Игра "Жизнь" и "компьютерное" представление о мире и Боге
Игра "Жизнь" и "компьютерное" представление о мире и Боге
1. Введение
В статье излагается спекулятивная гипотеза о материи, пространстве, времени и Боге, навеянная бурным развитием компьютерной техники за последние 20 лет. Отправной точкой служит одна сравнительно новая математическая теория, а именно теория клеточных автоматов (cellular automata). Ярким примером последней является игра "Жизнь", компьютерные реализации которой, начиная с 70-х годов и поныне, получили широкое распространение в среде аспирантов и ученых. К настоящему времени, с другой стороны, отшумели бурные дискурсии 20-30-х годов в среде физиков, ряд предсказаний теории нашли подтверждение в опытах с элементарными частицами в 60-80-х годах, некоторые гипотезы спорны и сейчас. Наиболее важными для наших целей являются: 1) явление рождения элементарных частиц в их столкновениях; 2) явление существования короткоживущих частиц; 3) гипотеза о дискретной природе пространства и времени, в частности, понятие "планковской длины".
Есть уже сейчас попытки связать клеточные автоматы с квантовой хромодинамикой, создана калибровочная теория решеток [1, Internet]. В свете предлагаемой гипотезы по-иному видятся основоположения квантовой механики и теории относительности. Хотелось бы привлечь внимание к этой тематике, однако в более общем виде [2], имевшем бы более непосредственное влияние на физику вообще и философию, в особенности на проблему отношений Бога и мира, какими они могут видиться в конце ХХ-го века.
2. Клеточные автоматы и правила игры "Жизнь"
Теория клеточных автоматов берет свое начало с сер.50-х годов, когда Дж. фон Нейман поставил перед собой задачу доказать возможность существования самовоспроизводящихся автоматов [1]. К классу клеточных автоматов относится игра Дж. Конвэя (J. Conway), созданная им в 1970г. Простота ее правил и богатство возникающих вариантов не уступают по красоте фрактальным образам Мандельброта.
В классическом варианте на разбитую на квадраты плоскость кладут фишки (аналог биологической клетки). Колония клеток на следующем ходу изменяется: 1) клетка гибнет, если ее окрестность (8 квадратов) перенаселена (более 4-х клеток) или пустынна (менее 3-х клеток); 2) клетка выживает, если число соседей равно 2,3,4; 3) клетка рождается, если число соседей равно 3. Соответственно можно предложить более сложные сценарии: сделать поле игры конечным (в коробке) или бесконечным, либо разбить плоскость на правильные шестиугольники, либо считать окрестность клетки только имеющие с ней общую сторону клетки (т.е не 8, а 4 соседние клетки), либо разделять клетки на молодые и старые, либо вообще сделать правила выживания асимметричными (сосед, например, справа имеет особое значение), либо, наконец, перенести арену борьбы в пространство (3-х мерная доска). Но даже классический случай дает пищу для размышлений: помимо устойчивых конфигураций типа блок (квадрат из четырех клеток), сигнальные огни (три клетки в линию) существуют движущиеся конфигурации, классическим примером которой является глайдер. Помимо этого энтиузиасты выявили такие интересные объекты, как "глайдерное ружье" (эта фигура испускает с периодичностью из себя глайдеры) ,"сад Эдема" (эта фигура не имеет для себя предшественника), r-пентамимо (завершает свою эволюцию через несколько десятков ходов в виде устойчивых фигур и шести глайдеров). Разумеется, с усложнением правил игры могут выявиться новые свойства (например, детерминированный хаос при переходе в трехмерье). Математически игру Конвэя можно представить булевым полем над двумерной решеткой:
Забиваем Сайты В ТОП КУВАЛДОЙ - Уникальные возможности от SeoHammer
Каждая ссылка анализируется по трем пакетам оценки: SEO, Трафик и SMM.
SeoHammer делает продвижение сайта прозрачным и простым занятием.
Ссылки, вечные ссылки, статьи, упоминания, пресс-релизы - используйте по максимуму потенциал SeoHammer для продвижения вашего сайта.
