ДИПЛОМНЫЙ ПРОЕКТ
"ВНЕДРЕНИЕ КЛАСТЕРНОГО ПОДХОДА В МАШИНОСТРОИТЕЛЬНЫЙ КОМПЛЕКС РЕГИОНА"
1.
Методические основы формирования машиностроительного кластера в регионе
Для обоснования формирования регионального кластера необходимо выявить потенциал кластеризации, т.е. наличие конкурентных преимуществ предприятий по видам экономической деятельности и инфраструктурных организаций, находящихся на территории региона, возможность их объединения. Выявление возможности создания регионального кластера предлагается проводить по следующей методике:
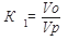
1. Коэффициент локализации производства по видам экономической деятельности на территории региона:
, (1)
где Vо
– производство валового регионального продукта по видам экономической деятельности, тыс. руб.;
Vр
– производство валового регионального продукта, тыс. руб.
Коэффициент локализации показывает уровень развития видов экономической деятельности в регионе и их значение для экономики.
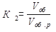
2. Коэффициент оборота по видам экономической деятельности:
, (2)
где Vоб
– оборот организаций по видам экономической деятельности;
Vоб.р
– оборот в регионе по всем видам экономической деятельности.
Коэффициент показывает долю оборота вида экономической деятельности региона в общем обороте региона.
3. Коэффициент душевого производства продукции:
(3)
где Qр
– среднегодовая численность занятого населения по видам экономической деятельности.
Коэффициент душевого производства продукции показывает объемы производства валового регионального продукта, приходящегося на одного проживающего в регионе.
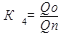
4. Коэффициент количества предприятий:
, (4)
где Qo
– количество предприятий по видам экономической деятельности;
Qп
– количество предприятий в регионе.
Данный коэффициент показывает долю предприятий, приходящихся на данный вид экономической деятельности.
5. Интегральный коэффициент
(5)
Эти коэффициенты в совокупности позволяют определить вид экономической деятельности региона, имеющий наибольший потенциал кластеризации.
Следующие расчеты позволят выявить направление внутри вида экономической деятельности, в частности среди обрабатывающих производств.
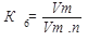
6. Коэффициент численности:
, (6)
где Qз.о.
– численность, занятых на предприятиях определенного вида экономической деятельности, чел.;
Забиваем Сайты В ТОП КУВАЛДОЙ - Уникальные возможности от SeoHammer
Каждая ссылка анализируется по трем пакетам оценки: SEO, Трафик и SMM.
SeoHammer делает продвижение сайта прозрачным и простым занятием.
Ссылки, вечные ссылки, статьи, упоминания, пресс-релизы - используйте по максимуму потенциал SeoHammer для продвижения вашего сайта.
Что умеет делать SeoHammer
— Продвижение в один клик, интеллектуальный подбор запросов, покупка самых лучших ссылок с высокой степенью качества у лучших бирж ссылок.
— Регулярная проверка качества ссылок по более чем 100 показателям и ежедневный пересчет показателей качества проекта.
— Все известные форматы ссылок: арендные ссылки, вечные ссылки, публикации (упоминания, мнения, отзывы, статьи, пресс-релизы).
— SeoHammer покажет, где рост или падение, а также запросы, на которые нужно обратить внимание.
SeoHammer еще предоставляет технологию Буст, она ускоряет продвижение в десятки раз,
а первые результаты появляются уже в течение первых 7 дней.
Зарегистрироваться и Начать продвижение
Qз.п.
– численность, занятых на предприятиях обрабатывающего производства, чел.;
Показывает удельный вес занятых определенным видом экономической деятельности в общем объеме, занятых в обрабатывающем производстве.
7. Коэффициент отгруженных товаров собственного производства:
, (7)
где Vт
– объем отгруженной продукции собственного производства предприятиями конкретного вида экономической деятельности, тыс. руб.;
Vт.п.
– объем отгруженной продукции собственного производства предприятиями обрабатывающего производства, тыс. руб.
7. Коэффициент инновационности:
, (8)
где Vи.о.
– количество поданных заявок на изобретения на образцы, свидетельства на полезные модели предприятиями определенного вида обрабатывающего производства;
Vи.п
. – количество поданных заявок на изобретения на образцы, свидетельства на полезные модели предприятиями обрабатывающего производства.
Коэффициент характеризует долю инноваций, приходящихся на предприятия определенного вида обрабатывающего производства, в общем объеме инноваций в обрабатывающем производстве региона.
8. Коэффициент инвестиций:
, (9)
где Io
– объем инвестиций предприятий определенного вида обрабатывающего производства, тыс. руб.;
Iп
– объем инвестиций в обрабатывающем производстве, тыс. руб.;
Коэффициент характеризует долю инвестиций, приходящихся на предприятия определенного вида обрабатывающего производства, в общем объеме инвестиций в обрабатывающем производстве региона.
9. Интегральный коэффициент:
(10)
Интегральный коэффициент стремится к единице. Чем ближе полученное значение, тем выше потенциал кластеризации определенного вида экономической деятельности в регионе.
Проведенные расчеты по данной методике позволили определить потенциал кластеризации машиностроения как обрабатывающего вида экономической деятельности Воронежской области (результаты расчетов приведены ниже).
кластер машиностроительный инвестирование экономический
Таблица 1. Оценка выбора вида экономической деятельности для формирования регионально-отраслевого кластера
| Вид экономической деятельности |
К1
|
К2
|
К3
|
К4
|
К |
| Сельское хозяйство, охота и лесное хозяйство |
0,16 |
0,023 |
0,068 |
0,079 |
0,258 |
| Рыболовство, рыбоводство |
0,000 |
0,000 |
0,052 |
0,001 |
0 |
| Добыча полезных ископаемых |
0,034 |
0,032 |
3,64 |
0,005 |
0,258 |
| Обрабатывающие производства
|
0,177
|
0,26
|
0,072
|
0,09
|
0,369
|
| Производство и распределение электроэнергии, газа и воды |
0,081 |
0,129 |
1,44 |
0,008 |
0,323 |
| Строительство |
0,062 |
0,056 |
3,594 |
0,083 |
0,424 |
| Оптовая и розничная торговля, ремонт автотранспортных средств, мотоциклов, бытовых изделий и предметов личного пользования |
0,138 |
0,322 |
0,82 |
0,272 |
0,561 |
| Гостиницы и рестораны |
0,008 |
0,004 |
1,27 |
0,016 |
0,167 |
| Транспорт и связь |
0,127 |
0,122 |
0,57 |
0,062 |
0,391 |
| Финансовая деятельность |
0,001 |
0,000 |
0,000 |
0,022 |
0 |
| Операции с недвижимым имуществом, аренда и предоставление услуг |
0,072 |
0,036 |
0,308 |
0,17 |
0,133 |
| Государственное управление и обеспечение военной безопасности, обязательное социальное обеспечение |
0,018 |
0,001 |
0,015 |
0,033 |
0 |
| Образование |
0,042 |
0,006 |
0,255 |
0,058 |
0,209 |
| Здравоохранение и предоставление социальных услуг |
0,038 |
0,004 |
0,028 |
0,016 |
0 |
| Предоставление прочих коммунальных, социальных и персональных услуг |
0,012 |
0,005 |
0,066 |
0,09 |
0,023 |
Как видно из табл. 1, наиболее предпочтительным является выбор оптовой торговли (0,561), строительства (0,424), транспорт и связь (0,391) и обрабатывающего производства (0,36), имеющие соответствующие интегральные показатели. В соответствии с темой диссертационного исследования рассмотрим наиболее предпочтительный вид экономической деятельности внутри обрабатывающего производства (предварительно проведя укрупненную группировку), рассчитав остальные (табл. 2).
Сервис онлайн-записи на собственном Telegram-боте
Попробуйте сервис онлайн-записи VisitTime на основе вашего собственного Telegram-бота:
— Разгрузит мастера, специалиста или компанию;
— Позволит гибко управлять расписанием и загрузкой;
— Разошлет оповещения о новых услугах или акциях;
— Позволит принять оплату на карту/кошелек/счет;
— Позволит записываться на групповые и персональные посещения;
— Поможет получить от клиента отзывы о визите к вам;
— Включает в себя сервис чаевых.
Для новых пользователей первый месяц бесплатно.
Зарегистрироваться в сервисе
Таблица 2. Оценка выбора вида экономической деятельности обрабатывающего производства для формирования регионально-отраслевого кластера
| Вид экономической деятельности обрабатывающего производства |
К5
|
К6
|
К7
|
К8
|
К |
| Машиностроение
|
0,442
|
0,254
|
0,933
|
0,183
|
0,61
|
| Пищевая промышленность |
0,143 |
0,245 |
0,81 |
0,176 |
0,51 |
| Химическая промышленность |
0,129 |
0,289 |
0,95 |
0,179 |
0,53 |
| Нефтехимическая промышленность |
0,086 |
0,061 |
0,79 |
0,18 |
0,41 |
| Металлургическое производство |
0,06 |
0,052 |
0,84 |
0,12 |
0,36 |
Таким образом, проведенный анализ позволил установить целесообразно вести речь о формировании регионального инновационного машиностроительного кластера. Региональный инновационный машиностроительный кластер представляет собой объединение предприятий машиностроения, предприятий-поставщиков, организаций, специализирующихся на оказании производственных и сервисных услуг, научно-исследовательских и образовательных организаций, находящихся в функциональной зависимости и территориальной близости, а также организаций, занимающихся коммерциализацией результатов инновационной деятельности вузов, исследовательских организаций.
На наш взгляд, на основе общей схемы формирования регионального инновационного машиностроительного кластера на базе национальных исследовательских университетов, таким центром может выступать Воронежский государственный технический университет (ВГТУ), имеющий достаточно высокий инновационный потенциал по проведению инновационных разработок для предприятий машиностроения. В ВГТУ действуют технопарки, имеющие постоянные устойчивые связи с предприятиями машиностроения Воронежской области. В соответствии со сформированной структурой, с учетом потенциала кластеризации, региональный машиностроительный кластер с центром национальный исследовательский университет может иметь следующую структуру (рис. 1).
Формирование РМК основано на использовании комплексного подхода, ориентированного на взаимосвязанное развитие разных групп условий научно-технической и инновационной деятельности. РМК позволит улучшить инвестиционный климат в регионе путем создания структурных элементов инновационной экономики на основе интеграции предпринимательских организаций реального и финансового секторов экономики, с одной стороны, и научно-исследовательских и образовательных структур высшей школы, с другой; путем укрепления связей между исследованиями и технико-технологическим развитием через упрощение процедур передачи и коммерциализации технологий посредством создания соответствующей инфраструктуры, объединяющей ресурсы машиностроения, науки и органов власти.
