.
Вторичный рынок ценных бумаг
– это перепродажа ценных бумаг, их обращение после первичного размещения. Важнейшей чертой вторичного рынка ценных бумаг является его ликвидность. Ликвидность рынка ценных бумаг
- это его способность поглощать в короткое время значительные объемы ценных бумаг при незначительных колебаниях курсовой стоимости и низких издержках на реализацию. Несмотря на то, что с вторичного рынка эмитент не может привлечь капитал, развитый вторичный рынок является очень важным фактором и для формирования первичного рынка. Ведь если покупатель знает, что его ценная бумага ликвидная, он с большей уверенностью купит такую бумагу и на вторичном, и на первичном рынке. Под ликвидностью ценной бумаги
понимается способность ценной бумаги быстро и без существенных потерь продаваться на рынке при незначительных колебаниях курсовой стоимости и низких издержках на реализацию.
11.Биржевой и внебиржевой рынки ценных бумаг в российской и международной практике.
По месту обращения ценных бумаг
рынок ценных бумаг делится на
Биржевой рынок ценных бумаг
Внебиржевой рынок ценных бумаг.
Биржевой рынок ценных бумаг
– это обращение ценных бумаг на фондовой бирже (будет подробно рассмотрен в главе 6). Биржевой рынок – это организованный рынок, на котором обращаются специально отобранные ценные бумаги, операции проводят лучшие, наиболее финансово устойчивые профессиональные посредники. Это – ядро рынка ценных бумаг.
Внебиржевой рынок ценных бумаг
– это обращение ценных бумаг вне фондовой биржи. Внебиржевой рынок может быть организованным и неорганизованным (стихийным). В последнее время наблюдается сближение биржевого и внебиржевого организованного рынка ценных бумаг. Так, Российская торговая система возникла как внебиржевой организованный рынок, но в конце 1999 г. получила статус фондовой биржи.
12.Акции: развернутая характеристика.
Акция наделяет ее владельца статусом собственника АО и предоставляет ему следующие права:
1. получать прибыль АО пропорционально своей доле в уставном капитале
2. право на получение информации о деятельности АО
3. право на участие в управлении АО: через участие в работе общего собрания акционеров и через право выбирать и быть избранным в руководящие органы АО
АО - самоуправляемая организация. Имеет следующую структуру управления:
- собрание акционеров -
- совет директоров -
- исполнительная дирекция -
- президент -
Рыночная стоимость акции или курс акции = (дивиденд / депозитный процент ) * 100%
Логика формулы: владелец продает акцию, но хочет сохранить доход. Эта формула на рынке не работает, т.к. необходимо знать дивиденд, который будет выплачен в текущем году.
Виды дохода на акцию:
·дивиденд - часть чистой прибыли АО, предназначенной решением собрания акционеров к распределению на дивиденды, приходящейся на одну акцию
·курсовая разница - разница между ценой продажи и приобретения акции
·доходность - выраженная в процентах отношение дохода от акции к затратам на ее приобретение. Понятие доходности конкретизируется в конкретные показатели доходности:
1. показатель текущей доходности (норма дивиденда) = (дивиденд / курс акции) * 100%
2. совокупная доходность акции = сумма нормы дивиденда и выраженного в процентах отношения курсовой разницы к затратам.
Пример:
курс на начало года = 800
курс на середину года = 900
курс на конец года = 1000
годовой дивиденд = 40
Совокупная доходность на конец года = 24% и 30%.
Совокупная доходность на середину года = 15%.
Совокупная доходность - доходность не только на данный момент времени, но и за определенный период времени. На финансовом рынке доходности всех финансовых инструментов принято рассчитывать за год.
Инвестиционные свойства акций:
·доходность - один из трех критерий, в соответствии с которым принимается решение о приобретении или не приобретении акции
·надежность - вероятность получения назад вложенных в приобретение акций денег
·ликвидность - свойство или способность акции быть проданной (купленной) в относительно короткий период времени без убытка для продавца (покупателя). Все акции по ликвидности делятся на:
1. ликвидные - можно продать (купить) легко и быстро
2. малоликвидные - можно продать (купить)
3. не ликвидные - невозможно продать (купить)
В условиях России ликвидность - важнейшее свойство акции, т.к. только ликвидные акции обладают определенной надежностью и доходностью.
Классификация акций:
13. Акции акционерных обществ, акции предприятия и акции трудового коллектива.
Акции выпускаются только акционерными обществами. Акционерные общества могут быть открытыми и закрытыми.
Открытое акционерное общество (ОАО)
характеризуется тем, что его акции могут свободно обращаться на рынке, покупать и продавать их могут все желающие. Количество акционеров такого общества ограничено потенциально лишь числом акций. Акции открытых акционерных обществ могут обращаться на фондовой бирже.
Закрытое акционерное общество (ЗАО)
характеризуется тем, что число его акционеров ограничено, их не может быть более 50, а акции не могут свободно обращаться на рынке. Если акционер такого общества захочет продать свои акции, сначала он должен предложить их другим акционерам. Если никто из акционеров эти акции не захочет купить, то эти акции должны быть предложены к выкупу самому акционерному обществу. И только если и само акционерное общество откажется их выкупить, акции могут быть предложены сторонним инвестором. Акции закрытых акционерных обществ не могут обращаться на фондовой бирже.
Вместе с тем указанные определения акции не включают 2 вида ценных бумаг, в российской практике также называемых акциями - а) акции трудового коллектива
, б) акции предприятия
. Это удивительные ценные бумаги, неизвестные как акции в мировой практике, которые появились только в переходный, суррогатный период рыночных преобразований в плановой экономике (появились в конце 80-х г.г., возможность выпуска сохранялась до конца 1994г.)
Вместе с тем, необходимо отметить привлекательность идеи выпуска ценных бумаг, на основе которых можно осуществлять частные инвестиции в государственное предприятие на бессрочной основе. Именно в этом - идея акций предприятия и трудового коллектива. Во Франции с этой целью эмитировались инвестиционные сертификаты
.
14. Простые и привилегированные акции.
Обыкновенные (простые) акции
предоставляют своему владельцу все права, предусмотренные акционерным правом, т. е. право голоса на общем собрании акционеров по всем вопросам, право получить дивиденд, если у общества есть чистая прибыль, право получить ликвидационную стоимость акции, если у общества в момент ликвидации осталось имущества после расчетов с кредиторами. Все простые акции одного акционерного общества имеют один номинал. Каждая обыкновенная акция дает один голос при решении вопросов на общем собрании акционеров.
Привилегированные акции
в общем случае не дают права голоса на общем собрании акционеров, но гарантируют фиксированный дивиденд и определенный размер ликвидационной стоимости акции. Разные выпуски привилегированных акций одного акционерного общества могут предоставлять своим владельцам разные права и привилегии и иметь разные номиналы.
Интересно, что закон «Об акционерных обществах» предоставляет широкие возможности для комбинаций прав, закрепляемых привилегированными акциями. Так, например, устав акционерного общества может предоставлять право голоса по ним. Кроме того, по закону «Об акционерных обществах» владельцы привилегированных акций имеют право голоса
при решении вопросов на общем собрании акционеров о реорганизации и ликвидации общества, а также получают право голоса по всем вопросам компетенции общего собрания акционеров
в случае невыплаты обозначенных в уставе дивидендов по привилегированным акциям.
Размер дивиденда по привилегированным акциям, равно как и размер ликвидационной стоимости привилегированных акций, может быть обозначен следующим образом:
в виде фиксированной денежной суммы
в виде процента от номинальной стоимости акции
в уставе может быть определен порядок расчета дивидендов или ликвидационной стоимости
в уставе вообще может ничего не содержаться по поводу размера дивидендов и ликвидационной стоимости привилегированных акций.
В последнем случае привилегированные акции имеют право на получение дивиденда наравне с простыми акциями, а ликвидационная стоимость определяется в установленном законом порядке, но не может быть ниже номинала акции.
15. Фьючерсы и опционы как инструмент хеджирования.
Фьючерсный контракт
представляет собой обязательство купить или продать определенное количество товара по согласованной цене в определенную дату в будущем. Фьючерсные контракты – это стандартизованные биржевые контракты.
Отражением ожиданий инвесторов относительно будущей цены базисного актива является фьючерсная цена.
Фьючерсная цена - это цена, которая фиксируется при заключении фьючерсного контракта. При заключении контракта фьючерсная цена может быть выше или ниже цены базисного актива в текущий момент (цены спот). Ситуация, при которой фьючерсная цена выше цены спот, называется контанго
. Ситуация, при которой фьючерсная цена ниже цены спот, называется бэквордэйшн
.
В зависимости от вида базисного актива, выделяют следующие виды фьючерсных контрактов.
Фьючерсный товарный контракт
- это контракт на принятие или поставку товара определенного количества и качества по зафиксированной в нем цене на установленную дату. В качестве базисного товара могут выступать зерно, нефть, драгоценные металлы, продовольственные товары, и т.д.
Фьючерсный финансовый контракт
- это контракт, представляющий собой соглашение, обязывающее купить или продать определенный финансовый инструмент в определенный срок по зафиксированной в нем цене.
В зависимости от вида базисного актива, который лежит в основе финансового фьючерса, выделяют три основных вида фьючерсов:
Процентные фьючерсы
- это фьючерсные контракты, основанные на долговых ценных бумагах.
Валютные фьючерсы
- это фьючерсные контракты, базисом которых является иностранная валюта. Валютные фьючерсы приобретаются на основе валютного курса. Цена фьючерсного контракта выражается в количестве долларов на единицу валюты.
Фьючерсы на фондовые индексы
- это фьючерсные контракты, основанные на показателях всесторонней оценки фондового рынка, подобных индексу «Standart & Poor’s 500».
Опцион -
ценная бумага, представляющая собой контракт, покупатель которого приобретает право купить или продать актив по фиксированной цене в течение определенного срока, либо отказаться от сделки, а продавец обязуется по требованию контрагента за денежную премию обеспечить реализацию этого права.
Опцион как экономическое явление представляет собой оформляемое договором право купить, продать (или отказаться от сделки) на протяжении договорного срока и по фиксированной договорной цене определенный объем базисного актива, либо получить определенный доход от финансового вложения или денежного займа.
Цена, по которой исполняется опцион, называется ценой исполнения
, или «страйковой» ценой (ценой страйк).
В заключении опционной сделки участвуют две стороны - покупатель и продавец опциона.
Покупатель опциона
(держатель опциона) - сторона договора, приобретающая право на покупку или продажу базисного актива, либо на отказ от сделки.
Продавец опциона
(надписатель опциона) - сторона договора, обязанная поставить или принять предмет сделки по требованию покупателя.
Существуют различные виды опционов. С точки зрения сроков исполнения опционы подразделяются на два типа: американские и европейские.
Американский опцион
- это опцион, при котором держатель опциона может реализовать свое право в любое время в пределах опционного срока.
Европейский опцион
- это опцион, при котором реализация заложенного в нем права возможна только при наступлении указанного в опционе срока исполнения обязательств.
В зависимости от того, какие права приобретает покупатель опциона, выделяют два вида опционов - опцион на покупку и опцион на продажу.
Опцион на покупку
– опцион колл (call) - опцион, который предоставляет покупателю опциона право купить оговоренный в контракте актив в установленные сроки у продавца опциона по цене исполнения или отказаться от этой покупки.
Опцион на продажу
– опцион пут (put) - опцион, который предоставляет покупателю опциона право продать оговоренный в контракте актив в установленные сроки продавцу опциона по цене исполнения или отказаться от его продажи.
16. Облигации.
Облигация
есть обязательство эмитента выплатить в определенные сроки владельцу этой ценной бумаги некоторые суммы денежных средств (купонные платежи и номинальную стоимость при погашении). Благодаря своему долговому характеру облигации более надежные вложения, чем акции; будучи аналогом кредита, они являются «старшими» бумагами по отношению к акциям, то есть дают преимущественное право при выплате дохода или возвращении вложенных средств в случае банкротства или ликвидации эмитента.
1. Более высокая надежность облигаций обеспечивает им популярность среди инвесторов, и именно на облигации приходится более 2/3 оборота большинства крупнейших фондовых рынков мира. Можно выделить 6 основных признаков, по которым классифицируются облигации:
Статус эмитента. Облигации могут быть выпущены как государственными органами (федеральными или местными), так и частными компаниями. По статусу эмитента в отдельную категорию иногда выделяют иностранных эмитентов облигаций, которые также подразделяются на частные компании и государственные органы.
2. Цель выпуска облигаций. Облигации выпускают для финансирования инвестиционных проектов и для рефинансирования задолженности эмитента. К последней цели прибегают государственные органы. Такой способ обслуживания государственного долга очень популярен во многих странах, в том числе и в России.
