|
План
Введение………………………………………………………………………….3
1.Понятие о себестоимости и рентабельности молока……………………….4
1.1. Задачи статистики себестоимости рентабельности продукции………..4
1.2.Состав себестоимости продукции…………………………………………5
1.3.Показатели рентабельности сельскохозяйственного производства…….7
2. Статистический анализ себестоимости и рентабельности производства молока……….…………………………………………………………………...10
2.1 Динамика продуктивности молока в типичном хозяйстве……………....10
2.2 Показатели ряда динамики……………………………………………….....11
2.3 Структура себестоимости продукции……………………………………...18
2.4 Индексы себестоимости продукции………………………………………..19
2.5 Корреляционный анализ связи………………………………………….......22
3. Статистико-экономическое обоснование результатов анализа……………27
4. Приоритетные условия снижения себестоимости и рентабельности производства на современном этапе……………………………………………29
Заключения……………………………………………………………………….31
Список литературы………………………………………………………………33
Приложения……………………………………………………………………...34
ВВЕДЕНИЕ
Себестоимость продукции является одним из важных факторов и одновременно показателей экономической эффективности сельскохозяйственного производства. Себестоимость показывает, во что обходится производство сельскохозяйственной продукции в том или ином предприятии. В ней получает отражение качественная сторона производственной деятельности предприятий: эффективность использования производственных ресурсов, состояния технологии и организации производства, освоение достижений науки и передового опыта, уровень управления предприятием. Показатель себестоимости продукции служит базой для обоснования размещения и специализации сельскохозяйственного производства, определения его экономической эффективности, возможностей сбыта продукции на рынке.
В современных условиях рыночная экономика требует создание конкурентоспособной продукции, которая обладает высоким качеством и умеренной ценой. Поэтому производительность должна постоянно снижать издержки производства с тем, чтобы обеспечит достаточно высокую прибыльность и рентабельность. Ведь в новых условиях хозяйствования никто не будет поддерживать на плаву безнадежно убыточное предприятие. Поэтому тема данной курсовой работы очень актуальна в данное время.
Забиваем Сайты В ТОП КУВАЛДОЙ - Уникальные возможности от SeoHammer
Каждая ссылка анализируется по трем пакетам оценки: SEO, Трафик и SMM.
SeoHammer делает продвижение сайта прозрачным и простым занятием.
Ссылки, вечные ссылки, статьи, упоминания, пресс-релизы - используйте по максимуму потенциал SeoHammer для продвижения вашего сайта.
Что умеет делать SeoHammer
— Продвижение в один клик, интеллектуальный подбор запросов, покупка самых лучших ссылок с высокой степенью качества у лучших бирж ссылок.
— Регулярная проверка качества ссылок по более чем 100 показателям и ежедневный пересчет показателей качества проекта.
— Все известные форматы ссылок: арендные ссылки, вечные ссылки, публикации (упоминания, мнения, отзывы, статьи, пресс-релизы).
— SeoHammer покажет, где рост или падение, а также запросы, на которые нужно обратить внимание.
SeoHammer еще предоставляет технологию Буст, она ускоряет продвижение в десятки раз,
а первые результаты появляются уже в течение первых 7 дней.
Зарегистрироваться и Начать продвижение
Целью написания данной курсовой работы является изучение теоретического материала по статистике себестоимости и рентабельности зерновой продукции и применение полученных знаний на практике.
При написании курсовой работы ставились следующие задачи: изучение понятия о себестоимости и рентабельности продукции, динамики урожайности, структуры себестоимости сои, индексов себестоимости продукции и корреляционного анализа связи между себестоимостью сои и факторами оказывающими на нее влияние, определение приоритетных направлений снижения себестоимости на современном этапе.
Источниками данных послужили годовые отчеты.
1. Понятие о себестоимости и рентабельности продукции
1.1. Задачи статистики себестоимости и рентабельности продукции
Затрачиваемые в процессе возделывания земли и получения готовой продукции сельского хозяйства и агропромышленного комплекса экономические ресурсы (оборотные и основные средства, рабочая сила) требуют постоянного возмещения для дальнейшего осуществления воспроизводства.
Получение частных натуральных показателей затрат труда, кормов, удобрений, горючего и т. п. имеет самостоятельное значение. Обобщающий показатель затрат на предприятиях, ведущих товарное производство, можно получить только в стоимостной форме, поскольку все экономические ресурсы имеют стоимость или требуют оплаты.
Все затраты предприятия на единицу конкретного вида продукции в денежном выражении (рублях) представляют себестоимость продукции.
Эти затраты определяются в текущих ценах по сумме фактических расходов предприятий на оплату труда с отчислениями, на приобретенные средства производства и услуги. Элементы собственного производства (семена, корма) обычно включаются в затраты по себестоимости или по рыночным ценам.
Величину себестоимости единицы конкретного вида продукции определяют делением общей суммы затрат на количество всей произведенной продукции. Себестоимость показывает, во что обходится хозяйству производство единицы продукции в денежном выражении.
Затраты на продукцию связаны с производством продукции, так и ее реализацией. Поэтому различают несколько видов себестоимости:
а) Технологическая, включающая затраты на технологический процесс в бригаде, цехе, на ферме;
б) Производственная, в которую входят все затраты предприятия до франко-место хранения готовой продукции, включая затраты по управлению производством (общехозяйственные и общеотраслевые);
Сервис онлайн-записи на собственном Telegram-боте
Попробуйте сервис онлайн-записи VisitTime на основе вашего собственного Telegram-бота:
— Разгрузит мастера, специалиста или компанию;
— Позволит гибко управлять расписанием и загрузкой;
— Разошлет оповещения о новых услугах или акциях;
— Позволит принять оплату на карту/кошелек/счет;
— Позволит записываться на групповые и персональные посещения;
— Поможет получить от клиента отзывы о визите к вам;
— Включает в себя сервис чаевых.
Для новых пользователей первый месяц бесплатно.
Зарегистрироваться в сервисе
в) Полная, или коммерческая,
содержащая кроме производственной себестоимости затраты предприятий по реализации продукции (в соответствии с принятой их классификацией).
Кроме фактической себестоимости, колхозы, совхозы и другие сельскохозяйственные предприятия при составлении производственно-финансового плана устанавливают уровень плановой и ожидаемой себестоимости.
Важнейшими задачами статистики себестоимости и рентабельности продукции являются:
· определение уровня затрат на производство каждого вида продукции в целом и по элементам затрат;
· анализ выполнения плана по снижению себестоимости продукции;
· анализ структуры затрат на продукцию;
· определение влияния отдельных факторов на величину затрат;
· вскрытие резервов снижения затрат на продукцию;
· анализ рентабельности сельскохозяйственного производства.
1.2. Состав себестоимости продукции
