Банк рефератов содержит более 364 тысяч рефератов, курсовых и дипломных работ, шпаргалок и докладов по различным дисциплинам: истории, психологии, экономике, менеджменту, философии, праву, экологии. А также изложения, сочинения по литературе, отчеты по практике, топики по английскому.
Реклама
Полнотекстовый поиск
Всего работ:
364139
Теги названий
Реклама
VisitTime.ru помогает быстро организовать онлайн-запись клиентов и держать расписание под контролем.
📅 Настройте услуги и длительность приёма, откройте свободные окна — и клиенты запишутся сами в пару кликов.
🕒 Вы избегаете накладок, меньше тратите времени на переписки и звонки, а автоматические напоминания повышают явку.
💡 Отличное решение для мастеров, студий и сервисных команд, которым важны порядок и стабильная загрузка.
Начать пользоваться сервисом



Разделы
Авиация и космонавтика (304)
Административное право (123)
Арбитражный процесс (23)
Архитектура (113)
Астрология (4)
Астрономия (4814)
Банковское дело (5227)
Безопасность жизнедеятельности (2616)
Биографии (3423)
Биология (4214)
Биология и химия (1518)
Биржевое дело (68)
Ботаника и сельское хоз-во (2836)
Бухгалтерский учет и аудит (8269)
Валютные отношения (50)
Ветеринария (50)
Военная кафедра (762)
ГДЗ (2)
География (5275)
Геодезия (30)
Геология (1222)
Геополитика (43)
Государство и право (20403)
Гражданское право и процесс (465)
Делопроизводство (19)
Деньги и кредит (108)
ЕГЭ (173)
Естествознание (96)
Журналистика (899)
ЗНО (54)
Зоология (34)
Издательское дело и полиграфия (476)
Инвестиции (106)
Иностранный язык (62791)
Информатика (3562)
Информатика, программирование (6444)
Исторические личности (2165)
История (21319)
История техники (766)
Кибернетика (64)
Коммуникации и связь (3145)
Компьютерные науки (60)
Косметология (17)
Краеведение и этнография (588)
Краткое содержание произведений (1000)
Криминалистика (106)
Криминология (48)
Криптология (3)
Кулинария (1167)
Культура и искусство (8485)
Культурология (537)
Литература : зарубежная (2044)
Литература и русский язык (11657)
Логика (532)
Логистика (21)
Маркетинг (7985)
Математика (3721)
Медицина, здоровье (10549)
Медицинские науки (88)
Международное публичное право (58)
Международное частное право (36)
Международные отношения (2257)
Менеджмент (12491)
Металлургия (91)
Москвоведение (797)
Музыка (1338)
Муниципальное право (24)
Налоги, налогообложение (214)
Наука и техника (1141)
Начертательная геометрия (3)
Оккультизм и уфология (8)
Остальные рефераты (21692)
Педагогика (7850)
Политология (3801)
Право (682)
Право, юриспруденция (2881)
Предпринимательство (475)
Прикладные науки (1)
Промышленность, производство (7100)
Психология (8692)
психология, педагогика (4121)
Радиоэлектроника (443)
Реклама (952)
Религия и мифология (2967)
Риторика (23)
Сексология (748)
Социология (4876)
Статистика (95)
Страхование (107)
Строительные науки (7)
Строительство (2004)
Схемотехника (15)
Таможенная система (663)
Теория государства и права (240)
Теория организации (39)
Теплотехника (25)
Технология (624)
Товароведение (16)
Транспорт (2652)
Трудовое право (136)
Туризм (90)
Уголовное право и процесс (406)
Управление (95)
Управленческие науки (24)
Физика (3462)
Физкультура и спорт (4482)
Философия (7216)
Финансовые науки (4592)
Финансы (5386)
Фотография (3)
Химия (2244)
Хозяйственное право (23)
Цифровые устройства (29)
Экологическое право (35)
Экология (4517)
Экономика (20644)
Экономико-математическое моделирование (666)
Экономическая география (119)
Экономическая теория (2573)
Этика (889)
Юриспруденция (288)
Языковедение (148)
Языкознание, филология (1140)

Реферат: Оценка стоимости недвижимости затратным подходом

Название: Оценка стоимости недвижимости затратным подходом
Раздел: Рефераты по экономике
Тип: реферат Добавлен 11:24:27 13 июня 2011 Похожие работы
Просмотров: 295 Комментариев: 22 Оценило: 2 человек Средний балл: 5 Оценка: неизвестно     Скачать

Содержание:

1. Оценка стоимости недвижимости затратным подходом…………………………………………………………………………………….……3

2. Оценка восстановительной стоимости………………………………………….4

3. Методы определения восстановительной стоимости………………….5

4. Общие положения по определению стоимости строительства…..7

5. Методы определения полных затрат при составлении смет……….8

6. Определение износа объекта недвижимости……………………………….10

7. Список использованной литературы……………………………………………..18

Оценка стоимости недвижимости затратным подходом

Затратный подход предполагает оценку имущественного комплекса, состоящего из земельного участка и созданных на нем улучшений, на основе расчета затрат, необходимых при его воссоздании на конкретную дату (дату оценки). При этом необходимо учитывать износ (обесценение) оцениваемых улучшений со временем эксплуатации под воздействием различных факторов. Расчет стоимости земельного участка должен производиться с учетом принципа "наилучшего и наиболее эффективного использования".

