Российская Экономическая Академия им. Г. В. Плеханова
Расчетно-аналитическая работа по курсу методы поиска и
принятия инновационно технических решений.
КАФЕДРА МЕХАНИКИ
Функционально-физический анализ фотоаппарата «Зенит»
Выполнил студент гр.№723
Фролов Александр Александрович
факультет ИЭИ.
Научный руководитель
Колоколов В. А.
Москва 2001
Функционально-физический анализ фотоаппарата
Описание функции предназначения.
F = {D,G,H }
D - экспонирование ;
G - светочувствительный материал ;
H - с определенными условиями .
Описание физической операции.
Q = {A, E, C}
А - свет ;
С - экспонированный светочувствительный материал ;
Е - сбор и накопление.
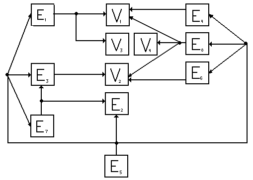
3.Разбиваем фотоаппарат на функциональные элементы.
Е1 – объектив;
Е2 – затвор;
Е3 – диафрагма;
Е4 – лентоперематывающий механизм;
Е5 – корпус;
Е6 – система фокусировки;
Е7 – система управления;
Е8 – экспозиционное устройство.

4.Выделяем объекты окружающей среды.
V1 – светочувствительный материал (фотопленка);
V2 – свет;
V3 – объект окружающей среды;
V4 – человек.
5.Описываем функции выделенных элементов.
П/н
|
Наименование
ФЭ.
|
Обозначение
ФЭ.
|
Обозначение
функции
|
Описание функции
|
1
|
Объектив
|
Е1
|
F1
|
Создает оптическое
изображение объекта на фотопленке.
|
2
|
Затвор
|
Е2
|
F2
|
Обеспечивает необхо-
димое время экспони-
рования.
|
3
|
Диафрагма
|
Е3
|
F3
|
Регулирует количество света. |
| 4 |
Лентоперема-тывающий
механизм
|
Е4
|
F4
|
Перематывает фото-
пленку на нужную
позицию.
|
| 5 |
Корпус |
Е5 |
F5 |
Защищает и объединяет
все элементы фотоап-парата.
|
| 6 |
Система фокусировки |
Е6 |
F6 |
Фокусирует свет на фотопленку. |
| 7 |
Система управления |
Е7 |
F7 |
Управляет затвором и
диафрагмой.
|
| 8 |
Экспозицион-ное устройство
|
Е8 |
F8 |
Регулирует время проникновения света. |
6.Строим конструктивную функциональную структуру, которая описывает функциональную взаимосвязь между элементами.

7.Выделяем основные и вспомогательные потоки.
Свет
Механическая энергия 
Информация 

8.Проводим описание физических операций выделенных элементов.
Физическая операция – это общее описание функционирования каждого элемента.
Q = {A, E, C }
| № |
Наименование
ФЭ и О.о.с.
|
А
|
С
|
Е
|
Физический
закон или
эффект
|
№
источ
ника
|
№
прием
ника
|
| 1 |
Фотопленка V1 |
свет |
кадр |
сбор и
накопле
ние
|
потемнение |
6
|
| 2 |
Свет V2 |
| 3 |
Объект V3 |
свет
|
свет |
излуче-
ние
|
отражение |
2 |
5 |
| 4 |
Человек V4 |
инфор
мация
|
мех.
энерг.
|
12 |
11 |
| 5 |
Объектив Е1 |
свет
|
свет |
проводи
мость
|
преломление |
3 |
7 |
| 6 |
Затвор Е2 |
мех.эн.
свет.
|
свет |
проводи
мость
|
7 |
1 |
| 7 |
Диафрагма Е3 |
свет
|
свет |
проводи
мость
|
5 |
6 |
| 8 |
Лентоперемат.
механизм Е4
|
мех.эн.
|
мех.эн. |
воздействие |
4 |
1 |
| 9 |
Корпус Е5 |
мех.эн.
|
мех.эн. |
проведе
ние.
|
объединение |
4 |
| 10 |
Система фоку-сировки Е6 |
мех.эн.
свет
|
мех.эн. |
сбор. |
фокусирует свет |
4
5
|
5 |
| 11 |
Система управ
ления Е7
|
мех.эн. |
мех.эн. |
вохдействие
|
4 |
6,7 |
| 12 |
Экспозицион.
устройство Е8
|
свет |
инфор
мация
|
преобра
зование
|
5 |
4 |
9.Строим потоковую функциональную структуру, которая описывает физическую взаимосвязь.
10.Проводим описание физического принципа действия.