Все виды затрат, входящие в себестоимость, можно подразделить на две группы: затраты на оплату живого труда; материально-вещественные затраты. Материально-вещественные затраты, в свою очередь, cocтоят из затрат предметов труда и вспомогательных материалов (семян, удобрений и т. п.) и затрат на амортизацию основных средств труда (машин, оборудования, зданий и т. п.).
Элементы затрат могут быть общими для всех видов продукции или специфическими. Общими являются затраты на оплату труда с начислениями, амортизацию и текущий ремонт основных средств производства. Специфическими затратами, например в растениеводстве, являются затраты на удобрения, семена, ядохимикаты и др
При ведении бухгалтерского учета и калькуляции продукции все затраты учитывают по статьям затрат. Статьи затрат могут быть простыми, представляющими непосредственно конкретные элементы затрат (например, семена), и комплексными, представляющими сумму нескольких элементов затрат (амортизация, текущий ремонт основных средств и т. д.).
По функции затрат в процессе производства выделяют прямые затраты и накладные расходы. Прямые затраты непосредственно связаны с производством данного продукта, например, расходы на семена, удобрения, горючие и смазочные материалы, амортизацию и текущий ремонт основных средств и др. Накладные расходы - это затраты, имеющие общеотраслевой или общехозяйственный характер, связанные с управлением и обслуживанием отрасли (например, затраты на оплату труда агронома) или хозяйства в целом (например, затраты на оплату труда директора совхоза).
В прямые затраты входят затраты, относимые при калькуляции непосредственно на данный вид продукции (семена, корм и др.), и распределяемые прямые затраты, т. е. затраты, учитываемые в целом по отрасли или хозяйству и распределяемые в конце года по конкретным видам продукции.
По своему экономическому содержанию себестоимость, как текущие затраты предприятий на оплату труда и материально-вещественных элементов производства, является частью более общего показателя затрат — полных, или общественных издержек производства. Он может быть выражен как масса конкретного труда или редуцированного труда или в денежном выражении, эквивалентом общим затратам воплощенного в продукте труда.
В экономической теории и практике стран с развитой рыночной экономикой выделяют постоянные и переменные затраты в зависимости от характера их связи с объемами производимой на данном предприятии продукции. Сумма постоянных затрат связана с использованием имеющихся производственных мощностей (земли, помещений, производственных площадей) и не зависит от изменения объема продукции хозяйства. Это затраты на вспашку и посев, амортизацию основных средств, освещение, арендную плату, расходы по организации и правлению производством. При увеличении общего объема продукции сумма постоянных затрат на единицу продукции уменьшается.
Переменные затраты связаны с изменением объема продукции, их увеличение в оптимальных пределах вызывает прирост объема продукции, что служит важнейшим фактором снижения издержек на единицу продукции. К переменным относятся затраты на удобрения, корма, средства защиты растений и животных от вредителей и болезней, затраты по улучшению ухода за посевами и животными и т. п. Важно обеспечить на каждом предприятии рациональное сочетание постоянных и переменных затрат с целью обеспечения минимальных издержек на единицу продукции.
При статистическом изучении варьирующих затрат по совокупности предприятий следует иметь в виду относительный характер деления их на постоянные и переменные. В статистической совокупности с увеличением площади обрабатываемой земли постоянные затраты каждого предприятия оказываются связанными с объемами производства и приобретают характер переменных. Поэтому в статистике важно установить типичные для определенных условий уровни тех и других затрат, типичные отношения между ними, оценить эффективность различных соотношений. Такой анализ особенно важен в настоящий период, когда существенно снизилось применение удобрений, кормов, средств защиты, ухудшилось качество многих средств производства, в целом снизился уровень интенсивности производства и удельный вес переменных затрат. Повышение удельного веса постоянных затрат стало одной из причин роста себестоимости продукции сельского хозяйства.
1.3. Показатели рентабельности сельскохозяйственного производства
От себестоимости продукции зависит сумма получаемой прибыли, которая представляет разницу между выручкой за реализованную продукцию и затратами на нее. Для нормального функционирования необходимо, чтобы сельскохозяйственное предприятие имело определенный уровень прибыли. Только в этом случае возможно ведение расширенного воспроизводства.
Прибыль – важнейший результативный показатель, от которого зависит уровень рентабельности.
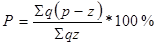
Рентабельность рассчитывают по каждому отдельному виду продукции, по отдельным отраслям и в целом по хозяйству.
Уровень рентабельности можно исчислить как процентное отношение прибыли к сумме коммерческой себестоимости товарной продукции:
,
где Р – уровень рентабельности, %;
П – прибыль, руб;
С – коммерческая себестоимость реализованной продукции.
Можно рассчитать уровень рентабельности отдельных сельхозпродуктов. Он определяется как процентное отношение любого дохода к себестоимости всей произведенной продукции. Чистый доход = Валовой доход – Оплата труда.
Рентабельность также характеризует отношение прибыли к уровню отдельных факторов: затратам на реализованную продукцию (себестоимости), общей сумме затрат на всю произведенную продукцию, стоимости основных производственных фондов, стоимости основных и оборотных фондов и др.
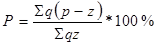
Среднюю рентабельность по отрасли или хозяйству (группе хозяйств) можно рассчитать по следующей формуле:
,
где р – цена реализации 1 ц. данного вида продукции.;
z – полная себестоимость 1 ц. данного вида продукции;
q – количество реализованной продукции каждого вида, ц.
Средняя рентабельность зависит от уровня рентабельности каждого вида.
По убыточной продукции исчисляется степень убыточности путем деления суммы убытка на сумму себестоимости продукции. Убыточность выражается в процентах и записывается со знаком минус.
2. Статистический анализ себестоимости и рентабельности производства сои
2.1. Динамика продуктивности сои в типичном хозяйстве
Важной задачей статистики является изучение изменений явлений общественной жизни во времени. Для решения ее необходимо иметь данные по определенному кругу показателей на ряд моментов времени или за ряд промежутков времени, следующих друг за другом.
Ряд расположенных в хронологической последовательности значений статистических показателей, представляют собой динамический (временной) ряд.
Динамика означает изменение явлений во времени. Элементами динамического ряда являются два ряда чисел: время "t"
и уровень "у". Уровни обычно выражаются в виде абсолютных чисел, но иногда могут быть выражены и средними, и относительными величинами. Время может быть выражено по-разному:
• на начало или конец определенного периода, т.е. на момент времени;