В основу затратного подхода положен принцип "замещения", согласно которому благоразумный покупатель не станет платить за объект дороже по сравнению с затратами на приобретение соответствующего участка под застройку и возведение аналогичного по своему назначению, качеству и полезности объекта недвижимости в приемлемый период времени.

Рассматриваемый подход в оценке недвижимости обычно приводит к объективным результатам при условии достаточно точной оценки затрат на строительство идентичного (аналогичного) объекта с последующим учетом износа оцениваемого объекта.

Технология применения затратного подхода включает в себя следующие этапы:
1. Оценка восстановительной стоимости оцениваемого здания.
2. Оценка величины предпринимательской прибыли (прибыли инвестора).
3. Расчет выявленных видов износа.
4. Оценка рыночной стоимости земельного участка.
5. Расчет итоговой стоимости объекта оценки путем корректировки восстановительной стоимости на износ с последующим увеличением полученной величины на стоимость земельного участка.

Необходимо помнить также и о том, что во многих случаях затратный подход в оценке недвижимости не показывает рыночную стоимость, поскольку существуют понятийные различия в терминах "затраты" и "стоимость". Понесенные инвестором затраты не всегда создадут рыночную стоимость из-за разницы в издержках на воссоздание сопоставимых объектов и напротив - создаваемая стоимость не всегда бывает адекватной понесенным затратам. Прежде всего, это касается объектов недвижимости, целью владения которой является получение дохода.

Вывод о величине рыночной стоимости оцениваемого объекта делается оценщиком после тщательного сравнительного анализа результатов по каждому из использованных подходов, учитывая специфику и приоритетность того метода или методов, которые расценены оценщиком как наиболее логичные и приемлемые в каждом конкретном случае.

Исходя из вышесказанного, можно определить следующие ситуации, где для применения затратного подхода имеются предпочтительные, а порой и единственные основания:

Оценка новых или недавно построенных объектов. В данном случае стоимость строительства таких объектов (с учетом прибыли инвестора), как правило, более близка к рыночной стоимости.

Реклама

Анализ наилучшего и наиболее эффективного использования земельного участка. Наилучшее и наиболее аффективное использование - это такое использование не занятого земельного участка или земельного участка с улучшениями, которое является физически возможным, юридически допустимым, осуществимым с финансовой точки зрения и обеспечивает получение максимально возможного дохода. Производимые экспертом расчеты по возможно более эффективному использованию (относительно текущего) во многих случаях позволяют повысить инвестиционную привлекательность оцениваемого имущественного комплекса в глазах потенциального инвестора.

Технико-экономическое обоснование нового строительства. Технико-экономический анализ нового строительства позволяет сделать вывод об экономической целесообразности вложения инвестиций на основе прогнозируемого уровня дохода от будущей эксплуатации конкретного объекта.

Оценка объектов незавершенного строительства. Оценка объектов незавершенного строительства носит специфический характер и производится в основном затратным подходом Метод сравнительного анализа продаж не применим но причине отсутствия необходимой информации по аналогичным объектам. Доходный подход может быть применен с целью, указанной в предыдущей ситуации.

Оценка в целях выделения объектов налогообложения (здание, земельный участок). Затратный подход позволяет выделить объекты налогообложения, поскольку предполагает отдельную оценку земельного участка и находящихся на нем улучшений.

Оценка в целях страхования. Затратный подход позволяет разделить в стоимостном выражении страхуемые объекты (здания, улучшения) и не страхуемые (земля).

Переоценка основных фондов предприятий.

Недостаток информации для применения других подходов к оценке. Недостаток информации для применения других подходов к оценке недвижимости ощущается при неразвитых или слабоактивных сегментах рынка недвижимости, что характерно на данный момент для большинства регионов России.

ОЦЕНКА ВОССТАНОВИТЕЛЬНОЙ СТОИМОСТИ

Восстановительная стоимость (ВС) - рассчитываемая в текущих ценах стоимость строительства оцениваемого объекта недвижимости как нового, без учета износа и соотнесенная к дате оценки. Восстановительная стоимость может рассчитываться на базе стоимости воспроизводства или стоимости замещения. При этом перед оценщиком стоит проблема обоснованного выбора расчета указанных стоимостей и, как следствие, соответствующих методик их определения.

Реклама

Под стоимостью воспроизводства подразумевают затраты на строительство в текущих ценах на действительную дату оценки точной копии оцениваемого здания, используя такие же строительные материалы, стандарты и проект.

Стоимость замещения - определяется затратами на строительство в текущих ценах на действительную дату оценки объекта одинаковой полезности с использованием современных материалов, стандартов, проектов и архитектурных решений.

Как видно из приведенных определений, более предпочтительным является расчет стоимости "воспроизводства", поскольку в противном случае рассчитываются затраты на строительство здания, отличающегося от оцениваемого по многим характеристикам. При этом оценка разницы в полезности сравниваемых зданий носит весьма субъективный характер.