ВГТУ как центр РМК должен обеспечить:
– высокую степень интеграции вуза с академическими научными институтами, предприятиями машиностроения и бизнес-сообществом;
– создание бизнес-инкубаторов, малых инновационных компаний, внедряющих научные разработки, и развитие технопарковых структур на базе вуза;
– создание и внедрение кластерной технологии в научно-образовательную и инновационную сферы деятельности вуза, основанной на интеграции и координации деятельности вуза с предприятиями машиностроения с целью осуществления совместной деятельности по развитию профессиональных компетенций выпускников и построению эффективного механизма взаимодействия вузовской науки, машиностроения и бизнеса;
– внедрение инноваций в организацию научной и образовательной деятельности на основе эффективного взаимодействия с региональным сообществом и потенциальными работодателями;
– создание механизма управления, способного организационно обеспечить успешное позиционирование и коммерциализацию создаваемых вузом объектов интеллектуальной собственности на рынках образовательных и научных услуг, и широкомасштабное привлечение внебюджетных источников финансирования вузов;
– формирование у профессорско-преподавательского состава вуза новаторских качеств и повышение их инновационной активности;
– открытие корпоративных факультетов и филиалов, создание совместной с научными учреждениями и предприятиями машиностроения инновационной инфраструктуры;
– формирование сети стратегических партнеров, заинтересованных во взаимовыгодном сотрудничестве в области подготовки кадров, модернизации машиностроительного производства и выпускаемой продукции, развитие государственно-частного партнерства.
В настоящее время для ВГТУ характерны:
1. Традиционно прочные связи с промышленностью. Создана и функционирует цепочка «фундаментальное исследование – прикладное научно-техническое исследование, разработка, опытно-конструкторские работы – мелкосерийное производство – промышленное производство, рынок востребованной продукции»;
2. Интеграция обучения, фундаментальных исследований, внедренческих навыков на всех ступенях образовательного процесса; широкий спектр специальностей и специализаций, включая естественные, социальные и гуманитарные науки;
3. Высокий процент обучающихся по программам специалистов, магистров, кандидатов и докторов наук;
4. Ориентация на организацию ротации кадров, охватывающая сферы образования, науки, промышленности и бизнеса.
5. Активное участие в дополнительном послевузовском образовании;
6. Множественность источников финансирования: федеральный и местный бюджеты, гранты, благотворительные и попечительские фонды, бизнес, доходы от учебной, исследовательской, производственной и консультационной деятельности.
7. Тесная связь с бизнесом и хорошо поставленная коммерциализация результатов научных исследований;
8. Интеграция ВГТУ с международными научно-исследовательскими образовательными и инновационными центрами, восприимчивость к мировому опыту и гибкость в отношении новых направлений научных исследований и методологии преподавания.
9. Многоуровневые программы повышения квалификации и переподготовки, основывающиеся на междисциплинарном подходе; специальные программы послевузовской подготовки.
Сегодня университетский комплекс ВГТУ представляет собой широкомасштабную развитую структуру, включающую в себя следующие основные блоки:
– образовательно-воспитательный;
– научный;
– инновационно-производственный;
– административно-управленческий, хозяйственный и социальный.
В ВГТУ открыты и успешно работают 38 филиалов кафедр с выделением площадей для различных видов учебных занятий (около 3800 м2
). Университет обеспечивает возможность получения непрерывного образования по 150 образовательным программам высшего, среднего, начального и дополнительного профессионального образования.
Реализуемые университетом образовательные программы соответствуют 6 из 8 приоритетных направлений науки, технологий и техники и 25 из 34 критических технологий, утвержденных Постановлением Правительства РФ №Пр-843 от 21.05.2006 г. [16].
Образовательная подсистема ВГТУ призвана обеспечить подготовку высококвалифицированных кадров, способных осуществлять инновационную деятельность в области машиностроения. В этой связи выпускающие кафедры должны организовать и осуществлять профильный инновационный цикл в рамках образовательной, научной и производственной деятельности. В состав кафедры, кроме бюджетных подразделений, должны входить коммерческие и, возможно, производственные подразделения, осуществляющие инновационный цикл. Чтобы коммерческие и производственные подразделения не отрывались от образовательных и научных подразделений, руководителем всего инновационного цикла должен быть один человек – заведующий кафедрой. В случае комбинированных-интегрированных инновационных циклов (участие нескольких кафедр) руководителями могут быть, например, деканы. Научная интеграция позволит ориентироваться на предприятия, производящие конечный продукт, что предполагает возможность равняться на мировой уровень инновационной деятельности.
Развитие научной базы кафедры предполагает создание лаборатории фундаментальных исследований с бюджетным финансированием как структурного элемента инновационного комплекса кафедры. Основная задача лаборатории – анализ мировых тенденций и концентрация фундаментального современного знания в конкретной области.
К традиционным областям планирования относятся:
1. Модернизация лекционных курсов и практических занятий, использование мультимедийных средств на занятиях и при аттестации студентов.
2. Разработка учебно-методической документации.
3. Повышение квалификации.
4. Работа со студентами а) научная; б) воспитательная.
5. Научная работа: участие в фундаментальных исследованиях; участие в научных конференциях и их организация; научные публикации; работа над грантами; хоздоговорные НИР.
6. Создание своей сферы практики на коммерческой основе в рамках Технопарка.
7. Общественная работа в органах власти и общественных организациях.
8. Разработка и реализация программ совместной деятельности с другими кафедрами.
9. Разработка и реализация мероприятий по формированию положительного имиджа кафедры на уровнях ВГТУ, Воронежского и других регионов, РФ в целом.
Региональная система подготовки кадров в области высоких технологий должна базироваться на создании на базе вузов учебно-научно-производственных центров. Кафедры и факультеты вузов должны создать учебно-производственные центры на основе материально-технической базы машиностроительных предприятий, научно-исследовательских учреждений области, технопарков и других инновационных структур.
Решение указанной задачи обеспечивают условия для использования инноваций на основе единого учебно-научно-инновационного процесса, начинающегося с фундаментальных и прикладных исследований на профильных кафедрах, и заканчивающегося производством и реализацией наукоемкой продукции.
Необходимо создать систему переподготовки и повышения «квалификации в области высоких технологий. Переподготовка и повышение квалификации кадров должна основываться на новейших методах обучения с активным использованием телекоммуникационных и информационных систем, дистанционного обучения. Это потребует проведения разработки новых форм образовательной деятельности, подготовки и оптимизации образовательных стандартов, учебных программ, создания современных учебных пособий.
Развитию высоких технологий будут способствовать различные мероприятия по обмену опытом, информированию научной общественности и широких масс новыми научными и техническими достижениями, семинары, конференции, школы.
Формирование кадрового потенциала, в условиях инновационной экономики – сложный процесс, определяющими факторами которого являются: создание системы непрерывной подготовки кадров инновационной сферы, переподготовка, повышение квалификации кадров. Проблема состоит в острой нехватке руководителей малых инновационных предприятий, имеющих профессиональное образование в области инновационного менеджмента, обладающих соответствующим мышлением и способных управлять в рыночных условиях. Основными принципами кадровой политики являются:
– ориентация на получение профессионального образования в области инновационного менеджмента соответствующего международному уровню и формирующего потребность в постоянном развитии;
– доступность профессиональной переподготовки для инновационных менеджеров всех предприятий без отрыва от работы;
– процессинговое консультирование по освоению прикладных инструментов современного инновационного менеджмента;
– поддержка образовательных и консалтинговых программ, обеспечивающих соответствие профессиональной подготовки управленческого персонала международным стандартам и стимулирующих одновременно создание современных систем управления;
– привлечение к обучению инновационных менеджеров образовательных учреждений и консалтинговых фирм, использующих современные эффективные образовательные технологии;
– анализ востребованных выпускаемых специалистов;
– разработка перспективных образовательных программ в соответствии с динамикой требований к специалисту;
– подготовка и издание учебных программ, методических пособий, курсов лекций для повышения квалификации административно-управленческого персонала промышленных предприятий с учетом отраслевых особенностей по направлениям финансово-кредитной и инвестиционной деятельности, инновационного менеджмента, маркетинга, организации информационно-аналитической службы, сертификации продукции и системы контроля качества, аудита, анализа хозяйственной деятельности и т.д.;
– формирование банка данных о потребностях области в подготовке и повышении квалификации кадров для инновационной сферы, существующих учебных курсах, программах и т.п.;
– привлечение иностранных специалистов для консультаций и обучения руководителей и управленческого состава малых инвестиционных предприятий.
– расширение работы по интеграции образования и научно-инновационной деятельности научных лабораторий, структурных подразделений технопарков и предприятий области;
– широкое внедрение научных достижений в учебный процесс;
– активное привлечение студентов к фундаментальным и прикладным исследованиям, участию в научных конференциях и выставках, к подготовке публикаций и подаче заявок на патенты;
– осуществление подготовки специалистов для инновационной сферы в форме магистратуры с отбором для поступления в нее бакалавров с профильных инженерных факультетов.
Образовательный процесс тесно увязан с деятельностью инновационной научно-производственной подсистемы, включающей в себя инновационные фирмы, научно-исследовательских лаборатории; инновационные технологические центры «ВГТУ – промышленные предприятия» и др.
В 2008 году получено 16 патентов, число заявок на объекты промышленной собственности составило 39. Университет поддерживает 41 патент.
Создан малый инновационный пояс вокруг университета. Эти предприятия образуют «среду поддержки» для инновационных структур ВГТУ, призванную обеспечить их комплексом услуг, необходимых для скорейшего прохождения продукции от стадии разработки до производственного освоения и сбыта.
Важным этапом формирования РМК является разработка нормативно-правовой базы его деятельности. В частности, необходимо осуществить разработку законов, постановлений, направленных на:
– предоставления дополнительных преференций для инвесторов, реализующих инновационные проекты;
– создания новых элементов инновационной инфраструктуры;
– формирования правовой базы и документации для конкурсов, проводимых в рамках развития инновационной инфраструктуры, поддержки малого инновационного предпринимательства и реализации инновационных проектов стратегических инноваторов;
– развития правовой базы в сфере образования региональных инновационных кластеров (концепция кластерной политики, области и областной закон о региональных инновационных кластерах);
– развития правовой базы в сфере патентоведения и интеллектуальной собственности для осуществления эффективной коммерциализации технологий.
Правовые акты должны охватывать всю цепочку инновационного процесса: генерирование новых знаний, технико-технологические разработки, производство и трансфер технологий.
Второй составляющей механизма формирования РМК является система ресурсного обеспечения. Для этого необходимо осуществить концентрацию средств областного бюджета, привлечение внебюджетных средств, участие в реализации соответствующих федеральных целевых программах.
