СТАТИСТИЧЕСКОЕ ИЗУЧЕНИЕ ДИНАМИКИ СОЦИАЛЬНО-ЭКОНОМИЧЕСКИХ ЯВЛЕНИЙ
ПОНЯТИЕ И КЛАССИФИКАЦИЯ РЯДОВ ДИНАМИКИ
Процесс развития, движения социально-экономических явлений во времени в статистике принято называть динамикой
. Для отображения динамики строят ряды динамики
(хронологические, временные), которые представляют собой ряды изменяющихся во времени значений статистического показателя, расположенных в хронологическом порядке. В нем процесс экономического развития изображается в виде совокупности дискретных значений , отражающих изменение параметров экономической системы во времени.
Составными элементами ряда динамики являются показатели уровней ряда и периоды времени (годы, кварталы, месяцы, сутки) или моменты (даты) времени.
Уровни ряда обычно обозначаются через «у», моменты или периоды времени, к которым относятся уровни, - через «t».
Существуют различные виды рядов динамики. Их можно классифицировать по следующим признакам.
1.
В зависимости от способа выражения уровней ряды динамики подразделяются на ряды абсолютных, относительных и средних величин.
2.
В зависимости от того, как выражают уровни ряда состояние явления на определенные моменты времени (на начало месяца, квартала, года и т. п.) или его величину за определенные интервалы времени (например, за сутки, месяц, год и т. п.), различают соответственно моментные и интервальные ряды динамики.
Уровни интервального ряда динамики абсолютных величин характеризуют собой суммарный итог какого-либо явления за определенный отрезок времени. Они зависят от продолжительности этого периода времени, и поэтому их можно суммировать как не содержащие повторного счета.
Отдельные же уровни моментного ряда динамики абсолютных величин содержат элементы повторного счета, например, число вкладов населения, учитываемых за январь, существует и в настоящее время, являясь единицами совокупности и в любом другом месяце.
3. В зависимости от расстояния между уровнями ряды динамики подразделяются на ряды динамики с равноотстоящими уровнями и неравноотстоящими уровнями во времени.
Ряды динамики следующих друг за другом периодов или следующих через определенные промежутки дат называются равноотстоящими (пример о числе вкладов в Сбербанк РФ за январь — июнь 1997 г.). Если же в рядах даются прерывающиеся периоды или неравномерные промежутки между датами, то ряды называются неравноотстоящими (пример в табл. 1).
Забиваем Сайты В ТОП КУВАЛДОЙ - Уникальные возможности от SeoHammer
Каждая ссылка анализируется по трем пакетам оценки: SEO, Трафик и SMM.
SeoHammer делает продвижение сайта прозрачным и простым занятием.
Ссылки, вечные ссылки, статьи, упоминания, пресс-релизы - используйте по максимуму потенциал SeoHammer для продвижения вашего сайта.
Что умеет делать SeoHammer
— Продвижение в один клик, интеллектуальный подбор запросов, покупка самых лучших ссылок с высокой степенью качества у лучших бирж ссылок.
— Регулярная проверка качества ссылок по более чем 100 показателям и ежедневный пересчет показателей качества проекта.
— Все известные форматы ссылок: арендные ссылки, вечные ссылки, публикации (упоминания, мнения, отзывы, статьи, пресс-релизы).
— SeoHammer покажет, где рост или падение, а также запросы, на которые нужно обратить внимание.
SeoHammer еще предоставляет технологию Буст, она ускоряет продвижение в десятки раз,
а первые результаты появляются уже в течение первых 7 дней.
Зарегистрироваться и Начать продвижение
4.
В зависимости от наличия основной тенденции изучаемого процесса ряды динамики подразделяются на стационарные и нестационарные.
Если математическое ожидание значения признака и дисперсия (основные характеристики случайного процесса) постоянны, не зависят от времени, то процесс считается стационарным и ряды динамики также называются стационарными. Экономические процессы во времени обычно не являются стационарными, так как содержат основную тенденцию развития, но их можно преобразовать в стационарные путем исключения тенденций.
СОПОСТАВИМОСТЬ УРОВНЕЙ И СМЫКАНИЕ РЯДОВ ДИНАМИКИ
Основным условием правильного построения ряда динамики является сопоставимость всех входящих в него уровней. Данное условие решается либо в процессе сбора и обработки данных, либо путем их пересчета.
Основные причины несопоставимости уровней ряда динамики.
Несопоставимость уровней ряда может возникнуть вследствие изменения единиц измерения или единиц счета. Нельзя, например, сравнивать и анализировать цифры о производстве тканей, если за одни годы цифры даны в погонных метрах, а за другие -в квадратных метрах.
Одним из приемов достижения сопоставимости является «смыкание рядов динамики».