3. Срок обращения облигаций. Корпоративные облигации могут выпускаться сроком на 1 год и более. Принято различать краткосрочные (от 1 до 3 лет), среднесрочные (от 3 до 10 лет), долгосрочные (от 10 до 30 лет) и сверхдолгосрочные (более 30 лет и без ограничения срока) облигации. Классификация по срокам обращения государственных облигаций в целом совпадает с классификацией корпоративных бумаг с одной поправкой: госорганы вправе эмитировать краткосрочные облигации со сроком обращения менее года.
4. Способ выплаты дохода. Обычно доход по облигации выплачивается в виде процентов к ее номинальной стоимости, причем частота выплат может колебаться от 1 до 4 раз в год. Доход выплачивается после предъявления эмитенту-заемщику купона, вырезаемого из специального листа, представляющего либо одно целое с бланком облигации, либо прилагающееся к ней.
Нестабильность денежного рынка сильно повлияла на размер ставки купонного дохода. На Западе редко применяется купон с фиксированной ставкой дохода, чаще эмитируются облигации или с равномерно возрастающей ставкой дохода, или с плавающей ставкой, которая изменяется в зависимости то каких-либо внешних факторов (например, от ставки банковского процента).
Доход по облигации может быть выплачен не только в виде оплаты купона, но и в форме скидки в цене (дисконта). Доход по облигациям с дисконтом выплачивается единовременно – в момент погашения облигации.
5.Способ обеспечения займа. Облигации могут быть обеспечены имущественным залогом, залогом в форме будущих поступлений от хозяйственной деятельности или определенными гарантийными обязательствами.
6.Способ погашения облигаций. Обычно облигации погашаются в определенный срок по заранее оговоренной цене. Однако часто, чтобы повысить инвестиционную привлекательность этих ценных бумаг, эмитент идет на различные специальные мероприятия.
Облигация, как и акция, имеет несколько цен: номинальную цену, цену продажи, цену выкупа (погашения) и курсовую цену.
17. Прочие государственные ценные бумаги.
Государственные ценные бумаги - это любые ценные бумаги, удостоверяющие отношения займа, в которых должником выступают государство, органы государственной власти или управления.
Государственные ценные бумаги выпускают многие страны с рыночной экономикой. Цели выпуска государственных ценных бумаг – это, прежде всего, финансирование дефицита государственного бюджета, управление наличной денежной массой, финансирование определенных инвестиционных проектов.
В некоторых странах государственные ценные бумаги широко используются для проведения денежной политики путем операций на открытом рынке. Операции на открытом рынке
–это покупка и продажа Центральным банком страны ценных бумаг, чаще всего – государственных. При покупке ценных бумаг Центральным банком денежная масса в обороте расширяется, при продаже – сжимается.
В настоящее время в России принят закон «Об особенностях эмиссии и обращения государственных и муниципальных ценных бумаг». В соответствии с этим законом можно выделить:
Федеральные государственные ценные бумаги
Государственные ценные бумаги субъектов федерации
Муниципальные ценные бумаги.
Государственные и муниципальные ценные бумаги могут выпускаться в форме облигаций или иных эмиссионных ценных бумаг, именными и на предъявителя. Государственные ценные бумаги могут составлять как внутренний, так и внешний долг и быть номинированы как в рублях, так и в иностранной валюте. Муниципальные ценные бумаги внешний долг составлять не могут и выпускаются только с рублевым номиналом.
В настоящее время в обращении находятся следующие виды государственных ценных бумаг, выпущенные от имени Российской Федерации:
Государственные краткосрочные обязательства (ГКО)
Облигации федеральных займов (ОФЗ)
Облигации государственного внутреннего валютного займа (так называемые «вэбовки»)
Облигации государственного сберегательного займа
Еврооблигации – облигации, номинированные в иностранной валюте и обращающиеся на международном рынке.
Государственные краткосрочные обязательства (ГКО) выпускаются в России с 1993 г. как дисконтные именные бездокументарные ценные бумаги.
Облигации федерального займа (ОФЗ) появились в 1995 г. как среднесрочные именные бездокументарные купонные облигации. Срок их обращения – более 1 года. Доход по этим облигациям выплачивается в виде процентных выплат с разной периодичностью для разных выпусков (1, 2 и 4 раза в год). Купон может быть фиксированным и плавающим. Обращаются ОФЗ, как и ГКО, через торговую систему ММВБ.
«Вэбовки» появились в 1993 г. Дело в том, что в 1991 г. Внешэкономбанк СССР оказался неплатежеспособным, в нем были заморожены валютные счета юридических и физических лиц. В 1993 г. задолженность перед юридическими лицами была оформлена в виде облигационного займа Облигаций государственного внутреннего валютного займа (ОГВВЗ). Данный заем был оформлен как 5 траншей облигаций с разными сроками погашения (от 1 до 15 лет), номинирован в долларах США. Облигации были выпущены как документарные предъявительские ценные бумаги с ежегодными купонными выплатами в размере 3 %. Позднее выли выпущены еще 2 транша этих облигаций. ОГВВЗ – это пример секьюритизации задолженности. Секьюритизация
– это превращение (переоформление) задолженности в обращаемые ценные бумаги.
В 1996 г. Россия вышла на внешний рынок облигационных заимствований – на рынок еврооблигаций.
Евробумаги
– это ценные бумаги, выпущенные в валюте, иностранной для эмитента, и размещаемые среди зарубежных инвесторов, для которых данная валюта также является иностранной. Различают евроакции, еврооблигации и краткосрочные евробумаги (простые обращающиеся векселя). Эмитентами этих бумаг могут быть не только государства, но и частные компании.
18. Классификация векселей.
Вексель
– это абстрактное, ничем не обусловленное обязательство векселедателя или приказ векселедателя третьему лицу выплатить указанному лицу (или его приказу) определенную сумму денег в определенный в векселе срок. Вексель погашается только в денежной
форме.
Характерные признаки:
1. абстрактный характер обязательства
2. безусловный характер денежного обязательства
3. строго формализованная процедура заполнения
4. денежная форма расчета
5. обращаемость векселя
6. солидарная ответственность
Нормативные документы
:
1. конвенция, устанавливающая единообразный закон о переводном и простом векселе (1930)
2. постановление ЦИК и СНК СССР « О введении в действие положения о простом и переводном векселе»
3. ФЗ «О простом и переводном векселе»
В зависимости от плательщика по векселю:
· Переводные
· Простые
Переводной вексель (тратта)
– документ, регулирующий вексельные отношения трех сторон: векселедателя (трассанта), должника (трассата) и векселедержателя – получателя платежа (ремитента).
Трассант – должник ремитента
Трассат – должник трассанта.
Простой вексель
– документ, содержащий простое и ничем не обусловленное обязательство векселедателя (должника) уплатить определенную сумму денег в установленный срок и в конкретном месте векселедержателю.
В зависимости от экономической сущности различают:
· Коммерческие
· Финансовые
· Фиктивные (законодательно запрещены)
· Банковские
Коммерческий вексель
– в основе лежит конкретная товарная сделка продажи (поставки) товара. Сущность – отсрочка платежа, предоставление коммерческого кредита.
Финансовый вексель
– является дополнительной гарантией возврата выданного кредита, т.е. в его основе лежит движение денег.
Банковский вексель
– одностороннее, ничем не обусловленное, обязательство банка-эмитента векселя уплатить в указанную в векселе сумму в установленный срок.
19.Обращение простого векселя.
Простой вексель, называемый также "соло-вексель", выписывается в одном экземпляре покупателем товара поставщику. Он представляет собой письменный документ, содержащий простое и ничем не обусловленное обязательство векселедателя (должника) уплатить определенную сумму денег в указанный срок и в фиксированном месте векселедержателю или по его приказу другому лицу. В простом векселе с самого начала фигурируют два лица: векселедатель, который сам обязуется уплатить по выданному векселю, и векселедержатель, которому принадлежит право на получение платежа по векселю.
При совершении товарной сделки :
1 - векселедержатель передает товар векселедателю
2 - векселедатель расплачивается векселем
векселеполучатель обращается к векселедателю
2.1. векселедатель оплачивает вексель деньгами
Получатель может сдать вексель в банк с дисконтом (учесть вексель) или расплатиться с поставщиком.
20.Обращение переводного векселя. Индоссамент.
В случае использованияпереводного векселя
(тратты) в обращении участвуют несколько юридических или физических лиц (обычно три-четыре, но может быть и больше).
Переводной вексель представляет собой письменное предложение векселедержателя (кредитора), именуемого трассантом,
другому лицу - заемщику, векселедателю, именуемому трассатом,
уплатить определенную сумму третьему лицу, предъявителю, именуемому ремитентом.
Если трассат акцептует вексель (или вексель им уже акцептован), но не платит по нему, вексель опротестуется
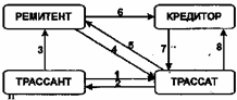
- предъявляется векселедержателем в порядке регрессивного иска для безусловного взимания денег. Процесс обращения переводного векселя представлен на рисунке.
При наступлении срока платежа кредитор предъявляет вексель к оплате трассату, т.е. плательщику, акцептовавшему вексель. Трассат перечисляет деньги кредитору и гасит вексель. Кредитор, в свою очередь, может быть должником по отношению к трассату, и вексель в этом случае направляют в качестве оплаты. Трассат же при этом сообщает кредитору, что принял вексель в оплату долга. Ремитент также может быть должником кредитора и, делая передаточную надпись на векселе, гасит свои обязательства перед кредитором.

- Товар и тратта;
- Вексель;
- Акцептованный вексель;
- Вексель, предъявленный к оплате;
- Распоряжение об оплате векселя;
- Погашенный вексель;
- Требование к оплате;
- Погашение кредита.
Передаточную надпись на векселе, удостоверяющую, что право по векселю передается другому лицу, и служащую в то же время гарантией, называют индоссаментом.
Лицо, делающее передаточную надпись, -индоссант -
несет ответственность за платеж по векселю вместе с иными, обязанными по векселю лицами. Сам процесс передачи права на оплату векселя носит название индоссации.
Ремитент может либо предъявить вексель к оплате трассату, либо сделать на оборотной стороне векселя передаточную надпись и передать права на оплату векселя другому лицу.
При этом векселедержатель вправе:
o хранить вексель у себя до наступления срока платежа и затем предъявить его к оплате при наступлении срока погашения;
o передать вексель третьему лицу (а тот - другому) для погашения долга;
o получить ссуду в банке под залог векселя в порядке учета векселей.
21.Функции и роль ценных бумаг.
Развитие рыночных отношений в обществе привело к появлению целого ряда новых экономических объектов учета и анализа. К ним, прежде всего, следует отнести ценные бумаги, приобретающие массовый и стандартизированный характер, которые обуславливают определенные финансовые права и обязанности.
Ценные бумаги существуют как особый товар, который должен иметь свой рынок с присущей ему организацией и правилами работы на нем. Однако товары, продаваемые на рынке ценных бумаг, являются товаром особого рода, поскольку ценные бумаги - это лишь титул собственности, документы, дающие право на доход, но не реальный капитал. Обособление рынка ценных бумаг определяется именно этим их качеством, и рынок характеризуется по большей части свободной и легко доступной передачей ценных бумаг одним владельцем другому.
Накопление денежного капитала играет важную роль в рыночной экономике. Непосредственно самому процессу накопления денежного капитала предшествует этап его производства. После того как денежный капитал создан или произведен, его необходимо разделить на часть которая вновь направляется в производство, и ту часть, которая временно высвобождается. Последняя, как правило, и представляет собой сводные денежные средства предприятий и корпораций, аккумулируемые на рынке ссудных капиталов кредитно-финансовыми институтами и рынком ценных бумаг.
Возникновение и обращение капитала, представленного в ценных бумагах, тесно связанно с функционированием рынка реальных активов, т.е. рынка, на котором происходит купля-продажа материальных ресурсов. С появлением ценных бумаг (фондовых активов) происходит как бы раздвоение капитала. С одной стороны, существует реальный капитал, представленный производственными фондами, с другой - его отражение в ценных бумагах.
Появление этой разновидности капитала связано с развитием потребности в привлечении все большего объема кредитных ресурсов вследствие усложнения и расширения коммерческой и производственной деятельности. Таким образом, фондовый рынок исторически начинает развиваться на основе ссудного капитала, т.к. покупка ценных бумаг означает не что иное, как передачу части денежного капитала в ссуду.
Рынок ценных бумаг, как и другие рынки, представляет собой сложную организационную и экономическую систему с высоким уровнем целостности и законченности технологических циклов. Рынок ценных бумаг является неотъемлемой частью рыночных отношений.
На нем ценные бумаги служат предметом купли - продажи с использованием комплекса цен, чем также отличаются от обычных товаров.