Учитывая ведущую роль государства в вопросах материально-технического обеспечения научных исследований и их финансовую емкость, система финансового обеспечения инновационной деятельности РМК должна строиться, на наш взгляд, на основе государственной поддержки его деятельности на всех стадиях инновационного цикла, а также широкое использование механизма частно-государственного партнерства принципа софинансирования, консолидации ресурсов в целях коммерциализации научно-технических разработок и реализации инновационных проектов. Для обеспечения эффективной деятельности РМК необходимо привлечение различных источников:
– средства федерального бюджета: участие Воронежской области в реализации федеральных целевых программ и проектов поддержки инновационной деятельности, в т.ч., федеральной целевой программы «Исследования и разработки по приоритетным направлениям развития научно-технологического комплекса России на 2007–2012 годы», развитие кластеров, парка высоких технологий;
– средства областного бюджета: деятельность вновь созданных финансовых институтов, Фонда содействия развитию венчурных инвестиций в малые предприятия в научно-технической сфере Саратовской области и Венчурного фонда, Гарантийного фонда, поддержка научных исследований и разработок, использование различных форм поддержки, предусмотренных законодательством Воронежской области. Предоставление средств на софинансирование формирования и обеспечение деятельности РМК, налоговых льгот, налоговых кредитов, бюджетных кредитов;
– внебюджетные средства: средства организаций, входящих в РМК, международных программ, проектов, фондов и других государственных и негосударственных институтов.
Формирование Воронежского РМК позволит, на наш взгляд, создать в Саратовской области эффективно действующую региональную инновационную инфраструктуру, обеспечивающую формирование непрерывной «цепочки»: идея – опытный образец – инвестиционный проект – внедрение – коммерциализация; обеспечить концентрацию интеллектуальных, материальных и финансовых ресурсов на повышении конкурентоспособность машиностроительной продукции; содействовать развитию сектора исследований и разработок, укреплению материально-технической базы научных и образовательный организаций; повысить экономическую эффективность финансирования инновационной деятельности за счет создания условий качественной подготовки, отбора и сопровождения; развивать научно-технологическую базу предприятий машиностроения, их поставщиков и обслуживающих предприятий; обеспечить экономику области квалифицированными специалистами в сфере инновационного бизнеса.
2. Источники инвестирования регионального машиностроительного кластера
Одним из направлений антикризисных мер является формирование РМК и источника инвестирования инновационной деятельности на основе проектного метода. С позиции настоящего исследования и обобщая все вышеизложенное под инновационным капиталом, на наш взгляд, следует понимать собственные, заемные и привлеченные РМК средства, направляемые на финансирование своей инновационной деятельности с целью повышения конкурентоспособности и достижения стратегического преимущества на рынке машиностроительной продукции. Инновационный капитал составляет основу Фонда развития РМК.
В настоящее время формирование Фонда развития РМК может происходить за счет средств: бюджетов всех уровней; российских банков; иностранных банков; портфельных инвесторов – частных фондов; портфельные инвесторов – фондов «помощи»; стратегических инвесторов; крупных предприятий. В качестве других менее распространенных источников могут выступать: средства от эмиссии акций, векселя, облигации, конвертируемые облигации, лизинг, форфейтинг, франчайзинг.
В качестве источников инвестирования инновационной деятельности РМК могут выступать ассигнования бюджетов всех уровней, иностранные инвестиции, собственные средства организаций, а также аккумулированные в форме финансового капитала временно свободные средства организаций и учреждений, а также сбережения населения.
Все источники формирования Фонда развития РМК можно классифицировать:
1. Собственные финансовые средства организаций РМК – прибыль, накопленные амортизационные отчисления, суммы, выплачиваемые страховыми органами в виде возмещения за ущерб, иные виды активов – основные фонды, земельные участки, промышленная собственность и привлеченные средства – средства от продажи акций, благотворительные и иные взносы, средства, выделяемые вышестоящими холдинговыми и акционерными компаниями, промышленно-финансовыми группами на безвозмездной основе.
2. Ассигнования из федерального, регионального и местного бюджетов, фондов поддержки предпринимательства, предоставляемые на безвозмездной основе.
3. Иностранные инвестиции – финансовое или иное участие в уставном капитале совместных предприятий, а также прямые вложения (в денежной форме) международных организаций и финансовых институтов, государств, предприятий и организаций различных форм собственности и частных лиц.
4. Заемные средства – кредиты, предоставляемые государством на возвратной основе, кредиты иностранных инвесторов, облигационные займы, кредиты банков и других институциональных инвесторов (инвестиционных фондов и компаний, страховых обществ, пенсионных фондов), векселя и другие средства.
Первые три группы источников образуют собственный капитал РМК. Суммы, привлеченные по этим источникам извне, не подлежат возврату. Четвертая группа источников образует заемный капитал. Эти средства необходимо вернуть на заранее оговоренных условиях (в установленные сроки и с выплатой процентов за пользование). Субъекты, предоставившие средства по этим каналам, в доходах от использования результатов, как правило, не участвуют.
По видам собственности источники инвестирования РМК делятся на:
− государственные инвестиционные ресурсы (бюджетные средства, средства внебюджетных фондов, государственные заимствования, пакеты акций, имущество государственной собственности);
− инвестиционные ресурсы хозяйствующих субъектов, а также общественных организаций, физических лиц и т.д.
На уровне государства и субъектов Федерации источниками инвестирования РМК являются:
− собственные средства бюджетов и внебюджетных фондов,
− привлеченные средства государственной кредитно-банковской и страховой систем,
− заемные средства в виде внешнего (международных заимствований) и внутреннего долга государства (государственных облигационных и прочих займов).
На уровне предприятия источниками инвестиций являются:
− собственные средства (прибыль, амортизационные отчисления, страховые возмещения, нематериальные активы, временно свободные основные и оборотные средства);
− привлеченные средства, полученные от продажи акций, а также взносы, целевые поступления и пр.;
− заемные средства в виде бюджетных, банковских и коммерческих кредитов.
Таблица 1. Структура форм и источников формирования Фонда развития РМК
| Форма финансирования |
Источники финансирования |
| Собственные и привлеченные средства |
Заемные средства |
Бюджетные и внебюджетные государственные средства |
Иностранные средства |
| Акционерное финансирование |
| Участие в уставном капитале |
+ |
- |
+ |
+ |
| Корпоративное финансирование |
+ |
+ |
+ |
+ |
| Государственное финансирование |
| Бюджетные кредиты |
- |
- |
+ |
- |
| Ассигнования из бюджета на безвозмездной основе |
- |
- |
+ |
- |
| ФЦП |
- |
- |
+ |
- |
| Финансирование за счет средств государственного заимствования |
- |
+ |
+ |
+ |
| Заемное финансирование |
| Лизинг |
- |
+ |
- |
+ |
| Банковские ссуды и кредиты |
- |
+ |
+ |
+ |
| Иностранные кредиты |
- |
+ |
- |
+ |
| Финансовые средства коллективных инвесторов |
- |
+ |
- |
+ |
Развитие инновационной деятельности на основе кластерного подхода с центром ведущий университет предполагает и совершенствование подходов к инвестированию. Анализируя классификацию мер европейской инновационной политики и адаптируя ее применительно к теме настоящего исследования, можно выделить следующие меры, направленные на повышение инновационной активности:
1. Улучшение управления инновациями и стратегическое видение для лиц, принимающих решения.
1.1. Стратегическое видение.
1.2. Инновационные исследования
1.3. Инновационные стратегии
1.4. Развитие кооперация.
2. Стимулирование благоприятной инновационной среды.
2.1. Общественное обеспечение.
2.2. Административное упрощение.
2.3. Регуляторная среда.
2.4. Государственная помощь для РМК.
2.5. Поддержка для усвоения технологий.
3. Поддержка трансфера технологий и знаний, развитие РМК.
3.1. Рекрутинг инноваций.
3.2. Трансфер технологий.
3.3. Инновационные посредники.
3.4. Инновационная инфраструктура.
3.5. Научно-промышленная кооперация.
4. Продвижение и поддержка создания и роста инновационной деятельности РМК.
4.1. Финансирование РМК.
4.2. Обеспечение конкурентных рынков.
4.3. Усиление частного финансирования инноваций.
4.4. Оптимизация финансового регулирования.
4.5. Эксплуатация новых рыночных возможностей.
5. Усиление предпринимательских инноваций, включая защиту и коммерциализацию интеллектуальной собственности.
5.1. Инновационные навыки.
5.2. Нетехнологические инновации.
5.3. Защита прав интеллектуальной собственности.
5.4. Коммерциализация исследований.
Создание Фонда развития РМК позволит устанавливать и управлять системой интегрированных финансовых средств для содействия проведения исследований на начальной стадии, кооперации между университетом и инвестиционными институтами на основе принципов частно-государственного софинансирования.
Фонд развития РМК должен являться финансовым инструментом развития инновационной деятельности РМК. Основными направлениями деятельности Фонда могут быть:
– организация проведения экспертизы и конкурсного отбора проектов, претендующих на получение финансовых средств;
– предоставление целевого финансирования;
– выделение средств на проведение НИОКР, создание инновационной продукции и внедрение ее в производство, на проекты, связанные с трансфером инноваций на отечественные и зарубежные рынки;
– предоставление займов на научные исследования и разработки организациям, входящим в РМК;
– формирование и обновление портфеля инновационных проектов в рамках РМК;
– содействие в развитии и координации деятельности организаций научно-технической сферы для поддержки науки, прикладных исследований и разработок, выведение конкурентоспособной наукоемкой продукции на рынок;
– поддержка инновационных проектов на всех этапах инновационного процесса от стартовых вложений до венчурного, проектного и кредитного финансирования на завершающих стадиях.
Таким образом, средства Фонда могут формироваться для финансирования инновационной деятельности на всех стадиях. Однако, на наш взгляд, эти средства необходимы в первую очередь для финансирования работ на ранних стадиях инновационной деятельности, т.е. НИОКР. В последующем на стадиях трансфера и коммерциализации инноваций могут выполняться и другие соотношения в финансировании ни основе принципов частно-государственного партнерства. Внедрение в производство инновационных проектов, как уже отмечалось ранее возможно на основе метода проектного финансирования.
В этом случае возможно участие государства на основе метода облигационного кредитования инновационной деятельности. Использование облигационного кредитования в условиях кризиса позволит обеспечить эффективность и целевой характер использования бюджетных средств, направляемых для поддержки экономики, и обеспечивающих возможность осуществлять инновационную деятельность предприятиям. Применительно к инвестированию инновационной деятельности РМК в условиях кризиса предложенный метод может быть скорректирован с учетом особенностей организации кластера и проектного метода.
На первом этапе на государственном и региональном уровнях определяется объем бюджетных средств, необходимых для развитие инновационной деятельности РМК. Объем средств формируется на основе обоснованных соответствующим образом заявок, поданных Советом РМК. Эти заявки рассматриваются органами управления инновационной деятельности соответствующего уровня и рассматриваются «в экспертном межведомственном совете, куда помимо представителей министерств, ведомств и органов соответствующего уровня управления (финансов, экономического развития, промышленности и торговля, науки и образования и т.д.), должны входить ведущие специалисты науки, промышленности и образования. В компетенцию указанного совета входит экспертиза заявки на предмет ее финансово-экономической, научной, материально-технической перспективности и реализуемости. При положительном решении экспертный совет направляет официальное уведомления соответствующему органу Федерального казначейства, который … является представителем государства в вопросах целевого финансирования».