Под смыканием понимают объединение в один ряд (более длинный) двух или нескольких рядов динамики, уровни которых исчислены по разной методологии или разным территориальным границам. Для осуществления смыкания необходимо, чтобы для одного из
периодов (переходного) имелись данные, исчисленные по разной методологии
Динамика объема продукции
| 1991 |
1992 |
1993 |
1994 |
1995 |
1996 |
1997 |
1998 |
Объем продукции,
млн руб.:
по старой методике
по новой методике
|
19,1
—
|
19,7
—
|
20,0
-
|
21,2
22,8
|
—
23,6
|
—
24,5
|
-
26,2
|
—
28,1
|
Сомкнутый (сопоста
вимый) ряд абсолют
ных величин, млн руб.
|
21,0
|
21,7
|
22,0
|
22,8
|
23,6
|
24,5
|
26,2
|
28,1
|
Сопоставимый ряд
относительных
величин, в % к 1994 г.
|
90,1
|
92,9
|
94,3
|
100,0
|
103,5
|
107,5
|
114,9
|
123,2
|
Для этого на основе данных об объеме продукции по новой и старой методике находим соотношение между ними: 22,8 : 21,2 = 1,1. Умножая на полученный коэффициент данные, приводим их таким образом в сопоставимый вид с последующими уровнями.
Другой способ смыкания рядов динамики заключается в том, что уровни года, в котором произошли изменения , как до изменений, так и после изменений (в старой и новой методике, т. е. 21,2 и 22,8) принимаются за 100%, а остальные пересчитываются в процентах по отношению к этим уровням соответственно (в старых ценах - по отношению к 21,2, в новых ценах - к 22,8).
Сервис онлайн-записи на собственном Telegram-боте
Попробуйте сервис онлайн-записи VisitTime на основе вашего собственного Telegram-бота:
— Разгрузит мастера, специалиста или компанию;
— Позволит гибко управлять расписанием и загрузкой;
— Разошлет оповещения о новых услугах или акциях;
— Позволит принять оплату на карту/кошелек/счет;
— Позволит записываться на групповые и персональные посещения;
— Поможет получить от клиента отзывы о визите к вам;
— Включает в себя сервис чаевых.
Для новых пользователей первый месяц бесплатно.
Зарегистрироваться в сервисе
Показатели анализа ряда динамики
Анализ интенсивности изменения во времени осуществляется с помощью показателей, получаемых в результате сравнения уровней, к таким показателям относятся: абсолютный прирост, темп роста, темп прироста, абсолютное значение одного процента прироста.
Система средних показателей включает средний уровень ряда, средний абсолютный прирост, средний темп роста, средний темп прироста.
Показатели анализа динамики могут вычисляться на постоянной и переменных базах сравнения. При этом принято называть сравниваемый уровень отчетным,
а уровень, с которым производится сравнение, — базисным.
Для расчета показателей анализа динамики на постоянной базе каждый уровень ряда сравнивается с одним и тем же базиснЫм уровнем. В качестве базисного выбирается либо начальный уровень в ряду динамики, либо уровень, с которого начинается какой-то новый этап развития явления. Исчисляемые при этом показатели называются базисными
Для расчета показателей анализа динамики на переменной базе каждый последующий уровень ряда C
рaвнивaeтся с предыдущим. Вычисленные таким образом показатели анализа динамики называются цепными.
Важнейшим статистическим показателем анализа динамики является абсолютный прирост (сокращение),
т.е. абсолютное изменение,
характеризующее увеличение или уменьшение уровня ряда за определенный промежуток времени. Абсолютный прирост с переменной базой называют скоростью роста.
Абсолютный прирост Абсолютный прирост (цепной): (базисный):
  где уi
— уровень сравниваемого периода;
у
i
-1
— уровень предшествующего периода;
у0
—
уровень базисного периода.
Цепные и базисные абсолютные приросты связаны между собой- сумма последовательных цепных абсолютных приростов равна базисному, т. е. общему приросту за весь промежуток времени (
).
Для оценки интенсивности, т. е. относительного изменения уровня динамического ряда за какой-либо период времени исчисляют темпы роста (снижения).
Интенсивность изменения уровня оценивается отношением
отчетного уровня к базисному. Показатель интенсивности изменения уровня ряда, выраженный в долях единицы, называется коэффициентом роста, а в процентах - темпом роста. Эти показатели интенсивности изменения отличаются только единицами измерения.
Коэффициент роста (снижения)
показывает, во сколько раз сравниваемый уровень больше уровня, с которым производится сравнение (если этот коэффициент больше единицы) или какую часть уровня, с которым производится сравнение, составляет сравниваемый уровень (если он меньше единицы). Темп роста всегда представляет собой положительное число.
Коэффициент роста: Коэффициент роста:
(цепной) (базисный)