• за определенный период времени (за месяц, квартал, год).
В зависимости от характеристики времени динамические ряды бывают моментные и интервальные.
Ряды динамики, где уровни характеризуют объемы явления на какие-то моменты времени, называются моментными рядами динамики.
Ряды динамики, где уровни характеризуют объемы явления за какие-то периоды (месяцы, кварталы, годы), называются интервальными рядами динамики.
По форме представления уровней ряда различают ряды динамики абсолютных величин, ряды динамики относительных величин и ряды динамики средних величин.
По расстоянию между показателями времени выделяются полные и неполные ряды динамики.
Полный ряд динамики – ряд, в котором показатели времени делятся разными промежутками, т.е. это ряд с равно отстоящими во времени уровнями.
Неполный ряд – ряд в котором принцип равных промежутков между показателями времени не соблюдается, т.е. это ряд с не равностоящими во времени уровнями.
По числу показателей в ряду динамики различают изолированные и комплексные ряды динамики.
Изолированный ряд динамики – характеризует изменения во времени только одного показателя.
Комплексный ряд динамики – характеризует изменения во времени нескольких взаимосвязанных показателей.
2.2. Показатели ряда динамики
При изучении динамики общественных явлений необходимо решить целый ряд задач и осветить широкий круг вопросов, чтобы охарактеризовать особенности и закономерности развития изучаемого явления. К числу основных задач, возникающих при изучении динамических рядов, относятся: 1) характеристика интенсивности отдельных изменений в уровнях ряда от периода к периоду или от даты к дате; 2) определение средних показателей временного ряда за тот или иной период; 3) выявление основных закономерностей динамики исследуемого явления на отдельных этапах; 4) выявление факторов, обусловливающих изменение изучаемого явления во времени; 5) прогноз развития явления в будущем.
Динамический ряд представляет собой последовательность уровней, сопоставляя которые между собой, можно получить характеристику скорости и интенсивности развития явления. В результате сравнения уровней получается система абсолютных и относительных показателей динамики: абсолютный прирост, коэффициент роста, темп прироста, абсолютное значение одного процента прироста и др. Если сравнению подлежат несколько последовательных уровней, то возможны два варианта сопоставления:
1) каждый уровень динамического ряда сравнивается с одним и тем же предшествующим уровнем, принятым за базу сравнения. В качестве базисного уровня выбирается либо начальный уровень динамического ряда, либо уровень, с которого начинается какой- то новый этап развития явления. Такое сравнение называется сравнением с постоянной базой;
2) каждый уровень динамического ряда сравнивается с непосредственно ему предшествующим, такое сравнение называют сравнением с переменной базой.
Рядами динамики в статистике называют ряды последовательно расположенных в хронологическом порядке показателей, которые характеризуют развитие явления.
В каждом динамическом ряду имеется два основных элемента:
1) Показатель времени – t;
2) Уровень ряда – y; отображает количественную оценку развития во времени изучаемого показателя.
При сопоставлении уровней динамического ряда возможны два варианта сравнения:
1) каждый уровень сравнивается с одним и тем же предшествующим уровнем, в результате получают базисные показатели;
2) каждый уровень сравнивается с непосредственно ему предшествующим, в результате получают цепные показатели;
При анализе используется следующая система показателей:
1) Абсолютный прирост:
а) базисный ∆ = Уi
-Уб
;
б) цепной ∆ = Уi
-Уi
-1
;
где Уi
– текущий уровень ряда;
Уб
– базисный уровень ряда;
Уi
-1
– уровень предшествующего периода;
Абсолютный прирост характеризует, на сколько данный уровень отличается от уровня, принятого за базу сравнения.
2) Коэффициент роста:
а) базисный Кб
= ;
б) цепной Кц
= ;
Коэффициент роста характеризует, во сколько раз данный уровень отличается от уровня, принятого за базу сравнения.
3) Темп роста:
а) базисный Тр
= Кб
× 100% = × 100%;
б) цепной Тр
= Кц
× 100% = × 100%;
Темп роста характеризует, сколько процентов данный уровень составляет от уровня, принятого за базу сравнения.
4) Темп прироста:
Тпр
= Тр
– 100%;
Темп прироста характеризует, на сколько процентов данный уровень отличается от уровня, принятого за базу сравнения.
5) Абсолютное значение 1% прироста (рассчитывается только для цепных показателей):
А1%
= =Уi
-1
× 0,01;
Данный показатель показывает, сколько единиц изучаемого показателя приходится на 1% прироста.
Помимо этого, рассчитывают средние показатели динамики:
1) Средний уровень ряда динамики
= ;
где Уi
– уровни динамического ряда;
n – число периодов;
Средний уровень ряда динамики показывает среднее значение уровней ряда.
2) Средний абсолютный прирост:
= = ;
где ∆ц
– абсолютный цепной прирост;
n – число абсолютных приростов;
= ;
где У1
– начальный уровень ряда;
Уn
– конечный уровень ряда;
n – число уровней.
Средний абсолютный прирост показывает, на сколько в среднем за год увеличивается (сокращается) значение уровней ряда динамики.
3) Средний коэффициент роста:
= ;
где К1,2
– цепные коэффициенты роста;
n – число коэффициентов роста;
= ;
где n – число уровней ряда;
4) Средний темп роста:
;
5) Средний темп прирост
;
Средний коэффициент роста показывает, во сколько раз, в среднем данный уровень отличается от базисного.
Проведем анализ динамики себестоимости сои в СПК Пограничный Константиновского района. Расчет показателей представлен в таблице 1.
Таблица 1-Показатели динамики молока.
| Годы
|
Ceбестоимость 1 т/руб.
|
Абсолютный прирост, т/га
|
Темп роста, %
|
Темп прироста, %
|
Значение 1%прироста
|
| базисный
|
цепной
|
базисный
|
цепной
|
базисный
|
цепной
|
| 2000
|
14,05
|
-
|
-
|
-
|
-
|
-
|
-
|
-
|
| 2001
|
0,7
|
13,35
|
13,35
|
4,98
|
4,98
|
-95,02
|
-95,02
|
0,1405
|
| 2002
|
12,33
|
11,63
|
1,72
|
87,85
|
1761,43
|
-12,2
|
1661,4
|
0,007
|
| 2003
|
11,5
|
-0,83
|
2,55
|
81,85
|
93,3
|
-18,15
|
-6,7
|
0,1233
|
| 2004
|
8,1
|
-3,4
|
5,95
|
57,7
|
70,4
|
-42,35
|
-29,6
|
0,115
|
| 2005
|
13,6
|
5,5
|
0,45
|
96,797
|
167,9
|
-3,2
|
67,9
|
0,081
|
| 2006
|
17,3
|
3,7
|
-3,25
|
123,13
|
127,21
|
23,13
|
27,21
|
0,136
|
| 2007
|
22,3
|
5
|
-8,25
|
158,72
|
128,9
|
58,7
|
28,9
|
0,173
|
| 2008
|
25,7
|
3,4
|
-11,7
|
182,92
|
115,2
|
82,92
|
15,25
|
0,223
|
| 2009
|
28,8
|
3,1
|
-14,75
|
204,98
|
112,06
|
104,98
|
12,06
|
0,257
|
| Итого:
|
154,38
|
36,5
|
-1393
|
998,83
|
2581,38
|
98,81
|
1681,4
|
1,2558
|
По данным таблицы видно, что СПК Пограничное Константиновский район наблюдается неравномерная себестоимость за период с 2000 г. по 2009 г. В 2009 году по сравнению с 2000 годом себестоимость увеличилась на 14,75 руб. Самая высокая себестоимость наблюдалась в 2009 году –28,8руб. Самая низкая в 2001 году – 0,7руб.
Таблица 2. Динамика себестоимости молока в СПК Пограничное
| Годы
|
Себестоимость 1ц.молока, руб
|
| 2000
|
14,05
|
| 2001
|
0,7
|
| 2002
|
12,33
|
| 2003
|
11,5
|
| 2004
|
8,1
|
| 2005
|
13,6
|
| 2006
|
17,3
|
| 2007
|
22,3
|
| 2008
|
25,7
|
| 2009
|
28,8
|
Рис.1 Динамика себестоимости молока