Ключевой задачей, которую должен выполнять рынок ценных бумаг является прежде всего обеспечение условий для привлечения инвестиций на предприятия, доступ этих предприятий к более дешевому, по сравнению с банковскими кредитами капиталу.
22.История развития ценных бумаг в России.
Российский рынок ценных бумаг имеет длительную историю, начиная с 18 века. К началу 20 века – это рынок, на котором обращались акции, облигации, государственные долги, векселя, функционировали биржи. Отдельные элементы рынка ценных бумаг сохранились в России даже на протяжении всего 20 века, несмотря на директивную, централизованно управляемую экономическую систему. В современных условиях этот рынок - один из элементов рыночной экономики России.
23.Федеральный закон «О рынке ценных бумаг». Выпуск и обращение ценных бумаг.
Российский рынок ценных бумаг имеет длительную историю, начиная с 18 века. К началу 20 века – это рынок, на котором обращались акции, облигации, государственные долги, векселя, функционировали биржи. Отдельные элементы рынка ценных бумаг сохранились в России даже на протяжении всего 20 века, несмотря на директивную, централизованно управляемую экономическую систему. В современных условиях этот рынок - один из элементов рыночной экономики России.
Под эмиссией ценных бумаг понимается выпуск их в обращение.
Эмитентами ценных бумаг могут быть юридические лица (предприятия, банки) и органы государственной власти и управления, муниципальные образования, которые от своего имени выпускают ценные бумаги и несут обязательства по ним перед владельцами ценных бумаг. Некоторые виды ценных бумаг могут выпускать и физические лица (например, векселя).
Эмиссия ценных бумаг производится при учреждении акционерных обществ, а также при необходимости увеличения уставного капитала или потребности привлечения дополнительных финансовых ресурсов.
Органы исполнительной власти используют эмиссию ценных бумаг обычно для покрытия дефицита бюджетов либо для решения других значимых задач.
Продажа ценных бумаг их первым владельцам формирует первичный рынок ценных бумаг.
При конструировании ценных бумаг и других финансовых инструментов эмитентом ставится цель, чтобы они были взаимовыгодны как эмитенту, так и инвестору.
Эмиссия ценных бумаг регламентируется законодательством РФ и состоит из нескольких этапов
Размещение ценных бумаг может осуществляться по открытой и закрытой подписке.
Эмитент может организовывать эмиссию и размещение ценных бумаг самостоятельно или привлекать для этих целей профессиональных посредников – андеррайтеров.
Андеррайтер – это лицо принимающее на себя обязательства организовать эмиссию и разместить ценные бумаги эмитента
24. Производные ценные бумаги.
К производным финансовым инструментам относятся: фьючерс, опцион, своп. Они представляют собой срочные контракты, в основе которых лежат финансовые активы - валюта, процентная ставка, традиционные ценные бумаги. К производным финансовым инструментам некоторые авторы относят и депозитарные свидетельства (расписки), подписные права, варранты, конвертируемые облигации.
Характеризуя производные финансовые инструменты, необходимо отметить присущие им свойства:
Производные инструменты имеют срочный характер.
Цены производных инструментов основываются на ценах базисных активов.
Производные финансовые инструменты имеют ограниченный период существования – от нескольких минут до нескольких лет.
Операции с производными финансовыми инструментами позволяют получать прибыль при минимальных инвестиционных вложениях.
Срочный характер производных инструментов означает то, исполнение обязательства контрагентов произойдет в определенный момент в будущем, через определенный срок.
Базисные активы – это те активы (валюта, акции, облигации и т.д.), которые должны быть приняты или поставлены в будущем в соответствии со срочным контрактом.
Фьючерс
– срочный биржевой контракт, одна сторона которого обязуется купить, а другая - продать определенное количество базисного актива в установленный срок в будущем по фиксированной цене.
Опцион -
контракт, покупатель которого приобретает право купить или продать актив по фиксированной цене в течение определенного срока, а продавец - обязуется по требованию контрагента за денежную премию обеспечить реализацию этого права.
Своп
– соглашение между двумя контрагентами об обмене в будущем платежами или иными активами в соответствии с определенными в контракте условиями.
25. Структура рынка ценных бумаг: виды участников и их взаимодействие.
Для того, чтобы понять, как функционирует рынок ценных бумаг, необходимо рассмотреть его структуру. Основными группами участников рынка ценных бумаг являются эмитенты, инвесторы, профессиональные участники рынка ценных бумаг. Эмитенты – это «производители» товара «ценные бумаги» - лица, которые выпускают в обращение ценные бумаги и несут обязательства по ним от своего имени и за свой счет. Эмиссионная деятельность для них не является профессиональной и для ее осуществления им не нужна специальная лицензия. Инвесторы – это покупатели товара «ценные бумаги». Они приобретают ценные бумаги за свой счет, на свой страх и риск. Инвестиционная деятельность для них также не является профессиональной, ибо рисковать своими деньгами может кто угодно, никакого разрешения (лицензии) для этого не нужно. Профессиональные участники рынка ценных бумаг – это юридические и физические лица, выполняющие функцию финансовых посредников, непосредственно осуществляющие операции и предоставляющие услуги по перераспределению денежного капитала. Обеспечивает нормальное функционирование рынка ценных бумаг инфраструктура рынка. Инфраструктура рынка ценных бумаг – это совокупность участников рынка ценных бумаг и применяемых ими технологий, функций и процедур, обеспечивающих нормальное функционирование рынка ценных бумаг. Она состоит из: Торговой инфраструктуры; Депозитарной и расчетно-клиринговой инфраструктуры; Регулятивной инфраструктуры; Информационной инфраструктуры; Профессиональная деятельность на фондовом рынке находится под строгим контролем государства. Даже незначительное на первый взгляд событие, техническая ошибка или распространившиеся неофициальные слухи могут привести к резкому изменению конъюнктуры, к скачкам рыночных цен (курсов) ценных бумаг. Это создает условия для недобросовестных действий на фондовом рынке. Одним из важных вопросов при анализе рынка ценных бумаг является вопрос о его классификации по различным основаниям. По географическому признаку можно выделить: -Национальный рынок ценных бумаг; -Региональный рынок ценных бумаг; -Международный рынок ценных бумаг; -Мировой рынок ценных бумаг. По месту обращения ценных бумаг рынок ценных бумаг делится на: -Биржевой рынок ценных бумаг; -Внебиржевой рынок ценных бумаг. По отношению ценных бумаг к их выпуску в обращение можно выделить: -Первичный рынок ценных бумаг; -Вторичный рынок ценных бумаг. По срокам обращения ценных бумаг рынок ценных бумаг делится на: -Денежный рынок; -Рынок капиталов. По видам ценных бумаг можно выделить: -Рынок акций; -Рынок облигаций; -Рынок государственных обязательств; -Вексельный рынок; -Рынок производных финансовых инструментов (фьючерсов, опционов), и так далее. По видам сделок с ценными бумагами рынок ценных бумаг делится на: -Кассовый рынок; -Срочный рынок.
26. Классификация эмитентов.
Эмитенты
– это «производители» товара «ценные бумаги» - лица, которые выпускают в обращение ценные бумаги и несут обязательства по ним от своего имени и за свой счет. Эмиссионная деятельность для них не является профессиональной и для ее осуществления им не нужна специальная лицензия. Можно разделить эмитентов на несколько групп. Наиболее общая группировка - это та, согласно которой в качестве эмитентов можно рассматривать государство, органы муниципальной власти и хозяйствующие субъекты. Основными эмитентами ценных бумаг на российском фондовом рынке являются юридические лица. Они могут выпускать все виды ценных бумаг, разрешенных российским законодательством к обращению на территории Российской Федерации, конечно, за исключением государственных ценных бумаг. Юридические лица могут представлять собой коммерческие и некоммерческие организации. Эмитентов ценных бумаг можно классифицировать в зависимости от инвестиционной привлекательности выпущенных ими ценных бумаг. Приведем подобную классификацию , принятую на западных фондовых рынках : -«Голубые фишки» - ценные бумаги мощных компаний, обладающих высокой кредитоспособностью и имеющих стабильное положение на рынке. -«Акции второго эшелона» - ценные бумаги молодых, недостаточно крупных компаний. -«Центровые» - ценные бумаги эмитентов, которые занимают лидирующие позиции в отрасли и оказывают влияние на курсовую стоимость акций остальных эмитентов группы. -«Оборонительные акции» - ценные бумаги крупных компаний, выплачивающих высокие дивиденды и имеющих такие инвестиционные качества, которые даже при падающем рынке не допускают отрицательной разницы цен продажи и покупки. -«Гвоздь программы» - ценные бумаги, обладающие высокой ликвидностью. -«Премиальные акции» - ценные бумаги, являющиеся лидерами по росту курсовой стоимости и имеющие максимальную разницу цен продажи и покупки . -«Обаятельные акции» - ценные бумаги молодых компаний, близкие по доходности к «премиальным акциям», курсовая стоимость которых быстро повышается в цене.
«Спящие акции» - ценные бумаги эмитентов, имеющих большой потенциал роста, однако еще не завоевавшие рынок. Способы классификации эмитентов: Эмитентов можно классифицировать по той политике, которую они проводят на фондовом рынке. Они могут осуществлять активную политику, выходя на организованные торговые площадки, инициируя процедуру листинга своих ценных бумаг и поддерживая их котировку. Можно классифицировать эмитентов по различным признакам, наиболее существенными из них являются следующие: 1. виды эмитентов как формы государственно-правового образования; 2. организационно-правовая форма эмитентов;
3. направления профессиональной деятельности эмитентов; 4. инвестиционная привлекательность эмитентов; 5. политика, проводимая эмитентами на фондовом рынке (активная, рассчитанная на привлечение стратегических инвесторов, распыление капитала, на отечественный капитал, на иностранный капитал и т. п.); 6. национальная принадлежность эмитентов. Эмитентов можно разделить по национальной принадлежности, т. е. на резидентов и нерезидентов. По направлениям профессиональной деятельности эмитентов можно разделить на следующие основные группы: - промышленные и торговые компании; - коммерческие банки; - инвестиционные компании и инвестиционные фонды; - страховые компании, пенсионные фонды и прочие институциональные инвесторы.
27. Классификация инвесторов на рынке ценных бумаг.
Выделяют следующие виды инвесторов. Индивидуальные инвесторы –
это физические лица, граждане, покупающие ценные бумаги на свои сбережения. Следует отметить, что владельцем ценных бумаг можно стать не только в результате их покупки, но и получив их в дар, по наследству, в процессе обмена, в других случаях. В государствах с развитыми финансовыми рынками инвестиции граждан могут составлять очень значительную долю в общем объеме вложений в ценные бумаги. Корпоративные инвесторы
– это различные фирмы, предприятия, компании, которые свои временно свободные средства вкладывают в ценные бумаги. Для таких инвесторов инвестиционная деятельность не является основной, это лишь средство максимизировать финансовые потоки (увеличить прибыль). Институциональные инвесторы –
это инвесторы (юридические лица), у которых свободные денежные средства, предназначенные для инвестирования в ценные бумаги, образуются в силу характера их деятельности. К ним относятся все виды инвестиционных фондов, негосударственные пенсионные фонды, страховые компании. Эти инвесторы покупают ценные бумаги не время от времени, в зависимости от того, есть ли временно свободные средства, а постоянно, ибо имеющиеся у них деньги непосредственно предназначены для того, чтобы покупать на них ценные бумаги. Институциональные инвесторы играют все большую роль на финансовом рынке, и эта роль в последние десятилетия быстро возрастает. Государство,
как правило, не осуществляет инвестиции в ценные бумаги, оно, напротив, выпускает собственные ценные бумаги, финансируя дефицит государственного бюджета. Однако в России в настоящее время в результате приватизации сложилась уникальная ситуация: государство является крупнейшим инвестором, то есть владельцем значительного числа (несколько тысяч) пакетов акций крупных и крупнейших российских предприятий. По степени риска выделяют различные типы инвесторов и, соответственно, типы портфелей ценных бумаг, от низкорискованного, консервативного, до высокорискованного, агрессивного. Консервативный
инвестор – это инвестор, который стремится в первую очередь обеспечить надежность вложений, безопасность капитала в ущерб доходности. Агрессивный инвестор
– это инвестор, который сознательно принимает на себя повышенный риск в надежде получить повышенную прибыль. Портфель агрессивного инвестора (агрессивный портфель) будет состоять в первую очередь из обыкновенных акций.
28. Регулирующие функции государства на рынке ценных бумаг.
Государственное регулирование на рынке ценных бумаг можно разделить на прямое и косвенное регулирование.
Прямое (административное) государственное регулирование
осуществляется посредством установления обязательных требований, предъявляемых к участникам рынка ценных бумаг, лицензирования профессиональной деятельности на рынке ценных бумаг, государственной регистрацией самих ценных бумаг, путем обеспечения гласности и равной информированности участников рынка, поддержания правопорядка и так далее.