Органы федерального казначейства выступает в виде трассата, обеспечивая обязательства предприятия-векселедателя (трассанта) по его расчетам с партнерами. Проектная организация-векселедатель производит эмиссию векселей согласно графику платежей представленного плана и производит ими оплату с ремитентами. Федеральное казначейство при условии соблюдения вексельного договора акцептует векселя и производит платеж. Кроме того оно обеспечивает своевременность платежей по акцептованным векселям, исполнение вексельных обязательств перед государством и своевременное поступление возвращаемых средств в бюджеты соответствующего уровня.
Таким образом, финансирование инновационной деятельности РМК на основе использования Фонда развития РМК, проектного метода и вексельного кредитования в условиях кризиса позволит:
– формировать необходимый объем средств из различных источников, в требуемые сроки, на более длительный период и под приемлемые проценты;
– сохранять «государственный контроль за целевым характером использования средств» на развитие инновационной деятельности РМК;
– обеспечивать «гибкость в вопросах погашения долга перед государством по предоставленным средствам»;
– своевременно финансировать инновационную деятельности РМК;
– на основе использования метода смешенного проектного финансирования высвобождать собственные денежные средства для обеспечения предприятиями своей деятельности;
– обеспечить «возвратность и платность за использование государственных средств по мере преодоления кризиса».
В общем виде схема инвестирования инновационной деятельности РМК может быть представлена следующим образом (рис. 9). Фонд развития РМК аккумулирует средства и в соответствии с потребностями предприятий осуществляет финансирование научно-исследовательской деятельности НИУ. Внедрения инновационных проектов на машиностроительных предприятиях происходит на основе представленных бизнес-планов, которые проходят экспертизу. В экспертную комиссию должны входить, как отмечалось, и представители производства, и представители научной сферы. Внедрение отобранных проектов осуществляется через проектную организацию, деятельность которой также финансируется за счет средств аккумулированных в Фонде. Финансирование деятельности РМК должно осуществляться по приведенной выше схеме, т.е. бюджетные средства поступают на основе вексельного обеспечения, а средства частных инвесторов путем перечисления в Фонд. При этом векселя могут использоваться не только для прямого финансирования, но и для погашения процентов и основного долга по кредитам. Одним из основных принципов финансирования деятельности РМК, на наш взгляд, является государственное законодательное обеспечение о возможности погашения долга по заемным средствам после внедрения проекта и начала получения прибыли, т.е. освоения производства.
Рассмотрим механизм построения бюджета инвестиций внедрения инновационного проекта, разработанного в технопарке ВГТУ, на машиностроительном предприятии. При осуществлении процесса обеспечения средствами инновационного проекта специалистам Фонда развития РМК необходимо найти такое сочетание источников средств, чтобы минимизировать их цену, с одной стороны, а с другой – выбрать такой вариант распределения средств, который способствовал бы максимизации прибыльности используемых средств. Для этого требуется провести анализ основных критериев оценки эффективности инновационной деятельности. Для этого можно представить, на наш взгляд, полученные результаты в виде алгоритма выбора оптимального решения для вложения инвестиций в инновационную деятельность машиностроительного предприятия.
Система планирования внедрения инновационного проекта на стадии производства на многих машиностроительных предприятиях, на наш взгляд, имеет в настоящее время недостатки:
– процесс производства инновационной продукции начинается от производства, а не от сбыта продукции;
– плановые данные отличаются от фактических, т. к. накладные расходы рассчитываются в процентах от трудоемкости, что делает их переменной величиной; учет прямых затрат на сырье и материалы основан на завышенной нормативной базе; прогнозы изменения цен на факторы (оборудование, сырье, материалы и т.д.), как правило, отсутствуют;
– в планировании преобладает затратный механизм;
– калькуляция себестоимости выполняется на единицу выпуска продукции, а не на единицу проданной продукции;
– отсутствует разделение затрат на переменные и постоянные (поэтому анализ безубыточности невозможен);
– экономическое планирование, как правило, не доводится до планирования финансового (поэтому невозможно достоверно определить оптимальную потребность предприятия в финансовых ресурсах для осуществления инновационной деятельности, что особенно важно в условиях недостатка средств на машиностроительных предприятиях).
Устранение перечисленных недостатков во многом может быть обеспечено с помощью разработки и внедрения. Важнейшей целью бюджетирования, является оценка будущих неопределенностей и разработка соответствующих мер до возникновения проблем, определение потребностей в собственном и заемном капитале, управление ожиданиями инвесторов, подготовка отчетности для внешних сторон, информирование, контроль, совершенствование, проведение разграничения между бюджетированием и управлением, оценка внешних перспектив, оценка риска.
Определение потребности в капитале предполагает определение необходимости привлечения дополнительных источников финансирования инновационной деятельности, если отсутствует достаточное количество собственных источников. Цель управление ожиданиями инвесторов предполагает выявление эффективных инструментов, необходимых для эффективного управления, позволяющие обеспечить выручку, ликвидность, сохранить доверие инвесторов.
Подготовка отчетности для внешних сторон-участников инновационной деятельности предполагает предоставление необходимой информации с целью привлечения потенциальных инвесторов. Информирование предполагает глубокое изучение возможностей и проблем, которые могут возникнуть в процессе внедрения инновационного проекта, и предоставление информации заинтересованным сторонам.
Цель проведения разграничения между бюджетирование и управлением показывает, что бюджетирование представляет собой процесс планирования и предшествует управлению, которое направлено на достижение запланированного или более высокого результата инновационной деятельности машиностроительного предприятия.
Цель внешние перспективы показывает, что предприятие не работает в изолированном пространстве, а в высоко динамичной среде. Поэтому оно должно адаптировать результаты как инновационной деятельности, так и всей хозяйственной деятельности к эти изменениям с целью повышения прибыли, деловой активности и улучшения финансового состояния.
Риск всегда сопровождает инновационную деятельность машиностроительного предприятия и одной из целью ее бюджетирования является их выявление, оценка и разработка мероприятий по их снижению или предотвращению.
Основной классификационный признак, на наш взгляд, по сферам инновационной деятельности машиностроительного предприятия. Здесь выделяют:
– финансовые (основные) бюджеты, которые включают бюджеты доходов и расходов, бюджет движения денежных средств и прогнозный баланс;
– операционные бюджеты, которые включают бюджет продаж, бюджет производства, бюджет затрат на основные материалы, бюджет затрат труда, бюджет накладных расходов производства, бюджет коммерческих расходов, бюджет управленческих расходов;
– вспомогательные бюджеты, которые включают инвестиционный бюджет, кредитный план и т.д.
Бюджет текущих затрат состоит из двух разделов: текущих расходов, представляющий собой издержки производства (обращения) по инновационной деятельности и доходов от реализации результатов инновационной деятельности.
Бюджет капитальных затрат представляет собой форму доведения до конкретных исполнителей результатов текущего плана капитальных вложений, связанных с инновационной деятельностью.
Функциональный бюджет разрабатывается по одной или двум статьям затрат (например, бюджет оплаты труда персонала).
Комплексный бюджет разрабатывается по широкой номенклатуре затрат (бюджет производственного участка, бюджет административно-управленческих расходов и т.д.).
Гибкий бюджет разрабатывается с учетом возможности изменений, которые будут внесены в него при колебаниях выпуска, реализации и других параметров инновационной деятельности, влияющих на уровень доходов и расходов инновационной деятельности. В случае гибкого бюджета характер изменения затрат по каждому пункту учитывается путем пересмотра заложенных в бюджет допущений в свете фактически достигнутого уровня инновационной деятельности. Гибкий бюджет представляет собой эффективное средство для сравнения фактических затрат с плановыми.
Фиксированный бюджет не подлежит изменениям независимо от объемов выпуска и реализации результатов инновационной деятельности. Этот бюджет основан только на одном виде инновационной деятельности, имеющем короткий цикл освоения, производства и реализации. Фиксированный бюджет может быть использован, например, при производстве инновационной продукции по заключенным договорам на поставку.
Оперативный бюджет представляет собой бюджет, прямо связанный с достижением целей инновационной деятельности машиностроительного предприятия (план финансирования инновационной деятельности, план производства, план материально-технического снабжения).
Текущий бюджет – это краткосрочный бюджет, направленный на планирование текущих целей на каждом этапе осуществления инновационной деятельности предприятия.
Перспективный бюджет – бюджет генерального развития инновационной деятельности машиностроительного предприятия.
Укрупненный бюджет отражает основные статьи доходов и расходов в обобщенном виде.
Детализированный бюджет содержит все статьи доходов и расходов с разбивкой по их составляющим.
Основными направлениями финансового мониторинга внедрения инновационного проекта являются определение цели привлечения финансовых ресурсов; объема, структуры и источников финансирования инновационной деятельности; механизма формирования и распределения дохода и прибыли предприятия; механизма контроля платежей.
Основной задачей управления структурой капитала, используемого при инновационном проектировании, и источниками его формирования является обеспечение требуемых показателей платежеспособности предприятия. Поэтому финансовый мониторинг предполагает анализ платежеспособности предприятия до начала инновационной деятельности и ее изменения в результате проведения инновационной деятельности.
Управление структурой капитала осуществляется на основе анализа сложившейся структуры капитала предприятия и основных тенденций изменения этой структуры под влиянием инновационной деятельности. При этом устанавливаются существующие для данного предприятия соотношения между собственным и заемным капиталом, определяется необходимость и возможность коррекции существующих соотношений с целью расширения источников формирования капитала финансирования инновационной деятельности. По результатам выполненного анализа делается вывод о достаточности имеющихся у предприятия средств для финансирования инновационной деятельности, осуществляется поиск собственных резервов финансирования инновационной деятельности и определяется целесообразность использовать средства Фонда развития РМК.
Рассмотрим процесс формирования бюджета проектной организации с целью финансирования внедрения инновационного проекта производства деталей регулятора давления тормозных систем роторных экскаваторов.
В настоящее время детали топливной аппаратуры изготавливаются на современном оборудовании отечественного и зарубежного производства. На заводе установлено 30% импортного оборудования ведущих фирм Швейцарии, Швеции, Италии, Австрии, Германии и Японии. Уровень технологии производства автозапчастей соответствует современным требованиям, что подтверждается документально контролирующими органами. Однако предприятию необходимо создать производственные мощности для увеличения выпуска запчастей, приобрести дополнительное высокоэффективное оборудование, провести обновление основных производственных фондов, т. к. 50% оборудования имеет возраст более 20 лет.