С другой стороны, выбор расчета стоимости "замещения" может быть также обоснованным по причине имеющегося у оцениваемого здания признаков прежде всего функционального износа, что не может не снижать коммерческую привлекательность для потенциального покупателя. В общем случае выбор между стоимостью "воспроизводства" и стоимостью "замещения" зависит от многих факторов: цели оценки, количества и качества собранной информации об объекте оценки, его физических характеристик и т.д.

Полная восстановительная стоимость (ПВС) - восстановительная стоимость основных фондов с учетом сопутствующих затрат, необходимых для начала эксплуатации активов и отражаемая в балансовой стоимости (большей частью актуальна для активной части основных фондов). Согласно теории оценочных стоимостей ПВС относится к блоку оценочных стоимостей "в пользовании".
В основе определения восстановительной стоимости лежит расчет затрат, связанных со строительством объекта и сдачей его заказчику. В зависимости от порядка учета этих затрат в себестоимости строительства принято выделять прямые и косвенные затраты.

Прямые затраты это затраты, непосредственно связанные со строительством, и в общем случае включают в себя:
- стоимость строительных материалов, изделий и оборудования;
- заработную плату рабочих;
- стоимость сопутствующих строительству сооружений и инженерных сетей;
- стоимость коммунальных услуг;
- стоимость доставки и хранения материалов и пр.

Косвенные затраты - это расходы, сопутствующие, но не относящиеся непосредственно к строительству. Косвенные затраты обычно включают в себя:
- стоимость инвестиций в землю;
- гонорары проектно-сметным организациям;
- маркетинговые, страховые и рекламные расходы и другие затраты.

К косвенным расходам относят и накладные расходы.
Накладные расходы - денежные средства, необходимые для создания общих условий строительного производства, его организации и обслуживания.

Прибыль застройщика (инвестора) - представляет собой предпринимательский доход, отражающий вознаграждение инвестору за риск, связанный с реализацией строительного проекта.

МЕТОДЫ ОПРЕДЕЛЕНИЯ ВОССТАНОВИТЕЛЬНОЙ СТОИМОСТИ

В зависимости от цели оценки и, как следствие, закладываемой точности расчетных процедур, существует несколько способов определения восстановительной стоимости:
- Метод сравнительной единицы.
- Метод разбивки по компонентам.
- Метод количественного обследования.
- Метод сравнительной единицы.

Данный метод предполагает расчет стоимости строительства сравнительной единицы (1 кв. метр, 1 куб. метр) аналогичного здания. Стоимость сравнительной единицы аналога должна быть скорректирована на имеющиеся различия в сравниваемых объектах (планировка, оборудование, права собственности и т.д.). Для расчета полной стоимости оцениваемого объекта скорректированная стоимость единицы сравнения умножается на количество единиц сравнения (площадь, объем). Для определения величины затрат обычно применяются различные справочные и нормативные материалы (УПСС, УПВС и т.д.).

В качестве примера рассмотрим расчет стоимости объекта недвижимости, когда в качестве сравнительной единицы выбрана стоимость квадратного метра типичного сооружения. Расчет может быть произведен по следующей формуле:

Со = С1 кв. м *So *Кп*Кн*Км*Кв*Кпз*Кндс,

где Со - стоимость оцениваемого объекта;
Скв.м - стоимость 1 кв. м типичного сооружения на базовую дату;
So - площадь оцениваемого объекта (количество единиц сравнения);
Кп - коэффициент, учитывающий несоответствие данных по площади объекта, полученных в БТИ (Бюро технической инвентаризации), строительной площади (Кп " (1,1 - 1,2);
Кн - коэффициент, учитывающий имеющееся отличия между оцениваемым объектом и выбранным типичным сооружением (для идентичного объекта Кн-1);
Км - коэффициент, учитывающий местоположение объекта;
Кв - коэффициент времени, учитывающий изменение стоимости строительно-монтажных работ (СМР) в период между базовой датой и датой на момент оценки;
Пз - коэффициент, учитывающий прибыль застройщика (%);
Кндс - коэффициент, учитывающий НДС (%).

Важным этапом при использовании этого метода является выбор типичного объекта (аналога). При отборе аналога необходимо учитывать единое функциональное назначение, близость физических характеристик (класс конструктивных систем), сопоставимый хронологический возраст сравниваемых объектов и другие характеристики. Поскольку в большинстве случаев базой для сравнения является стоимость сравнительной единицы не идентичного объекта, а близкого аналога, то рассчитанная по методу сравнительной единицы стоимость объекта будет считаться стоимостью замещения.

Информационной базой для приведенной методики расчета может являться ежеквартальное издание КО-ИНВЕСТ "Индексы цен в строительстве", представляющее собой межрегиональный информационно-аналитический бюллетень, из которого можно получить информацию о динамике текущих и прогнозных цен на здания, сооружения, строительно-монтажные работы, материалы, конструкции, технологическое оборудование по всем регионам России.
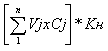
Метод разбивки по компонентам. Отличие данного метода от предыдущего заключается в том, что стоимость всего здания рассчитывается как сумма стоимостей его отдельных строительных компонентов фундаментов, стен, перекрытий и т.п. Стоимость каждого компонента получают исходя из суммы прямых и косвенных затрат, необходимых для устройства единицы объема. Стоимость всего здания рассчитывают по формуле:

Сзз =

где Сзд - стоимость строительства здания в целом;
Vj - объем j-ro компонента;
Cj - стоимость единицы объема;
n - количество выделенных компонентов здания;
Кн - коэффициент, учитывающий имеющиеся отличия между оцениваемым объектом и выбранным типичным сооружением (для идентичного объекта Кн-1);
Ки - коэффициент, учитывающий совокупный износ.

