Введение
Система бюджетирования
Существует достаточное количество определений, что такое бюджетирование, и, возможно, что большинство специалистов подразумевают под этим термином совершенно разные понятия.
С помощью бюджетирования предприятие может эффективно решать следующие задачи:
1. Прогнозировать и моделировать финансово-экономические ситуации с целью оценки необходимых ресурсов компании для реализации стратегических проектов (выход на новые рынки, производство новой продукции и т.д.) и достижения планируемых результатов развития компании.
2. Разработать планы работ соизмеримые с возможностью компании, т.е. с привязкой к производственным мощностям и финансированию.
3. Выделение ответственных лиц (ЦФО - центров финансовой ответственности) за выполнение плановых показателей.
4. Установка целевых показателей для менеджеров среднего и высшего звена и привязка мотивационной программы к выполнению ключевых показателей.
5. Осуществлять контроль за финансово-экономической деятельностью предприятия и принятием управленческих решений, как на этапе формирования плана, так и по фактическим данным.
1. Процесс бюджетирования
Процессбюджетирования представляет собой комплекс процедур направленных на эффективное управление предприятием. Чтобы процессбюджетирования выполнял поставленные задачи, предприятию необходима система бюджетирования.
Система бюджетирования включает в себя:
1. Бюджетный регламент
2. Положение о Бюджетировании
3. Автоматизированную Систему Бюджетного Управления
Если у предприятия отсутствует хотя бы одна из перечисленных составляющих, то говорить о том, что в данной организации осуществляется процессбюджетирования как минимум не корректно.
Бюджетный регламент описывает сроки и процедуры согласования бюджетов с указанием ответственных лиц. Положение о Бюджетировании содержит все принципы и алгоритмы формирования функциональных, операционных, инвестиционных и финансовых бюджетов, главных бюджетных форм, общие принципы и этапы бюджетного процесса, аналитические справочники, используемые в системе и методики консолидации данных, сбора фактических данных, контроля исполнения и анализа план-факта.
Забиваем Сайты В ТОП КУВАЛДОЙ - Уникальные возможности от SeoHammer
Каждая ссылка анализируется по трем пакетам оценки: SEO, Трафик и SMM.
SeoHammer делает продвижение сайта прозрачным и простым занятием.
Ссылки, вечные ссылки, статьи, упоминания, пресс-релизы - используйте по максимуму потенциал SeoHammer для продвижения вашего сайта.
Что умеет делать SeoHammer
— Продвижение в один клик, интеллектуальный подбор запросов, покупка самых лучших ссылок с высокой степенью качества у лучших бирж ссылок.
— Регулярная проверка качества ссылок по более чем 100 показателям и ежедневный пересчет показателей качества проекта.
— Все известные форматы ссылок: арендные ссылки, вечные ссылки, публикации (упоминания, мнения, отзывы, статьи, пресс-релизы).
— SeoHammer покажет, где рост или падение, а также запросы, на которые нужно обратить внимание.
SeoHammer еще предоставляет технологию Буст, она ускоряет продвижение в десятки раз,
а первые результаты появляются уже в течение первых 7 дней.
Зарегистрироваться и Начать продвижение
Когда необходимо разрабатывать систему бюджетирования на предприятии?
Разработку и внедрение системы бюджетирования так же как постановку управленческого учета не рекомендуется производить в процессе реструктуризации компании. В лучшем случае руководство рискует впустую потратить усилия и средства на разработку и внедрение системы, а в худшем - появится необходимость существенных доработок, которые по стоимости могут превзойти все предшествующие затраты по данному проекту.
Перед тем как начинать разрабатывать и внедрять систему бюджетирования на предприятии необходимо удостовериться, что организационная и финансовая структура предприятия не будет подвергаться в ближайшем будущем существенным изменениям. Также необходимо убедиться, что предприятие в ближайшем году не планирует кардинально менять вид деятельности или существенно "перекраивать" штат финансово-экономической службы. Штат финансово-экономической службы должен по возможности быть постоянен, так как эффективность работы в системе пользователей напрямую зависит от их активного участия в период разработки системы и ее опытной эксплуатации.
Система бюджетирования не может разрабатываться, не имея в качестве фундамента методологических документов - бюджетного регламента и положении о бюджетировании (либо методических рекомендаций по бюджетному управлению). Без четко описанных процедур согласования, форматов бюджетов, алгоритмов расчета, сроков предоставления бюджетных данных невозможно будет сформировать своевременный и корректный бюджет компании.
Для успешной реализации проекта по разработке и внедрению системы бюджетирования на предприятии необходимо иметь:
1. устоявшуюся и утвержденную финансовую и организационная структуру предприятия,
2. отсутствие текучести кадров в финансово-экономическом блоке,
3. разработанные и утвержденные методологические документы по бюджетированию (Бюджетные регламент, Положение о бюджетировании).
Что касается выбора временного периода для начала проекта по внедрению системы бюджетирования, то однозначного ответа на этот вопрос нет. Проект можно начинать в любое время года, однако необходимо учитывать планируемую дату завершения проекта, а точнее начало промышленной эксплуатации системы. Очевидно, что переходить на промышленную эксплуатацию системы предпочтительней в конце года, когда предприятие формирует бюджет на следующий год, так как годовой бюджет будет являться основой последующих скорректированных текущих месячных бюджетов компании и связующим звеном между стратегическими и оперативными целями предприятия.
Сервис онлайн-записи на собственном Telegram-боте
Попробуйте сервис онлайн-записи VisitTime на основе вашего собственного Telegram-бота:
— Разгрузит мастера, специалиста или компанию;
— Позволит гибко управлять расписанием и загрузкой;
— Разошлет оповещения о новых услугах или акциях;
— Позволит принять оплату на карту/кошелек/счет;
— Позволит записываться на групповые и персональные посещения;
— Поможет получить от клиента отзывы о визите к вам;
— Включает в себя сервис чаевых.
Для новых пользователей первый месяц бесплатно.
Зарегистрироваться в сервисе
2.Методология расчета бюджета предприятия
2.1.Формирование бюджета продаж предприятия.
Следует еще раз отметить, что бюджет объема продаж и его товарная структура, предопределяя уровень и общий характер всей деятельности предприятия, оказывают воздействие на большинство других бюджетов, которые по существу исходят из информации, определенной в бюджете продаж.
Таким образом, бюджет продаж является основополагающим бюджетом для любого предприятия, и именно от его корректного формирования зависит эффективность всего процесса бюджетного планирования. Составление бюджета продаж должно происходить параллельно с выбором производственной программы предприятия.
Только в этом случае можно получить наиболее реальный объем продаж, учитывающий совокупность следующих показателей:
· прогнозируемый спрос клиентов;
· величину нормируемых запасов и запасов, предполагаемых на начало планируемого периода;
· производственные мощности с учетом остановок производства и графиков ремонтов;
· внутреннюю потребность в полуфабрикатах и продуктах вспомогательного производства;
· предложение поставщиков сырья и материалов.
2.2.Организация производственного процесса на предприятии.
Порядок организации и выполнения работ по планированию производства внутри подразделений, включая распределение изделий (сборочных единиц, деталей) по участкам, бригадам, формирование оперативно-календарных планов запуска-выпуска деталей и сменно-суточных заданий, кроме организующих управленческих воздействий содержит достаточно сложный и трудоемкий расчет. Это диктует необходимость разработки программного обеспечения для принятия объективных решений в области управления производственным процессом предприятия.
2.3.Бюджеты обеспечения производственной деятельности предприятия.
В целях выполнения заданной производственной программы предприятия необходимо разработать ряд операционных бюджетов, позволяющих обеспечить бесперебойный процесс производства: Бюджет закупки сырья и материалов. Расчет закупок предприятия производится на основании сформированной производственной программы и выполняет следующие задачи:
· определение потребности предприятия по всем статьям затрат на производственную программу;
· определение закупок предприятия у конкретных поставщиков сырья и материалов.
Бюджет закупки сырья и материалов представляет собой план службы материально-технического снабжения (МТС). План МТС разрабатывается с учетом:
· производственной программы;
· нормативов запасов материальных ресурсов;
· норм расходов сырья, материалов, полуфабрикатов, топлива, комплектующих изделий;
· планов капитального строительства, реконструкции, подготовки производства новых изделий, работ по ремонту и эксплуатации оборудования, зданий, сооружений, бытовых объектов и т.д.;
· остатков материальных ресурсов на начало и конец планируемого периода;
· установленных и вновь налаживаемых связей с поставщиками;
· цен на все виды материально-технических ресурсов.
Потребность в материалах на основное производство (Gм.осн) определяется по формуле:
где Qi– объем выпуска продукции по каждому наименованию (шт.); ni – норма расхода материала на одно изделие с учетом технологических потерь (натур. ед.); m – количество наименований изделий.
Общая потребность в конкретных материалах(Gм) определяется по формуле:

гдеZн.з – норма запаса материала; Zм.ф – фактическое наличие материалов на предприятии; Gм.н.п – необходимое количество материалов для изменения незавершенного производства; Gм.экс – потребность в материалах для ремонтно-эксплуатационных и других нужд.
Потребность в материальных ресурсах определяется расходами на:
· основное производство, включая производство комплектующих изделий и запасных частей;
· изготовление технологической оснастки и инструмента;
· изготовление нестандартного оборудования и модернизация оборудования;
· реконструкцию цехов, участков;
· ремонтно-эксплуатационные нужды;
· капитальное строительство;
· работы социально-культурной и бытовой сфер;
· создание запасов.
2.4.Определение закупок предприятия у конкретных поставщиков сырья и материалов производится по следующему алгоритму:
а) на основании рассчитанной величины потребности и времени ее возникновения анализируется предложение существующих поставщиков предприятия; б) при наличии нескольких поставщиков аналогичного ресурса предпочтение отдается поставщику с большим рангом контракта. Ранг контракта определяется индивидуальными для каждого предприятия параметрами: ценой ресурсов, отсрочкой платежа, качеством ресурсов, стабильностью поставок и т.д.; в) при возникновении ограничений предложения поставщиков анализируется возможность закупки у них в предыдущие месяцы и при ее наличии производится закупка для образования сверхнормативных остатков, обеспечивающих будущее удовлетворение потребности; г) при отсутствии явно указанных поставщиков ресурсов делается допущение, что ресурс может быть приобретен в тот период, когда в нем возникла потребность, в нужном количестве и по базовым ценам.
2.5.Бюджет оплаты труда.
Оплата труда работников производится в виде заработной платы и устанавливается каждым предприятием самостоятельно, исходя из финансовых возможностей и особенностей производственного процесса. Однако основные принципы установления организации заработной платы являются общими для предприятий всех форм собственности.
При планировании заработной платы учитываются суммы, исчисленные по тарифным ставкам, окладам, основным расценкам, а также все виды доплат. Предприятие само вправе выбирать системы и формы оплаты труда. Планирование фонда заработной платы производится на весь списочный состав предприятия. Разделяют фонд заработной платы промышленно-производственного и непромышленного персонала. Фонд заработной платы ППП определяется по категориям работающих (рабочие, ИТР, служащие и т.д.).
При расчете бюджетного процесса фонд заработной платы формируется на основе прогноза нормируемых и условно-постоянных затрат.
2.6.Бюджет энергоносителей.
Бюджет энергоносителей является планом работы энергетического хозяйства предприятия.
Организация и эксплуатация энергохозяйства основаны на планировании производства в энергии и определении источников ее покрытия. Потребность в энергоресурсах устанавливается на основе норм их расхода и годовой программы выпуска продукции.
Кроме расхода энергии на производственные цели, учитываются ее затраты на освещение, вентиляцию, отопление, а также потери энергии в заводских сетях. Потребность в технологической энергии рассчитывается исходя из норм расхода по операциям или видам оборудования.
2.7.Сметы структурных подразделений предприятия.
Сметы структурных подразделений предприятия формируются по прогнозам нормируемых и условно-постоянных затрат и предназначены для детального определения потребности каждого подразделения в различных ресурсах, необходимых для нормальной работы в течении анализируемого периода. Смета представляется помесячно в натуральных единицах и служит безусловным запросом для выполнения после ее утверждения. Особенностью составления смет подразделений является возможность «вложенности» сметы одного подразделения в другое не только в полном объеме, но и в любом заданном процентном соотношении. Это позволяет организовать солидарную ответственность по одним и тем же затратам нескольких центров ответственности, не осуществляя при этом двойного учета затрат.
Завершающим этапом формирования смет подразделений является получение сводной сметы, отображающей общую картину по предприятию в целом.
3.Планирование финансовых результатов деятельности предприятия.
3.1.Расчет себестоимости продукции предприятия.
Себестоимость продукции (работ, услуг) представляет собой стоимостную оценку используемых в процессе производства продукции природных ресурсов, сырья, материалов, топлива, энергии, основных фондов, трудовых ресурсов, а также других затрат на ее производство и реализацию.
3.2.Калькуляция себестоимости единицы продукции включает группировку затрат по статьям:
· сырье и основные материалы с учетом транспортно-заготовительных расходов;
· покупные изделия, полуфабрикаты и услуги производственного характера сторонних организаций;
· возвратные отходы (вычитаются);
· вспомогательные материалы;
· топливо и энергия на технологические цели;
· основная заработная плата производственных рабочих;
· дополнительная заработная плата производственных рабочих (дополнительная заработная плата устанавливается, как правило, в процентах к основной заработной плате);
· отчисления на социальные нужды. (отчисления на социальные нужды включают отчисления: в пенсионный фонд, фонд обязательного медицинского страхования, фонд занятости, фонд социального страхования. Отчисления на социальные нужды производятся от суммы основной и дополнительной заработной платы);
· расходы на подготовку и освоение производства (затраты производятся в соответствии с Положением о составе затрат, включаемых в себестоимость);
· расходы на содержание и эксплуатацию оборудования;
· цеховые расходы;
· общезаводские расходы;
· потери от брака;
· прочие производственные расходы;
· внепроизводственные расходы (коммерческие расходы).
В состав расходов на эксплуатацию и содержание оборудования включаются:
· амортизация оборудования и транспортных средств;
· затраты на эксплуатацию оборудования (топливо, энергия и т.д.);
· затраты на ремонт;
· износ МБП.
В состав цеховых расходов входит:
· содержание аппарата управления цехом;
· содержание прочего персонала;
· амортизация зданий, сооружений, инвентаря;
· затраты на содержание зданий, сооружений, инвентаря;
· ремонт;
· испытания, рационализаторство, изобретательство;
· затраты на охрану труда;
· износ малоценного, быстроизнашивающегося инвентаря и прочие непроизводственные расходы.
Состав общезаводских расходов:
· затраты, связанные с управлением предприятием;
· подготовка кадров;
· остальные расходы аналогичны цеховым расходам.
В рамках бюджетного планирования необходимо рассчитать планируемую себестоимость производимой и реализуемой продукции в целях обеспечения базы для оценки рентабельности каждого продукта и прибыли от основной деятельности предприятия. Наиболее важным в расчете является точный учет затрат и наиболее корректное их распределение, а также определение влияния прогнозных колебаний стоимости основных затратных статей.
Методология расчета производственной и полной себестоимости продукции предприятия по каждому месяцу планируемого периода выглядит следующим образом.
На первом этапе происходит расчет производственной себестоимости продукции предприятия, которая состоит из прямых переменных затрат и общецеховых затрат. Прямые переменные затраты рассчитываются согласно нормам расхода и ценам на ресурсы с учетом индексов их изменения. Распределение общецеховых затрат производится согласно настроек пользователя, отражающих учетную политику конкретного предприятия.
На втором этапе производится расчет полной себестоимости продукции. В общем, виде полная себестоимость рассчитывается путем распределения общезаводских расходов пропорционально норме прибыли по производственной себестоимости. Общезаводские расходы распределяются только на продукцию подлежащую реализации. Однако в системе также предусмотрена возможность определения иной методики отнесения общезаводских затрат, в случае если предлагаемый алгоритм в точности не отражает специфику предприятия.
3.3.Расчет прибыли предприятия.
Уровень эффективности производства оценивается системой показателей, важнейшими из которых являются прибыль и рентабельность.
Прибыль – это часть чистого дохода, созданного в процессе производства и реализованного в сфере обращения, которую непосредственно получают предприятия. Количественно она представляет собой разность между выручкой (после уплаты НДС, акцизного налога и других отчислений из выручки в бюджетные и внебюджетные фонды) и полной себестоимостью реализованной продукции.
Различают следующие виды прибыли (на основе данных формы №2 бухгалтерского баланса предприятия):
Валовая прибыль = Выручка от продажи товаров, продукции, работ, услуг за минусом НДС, акцизов и аналогичных обязательных платежей – Себестоимость проданных товаров, продукции, работ, услуг
Прибыль от продаж = Валовая прибыль – Коммерческие расходы – Управленческие расходы
Прибыль до налогообложения = Прибыль от продаж + Операционные доходы – Операционные расходы + Внереализационные доходы – Внереализационные расходы
Прибыль от обычной деятельности = Прибыль до налогообложения – Налог на прибыль и другие аналогичные платежи Чистая прибыль (нераспределенная прибыль текущего года) = Прибыль от обычной деятельности + Чрезвычайные доходы – Чрезвычайные расходы
Порядок распределения чистой прибыли предприятия. Чистая прибыль может распределяться по направлениям указанным на рисунке 3.4.