Описание физического принципа действия производится на основе ПФС и поэтому ПФС и физический принцип действия могут быть совмещены.

Принцип историзма.
Принцип историзма в ФФА – это история возникновения потребности и различные способы реализации этой потребности раньше, сегодня, а также возможны способы реализации потребности в будущем.
Забиваем Сайты В ТОП КУВАЛДОЙ - Уникальные возможности от SeoHammer
Каждая ссылка анализируется по трем пакетам оценки: SEO, Трафик и SMM.
SeoHammer делает продвижение сайта прозрачным и простым занятием.
Ссылки, вечные ссылки, статьи, упоминания, пресс-релизы - используйте по максимуму потенциал SeoHammer для продвижения вашего сайта.
Что умеет делать SeoHammer
— Продвижение в один клик, интеллектуальный подбор запросов, покупка самых лучших ссылок с высокой степенью качества у лучших бирж ссылок.
— Регулярная проверка качества ссылок по более чем 100 показателям и ежедневный пересчет показателей качества проекта.
— Все известные форматы ссылок: арендные ссылки, вечные ссылки, публикации (упоминания, мнения, отзывы, статьи, пресс-релизы).
— SeoHammer покажет, где рост или падение, а также запросы, на которые нужно обратить внимание.
SeoHammer еще предоставляет технологию Буст, она ускоряет продвижение в десятки раз,
а первые результаты появляются уже в течение первых 7 дней.
Зарегистрироваться и Начать продвижение
Использование принципа историзма сводится к иерархической матрице удовлетворения потребности.
Иерархическая матрица удовлетворения потребности.
Потребность:
получение изображения объекта окружающей среды.
Эту потребность определяют следующие физические операции:
- Рисование.
- Фотографирование.
Технические решения:
- уголь, карандаш, ручка, краски
- камера обскура, механический фотоаппарат, электронный фотоаппарат, фотоаппарат с автоматической настройкой,
цифровой фотоаппарат.
Иерархическая матрица удовлетворения потребности.

Наличие закономерностей развития.
Закономерность стадийного развития
В процессе развития человек передает свои функции техническому объекту.
Основные функции человека:
- Технологическая (Т)
- Энергетическая (Э)
- Управленческая (У)
- Планирующая (П)
| 0 |
1 |
2 |
3 |
4 |
| Человек |
ТЭУП |
ЭУП |
УП |
П |
- |
Фотоаппарат
|
- |
Т |
ТЭ |
ТЭУ |
ТЭУП |
Я считаю, что фотоаппарат «Зенит» находится на 1 стадии развития, потому что человек управляет фотоаппаратом, воздействует на него (механическая энергия) и планирует его действия.
Аппроксимация значений разрешающей способности
объективов.
| Годы |
Разрешающая
способность
|
| 1749 |
10 |
| 1862 |
18 |
| 1870 |
20 |
| 1880 |
22 |
| 1891 |
30 |
| 1895 |
45 |
| 1900 |
58 |
| 1906 |
70 |
| 1912 |
85 |
| 1918 |
96 |
| 1933 |
104 |
| 1940 |
110 |
| 1969 |
117 |
| 1982 |
119 |
| 1995 |
120 |
Графический вид:

Метод ранжирования.
Недостатки фотоаппарата:
1.Громоздкий
2.Нет автоматической системы перемотки
3.Нет автоматической настройки
4.Нет встроенной вспышки
5.Тяжелый.
| - |
1 |
2 |
3 |
4 |
5 |
Кол. повт. |
Ранг |
| 1 |
- |
2 |
3 |
4 |
5 |
0 |
5 |
| 2 |
2 |
- |
3 |
2 |
2 |
3 |
2 |
| 3 |
3 |
3 |
- |
3 |
3 |
4 |
1 |
| 4 |
4 |
2 |
3 |
- |
4 |
2 |
3 |
| 5 |
5 |
2 |
3 |
4 |
- |
1 |
4 |
Как видно из таблицы 1 ранг получил 3 недостаток – нет
автоматической настройки.
Метод гирлянд ассоциаций.
Алгоритм
1.Формулировка проблемной ситуа-
ции. Установление объекта исследования (наименование).Опре-
деление синонимов объекта.
|
Пример
Проблема – необходимо усовершен
ствовать фотоаппарат.
Объект – фотоаппарат.
Синонимы – фотокамера, камера.
|
| 2.Произвольный выбор случайных объектов. Получение гирлянды случайных объектов. |
Случайные объекты – игрушка, часы, сумка, подставка.
|
3.Составление комбинаций из элементов гирлянды синонимов и гирлянды случайных объектов.
|
Фотоаппарат с часовым механизмом, сумка для камеры, фотоаппарат с подставкой, игрушечный фотоаппарат. |
4.Составление перечня признаков
случайных объектов.
|
Часы: механические, квадратные, электронные, пластмассовые, ручные, настенные, деревянные, золотые, круглые.