Могут применяться несколько вариантов использования метода разбивки по компонентам:
- метод субподряда;
- разбивка по профилю работ;
- выделения затрат.

Метод субподряда основан на том, что строитель-генподрядчик нанимает субподрядчиков для качественного и быстрого выполнения части строительных работ. Затем рассчитываются суммарные затраты по всем субподрядчикам.

Метод разбивки по профилю аналогичен методу субподряда. В данном случае рассчитываются затраты на найм отдельных специалистов (каменщиков, штукатуров, плотников и др.) Метод выделенных затрат предполагает использование разных единиц сравнения для оценки различных компонентов зданий, после чего эти оценки суммируются.

Метод количественного обследования. Этот метод основан на детальном количественном и стоимостном расчете затрат на монтаж отдельных компонентов, оборудования и строительства здания в целом. Кроме расчета прямых затрат, необходим учет накладных расходов и иных затрат. Иными словами, составляется полная смета воссоздания оцениваемого объекта.

Метод количественного обследования является базой для применения вышеизложенных методик расчета восстановительной стоимости и показывает наиболее точные результаты по сравнению с ними, однако является наиболее трудоемким и требующим от оценщика углубленной теоретической подготовки и значительного практического опыта.

ОБЩИЕ ПОЛОЖЕНИЯ ПО ОПРЕДЕЛЕНИЮ СТОИМОСТИ СТРОИТЕЛЬСТВА

Стоимость строительства зданий и сооружений определяется величиной инвестиций, необходимых для его осуществления. Стоимость строительства, как правило, определяется на стадии предпроектных проработок (ТЭО строительства).

Сметная стоимость строительства зданий и сооружений - это сумма денежных средств, необходимых для его осуществления в соответствии с проектными материалами.

На основе сметной стоимости производится расчет размера капитальных вложений, финансирования строительства, а также формирования свободных (договорных) цен на строительную продукцию.
Базой для расчета сметной стоимости строительства являются:
- проект и рабочая документация (РД);
- действующие сметные (в том числе ресурсные) нормативы, а также отпускные цены на оборудование, мебель и инвентарь;
- отдельные, относящиеся к соответствующей стройке, решения центральных и других органов государственного управления.

В случае отсутствия необходимых сметных нормативов в имеющейся нормативно-информационной базе в ряде случаев могут составляться индивидуальные сметные нормы.

В соответствии с технологической структурой капитальных вложений и существующим порядком деятельности строительных организаций сметная стоимость строительства включает в себя следующие элементы:
- строительные работы;
- работы по монтажу оборудования (монтажные работы);
- затраты на приобретение (изготовление) оборудования, мебели и инвентаря;
прочие затраты.

Для определения сметной стоимости строительства составляется сметная документация, состоящая из локальных смет и локальных сметных расчетов, объектных смет и объектных сметных расчетов, сметных расчетов на отдельные виды затрат, сводных сметных расчетов стоимости строительства, сводок затрат и других документов.

Локальные сметы являются первичными сметными документами, которые составляются на отдельные виды работ и затрат по зданиям и сооружениям, а также по общеплощадочным работам на основе разработанной рабочей документации.

Объектные счеты аккумулируют данные локальных смет и представляют собой сметные документы, позволяющие формировать сводные (договорные) цены на строительную продукцию.

Сводные сметные расчеты стоимости строительства составляются на основе объектных смет и сметных расчетов на отдельные виды затрат. Структура сводного сметного расчета стоимости строительства включает в себя 12 глав:
1. Подготовка территории строительства.
2. Основные объекты строительства.
3. Объекты подсобного и обслуживающего назначения.
4. Объекты транспортного хозяйства и связи.
5. Объекты энергетического хозяйства.
6. Наружные сети и сооружения.
7. Благоустройство территории строительства.
8. Временные здания и сооружения.
9. Прочие работы и затраты.
10. Содержание дирекции (технический надзор).
11. Подготовка эксплуатационных кадров.
12. Проектные и изыскательские работы.

Нормативно-информационная база в системе ценообразования н сметного нормирования в строительстве Действующая система ценообразования и сметного нормирования в строительстве включает в себя строительные нормы и правила - часть 4 СниП и другие сметные нормативные документы. Главное назначение сметных норм состоит в определении нормативного количества ресурсов, требующихся для выполнения определенного вида работ и, как следствие, их стоимостных показателей.

Классификация сметных нормативов, формирующих сметно-нормативную (нормативно-информационную) базу системы ценообразования и сметного нормирования в строительстве, возможна по трем признакам; структуре, времени опубликования и степени укрупнения.

Методы определения полных затрат при составлении смет

Сметы (расчеты) инвестора и подрядчика могут составляться различными методами, выбор которых осуществляется в каждом конкретном случае в зависимости о" договорных условий и общей экономической ситуации.