Рисунок 1.– Распределение прибыли предприятия
Важнейшая роль прибыли определят необходимость правильного ее счисления и планирования. Планируется прибыль раздельно по видам:
· от реализации товарной продукции:
· от реализации прочей продукции и услуг нетоварного характера;
· от реализации основных фондов и другого имущества;
· от внереализационных доходов и расходов.
Основными способами планирования прибыли от реализации товарной продукции являются метод прямого счета и аналитический. Метод прямого счета наиболее распространен на предприятиях в современных условиях хозяйствования. Сущность его заключается в том, что прибыль исчисляется как разница между выручкой от реализации продукции в соответствующих ценах и полной ее себестоимостью за вычетом НДС и акцизов.
Аналитический метод применяется при большом ассортименте выпускаемой продукции, а также как дополнение к прямому методу в целях его проверки и контроля. При аналитическом методе прибыль определяется не по каждому виду выпускаемой в планируемом году продукции, а по всей сравнимой продукции в целом. Прибыль по несравнимой продукции определяется отдельно.
Прибыль в отчетном периоде принимается в соответствии с уровнем цен, действовавших к концу года. Поэтому если в течение истекшего года имели место изменения цен или ставок налога на добавленную стоимость и акцизов, повлиявшие на сумму прибыли, они учитываются при определении ожидаемой прибыли за весь отчетный период независимо от времени изменений.
Кроме изложенных выше методов планирования прибыли существует так называемый метод совмещенного расчета. В этом случае применяются элементы первого и второго способов. Так, стоимость товарной продукции в ценах планируемого года и по себестоимости отчетного года определяется методом прямого счета, а воздействие на плановую прибыль таких факторов, как изменение себестоимости, повышение качества, изменение ассортимента, цен и другие, выявляется с помощью аналитического метода.
Расчет плановой прибыли должен быть экономически обоснованным, что позволит осуществлять своевременное и полное финансирование инвестиций, прироста собственных оборотных средств, соответствующих выплат рабочим и служащим, а также своевременные расчеты с бюджетом, банками и поставщиками.
Рентабельность служит для оценки эффективности производства, т.к. два одинаковых предприятия могут получить равную прибыль при одинаковых затратах или большую прибыль при меньших издержках.
При бюджетном планировании, в первую очередь необходимо оценить рентабельность каждого продукта, чтобы исключить из общего ассортимента нерентабельную продукцию, если ее наличие не обосновано какими-либо стратегическими задачами предприятия. Расчет производится отдельно по каждому месяцу планируемого периода.
Кроме того, следует рассчитать прибыль от основной деятельности и определить ее достаточность для предприятия. Прибыль от прочих видов деятельности формируется на основании бизнес-прогноза прочей деятельности предприятия и ее следует рассчитывать при определении прогноза доходов и расходов.
3.5.Инвестиции.
На основании прогноза инвестиций формируется инвестиционный бюджет предприятия и выбираются источники финансирования: собственные или заемные. Если на период вложения средств предприятие располагает достаточной величиной прибыли, то вложения осуществляются за счет внутренних источников, в противном случае выбираются внешние источники финансирования, указанные в прогнозе привлечения заемных средств. Расчет происходит отдельно по каждому месяцу.
Осуществление эффективных проектов увеличивает поступающие в распоряжение предприятия доходы, которые затем служат источниками финансирования новых задач. Эффективность проекта, в конечном итоге, определяется разницей между поступлениями и затратами денежных средств связанными с реализацией проекта. На различных стадиях разработки и осуществления проекта (обоснование инвестиций, ТЭО, выбор схемы финансирования, экономический мониторинг) его эффективность определяется заново, с различной глубиной проработки.
При оценке эффективности проекта должны учитываться различные аспекты фактора времени, в том числе:
· динамичность (изменение во времени) параметров проекта и его экономического окружения;
· разрывы во времени (лаги) между производством продукции или поступлением ресурсов и их оплатой;
· неравноценность разновременных затрат и (или) результатов (предпочтительность более ранних результатов и более поздних затрат) и т.д.
3.6.Расчет амортизации.
Амортизационные отчисления имеют самую значительную долю в общей сумме денежных средств, направляемых на поддержание и развитие основных фондов. Поэтому выбор рациональных способов учета основных средств, оценка их величины и особенно рационализация методов расчета амортизационных отчислений для предприятия имеет большое значение.
Амортизация – процесс постепенного переноса стоимости основных фондов на производимую продукцию в целях накопления средств для полного их восстановления.
Амортизационные отчисления – денежное выражение размера амортизации, соответствующее степени износа основных фондов.
Отношение годового размера амортизационных отчислений к балансовой стоимости основных фондов выражается в процентах и называется нормой амортизации.
Все нововведения по расчету амортизации отражаются в Положениях по бухгалтерскому учету «Учет основных средств».
В настоящее время в области расчета амортизации все предприятия руководствуются следующими основными положениями:
- срок эксплуатации основных средств определяется предприятиями самостоятельно; - нормы амортизации рассчитываются индивидуально каждым хозяйствующим субъектом без каких-либо обязательных ограничений или рекомендации со стороны государства; - все амортизационные отчисления на полное восстановление основных фондов, в т.ч. и рассчитанные ускоренным методом, независимо от направления их использования включаются в себестоимость продукции; - на выбор предлагаются следующие методы расчета амортизации:
Линейный метод ориентирован на равномерный физический и моральный износ основных фондов. Недостатками этого метода являются: заранее фиксируется неизменная величина амортизационного периода; недостаточное стимулирующее воздействие на повышение эффективности использования основных фондов; возможность недоамортизации в связи с недостаточным учетом воздействия морального износа; и т.д.
Метод уменьшаемого остатка.Амортизация начисляется не по первоначальной или восстановительной стоимости, а по остаточной стоимости. Вследствие этого величина амортизационных отчислений, переносимых на стоимость продукции, будет ежегодно уменьшаться в соответствии с уменьшением остаточной стоимости основных фондов, и амортизационный срок службы будет многократно увеличиваться.
Метод списания стоимости в соответствии с количеством лет срока полезного использования.Амортизация начисляется по линейному способу, однако, амортизационный срок службы увеличивается на период, в течение которого конкретные виды основных средств находились на консервации, в ремонте или проходили модернизацию. В течение этого времени начисление амортизации не производится.
Метод списания стоимости пропорционально объему производимой продукции или работ. Полный перенос стоимости оборудования и других видов основных средств производится на определенный объем продукции, а амортизация по временным периодам начисляется исходя из доли продукции, произведенной в этом периоде, по отношению к заранее определенному объему продукции.
Выбор метода расчета амортизации зависит от выбора оптимального амортизационного срока службы различных категорий основных фондов.
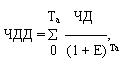
Амортизационные отчисления можно рассматривать как часть дохода предприятия. Их экономическую оценку следует проводить по показателю: чистый дисконтированный доход (ЧДД).