Подставка: металлическая, деревян
ная, высокая, пластмассовая.
Игрушка: мягкая, резиновая, деревянная, пластиковая, цветная.
Сумка: кожаная, матерчатая, объемная, маленькая, дамская.
|
| 5.Генерирование идеи путем поочередного присоединения к объекту и его синонимам признаков случайных объектов. |
Механический фотоаппарат, квадратная камера, электронный фотоаппарат, пластиковый фотоаппарат, маленькая фотокамера, цветной фотоаппарат, дамский фотоаппарат, кожаная камера.
|
| 6.Из признаков случайных объектов генерируются гирлянды ассоциации. |
Электроника-техника-компьютер-программа. Механика-шестеренка-механизм-машина-авария-дорога.
Пластик-окно-погода- дождь-вода.
Рисунок-портрет-стена-бетон-дом.
|
Кожа-стиль-куртка-фигура-модель-диета-вес.
Сервис онлайн-записи на собственном Telegram-боте
Попробуйте сервис онлайн-записи VisitTime на основе вашего собственного Telegram-бота:
— Разгрузит мастера, специалиста или компанию;
— Позволит гибко управлять расписанием и загрузкой;
— Разошлет оповещения о новых услугах или акциях;
— Позволит принять оплату на карту/кошелек/счет;
— Позволит записываться на групповые и персональные посещения;
— Поможет получить от клиента отзывы о визите к вам;
— Включает в себя сервис чаевых.
Для новых пользователей первый месяц бесплатно.
Зарегистрироваться в сервисе
Квадрат-кубик-игра-дети-огород-жара-солнце-батарея.
|
| 7.Генерирование новых идей. К элементам гирлянды синонимов постепенно нужно присоединить элементы гирлянд ассоциаций. |
Электронный фотоаппарат, фотоаппарат с программным
управлением, фотоаппарат для подводной съемки, игрушечный фотоаппарат, стильный фотоаппарат, легкий фотоаппарат, фотоаппарат с солнечными батареями, кожаный фотоаппарат.
|
8.Оценка и выбор рациональных вариантов идей. Идеи разбивают на 3 группы:
1 – рациональные идеи;
2 – идеи сомнительной полезности;
3 – нерациональные идеи.
|
Рациональные идеи:
электронный фотоаппарат, пластиковый фотоаппарат, фотоаппарат с программным управлением,
фотоаппарат для подводной съемки
Идеи сомнительной полезности:
игрушечный фотоаппарат, стильный фотоаппарат.
Нерациональные идеи:
фотоаппарат с солнечными батареями, кожаный фотоаппарат.
|
Матричный метод принятия решений.
Х
– альтернативные решения;
К – критерии;
В – вес критерия Вj = 1
А – оценки 1<Aij <10
Критерии
|
Масса
|
Дизайн
|
Удобство
управлен.
|
АijBj
|
Вес критер.
Альтернат.
|
0,3
|
0,2
|
0,5
|
| Пластиковый фотоаппарат |
2,7
9
|
1,4
7
|
3
6
|
7,1
|
| Фотоаппарат с программным управлением |
2,4
8
|
1,4
7
|
4,5
9
|
8,3
|
| Стильный фотоаппарат |
2,4
8
|
1,8
9
|
3,5
7
|
7,7 |
| Электронный фотоаппарат |
2,4
8
|
1,4
7
|
4
8
|
7,8 |
Как видно из таблицы, максимальное значение АijBj = 8,3
следовательно, фотоаппарат с программным управлением можно считать
самым лучшим.
Морфологический метод.
1.Стадия анализа
.
Разбиваем объект на морфологические признаки.
Объект – фотоаппарат.
Фотоаппарат состоит из:
- корпуса;
- объектива;
- затвора;
- диафрагмы;
- системы управления.
2.Рассматриваем различные варианты реализации морфологических признаков.
Корпус (материал): пластмасса, металл.
Объектив: пластик, съемный, несъемный.
Затвор: в виде шторок, секционный.
Диафрагма: пластик.
Система управления: автоматическая, неавтоматическая.
Матрица
| 1 |
2 |
3 |
| 1.Корпус |
Пластмасса |
Металл |
| 2.Объектив |
Пластик |
Съемный |
Несъемный |
| 3.Затвор |
В виде шторок |
Секционный |
| 4.Диафрагма |
Пластик |
| 5.Сист.управлен. |
Автоматическая |
Неавтоматическая |
3.Стадия синтеза.