При составлении сметной документации рекомендуется использовать сметно-нормативную (нормативно-информационную) базу, введенную в действие с 1 января 1991 г. и уточняемую в последующем под методическим руководством Госстроя России, однако практикующими оценщиками также используется и сметно-нормативная (нормативно-информационная) "база 1984 года, привлекательность использования которой вызвана наиболее детальной разработкой.

Стоимость строительства в сметной документации инвестора рекомендуется приводить в двух уровнях цен:
- в базисном (постоянном) уровне, определяемом на основе действующих на момент разработки сметных норм и цен,
- в текущем или прогнозном уровне, определяемом на основе цен, сложившихся ко времени составления смет или прогнозируемых к периоду осуществления строительства.

Для определения стоимости строительства на различных стадиях инвестиционного процесса в текущем (прогнозном) уровне цен рекомендуется использовать систему текущих и прогнозных индексов, дифференцированную по элементам технологической структуры капитальных вложений и по уровню укрупнения строительной продукции.

Подробные положения по указанным индексам приведены в Методических рекомендациях (письмо Госстроя России от 31 05.93 № 12-133).

При составлении смет (расчетов) инвестора и подрядчика на альтернативной основе могут применяться следующие методы расчета затрат:
- ресурсный;
- ресурсно-индексный;
- базисно-индексный;
- базисно-компенсационный;
- на основе банка данных о стоимости ранее построенных или запроектированных объектов-аналогов.

Ресурсный - расчет в текущих (прогнозных) ценах и тарифах ресурсов (элементов затрат), необходимых для реализации проектного решения.
Ресурсный метод рынка приобретает приоритетное значение и применяется в соответствии с положениями, изложенными в Методических рекомендациях (письмо Минстроя России от 10.11.92 № БФ-926/12).

Общая структура затрат при расчете сметной стоимости ресурсным методом:

1. Строительно-монтажные работы
1.1. Стоимость строительных материалов, изделий и конструкций - рассчитывается в соответствии с расходом по проектной документации, нормативными материалами и на основе данных предприятий оптовой торговли соответствующего региона на дату оценки.
1.2. Заработная плата основных рабочих - рассчитывается обычно в процентном отношении к стоимости строительных материалов с учетом среднестатических данных по строительству аналогичных объектов в данном регионе.
1.3. Эксплуатационные затраты - стоимость коммунальных услуг, эксплуатация машин и механизмов, доставка и хранение материалов и пр.
1.4. Стоимость сопутствующих строительству временных сооружений и инженерных сетей.

ПРЯМЫЕ ЗАТРАТЫ

1.5 Накладные расходы.

ЗАТРАТЫ ПОДРЯДЧИКА

1.6 Прибыль подрядчика.

ЦЕНА ПОДРЯДЧИКА (восстановительная стоимость строительно-монтажных работ).

2. Стоимость инженерного оборудования.
3. Косвенные затраты инвестора.
3.1 Инвестиции в землю.
3.2. Оплата услуг просктно-сметных организаций.
3.3. Маркетинговые, рекламные, страховые затраты.
3.4. Текущие расходы в период между окончанием строительства и продажей объекта.
3.5 Прочие затраты.
3.6 Налоги.

ВСЕГО ЗАТРАТЫ ИНВЕСТОРА

4. Прибыль инвестора.

ВОССТАНОВИТЕЛЬНАЯ СТОИМОСТЬ

Ресурсно-индексный метод - это сочетание ресурсного метода с системой индексов на ресурсы, используемые в строительстве.

Индексы стоимости (цен, затрат) - относительные показатели, определяемые соотношением текущих (прогнозных) стоимостных показателей и базовых стоимостных показателей на сопоставимые по номенклатуре ресурсы.

Из множества возможных разновидностей данного метода рекомендуется к применению метод определения сметной стоимости строительства на базе показателей на отдельные виды работ (НВР) (письмо Госстроя России от 04.06.93 № 12-146).

Базисно-индексиый метод - перерасчет затрат по строкам сметы из базисного уровня цен в текущий уровень цен при помощи индексов. Принципы использования данного метода приведены в Методических рекомендациях (письмо Госстроя России от 31.05.93 №12-133).

Базисно-компенсационный - суммирование стоимости, исчисленной в базисном уровне сметных цен и определяемых расчетами дополнительных затрат, связанных с изменением цен и тарифов на используемые ресурсы в процессе строительства.

Следует отметить, что до наступления стабилизации экономической ситуации и формирования соответствующих рыночных структур наиболее приоритетными методами расчета сметной стоимости являются ресурсный и ресурсно-индексный. В практической деятельности экспертами большей популярностью пользуется базисно-индексный метод расчета сметной стоимости.

Определение износа объекта недвижимости

Общие понятия и терминология

Износ характеризуется уменьшением полезности объекта недвижимости, его потребительской привлекательности с точки зрения потенциального инвестора и выражается в снижении стоимости (обесценении) под воздействием различных факторов со временем. По мере эксплуатации объекта постепенно ухудшаются параметры, характеризующие конструктивную надежность зданий и сооружений, а также их функциональное соответствие текущему и, тем более, будущему использованию, связанных с жизнедеятельностью человека. Кроме того, на стоимость недвижимости в не меньшей степени оказывают влияние и внешние факторы, обусловленные изменением рыночной среды, наложением ограничений на определенное использование зданий и т.д.