Что умеет делать SeoHammer
— Продвижение в один клик, интеллектуальный подбор запросов, покупка самых лучших ссылок с высокой степенью качества у лучших бирж ссылок.
— Регулярная проверка качества ссылок по более чем 100 показателям и ежедневный пересчет показателей качества проекта.
— Все известные форматы ссылок: арендные ссылки, вечные ссылки, публикации (упоминания, мнения, отзывы, статьи, пресс-релизы).
— SeoHammer покажет, где рост или падение, а также запросы, на которые нужно обратить внимание.
SeoHammer еще предоставляет технологию Буст, она ускоряет продвижение в десятки раз,
а первые результаты появляются уже в течение первых 7 дней.
Зарегистрироваться и Начать продвижение

| а |
* |
б |
в |
г |
д |
| * |
* |
* |
* |
* |
* |
| * |
* |
* |
* |
* |
* |
* |
* |
* |
* |
| * |
* |
* |
* |
* |
* |
* |
* |
| е |
* |
ж |
з |
* |
и |
| * |
* |
* |
* |
* |
* |
* |
* |
| * |
* |
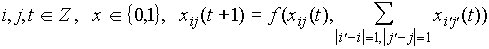
Рис. 1. На верхних рисунках а-д показана эволюция фигуры "глайдер", которая за 4 хода транслируется на 1 клетку по диагонали вниз. На рисунках е-и показаны "сигнальные огни", совершающие колебания за 2 хода.
3. Формулировка гипотезы
Весьма примечательно, что сам Конвэй формально назвал скорость глайдера скоростью света В данном случае под скоростью понимается отношение суммы числа квадратов по вертикали и горизонтали, на которое переместилась фигура, к числу совершенных ходов. Скорость глайдера тогда равна 1/2 от максимальной скорости перемещения (1 квадрат за один ход). Аналогия "глайдер-фотон" ведет нас к дальнейшим обобщениям.
Итак, существуют абсолютное пространство и время, представленные соответственно индексами {i,j,k} (номер ячейки) и {t}(номер хода). Материальные характеристики физического объекта связаны с заполненностью (состоянием) ячеек. Во всяком случае дидактически можно отождествить массу тела с количеством заполненных ячеек, к нему относящихся. Многообразие устойчивых фигур игры "Жизнь" соответствует многообразию элементарных частиц в игре Природы, неустойчивые фигуры соответствуют короткоживущим или вообще еще не зарегистрированным частицам, а также тем, которые могли существовать только на заре становления Вселенной. Кстати, на автора в свое время произвел впечатление рассказ о парах виртуальных частиц в космическом вакууме, которые, не успев родиться, сразу умирают. Вселенная состоит из чудовищно гигантского числа заполненных и пустых попеременно ячеек. Большой Взрыв возник из фигуры, производящей из себя другие "летящие" фигуры (случай "глайдерного ружья", отчасти r-пентамимо). Вся эволюция мира есть образ доски игры "Жизнь", в которую играет или Природа, или Бог. Допустимо существование иных Вселенных с другими правилами игры, конгакт любого рода с которыми невозможен,- это другие "шахматные доски".
4. Физические следствия
Разберем физические следжствия гипотезы в отношении физики элементарных частиц и квантовой механики. Чему соответствуют такие эпитеты как "странность", "очарованность", "барионный заряд", вводимые для избежания действия запрета Паули? Чему соответствуют привычные нам понятия как "масса покоя", "электрический заряд"? Для ответа на этот вопрос зададим себе другой: какими характеристиками обладает фигура в игре Конвэя?
Сервис онлайн-записи на собственном Telegram-боте
Попробуйте сервис онлайн-записи VisitTime на основе вашего собственного Telegram-бота:
— Разгрузит мастера, специалиста или компанию;
— Позволит гибко управлять расписанием и загрузкой;
— Разошлет оповещения о новых услугах или акциях;
— Позволит принять оплату на карту/кошелек/счет;
— Позволит записываться на групповые и персональные посещения;
— Поможет получить от клиента отзывы о визите к вам;
— Включает в себя сервис чаевых.
Для новых пользователей первый месяц бесплатно.