Технологический цикл производства и реализации продукции каждой из деталей составляет 10 дней
Реализацию проекта предполагается осуществлять в три этапа:
1. Прединвестиционный включает:
– предварительное технико-экономическое обоснование производства автозапчастей;
– выбор технологии производства;
– разработка проектно-сметной документации на реконструкцию помещений, задействованных в производственном процессе;
– разработка проектно-сметной документации на реконструкцию и создание необходимых инженерных и энергетических сетей;
– разработка проектной документации на экологическую безопасность производства.
2. Инвестиционный включает:
– разработка бизнес-плана проекта;
– технологическая подготовка производства;
– заключение договоров на поставку оборудования;
– монтаж закупленного оборудования;
– ремонт помещений;
– реконструкция инженерных и энергетических сетей;
– приобретение транспорта;
– работа по экологической безопасности.
3. Эксплуатационный включает:
– ввод в эксплуатацию основного и вспомогательного оборудования;
– выпуск регуляторов давления.
Инновационная деятельность планируется осуществлять на базе действующего предприятия при сохранении номенклатуры и объемов выпускаемой продукции, в процессе ее реализации будут задействованы все основные средства предприятия.
Таблица 2. Основные средства предприятия, направляемые для реализации инновационной деятельности, тыс. руб.
| Наименование собственных основных средств |
Балансовая
стоимость
|
Остаточная
стоимость
|
| Нематериальные активы |
706,0 |
560,0 |
| Здания и сооружения |
80000,0 |
20000,0 |
| Основное и вспомогательное технологическое оборудование |
54261,0 |
12047,0 |
| Подвижной состав |
4644,0 |
2822,0 |
| Итого: |
139611,0 |
35429,0 |
На предприятии имеются необходимые производственные, технологические складские и санитарно-бытовые помещения.
Для производства регуляторов давления в требуемых объемах, повышения производительности, обеспечения высокой надежности и качества выпускаемой продукции необходимо закупить специальное оборудование, которое поставляется в основном станкостроительными заводами. Предприятие располагает частично инженерными и энергетическими сетями, средствами связи. Необходим ремонт внутризаводских дорог, развитие инженерных и энергетических сетей и средств связи.
Планируемая инновационная деятельность требует проведения работ по повышению экологической безопасности.
Таблица 3. Работы по экологичности и безопасности
| Наименование показателя |
Меры защиты |
Необходимее работы |
Стоимость, тыс. руб. |
| Вредные выбросы в атмосферу |
Вентиляция |
Установка газоочистного оборудования |
300 |
Для выполнения данного проекта на предприятии планируется создание организационной структуры, состоящей из холдинга – центральной фирмы организатора проекта и, создаваемой ею дочерних предприятий. Поэтому в качестве центров ответственности, связанных с внедрением проекта, на данном предприятии, на наш взгляд, можно выделить:
1. Совет директоров, включающий руководителей созданных дочерних предприятий в рамках инновационной деятельности, и генерального директора предприятия. Данный центр ответственности отвечает за следующие положения:
– определение приоритетные направления инновационной деятельности;
– увеличение уставного капитала путем размещения дополнительных акций в пределах количества и категорий объявленных акций;
– определение цены (денежной оценки) имущества, цены размещений и выкупа эмиссионных ценных бумаг в случаях, предусмотренных Федеральным законом «Об акционерных обществах»;
– приобретение размещенных Обществом акций;
– рекомендации по размеру дивиденда по акциям и порядку его выплаты;
– использование резервного и иного фондов Общества;
– утверждение бизнес-планов инновационной деятельности и отчетов об их выполнении.
2. Генеральный директор – выполняет функции, необходимые для достижения целей инновационной деятельности и обеспечения нормальной работы предприятия:
– открывает в банках или иных кредитных организациях расчетные и иные счета;
– координирует деятельность структурных подразделений, задействованных в инновационной деятельности;
– издает приказы и дает указания, обязательные для исполнения всеми работниками;
– представляет материалы и предложения по инновационной деятельности на рассмотрение Совета директоров;
– назначает ответственных за инновационную деятельность.
3. Подразделение снабжения – отвечает за выполнение графика инновационной деятельности посредством обеспечения производственных процессов всеми необходимыми ресурсами.
4. Служба сбыта – отвечает за своевременную реализацию готовой продукции, устойчивые связи с потребителями и партнерами.
4. Служба главного инженера – отвечает за осуществление производственных процессов, работы вспомогательных служб, процессов, связанных с разработкой новых технических решений в рамках инновационной деятельности; за соблюдение технологических процессов производства и за наличие всех условий, необходимых для непрерывного выполнения инновационной деятельности.
5. Финансовая служба – отвечает за ведение всех видов учета, связанных с финансовой деятельность предприятия, в т.ч. инновационной деятельности, а также за разработку финансового обеспечения инновационной деятельности.
Укрупнено центры ответственности можно разделить на центры затрат и центры прибыли инновационной деятельности. Центры затрат представляют собой подразделения, менеджеры которых отвечают только за определенные виды расходов, связанных с конкретным участок выполнения инновационной деятельности. При этом каждый центр затрат должен объединять производство только однородных видов продукции, что обеспечит сопоставимость показателей и упростит распределение между ними косвенных расходов. Один центр ответственности может включать несколько центров затрат. В нашем случае каждый центр ответственности включает два центра затрат – по производству поршня и по производству корпуса. Таким образом, центры затрат службы главного инженера отвечает за затраты, связанные непосредственно с производством, идущие на производство этих видов продукции и за затраты на обслуживание производственного оборудования. Центры затрат службы снабжения – за затраты на снабжение производства поршня и корпуса необходимыми материалами и другими ресурсами. Центры затрат финансовой службы – за затраты на ведение бухгалтерской отчетности, аудита, затрат, связанных с бюджетированием различных стадий организации внедрения инновационного прокта.
Центры прибыли представляют собой подразделения, в которых менеджеры наряду с ответственностью за расходами несут также ответственность за соответствующие этим расходам доходы. В центрах прибыли менеджеры, как правило, контролируют все компоненты деятельности своего подразделения, оказывающие влияние на финансовый результат.
Целью учета по центрам ответственности является удовлетворение информационных потребностей внутреннего управления инновационной деятельностью. Он позволяет оперативно контролировать затраты и результаты на разных уровнях управления инновационной деятельностью и оценивать работу отдельных менеджеров и подразделений на основе согласованных планов деятельности и оперативности предоставления взаимосвязанной отчетной информации, а также первичного анализа.
Таким образом, удельная себестоимость продукции инновационной деятельности предприятия составит:
Таблица 4. Себестоимость единицы продукции, руб.
| Наименование затрат |
Корпус |
Поршень |
| Переменные затраты |
43,4 |
16,6 |
| Постоянные затраты |
64,2 |
38,3 |
| Амортизационные отчисления |
2,8 |
1,4 |
| Налог на пользователей дорог |
1,0 |
0,8 |
| Себестоимость единицы продукции |
111,4 |
57,1 |
Следующий этап предполагает формирование бюджетов по центрам ответственности.
1. Бюджет продаж отражает план реализации выпускаемой продукции по видам, как в натуральном, так и в стоимостном выражении. Бюджет продаж составляется на основе планируемых цен и разрабатывается для отдела сбыта. Центра ответственности – директор сбыта. проведем расчет бюджета продаж (табл. 5).
Таблица 5. Расчет отпускных цен единицы продукции
| Наименование показателя |
Корпус |
Поршень |
| Себестоимость продукции, руб. |
111,4 |
57,1 |
| Рентабельность, % |
21 |
20 |
| Прибыль, руб. |
23,4 |
11,4 |
| Цена без НДС, руб. |
134,8 |
68,5 |
| Цена с НДС, руб. |
161,8 |
82,2 |
2. Бюджет производства разрабатывается на основе бюджета продаж и отражает, какой объем производства продукции должен быть достигнут для обеспечения необходимого объема продаж. Центр ответственности – главный инженер. Согласно фактическим данным объем реализации готовой продукции отличается от объемов производства на величину потерь, составляющую на заводе около 1%. Бюджет потребности в материалах показывает количество материалов, необходимых для производства запланированного в бюджете объема продукции. Бюджет потребности в материалах разрабатывается для главного инженера, т. к. он отвечает за данную часть производственного процесса. Для осуществления производства инновационной продукции на предприятии отсутствуют запасы материалов. Поэтому бюджет потребности в материалах в натуральном выражении совпадет с бюджетом закупки материалов.
5. Бюджет прямых затрат на труд основан на бюджете производства. При этом для определения планируемых затрат на труд планируемый объем производства каждого вида продукции умножается на трудоемкость единицы продукции и на среднечасовую тарифную ставку. Центр ответственности – зам. директора по финансовым вопросам.
3. Бюджет производственных накладных расходов. Центр ответственности – главный инженер.
4. Бюджет административно-управленческих расходов составляется для генерального директора, который и является центром ответственности.
5. Генеральный бюджет охватывает всю инновационную деятельность предприятия и составляется на основе операционных бюджетов. На основе генерального бюджета формируется прогнозный баланс инновационной деятельности предприятия.
3. Расчет экономической эффективности предложенных мероприятий
В целях формирования оптимального финансового потока инвестиций РМК, необходимо провести его оценку. Одним из методов, который может быть использован для такой оценки, является метод поточно-финансовых структур (ПФС), адаптированный автором к теме исследования. При формировании инвестиций, необходимых для инновационной деятельности, рассматривается система финансовых средств, их источников и потоков, т.е. модель формирования потока инвестиций для инновационной деятельности во внутренней среде РМК (рис. 3). Из рис. 4 видна возможность изображения такой системы в виде сети, в узлах которой находятся накопители, аналогичные укрупненным счетам, а линии сети – потоки средств, прообразами которых являются бухгалтерские проводки.
В рамках ПФС потоки представляются непрерывными переменными величинами – векторами и изображаются в виде линий, по отношению к которым определено положительное направление движения средств (рис. 5). Составляющими потока инвестиций являются: поток себестоимости результатов инновационной деятельности поток выручки от реализации результатов инновационной деятельности и поток валовой прибыли , для которых положительные направления указаны стрелками. Значения переменных величин равны интенсивностям потоков и считаются положительными, когда средства движутся в направлении стрелок, и отрицательными в противном случае. С помощью блоков – накопителей изображаются аналоги укрупненных учетных счетов, содержимое которых представляет остаток счетов – сальдо в виде непрерывных переменных величин , , .
При положительном значении содержимого блок – накопитель отображает средства предприятия, его активы, используемые для инновационной деятельности, а при отрицательном – источники средств, направляемых на инвестирование инновационной деятельности. Единицы измерения средств и источников – стоимостные; интенсивности потоков измеряются в единицах стоимости, деленных на единицы времени.