Износ (И) обычно измеряют в процентах, а стоимостным выражением износа является обесценение (О).

В зависимости от причин, вызывающих обесценение объекта недвижимости, выделяют следующие виды износа: физический, функциональный и внешний.

Классификация износа объектов недвижимости

1

ИЗНОС

1

Физический

Функциональный

Внешний
(экономический)

а) устранимый
б) неустранимый

а) устранимый
б) неустранимый

как правило
неустранимый

Для каждого вида износа характерно его подразделение: устранимый и неустранимый. В самом общем случае устранимым износом называют износ, устранение которого физически возможно и экономически целесообразно. При этом экономическая целесообразность состоит в том, что производимые затраты на устранение того или иного вида износа должны способствовать повышению стоимости объекта в целом.

При выявлении всех обозначенных видов износа говорят об общем накопленном износе объекта недвижимости В стоимостном выражении совокупный износ представляет собой разницу между восстановительной стоимостью и рыночной ценой оцениваемого объекта.
Исходя из сути данных определений, можно утверждать, что общий накопленный износ является, прежде всего, функцией времени жизни объекта. Учитывая это обстоятельство, рассмотрим суть основных оценочных понятий, характеризующих этот показатель:
Физическая жизнь здания (ФЖ) - определяется периодом эксплуатации здания, в течение которого состояние несущих конструктивных элементов здания соответствует определенным критериям (конструктивная надежность, физическая долговечность и т.п.). Срок физической жизни объекта закладывается при строительстве и зависит от группы капитальности зданий. Физическая жизнь заканчивается, когда объект сносится.
Хронологический возраст (ХВ) - это период времени, прошедший со дня ввода объекта в эксплуатацию до даты оценки.
Экономическая жизнь (ЭЖ) - определяется временем экс нлуатации, в течение которого объект приносит доход. В этот период производимые улучшения вносят вклад в стоимость объекта. Экономическая жизнь объекта заканчивается, когда эксплуатация объекта не может принести доход, обозначенный соответствующей ставкой но сопоставимым объектам в данном сегменте рынка недвижимости. При этом производимые улучшения уже не вносят вклад в стоимость объекта вследствие его общего износа.
Эффективный возраст (ЭВ) - определяется на основе хронологического возраста здания с учетом его технического состояния и сложившихся на дату оценки экономических факторов, влияющих на стоимость оцениваемого объекта. В зависимости от особенностей эксплуатации здания эффективный возраст может отличаться от хронологического возраста в большую или меньшую сторону. В случае нормальной (типичной) эксплуатации здания эффективный возраст, как правило, равен хронологическому.
Оставшийся срок экономической жизни (ОСЭЖ) здания составляет период времени от даты оценки до окончания его экономической жизни.

Субъективность определения таких показателей, как срок экономической жизни и эффективный возраст, требует от оценщика достаточно высокой квалификации и немалого практического опыта. Износ в оценочной практике необходимо отличать по смыслу от подобного термина, используемого в бухгалтерском учете (амортизации). Смысл амортизации в бухгалтерском учете состоит в регулярном распределении первоначальных вложений в объект (балансовой стоимости) на весь период его эксплуатации согласно нормам амортизационных отчислений на "полное" восстановление основных фондов. Оценочный износ является одним из основных параметров, позволяющих рассчитать текущую (фактическую) стоимость объекта оценки на конкретную дату.

Физический износ

Физический износ представляет собой постепенную утрату изначально заложенных при строительстве технико-эксплуатационных качеств объекта под воздействием природно-климатических факторов, а также жизнедеятельности человека.

Выделяют следующие методы расчета физического износа зданий:
- нормативный (для жилых зданий);
- стоимостной;
- метод срока жизни.

Нормативный метод расчета физического износа

Нормативный метод расчета физического износа предполагает использование различных нормативных инструкций межотраслевого или ведомственного уровня. В качестве примера таких инструкций можно назвать "Правила оценки физического износа жилых зданий" ВСН 53-86 Госгражданстроя (Государственный комитет по гражданскому строительству и архитектуре при ГОССТРОЕ СССР. Москва 1990), применяемые Бюро техниче ской инвентаризации в целях оценки физического износа жилых зданий при технической инвентаризации, планировании капитального ремонта жилищного фонда независимо от его ведомственной принадлежности.

В указанных правилах дана характеристика физического износа различных конструктивных элементов зданий и их оценка.

Физический износ здания следует определять по формуле:

Fф =

где Fф - физический износ здания, (%);
Fi - физический износ i-ro конструктивного элемента (%);
Li - коэффициент, соответствующий доле восстановительной стоимости i-ro конструктивного элемента в общей восстановительной стоимости здания;
n - количество конструктивных элементов в здании.

Доли восстановительной стоимости отдельных конструкций, элементов и систем в общей восстановительной стоимости здания (в %) обычно принимают по укрупненным показателям восстановительной стоимости жилых зданий, утвержденных в установленном порядке, а для конструкций, элементов и систем, не имеющих утвержденных показателей, - по их сметной стоимости.