Зарегистрироваться в сервисе
Целесообразно разделить эти характеристики на три группы:
1) относящиеся к состоянию ячейки: размерность векторного поля, множество его значений (в классическом варианте Конвэя реализован простейший случай - размерность поля равна 1, мощность дискретного множества его значений- 2);
2) относящиеся к состоянию фигуры как самой по себе: период колебаний фигуры, среднее по периоду число заполненных клеток, направление движения (для сигнальных огней период равен 2, а среднее число непустых ячеек совпадает с текущим и равно 3; для глайдера имеем соответственно 4 и 5);
3) относящихся к состоянию фигуры, взаимодействующей с окружением: среднее время жизни, сосуществование (случай "космического корабля" и "экскорта")
К первой группе достоверно нельзя рискнуть отнести ни одну из известных физических величин. Наиболее проста для сопоставления, кажется, вторая группа. Здесь вполне уместна школьная аналогия спина электрона, поляризации фотона с направлением вращения фигуры. Поскольку в любом физическом опыте имеется взаимодействие частицы и прибора (пусть даже и квантового), то у нас нет эмпирически надежного критерия отбора параметров второй и третьей группы. Третьей группе принадлежат, по-видимому, такие величины как "электрический заряд", "гравитационная и инертная масса", которые отвечают за характер взаимодействия частицы с переносчиком поля (фотоном в случае электрического поля, условно гравитоном- в случае гравитационного поля). К третьей группе, наверное, нужно отнести большинство квантовых чисел. Вообще говоря, представление об обменном механизме (через частицу- посредник) любого взаимодействия весьма хорошо согласуется с нашей гипотезой. Легко даже вообразить ситуацию сосуществования частиц А и Б (благодаря обмену частицей В) на доске Природы, но невозможности отдельного существования частицы А (на протяжении достаточного числа ходов). Это может принципиально объяснить неудачи опытов по обнаружению кварков в свободном состоянии (А,Б- кварки, В- глюон). В этой связи уместно вспомнить мысли Лейбница о сосуществовании вещей. Однако, проявления дальнодействующих сил наша гипотеза не может объяснить с подобающей легкостью. Достоин удивления сам факт проникновения электрического поля сквозь преграду вещества. Разрешение возникших трудностей лежит, по-видимому, в применении некоторого аналога принципа Гюйгенса-Френеля из оптики. Еще более удивителен принцип суперпозиции полей. Он обязан нарушаться в глубинах вещества и недрах звезд. Более того, там возможно нетривиальное взаимодействие переносчиков полей разного типа. В обычных условиях, когда, например, атом представляет собой практически пустую систему, вероятность "соударения" трех частиц-фигур одновременно (т.е в пределах 1-10 ходов) мала, удары можно считать последовательными, а их результаты складывающимися. Есть проблема, которая автору кажется трудноразрешимой в рамках предложенной гипотезы,- это непрерывность спектра электромагнитных волн. Предварительное объяснение может состоять в том, что акт испускания атомом фотона ведет к рождению не одного глайдера, а двух последовательно, через некоторое число ходов. "Дистанция" между ними определяет длину волны. Это наглядно объясняет эффект Доплера, однако, тогда что соответствует интенсивности света?
Также приобретает актуальность вопрос о тождественности частице самой себе: в отношении времени и пространства. Первый аспект более прост; так, 4 конфигурации глайдера-фотона могут трактоваться как состояния одной фигуры. Тем не менее, они еще не могут быть отождествлены с квантовыми состояниями; последние, скорее всего, соответствуют направленности движения или вращения фигуры. Второй аспект гораздо интереснее. Если элементарная частица состоит из тысячи ячеек в поперечнике, то небольшая асимметрия ее строения (или мини-спутник типа фигуры "блок" рядом) в виде, например, лишней заполненной ячейки где-то сбоку на данном ходу не окажет существенного влияния на способность частицы откликнуться на данного переносчика взаимодействия. На следующих ходах это уже может отразиться на отклик на другой переносчик. В строгом смысле мы будем иметь различные частицы. Предположение о нетождественности частицы самой себе ведет не только к логической погрешности (одним термином называют разные объекты), но и к оправданию принципа неопределенности. Действительно, то, в каких конфигурационных состояниях подойдут частицы-фигуры к моменту столкновения, определит путь протекания элементарной реакции. Идейно это объяснение принципа неопределнности близко к концепции скрытых параметров; здесь скрыты от нас конкретные положения фигур. Отметим, что важную роль в этих и последующих рассуждениях играет крупность элементарной частицы в сравнении с размером ячейки.