Косвенное (экономическое) государственное регулирование рынка ценных бумаг
осуществляется такими методами, как, например, проведение определенной налоговой политики, денежной политики, политики в области формирования и использования средств государственного бюджета, политики в области управления государственной собственностью и так далее.
Государство на рынке ценных бумаг выполняет следующие функции
:
Идеологическая
, то есть разработка концепции развития рынка ценных бумаг и программы ее реализации
Законодательная
, то есть законодательное и нормативное обеспечение функционирования рынка ценных бумаг
Административная
, то есть прямое административное регулирование участников рынка
Стимулирующая
, то есть использование всех возможных инструментов воздействия на рынок ценных бумаг с целью его развития, создание эффективного механизма перераспределения денежных ресурсов в наиболее важные и значимые сектора экономики
Надзорная и контрольная
, то есть предотвращение нарушений со стороны различных участников рынка ценных бумаг
Арбитражная,
то есть разрешение споров между участниками рынка ценных бумаг через систему судебных органов.
Таким образом можно сказать, что государство является одним из основных регуляторов
рынка ценных бумаг. Кроме этого государство выступает в качестве участника
рынка ценных бумаг, а именно:
Государство является крупнейшим заемщиком - эмитентом
облигаций федеральных, субфедеральных и муниципальных займов (в лице органов власти Российской Федерации, субъектов Российской Федерации, муниципальных образований)
Государство является крупнейшим инвестором
на рынке ценных бумаг, владея закрепленными в федеральной и муниципальной собственности пакетами акций приватизированных предприятий
Государство выполняет функции профессионального участника
рынка ценных бумаг в лице Центрального Банка РФ, являющегося посредником, участвующим в размещении государственных ценных бумаг и крупнейшим дилером на этом сегменте рынка. Кроме этого, в лице Российского фонда федерального имущества, организующего аукционы по продаже акций приватизированных предприятий, государство выступает в качестве посредника на рынке акций приватизированных предприятий.
Основным органом государственной исполнительной власти Российской Федерации, осуществляющим регулирование рынка ценных бумаг, является Федеральная комиссия по рынку ценных бумаг (ФКЦБ).
Именно ФКЦБ:
Проводит государственную политику в области рынка ценных бумаг
Осуществляет контроль за деятельностью профессиональных участников рынка ценных бумаг
Обеспечивает защиту прав инвесторов, акционеров и вкладчиков на рынке ценных бумаг.
29. Профессиональная этика фондового рынка.
Рынок ценных бумаг — это прежде всего рынок доверия. Честность и открытость посредников и эмитентов, на которых базируется доверие инвесторов, — самые большие ценности на этом рынке. Одним из следующих шагов стало утверждение требований, в соответствии с которыми каждая инвестиционная компания обязана была разработать свой кодекс деловой этики. Под этикой фондового рынка
понимаются правила добросовестной деятельности. В международной практике такие правила разрабатываются и поддерживаются профессиональными участниками и их саморегулируемыми организациями. В России правила добросовестного поведения (кодексы этики) приняты пока только на уровне саморегулируемых организаций, которые намерены поддерживать этические нормы через механизм дисциплинарного производства. Однако дисциплина и добросовестность не тождественные понятия. Дисциплина — это обязательное подчинение всех членов коллектива правилам, уставу, законам, установленным властью, руководством. Таким образом в сфере социального регулирования мы имеем два основных регулятора поведения, формирующие добросовестность и дисциплину, — это мораль и право. Нормы морали получают свое выражение в общественном мнении, религиозных постулатах, произведениях искусства и т.п. Внутренним гарантом морали является совесть — чувство нравственной ответственности за свое поведение перед людьми, обществом. В сфере рынка ценных бумаг разрешение конфликтов и споров частно-правового характера осуществляется через постоянно действующие третейские суды, созданных при организациях фондового рынка. Однако третейский суд правомочен рассматривать спор при условии наличия обоюдного соглашения сторон на рассмотрение спора. Согласно кодексам этики российских саморегулируемых организаций этическими принципами профессиональной деятельности, которыми должен руководствоваться любой член СРО, являются: -добросовестность; -законность; -приоритет интересов клиентов; -профессионализм; -независимость; информационная открытость.
30.Государственные и муниципальные ценные бумаги.
Государственные ценные бумаги - это любые ценные бумаги, удостоверяющие отношения займа, в которых должником выступают государство, органы государственной власти или управления. Государственные ценные бумаги выпускают многие страны с рыночной экономикой. Цели выпуска государственных ценных бумаг – это, прежде всего, финансирование дефицита государственного бюджета, управление наличной денежной массой, финансирование определенных инвестиционных проектов. В соответствии с этим законом можно выделить: - Федеральные государственные ценные бумаги; -Государственные ценные бумаги субъектов федерации; -Муниципальные ценные бумаги. Государственные и муниципальные ценные бумаги
могут выпускаться в форме облигаций или иных эмиссионных ценных бумаг, именными и на предъявителя. Государственные ценные бумаги могут составлять как внутренний, так и внешний долг и быть номинированы как в рублях, так и в иностранной валюте. Муниципальные ценные бумаги
внешний долг составлять не могут и выпускаются только с рублевым номиналом. В настоящий момент в обращении находятся и краткосрочные, и среднесрочные, и долгосрочные государственные ценные бумаги, выпущенные как от имени Российской Федерации, так и отдельных субъектов Российской Федерации. В обращении находятся российские государственные ценные бумаги, номинированные как в российской валюте, так и в валютах других государств. В настоящее время в обращении находятся следующие виды государственных ценных бумаг, выпущенные от имени Российской Федерации: -Государственные краткосрочные обязательства (ГКО); -Облигации федеральных займов (ОФЗ); -Облигации государственного внутреннего валютного займа (так называемые «вэбовки»); -Облигации государственного сберегательного займа; -Еврооблигации – облигации, номинированные в иностранной валюте и обращающиеся на международном рынке.
31.Ордерные и товарораспорядительные ценные бумаги.
Чек
представляет собой распоряжение чекодателя плательщику и является особой формой поручения, даваемого клиентом банку о совершении платежей. Основой выдачи чека является заключение чекодателя с банком особого соглашения – чекового договора. В силу этого договора банк-плательщик обязан производить оплату чеков в случаях, когда по чеку есть необходимое покрытие. Чек является ордерной ценной бумагой. Его обращение осуществляется по индоссаменту. Чек должен быть оплачен банком-плательщиком по предъявлении в течение установленного срока. В условиях развитой банковской системы чеки широко применяются как универсальное средство платежа во внутреннем обороте и в международных расчетах. Во внутреннем обороте чеки используются для получения в банке наличных денег, для расчетов за товары и услуги, в качестве инструмента, опосредующего безналичные расчеты. В международных расчетах чеки используются для осуществления коммерческих платежей. Депозитные и сберегательные сертификаты.
Депозитные и сберегательные сертификаты – это одни из самых «молодых» ценных бумаг. В Российской Федерации депозитные и сберегательные сертификаты получили «право гражданства» с 1992 года. Это обращающиеся свидетельства о денежном вкладе в банк. Коносамент
– это товарораспорядительный документ, дающий право его держателю распоряжаться грузом и получить его после окончания перевозки. Коносамент является ценной бумагой. Коносаменты используются в морских перевозках, в основном во внешней торговле. Условием возникновения коносамента является заключение договора перевозки груза. Коносамент
– это ордерная ценная бумага. Он может составляться на предъявителя, на имя получателя (именной коносамент), а также приказу отправителя или получателя. Обращение коносамента, выписанного на определенное имя, осуществляется по именным передаточным надписям – по индоссаменту. Основными реквизитами коносамента являются следующие: -Наименование судна; -Наименование фирмы-перевозчика; -Место приема груза; -Наименование отправителя груза; -Наименование получателя груза; -Наименование груза и его основные характеристики; -Время и место выдачи коносамента; -Подпись капитана судна. Коносамент выдается перевозчиком отправителю груза после приема груза к перевозке. Коносамент является доказательством того, что груз принят, а также удостоверяет факт заключения договора перевозки. Простое складское свидетельство и двойное складское свидетельство
– это товарораспорядительные документы. Он выдаются в подтверждение факта заключения договора хранения и принятия товара на хранение. Держатель складского свидетельства получает по нему право распоряжаться товаром в то время, пока товар находится на хранении.
32. Профессиональная деятельность и профессиональные участники рынка ценных бумаг.
Р
ынок, на котором обращается специфический товар, должен иметь и своих оптовых и розничных продавцов, свою особую организацию торговли, свою инфраструктуру. Вся деятельность, связанная с оборотом ценных бумаг, является для них профессиональной.
Она предоставляет собой все виды услуг, связанных с ценными бумагами: выполнение приказов клиентов на покупку и продажу ценных бумаг, доверительное управление ценными бумагами клиента, хранение ценных бумаг, организация рынка ценных бумаг и т.д. Ее осуществление требует не только специальных знаний, опыта, организации, значительных объемов первоначального капитала, но и получения специального разрешения от государственных органов – лицензию. Профессиональная деятельность на фондовом рынке находится под строгим контролем государства. В соответствии с данным законом следующие виды деятельности на рынке ценных бумаг являются профессиональными видами деятельности: -Брокерская деятельность; -Дилерская деятельность; -Деятельность по управлению ценными бумагами; -Деятельность по организации торговли на рынке ценных бумаг; -Депозитарная деятельность; -Деятельность по определению взаимных обязательств (клиринговая деятельность); -Деятельность по ведению реестра владельцев ценных бумаг. Брокерская деятельность на рынке ценных бумаг
– это совершение сделок с ценными бумагами за счет и по поручению клиента, то есть это посредническая деятельность. Профессиональный участник рынка ценных бумаг, который занимается брокерской деятельностью, называется брокером.
Брокерможет совершать сделки с ценными бумагами на основе договора поручения
или договора комиссии,
заключенного с клиентом. В случае, когда брокер действует на основании договора поручения, он выступает в качестве поверенного
и заключает сделки от имени клиента - доверителя
. Брокером в России может быть и юридическое лицо (только коммерческая организация) – акционерное общество или общество с ограниченной ответственностью, и физическое лицо – индивидуальный предприниматель. Дилерская деятельность
– это совершение сделок купли-продажи ценных бумаг от своего имени и за свой счет путем котировки ценных бумаг. Лицо, которое занимается дилерской деятельностью, называется дилером
. Дилером в России может быть только юридическое лицо (коммерческая организация) - акционерное общество или общество с ограниченной ответственностью. Деятельностью по управлению ценными бумагами
могут заниматься юридические лица и индивидуальные предприниматели,
имеющие лицензию на занятие этой деятельностью. Профессиональный участник рынка ценных бумаг, осуществляющий работу по управлению ценными бумагами называется управляющим
. Клиентами управляющих могут быть любые инвесторы, юридические и физические лица. В особую группу выделяются так называемые институциональные инвесторы
. Таковыми являются все виды инвестиционных фондов, негосударственные пенсионные фонды, страховые организации. Деятельность по определению взаимных обязательств ( клиринг)
заключается в сборе информации по сделкам с ценными бумагами, ее сверке и корректировке и подготовке бухгалтерских документов, а также зачету по поставкам ценных бумаг и расчетам по ним. Этим видом деятельности может заниматься только юридическое лицо, коммерческая или некоммерческая организация. Депозитарная деятельность
состоит в том, что профессиональный участник рынка ценных бумаг (депозитарий
) на основании депозитарного договора
оказывает своим клиентам услуги по хранению
сертификатов ценных бумаг и учету и переходу
прав
на ценные бумаги. Депозитарием может быть только юридическое лицо, коммерческая или некоммерческая организация. Клиент депозитария называется депонентом,
а договор между депозитарием и депонентом – депозитарным договором или договором о счете депо.
Депозитариями на рынке ценных бумаг в России выступают многие банки, выступающие профессиональными участниками рынка ценных бумаг, выделить два типа депозитариев: расчетный и кастодиальный. Расчетный депозитарий –
это депозитарий, который обслуживает участников торговли на какой-либо фондовой бирже или нескольких фондовых биржах. Кастодиальный депозитарий
предлагает своим клиентам индивидуальные условия обслуживания. Деятельность по ведению
реестра владельцев ценных бумаг заключается в том, что профессиональный участник рынка ценных бумаг - держатель реестра, или
регистратор
, осуществляет ведение реестра владельцев ценных бумаг, сбор информации, ее фиксацию, обработку, хранение и предоставление данных, составляющих систему ведения реестра. Деятельность по организации торговли ценными бумагами –
это предоставление услуг, непосредственно способствующих заключению сделок между участниками рынка ценных бумаг. Лицо, предоставляющие такие услуги, называется организатором торговли
на рынке ценных бумаг
. Перечисленные виды профессиональной деятельности могут осуществляться только на основании специальной лицензии, которую выдает уполномоченный орган государства.