Таблица-3
Результаты подбора уравнения:
| Вид уравнение
|
Уравнение
|
Коэффициент детерминации
|
| Линейный
|

|

|
| Логарифмический
|

|
0.445
|
| Полином 2-го порядка
|

|
0.814
|
| Полином 3-го порядка
|

|
0.833
|
| Степенной
|

|
0.295
|
| экспоненциальный
|

|
0.396
|
Для рогноза подходит полином 3-го порядка,т.к 0.833,более приближен к 1.
Таблица 4-Показатели динамики молока.
| Годы
|
Производственные затраты т/руб.
|
Абсолютный прирост, т/га
|
Темп роста, %
|
Темп прироста, %
|
Значение 1%прироста
|
| базисный
|
цепной
|
базисный
|
цепной
|
базисный
|
цепной
|
| 2000
|
7475
|
-
|
-
|
-
|
-
|
-
|
-
|
-
|
| 2001
|
7237
|
-238
|
-238
|
96,82
|
96,8
|
-3,18
|
-3,18
|
74,75
|
| 2002
|
12330
|
4855
|
5093
|
164,95
|
170,37
|
64,95
|
70,37
|
72,37
|
| 2003
|
10140
|
2665
|
-2190
|
135,65
|
82,24
|
35,65
|
-17,76
|
123,30
|
| 2004
|
10634
|
3159
|
494
|
142,26
|
104,87
|
42,26
|
4,87
|
101,40
|
| 2005
|
15917
|
8442
|
5283
|
212,94
|
146,86
|
112,94
|
49,68
|
106,34
|
| 2006
|
18241
|
10766
|
2324
|
244,03
|
114,6
|
144,03
|
14,6
|
159,17
|
| 2007
|
24717
|
17242
|
6476
|
330,66
|
135,5
|
230,66
|
35,5
|
182,41
|
| 2008
|
28274
|
20799
|
3557
|
378,25
|
114,39
|
278,25
|
14,39
|
247,17
|
| 2009
|
43433
|
35958
|
15159
|
581,04
|
153,61
|
481,04
|
53,61
|
282,74
|
| Итого:
|
178398
|
103648
|
35958
|
2286,6
|
1121,04
|
1386,6
|
222,08
|
1349,65
|
По данным таблицы видно, что СПК Пограничное Константиновский район наблюдается неравномерные производственные затраты за период с 2000 г. по 2009 г. В 2009 году по сравнению с 2000 годом себестоимость увеличилась на 35958 руб. Самая высокая себестоимость наблюдалась в 2009 году –43433руб. Самая низкая в 2001 году – 7237руб
А теперь построим графики для определения наиболее подходящей линии тренда.