Темп роста (цепной): Темп роста (базисный):

Тр
=
Kр
*100.
Между цепными и базисными коэффициентами роста существует взаимосвязь (если базисные коэффициенты исчислены по отношению к начальному уровню ряда динамики): произведение последовательных цепных коэффициентов роста равно базисному коэффициенту роста за весь период
(П Кц
р
= Кб
р
),
а частное от деления последующего базисного темпа роста на предыдущий равно соответствующему цепному темпу роста.
Относительную
оценку скорости измерения уровня ряда в единицу времени дают показатели темпа прироста (сокращения).
Темп прироста (сокращения)
показывает, на сколько процентов сравниваемый уровень больше или меньше уровня, принятого за базу сравнения, и вычисляется как отношение абсолютного прироста к абсолютному уровню, принятому за базу сравнения.
Темп прироста может быть положительным, отрицательным или равным нулю, выражается он в процентах и долях единицы (коэффициенты прироста).
Темп прироста (цепной):

Темп прироста (базисный):
Темп прироста
(сокращения) можно получить и из темпа роста, выраженного в процентах, если из него вычесть 100%.
Коэффициент прироста
получается вычитанием единицы из коэффициента роста:
Тпр
=Тр
-100 Кпр
=Кр
-1
Сравнение абсолютного прироста и темпа прироста за одни и те же периоды времени показывает, что при снижении (замедлении) темпов прироста абсолютный прирост не всегда уменьшается, иногда он может возрастать. Поэтому, чтобы правильно оценить значение полученного темпа прироста, его рассматривают в сопоставлении с показателем абсолютного прироста. Результат выражают показателем, который называют абсолютным значением (содержанием) одного процента прироста
и рассчитывают как отношение абсолютного прироста к темпу прироста за тот же период времени, %:

Абсолютное значение одного процента прироста равно сотой части предыдущего (или базисного) уровня. Оно показывает, какое абсолютное значение скрывается за относительным показателем — одним процентом прироста.
В тех случаях, когда сравнение производится с отдалением периода времени, принятого за базу сравнения, рассчитывают так называемыепункты роста,
которые представляют собой разность базисных темпов роста, %, двух смежных периодов.
В отличие от темпов прироста, которые нельзя ни суммировать, ни перемножать, пункты роста можно суммировать, в результате получаем темп прироста соответствующего периода по сравнению с базисным.
Для обобщающей характеристики динамики исследуемого явления определяют средние показатели: средние уровни ряда
и средние показатели изменения уровней ряда.
Средний уровень ряда
характеризует обобщённую величину абсолютных уровней. Он рассчитывается по средней хронологической,
т. е. по средней исчисленной из значений, изменяющихся во времени.
Методы расчета среднего уровня интервального и моментного рядов динамики различны.
Для интервальных рядов динамики
из абсолютных уровней средний уровень
за период времени определяется по формуле средней арифметической:
• при равных интервалах применяется средняя арифметическая простая:

где у -
абсолютные уровни ряда; n -число уровней ряда.
• при неравных интервалах — средняя арифметическая взвешенная:

где у1
,...,
yn
—
уровни ряда динамики, сохраняющиеся без изменения в течение промежутка времени t
,
t
1
,...,
tn
— веса, длительность интервалов времени (дней, месяцев) между смежными датами.
Средний уровень
моментного ряда динамики с равностоящими уровнями
определяется по формуле средней хронологической моментного ряда:

где у1
,...,
y
п
~
уровни периода, за который делается расчет;
п —
число уровней;
п - 1
— длительность периода времени.
Средний уровень
моментных рядов с неравностоящими уровнями
определяется по формуле средней хронологической взвешенной:

где уi
,yn
- уровни рядов динамики;
ti
— длительность интервала времени между смежными уровнями.
.
Обобщающий показатель скорости изменения уровней во времени -средний абсолютный прирост (убыль),
представляющий собой обобщенную характеристику индивидуальных абсолютных приростов ряда динамики. По цепным данным об абсолютных приростах за ряд лет можно рассчитать средний абсолютный прирост как среднюю арифметическую простую:

где п -
число цепных абсолютных приростов ( ) в изучаемом
периоде.
Средний абсолютный прирост определим через накопленный (базисный) абсолютный прирост
(Δуб
)-
Для случая равных интервалов применим следующую формулу:

где т -
число уровней ряда динамики в изучаемом периоде, включая базисный.
Сводной обобщающей характеристикой интенсивности изменения уровней ряда динамики служитсредний темп роста (снижения),
показывающий, во сколько раз в среднем за единицу времени изменяется уровень ряда динамики.
Средний темп роста (снижения) —
обобщенная характеристика индивидуальных темпов роста ряда динамики. В качестве основы и критерия правильности исчисления среднего темпа роста (снижения) применяется определяющий показатель —
произведение цепных темпов роста, равное темпу роста за весь рассматриваемый период. Следовательно, если значение признака образуется как произведение отдельных вариантов, нужно применять среднюю геометрическую.
Посколькусредний темп роста
представляет собой средний
коэффициент роста, выраженный в процентах (
=
*100).
, то для равностоящих рядов динамики расчеты по средней геометрической сводятся к исчислению средних коэффициентов роста из цепных коэффициентов роста (по «цепному способу»):
где п —
число цепных коэффициентов роста;
Кц
р1
, ..., Кц
рп
-
цепные коэффициенты роста;
Кб
р
—
базисный коэффициент роста за весь период.
Если известны уровни динамического ряда, то расчет среднего коэффициента роста упрощается. Так как произведение Цепных коэффициентов роста равно базисному, то в подкоренное выражение подставляется базисный коэффициент роста. Базисный коэффициент получается непосредственно как частное от деления уровня последнего периода уп
на уровень базисного периода у0
.
Тогда формула для расчетасреднего коэффициента роста
дляравностоящих рядов динамики (по «базисному способу»):

где т -
число уровней ряда динамики в изучаемом периоде, включая базисный.
Средние темпы прироста (сокращения)
рассчитываются на основе средних темпов роста, вычитанием из последних 100 %. Соответственно при исчислении средних коэффициентов прироста
из значений коэффициентов роста вычитается единица:
 
где
- средний темп прироста, —
средний коэффициент прироста
Если уровни ряда динамики снижаются, то средний темп роста будет меньше 100%, а средний темп прироста — отрицательной величиной. Отрицательный темп прироста
представляет собой средний темп сокращения
и характеризует среднюю относительную скорость снижения уровня.
Сравнительные характеристики направления и интенсивности роста одновременно развивающихся во времени явлений определяютсяприведением рядов динамики к общему (единому) основанию и расчетом коэффициентов опережения (отставания).
Ряды динамики (в которых возникают, например, проблемы сопоставимости цен сравниваемых стран, методики расчета сравниваемых показателей и т.п.) приводят кодному основанию,
если они не могут быть решены другими методами. По исходным уровням нескольких рядов динамики определяют относительные величины — базисные темпы роста
или прироста.
Принятый при этом за базу сравнения период времени (дата) выступает в качестве постоянной базы расчетов темпов роста для каждого из изучаемых рядов динамики. В зависимости от целей исследования базой может быть начальный, средний или другой уровень ряда.
Сравнение интенсивности изменений уровней рядов во времени возможно с помощьюкоэффициентов опережения (отставания),
представляющих собой отношение базисных темпов роста (или прироста) двух рядов динамики за одинаковые отрезки времени:
  где
, ,
—
базисные темпы роста и прироста
первого и второго рядов динамики (соответственно).
Коэффициенты опережения (отставания)
могут быть исчислены на основе сравнения средних темпов роста (или прироста)
двух динамических рядов за одинаковый период времени:

где ,
- средние темпы роста первого и второго рядов динамики соответственно; п —
число лет в периоде.
Коэффициент опережения (отставания)
показывает, во сколько раз быстрее растет (отстает) уровень одного ряда динамики по сравнению с другим. При этом сравнении темпы должны характеризовать тенденцию одного направления.
Методы анализа основной тенденции развития в рядах динамики
Важной задачей статистики является определение в рядах динамики общей тенденции развития явления.
Иногда закономерность изменения явления, общая тенденция его развития отчетливо отражается уровнями динамического ряда (уровни на изучаемом периоде непрерывно растут или непрерывно снижаются).
Однако часто приходится встречаться с такими рядами динамики, в которых уровни ряда постоянно изменяются (то возрастают, то убывают), и общая тенденция неясна.
На развитие явления во времени оказывают влияние факторы, различные по характеру и силе воздействия. Одни из них оказывают практически постоянное воздействие и формируют в рядах динамики определенную тенденцию
развития. Воздействие же других факторов может быть кратковременным или носить случайный
характер.
Поэтому при анализе динамики речь идет не просто о тенденции развития, а об основной тенденции.
Основной тенденцией развития (трендом)
называется плавное и устойчивое изменение уровня явления во времени, свободное от случайных колебаний.
Задача состоит в том, чтобы выявить общую тенденцию в изменении уровней ряда, освобожденную от действия различных случайных факторов. С этой целью ряды динамики подвергаются обработке методами укрупнения интервалов, скользящей средней
и аналитического выравнивания.
Одним из наиболее простых методов изучения основной тенденции в рядах динамики являетсяукрупнение интервалов.
Он основан на укрупнении периодов времени, к которым относятся уровни ряда динамики (одновременно уменьшается количество интервалов). Например, ряд ежесуточного выпуска продукции заменяется рядом месячного
выпуска продукции и т.д.
Средняя, исчисленная по укрупненным интервалам, позволяет выявлять направление и характер (ускорение или замедление роста) основной тенденции развития.
Выявление основной тенденции может осуществляться такжеметодом скользящей (подвижной) средней.
Сущность его заключается в том, что исчисляется средний уровень из определенного числа, обычно нечетного (3, 5, 7 и т.д.), первых по счету уровней ряда, затем — из такого же числа уровней, но начиная со второго по счету, далее — начиная с третьего и т.д. Таким образом, средняя как бы «скользит» по ряду динамики, передвигаясь на один срок.
Недостатком сглаживания ряда является «укорачивание» сглаженного ряда по сравнению с фактическим, а следовательно, потеря информации.
Рассмотренные приемы дают возможность определить общую тенденцию развития явления, более или менее освобожденную от случайных и волнообразных колебаний. Однако получить обобщенную статистическую модель тренда нельзя.
Для того чтобы дать количественную модель, выражающую основную тенденцию изменения уровней динамического ряда во времени, используется аналитическое выравнивание ряда динамики.
Основным содержаниемметода аналитического выравнивания
в рядах динамики является то, что общая тенденция развития рассчитывается как функция времени:

где — уровни динамического ряда, вычисленные по соответствующему аналитическому уравнению на момент времени t
.
Определение теоретических (расчетных) уровней производится на основе адекватной математической модели,
которая отображает (аппроксимирует) основную тенденцию ряда динамики.
Выбор типа модели зависит от цели исследования и должен быть основан на теоретическом анализе, выявляющем характер развития явления, а также на графическом изображении ряда динамики (линейной диаграмме).
Простейшими моделями (формулами), выражающими тенденцию развития, являются:
линейная функция —
прямая = а0
+ a1
t,
где а0
и а1
—
параметры уравнения;
t—
время;
показательная функция-
,
степенная функция
— кривая второго порядка (парабола)

В тех случаях, когда требуется особо точное изучение тенденции развития (например, модели тренда для прогнозирования), при выборе вида адекватной функции можно использовать специальные критерии математической статистики.
Расчет параметров функции производится методом наименьших квадратов,
в котором в качестве решения принимается точка минимума суммы квадратов отклонений между теоретическими и эмпиричесими уровнями:

где -
выравненные (расчетные) уровни; уi
-
фактические уровни. Параметры уравнения аi
удовлетворяющие этому условию, могут быть найдены решением системы нормальных уравнений.
На основе найденного уравнения тренда вычисляются выравненные уровни. Таким образом, выравнивание ряда динамики заключается в замене фактических уровней уi
изменяющимися уровнями ,
наилучшим образом аппроксимирующими статистические данные.
•Выравнивание по прямой
используется в тех случаях, когда абсолютные приросты практически постоянны, т. е. когда уровни изменяются в арифметической прогрессии (или близко к ней).
•Выравнивание по показательной функции
используется в тех случаях, когда ряд отражает развитие в геометрической прогрессии, т. е. когда цепные коэффициенты роста практически постоянны.
Рассмотрим «технику» выравнивания ряда динамики по прямой:
= а0
+ a1
t,
Параметры а0
и а1
согласно методу наименьших квадратов находятся решением следующей системы нормальных уравнений,
полученной путем алгебраического преобразования условия:
 
где у —
фактические (эмпирические) уровни ряда; t
—
время (порядковый номер периода или момента времени).
Расчет параметров упрощается, если за начало отсчета времени (t =
0) принять центральный интервал (момент).
При четном числе уровней (например, 4), значения t
— условного обозначения времени
будут такими (это равнозначно измерению времени не в годах, а в полугодиях):.
1996г. 1997г. 1998г. 1999г.
-3 -1 +1 +3
При нечетном числе уровней (например, 5) значения устанавливаются по-другому:
1996
г 1997г. 1998г. 1999г. 2000г.
-2 -1 0 +1 +2
В обоих случаях Σ t = 0,
так что система нормальных уравнений принимает вид:
 