33. Фондовая биржа и ее роль в рыночной экономике.
Фондовая биржа – это особый, институционально организованный рынок, на котором обращаются ценные бумаги наиболее высокого инвестиционного качества и операции на котором совершают профессиональные участники рынка ценных бумаг. Фондовая биржа – это лучший рынок, создаваемый для лучших ценных бумаг, лучшими, крупнейшими, финансово устойчивыми и пользующимися доверием посредниками, работающими на финансовом рынке. Международная федерация фондовых бирж разработала требования к фондовым биржам – членам Федерации. Биржевой рынок должен быть направлен на развитие акционерного капитала, быть существенным фактором в развитии экономики, содействовать привлечению долгосрочного капитала, преследовать цели, соответствующие общественным интересам, таким как доступность для публики, защита публики, участвующей в рынке, поддержание взаимодействия между участниками рынка. Можно выделить следующие признаки классической фондовой биржи: Фондовая биржа – это централизованный рынок с фиксированным местом торговли. Наличие листинга ценных бумаг. Листинг ценных бумаг – это процедура допуска ценных бумаг к обращению на фондовой бирже. Делистинг ценных бумаг – это процедура исключения ценных бумаг из числа обращающихся на фондовой бирже. Для того чтобы обращаться на фондовой бирже, ценные бумаги должны удовлетворять определенным требованиям, которые каждая фондовая биржа устанавливает самостоятельно. Основными из этих требований являются: финансовая устойчивость и крупные размеры эмитента; массовость ценных бумаг эмитента как однородного и стандартного товара; массовость спроса на данные ценные бумаги. Например, в котировальные листы первого уровня для обращения на Московской межбанковской валютной бирже (в фондовой секции) могут быть включены ценные бумаги, удовлетворяющие следующим требованиям: -Ценные бумаги должны быть свободно обращаемыми. Размер чистых активов компании-эмитента – не менее 3 млрд руб. Срок осуществления деятельности компании – не менее трех лет. Количество акционеров компании – не менее одной тысячи. Безубыточность баланса в течение трех лет, предшествующих подаче заявления на листинг. Для облигаций, выпускаемых корпоративными эмитентами, объем эмиссии облигационного займа должен быть не меньше 200 млн руб. Минимальный объем продаж ценных бумаг в среднем в месяц по итогам каждого отчетного квартала – не менее 1,5 млн руб. Важнейшим критерием допуска ценных бумаг на всех фондовых биржах является полное и адекватное раскрытие эмитентом информации о своем финансовом и хозяйственном положении и о выпущенных ценных бумагах. Установление официальных биржевых котировок ценных бумаг. Надзор за членами биржи с точки зрения их финансовой устойчивости, безопасного ведения бизнеса и соблюдения этики фондового рынка. Фондовая биржа – это торговое, профессиональное и технологическое ядро рынка ценных бумаг. Функционирование фондовых бирж в России регламентируется законом "О рынке ценных бумаг", а также постановлениями ФКЦБ. Российские фондовые биржи учреждаются в форме некоммерческого партнерства. Минимальный размер собственных средств фондовой биржи 30 000 000 рублей.
34. Фондовая биржа: функции, листинг и котировка ценных бумаг.
Фондовая биржа – это торговое, профессиональное и технологическое ядро рынка ценных бумаг. Листинг ценных бумаг – это процедура допуска ценных бумаг к обращению на фондовой бирже. Делистинг ценных бумаг – это процедура исключения ценных бумаг из числа обращающихся на фондовой бирже. Для того чтобы обращаться на фондовой бирже, ценные бумаги должны удовлетворять определенным требованиям, которые каждая фондовая биржа устанавливает самостоятельно. Основными из этих требований являются: финансовая устойчивость и крупные размеры эмитента; массовость ценных бумаг эмитента как однородного и стандартного товара; массовость спроса на данные ценные бумаги. Фондовая биржа выполняет следующие основные функции: -Создание постоянно действующего рынка ценных бумаг. -Определение цен на ценные бумаги. -Распространение информации о ценных бумагах, их ценах, условиях обращения. -Поддержание профессионализма финансовых и торговых посредников. -Выработка правил и процедур, связанных с функционированием биржи. -Индикация состояния экономики и финансового рынка. Котировка ценных бумаг – это публичное объявление цен покупки и продажи определенных ценных бумаг с обязательством покупки и продажи этих ценных бумаг по объявленным ценам. Котировка может быть односторонней, когда дилер объявляет только цену покупки или только цену продажи, и двусторонней, когда дилер объявляет и цену покупки, и цену продажи данной ценной бумаги. Котировка означает не только желание дилера совершать сделки по объявленным ценам, но и обязательство совершать сделки купли-продажи ценных бумаг по выставленным ценам с любым клиентом. Российские фондовые биржи учреждаются в форме некоммерческого партнерства. Они должны получить лицензию ФКЦБ профессионального участника рынка ценных бумаг на осуществление деятельности организатора торговли на рынке ценных бумаг и лицензию фондовой биржи. Минимальный размер собственных средств фондовой биржи 30 000 000 рублей.
35.Эмиссия ценных бумаг.
Эмиссия (лат. emissio –выпуск, от emitto –выпускаю) выпуск в обращение денег и ценных бумаг. Эмиссия ценных бумаг осуществляется эмитентом. Эмитент ценных бумаг – это юридическое лицо (хозяйствующий субъект), орган государственной исполнительной власти либо орган местного самоуправления, выпускающие ценные бумаги и частные лица, несущие от своего имени обязательства перед владельцами ценных бумаг по осуществлению прав, закрепленных ценными бумагами. Целью эмиссии ценных бумаг для компаний является привлечение внешних источников финансирования. Формально процедура эмиссии ценных бумаг начинается с принятия решения о выпуске ценных бумаг. Решение о выпуске ценных бумаг может принять только орган управления эмитента, уполномоченный на такие действия.
Решение о выпуске ценных бумаг оформляется в установленной нормативными документами форме и является одним из документов, которые эмитент представляет в регистрирующий орган для государственной регистрации выпуска ценных бумаг. Эмиссия любых эмиссионных ценных бумаг в Российской Федерации, также как и в мировой практике, подлежит процедуре государственной регистрации. Государственная регистрация выпуска ценных бумаг должна сопровождаться регистрацией их проспекта эмиссии, в следующих случаях: -В случае открытой подписки на ценные бумаги; -Во всех остальных случаях, если число приобретателей ценных бумаг превышает 500 .
После принятия решения о выпуске, подготовки проспекта эмиссии и иных необходимых документов, эмитент подает их в регистрирующий орган для процедуры государственной регистрации. Регистрирующими органы в России являются Федеральная комиссия по рынку ценных бумаг и ее региональные отделения, а также иные органы государственной власти. Регистрирующий орган, если эмитентом соблюдены все требования законодательства, регистрирует выпуск ценных бумаг. Суть этой процедуры заключается в том, что официально фиксируются обязательства эмитента. Выпуску присваивается государственный регистрационный номер, который заносится в специальный реестр. После государственной регистрации выпуска эмитент получает право размещать ценные бумаги. Итак, выпуск зарегистрирован, информация раскрыта, сертификаты отпечатаны. Можно размещать ценные бумаги. Для эмитента этот этап является очень важным – ведь именно при продаже ценных бумаг деньги от такой продажи поступают на счет эмитента.
36. Регулирование рынка ценных бумаг и правовая инфраструктура.
Ценные бумаги и отношения, возникающие в процессе совершения сделок с ними, составляют особый предмет правового регулирования нескольких отраслей права России. Основными источниками правового регулирования рынка ценных бумаг, содержащими гражданско-правовые нормы, являются Конституция и Гражданский кодекс Российской Федерации. Так, статья 34 Конституции Российской Федерации устанавливает право каждого на свободное использование своих способностей и имущества для предпринимательской и иной, не запрещенной законом экономической деятельности. Гарантии иметь имущество в собственности (включая ценные бумаги), владеть, пользоваться и распоряжаться им как единолично, так и совместно с другими лицами закреплены статьей 35 Конституции. Гражданский кодекс Российской Федерации содержит понятие ценной бумаги как одного из видов объектов гражданских прав, основные правила совершения сделок с ними, порядок удостоверения, осуществления и защиты прав, закрепленных ценными бумагами. Среди федеральных законов особое значение имеет закон «О рынке ценных бумаг», который устанавливает правовое положение субъектов рынка ценных бумаг, порядок осуществления профессиональных видов деятельности. Кроме этого закон большое внимание уделяет регулированию эмиссии ценных бумаг, процедуре раскрытия информации, гражданско-правовой ответственности, возникающей на рынке ценных бумаг. Гражданское право не является единственной отраслью права, определяющей нормы поведения на рынке ценных бумаг. Отдельные общественные отношения, складывающиеся в этой сфере, урегулированы административным правом. К ним, в частности, относятся компетенция и порядок принятия решений государственными органами, методы государственного регулирования рынка ценных бумаг. Не менее важное значение для правового регулирования рынка ценных бумаг имеет финансовое право в части налогообложения операций с ценными бумагами. Налоговые платежи составляют основу доходной части государственного бюджета. Правовое регулирование общественных отношений в сфере рынка ценных бумаг осуществляется также и уголовным правом. В частности, уголовно наказуемыми деяниями в соответствии со статьей 185 Уголовного кодекса Российской Федерации признаются злоупотребления при выпуске (эмиссии)ценных бумаг. Таким образом, совокупность нормативных актов, регулирующие рынок ценных бумаг, образуют систему законодательства Российской Федерации о ценных бумагах. В основе данной системы лежит Конституция и международные договоры Российской Федерации. Дальнейшая система в зависимости от юридической силы нормативного акта представлена федеральными законами, нормативными актами Президента и Правительства Российской Федерации и замыкается нормативными актами министерств и ведомств. К числу последних относятся постановления Федеральной комиссии по рынку ценных бумаг, приказы Министерства финансов и Центрального Банка Российской Федерации. Особое место занимают акты высших судебных органов (Верховного Суда и Высшего Арбитражного Суда Российской Федерации), которые хотя и не являются источником права в России, однако должны учитываться нижестоящими судами при разрешении конкретных споров.
37.Инвестирование в ценные бумаги.
В обыденном сознании под термином «инвестировать деньги» мы понимаем «пустить деньги в оборот», «выгодно вложить деньги», предполагая, что через какое-то время они вернутся с прибылью. Инвестиции –
это вложение свободных денежных средств в различные активы с целью получить прибыль. Инвестиции подразделяются на инвестиции в финансовые активы и инвестиции в материальные активы. Инвестиции в ценные бумаги –
это покупка ценных бумаг от своего имени и за свой счет, на свой страх и риск. Таким образом, инвестиции в ценные бумаги относятся к финансовым инвестициям. Инвестор на рынке ценных бумаг –
это лицо (юридическое или физическое), покупающее ценные бумаги от своего имени и за свой счет. Инвестиционная деятельность на рынке ценных бумаг требует специальных знаний не только о фондовом, но и о финансовом рынке в целом, о закономерностях развития экономики и производства, а также навыков экономического и финансового анализа, обработки разнообразной информации. То есть мы можем сказать, что инвестирование в ценные бумаги требует знаний и профессионализма, но в соответствии с законом «О рынке ценных бумаг» юридически инвестиционная деятельность не является профессиональной. Это означает, что для осуществления инвестиций в ценные бумаги (покупки ценных бумаг) не требуется получения специальной лицензии Федеральной комиссии по рынку ценных бумаг. Все инвесторы, вкладывая свои деньги в ценные бумаги, преследуют достижение ряда целей. Эти цели инвестирования следующие:
Надежность вложений
- неуязвимость инвестиций от потрясений на финансовом рынке и стабильность получения дохода, то есть отсутствие риска потерь капитала (под капиталом понимаются и вложенные средства, и предстоящие доходы). Безопасность вложений всегда достигается в ущерб доходности. Самыми безопасными считаются краткосрочные обязательства государства, недаром ставка доходности по ним называется «ставкой без риска». Надежными являются и облигации крупных, хорошо известных компаний.
Доходность вложений,
то есть получение текущего дохода на вложенный капитал (дивидендов на акции, процентов на облигации). Более доходными, но не безопасными, по сравнению с государственными ценными бумагами, являются ценные бумаги частных предприятий, банков, компаний. Рост вложений,
то есть увеличение вложенных средств за счет роста курсовой стоимости ценных бумаг. Рост вложений обеспечивают только акции. Ликвидность вложений
, то есть возможность быстро и без потерь продать ценные бумаги, превратить их в деньги. Кроме этих стандартных целей у инвестора могут быть и специфические цели инвестирования, например, обеспечение доступа к каким-либо видам ресурсов, достижение полного контроля над предприятием и так далее.