В соответствии с методом двойной записи любое движение средств может быть зафиксировано в виде простой проводки (т.е. с дебетом одного счета и кредитом другого), поэтому соответствующие таким проводкам потоки всегда исходят из одного накопителя и входят в другой, в результате чего поточно-финансовые структуры РМК оказываются замкнутыми.
Баланс средств и источников средств в ПФС записывается в виде:
, (5)
где i – индекс накопителя – укрупненного счета, то есть сумма положительных содержимых – активов равна по абсолютной величине сумме отрицательных содержимых – источников средств.
В процессе реализации результатов инновационной деятельности поток выручки складывается из потока себестоимости результатов инновационной деятельности и потока валовой прибыли от реализации результатов инновационной деятельности :
= (6)
В результате оттока по потоку прибыли из в нем образуется изъятие средств, соответствующее кредитовому сальдо счета «реализация», абсолютная величина отрицательного содержимого увеличивается, представляя, таким образом, накопление прибыли от реализации результатов инновационной деятельности. По потоку в его положительном направлении в конце учетного периода единовременно перемещается сумма, равная прибыли, накопленной в блоке реализации (рис. 61), что соответствует закрытию одноименного счета. В результате, содержимое блока становится равным нулю, а отрицательное содержимое накопителя прибыли учетного периода увеличивается на сумму накопленной валовой прибыли.
Следовательно, прибыль представляется как отрицательное содержимое накопителей, как это и должно быть в соответствии с методологией ПФС применительно к источникам средств. В случае поставок на условиях коммерческого кредита оплата может отставать от фактического поступления средств на значительный период времени и поэтому возникает необходимость учитывать средства в расчетах (рис. 8).
Так как поток поставок опережает поток оплаты, то изъятие средств из накопителя готовой продукции осуществляется раньше притока, аннулирующего изъятие, в результате чего содержимое накопителя расчеты с поставщиками оказывается отрицательным, то есть возникает источник средств.
На предприятиях машиностроения часть готовой продукции поставляется по предоплате, в результате поступление денег опережает поступление материалов, и блок расчетов представляет дебиторскую задолженность предприятия, то есть актив с положительным содержимым. Аналогичная схема планируется при реализации результатов инновационной деятельности машиностроительного предприятия – поршни и корпусы.
Сходным образом формируется ПФС поставок результатов инновационной деятельности покупателям, когда типична отсрочка оплаты поставок с возникновением дебиторской задолженности.
Типичным для предприятий машиностроения является движение средств в оборотном цикле, который характеризуется постоянными и переменными затратами, прибылью, налогами, дивидендами, а также накоплением нераспределенной прибыли.
При формировании ПФС оборотного цикла оборотные средства движутся по внешнему замкнутому контуру, последовательно принимая форму запасов и затрат (незавершенного производства, готовой продукции или запаса товаров), дебиторской задолженности покупателей за реализованные товары, денег и кредиторской задолженности предприятия. Потоки, образующие оборотный цикл – это продажи по отпускным ценам и продажи по себестоимости , выручка , оплата переменных затрат , переменные затраты . Потоки продаж по отпускным ценам и потоки продаж по себестоимости изображают собой один и тот же материальный поток реализуемых товаров, измеренный в ценах продаж и в себестоимости соответственно:
(6)
, (7)
где N – объем товарного потока продаж результатов инновационной деятельности в натуральных единицах измерения,
– цена продаж единицы товара – результата инновационной деятельности,
– себестоимость единицы товара – результата инновационной деятельности.
После деления (57) на (58) и умножения обеих частей равенства на получается выражение через поток продаж по себестоимости и соотношение цены продаж и себестоимости:
  (8)
где - продажи результатов инновационной деятельности по отпускным ценам;
– выручка от реализации результатов инновационной деятельности;
- продажи по себестоимости;
-переменные затраты;
- оплата переменных затрат;
– валовая прибыль;
- постоянные затраты;
- чистая прибыль;
- налогооблагаемая прибыль;
- налог на прибыль;
- прибыль после уплаты налога;
– дивиденды;
- нераспределенная прибыль;
– амортизация;
Z – запасы и затраты;
B – дебиторская задолженность;
D – денежные средства;
S – собственные средства;
K – заемные и привлеченные средства, используемые для финансирования инновационной деятельности, кредиторская задолженность.
Выражению (8) на поточно-финансовой диаграмме соответствует знак функции («вентиля») на линии потока реализации результатов инновационной деятельности.
На предприятии машиностроения переменные затраты, используемые в процессе осуществления инновационной деятельности это в основном вложения в материалы, полуфабрикаты, комплектующие изделия и заработную плату основных производственных рабочих. Оплата переменных затрат отстает от их осуществления, так как на предприятиях машиностроения поставки оплачиваются с отсрочкой, и выплата заработной платы отстает от ее начисления. Как правило, есть основания полагать, что величина отставания будет постоянной. На (рис. 10 а), показано отставание на постоянную величину, которое записывается в виде:
(9)
и означает параллельный сдвиг по оси времени одного графика относительно другого (согласно поточно-финансовой методологии, пассивы изображаются отрицательными числами, поэтому графики находятся под горизонтальной осью. На рис. 65 зависимость (60) показана знаком функции на потоке оплаты переменных затрат с получением информации о текущем значении переменных затрат.
Временной сдвиг потоков при прохождении дебиторской задолженности (рис. 10 б) аналогичен кредиторской и на ПФС также изображается знаком функции:
, (10)
где - период отсрочки оплаты продаж.
(11)
Этому выражению на диаграмме соответствует слияние потоков продаж результатов инновационной деятельности в себестоимости и валовой прибыли. Валовая прибыль делится на постоянные затраты и прибыль от реализации, иначе говоря, прибыль от реализации – остаток после расходования валовой прибыли на покрытие постоянных затрат.
(12)
Поток налога на прибыль рассчитывается по величине налогооблагаемой прибыли путем умножения на ставку налогообложения, что изображено в виде функциональной зависимости потока налога от потока налогооблагаемой прибыли. Прибыль, оставшаяся после уплаты налога на прибыль, равна:
(13) (14)
Поток дивидендов составляет определенную долю от прибыли после налогообложения, оставшаяся после уплаты дивидендов часть прибыли называется нераспределенной прибылью:
 (15)
(16)
Нераспределенная прибыль, накапливаясь, становится частью собственных средств, что на диаграмме изображено вхождением потока в блок S (собственные средства), которые могут быть использованы для финансирования инновационной деятельности.
Предполагается синхронность во времени постоянных затрат и их оплаты, а также начисления налога и дивидендов и их уплаты. Реально на предприятиях оплата обычно отстает во времени, так что образуется пассив, называемый счетами начислений. Тем не менее, предположение о синхронности не искажает суммы пассивов, поскольку соответствующие средства, хотя и несколько ранее по времени будут изображаться в том же количестве в виде нераспределенной прибыли. Результаты расчетов представлены в табл. 4.
Используя поточно–финансовую структуру, метод поточно–запасных характеристик (ПЗХ), можно анализировать установившиеся режимы движения потоков в оборотном цикле, стабильность функционирования. Стабильное функционирование – деятельность предприятия машиностроения в течение достаточно продолжительного времени с постоянной интенсивностью потоков в цикле движения оборотных средств.
Функционирование финансового потока инновационной деятельности РМК оценивается выручкой от реализации результатов инновационной деятельности, которая складывается из потока себестоимости и потока валовой прибыли.
Эффективность функционирования возникает, когда себестоимость реализованной продукции стремится к минимуму без нарушения технологии и качества продукции, а прибыль поддерживается на нормативном уровне.
Таблица 4. Результаты расчета показателей, характеризующих инвестирование инновационной деятельности РМК, тыс. руб.
| Наименование показателя |
Первый год |
| январь |
февраль |
март |
апрель |
май |
июнь |
июль |
август |
сентябрь |
октябрь |
ноябрь |
декабрь |
Итого |
| Корпус |
Поток продаж, |
1145,5 |
1145,5 |
1145,5 |
1145,5 |
1145,5 |
1145,5 |
1145,5 |
1145,5 |
1147,162 |
1147,162 |
1147,162 |
1147,162 |
13753 |
Поток продаж по
себестоимости, 
|
777,7 |
777,7 |
777,7 |
777,7 |
777,7 |
777,7 |
777,7 |
777,7 |
789,826 |
789,826 |
789,826 |
789,826 |
6461,2 |
Оплата переменных затрат,  |
307,272 |
307,272 |
307,272 |
307,272 |
307,272 |
307,272 |
307,272 |
307,272 |
307,706 |
307,706 |
307,706 |
307,706 |
3689 |
Выручка от продаж, |
954,4 |
954,4 |
954,4 |
954,4 |
954,4 |
954,4 |
954,4 |
954,4 |
955,7 |
955,7 |
955,7 |
955,7 |
10502,3 |
Валовая прибыль, |
367,8 |
367,8 |
367,8 |
367,8 |
367,8 |
367,8 |
367,8 |
367,8 |
357,336 |
357,336 |
357,336 |
357,336 |
7291,8 |
Чистая прибыль, |
165,672 |
165,672 |
165,672 |
165,672 |
165,672 |
165,672 |
165,672 |
165,672 |
165,906 |
165,906 |
165,906 |
165,906 |
1989 |
Наименование
показателя
|
Второй год |
| январь |
февраль |
март |
апрель |
май |
июнь |
июль |
август |
сентябрь |
октябрь |
ноябрь |
декабрь |
Итого |
| Корпус |
Поток продаж, |
1618 |
1618 |
1618 |
1618 |
1618 |
1618 |
1618 |
1618 |
1618 |
1618 |
1618 |
1618 |
19426 |
Поток продаж по
себестоимости, 
|
1114 |
1114 |
1114 |
1114 |
1114 |
1114 |
1114 |
1114 |
1114 |
1114 |
1114 |
1114 |
13368 |
Оплата переменных затрат,  |
434 |
434 |
434 |
434 |
434 |
434 |
434 |
434 |
434 |
434 |
434 |
434 |
5208 |
Выручка от продаж, |
1348 |
1348 |
1348 |
1348 |
1348 |
1348 |
1348 |
1348 |
1348 |
1348 |
1348 |
1348 |
16176 |
Валовая прибыль, |
504 |
504 |
504 |
504 |
504 |
504 |
504 |
504 |
504 |
504 |
504 |
504 |
6048 |
Чистая прибыль, |
234 |
234 |
234 |
234 |
234 |
234 |
234 |
234 |
234 |
234 |
234 |
234 |
2808 |
| Наименование показателя |
Первый год |
| январь |
февраль |
март |
апрель |
май |
июнь |
июль |
август |
сентябрь |
октябрь |
ноябрь |
декабрь |
Итого |
| Поршень |
Поток продаж, |
581,976 |
581,976 |
581,976 |
581,976 |
581,976 |
581,976 |
581,976 |
581,976 |
582,798 |
582,798 |
582,798 |
582,798 |
6987 |
Поток продаж по
себестоимости, 
|
404,268 |
404,268 |
404,268 |
404,268 |
404,268 |
404,268 |
404,268 |
404,268 |
404,839 |
404,839 |
404,839 |
404,839 |
4853,5 |
Оплата переменных затрат,  |
117,528 |
117,528 |
117,528 |
117,528 |
117,528 |
117,528 |
117,528 |
117,528 |
117,694 |
117,694 |
117,694 |
117,694 |
1411 |
Выручка от продаж, |
485,0 |
485,0 |
485,0 |
485,0 |
485,0 |
485,0 |
485,0 |
485,0 |
485,7 |
485,7 |
485,7 |
485,7 |
5822,8 |
Валовая прибыль, |
177,708 |
177,708 |
177,708 |
177,708 |
177,708 |
177,708 |
177,708 |
177,708 |
177,959 |
177,959 |
177,959 |
177,959 |
2133,5 |
Чистая прибыль, |
80,712 |
80,712 |
80,712 |
80,712 |
80,712 |
80,712 |
80,712 |
80,712 |
80,826 |
80,826 |
80,826 |
80,826 |
969 |
Предприятие машиностроения функционирует стабильно, если интенсивность финансового потока от продаж постоянна в течение продолжительного отрезка времени, т.е. . Также постоянному значению будет равен поток продаж в себестоимости и с течением времени ему станет равен поток затрат:
, (17)
, (18)
где и – себестоимость и цена продажи единицы продукции.