где ЧД – чистый доход; Та – амортизационный срок службы, принятый предприятием для расчета амортизации, в годах; Е– норма дисконта, т.е. норма доходности, величина которой в долях единицы может быть принята в соответствии с депозитным процентом в банке.
Критерием для выбора оптимального амортизационного срока эксплуатации оборудования является равенство суммы амортизационных отчислений за ряд лет при полном возврате стоимости оборудования и суммы дохода за это же число лет без учета амортизации в себестоимости продукции, что отражается следующим уравнением:
(3.22.)
Анализируя расчетный уровень нормы амортизации, для обеспечения наилучших финансовых результатов следует руководствоваться следующим правилом: годовая сумма амортизации не должна превышать уровень годового дохода. В противном случае себестоимость реализованной продукции с учетом амортизационных отчислений превышает объем реализации в стоимостном выражении, а эта разница при существующем налоговом законодательстве РФ рассматривается как занижение прибыли и подлежит налогообложению.
При формировании бюджета предприятия на основании прогноза движения основных фондов и нематериальных активов осуществляется ежемесячный расчет амортизационного фонда и стоимости основных фондов и нематериальных активов.
3.7.Кредиты.
Потребность в кредитных ресурсах в рассматриваемом периоде определяется предприятием на основании прогнозируемого дефицита денежных средств. Если при расчете выявляется недостаток собственных средств предприятия, то из предлагаемого в прогнозе возможного привлечения займов перечня потенциальных кредиторов предприятия выбирается наиболее оптимальный источник финансирования на основании процентных ставок, срока предоставления займа и т.д.
Расчет производится отдельно для каждого месяца.
Прогноз платежей в бюджет и внебюджетные фонды.
Наиболее важными обязательствами предприятия являются внешние обязательства перед фискальной системой — обязательства по налогам, штрафам, пеням перед бюджетами, платежам в различные фонды. Их значимость по сравнению с другими внешними обязательствами заключается в том, что фискальные обязательства должны выполняться в установленном порядке независимо от воли предприятия. Поэтому платежи предприятия перед фискальной системой необходимо выделять и анализировать независимо.
Расчет платежей в бюджет и внебюджетные фонды рекомендуется проводить по каждому налогу в отдельности, для возможности определения наиболее значимых налоговых платежей, т. е. тех, на которые предприятию следует обратить особое внимание.
Для определения величины дебиторской задолженности предприятия используются следующие исходные данные:
· график погашения задолженности прошлых лет контрагентами предприятия и норма содержащейся в ней прибыли. Норма прибыли дебиторской задолженности необходима для определения собственных средств предприятия;
· величина отсрочки платежей по каждому контракту покупателей и заказчиков предприятия;
· цены на продукцию и индексы изменения цен и курсов валют;
· величина авансов выданных.
Величина дебиторской задолженности предприятия определяется по формуле:
ДЗ = ДЗпл + ДЗт + А, (3.23.)
где ДЗпл – непогашенная к рассматриваемому моменту времени дебиторская задолженность прошлых лет; ДЗт – величина дебиторской задолженности, образовавшаяся в текущем периоде; А – авансы, выданные в текущем периоде.
ДЗт= ДЗт 1 + ДЗт2 + .....+ ДЗт n,(3.24)
гдеДЗт n– величина текущей дебиторской задолженности по n-ному контракту с покупателями или прочей статьи дебиторской задолженности.
ДЗт n = (От / N) * Зп, (3.25.)
где От– сумма отгрузки по контракту в текущем месяце или величина прочей статьи дебиторской задолженности. Сумма отгрузки по контракту определяется с учетом индексов изменения цен, если иное не предусмотрено в контракте; N – количество дней месяца; Зп– задержка платежа по контракту или прочей статье дебиторской задолженности.
Если дебиторская задолженность измеряется в валюте, то при ее погашении рассчитывается величина возникших курсовых разниц.
Расчет производится отдельно по каждому месяцу.
· Для определения величины кредиторской задолженности предприятия используются следующие исходные данные:
· график погашения задолженности предприятия прошлых лет;
· величина отсрочки платежей по каждому контракту с поставщиками предприятия;
· цены на ресурсы и индексы изменения цен и курсов валют;
· величина прочей кредиторской задолженности предприятия;
· величина авансов полученных.
Величина кредиторской задолженности предприятия определяется по формуле:
КЗ = КЗпл + КЗт + А,(3.26.)
гдеКЗпл– непогашенная к рассматриваемому моменту времени кредиторская задолженность прошлых лет; КЗт – величина кредиторской задолженности, образовавшаяся в текущем периоде; А– авансы, полученные в текущем периоде.
КЗт= КЗт 1 + КЗт2 + ...+ КЗт n, (3.27.)
где КЗт n– величина текущей кредиторской задолженности по n-ному контракту или прочей статье кредиторской задолженности.
КЗт n = (Пт / N) * Зп, (3.28.)
где Пт– сумма покупки по контракту в текущем месяце (определяется с учетом индексов изменения цен, если иное не предусмотрено в контракте) или величина прочей статьи кредиторской задолженности; N– количество дней месяца; Зп – задержка платежа по контракту или прочей статье кредиторской задолженности.
Информация о прочих статьях кредиторской задолженности складывается в процессе расчета величины привлеченных кредитов, платежей в бюджет и внебюджетные фонды, фонда оплаты труда и т.д. Расчет производится отдельно по каждому месяцу.
3.8.Обобщающий расчет финансовой эффективности будущей деятельности предприятия.
Распространенную ошибку допускают те, кто считает бюджетом – отчет о движении платежных средств. Бюджет компании должен включать в себя три формы: отчет о прибыли, отчет о движении платежных средств, и баланс. Когда система бюджетирования сводится к планированию только одной формы – отчета о движении платежных средств, из оперативного анализа выпадают основополагающие понятия: маржинальная прибыль, рентабельность, оборачиваемость и т.д. Это сужает проблемное поле компании до решения текущей задачи платежеспособности, и не позволяет оценить деятельность компании в целом.
При построении финансовых планов, в первую очередь краткосрочных финансовых планов, требуется раздельное планирование денежных средств и бартера. Это необходимо делать при построении отчета о движении платежных средств и отчета о прибыли.
Деньги являются универсальным платежным средством, которое можно направить на любые цели, бартер же, как правило, жестко завязан на конкретные поставки, возможность манипулирования им значительно меньше.
Следовательно, в отчете о движении платежных средств должно быть две колонки: денежные средства и бартер. Различные платежные суррогаты: векселя, зачеты, долги следует приводить к денежным средствам (посредством рыночного дисконта), в том случае, если их собираются продать. Если планируется использовать эти суррогаты для оплаты материалов, или услуг их следует отражать, как бартер.
В отчете о прибыли вводить дополнительной колонки для бартера не требуется. Однако, для корректной оценки рентабельности необходимо скорректировать выручку и затраты путем приведения бартерных расчетов к денежному эквиваленту, исходя из рыночных денежных цен на соответствующую продукцию.
Бартерные операции осуществляются, как правило, по завышенным ценам. Соответственно, рентабельность бартерных операций может быть фиктивной, в прямом смысле этого слова. Складывать «бартерный» рубль и «денежный» рубль – это почти такая же ошибка, как складывать рубли и штуки.
В целях управленческого учета для всех сделок, в которых используются не денежные формы расчетов, должна рассчитываться реальная рентабельность, исходя не из договорных бартерных цен, а на основе рыночных цен, действующих при условии расчетов денежными средствами. Источником информации о «денежных» ценах могут быть биржевые котировки, прайс-листы изготовителей и посредников и т.д.
Анализ эффективности бартерных сделок необходимо осуществлять еще на стадии заключения договора. А самым оптимальным вариантом в этом случае является проведение бартерных сделок с использованием обоими сторонами исключительно «денежных» цен. Это делает прозрачным анализ рентабельности и не увеличивает налогооблагаемую базу.
Прогноз доходов и расходов предприятия.
Обязательным направлением бюджетирования является составление бюджетного отчета о прибылях и убытках, в основе которого также лежат данные об ожидаемом объеме реализации. В отчете уточняется спрогнозированный на перспективу размер получаемой прибыли на предстоящий год. Однако отчет о прибылях и убытках существенно отличается от бюджета движения денежных средств.
Величина поступлений от покупателей отличается от выручки от реализации на величину дебиторской задолженности. Расходная часть бюджетного отчета о прибылях и убытках также будет отличаться от суммы платежей предприятия. Это связано, прежде всего, с наличием кредиторской задолженности, т.е. отсрочкой платежей, а также наличием запасов материальных ресурсов.
В прогнозном отчете о прибылях и убытках себестоимость израсходованных материалов будет отличаться от суммы поступления материальных ценностей на величину изменения остатков производственных запасов (на расхождении в сумме поступления материальных ценностей и платежей сказалась отсрочка расчетов).
Баланс доходов и расходов содержит расчеты ряда основополагающих показателей:
· прибыли от промышленной деятельности;
· амортизационных отчислений на восстановление основных фондов;
· поступлений средств в порядке долгосрочного и среднесрочного кредитования;
· процентов банкам по кредитам, финансовых результатов от других видов деятельности и т.д.
Состав показателей планового баланса доходов и расходов предприятия представляет собой определенную систему, позволяющую в рамках каждого периода планирования определять:
· источники затрат (расходов), их соотношения;
· степень и направления использования, распределения источников;
· сбалансированность их с затратами или расходами.
Так, оставшаяся после уплаты налогов часть прибыли обращается на нужды предприятия, включая:
· создание финансового резерва;
· финансирование капитальных вложений и прироста оборотных средств;
· выплаты процентов банкам за предоставляемые ими кредитные ресурсы;
· выплаты дивидендов владельцам ценных бумаг, эмитированных и реализованных предприятием своим работникам;
· расходы на хозяйственное содержание социально-культурных и социально-бытовых объектов, на другие цели.
Для того, чтобы повысить качество прогнозных оценок при составлении бюджетного отчета о прибылях и убытках на предстоящий период, берут результаты структурного анализа затрат и доходов, проводимого в предыдущих периодах. Исходя из сделанного прогноза реализации и сложившихся процентных соотношений затрат на производство и реализацию продукции, результата от реализации и выручки (очищенной от НДС) устанавливают ожидаемую величину финансового результата от основной деятельности
Прогноз движения денежных средств предприятия .
Одной из основных задач бюджетного планирования является оценка достаточности денежных средств на предстоящий год. Главный инструмент для этого – составление бюджета движения денежных средств.
Бюджетирование потока денежных средств – это комплекс мер и инструментов прогнозирования и систематического регулирования или оперативного управления кругооборота денежных средств предприятия. Бюджет движения денежных средств представляет собой собственно план финансирования, который составляется на год с разбивкой по месяцам.
Прогноз движения денежных состоит из двух частей – ожидаемые поступления денежных средств и ожидаемые выплаты.
Для определения ожидаемых поступлений за период используется информация из бюджета продаж, данные о продажах в кредит или с немедленной оплатой. Также планируется приток денежных средств и из других источников.
Суммы ожидаемых платежей берутся из различных периодических бюджетов.
Бюджет движения денежных средств отражает денежные потоки: притоки и оттоки, в том числе все направления расходования средств. Направления движения денежных средств принято рассматривать в разрезе основных видов деятельности: текущей, инвестиционной, финансовой.
1. Текущая деятельность.
Денежный поток от текущей деятельности – это выручка от реализации продукции, работ, услуг, а также авансы от покупателей и заказчиков. Денежный отток – уплата по счетам поставщиков и прочих контрагентов, выплата зарплаты, отчисления во внебюджетные фонды, расчеты с бюджетом, выплата по процентам и т.д.
2. Инвестиционная деятельность.
Приобретение (реализация) имущества, имеющего долгосрочный характер, поступление и выбытие основных средств и нематериальных активов, и т.д.
3. Финансовая деятельность.