38.Инвестиционные фонды.
У любого инвестора есть два пути инвестирования в ценные бумаги: покупать ценные бумаги индивидуально
, самостоятельно, или через систему коллективных инвестиций.
Инвестиционный фонд – это механизм аккумулирования денежных средств мелких инвесторов (юридических и физических лиц) в единый денежный пул для последующего профессионального управления этими средствами как единым инвестиционным портфелем.
Как функционирует инвестиционный фонд? Мелкий инвестор, решив стать вкладчиком фонда, покупает акции или паи конкретного инвестиционного фонда. Деньги от продажи акций или паев становятся собственностью фонда, а инвестор становится собственником акций или паев фонда. Инвестиционный фонд деньги, полученные от инвесторов, использует для покупки ценных бумаг, валюты, а также может положить на депозит в банк. Эти финансовые активы приносят фонду доход в виде роста курсовой стоимости акций, дивидендов, процентов. Получается, что инвестиционный фонд выступает как посредник, помощник инвестора в его инвестициях на фондовом рынке. В России на сегодняшний день наиболее ярким примером инвестиционного фонда являются паевые инвестиционные фонды
. Можно выделить ряд основных преимуществ, которые обеспечивает инвестиционный фонд своим инвесторам (вкладчикам, пайщикам): -Профессиональное управление активами инвестиционных фондов
. -Снижение риска инвестирования
. Вся деятельность на финансовых рынках связана с риском, то есть с возможностью потерь как инвестированных сумм, так и доходов по ним. Вложения в инвестиционный фонд не устраняют риск, но существенно снижают его, в первую очередь за счет диверсификации активов фонда. -Снижение затрат на управление инвестициями
. Инвестиционный фонд в качестве крупного инвестора дает возможность снизить затраты на управление инвестиционным портфелем по двум направлениям: во-первых, выступая оптовым покупателем, инвестиционный фонд может получить существенные льготы в цене по сравнению с мелким розничным покупателем, как и на любом другом рынке. Во-вторых, инвестиционный фонд снижает операционные и накладные расходы в расчете на единицу инвестирования. -Повышенная надежность вложений в инвестиционные фонды
. Поскольку деятельность инвестиционных фондов затрагивает интересы огромного числа мелких вкладчиков, сами инвестиционные фонды очень строго контролируются государством. Права инвесторов защищены юридически и фактически путем эффективно работающих механизмов контроля за инвестиционными фондами. -Высокая ликвидность инвестиций в инвестиционные фонды
. Ликвидность вложений на развитых финансовых рынках обеспечивается тем, что инвестор по своему желанию может продать свой «пай» в любой момент либо на вторичном рынке – на фондовой бирже, либо потребовав выкупа этого «пая» самим инвестиционным фондом. -Налоговые льготы
. Во многих странах инвестиции в инвестиционные фонды обеспечивают более льготное налогообложение инвесторов, как юридических, так и физических лиц.
39.Регулятивная инфраструктура рынка ценных бумаг.
Регулирование рынка ценных бумаг
– это упорядочение деятельности всех его участников (эмитентов, инвесторов, профессиональных участников рынка ценных бумаг) и сделок между ними со стороны уполномоченных на это органов. Регулирование рынка ценных бумаг (как и любого другого объекта) можно разделить на внутреннее и внешнее регулирование. Внутреннее регулирование
– это подчиненность участников рынка ценных бумаг собственным нормативным документам: уставу, правилам осуществления деятельности, стандартам деятельности и так далее. Внешнее регулирование
– это подчиненность деятельности участника рынка ценных бумаг нормативным актам государства, других организаций (например, саморегулируемых организаций), международным соглашения. К внешнему регулированию относится также общественное регулирование
, то есть воздействие общества на участников рынка ценных бумаг с использованием механизма общественного мнения. Часто именно реакция широкой публики является причиной тех или иных регулирующих действий со стороны государства или саморегулируемых организаций. Регулирование рынка ценных бумаг преследует достижение следующих целей
: -Создание нормальных условий для функционирования рынка ценных бумаг, всех его участников; поддержание порядка на рынке ценных бумаг; -Защита участников рынка ценных бумаг от недобросовестных действий, мошенничества, преступлений со стороны отдельных лиц; -Обеспечение нормального ценообразования на рынке ценных бумаг на основе свободного формирования спроса и предложения финансовых инструментов; -Стимулирование развития рынка ценных бумаг как механизма перераспределения денежных ресурсов, его отдельных сегментов, создание новых сегментов рынка; -Использование рынка ценных бумаг для достижения специфических общественных целей (например, для повышения темпов роста экономического развития, разрешения кризиса неплатежей, снижения уровня безработицы и так далее). Регулятивная инфраструктура
– это одна из систем (наряду с информационной и депозитарно - клиринговой и регистраторской инфраструктурой рынка ценных бумаг), обеспечивающих нормальное функционирование рынка ценных бумаг. Она включает в себя следующие компоненты: -Регулятивные органы (государственные регулирующие органы и саморегулируемые организации); -Регулятивные функции и процедуры (законодательные, регистрирующие, лицензионные, аттестационные, контрольные, надзорные и так далее); -Правовая инфраструктура (законодательная и нормативная база функционирования рынка ценных бумаг); -Этика фондового рынка; -Традиции и обычаи.
40.Информационная инфраструктура рынка ценных бумаг.
В целом информацию для инвесторов можно сгруппировать таким образом, чтобы каждый из видов относился к одной из важных сторон процесса инвестирования. Экономическая и общеполитическая информация
характеризует общий фон, а также предоставляет фактический материал для прогнозирования тенденций в экономике, политике и социальной сфере в масштабах страны и всего мира. Информация о состоянии отрасли или компании
характеризует фактическую картину и прогнозные данные о развитии отрасли или компании. Она используется инвесторами для оценки хода дел в отрасли или в компании. Информация о различных финансовых инструментах
обеспечивает данные для прогнозирования поведения других (кроме акций, облигаций и опционов) ценных бумаг (например, инвестиционных паев), а также различных вложений в реальные активы. Информация о ценах
содержит текущие котировки цен на различные финансовые инструменты, курсы ценных бумаг. Информация о стратегиях индивидуальных вложений
состоит из рекомендаций по поводу вариантов инвестиционной стратегии или по поводу отдельных операций с финансовыми инструментами. Эта информация уже носит аналитический характер. В ходе принятия инвестиционных решений используются различные источники информации. В круг наиболее распространенных источников экономической и общеполитической информации входят специализированные финансовые газеты и журналы, газеты общего характера, информационно-аналитические бюллетени информационных агентств и фондовых бирж, информационные вестники банков и финансовых компаний. Важную роль в этом деле играет Издательский дом “Рынок ценных бумаг”. Его деятельность связана с развитием комплекса аналитических продуктов, охватывающих различные составляющие инфраструктуры рынка ценных бумаг, основным из которых является специализированный аналитический журнал “Рынок ценных бумаг”. К другим популярным источникам финансовой информации в России относятся: “Эксперт”, “Коммерсант-Ъ”, “Ведомости”. Выделим наиболее распространенные услуги на рынке финансовой информации:
-предоставление оперативной информации по финансовым рынкам, в т.ч. рынкам ценных бумаг; -аналитические исследования на финансовых, в т.ч. фондовых рынках; -финансовые консультации начинающим компаниям; -анализ портфелей ценных бумаг; - рейтинговые экспертизы ценных бумаг и публичных компаний. Теперь обратимся к конкретным представителям информационного бизнеса. «Патриархом» рынка информации по праву считается агентство Рейтер (Reuters)
. Корпорация Доу Джонс (Dow Jones
)
— крупнейший поставщик финансовой информации, контролирует более 60% мирового рынка информационных услуг, имеет американские корни, сохраняя там ведущие позиции, а также лучшую контрибуторскую сеть. Международная информационная система Тенфор (Tenfore)
— спутниковая система финансово-экономической информации, действующая в России с 1993 г. Информационное агентство Блумберг (Bloomberg
).
Это молодая и мобильная американская компания. Как и другие службы финансовой информации освещает все ключевые аспекты мирового финансового и фондового рынков
41.Первичная эмиссия рынка ценных бумаг.
Государственной регистрации подлежит первичная эмиссия ценных бумаг, т.е. продажа ценных бумаг эмитентами их первым владельцам (инвесторам). Первичная эмиссия ценных бумаг осуществляется при:
1)учреждении акционерного общества и размещение акций среди его учредителей;
2)увеличении размеров уставного капитала акционерного общества путем выпуска акций;
3)привлечении заемного капитала юридическими лицами, государством, государственными органами или органами местной администрации путем выпуска облигаций и иных долговых обязательств.
Первичная эмиссия ценных бумаг осуществляется в форме:
1)открытого (публичного) размещения ценных бумаг среди потенциально неограниченного круга инвесторов - с публичным объявлением, проведением рекламной компа-нии и регистрацией проспекта эмиссии;
2)закрытого (частного) размещения - без публичного объявления, без проведения рекламной компании, публикации и регистрации проспекта эмиссии среди заранее известного ограниченного круга инвесторов.
Процедура первичной эмиссии ценных бумаг включает следующие этапы:
1)при открытом размещении ценных бумаг:
а)принятие эмитентом решения о выпуске ценных бумаг;
б)подготовка и утверждение проспекта эмиссии ценных бумаг эмитентом;
в)регистрация ценных бумаг на основании представленных нотариально заверенных копий учредительных документов и проспекта эмиссии;
г)издание проспекта эмиссии и публикация сообщения о подписке на ценные бумаги;
д)размещение ценных бумаг;
2) в случае закрытого размещения ценных бумаг:
а)принятие эмитентом решения о выпуске ценных бумаг;
б)регистрация ценных бумаг;
в)размещение ценных бумаг;
Регистрация ценных бумаг производится следующим образом:
1.В Министерстве финансов Российской Федерации :
а) если сумма эмиссии равна или выше 50 млрд. руб., а также при последующих выпусках, при которых общая сумма всех ценных бумаг одного вида будет равна или свыше 50 млрд. руб.;
б)в случае эмиссии ценных бумаг независимо от суммы эмиссии органами государственной власти и управления республики в составе Российской Федерации, краев, областей, городов, районов.
2.В министерствах финансов республик в составе Российской Федерации, краевыми, областными, городскими,(Москва и Санкт-Петербург) финансовыми отделами по месту нахождения эмитента:
а)если сумма эмиссии не превышает 50 млрд. руб., а также при последующих выпусках, при которых общая сумма всех выпущенных ценных бумаг одного вида менее 50 млрд. руб.;
3.В Центральном банке Российской Федерации в случае эмиссии ценных бумаг банками и иными кредитными учреж-дениями независимо от суммы эмиссии. Владелец ценной бумаги получает доход от ее владения и распоряжения. Доход от распоряжения ценной бумагой - это доход от продажи ее по рыночной стоимости, когда она превышает номинальную или первоначальную стоимость.
42. Механизм заключения сделки на фондовой бирже.
В зависимости от механизма организации биржевой торговли и техники заключения сделок, факт покупки-продажи ценных бумаг в операционном зале биржи оформляется либо маклерской запиской, подписанной участниками сделки, с соответствующей записью в операционном журнале, либо подписанием договора купли-продажи между брокерами; либо занесением проведённой операции в компьютерную систему и выдачей сторонам соответствующей бумажной распечатки, либо в какой-то иной форме. Одним словом, заключённые сделки должны быть зарегистрированы тем или иным способом.
Таким образом, заключение сделки:— это лишь первый этап на пути движения ценной бумаги от продавца к покупателю. В дальнейшем заключённые сделки проходят этапы сверки, клиринга и исполнения.
День заключения сделки, как это принято в международной практике и специальной литературе, будем обозначать днем «Т» (от англ. «trade»). Все остальные этапы сделки проходят позднее и их принято сопоставлять с первым днём — днём «Т».
Следующий этап сделки — это сверка всех параметров заключённой сделки. Участники сделки должны ознакомиться с условиями сделки и урегулировать все возникшие расхождения, если таковые имеются. Осо-бенно различного рода ошибки и случайности возможны, когда сделки заключаются в устной форме. Итогом успешной сверки могут быть, в зависимости от механизма организации сверки, либо письменные записки,либо компьютерные распечатки от контрагентов друг другу, либо специальные листы-сверки, если сверку осуществляют органы биржи. Как свидетельствует международная практика, обычно фондовые биржи организуют работу так, чтобы сверка осуществлялась не позднее второго рабочего дня (то есть дня «Т + 1»).