Таблица-6
| Вид уравнение
|
Уравнение
|
Коэффициент детерминации
|
| Линейный
|

|

|
| Логарифмический
|

|
0.587
|
| Полином 2-го порядка
|

|
0,955
|
| Полином 3-го порядка
|

|
0.977
|
| Степенной
|

|
0.762
|
| экспоненциальный
|

|
0.925
|
Таблица-7.Динамика производственных затрат молока в СПК Пограничное
| Годы
|
Производственные затраты.тыс. руб
|
| 2000
|
7475
|
| 2001
|
7237
|
| 2002
|
12330
|
| 2003
|
10140
|
| 2004
|
10634
|
| 2005
|
15917
|
| 2006
|
18241
|
| 2007
|
24717
|
| 2008
|
28274
|
| 2009
|
43433
|
| Итого:
|
178398
|
Эффективным способом выявления основной тенденции развития является аналитическое выравнивание.
Таблица 8- Устойчивость динамического ряда
| Годы
|
Себестоимость,руб.
(y)
|
t
|
t2
|
yt
|

|

|

|
| 1
|
2
|
3
|
4
|
6
|
7
|
8
|
9
|
| 2000
|
14,05
|
-9
|
81
|
-126,45
|
5.079
|
8.97
|
80.461
|
| 2001
|
0,7
|
-7
|
49
|
-4,9
|
7.381
|
-6.681
|
44.64
|
| 2002
|
12,33
|
-5
|
25
|
-61,65
|
9.683
|
2.647
|
7.07
|
| 2003
|
11,5
|
-3
|
9
|
-34,5
|
11.985
|
-0.485
|
0.24
|
| 2004
|
8,1
|
-1
|
1
|
-8,8
|
14.287
|
-6.187
|
38.28
|
| 2005
|
13,6
|
1
|
1
|
13,6
|
16.589
|
-2.989
|
8.93
|
| 2006
|
17,3
|
3
|
9
|
51,9
|
18.89
|
-1.59
|
2.53
|
| 20007
|
22,3
|
5
|
25
|
111,5
|
21.193
|
1.107
|
1.225
|
| 2008
|
25,7
|
7
|
49
|
179,9
|
23.495
|
2.205
|
4.86
|
| 2009
|
28,8
|
9
|
81
|
259,2
|
25.797
|
3.003
|
9.02
|
| Итго:
|
154,38
|
0
|
330
|
379,8
|
154.38
|
0
|
197.256
|


уt
=15.438+1.151*t
Среднеквадратическое отклонение:

σ позывает, что фактические уровни урожайности в среднем отклоняются от полученного тренда под влиянием остаточных факторов на 19,73 руб..
Коэффициент вариации:
Ux
= × 100 % =
Так как коэффициент вариации больше 25% и равен 128,3%, значит динамический ряд не устойчив, следовательно, развитие явления во времени не стабильно, уравнение не может быть использовано для прогнозирования. Причем в уравнении тренда, параметр а =15,44 характеризует значение среднего уровня, а параметр b=1,51 характеризует что с каждым годом себестоимость увеличивается на 1,51 руб. относительно среднего уровня.
Эффективным способом выявления основной тенденции развития является аналитическое выравнивание.
Таблица-9
| Годы
|
Производственные затраты
(y)
|
t
|
t2
|
Yt
|

|

|

|
| 1
|
2
|
3
|
4
|
6
|
7
|
8
|
9
|
| 2000
|
7475
|
-9
|
81
|
-67275
|
2502
|
4973
|
24730729
|
| 2001
|
7237
|
-7
|
49
|
-50659
|
5910,4
|
1326,6
|
1759867,6
|
| 2002
|
12330
|
-5
|
25
|
-61650
|
9318,8
|
3011,2
|
9067325,4
|
| 2003
|
10140
|
-3
|
9
|
-30420
|
12727,2
|
-2587,2
|
6693603,8
|
| 2004
|
10634
|
-1
|
1
|
-10634
|
16135,6
|
-5501,6
|
30267602,6
|
| 2005
|
15917
|
1
|
1
|
15917
|
1953,2
|
-3626,2
|
13149326,4
|
| 2006
|
18241
|
3
|
9
|
54723
|
22952,4
|
-4711,4
|
22197289,9
|
| 20007
|
24717
|
5
|
25
|
123585
|
26360,8
|
-1643,8
|
2702078,4
|
| 2008
|
28274
|
7
|
49
|
197918
|
29769,2
|
-1495,2
|
2235623,04
|
| 2009
|
43433
|
9
|
81
|
390897
|
33177,6
|
10255,4
|
105173229,2
|
| Итго:
|
178398
|
0
|
330
|
562402
|
178398
|
0,8
|
217976675,
4
|


уt
=17839,8+1704,2*t
Среднеквадратическое отклонение:

σ позывает, что фактические уровни урожайности в среднем отклоняются от полученного тренда под влиянием остаточных факторов на 4668.8руб..
Коэффициент вариации:
Ux
= × 100 %
Так как коэффициент вариации больше 25% и равен 26.17%, значит динамический ряд не устойчив, следовательно, развитие явления во времени не стабильно, уравнение не может быть использовано для прогнозирования. Причем в уравнении тренда, параметр а =17839.8характеризует значение среднего уровня, а параметр b=1704.2характеризует что с каждым годом себестоимость увеличивается на 1704.2 руб. относительно среднего уровня.
2.3. Структура себестоимости продукции в СПК Пограничное Константиновский район
Практика калькуляции (исчисления) себестоимости продукции имеет дело прежде всего со статьями затрат, часть которых представляет непосредственно те или иные элементы в денежной форме (простые статьи), часть – комплекс элементов затрат тоже в денежном выражении.
Для определения структуры себестоимости 1 ц. молока нам необходим перечень статей затрат на его производство.
Структура производственных затрат показывает удельный вес (процентное соотношение) каждой из статей затрат в общем весе затрат на производство продукции. Исходя из соотношения статьей затрат в общей их сумме, себестоимость 1 ц. молока распределится пропорционально удельному весу каждой статьи.
Изменение структуры себестоимости продукции в СПК Пограничное видно из следующих данных.
Таблица 10 - Состав и структура себестоимости продукции в СПК Пограничное
| Статьи затрат
|
2008 год
|
2009 год
|
| с\с, руб
|
%
|
с\с, руб
|
%
|
| 1. Оплата труда с отчислениями
|
|
|
|
|
| 2. Семена и посадочный матиериал
|
|
|
|
|
| 3. Удобрения
|
|
|
|
|
| 4.Содержание основных средств(горючее)
|
|
|
|
|
| 5. Прочие затраты
|
|
|
|
|
| Итого
|
|
|
|
|
Из выше приведенной структуры видно, что в 2007 году по сравнению с 1999г затраты на семена и посадочный материал увеличились на 11,1%, также увеличились затраты на содержание основных средств на 18,05%, затраты на оплату труда с отчислениями на социальные нужды сократились на 8,55%, затраты на удобрения уменьшились на 16,78%, а прочие затраты снизились на 3,8%
2.4. Индексы себестоимости продукции
Для характеристики явлений и процессов экономической жизни статистика широко применяет обобщающие показатели. К таким обобщающим показателям относятся индексы.
Индекс – это обобщающий показатель сравнения двух совокупностей, состоящих из элементов непосредственно не поддающихся суммированию. В статистике индексом называется обобщающий относительный показатель сравнения (во времени или по территории) величин какого–либо общественного явления. В зависимости от состава общественных явлений, изучаемых статистикой, различают индивидуальные и сводные (общие) индексы.
Индивидуальным называется индекс, исчисляемый для определения степени изменения отдельного элемента – сложного общественного явления. Величина индивидуального индекса зависит от состояния индексируемых показателей текущего (отчетного) или базисного периодов. Базисным является период, с которым производится сравнение, а текущим – период, сравниваемый с базисным. Данные базисного периода в формулах индексов принято обозначать подстрочным знаком «0», а текущего – «1». Каждая индексируемая величина имеет свое символическое обозначение. По степени охвата элементов совокупности различают индивидуальные и сводные индексы, которые в свою очередь делятся на общие и групповые. Индивидуальными называются индексы, характеризующие изменения только одного элемента совокупности и обозначаются – «i». Сводный индекс отражает изменения по всей совокупности элементов сложного явления. Если индексы охватывают не все элементы сложного явления, а лишь часть, то их называют групповыми. Сводные индексы обозначаются–« ».
Индексы, в которых меняется одна величина, называются индексами постоянного или фиксированного состава. Индексы, в которых меняются обе величины – индексируемая величина и вес – называются индексами переменного состава. Индексы переменного состава можно представить в виде произведения соответствующих индексов постоянного (фиксированного) состава.
Прием разложения индексов переменного состава на составляющие их индексы фиксированного состава, получивший название индексного метода анализа, широко используется в экономических исследованиях.
Для расчета индексов за базисный период брали – 2000г, за отчетный – 2009г.
1) индивидуальный индекс себестоимости
Iz
=
Из расчета показателя можно свидетельствовать о том, что себестоимость молока в 2009 году по сравнению с 2000г увеличилась в 7,65 раза.
2) Общий индекс производственных затрат
3) Iqz
=
На основе рассчитанного индекса можно сделать вывод о том, что в 2009 году по сравнению с 2000 годом производственные затраты увеличились на 70,47%
С помощью общего индекса производственных затрат можно рассчитать абсолютное изменение производственных затрат.
∆(qz)=Σq1
z1
-∑q0
z0
=42768-5592=37176
Исходя из рассчитанного индекса, можно сделать вывод, что производственные затрат увеличились на 37176 руб. в 2009г по сравнению с 2000г.
4) Индивидуальный индекс объема производства
Iq
= =3.138
Исходя из рассчитанного индекса можно сделать вывод, что объем производства продукции сократился на 3,14% в 2009 году по сравнению с 2000г
.
∆qz=∆(qz)q
+∆(qz)z
∆(qz)q
=Σq1
z0
-Σq0
z0
= 515115,15-5592=509523,15
∆(qz)z
=Σq0
z1
-Σq0
z0
=336499,2-5592=330907,2
∆qz=509523,15+330907,2=840430,35
В результате уменьшения объема производства молока в 2009 году на 3,14% по сравнению с 2000 годом, наблюдается увеличение себестоимости молока в 7,65 раза. Вместе с этим производственные затраты также увеличились на 70,47%. Перерасход производственных затрат составил 840430,35 рублей.
2.5 Анализ рентабельности и объем производства .
Рентабельность рассчитывают по каждому отдельному виду продукции, по отдельным отраслям и в целом по хозяйству.
Уровень рентабельности можно исчислить как процентное отношение прибыли к сумме коммерческой себестоимости товарной продукции:
,
где Р – уровень рентабельности, %;
П – прибыль, руб;
С – коммерческая себестоимость реализованной продукции.
Можно рассчитать уровень рентабельности отдельных сельхозпродуктов. Он определяется как процентное отношение любого дохода к себестоимости всей произведенной продукции. Чистый доход = Валовой доход – Оплата труда.
Рентабельность также характеризует отношение прибыли к уровню отдельных факторов: затратам на реализованную продукцию (себестоимости), общей сумме затрат на всю произведенную продукцию, стоимости основных производственных фондов, стоимости основных и оборотных фондов и др.
Среднюю рентабельность по отрасли или хозяйству (группе хозяйств) можно рассчитать по следующей формуле:
,
где р – цена реализации 1 ц. данного вида продукции.;
z – полная себестоимость 1 ц. данного вида продукции;
q – количество реализованной продукции каждого вида, ц.
Средняя рентабельность зависит от уровня рентабельности каждого вида.
По убыточной продукции исчисляется степень убыточности путем деления суммы убытка на сумму себестоимости продукции. Убыточность выражается в процентах и записывается со знаком минус.
Для расчета рентабельности за отчетный период берем предприятие 2009 года, за базисный период – предприятие 2000года.
Таблица 11. Реализация продукции
| вид продукции
|
объем реализации,т
|
цена реализации за 1т., тыс.руб
|
с\с1т. сои ,тыс.руб
|
Выручка от реализации, тыс.руб.
|
Полная с\с реализованной прод-и, тыс.руб
|
| q0
|
q1
|
p0
|
p1
|
z0
|
z1
|
q0
p0
|
q1
p1
|
q0
z0
|
q1
z1
|
| молоко
|
11684
|
36663
|
0,342
|
1,241
|
14,05
|
28,8
|
3995
|
45487
|
5592
|
42768
|