Приток средств вследствие получения долгосрочных и краткосрочных займов, их отток – за счет выплаты дивидендов, в виде возврата займов (как краткосрочных, так и долгосрочных) и т.п. При составления прогноза движения денежных средств рассчитываются остатки денежных средств предприятия на начало и конец каждого месяца. Потоки поступлений и выплат структурно разбиваются на денежную и неденежную составляющую и сравниваются между собой. Таким образом, определяется не только избыток или недостаток денежных средств, но и структурное соответствие доходов и расходов предприятия. Благодаря такому построению бюджета движения денежных средств планирование охватывает весь оборот денежных средств предприятия. Это дает возможность проводить анализ и оценку поступлений и расходов денежных средств и принимать решения о возможных способах финансирования в случае возникновения дефицита средств.
К фундаментальным факторам, влияющим на принятие решений по оперативному управлению потоком денежных средств, относятся:
· наличие принятых на предприятии приоритетов видов деятельности. Главным приоритетов является операционная деятельность. А инвестиционная и финансовая деятельность присутствуют настолько, насколько это необходимо для обеспечения финансирования операционной деятельности;
· наличие принятых в компании стратегических целей, требующих особого режима финансирования: а) в заранее неизвестный момент времени (например, если сегодня необходимо профинансировать покупку технической документации на интересующую предприятие продукцию, то оно может пойти на это в ущерб интересам постоянного приоритета, т.е. финансирования основной деятельности); б) в заранее известный момент времени, например, финансирование заранее спланированных капитальных вложений;
· неожиданные изменения взаимоотношений с поставщиками и потребителями. К примеру, неожиданная просьба постоянного, надежного поставщика сырья о досрочной оплате поставки в связи с обострением у него финансовой ситуации, неожиданное банкротство важного поставщика и др.;
· риски неритмичности денежного потока.
Всех факторов перечислить невозможно. Они настолько разнообразны, что, прежде чем реагировать на их воздействие, всегда приходится сначала оценить их значимость для судьбы предприятия и лишь после этого включать в процесс принятия финансового решения.
Эффективное бюджетирование потока денежных средств, подверженное воздействию огромного количества противоречивых факторов, возможно лишь в том случае, если фирме удается осуществлять учет их влияния на условиях определенного компромисса. Поэтому в основу бюджетирования положен принцип непрерывности хозяйственной деятельности без рассечения ее на виды лишь тогда и поскольку, когда в кругообороте движения финансовых ресурсов обнаруживаются излишки, которые надо эффективно использовать, или недостатки, которые надо покрывать.
И все же, как бы ни была трудна эта задача, решать ее вынуждено каждое предприятие. Финансовой наукой для этих задач выработан некий стандартный алгоритм оперативного управления денежными средствами. Исходным понятием, необходимым для исследования алгоритма управления денежными средствами, является цикл денежного потока.
Цикл денежного потока представляет собой повторяющийся интервал времени, в течение которого осуществляется вложение денежных средств в оборотные активы (производственные запасы, в частности), продажа результата от эксплуатации этих активов и получение выручки от реализации. Указанная последовательность составляющих цикла, как и соответствующий каждой из них временной интервал, представляют классическую структуру цикла.
Однако в реальном мире возможны нарушения как последовательности составляющих цикла (например, получение выручки до оформления самого акта продажи), так и соответствующих запланированных размеров временных интервалов. В результате возникает необходимость либо в пополнении денежного потока за счет привлечения дополнительного капитала, либо использование по другим направлениям излишков сложившегося денежного потока. Уже сама возможность появления в реальной жизни противоположных результатов движения денежного потока вынуждает финансистов разумно управлять циклом денежного потока путем разработки бюджета движения денежных средств.
Анализ движения денежных средств производится двумя способами: прямым или косвенным методом.
Прямой метод заключается в группировке и анализе данных бухгалтерского учета, отражающих движение денежных средств в разрезе указанных видов деятельности.
Косвенный методзаключается в перегруппировке и корректировке данных баланса и формы №2 с целью пересчета финансовых потоков в денежные потоки за отчетный период.
Анализ денежных средств прямым методом позволяет судить о ликвидности предприятия, т.к. он детально раскрывает движение денежных средств на его счетах, что дает возможность делать оперативные выводы относительно достаточности средств для уплаты по счетам текущих обязательств и осуществлять инвестиционную деятельность. В то же время, этот метод не раскрывает взаимосвязи полученного финансового результата с изменением величины денежных средств на счетах предприятия. Косвенный метод позволяет установить причину расхождения между полученной прибылью и оттоком денежных средств.
Таблица 3.3. – Анализ движения денежных средств прямым методом
| Показатели |
Источник |
Расчет |
| Текущая деятельность |
| 1. Приток денежных средств |
| выручка от реализации продукции |
| авансы, полученные от покупателей |
| прочие поступления (возврат сумм от поставщиков, средства по целевому финансированию и т.д.) |
| 2. Отток денежных средств |
| платежи по счетам поставщиков и подрядчиков |
| выплата зарплаты со всеми отчислениями |
| расчеты с бюджетом |
| авансы выданные |
| уплаченные проценты по кредиту |
| прочие платежи |
| выплаты по фонду потребления |
| Итого денежных средств от текущей деятельности |
стр. 1 - стр. 2 |
| Инвестиционная деятельность |
| 3. Приток денежных средств |
| выручка от реализации основных средств, нематериальных активов, ДФВ |
| 4. Отток денежных средств |
| приобретение средств долгосрочного использования |
| Итого денежных средств от инвестиционной деятельности |
стр. 3- стр. 4 |
| Финансовая деятельность |
| 5. Приток денежных средств |
| получение ссуд, займов |
| 6. Отток денежных средств |
| возврат полученных ранее кредитов |
| краткосрочные финансовые вложения |
| Итого денежных средств от финансовой деятельности |
стр. 5 - стр. 6 |
| Общее изменение денежных средств за период |
Таблица 3.4. –Анализ движения денежных средств косвенным методом
| Показатели |
Источник |
Расчет |
| 1. Движение денежных средств от текущей деятельности |
| чистая прибыль |
| Операции, корректирующие величину чистой прибыли |
| начисленный износ |
| увеличение производственных запасов |
| увеличение НДС |
| увеличение величины незавершенного производства |
| увеличение дебиторской задолженности |
| использование средств фондов специального назначения |
| увеличение задолженности по расчетам с бюджетом |
| сокращение задолженности поставщиков |
| увеличение задолженности по оплате труда |
| увеличение задолженности прочим кредиторам |
| сокращение задолженности по соц. страхованию и внебюджетным платежам |
| увеличение задолженности по авансам полученным |
| остаточная стоимость выбывших ОФ |
| уплата процентов за банковский кредит |
| материальные ценности, оприходованные после ликвидации основных средств |
| прибыль от реализации основных средств |
| Итого денежных средств от текущей деятельности |
| 2. Движение денежных средств от инвестиционной деятельности |
| приобретение нематериальных активов |
| поступления от реализации основных средств |
| Итого денежных средств от инвестиционной деятельности |
| 3. Движение денежных средств от финансовой деятельности |
| увеличение задолженности банку |
| изменение задолженности по полученным займам |
| КФВ |
| Итого денежных средств от финансовой деятельности |
| Изменение в составе денежных средств |
| Денежных средств на начало года |
| Денежных средств на конец года |
Баланс показывает общее количество и структуру активов компании, а также способ финансирования этих активов. Таким образом, чтобы разработать прогноз баланса на конец периода начинают со стартового (начального) баланса.
Чтобы определить новый размер основного капитала следует прибавить любые приобретенные основные фонды к соответствующей категории (статье) актива баланса. Источником информации для этого шага является прогноз движения основных фондов и нематериальных активов предприятия с учетом амортизационных отчислений.
Оборотные активы, обычно состоящие из запасов (незавершенное производство, готовая продукция, др.), дебиторов и денежных средств (в кассе, расчетном счете), прогнозируются из проектируемого уровня продаж, особенностей производственного процесса и складирования, размера дебиторской задолженности и суммы сальдо движения денежной наличности.
Краткосрочные пассивы– это те долги, которые должны быть выплачены в течение года. Они состоят в основном из кредиторской задолженности, задолженности перед бюджетом.
Долгосрочные пассивы- это долги, которые подлежат уплате в течение более года. Чтобы рассчитать, каков должен быть объем этих обязательств на конец прогнозируемого периода, необходимо к начальным долгосрочным обязательствам прибавить займы, осуществленные в течение этого периода, и вычесть сумму денег, уже выплаченных по обязательствам за это время (прогноз денежных поступлений и выплат).
Собственные средства предприятия на конец года составят размер собственного капитала на начало деятельности (уставный капитал) плюс прибыль текущего года (данные берутся из прогноза прибылей (убытков) предприятия).
Прогнозный баланс для целей бизнес-планирования в общем случае не совпадает с формой бухгалтерского баланса: использует агрегированные данные, а события, наступление которых прогнозируется в балансе, носят вероятностный характер. Отличия вытекают из необходимости не глубокого изучения документа, а лишь проверки наличия (отсутствия) в нем опасных симптомов, поэтому имеет смысл использовать только наиболее значимые для предприятия статьи. Если затраты на составление прогнозного баланса для промышленного предприятия несущественны, то не исключается возможность использования формы, идентичной стандартной для составления отчетного баланса.
5.Пример бюджетирования в Аксапте
5.1.Постановка задачи
Для демонстрации возможностей ERP системы Microsoft Axapta в области бюджетирования мы создали макет, для реализации которого в системе пришлось применить большую часть функциональности системы в области бюджетирования. При реализации модели использовались только штатные средства системы без использования программирования.
В качестве основы макета взята постановка задачи по автоматизации бюджетирования реального клиента. Клиент – торгово-производственная компания, занимающаяся сборкой и продажей компьютеров специального назначения. Одним из ноу-хау компании являются отдельные элементы компьютера – платы обработки голоса и изображения и программное обеспечение к ним. Производство плат является серийным, для чего используются производственные мощности стороннего производителя. Программное обеспечение, сборка готовых компьютеров осуществляется компанией своими силами и только под заказ.
Продажи обладают слабо выраженной сезонностью: подъём продаж в конце года и практически полное отсутствие продаж в начале января. Деньги от клиентов приходят, в основном, в конце квартала. Для поддержания ликвидности компании собственных оборотных средств компании не хватает. В то же время привлечение кредитных ресурсов имеет определённую стоимость и уменьшает прибыль компании. Поэтому основная цель бюджетирования - выяснить причины нехватки оборотных средств и рассчитать необходимый объём кредитных ресурсов для функционирования компании с точки зрения ликвидности и минимальной стоимости кредита.
В нашем примере компания занимается производством и продажей двух видов товара: Товар А и Товар Б. Товар А является полуфабрикатом для Товара Б, но продаётся также и отдельно от него. Товар Б производится исключительно под индивидуальный заказ клиента. Более того, его невозможно произвести на склад, так как каждый его экземпляр уникальный и производится по индивидуальной спецификации. Даже если заказано производство нескольких экземпляров по одной спецификации, но тогда готовые изделия будут различные серийные номера. Цены на Товар А и Товар Б принимаются как усредненные за период, полученные на основании данных рынка и отчётов за предыдущие периоды.
В реальной компании учёт и бюджетирование организованы по отделам: Отдел продаж, Отдел закупок, Отдел разработки ПО, Отдел финансов (включая бухгалтерию и затраты непроизводственных подразделений). В нашем примере бюджетирование будет построено на основе «классических» бюджетов производственной организации. Схема бюджетирования будет основана на нескольких операционных бюджетах: продаж, коммерческих расходов, производства, прямых затрат и постоянных (косвенных) затрат; одном вспомогательном - кредитный план; на основе которых будут формироваться два основных бюджета: доходов и расходов и движения денежных средств. Остальные бюджеты затронуты не будут, так как их использование никаких новых данных для демонстрации возможностей системы не даёт.