Описанная методика применяется исключительно в отечественной практике. При всей ее наглядности и убедительности ей присущи следующие недостатки:
" по причине своей "нормативности" изначально не может учесть нетипичные условия эксплуатации объекта;
" трудоемкость применения по причине необходимой детализации конструктивных элементов здания;
" невозможность измерения функционального и внешнего из носа;
" субъективность удельного взвешивания конструктивных элементов.

Стоимостной метод определения физического износа

Физический износ на момент его оценки выражается соотношением стоимости объективно необходимых ремонтных мероприятий, устраняющих повреждения конструкций, элемента, системы или здания в целом, и их восстановительной стоимости.

Суть стоимостного метода определения физического износа заключается в определении затрат на воссоздание элементов здания.

Описанная методика позволяет рассчитать износ элементов и здания в целом сразу в стоимостном выражении, что является более предпочтительным по сравнению с другими методами расчета физического износа. Кроме того, поскольку расчет обесценения производится на основе разумных фактических затрат на доведение изношенных элементов до "практически нового состояния", результат но данному подходу можно считать достаточно точным. Среди недостатков, присущих данной методике, необходимо отметить обязательную детализацию и точность расчета затрат на проведение ремонта изношенных элементов здания.

Определение физического износа зданий методом срока жизни

Исходя из сути ранее рассмотренных основных оценочных понятий, характеризующих общий накопленный износ здания с точки зрения времени его эксплуатации, можно утверждать, что физический износ, эффективный возраст и срок экономической жизни находятся в определенном соотношении. Это соотношение можно выразить следующей формулой:

И(%)=(ЭВ/ФЖ)(100-(ЭВ/ОВ+ОСФЖ))/100 (1);

где: И(%) - износ в процентах;
ЭВ - эффективный возраст, определяемый экспертом на основе технического состояния элементов или здания в целом;
ФЖ - типичный срок физической жизни;
ОСФЖ - оставшийся срок физической жизни.

При этом физический износ может рассчитываться как для отдельных элементов здания с последующим суммированием рассчитанных обесценений, так и для здания в целом. Иногда для приближенных расчетов износа эксперты-оценщики могут использовать также упрощенную формулу, учитывающую взаимосвязь между хронологическим возрастом и физической жизнью здания:

И(%) = (ХВ/ФЖ)/100 (2);

где: И(%) - износ в процентах;
ФЖ - типичный срок физической жизни.

Применение данной формулы (2) также актуально при расчете процентных поправок на износ в сравниваемых объектах (метод сравнительных продаж), когда оценщику не представляется возможным произвести осмотр выбранных аналогов для определения показателей, используемых в расчетной формуле (1).

Рассчитанный таким образом процент износа элементов или здания в целом может быть переведен в стоимостное выражение (обесценение):

О= ВС *(И/100);

где: И - износ в процентах; ВС - восстановительная стоимость.

Как отмечалось ранее, физический износ подразделяют на устранимый и неустранимый износ. Кроме того, на практике элементы сооружения, имеющие устранимый и неустранимый физический износ, делят на долгоживущие и короткоживущие.

Короткоживущие элементы - элементы, имеющие меньший срок жизни, чем все сооружение в целом (кровля, сантехническое оборудование и т.п.).

У долгоживущих элементов ожидаемый срок жизни сопоставим со сроком жизни и всего сооружения (фундамент, несущие стены и т. д.).

Устранимый физический износ короткоживущих элементов

Причиной возникновения устранимого физического износа является естественное изнашивание элементов здания со временем, а также небрежная эксплуатация В этом случае цена продажи здания соответствующее обесценению, поскольку будущему собственнику необходимо будет произвести "ранее отложенный ремонт", чтобы восстановить нормальные эксплуатационные характеристики сооружения (текущий ремонт внутренних помещений, восстановление участков протекающей кровли и т.д.). При этом предполагается, что элементы восстанавливаются до "практически нового" состояния.

Итак, устранимый физический износ в денежном выражении определен как "стоимость отложенного ремонта", т.е. затрат по доведению объекта до состояния, эквивалентного первоначальному.

Неустранимый физический износ компонентов с коротким сроком жизни

Неустранимый физический износ элементов с коротким сроком жизни представляет собой затраты на восстановление этих быстроизнашивающихся компонентов и определяется разницей между восстановительной стоимостью и величиной устранимого износа, умноженной на соотношение хронологического возраста и срока физической жизни этих элементов.

Устранимый физический износ элементов с долгим сроком жизни

Устранимый физический износ элементов с долгим сроком жизни в стоимостном выражении может быть определен разумными затратами на его устранение подобно устранимому физическому износу элементов с коротким сроком жизни (см. табл.).

Неустранимый физический износ элементов с долгим сроком жизни

Неустранимый физический износ элементов с долгим сроком жизни определяется разницей между восстановительной стоимостью всего здания и суммы устранимого и неустранимого износа, умноженной на соотношение хронологического возраста и срока физической жизни здания.