Теперь рассмотрим последствия в отношении теории относительности. Логичным продолжением вышесказанного будет образмерить размер одной ячейки планковской длиной 10-33
см. Если глайдер- это фотон, то наибольшая скорость физического объекта будет кратна или равна скорости света. Кроме того, существование такого предела с необходимостью вытекает из дискретности пространства и времени. Если такой предел есть в отношении безразмерных абсолютного пространства и времени, то он будет и в отношении размерных относительных. Отметим, что относительное пространство (измеряемое в м) по нашей гипотезе существует благодаря абсолютному (теоретически измеряемому в целых числах), а абсолютное время в корне отлично по смыслу от абсолютного пространства (ниже мы скажем нечто обратное). Во всяком случае , одно из следствий теории относительности не противоречит "компьютерной гипотезе".
Гораздо хуже обстоит дело с выполнением принципа относительности в галилеевых системах. В рамках нашей гипотезы, прежде всего, должна получить объяснение сама возможность непрерывности поступательных движений. В этих случаях все атомы и частицы их составляющие, хотя и совершают собственные движения, движутся с небольшой по меркам игры "Жизнь", но согласованной скоростью. Единственный выход состоит в том, что атом совершает движение как целое, т.е. лишь через много ходов гигантская фигура (как бы махина) транслируется на одну клетку в самоподобном виде. Направление движения этой большой фигуры определяется двумя обстоятельствами; 1) собственной случайной асимметрией 2) неравномерностью прихода переносчиков взаимодействий. В равномерном прямолинейном движении гораздо важнее первая причина. Данное объяснение эстетически довольно плохое. Еще одним, не слишком приятным следствием, является необходимость признать взаимозависимости вектора скорости фигуры и ее конфигурации. Это также еще одна сторона признания нетождественности частиц. Таким образом, мы возвращаемся к объяснению Лоренца опыта Майкельсона, при этом принцип относительности выступает не независимым физическим и философским постулатом, а лишь интересным следствием строения вещества. Лоренцево сокращение тогда отнюдь не кажущееся, а физическое, реальное по отношению к абсолютному пространству. Оно в свете гипотезы уже менее фантастично, чем думалось в начале века, но по-прежнему поразительно. Конечно, при этом сокращаются не "длины" ячеек, а, скорее всего, безразмерные расстояния между фигурами. Насколько изменяется сама конфигурация фигуры при этом неясно.
Что касается общей теории относительности, то гипотеза допускает взаимодействие гравитона и фотона (а оно более вероятно вблизи массивных тел!), но исключает всякое искривление пространства. Легко себе представить ограниченную Вселенную, где граничные в математическом смысле ячейки не изменяют своего состояния при любом номере хода. Тогда мир представляется как бы завернутым в капсулу. На начальном этапе развития Вселенной еще не могло существовать никаких известным нам физических законов и частиц. Обычные же частицы (фотон, протон, электрон) уникальны в том смысле, что соответствующие им фигуры обладают не только собственной устойчивостью, но и "выживаемостью" (лучше "самовоспроизводимостью") в столкновениях с другими же обычными частицами. Напрасно ждать в обычных условиях самопроизвольного распада протона, ибо число возможных комбинаций при столкновениях конечно. В этом смысле протон вечен, и некорректно описывать это в терминах "большого периода полураспада". В недрах звезд или при рождении Вселенной мы вправе ожидать противоположного.
5. Гносеологические следствия.