Следующий этап сделки — это проведение всех необходимых вычис-лений по сделке. При этом прежде всего определяется общая сумма заключённой сделки путём умножения цены одной бумаги на общее количество ценных бумаг. Эту сумму можно назвать номинальной ценой сделки.
После того, как произведены все необходимые вычисления, продавцу необходимо передать ценные бумаги покупателю, а покупателю перечис-лить деньги на счёт продавца. Если бы каждая сделка исполнялась отдельно от других сделок, то на современных крупных биржах потребовалось бы ежедневно производить десятки тысяч перемещений ценных бумаг от продавцов к покупателям. Поэтому практически все крупные биржи применяют систему взаимных зачётов встречных требований с целью снижения количества платежей и поставок ценных бумаг. Эта процедура называется клнрингом.
Суть клиринга состоит в том, чтобы провести так называемую «очистку» всех сделок, произведённых в определённый день, и тем самым свести к минимуму число перемещений ценных бумаг между продавцами и покупателями.
Последним этапом заключённой сделки является её исполнение, то есть поставка ценных бумаг покупателю и перевод денежных средств продавцу.
День исполнения сделки фиксируется при заключении сделки. Причём все кассовые сделки, заключённые на фондовой бирже в течение одного дня, должны исполняться также в один день.
43. Процедуры эмиссии, ее этапы. Андеррайтинг.
Под эмиссией
понимается процесс, в результате которого происходит появление новых ценных бумаг на фондовом рынке. Эмиссию можно подразделить на несколько этапов: -принятие решения об эмиссии; -осуществление выпуска (заполнение бланка); -регистрация (требуется не всегда). Таким образом, процедура эмиссии эмиссионных ценных бумаг включает следующие этапы: -Принятие эмитентом решения о размещении ценных бумаг; -Принятие эмитентом решения о выпуске ценных бумаг; -Подготовка проспекта эмиссии (в случае, если государственная регистрация выпуска ценных бумаг должна сопровождаться регистрацией их проспекта эмиссии); -Государственная регистрация выпуска ценных бумаг и, в необходимых случаях – регистрация проспекта эмиссии ценных бумаг; -Изготовление сертификатов ценных бумаг (в случае выпуска ценных бумаг в документарной форме) и раскрытие информации, содержащейся в проспекте эмиссии ценных бумаг (если государственная регистрация сопровождается регистрацией проспекта эмиссии ценных бумаг); -Размещение ценных бумаг; -Регистрация отчета об итогах выпуска ценных бумаг; -Раскрытие информации, содержащейся в отчете об итогах выпуска ценных бумаг в случае, если государственная регистрация сопровождалась регистрацией проспекта эмиссии ценных бумаг. Эмитент, который планирует привлечь средства на основе выпуска ценных бумаг, имеет две принципиально отличные возможности: организовать эмиссию и размещение ценных бумаг самостоятельно или привлечь для этой цели профессионалов рынка ценных бумаг, то есть привлечь для этой цели андеррайтеров. Услуги, оказываемые эмитентам андеррайтерами, называются андеррайтингом ценных бумаг.
Сам термин «андеррайтинг»
(underwriting) возник во времена становления морского страхования, когда купец в качестве третьей стороны ставил свою подпись (write) под (under) суммой и слагаемыми риска, которые он согласен был покрыть. Андеррайтер -
это профессиональный участник рынка ценных бумаг (финансовый консультант)или группа профессиональных участников рынка ценных бумаг, обслуживающие и гарантирующие эмиссию ценных бумаг эмитента, осуществляющие их покупку для дальнейшей перепродажи широкой публике. Андеррайтинг ценных бумаг
– это организация эмиссии ценных бумаг для клиента – эмитента ценных бумаг и гарантирование в той или иной форме их размещения на первичном рынке. Выбор андеррайтера является важной частью подготовки эмиссии ценных бумаг. Андеррайтер выполняет ряд функций, которые условно можно разделить на 4 группы: -Подготовка эмиссии ценных бумаг; -Распределение эмиссии ценных бумаг; -Послерыночная поддержка ценных бумаг; -Аналитическая и исследовательская поддержка ценных бумаг.
После государственной регистрации выпуска начинается размещение ценных бумаг, которое андеррайтинг осуществляет или как прямой выкуп всего или части выпуска эмитента, или размещает ценные бумаги через эмиссионный синдикат, или размещает путем поиска инвесторов и предложения широкой публике. Различают два принципиально отличающихся вида андеррайтинга: -Андеррайтинг на базе твердых обязательств. Андеррайтер берет на себя обязательство выкупить у эмитента всю или часть эмиссии. -Андеррайтинг на базе лучших усилий. Андерратер берет на себя обязательство приложить все возможные усилия для размещения ценных бумаг, на не берет обязательства выкупать ценные бумаги. Обычно андеррайтинг осуществляет не один профессиональный участник рынка ценных бумаг, а их группа, то есть создается эмиссионный (андеррайтинговый) синдикат
.
44. Листинг ценных бумаг на фондовой бирже.
Одной из важнейших функций фондовой биржи является листинг. Процесс обращения фондовых ценностей на всех официально зарегистрированных фондовых биржах может осуществляться только с ценными бумагами, которые успешно прошли специальную биржевую процедуру, т.е. листинг - буквально «включение в список». Всякой компании необходимо внести в лист (список) соответствующей биржи свои ценные бумаги, что является официальной предпосылкой для пропуска к торговле. К преимуществам листинга и соответственно участия в биржевых торгах относится прежде всего высокая мартабильность, т.е. годность для реализации на рынке, повышенный уровень ликвидности ценных бумаг, а также очевидные выгоды от явной стабильности их цены. Процесс образования фондовых ценностей под постоянным контролем непосредственно регулируется самой биржей, которая таким образом предохраняет заключаемые на торгах сделки от появления на них элементов мошенничества и злоупотребления. Инвестор, покупатель ценных бумаг, включенных в котировочный лист биржи, может быть уверен, что получит достоверную и своевременную информацию о компании - эмитенте и рынке ее ценных бумаг. Он должен иметь возможность оценить перспективы экономического развития эмитента и качество его ценных бумаг. Таким образом, всякий инвестор, решивший вложить средства во внесенные в листы фондовые ценности, вместе с ними автоматически приобретает и полный набор всех преимуществ, которые включает в себя комплекс средств защиты, предлагаемый фондовой биржей. Фондовая биржа, однако не гарантирует доходность инвестиций в акции компании, прошедшей листинг. Также компании, внесенные в такие списки получают большую известность и популярность (паблиситы) среди лиц, занятых в сфере инвестиций. Биржа - это система поддержки рыночной стоимости акций. При поглощении и слиянии компаний оценка стоимости активов опирается на курсовую рыночную стоимость акций, а не на книжную, балансовую. Листинг в ряде стран является основанием для предоставления компании определенных более существенных скидок при налогообложении. Таким образом листинг - это система поддержки рынка, которая создает благоприятные условия для организованного рынка, позволяет выявить наиболее надежные и качественные ценные бумаги и способствует повышению их ликвидности. В нашей стране листинг пока не оказывает сколько -нибудь значительного влияния на оценку качества ценной бумаги как с точкм зрения инвестора, так и эмитента.
45.Государственное регулирование рынка ценных бумаг РФ.
Государственное регулирование на рынке ценных бумаг можно разделить на прямое и косвенное регулирование. Прямое (административное) государственное регулирование
осуществляется посредством установления обязательных требований, предъявляемых к участникам рынка ценных бумаг, лицензирования профессиональной деятельности на рынке ценных бумаг, государственной регистрацией самих ценных бумаг, путем обеспечения гласности и равной информированности участников рынка, поддержания правопорядка и так далее. Косвенное (экономическое) государственное регулирование рынка ценных бумаг
осуществляется такими методами, как, например, проведение определенной налоговой политики, денежной политики, политики в области формирования и использования средств государственного бюджета, политики в области управления государственной собственностью и так далее. Государство на рынке ценных бумаг выполняет следующие функции
: -Идеологическая
, то есть разработка концепции развития рынка ценных бумаг и программы ее реализации; -Законодательная
, то есть законодательное и нормативное обеспечение функционирования рынка ценных бумаг; -Административная
, то есть прямое административное регулирование участников рынка; -Стимулирующая
, то есть использование всех возможных инструментов воздействия на рынок ценных бумаг с целью его развития, создание эффективного механизма перераспределения денежных ресурсов в наиболее важные и значимые сектора экономики; -Надзорная и контрольная
, то есть предотвращение нарушений со стороны различных участников рынка ценных бумаг; -Арбитражная,
то есть разрешение споров между участниками рынка ценных бумаг через систему судебных органов. Таким образом можно сказать, что государство является одним из основных регуляторов
рынка ценных бумаг. Кроме этого государство выступает в качестве участника
рынка ценных бумаг, а именно: -Государство является крупнейшим заемщиком - эмитентом
облигаций федеральных, субфедеральных и муниципальных займов (в лице органов власти Российской Федерации, субъектов Российской Федерации, муниципальных образований); -Государство является крупнейшим инвестором
на рынке ценных бумаг, владея закрепленными в федеральной и муниципальной собственности пакетами акций приватизированных предприятий; -Государство выполняет функции профессионального участника
рынка ценных бумаг в лице Центрального Банка РФ, являющегося посредником, участвующим в размещении государственных ценных бумаг и крупнейшим дилером на этом сегменте рынка. Основным органом государственной исполнительной власти Российской Федерации, осуществляющим регулирование рынка ценных бумаг, является Федеральная комиссия по рынку ценных бумаг (ФКЦБ).
Именно ФКЦБ: -Проводит государственную политику в области рынка ценных бумаг; -Осуществляет контроль за деятельностью профессиональных участников рынка ценных бумаг; -Обеспечивает защиту прав инвесторов, акционеров и вкладчиков на рынке ценных бумаг. Основная задача ФКЦБ России состоит в создании равных и взаимовыгодных условий функционирования рынка ценных бумаг, реализации единой государственной политики по развитию рынка ценных бумаг, защите прав инвесторов. Органом государственного управления в сфере рынка ценных бумаг является также Министерство финансов Российской Федерации. К его компетенции относится ряд вопросов, связанных с установлением правил бухгалтерского учета операций с ценными бумагами, проведением государственной политики в области эмиссии государственных ценных бумаг, Министерство финансов участвует также в разработке предложений по развитию рынка ценных бумаг. Основными органами, осуществляющими профессиональное
регулирование рынка ценных бумаг являются саморегулируемые организации. Саморегулируемые организации
– это добровольные объединения профессиональных участников рынка ценных бумаг по видам деятельности, приобретающие статус саморегулируемой организации на основании разрешения ФКЦБ.
46.Условия размещения государственных ценных бумаг на рынке.
Размещение ГЦБ.
· Через ЦБ или МинФин
· В бумажной (балансовой) формах (в виде записей на счетах в уполномоченных депозитариях)
· Разнообразными методами: аукционные торги, открытые продажи, закрытое распространение
Виды ГЦБ в новейшей истории:
1.
Государственные долгосрочные облигации (ГДО)
Номинал – 100 тыс.руб. (в ценах 1991 года)
Срок обращения – 10 лет (01.07.91 – 30.06.01)
Купонная ставка – 15%.
Обращение только между ЮЛ. Котировки устанавливаются ЦБ РФ еженедельно.
2.
Государственные краткосрочные бескупонные облигации (ГКО)
Выпуск – с 1993 года.
Сроки обращения – 3, 6, 12 месяцев.
Номинал – от 10 рублей.
Форма существования – бездокументарная.
Форма выплаты % - дисконт.
Место торговли – ММВБ.
3.
Облигации федерального займа (ОФЗ)
Начало выпуска – с июня 1995 года.
Срок обращения – свыше 1 года.
Номинал – 1000 рублей.
Эмитент – МинФин РФ.
Форма владения – именная.
Форма выплаты дохода – фиксированная и переменная купонная ставка.
Место торговли – ММВБ.
4.
Облигации государственного сберегательного займа (ОГСЗ)
Начало выпуска – август 1995 года.
Срок обращения – 1-2 года.
Номинал – 100 и 500 рублей.
Форма существования – документарная.
Эмитент – МинФин РФ.
Форма владения – предъявительская.
Форма выплаты дохода – купонная.
Владельцы – ЮЛ и ФЛ.
5.
Государственные облигации, погашаемые золотом (золотые сертификаты).
Сущность – предоставляют владельцу право получать при погашении сертификата 1 кг золота.
Эмитент – МинФин РФ.
Форма существования – документарная.
Форма владения – именная цб.
Наличие дохода – беспроцентная.
Номинал: цена покупки БР за 1 кг золота.
47.Депозитарии на рынке ценных бумаг.