Из первого уравнения 
Из второго уравнения 
Методы изучения сезонных колебаний
При сравнении квартальных и месячных данных многих социально-экономических явлений часто обнаруживаются периодические колебания,
возникающие под влиянием смены времен года. Они являются результатом влияния природно-климатических условий, общих экономических факторов, а также многочисленных и разнообразных факторов, которые часто являются регулируемыми.
K сезонным относят все явления, которые обнаруживают в своем развитии отчетливо выраженную закономерность внутригодовых изменений, т. е. более или менее устойчиво повторяющиеся из года в год колебания уровней.
В статистике периодические колебания, которые имеют определенный и постоянный период, равный годовому промежутку, носят название «сезонные колебания»
или «сезонные волны», а
динамический ряд в этом случае называют сезонным рядом динамики.
Значительной колеблемости во внутригодовой динамике подвержены денежное обращение и товарооборот. Сезонные колебания отрицательно влияют на результаты производственной деятельности, вызывая нарушения ритмичности производства.
Комплексное регулирование сезонных изменений должно основываться на исследовании сезонных колебаний.
Cуществует ряд методов изучения и измерения сезонных колебаний. Самый простой заключается в построении специальных показателей, которые называются индексами сезонности Is
Совокупность этих показателей отражает сезонную волну.
Индексами сезонности
являются процентные отношения фактических (эмпирических) внутригрупповых уровней к теоретическим (расчетным) уровням, выступающим в качестве базы сравнения.
Для того чтобы выявить устойчивую сезонную волну, на которой не отражались бы случайные условия одного года, индексы сезонности
вычисляют по данным за несколько лет (не менее трех), распределенным по месяцам.
Если ряд динамики не содержит ярко выраженной тенденции в развитии, то индексы сезонности вычисляются непосредственно по эмпирическим данным без их предварительного выравнивания.
Для каждого месяца рассчитывается средняя величина уровня, например за три года ( ), затем вычисляется среднемесячный уровень для всего ряда После чего определяется показатель сезонной волны — индекс сезонности
Is
как процентное отношение средних для каждого месяца к общему среднемесячному уровню ряда, %:
Is
= 100%.
где —
средний уровень для каждого месяца (минимум за три года);
~
среднемесячный уровень для всего ряда.
Для наглядного представления сезонной волны исчисленные индексы сезонности изображают в виде графика.
Когда уровень проявляет тенденцию к росту или снижению, то отклонения от постоянного среднего уровня могут исказить сезонные колебания. В таких случаях фактические данные сопоставляются с выравненными,
т. е. полученными аналитическим выравниванием.
Формулу для расчета индекса сезонности, %,
в этом случае можно записать так:

где u -
фактические и расчетные (выравненные) уровни одноимённых внутригодовых периодов (соответственно); п
— число лет.
Экстраполяция в рядах динамики и прогнозирование
Необходимым условием регулирования рыночных отношений является составление надежных прогнозов
развития социально-экономических явлений.
Выявление и характеристика трендов и моделей взаимосвязи создают базу для прогнозирования, т. е. для определения ориентировочных размеров явлений в будущем. Для этого используют метод экстраполяции.
Экстраполяция
это нахождение уровней за пределами изучаемого ряда, т. е. продление в будущее тенденции, наблюдавшейся в прошлом (перспективная экстраполяция). Поскольку в действительности тенденция развития не остается неизменной, то данные, получаемые путем экстраполяции ряда, следует рассматривать как вероятностные оценки.
Экстраполяцию рядов динамики осуществляют различными способами, например, экстраполируют ряды динамики выравниванием по аналитическим формулам. Зная уравнение для теоретических уровней и подставляя в него значения t
за пределами исследованного ряда, рассчитывают для t
вероятностные .
На практике результат экстраполяции прогнозируемых явлений обычно получают не точечными (дискретными), а интервальными оценками.
Для определения границ интервалов используют формулу:

tα
— коэффициент доверия по распределению Стьюдента;
-
остаточное среднее квадратическое отклонение от тренда, скорректированное по числу степеней свободы (п - т);
п —
число уровней ряда динамики;
т —
число параметров адекватной модели тренда (для уравнения
прямой т =
2
). Вероятностные границы интервала
прогнозируемого явления:

Нужно иметь в виду, что экстраполяция в рядах динамики носит не только приближенный, но и условный характер.
Число степеней свободы — число элементов статистической совокупности, вариация которых свободна (неограничена).
Стьюдент — псевдоним английского математика и статистика Уильяма С. Госсета, разработавшего метод статистических оценок и проверки гипотез
t
-распределения, не являющегося нормальным.
РЕГРЕССИОННЫЙ АНАЛИЗ СВЯЗНЫХ ДИНАМИЧЕСКИХ РЯДОВ
Многомерные временные ряды, показывающие зависимость результативного признака от одного или нескольких факторных, называют связными рядами динамики.
Применение методов наименьших квадратов для обработки рядов динамики не требует предположений о законах распределения исходных данных. Но при использовании метода наименьших квадратов для обработки связных рядов надо учитывать наличие автокорреляции (авторегрессии), которая не учитывалась при обработке одномерных рядов динамики, поскольку ее наличие способствовало более плотному и четкому выявлению тенденции развития рассматриваемого социально-экономического явления во времени.
В значительной части рядов динамики экономических процессов между уровнями существует взаимосвязь. Ее можно представить в виде корреляционной зависимости между рядами у
1
, у2
, у3,…
уn
и этим же рядом сдвинутым относительно первоначального положения на h моментов времени y 1+
h
, y 2+
h
, y3+h
…yn
+h
. Временное смещение L называется сдвигом,
а само явление взаимосвязи - автокорреляцией.
Автокорреляционная зависимость существенна между последующими и предшествующими уровнями ряда динамики.
При анализе нескольких взаимосвязанных рядов динамики важно установить наличие и степень их автокорреляции(поскольку классические методы математической статистики применимы лишь в случае независимости отдельных членов ряда между собой).
Различаются два вида автокорреляции:
1) автокорреляция в наблюдениях за одной или более переменными;
2) автокорреляция ошибок или автокорреляция в отклонениях от тренда.
Наличие последней приводит к искажению величин средних квадратических ошибок коэффициентов регрессии, что затрудняет построение доверительных интервалов для коэффициентов регрессии, а также проверку их значимости.
Автокорреляцию измеряют при помощи нециклического коэффициента автокорреляции,
который рассчитывается не только между соседними уровнями, т. е. сдвинутыми на один период, но и между сдвинутыми на любое число единиц времени (L). Этот сдвиг, именуемый временным лагом,
определяет и порядок коэффициентов автокорреляции: первого порядка (при L = 1), второго порядка (при L = 2) и т.д.
Формулу коэффициента автокорреляции можно записать следующим образом:

где , - среднее квадратическое отклонение рядов уt
и у
t
+1
соответственно.
Если значение последнего уровня (уn
) ряда мало отличается от первого (у1
), то сдвинутый ряд не укорачивается, его можно условно дополнить, принимая уn
= у1
. Тогда уt
=уt
+1
и = , поскольку рассчитываются они для одного и того же ряда. При такой замене, т. е. если t
t
+1
и 
,формула коэффициента автокорреляции примет вид:

Если ряд динамики состоит из уровней, среднее значение вторых равно нулю ( = 0), то выражение yпрощается:
.
Для суждения о наличии или отсутствии автокорреляции в исследуемом ряду фактическое значение коэффициентов автокорреляции сопоставляется с табличным (критическим) для 5%-ного или 1%-ного уровня значимости (вероятности допустить ошибку при принятии нулевой гипотезы о независимости уровней ряда).
(Одна из специальных таблиц, в которой определена критическая область проверяемой гипотезы (об отсутствии автокорреляции), составленная Р. Андерсеном в 1942 г., приведена в приложении 12.)
Если фактическое значение коэффициента автокорреляции меньше табличного, то гипотеза об отсутствии автокорреляции в ряду может быть принята. Когда же фактическое значение больше табличного, можно сделать вывод о наличии автокорреляции в ряду динамики.
Для уменьшения автокорреляции применяют различные методы. Bсе они преследуют цель исключения основной тенденции (тренда) из первоначальных данных.
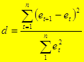
Самым распространенным примером выявления наличия автокорреляции в отклонениях от тренда или от регрессионной модели является использование критерия Дарбина - Уотсона,
который рассчитывается по формуле
где еt
=
уt
- .
Теоретическое основание применения этого критерия обусловлено тем, что в динамических рядах как сами наблюдения, так и отклонения от них распределяются в хронологическом порядке.
При условии, что отклонения уровней от тенденции (так называемые остатки) случайны, значения D, лежащие в интервале 0 - 4, всегда будут находиться ближе к 2. Если автокорреляция положительная, то D < 2; отрицательная - 2< = D < = 4. Следовательно, оценки, получаемые по критерию, являются не точечными, а интервальными. Их значения для трех уровней значимости (α = 0,01, α= 0,025 и α = 0,05) с учетом числа наблюдений даны в специальных таблицах.
Существует ряд способов исключения или уменьшения автокорреляции (авторегрессии) в рядах динамики:
а) метод включения времени в качестве дополнительного фактора;
б) метод последовательных разностей;
в) метод авторегрессионных преобразований.
Рассмотрим эти способы исключения автокорреляции (авторегрессии).
В соответствии с теоремой, доказанной Фришем и Boy, время вводится в систему связных динамических рядов в явной форме в качестве дополнительного фактора. Уровни исходных динамических рядов могут быть представлены показателями в любой форме, в том числе логарифмической, а время всегда вводится в линейной форме. Считается, что введение фактора времени исключает основную тенденцию развития всех явлений, представленных исследуемыми рядами динамики. Доказано, что введение времени аналогично использованию отклонения фактических данных от трендов.
Применение метода наименьших квадратов к обработке многомерных временных рядов не отличается от методологии применения его к обычным статистическим рядам. В рассматриваемом случае минимизируется следующее выражение:
S = min.
При исключении автокорреляции методом последовательных разностей
обработке методом наименьших квадратов подвергаются не сами уровни исходных рядов у
t
, yt
+1
, ..., Уt
+
n
, и хt
, хt
+1
, ..., xt
+
n
, а последовательные разности между ними:
Δy1
=yt
-yt
-1
; Δxt
=xt
-xt
-1
;
Δy2
=yt
-1
-yt
-2
;Δx2
=xt
-1
-xt
-2
;
…………… …………….
…………… …………….
Δyk
=yt
-
k
-yt
-
k
-1;
Δxk
=xt
-
k
-xt
-
k
-1
.
При использовании этого метода исходят из того , что все разности между уровнями динамических рядов, начиная с первой, будут содержать только случайную компоненту. Причем первые разности содержат случайную компоненту в линейной форме, вторые - описываемую параболой второго порядка, третьи - показательной функцией.
Метод авторегрессионных преобразований заключается в том, что определяют уравнение связи между отклонениями от тенденций двух связных рядов динамики:
   