К чему должна стремиться физика? Она должна раскрыть правила игры Природы, т.е. параметры первой группы плюс уравнения итерационной процедуры. Этих правил немного, и они просты, подобно правилам игры Конвэя. Из них, используя всю мощь дискретной математики, физика должна получить все многообразие частиц (с указанием их конфигураций). Для наиболее распространенных частиц следует дать однозначное соответствие, руководствуясь известными законами сохранения (лептонного заряда, например) в элементарных реакциях. Все известные ныне законы квантовой механики (соотношение неопределенностей, уравнения Шредингера и Дирака, правило Гунда и т.д.) представляются некоторыми "теоремами" особого математического языка, который еще нуждается в переводе на язык "аксиом" игры. А.Пуанкаре в этом смысле правильно писал о связи нашего математического знания о многоугольниках с первичными аксиомами, понятиями и теоремами евклидовой геометрии [3, c.20]. Сложившаяся ситуация напоминает отношение ньютоновой механики и старого учения о теплоте, пока их не связала статистическая физика. Отличие лишь в том, что мы знаем основы термодинамики (квантовой механики), но не знаем механику (правила игры). Поэтому следует подчеркнуть, что "компьютерная" гипотеза никоим образом не отменяет и не стесняет уже имеющиеся понятия, подобно тому как современный физик не упрекает химика в том, что он оперирует "термодинамическим потенциалом Гиббса" или считает ядро атома неизменным. Самым трудным будет получить вывод всем известных "законов природы": закона сложения скоростей Галилея, законов механики, закона сохранения энергии и импульса. Заметим, что из "компьютерного опыта" (по наблюдению за трансформациями, например, процессом гибели, различных начальных конфигураций) мы знаем много случаев несохранения числа клеток фигуры; любопытно, что для глайдера (рис.1) число клеток ("масса") сохраняется равным 5. Итак, какими же должны быть "аксиомы", чтобы получить известные нам на данном этапе развития физики "теоремы"?
Весьма возможно, что при разрешении этой проблемы имеющиеся эмпирические данные не дадут однозначного ответа, т.е. будут существовать несколько альтернативных теорий. Расширить же опытную базу принципиально невозможно, поскольку фатально неутешительное качество приобретет разрыв масштабов миров объекта и субъекта, ставя предел познанию мира. Говорят, правда, что предполагаеый "конец науки" связан с недостижимостью огромных энергий в коллайдерах, но дело все же в гигантской разнице бытового размера в 1см и планковской длины (10-33см). Есть, тем не менее положительное следствие. Дело в том, что аксиомы игры Природы будут сформулированы на простом, ясном человеческом языке в отличие от "корпускулярно-волнового дуализма" квантовой механики и "странности" элементарных частиц. Неправильно, однако, спрашивать о "физическом смысле" тех или иных натуральных чисел (божественного происхождения согласно Л.Кронекеру), присущих игре. Понятия "силы", "поле", "масса" например, приобретут всего лишь метафорическое значение. Может показаться странным после сложности современных разделов физики, что "аксиоматику" игры Природы возможно передать через доступный даже игрокам в шашки понятийный аппарат. Однако, здесь уместно вспомнить учение Канта об априорных формах человеческого рассудка (таблица категорий) [4]. А если принять во внимание эволюционную теорию Дарвина, казавшиеся Канту априорными формы чувственного восприятия и в самом деле могут дать нечто, касающееся действительной формы устройства мира. Это происходит потому, что последние формируют в психофизиологическом плане первые. Кстати, если пользоваться терминологией Канта, мир "мигающих" математических фигур является нам миром масс и зарядов; неподвижное абсолютное пространство и время предстают самими "вещами в себе", и лишь наши относительные размерные пространство и время соответствуют кантовским априорным формам чувственного восприятия.