Интенсивность инвестиций, определяемая данным выражением, связана с потоком продаж и может быть названа интенсивностью потока в оборотном цикле. Величина потока в оборотном цикле характеризует степень производственной нагрузки предприятия машиностроения, которая не может быть слишком большой из–за ограниченной пропускной способности производственных мощностей и каналов товародвижения, а слишком низкой по экономическим причинам.
На поточно–финансовой структуре рис. 11 «чистый приток денежных средств равен прибыли плюс амортизация» показан с помощью анализа входящих и исходящих потоков. Для блока денежных средств есть единственный входящий поток и единственный исходящий поток - оплата переменных затрат. Следовательно, чистый приток денежных средств равен:
- (19)
Интенсивность входящего в денежные средства притока средств находится как сумма потоков:
(20)
Подставляя правую часть (20) в (21) получаем чистый приток денежных средств, учитывая, что:
(21 а)
(22б)
Чистая прибыль равна разности между валовой прибылью и постоянными затратами:
(23)
Валовая прибыль, выражается через интенсивность потока в оборотном цикле:
(24)
После подстановки правой части (74) в (73)
(25 а)
Критерием эффективности инвестиций с точки зрения РМК можно считать максимум рентабельности собственных средств:
, (26)
где – продолжительность периода.
(27а)
При оценке инвестиций необходимо выбрать интенсивность потока продаж для некоторого момента стабильного функционирования предприятия, предполагая, что интенсивность представляет собой случайную величину с известным распределением (рис. 12). Точка «а» обозначает выбранную интенсивность продаж, график слева изображает плотность вероятности случайной величины (рис. 13 а). Фактическая интенсивность может отличаться от выбранной и, в соответствии с плотностью вероятности, большие отличия менее вероятны (рис. 14) изображена плотность вероятности типа нормальной).
Вероятность платежеспособности предприятия численно равна площади, закрашенной под графиком плотности вероятности, поскольку неплатежеспособность возникает в случаях интенсивности продаж, большей значения в точке «b», то есть при выходе вверх за точку пересечения ПЗХ. При выборе интенсивности продаж в точке «а» наиболее вероятное значение прибыли, а значит и рентабельности, определяется проекцией этой точки на правый график прибыли. Если выбирается большая интенсивность продаж, то кривая плотности распределения сдвигается вверх вместе с точкой «а», точка «а» приближается к точке «b», вероятность платежеспособности уменьшается, так как заштрихованной оказывается меньшая площадь, прибыль и рентабельность растут, запас денежных средств уменьшается. Вероятность платежеспособности можно назвать надежностью предприятия машиностроения. Характер зависимости надежности и рентабельности от выбора интенсивности продаж результатов инновационной деятельности показан на рис. 67 б.
При выборе достаточно малой интенсивности продаж надежность приближается к единице, при выборе максимально допустимой интенсивности, когда точки «а» и «b» сливаются, надежность принимает значение 0,5.
Величина финансирования инвестиций посредством займов, кредитов и кредиторской задолженности пропорциональна интенсивности оборотного цикла и продажам, что соответствует прямой линии ПЗХ кредиторской задолженности и не может управляться непосредственно. Поэтому такой способ финансирования известен под названием спонтанного или автоматического. Величину собственных средств можно изменять, увеличивая или уменьшая, таким образом, объем инвестиций. Величина собственных средств должна обеспечивать необходимое количество собственных оборотных средств и допустимые значения финансовых коэффициентов. Однако собственные средства влияют на рентабельность потока инвестиций. Метод ПЗХ позволяет предложить расчет, выясняющий количественную связь собственных средств с перечисленными показателями.
Если нагрузка оборотного цикла, то есть интенсивность потока продаж результатов инновационной деятельности, выбирается максимально возможной при имеющихся собственных средствах, то в рамках РМК инновационная деятельность может осуществляться достаточно стабильно. При этом необходимо определить, как изменяется рентабельность проекта, предприятия, на котором он внедряется, и финансовый коэффициент покрытия с изменением величины собственных средств.
При различных величинах собственных средств S точка a (рис. 15), из которой проведена прямая наклонная линия ПЗХ кредиторской задолженности, сдвигается вправо или влево. Пересечение прямой с ПЗХ запасов и затрат в точке «е» определяет состояние средств при данных собственных средствах и величину нераспределенной прибыли по графику справа. При уменьшении собственных средств точка «е» сдвигается вниз и нераспределенная прибыль уменьшается до нуля в точке «b» на графике прибыли. Нулевой нераспределенной прибыли соответствует предельно левое расположение линии ПЗХ кредиторской задолженности и точка «с» на горизонтальной оси. Длина отрезка ОС изображает величину собственных средств, при которых .
Рентабельность собственных средств, рассчитанная по нераспределенной прибыли, определяется по формуле (27). Это изображается в виде точки d на графике зависимости рентабельности от собственных средств.
При неограниченном увеличении собственных средств нераспределенная прибыль стремится к некоторому постоянному значению из-за асимптотического характера графика ПЗХ запасов и затрат. При этом рентабельность стремится к нулю, так как переменная величина в знаменателе выражения (27) неограниченно растет, а значение в числителе стремится к константе.
Следовательно, правый фрагмент графика рентабельности имеет вид, изображенный на рисунке, что, в свою очередь, означает, что кривая рентабельности имеет максимум, так как справа от точки «d» рентабельность не нулевая.
Таким образом, для предприятия существует оптимальная по критерию рентабельности величина собственных средств, используемых для финансирования инновационной деятельности. При ее увеличении собственные средства «работают» менее эффективно из-за ограниченности производственных мощностей, при ее уменьшении отдача собственных средств снижается из-за недостаточности финансирования для полной нагрузки оборотного цикла. Графики на рисунке соответствуют выбору максимальной нагрузки оборотного цикла при данных собственных средствах. Очевидно, с целью уменьшения риска нагрузка должна выбираться несколько ниже точки е, в результате чего в активах предприятия появятся денежные средства, а кривая рентабельности будет располагаться несколько ниже, что отражено пунктиром (рис. 15 внизу).
Из приведенного выше видно, что выбор данных собственных средств однозначно определяет объем прогнозируемый объем продаж результатов инновационной деятельности, прибыль, величины средств и источников средств, и, следовательно, значение коэффициента покрытия:
(28)
При при уменьшении до величины основных средств Отсюда следует, что известные ориентировочные рекомендации желательных значений коэффициента покрытия: можно обосновать с помощью анализа реальных поточно-запасных характеристик исходя из желательности нахождения рентабельности в области максимума.
В случае, когда рыночные ограничения представляют собой максимальную интенсивность потока продаж результатов инновационной деятельности, можно дать следующие рекомендации выбора величины собственных средств, используемых для инвестирования инновационной деятельности:
– если рыночные ограничения меньше уровня точки « », что показано в виде ограничения 1, то прибыльная реализация результатов инновационной деятельности невозможна;
– в случае ограничения 2, то есть выше уровня нулевой прибыли, но ниже уровня максимальной рентабельности, величина собственных средств должна выбираться не более необходимой для данной нагрузки, соответственно построению из точки « »;
– при рыночных ограничениях 3, то есть выше точки « », соответствующей максимуму рентабельности, собственные средства следует выбирать не более необходимых для этого максимума, то есть соответственно точке « ».
Проведенное исследование показало, что инновационная деятельность по рассматриваемому проекту в первый год будет находиться в зоне ограничения 1, где прибыльное функционирование не возможно. Во второй год – перейдет в зону 2, т.е. выше уровня нулевой прибыли, но ниже уровня максимальной рентабельности, где величина собственных средств должна выбираться не более необходимой для данной нагрузки, соответственно построению из точки . А в дальнейшем следует разработать мероприятия для перехода в зону 3, что позволит выйти на уровнь, соответствующий максимуму рентабельности. Результаты расчетов представлены в табл. 4.
Таблица 4. Результаты расчетов по инновационному проекту РМК (корпус+поршень)
| Наименование показателя |
Ед. изм. |
Первый год |
Второй год |
| Интенсивность потока в оборотном цикле |
Т.р./год |
50566,1 |
9060,14 |
| Чистый приток денежных средств |
Т.р./год |
3315 |
4680 |
| Валовая прибыль |
Т.р./год |
7505,3 |
9060 |
| Чистая прибыль |
Т.р./год |
2958 |
4176 |
| Рентабельность собственного капитала |
% |
-15,72 |
14,72 |
| Коэффициент покрытия |
Ед. |
-14,81 |
5,24 |
Рентабельность собственного капитала на третий год – 33,54%
Оптимизационная модель инвестирования можно описать, учитывая условие минимум затрат и максимум прибыли:
, (29)
где - производство i-х изделий, шт.
- оптовая цена i-го изделия, руб.
m – количество элементов затрат, шт.
– затраты по j – му элементу, руб.
При заданном объеме продаж прибыль можно максимизировать путем снижения затрат, то есть .
В свою очередь, затраты включают в себя следующие элементы:
(30)
где - себестоимость продукции, руб.
- выплаты процентов по кредитам, руб.
Н – налоги, выплачиваемые из прибыли, руб.
П – прочие выплаты, включая штрафы, пени, погашение безнадежных долгов, руб.
Минимальный объем продаж определяется порогом рентабельности, то есть тем объемом продаж, который покрывает как постоянные издержки, так и переменные. Производство на предприятиях машиностроения многономенклатурное, порог рентабельности в этом случаи определяется следующим образом:
; (31)
где F – постоянные годовые издержки предприятия, руб.