Бюджет продаж формируется вручную, на основе прогнозов продаж, основанных на целях захвата целевого рынка, или может быть результатом анализа продаж предыдущего года, иначе говоря, «от достигнутого». Для нашей модели это неважно. Прогнозов может быть несколько (например, Оптимистический, Пессимистический, Вероятный), но в бюджет будет включен только один из них.
Основной целью модели будет построение двух основных отчётов: бюджета доходов и расходов и бюджета движения денежных средств и сравнение их с учётом и без учёта кредитного плана.
5.2.Инструменты
Для реализации данной модели в Аксапте необходимо ознакомиться с основными определениями Аксапты и её инструментами бюджетирования.
Все бюджеты Аксапты построены на плане счетов. С одной стороны, это упрощает дальнейшее сравнение бюджетных данных с фактическими. С другой стороны, заставляет пользователя очень тщательно подходить к построению плана счетов.
Для составления финансовых планов и бюджетов используется один механизм – бюджетная модель, под которой понимается набор планируемых оборотов по конкретным счетам на определённые даты или за определённые периоды. Моделей может быть несколько и они могут образовывать сложную древовидную структуру, когда модель состоит из подмоделей, те – из подмоделей следующего уровня. Количество уровней неограниченно. Бюджетные проводки односторонние, т.е. строка проводится только по кредиту или дебету одного счёта, в зависимости от знака суммы, что для российского бухгалтера может быть неожиданностью. Дебетовые суммы в формах прижаты влево, кредитовые – вправо. Данное правило является общим для всех форм Аксапты.
Для составления бюджетов, связанных с продажами и закупками, используется другой механизм – прогнозы продаж и закупок. Аналогично бюджетным моделям существуют также прогнозные модели, которые представляют собой набор прогнозов - планируемых закупок или продаж товаров, материалов или основных средств, причём как в денежных, так и в натуральных единицах измерения. Прогнозы формируются в натуральных единицах измерения. Программа сама подставляет отпускные или закупочные цены.
Прогнозные модели могут включать в себя подмодели. Выбранные прогнозы по закупкам и продажам могут быть перенесены в выбранную бюджетную модель. При переносе в бюджет переносятся также количества в натуральных единицах измерения, что позволяет получать отчёты бюджетов с количествами закупаемых или продаваемых товаров.
Для подготовки бюджетов и их автоматического расчёта в Аксапте предусмотрен довольно широкий набор инструментов: распределение бюджетных проводок по периоду на основе ключей распределения или по различным отделам, центрам финансового учёта, другим счетам; расчёт бюджета на основе фактических данных или другого бюджета; сопоставление бюджетов.
Ключи распределения используются для разбиения какой-либо величины (бюджет, прогноз) за период на части за более мелкие периоды, например, оборота за год на обороты помесячно, закупки за месяц на каждую неделю.
Также можно настроить распределение по любому другому принципу. Например, настроить распределение общехозяйственных расходов по отделам, целям, центрам затрат, другим счетам в любых комбинациях. Данная функциональность позволяет также перенести распределённые строки бюджета на несколько дней или месяцев вперёд или назад от исходной бюджетной проводки. Это позволяет, например, начислить затраты на зарплату в одном месяце, а их выплату - в другом. При распределении на другие счета и другие отделы формируются пары проводок: по исходному счёту и указанному в параметрах распределения.
В результате одна бюджетная проводка автоматически разбивается на части в соответствии с ключом распределения, либо правилам распределения по финансовой аналитике (например, отделам) или другим счетам.
Ещё один инструмент бюджетирования - сопоставление. Его суть заключается в принятии решения о создании бюджетной строки в зависимости от значения исходной. Например, при превышении бюджета выше определённой величины остаток переносится на другой счёт. Данный инструмент удобен при настройке различных сценариев при моделировании разных вариантов развития событий.
Бюджетирование в Аксапте представляет собой инструмент долгосрочного планирования. Кроме бюджетирования, в Аксапте существуют механизмы оперативного управления финансами: прогноз движения средств, анализ ликвидности и расчёт потребностей в валюте, но для нашей модели они не потребуются. Данные инструменты используют данные из других модулей системы и позволяют планировать намного точнее, учитывая текущее состояние компании и её текущие планы: остатки товаров и материалов на складах и в производстве, текущие и планируемые закупки у поставщиков и заказы клиентов, а также текущие остатки на расчётных счетах, кассах и счетах бухгалтерского учёта. В результате анализа ликвидности, проводимого путём расчёта планируемых проводок по счетам денежных средств, система может автоматически вычислить необходимую потребность в денежных средствах («Потребность в валюте») в оперативной деятельности предприятия.