То, что об этом мире "вещей в себе" можно все-таки сказать кое-что, правда, не более, чем в общем и туманном виде, покажут нам два соображения о количестве измерений (индексов) абсолютного пространства. Предварительно заметим, что самая простая причина того, что относительное пространство трехмерно, состоит в том, что и абсолютное пространство трехмерно. Первое соображение основывается на трех полусовпадениях: 26= число кубов в окрестности куба в 3-х мерной игре "Жизнь"= число букв латинского алфавита » 20-23= число аминокислот, кодирующих наши белки. Кириллица в этом отношении избыточная кодировка, ведь буквы й,ё,ъ
мы редко используем. Число сортов "кирпичиков" ферментов, отвечающих за наше химическое взаимодействие с миром, чуть меньше- 23 (включая 3 "незаменимых "аминокислоты), но вспомним, что в нашем биосферном окружении нет некоторых химических элементов (He, Xe, U), следовательно отсутствует необходимость их опознать. Есть, правда, нейтрализующее возражение: 26-27 относится к числу независимых переменных в итерационной формуле, определяясь дефиницией окрестности ("связность") ячейки; так, вместо 8 соседей квадрата можно рассматривать 6 соседей правильного шестиугольника, и тогда пространство может иметь отличную от 3 размерность. Второе соображение проистекает из того, что всякая начальная конфигурация в классической игре "Жизнь" рано или поздно распадается на устойчивые фигуры. Лишь если размерность задачи больше или равна 3, то возможно явление детерминированного хаоса. Сходное положение имеет место для систем нелинейных дифференциальных уравнений без запаздывания.
6. Теологические следствия
Нельзя не удержаться от вопроса, уводящего нас в топкое место: что дальше? Здесь возможны две логически равнозначные альтернативы. Первая сводится к самодостаточному существованию ячеек Вселенной, делая ее еще более материальной. Условно говоря, Вселенная представляется в виде шестигранных пчелиных сот, где более плотный воск ограничивает мед. Соответственно возникают вопросы: какие физические взаимодействия или волны изменяют состояние ячейки из хода в ход? как суммируются воздействия от соседних ячеек?. На эти вопросы мы никогда не будем иметь ответа, и тем самым зайдем в тупик. Вторая альтернатива состоит в том, чтобы признать Вселенную сотворенной Богом, приписав последнему атрибут подлинной сущности. Обе возможности давно известны в философии и теологии, в особенности христианской. Интереснее, конечно, подробнее описать вторую.
Если есть Игра, то должен быть Игрок. Это рассуждение повторяет космологическое доказательство в форме Лейбница, который рассуждал так, исходя не от первопричины, а от логической причины "если А, то Б". Единственное, что мы делаем чуть более выпуклым, так это логическую причину существования абсолютного времени (совершения ходов). В несколько грубоватой, антропоморфной, свойственной нашему компьютеризированному миру, и потому ему более понятной форме опишем отношение Бога к миру.
Сидит скучающий, ценящий математический досуг Бог у своего божественного компьютера, возможности которого в миллионы раз больше самого мощного сервера, быстродействие и объем памяти его почти безграничны. Бог запускает свою авторскую программу, в диалоговом окне выбирает параметры-правила и начальную конфигурацию игры. Чтобы иметь возможность позже любоваться игрой, он сохраняет после каждого хода ее на жестком диске. Содержимое оперативной памяти представляет собой текущее состояние мира, адрес ячейки памяти- ее пространственный индекс, хранимый объект в ячейке памяти может быть битом, отображать вещественное или комплексное число. Процессор терпеливо выполняет операции в цикле for; по внешним признакам он весьма напоминает христианский Святой Дух. Иногда, при взгляде на монитор он видит какую-то интересную фигуру (первый атом золота, например), он прерывает исполнение программы, вырезает (Cut) или копирует (Copy) ее в буфер обмена для последующего сохранения в библиотеке или "галерее славы Игры". Попив кофе, взглянув на часы в нижнем правом углу экрана, он решает продолжить игру с того места, на котором остановился; излишне говорить о том, что никто из "существ" в оперативной памяти и не заметил заминки. Через некоторое свое, божественное время он решил улучшить сценарий, добавив (Paste) сконструированную им во время паузы фигуру, которая воспроизводит сама себя (первая ДНК). Такое происходит, правда, редко. Итак, каждый ход Бог-пользователь видит совершенствование всех фигур в целом, неудачные фигуры, "побарахтавшись" пару миллионов ходов, распадаются. Впрочем, Бог любит совершать чудеса, путем Copy-Paste превратив однажды воду в вино, или, отменив выполнение нескольких миллионов ходов в нескольких миллионах смежных клетках, остановил воды Красного моря перед избранным народом. И только Бог знает, когда он закончит игру, когда посчитает "галерею славы" завершенной (например, мозгом Эйнштейна). Тогда уже будет некому осознавать относительное время, ибо и абсолютного времени уже не будет. Счетчики программных циклов обнуляться, создастся новый лист (пункт меню File-New), и Бог сотворит "новое небо и новую землю", поместив туда копии экземпляров из "галереи славы". Таким образом, в программной реализации Игры, в которой Бог принимает активное участие, и не только в самом начале в качестве перводвижителя.