V – переменные издержки, приходящиеся на единицу i – й продукции, руб.
S – цена единицы i – го изделия, руб.
удельный вес i – го изделия в объеме продаж, доли единицы.
Разность между фактическим объемом продаж и порогом рентабельности определяет запас финансовой прочности:
(, 32)
Оптимизация инвестирования инновационной деятельности сводится к максимизации прибыли результатов инновационной деятельности, определяемой с учетом порога рентабельности:
(33)
Результаты расчетов представлены в таблице 5.
Таблица 5. Динамика порога рентабельности инновационного проекта, руб.
Наименование
продукции
Период
|
Корпус регулятора
давления
|
Поршень регулятора
давления
|
| Порог рентабельности |
Запас финансовой прочности |
Порог рентабельности |
Запас финансовой прочности |
| 1 кв. первый год |
31300,15 |
1202298,2 |
27733,8 |
2439462,9 |
| 2 кв. первый год. |
21971,29 |
1238492,7 |
19338,08 |
2501589,8 |
| 3 кв. первый год |
21009,60 |
1266904,9 |
18586,23 |
2557545,8 |
| 4 кв. первый год |
20671,58 |
1295291,1 |
18304,73 |
2613621,2 |
| 1 кв. второй год |
28613,81 |
1926990,5 |
24696,59 |
3886511,7 |
| 2 кв. второй год |
28256,98 |
1965799,1 |
24420,34 |
3963691,8 |
| 3 кв. второй год |
27977,51 |
2005286,6 |
24322,92 |
4042205,2 |
| 4 кв. второй год |
27980,81 |
2045262,2 |
24328,29 |
4122157,9 |
| 1 кв. третий год |
27486,21 |
191683,38 |
24072,47 |
4350393,9 |
| 2 кв. третий год |
27315,46 |
191538,63 |
23957,06 |
4350301,9 |
| 3 кв. третий год. |
27169,79 |
191392,96 |
23864,86 |
4350209,7 |
| 4 кв. третий год |
27025,04 |
191222,21 |
23772,86 |
4350094,3 |
Фактический объем продаж результатов инновационной деятельности выше минимального, следовательно, постоянные и переменные издержки покрываются с первого квартала реализации инновационной продукции.
Одной из характеристик источников инвестирования инновационной деятельности РМК является текущая стоимость. Процесс расчёта текущей стоимости источников инвестирования РМК называется также дисконтированием и определяется по формуле:
(31)
Другой характеристикой источников инвестирования может выступать дюрация (D), которая определяет чувствительность инвестиций к изменению процентной ставки [326]. Расчет дюрации осуществляется по формуле:
(32)
Как следует из данной формулы, дюрация представляет собой оценку средней срочности составляющих источников инвестирования с учетом дисконтирования их стоимости. Кроме того, дюрация зависит не только от структуры источников, но и от текущей процентной ставки. Чем выше ставка, тем меньше стоимость дальних выплат по сравнению с короткими и тем меньше дюрация, и наоборот, чем меньше ставка, тем больше дюрация.
Для оценки чувствительности стоимости инвестиций к процентной ставке используется, так называемая, модифицированная дюрация (MD), рассчитываемая по формуле:
(33)
При исследовании чувствительности источников инвестиций к процентной ставке только с помощью дюрации зависимость между процентной ставкой и стоимостью инвестиций считается линейной. Это допустимо только в качестве приблизительной оценки.
Степень отклонения формулы стоимости инвестиций от линейной характеризует выпуклость финансового потока (C), которая определяется по формуле:
(34)
Одной из важных задач при оценке процентного риска, а также при решении более сложных задач, подразумевающих отражение зависимости стоимости инвестиций от процентной ставки, является оценка ее чувствительности к изменению процентной ставки.
Как правило, в качестве характеристики чувствительности к процентной ставке является изменение стоимости инвестиций, при изменении процентной ставки на 1 базисный пункт (PVBP) – 1%.
Точный результат может быть получен при использовании модифицированной дюрации и выпуклости потока платежей.
(35)
При расчете PV ставка выражена в виде вещественного числа (т.е. 100% равно 1) и для получения изменения стоимости потока платежей при изменении ставки на один процент следует в формулы подставить значение изменения ставки 0,01.
Проведенные расчеты показали: в связи с тем, что инвестиции осуществляются в первый год инновационной деятельности, то стоимость инвестиций практически не зависит от изменения процентной ставки (табл. 8).
Таблица 8. Оценка текущая рыночная стоимость инвестиций на основе дюрации
| Наименование показателя |
Ед. изм. |
Значение |
| Текущая стоимость инвестиций |
Тыс. руб. |
27950,32 |
| Дюрация инвестиций |
Коэффициент |
1 |
| Модифицированная дюрация инвестиций |
Коэффициент |
0,885 |
| Зависимость изменения текущей стоимости инвестиций от изменения процентной ставки |
Тыс. руб. |
-460,88
|
| Выпуклость инвестиционного потока потока |
Коэффициент |
1,386 |
Кроме того, в процессе анализа были рассчитаны финансовые показатели, характеризующие использование финансовых средств (табл. 9).
Таблица 9. Финансовые показатели, характеризующие результаты инвестирования инновационной деятельности РМК
| Наименование показателя |
1 кв. Первый год |
2 кв. Первый год |
3 кв. Первый год |
4 кв. Первый год |
1 кв. Второй год |
2 кв. Второй год |
3 кв. Второй год |
4 кв. Второй год. |
Третий год |
| Коэффициент текущей ликвидности |
0,9387 |
0,973 |
0,9806 |
0,9426 |
1,281 |
1,6476 |
1,776 |
1,818 |
1,824 |
| Коэффициент срочной ликвидности |
0,608 |
0,4972 |
0,444 |
0,383 |
0,284 |
0,492 |
0,617 |
0,874 |
0,992 |
| Чистый оборотный капитал, тыс. руб. |
23903,784 |
21994,729 |
25317,740 |
29491,405 |
35759,936 |
42978,827 |
50236,729 |
58484,771 |
81491,8 |
| Коэффициент оборачиваемости запасов |
0,14 |
0,10 |
0,10 |
0,10 |
0,15 |
0,15 |
0,15 |
0,16 |
0,18 |
| Коэффициент оборачиваемости дебиторской задолженности |
27,6 |
18,38 |
9,17 |
1,02 |
- |
- |
- |
- |
- |
| Коэффициент оборачиваемости кредиторской задолженности |
2243,12 |
2504,11 |
1404,04 |
344,31 |
- |
- |
- |
- |
- |
| Коэффициент оборачиваемости рабочего капитала |
8,03 |
8,74 |
7,60 |
6,54 |
6,26 |
5,22 |
4,47 |
5,15 |
3,07 |
| Коэффициент оборачиваемости основных средств |
5,19 |
7,28 |
7,92 |
8,47 |
10,51 |
11,04 |
11,48 |
15,89 |
13,83 |
| Коэффициент оборачиваемости активов |
1,82 |
2,21 |
2,46 |
2,70 |
3,90 |
3,52 |
3,20 |
3,87 |
2,50 |
| Суммарные обязательства к активам, % |
47,07 |
44,22 |
36,68 |
26,78 |
0,76 |
0,69 |
0,63 |
0,58 |
0,46 |
| Суммарные обязательства к собственному капиталу, % |
88,94 |
79,28 |
57,92 |
36,58 |
0,76 |
0,69 |
0,63 |
0,58 |
0,46 |
| Коэффициент покрытия процентов |
-23,79 |
-27,35 |
-13,50 |
5,24 |
- |
- |
- |
- |
- |
| Рентабельности валовой прибыли, % |
96,97 |
97,92 |
97,88 |
97,84 |
97,24 |
97,19 |
97,15 |
97,84 |
97,27 |
| Рентабельность операционной прибыли, % |
-29,67 |
-25,07 |
-27,20 |
-20,64 |
-10,90 |
-7,40 |
-3,50 |
5,93 |
17,58 |
| Рентабельность чистой прибыли, % |
-19,67 |
-18,07 |
-17,20 |
-10,64 |
-10,90 |
-7,40 |
-3,50 |
3,78 |
13,36 |
| Рентабельность оборотных активов, % |
-24,62 |
-37,46 |
-35,40 |
-37,51 |
-23,12 |
-13,89 |
-7,47 |
19,35 |
40,74 |
| Рентабельность внеоборотных активов, % |
-22,83 |
-43,82 |
-43,54 |
-45,40 |
-32,26 |
-17,33 |
-7,58 |
30,13 |
34,79 |
| Рентабельность инвестиций, % |
-26,47 |
-27,76 |
-21,66 |
-16,89 |
-14,79 |
-8,86 |
-3,59 |
14,64 |
33,38 |
| Рентабельность собственного капитала, % |
-16,78 |
-19,17 |
-18,51 |
-15,72 |
-17,86 |
-8,57 |
-4,31 |
14,72 |
33,54 |
Заключение
Таким образом, проведенное исследование позволило установить:
– в качестве одного из направлений совершенствования инвестирования инновационной деятельности предприятий машиностроения на основе кластерного подхода на этапе распределения финансовых ресурсов можно использовать бюджетирование, которое в настоящее время используется только при осуществлении основной деятельности. Бюджетирование является важным фактором повышения эффективности инвестирования инновационной деятельности, т. к. позволяет оптимизировать систему использования ресурсов;
– разработка бюджетов позволяет провести количественную определенность выбранным направлениям инновационной деятельности, все затраты и результаты привести в денежное выражение. Бюджетирование способствует правильному и четкому целеполаганию, разработке стратегии инновационной деятельности;
– в качестве метода оценки результатов инвестирования инновационной деятельности РМК предлагается использовать метод поточно-финансовых структур, который позволяет определить систему финансовых средств, их источников и потоков, т.е. модель формирования финансового потока инновационной деятельности во внутренней среде РМК;
– используя поточно-финансовую структуру, метод поточно-запасных характеристик, можно анализировать установившиеся режимы движения потоков в оборотном цикле, стабильность функционирования машиностроительного предприятия в течение всего периода осуществления инновационного проекта;
– проведенные расчеты по методу поточно-финансовых структур позволили определить, что если на предприятии интенсивность потока продаж результатов инновационной деятельности выбирается максимально возможной при имеющихся собственных средствах, то инновационная деятельность может осуществляться достаточно стабильно. При этом необходимо определить, как изменяется рентабельность предприятия и финансовый коэффициент покрытия с изменением величины собственных средств;
– для характеристики источников инвестиций в инновационную деятельность РМК предложено использовать показатель дюрация, который определяет чувствительность инвестиций к изменению процентной ставки. Дюрация представляет собой оценку средней срочности составляющих источников инвестирования инновационной деятельности с учетом дисконтирования их стоимости, зависит не только от структуры источников, но и от текущей процентной ставки.
|