Аксапта содержит набор отчётов по бюджетированию, используемых для принятия управленческих решений, проверки выполнения бюджетов и их сравнения. Кроме штатных отчётов, можно использовать встроенный генератор финансовой отчётности, который позволяет использовать бюджетные данные наравне с фактическими, предоставляя пользователю дополнительные возможности для получения более полных и информативных отчётов.
5.3.Реализация
Сначала опишем основные настройки, которые мы будем использовать при реализации модели.
Все бюджеты разбиты по бюджетным моделям, которые образуют двухуровневую иерархическую структуру в соответствии с названиями бюджетов нашей модели: Бюджет продаж, Бюджет закупок, Бюджет коммерческих расходов и т.д.. В большинстве случаев термины «Бюджет» и «Бюджетная модель» будут синонимами. Но в ряде случаев это правило будет нарушаться. Например, когда бюджетные проводки одного бюджета используются в другом бюджете.

Бюджетные модели «Сводный бюджет» и «Без кредитного плана» соответствуют двум сводным бюджетам с учётом и без учёта Кредитного плана. Это потребуется при анализе потребности в денежных средствах на протяжении года и анализа влияния стоимости кредита на прибыль.
«Сводный бюджет» (бюджетная модель «Сводный») включает все бюджеты:

Сводный бюджет «Без кредитного плана» (бюджетная модель «Сводный2») включает все бюджеты, кроме Кредитного плана.
Для формирования бюджета продаж необходимо сначала создать прогноз продаж и перенести его в главную книгу. Для формирования прогноза продаж удобно создать ключ распределения по периоду.

На его основе создаётся прогноз продаж.

Далее прогноз продаж переносится в главную книгу. В результате появляются бюджетные проводки в бюджетной модели «Прогноз продаж». Проводки по дебету сформировались по счету «90.100 ПРОДАЖИ: Выручка» по отпускной цене, а по кредиту счета «90.200 ПРОДАЖИ: Себестоимость продаж плановая» – по плановой цене закупки (План счетов взят из демонстрационной модели Аксапты).