1. Определим изменение рентабельности в 2009 году по сравнению с 2000г.
∆R=R1
-R0
∆R= 0,0636-(-0,286)=0,3496
Изменение рентабельности молока под влиянием изменения цен реализации.
∆R(р)=Rусл
-R0
Где Rусл
=(45487-531796,82):531796,82=-0,914
∆R(р)=(-0,914)-(-0,286)=-0,628
2. Изменение рентабельности молока под влиянием его себестоимости
∆R(z)= R1
-Rусл
= 0,064-(-0,914)=0,978
Определим безубыточный объем продукции 2009 и 2000 годов по формуле:
Qкрит=
, где Зпост.
- постоянные затраты, тыс.руб.
За 2009 год Qкрит
= 43433/-27.56=-1575.94
За 2000год Qкрит
= 7475/ -13.71=-545.22
Рентабельность за 2009 год по сравнению с 2000г увеличилась на 0,35%. Под влиянием изменения цен, рентабельность уменьшилась на 0,63%. Под влиянием изменения себестоимости, рентабельность увеличилась на 0,978%. Безубыточный объем молока в 2009 году уменьшилась на 1575,95 тыс.руб, а в 2000г – на 545,22тыс.руб.
2.6 Корреляционный анализ связи между урожайностью и факторами её определяющими
Современная наука исходит из взаимосвязи всех явлений природы и общества. Различают два типа связей между различными явлениями и их признаками: функциональную и статистическую. Если с изменением значения одной из переменных обязательно соответствует одно или несколько точно заданных значений другой переменной, связь между ними является функциональной.
Если с изменением значения одной из переменных вторая может в определенных пределах принимать любое значение с некоторыми вероятностями, но ее среднее значение или иные статистические (массовые) характеристики изменяются по определенному закону – связь является статистической.
Корреляционной связью называют важнейший частный случай статистической связи, состоящий в том, что разным значениям одной переменной соответствуют различные средние значения другой.
Определим с помощью корреляционного анализа зависимость между себестоимостью и основными факторами – фондообеспеченностью. Исходные данные представлены в таблице.
Таблица 12 - Исходные данные для корреляционно-регрессионного анализа
| Год
|
Себестоимость 1ц. молоко
Y
|
Фондообеспеченность
Х
|
| 1
|
2
|
3
|
| 2000
|
14,05
|
2,075
|
| 2001
|
0,7
|
2,097
|
| 2002
|
12,33
|
2,10
|
| 2003
|
11,5
|
1,95
|
| 2004
|
8,1
|
1,56
|
| 2005
|
13,6
|
1,66
|
| 2006
|
17,3
|
3,17
|
| 2007
|
22,3
|
4,71
|
| 2008
|
25,7
|
0,61
|
| 2009
|
28,8
|
0,71
|
| итого
|
154,38
|
20,64
|
| среднее значение
|
15,44
|
2,06
|
| Год
|
Y
|
X
|
YX
|

|

|

|

|

|
| 1
|
2
|
3
|
4
|
5
|
6
|
7
|
8
|
9
|
| 2000
|
14,05
|
2,08
|
29,15
|
4,31
|
197,40
|
15.6
|
-1.35
|
9,61
|
| 2001
|
0,7
|
2,09
|
1,47
|
4,39
|
0,49
|
15.7
|
-15
|
2142,9
|
| 2002
|
12,33
|
2,10
|
25,89
|
4,41
|
152,03
|
15.5
|
-3.47
|
28,14
|
| 2003
|
11,5
|
1,95
|
22,43
|
3,8
|
132,25
|
14.2
|
-3.1
|
26,96
|
| 2004
|
8,1
|
1,56
|
12,64
|
2,43
|
65,61
|
11.5
|
-3.4
|
41,97
|
| 2005
|
13,6
|
1,66
|
22,58
|
2,76
|
184,96
|
12.3
|
1.45
|
10,66
|
| 2006
|
17,3
|
3,17
|
54,84
|
10,05
|
299,29
|
24.16
|
-6.9
|
39,88
|
| 2007
|
22,3
|
4,71
|
105,099
|
22,21
|
497,29
|
36.6
|
-14.1
|
63,23
|
| 2008
|
25,7
|
0,61
|
15,68
|
0,37
|
660,49
|
4.023
|
21.89
|
85,18
|
| 2009
|
28,8
|
0,71
|
20,45
|
0,50
|
829,44
|
4.8
|
24
|
83,33
|
| Итого
|
154,38
|
20,64
|
310,23
|
55,23
|
3018,88
|
154.38
|
0,02
|
2531,86
|
| Среднее значение
|
15,44
|
2,06
|
31,02
|
5,52
|
301,89
|
15.44
|
-
|
-
|







A1=7.89
a.=15.44-2.06*7.89=-0.81
уx
=-0.81+7.89*x
Для определения рассчитаем линейные коэффициенты парной корреляции r:
Рассчитанный коэффициент, характеризует тесноту связи между изучаемыми факторами ,в нашем случае эта связь обратная и умеренная.

На основание коэффициент детерминации можно сделать вывод что влияние изучаемого фактора на изменение себестоимости 0,17% ,влияние не учтенных факторов 99,83%

Для характеристики относительной силы влияния х на у, рассчитаем средний коэффициент эластичности:
С увеличением фондообеспеченности на 1% от его среднего уровня, себестоимость возрастает на 1,03% от своего среднего уровня .
- коэффициент определим по следующим формуле:
- коэффициент характеризует, что себестоимость увеличилась
Оценим, удачно ли подобрано уравнение с помощью средней аппроксимации:

Ошибка аппроксимации характеризует что фактическое значение себестоимости молока отклоняется от теоретической себестоимости в среднем на 0,4%,что меньше 25%,т.е отклонение не значительно и следовательно уравнение прямой подобрано удачно.
Для проверки статистической значимости линейного коэффициента парной корреляции рассчитаем t- критерий Стьюдента:


Фактическое значение критерия меньше табличного, что свидетельствует о не значимости линейного коэффициента корреляции и не существенности связи между себестоимостью и фондообеспеченностью в хозяйстве.
Оценим значимость уравнения регрессии и показателя тесноты связи с помощью F- критерия Фишера:


Фактическое значение критерия меньше табличного, что свидетельствует о не значимости уравнения регрессии в целом и показателя тесноты связи, т.е. они статистически не надежны
3. Cтатистико-экономическое обоснование результатов анализа
На основе проведенного анализа динамических рядов определим прогнозное себестоимости молока 2007, 2008,2009 года на основе определенного уравнения тренда:

Так как данные по хозяйству взяты за 10 лет, то для прогноза на 2010 год вместо x подставим 11, получим:
руб.
Прогноз на 2011 год:
руб.
Прогноз на 209год:
руб.
Исходя из полученного результата, можно сделать вывод, что к 2010 году себестоимость молока в СПК Пограничное увеличится по сравнению с 2009 годом 31,442 рубля.
4. Приоритетные условия снижения себестоимости и повышение рентабельности производства на современном этапе
В последние годы производство зерновых сопровождается абсолютным ростом затрат на него. Поэтому главная задача любого сельскохозяйственного предприятия определяется умением управлять издержками производства. Приоритет здесь должен быть отдан выявлению факторов, лимитирующих эффективность затрат и снижение себестоимости при производстве продукции, а также разработки мер, обеспечивающих улучшения использования ресурсов.
Принятие управленческих решений и разработка организационно-экономических мер по стабилизации и снижению себестоимости являются наиболее актуальными на современном этапе. В систему целей и мер по увеличению объемов производства сои и снижению его себестоимости рекомендуется включать комплекс мер, предусматривающих интенсификацию производства, введение элементов научно-технического прогресса, совершенствование биологического фактора, осуществление мероприятий по сортосмене, сортообновлению. Важным направлением является внедрение ресурсосберегающих технологий.
Организационно-экономические меры по эффективной интенсификации соевого производства предусматривают: эффективный подбор и правильное размещение сои, осуществление комплекса агротехнических мероприятий при посеве, уход за растениями, уборке урожая. Интенсификация предполагает не механическую концентрацию производственных ресурсов на единице земельной площади, а прежде всего качественное улучшение факторов: минеральных и органических удобрений, средств защиты посевов и способов из применения, технических средств, уровня квалификации исполнителей. Совершенствование структуры посевных площадей, оптимизация уровня концентрации производства обеспечивает высокую эффективность, не требуя при этом вложений. Концентрация производства оказывает влияние на себестоимость сои. Чем выше уровень концентрации, тем ниже себестоимость 1 ц сои. [15, c10].
Для осуществления инновационных проектов хозяйства должны брать за основу развитие кооперационных связей и интеграционных процессов.
Таким образом правильный подход к управлению затратами создает реальные предпосылки формирования источников накопления за счет реализации внутренних ресурсов сельскохозяйственных предприятий.
Эффективное управление процессом снижения себестоимости производства предполагает внедрение элементов управленческого учета.
Своевременное получение информации об объемах использования материальных, трудовых финансовых ресурсов, объемов выпуска продукции позволяют реализовать контрольную функцию себестоимости, сформировать тенденцию финансовой устойчивости.
ЗАКЛЮЧЕНИЕ
Себестоимость продукции представляет выраженные в денежной форме текущие затраты предприятий на производство и реализацию продукции (работ, услуг). Себестоимость на производстве является не только важнейшей экономической категорией. Но и качественным показателем, так как она характеризует уровень использования всех ресурсов (переменного, постоянного капитала), находящихся в распоряжении предприятия.
По причине высокой себестоимости сои в большей части рассматриваемой совокупности, хозяйства не получают прибыль от реализации продукта, производство сои в этих хозяйствах является не рентабельным.
Такая ситуация во многом обусловлена целым рядом социально-экономических причин:
- Низкая оплата живого труда в сельском хозяйстве в связи с дифференциацией, снижением абсолютного уровня по отношению к организациям и предприятиям других отраслей народного хозяйства.
- Отсутствие поддержки сельского хозяйства на государственном уровне.
- Инфляция и др.
Для снижения себестоимости производимой сои необходимо проведение комплекса мероприятий на уровне самих хозяйств, необходим выбор правильной политики ведения хозяйства. Сельскохозяйственным предприятиям нужно перенимать опыт передовых хозяйств, формировать приоритеты в осуществлении инновационных проектов на основе развития кооперационных связей и интеграционных процессов. В сложной экономической обстановке, не имея финансовых средств, хозяйства обречены на банкротство, объединяя свои усилия они обретают возможность на проведение интенсификации производства, введение элементов научного прогресса, совершенствование биологического фактора, осуществление мероприятий по сортосмене, сортообновлению и др. мероприятий, которые ложатся в основу повышения эффективности производства, а значит и снижению себестоимости производимой продукции, обеспечению финансовой устойчивости хозяйств.
СПИСОК ЛИТЕРАТУРЫ
1. Елисеева И.И. Общая теория статистики/И.И. Елисеева, М.М. Юзбашев - М.: Финансы и статистика, 1998.-480с.
2. Гусаров В.М. Теория статистики: учеб. пособие для вузов.- М.: Аудит, Юнити, 1988.- 247с.
3. Гусаров В.М. Статистика.: учеб. пособие для студентов вузов. -М.:2002.- 463с.
4. Андерсен Т. Статистический анализ временных рядов.-М.: Мир,- 1976.-756с.
5. Федорченко Н.М., Федорченко И.А. Курсовая работа по статистике: учебное пособие.- Благовещенск: ДальГАУ, 2006.-171с.
6. Политова И.Д. Дисперсионный и корреляционный анализ в экономике сельского хозяйства. -М.: Колос, 1998.-176с.
7. Гришин А.Ф. Статистика: учебное пособие для студентов вузов. - М.: Финансы и статистика,2003.-237с.
8. Елисеева И.И. Общая теория статистики \ И.И Елисеева, М.М. Юзбашев: учебник под редакцией И.И. Елисеева - М.: Финансы и статистика, 4004.-656с.
9. Ефимова М.Р. Практикум по общей теории статистики : М.Р Ефимова, О И. Гонченко, Е.В. Петрова: Учебное пособие - М.: Финансы и статистика, 2003.-336с.
10. Салин В.Н Социально экономическая статистика. Практикум : учебное пособие-М.: Финансы и статистика,2005.-480с.
11. Дубров А.М Компонентный анализ и эффективность в экономике.: учебное пособие для вузов. - М.: Финансы и статистика,2003.-352с.
12. Афанасьев В.Н. Статистика сельского хозяйства: учебное пособие. - М.: Финансы и статистика,2003.-279с.
|