Депозитарная деятельность
состоит в том, что профессиональный участник рынка ценных бумаг (депозитарий
) на основании депозитарного договора
оказывает своим клиентам услуги по хранению
сертификатов ценных бумаг и учету и переходу
прав
на ценные бумаги. Депозитарием может быть только юридическое лицо, коммерческая или некоммерческая организация.
Следует заметить, что депозитарий не просто хранит ценные бумаги (сертификаты), но обязательно учитывает права на эти ценные бумаги. Если бумаги выпущены в бездокументарной форме, то депозитарий только учитывает права на такие бумаги. Учет прав осуществляется на специальных счетах, которые называются счета-депо.
Клиент депозитария называется депонентом,
а договор между депозитарием и депонентом – депозитарным договором или договором о счете депо.
Депозитариями на рынке ценных бумаг в России выступают многие банки, выступающие профессиональными участниками рынка ценных бумаг, брокерско-дилерские компании, которые совмещают депозитарную деятельность с брокерско-лиреской деятельностью на рынке ценных бумаг.
Депозитарий в соответствии с депозитарным договором имеет право регистрироваться в системе ведения реестра
владельцевценных бумаг или у другого депозитария в качестве номинального держателя. Номинальный держатель
- это лицо, зарегистрированное в реестре владельцев ценных бумаг (в реестре акционеров), но не являющееся собственником этих ценных бумаг. Институт номинального держателя необходим потому, что права на именные бездокументарные ценные бумаги могут быть учтены только в одном месте – либо в реестре владельцев ценных бумаг, либо в депозитарии. Если такие права учтены в депозитарии, то сам депозитарий как держатель этих бумаг в реестре числится именно как держатель, но не как владелец.
Можно выделить два типа депозитариев: расчетный и кастодиальный. Расчетный депозитарий –
это депозитарий, который обслуживает участников торговли на какой-либо фондовой бирже или нескольких фондовых биржах. Ведь торговля на фондовой бирже осуществляется не всеми, а лишь отдельными ценными бумагами, которые прошли процедуру допуска к торговле на этой бирже. Операции на бирже также может совершать не любой желающий, а только дилеры и брокеры, являющиеся членами данной биржи. Вот эти-то лица и являются клиентами расчетного депозитария. Расчетный депозитарий всем своим депонентам предлагает одинаковый набор услуг и стандартные условия обслуживания, заключая с ними стандартный договор. Так, расчетным депозитарием Московской межбанковской валютной биржи является Национальный депозитарный центр, а Российской торговой системы – Депозитарно-клиринговая компания.
Кастодиальный депозитарий
предлагает своим клиентам индивидуальные условия обслуживания. Его клиентами являются инвесторы, как правило не являющиеся профессиональными участниками рынка ценных бумаг. Деятельность кастодиального депозитария не связана с проведением операций на фондовой бирже. В отдельную группу клиентов такого депозитария можно выделить институциональных инвесторов. Ведь их ценные бумаги могут храниться только в депозитарии, причем не в любом, а имеющем на это специальное разрешение государственных регулирующих органов. Такой депозитарий не только хранит активы, например, инвестиционных фондов, но еще и контролирует деятельность управляющей компании этих фондов.
48.Информационное обеспечение рынка ценных бумаг.
В целом информацию для инвесторов можно сгруппировать таким образом, чтобы каждый из видов относился к одной из важных сторон процесса инвестирования. Экономическая и общеполитическая информация
характеризует общий фон, а также предоставляет фактический материал для прогнозирования тенденций в экономике, политике и социальной сфере в масштабах страны и всего мира. Информация о состоянии отрасли или компании
характеризует фактическую картину и прогнозные данные о развитии отрасли или компании. Она используется инвесторами для оценки хода дел в отрасли или в компании. Информация о различных финансовых инструментах
обеспечивает данные для прогнозирования поведения других (кроме акций, облигаций и опционов) ценных бумаг (например, инвестиционных паев), а также различных вложений в реальные активы. Информация о ценах
содержит текущие котировки цен на различные финансовые инструменты, курсы ценных бумаг. Информация о стратегиях индивидуальных вложений
состоит из рекомендаций по поводу вариантов инвестиционной стратегии или по поводу отдельных операций с финансовыми инструментами. Эта информация уже носит аналитический характер. В ходе принятия инвестиционных решений используются различные источники информации. В круг наиболее распространенных источников экономической и общеполитической информации входят специализированные финансовые газеты и журналы, газеты общего характера, информационно-аналитические бюллетени информационных агентств и фондовых бирж, информационные вестники банков и финансовых компаний. Важную роль в этом деле играет Издательский дом “Рынок ценных бумаг”. Его деятельность связана с развитием комплекса аналитических продуктов, охватывающих различные составляющие инфраструктуры рынка ценных бумаг, основным из которых является специализированный аналитический журнал “Рынок ценных бумаг”. К другим популярным источникам финансовой информации в России относятся: “Эксперт”, “Коммерсант-Ъ”, “Ведомости”. Выделим наиболее распространенные услуги на рынке финансовой информации:
-предоставление оперативной информации по финансовым рынкам, в т.ч. рынкам ценных бумаг; -аналитические исследования на финансовых, в т.ч. фондовых рынках; -финансовые консультации начинающим компаниям; -анализ портфелей ценных бумаг; - рейтинговые экспертизы ценных бумаг и публичных компаний. Теперь обратимся к конкретным представителям информационного бизнеса. «Патриархом» рынка информации по праву считается агентство Рейтер (Reuters)
. Корпорация Доу Джонс (Dow Jones
)
— крупнейший поставщик финансовой информации, контролирует более 60% мирового рынка информационных услуг, имеет американские корни, сохраняя там ведущие позиции, а также лучшую контрибуторскую сеть. Международная информационная система Тенфор (Tenfore)
— спутниковая система финансово-экономической информации, действующая в России с 1993 г. Информационное агентство Блумберг (Bloomberg
).
Это молодая и мобильная американская компания. Как и другие службы финансовой информации освещает все ключевые аспекты мирового финансового и фондового рынков
49. Депозитарно-клиринговая инфраструктура: понятие, функции, организационное устройство.
Деятельность по определению взаимных обязательств (клиринг)
заключается в сборе информации по сделкам с ценными бумагами, ее сверке и корректировке и подготовке бухгалтерских документов, а также зачету по поставкам ценных бумаг и расчетам по ним. Этим видом деятельности может заниматься только юридическое лицо, коммерческая или некоммерческая организация.
Клиринговые организации обслуживают организованные рынки ценных бумаг, то есть фондовые биржи и организованные внебиржевые системы торговли ценными бумагами. Ведь на бирже могут в течение одной торговой сессии быть заключены многие тысячи сделать, и все их нужно «уладить» – провести расчеты между участниками и по ценным бумагам, и по денежным средствам. Этим и занимаются клиринговые организации.
Особую роль клиринговые организации играют на биржах, на которых проводятся операции с производными финансовыми инструментами (фьючерсами, опционами). Обычно они называются расчетными палатами.
Депозитарная деятельность
состоит в том, что профессиональный участник рынка ценных бумаг (депозитарий
) на основании депозитарного договора
оказывает своим клиентам услуги по хранению
сертификатов ценных бумаг и учету и переходу
прав
на ценные бумаги. Депозитарием может быть только юридическое лицо, коммерческая или некоммерческая организация.
Следует заметить, что депозитарий не просто хранит ценные бумаги (сертификаты), но обязательно учитывает права на эти ценные бумаги. Если бумаги выпущены в бездокументарной форме, то депозитарий только учитывает права на такие бумаги. Учет прав осуществляется на специальных счетах, которые называются счета-депо.
Клиент депозитария называется депонентом,
а договор между депозитарием и депонентом – депозитарным договором или договором о счете депо.
Депозитариями на рынке ценных бумаг в России выступают многие банки, выступающие профессиональными участниками рынка ценных бумаг, брокерско-дилерские компании, которые совмещают депозитарную деятельность с брокерско-лиреской деятельностью на рынке ценных бумаг.
Депозитарий в соответствии с депозитарным договором имеет право регистрироваться в системе ведения реестра
владельцевценных бумаг или у другого депозитария в качестве номинального держателя. Номинальный держатель
- это лицо, зарегистрированное в реестре владельцев ценных бумаг (в реестре акционеров), но не являющееся собственником этих ценных бумаг. Институт номинального держателя необходим потому, что права на именные бездокументарные ценные бумаги могут быть учтены только в одном месте – либо в реестре владельцев ценных бумаг, либо в депозитарии. Если такие права учтены в депозитарии, то сам депозитарий как держатель этих бумаг в реестре числится именно как держатель, но не как владелец.
Можно выделить два типа депозитариев: расчетный и кастодиальный. Расчетный депозитарий –
это депозитарий, который обслуживает участников торговли на какой-либо фондовой бирже или нескольких фондовых биржах. Ведь торговля на фондовой бирже осуществляется не всеми, а лишь отдельными ценными бумагами, которые прошли процедуру допуска к торговле на этой бирже. Операции на бирже также может совершать не любой желающий, а только дилеры и брокеры, являющиеся членами данной биржи. Вот эти-то лица и являются клиентами расчетного депозитария. Расчетный депозитарий всем своим депонентам предлагает одинаковый набор услуг и стандартные условия обслуживания, заключая с ними стандартный договор. Так, расчетным депозитарием Московской межбанковской валютной биржи является Национальный депозитарный центр, а Российской торговой системы – Депозитарно-клиринговая компания.
Кастодиальный депозитарий
предлагает своим клиентам индивидуальные условия обслуживания. Его клиентами являются инвесторы, как правило не являющиеся профессиональными участниками рынка ценных бумаг. Деятельность кастодиального депозитария не связана с проведением операций на фондовой бирже. В отдельную группу клиентов такого депозитария можно выделить институциональных инвесторов. Ведь их ценные бумаги могут храниться только в депозитарии, причем не в любом, а имеющем на это специальное разрешение государственных регулирующих органов. Такой депозитарий не только хранит активы, например, инвестиционных фондов, но еще и контролирует деятельность управляющей компании этих фондов.
50. Информационное обеспечение рынка ценных бумаг.
В целом информацию для инвесторов можно сгруппировать таким образом, чтобы каждый из видов относился к одной из важных сторон процесса инвестирования. Экономическая и общеполитическая информация
характеризует общий фон, а также предоставляет фактический материал для прогнозирования тенденций в экономике, политике и социальной сфере в масштабах страны и всего мира. Информация о состоянии отрасли или компании
характеризует фактическую картину и прогнозные данные о развитии отрасли или компании. Она используется инвесторами для оценки хода дел в отрасли или в компании. Информация о различных финансовых инструментах
обеспечивает данные для прогнозирования поведения других (кроме акций, облигаций и опционов) ценных бумаг (например, инвестиционных паев), а также различных вложений в реальные активы. Информация о ценах
содержит текущие котировки цен на различные финансовые инструменты, курсы ценных бумаг. Информация о стратегиях индивидуальных вложений
состоит из рекомендаций по поводу вариантов инвестиционной стратегии или по поводу отдельных операций с финансовыми инструментами. Эта информация уже носит аналитический характер. В ходе принятия инвестиционных решений используются различные источники информации. В круг наиболее распространенных источников экономической и общеполитической информации входят специализированные финансовые газеты и журналы, газеты общего характера, информационно-аналитические бюллетени информационных агентств и фондовых бирж, информационные вестники банков и финансовых компаний. Важную роль в этом деле играет Издательский дом “Рынок ценных бумаг”. Его деятельность связана с развитием комплекса аналитических продуктов, охватывающих различные составляющие инфраструктуры рынка ценных бумаг, основным из которых является специализированный аналитический журнал “Рынок ценных бумаг”. К другим популярным источникам финансовой информации в России относятся: “Эксперт”, “Коммерсант-Ъ”, “Ведомости”. Выделим наиболее распространенные услуги на рынке финансовой информации:
-предоставление оперативной информации по финансовым рынкам, в т.ч. рынкам ценных бумаг; -аналитические исследования на финансовых, в т.ч. фондовых рынках; -финансовые консультации начинающим компаниям; -анализ портфелей ценных бумаг; - рейтинговые экспертизы ценных бумаг и публичных компаний. Теперь обратимся к конкретным представителям информационного бизнеса. «Патриархом» рынка информации по праву считается агентство Рейтер (Reuters)
. Корпорация Доу Джонс (Dow Jones
)
— крупнейший поставщик финансовой информации, контролирует более 60% мирового рынка информационных услуг, имеет американские корни, сохраняя там ведущие позиции, а также лучшую контрибуторскую сеть. Международная информационная система Тенфор (Tenfore)
— спутниковая система финансово-экономической информации, действующая в России с 1993 г. Информационное агентство Блумберг (Bloomberg
).
Это молодая и мобильная американская компания. Как и другие службы финансовой информации освещает все ключевые аспекты мирового финансового и фондового рынков
|