Данный образ иронически утрирован. Например, упомянутое здесь "божественное" время относится к подлинным "вещам в себе", а любые уточнения о нем являются пустыми, метафизическими, измышленными. Мир становится все более виртуальным, а Бог все более математически реальным. Осторожнее, правда, было бы говорить о Боге философов, и не о гипотезе, а некотором измышленном представлении. Тем не менее, можно сделать понятнее некоторые положения практической христианской теологии. Например, "у Бога тысяча лет, что один день, и один день, что тысяча лет" (смешение божественного и относительного времени). Выявляется бессмысленность вопроса о том, что делают души умерших в чистилище. Лишается абсурдности воскрешение именно телесное, а не чисто духовное. Наконец, показывается, что бессмертие тела не влечет за собой с необходимостью субстанциональное существование души (ахиллесова пята картезианцев). В этом случае ослабляется противоречие материализма с теологией. Мы отказываемся от представления Канта о трансцендентном субъекте, который ограничивается эмпирическими условиями мира явлений, и который позволял сохранить "и природу, и свободу" [4]. Это более соответствует данным физиологии. При абсолютной детерминации поведения человека, однако, действительно ли рушится свобода воли и понятие "греха"? Наколько верен этот кажущийся бесспорным вывод? Требует ли действительно христианство от человека невозможного? Наша гипотеза ведет к полному разделению сфер влияния морали ("моральности", по Канту) и природы. Бог предстает единственным абсолютным мерилом добра и зла, которое преломляется в каждой исторической эпохе и обществе по-разному, он является необходимым условием разрешения метафизической проблемы "бессмертия души"[4].
Сделаем последнее замечание. При условии гигантских резервов оперативной памяти нет особой разницы между цифрами 10100 и 10200, поэтому можно одним индексом a задать четырехиндексный массив {i,j,k,t} (множество Z равномощно множеству Z4). В процессе игры он заполняется "послойно", в сторону увеличения t. Таким образом, Богу могут быть ведомы все времена, которые уже вневременны, включая и далекое будущее (если исключить в дальнейшем вмешательство Бога в ход игры). В такой интерпретации связанные итерационной формулой (а значит "пространственно") ячейки могут иметь далекие номера. Более того, итерационная формула может в принципе содержаить в качестве независимых аргументов t и далекие a 1
, где a 1
определено нетривиально: a 1
=1*2*3*...*a . В этом случае стохастичность порождается уже в самой формуле, но она не доступна для анализа человеческому существу. Действительно, нелепым кажется предполагать такое "дальнодействие" между электроном атома моего тела и протоном в звезде a -Центавра.
7. Заключение
Предлагаемая "компьютерная" гипотеза, как нам кажется, отражает потенциально возможное в конце ХХ-го - начале ХХ1-го веков представление людей о мире и Боге. Важно было с единой "компьютерной" точки зрения посмотреть на сложившийся массив наработок по физике, теории познания, теологии, не углубляясь в частности. Автор не претендует на подлинную оригинальность изложенных базовых идей, скорее всего, подобное можно найти уже у пифагорейцев, но не является ли одной из существенных задач философии передавать символизм древних в символах современности, преподнося всю глубину их мироощущения в понятной нынешним людям "полиэтиленовой обертке"?
Список литературы
1. Гарднер М. Крестики-нолики, М.: Мир, 1988г.
2. Матюшкин И.В. Игра "Жизнь" и новое представление о пространстве и времени// Тезисы докладов XLII научной конференции МФТИ "Современные проблемы фундаментальных и прикладных наук", М.: НИЧ МФТИ, 1999г.
3. Пуанкаре А. О науке М.: Наука., 1983г.
4. Кант И. Критика чистого разума., М.: Мысль, 1994г.
Дата написания: ноябрь 1999
Идея статьи 1998г.
|