Здесь мы комбинируем решения из различных вариантов реализации.
Рассматриваем все возможные комбинации.
Техническое решение 1 (ТР 1): Фотоаппарат с пластмассовым корпусом,
пластиковым объективом, затвором в виде шторок, пластиковой диафрагмой, и с неавтоматической системой управления.
ТР 2: Фотоаппарат с металлическим корпусом, съемным объективом, секционным затвором, пластиковой диафрагмой, и автоматической системой управления.
ТР 3: Фотоаппарат с пластиковым корпусом, несъемным объективом, секционным затвором, пластиковой диафрагмой, и автоматической системой управления.
Метод расстановки приоритетов.
Альтернативные решения:
Х1 – Фотоаппарат с программным управлением;
Х2 _ Пластиковый облегченный фотоаппарат;
Х3 – Электронный фотоаппарат.
Критерии:
К1 – удобство управления;
К2 – Масса;
К3 – Дизайн.
1.Для каждого критерия поочередно проводим сравнение альтернативных решений.
К1X1 > X2 K2X1 < X2
X1 > X3 X1 = X3
X2 > X3 X2 > X3
K3 X1 < X2
X1 < X3
X2 = X3
2. Строим квадратичную матрицу.
Альт
Альт
|
Х1
|
Х2
|
Х3
|
по
строке
|
Рi1
|
Рi1 |
| Х1 |
1 |
1,5 |
1,5 |
4 |
11,5 |
0,46 |
| Х2 |
0,5 |
1 |
0,5 |
2 |
5,5 |
0,22 |
| Х3 |
0,5 |
1,5 |
1 |
3 |
8 |
0,32 |
 |
25 |
1 |
Р11= 1*4+1,5*2+1.5*3 = 11,5
Р21= 0,5*4+1*2+0,5*3 = 5,5
Р31= 0,5*4+1,5*2+1*3 = 8
Альт
Альт
|
Х1
|
Х2
|
Х3
|
по
строке
|
Рi2
|
Рi2
|
| Х1 |
1 |
0,5 |
1 |
2,5 |
7 |
0,274 |
| Х2 |
1,5 |
1 |
1,5 |
4 |
11,5 |
0,452 |
| Х3 |
1 |
0,5 |
1 |
2,5 |
7 |
0,274 |
 |
25,5 |
1 |
Р12= 1*2,5+0,5*4+1*2,5 = 7
Р22= 1,5*2,.5+1*4+1,5*2,5 = 11,5
Р32= 1*2,5+0,5*4+1*2,5 = 7
Альт
Альт
|
Х1
|
Х2
|
Х3
|
по
строке
|
Рi3
|
Рi3
|
| Х1 |
1 |
0,5 |
0,5 |
2 |
5,5 |
0,216 |
| Х2 |
1,5 |
1 |
1 |
3,5 |
10 |
0,392 |
| Х3 |
1,5 |
1 |
1 |
3,5 |
10 |
0,392 |
 |
25,5 |
1 |
Р13= 1*2+0,5*3,5+0,5*3,5 = 5,5
Р23= 1,5*2+1*3,5+1*3,5 = 10
Р33= 1,5*2+1*3,5+1*3,5 = 10
3.Определяем значимость критериев.
К1 > K2
K1 > K3
K2 > K3
Крит
Крит
|
К1
|
К2
|
К3
|
по
строке
|
Bj
|
Bj
|
| К1 |
1 |
1,5 |
1,5 |
4 |
11,5 |
0,46 |
| К2 |
0,5 |
1 |
1,5 |
3 |
8 |
0,32 |
| К3 |
0,5 |
0,5 |
1 |
2 |
5,5 |
0,22 |
 |
25 |
1 |
В1 = 1*4+1,5*3+1,5*2 = 11,5
В2 = 0,5*4+1*3+1,5*2 = 8
В3 = 0,5*4+0,5*3+1*2 = 5,5
4. Для каждого альтернативного решения вычисляем комплексный
приоритет.
Рi комп = Рij* Bj
P1 комп = 0,46*0,46+0,274*0,32+0,216*0,22 = 0,3468
P2 комп = 0,22*0,46+0,452*0,32+0,392*0,22 = 0,33208
P3 комп = 0,32*0,46+0,274*0,32+0,392*0,22 = 0,32112
5. Проводим сравнение комплексных приоритетов.
Максимальное значение = 0,3468 имеет P1 комп . Следовательно альтернативное решение Х1 – Фотоаппарат с программнымуправлением – это самое лучшее решение.
|