 
…………. ………….
………… ………….
 
В этом случае также получают уравнения регрессии, не искаженные влиянием автокорреляции.
Введение времени в качестве дополнительной переменной является наиболее действенным способом обработки связных рядов динамики. При линейной связи между исследуемыми рядами этот способ более точен, чем использование последовательных разностей или отклонений от трендов.
При обработке методом наименьших квадратов последовательных разностей или отклонений от трендов обрабатываются чисто случайные величины.
КОРРЕЛЯЦИЯ РЯДОВ ДИНАМИКИ
При изучении развития явления во времени возникает необходимость оценить степень взаимосвязи в изменениях уровней двух или более рядов динамики различного содержания, но связанных между собой. Эта задача решается методами коррелирования:
1) уровней ряда динамики;
2) отклонений фактических уровней от тренда;
3) последовательных разностей, т. е. путем исчисления парного коэффициента корреляции.
Коррелирование уровней
ряда динамики правильно показывает тесноту связи между рядами динамики лишь в том случае, если в каждом из них отсутствует автокорреляция.
В этом случае величину коэффициента корреляции находят по формуле

где хi
- уровни факторного ряда динамики;
уi
- уровни результативного ряда динамики.
Следовательно, прежде чем коррелировать ряды динамики (по уровням), необходимо проверить каждый из рядов на наличие или отсутствие в них автокорреляции (при помощи коэффициента автокорреляции). В случае наличия автокорреляции между уровнями ряда последняя должна быть устранена.
Рассмотрим способы ее исключения в рядах динамики. Коррелирование отклонений от выравненных уровней (тренда).
Этот способ состоит в том, что коррелируют не сами уровни, а отклонения фактических уровней от выравненных, отражающих тренд, т. е. коррелируют остаточные величины. Для этого каждый ряд динамики выравнивают по определенной, характерной для него аналитической формуле, затем из эмпирических уровней вычитают выравненные (т. е. находят dx
= хt
- ;dy
= уt
- ;) и определяют тесноту связи между рассчитанными отклонениями (dx
и dy
) по формуле

Коррелирование последовательных разностей.
Исключить влияние автокорреляции можно путем вычитания из каждого уровня предшествующего ему, т. е. находя разности уровней (уi
–у
i
-1
).При переходе от уровней к их разностям исключается влияние общей тенденции на колеблемость. При этом при изменении уровней по прямой можно коррелировать первые разности, при изменении по параболе n-го порядка - n-е разности. Формула коэффициента разностей, используемая для измерения тесноты связи между исследуемыми рядами, имеет вид:

Коэффициент корреляции, рассчитанный для измерения тесноты зависимости изменения уровней двух рядов, является средним, обобщающим показателем. Однако для длительного периода эта зависимость может меняться во времени. Поэтому чтобы судить о том, в какие периоды зависимость между изменениями уровней двух рядов слабая или сильная, надо рассчитывать серию скользящих коэффициентов корреляции для определенного интервала времени.
|