Чтобы дополнить бюджет продаж коммерческими расходами, которые прямо пропорциональны продажам, можно также воспользоваться ключом распределения. Но мы воспользуемся другим инструментом: копирование бюджетных проводок. Данная функциональность позволяет автоматически получать из одних бюджетных проводок другие. При копировании возможно изменить название бюджетной модели, номер счета главной книги, финансовые аналитики, сделать сдвиг на определённое количество дней или месяцев, уменьшить или увеличить сумму проводки:

Расходы, независимые от продаж (постоянные), формируем вручную с использованием метода распределения «Период», когда программа автоматически формирует одинаковые проводки через определённое количество месяцев или дней.
В результате получаем бюджет коммерческих расходов и бюджет постоянных затрат. При создании бюджетных проводок по денежным счетам будем использовать аналитику цель, которую будем использовать для отчёта движения денежных средств.

Для формирования отчётов по бюджетам используется генератор финансовой отчётности, позволяющий создавать отчёты по бюджетам как в денежных, так и в натуральных единицах измерений, с учётом фильтрации и группировки по финансовым аналитикам. Его дизайн довольно ограничен, но возможности для анализа данных он предоставляет более чем достаточные. Мы не будем останавливаться на изучении его настроек. Покажем только результат отчёта «Бюджет коммерческих расходов» с разбивкой по кварталам.

Бюджет постоянных затрат нас интересует в части закупок материалов и их оплаты. Для формирования данного бюджета создаём прогноз закупок и переносим его в главную книгу так же, как и в случае с прогнозом продаж. В случае краткосрочного периода система умеет автоматически формировать планируемые закупки и производственные заказы под планируемые и текущие продажи. Но в случае долгосрочного планирования данная функциональность недоступна, да и практически бесполезна, поэтому формирование прогноза закупок производится пользователем вручную или импортируется из внешнего файла.
В результате получаем два основных бюджета: доходов и расходов и движения денежных средств. Но в результате анализа бюджета движения средств помесячно мы видим, что для функционирования компании необходимо привлечение кредитных ресурсов в начале квартала с их возвратом в конце квартала или в конце года. Например, в случае первого квартала бюджет движения денежных средств без привлечения кредитных ресурсов будет выглядеть так.

Привлечение кредитных ресурсов фиксируем в бюджете «Кредитный план», в котором учитываем не только получение и возврат кредитов, но и их стоимость, которая повлияет также на прибыль.

Последние три строки кредитного плана фиксируют стоимость кредита и реально формируют 12 проводок - на каждый месяц года.
После формирования кредитного плана получаем окончательный вариант бюджета движения денежных средств (Строки отчёта отсортированы по кодам аналитики Цель).

Теперь можно узнать, как привлечение кредитных ресурсов повлияло на прибыль.

Ввиду ограниченности модели использовались далеко не все инструменты Axapta для бюджетирования. Тем не менее, можно сделать некоторые выводы о возможностях программы в этой области.
Встроенные возможности системы позволяют создать систему бюджетирования предприятия практически любой сложности: от небольшой компании до многоуровневого холдинга. В ней представлено большинство инструментов, присутствующих в специализированных системах. Интегированность бюджетирования с другими модулями обеспечивает точность фактических данных для сравнения, кроме того, данные других модулей могут быть использованы для построения бюджетов. Поэтому построение системы бюджетирования на основе работающей ERP системы позволит предприятию более грамотно осуществлять планирование своей деятельности, контролировать выполнение планов подразделениями, заблаговременно узнавать о возможных проблемах ликвидности или невыполнения плановых показателей и своевременно принимать управленческие решения.
В то же время нельзя не сделать ряд замечаний, показывающих ограниченность системы для построения системы бюджетирования предприятия.
В программе невозможно настроить автоматическое изменение одних бюджетных проводок при изменении или удалении других. Функции копирования, распределения и сопоставления бюджетов выполняются только вручную. Если возникает необходимость моделирования различных вариантов развития событий, когда при изменении одного бюджета должны пересчитываться другие, данный функционал необходимо будет доработать.
Используемый генератор отчётов далеко не всегда может удовлетворить пользователя своим дизайном. В результате неизбежны доработки финансовых форм, используемых в бумажном виде. Альтернативным решением может быть использование шаблонов в Word или Excel с выводом данных из Аксапты. Иерархическая структура моделей очень удобна для формирования бюджетов многоуровневого холдинга. Но средства, визуально показывающего эту иерархию, в системе не предусмотрено.
Но все эти минусы полностью компенсируются интегрированностью системы. Интегрированность становится особо полезной при краткосрочном планировании, когда используются другие инструменты планирования – прогноз движения средств и сводное планирование.
Выводы
Важный фактор успеха бюджетирования – ясность целей внедрения системы. Зачастую это делается исключительно ради моды, руководство не задумывается, какие бизнес задачи должны быть при этом решены. Необходимо отметить, что при постановке бюджетирования, цель ставилась конкретно – повышение управляемости бизнеса через систему сбалансированных бюджетных показателей, позволяющих осуществлять планирование, контроль и анализ своей деятельности.
Расчетный срок окупаемости финансовых инвестиций на создание автоматизированной системы бюджетирования составил 2,5-3 года. Да, это довольно большой срок, однако руководство предприятия убеждено, что без внедрения современных технологий управления предприятию будет сложно развиваться на динамично развивающемся газовом рынке, именно поэтому совершенствование системы управления входит в число наиболее приоритетных стратегических задач развития предприятия.
Можно отметить в качестве первых результатов бюджетирования:
- Появилась реальная возможность расчета многовариантных планов без привлечения дополнительных ресурсов;
- Проведение ежемесячного план-фактного анализа сократились до двух дней после закрытия баланса бухгалтерией;
- Экономия (до 20-30%) рабочего времени при повседневной работе пользователей по сравнению с прежней системой планирования;
- Появилась возможность мониторинга и оперативного управления затратами;
- Повысилась надежность и достоверность получения отчетной информации и, как следствие, улучшилась экономическая обоснованность принимаемых решений;
- Повысились профессиональные навыки персонала в области финансового управления.
Внедрение системы бюджетирования демонстрирует направленность предприятия на долгосрочную перспективу и развитие бизнеса и является основой для применения в скором будущем новых инструментов управленческого контроля:
Существует множество автоматизированных систем бюджетирования, созданных для использования в различных областях, в том числе и для личного использования. Они позволяют существенно упростить работу по сбору и обработке данных для прогнозирования, особенно для долгосрочного планирования и контролем за выполнением планов.
Список систем бюджетирования:
1. Мастер Финансов: Бюджет предприятия 4.95 http://www.przone.ru/soft/prog156.html
2. Microsoft Dynamics AX (Axapta)http://axapta.mazzy.ru/lib/budgeting/
3. Учет домашних финансов (UDF) http://itshareware.by.ru/finance/home_finance/uchet_domashnih_finansov_udf_.shtml
4. Экспресс-бюджет (2010) http://aviavip.com/programm/244645-yekspress-byudzhet-2010.html
5. СИСТЕМА БЮДЖЕТИРОВАНИЯ "БЮДЖЕТ 1.3." http://www.finanalis.ru/index.php?leaf=progs.htm&ELEMENT_ID=2246
Список Литературы:
1. http://www.bupr.ru/litra/books/book1/?leaf=tema63.htm
2. http://axapta.mazzy.ru/lib/budgeting/
3. http://www.econburo.ru/index.php/public/35-budg-primer-sog
4. http://www.zinsin.ru/new0603_9.htm
5. http://www.sgqconsulting.ru/3-3-7-5-implementation-budgeting.htm
6. http://www.dis.ru/library/manag/archive/2006/3/4229.html
7. Хелферт Э, Техника финансового анализа, М.: Юнити, 1996, - 596 с.
8. Ковалев В.В., Финансовый анализ. – М.: Финансы и статистика, 1997
|