Функциональный износ

Признаками функционального износа в оцениваемом здании, как правило, являются несоответствие его объемно-планировочного и/или конструктивного решения современным стандартам, включая различное оборудование, необходимое для нормальной эксплуатации сооружения в соответствии с его текущим или предполагаемым использованием.

В зависимости от физической возможности и экономической целесообразности устранения причин, вызвавших функциональный износ, его подразделяют на устранимый и неустранимый. Стоимостным выражением функционального износа является разница между стоимостью воспроизводства и стоимостью замещения, поскольку расчет последней, исходя из своего определения, заведомо исключает функциональный износ из рассмотрения.

Устранимый функциональный износ

Устранимый функциональный износ обычно определяется затратами на необходимую реконструкцию, способствующую более эффективной эксплуатации объекта недвижимости.

Считается, что устранимый функциональный износ вызывается:
- недостатками, требующими добавления элементов,
- недостатками, требующими замены или модернизации элементов,
- сверхулучшениями.

К недостаткам, требующим добавления, относят элементы здания и оборудования, которых нет в существующем окружении и без которых оно не может соответствовать современным эксплуатационным стандартам. Износ за счет данных позиций измеряется стоимостью добавления этих элементов, включая их монтаж.

К недостаткам, требующим замены или модернизации элементов, относят позиции, которые еще выполняют свои функции, но уже не соответствуют современным стандартам (водяные и газовые счетчики и т.д.). Износ по этим позициям измеряется как стоимостью существующих элементов с учетом их физического износа минус стоимость возврата материалов, плюс стоимость демонтажа существующих и плюс стоимость монтажа новых элементов. При этом стоимость возврата материалов определяется как стоимость демонтированных материалов и оборудования при использовании их на других объектах (дорабатываемая остаточная стоимость).

К сверхулучшениям относят позиции и элементы сооружения, наличие которых в настоящее время неадекватно современным требованиям рыночных стандартов. Устранимый функциональный износ в данном случае измеряется как текущая восстановительная стоимость позиций "сверхулучшений" минус физический износ, плюс стоимость демонтажа и минус ликвидационная стоимость демонтированных элементов.

Примером сверхулучшений может служить ситуация, когда собственник дома, приспосабливая его под себя, вносил какие-либо изменения для собственного удобства (инвестиционная стоимость), не адекватные с точки зрения типичного пользователя. К их числу, например, можно отнести перепланировку полезной площади помещений под конкретное использование, обусловленное увлечениями владельца или родом его занятий. Устранимый функциональный износ в подобной ситуации определяется текущей стоимостью затрат на приведение измененных элементов к их первоначальному состоянию. Кроме того, понятие сверхулучшений тесно связано с сегментом рынка недвижимости, где одни и те же улучшения могут быть признаны как соответствующими конкретному сегменту, так и избыточными с точки зрения типичного пользователя.

Неустранимый функциональный износ

Неустранимый функциональный износ обычно вызывается устаревшими объемно-планировочными и/или конструктивными характеристиками оцениваемых зданий относительно современных стандартов строительства. Прежде всего экономическая нецелесообразность проведения затрат на устранение этих недостатков позволяет судить о признаке именно неустранимого функционального износа. Кроме того, необходим учет сложившихся на дату оценки рыночных условий для адекватного архитектурного соответствия здания своему назначению.

При этом в зависимости от конкретной ситуации стоимость неустранимого функционального износа может определяться двумя способами: как капитализированная потеря в арендной плате, или капитализацией избыточных эксплуатационных затрат, необходимых для содержания здания в надлежащем порядке. Для определения необходимых расчетных показателей (величины арендных ставок, ставки капитализации и др.) используют скорректи рованные данные по сопоставимым аналогам При этом отобранные аналоги не должны иметь признаков выявленного у объекта оценки неустранимого функционального износа. Кроме того, общий доход, приносимый имущественным комплексом (зданием и землей) в целом и выражающийся в арендной плате, необходимо соответственно разделить на две составляющие. Для выделения части дохода, приходящегося на здание, можно использовать метод инвестиционного остатка для здания или метод анализа соотношения стоимости земельного участка и общей цены продажи имущественного комплекса.

Внешний (экономический) износ

Внешний износ представляет собой обесценение объекта, обусловленное негативным по отношению к объекту оценки влиянием внешней среды: рыночной ситуации, накладываемых сервитутов на определенное использование недвижимости, изменения окружающей инфраструктуры, законодательных решений в области налогообложения и т.п. Внешний износ недвижимости, в зависимости от вызвавших его причин, в большинстве случаев является неустранимым по причине неизменности местоположения, но в ряде случаев может "самоустраниться" из-за позитивного изменения окружающей рыночной среды.

Для оценки внешнего износа могут применяться следующие методы:
- капитализации потерь в арендной плате;
- сравнительных продаж (парных продаж);
- срока экономической жизни.

Расчет внешнего износа методом капитализации потерь в арендной плате производится аналогично расчету функционального неустранимого износа.

Метод парных продаж

Метод парных продаж основан на анализе имеющейся ценовой информации по недавно проданным аналогичным объектам (парным продажам). При этом предполагается, что объекты парной продажи отличаются друг от друга только выявленным и соотнесенным к объекту оценки экономическим износом. Подобный подход к расчету внешнего износа показан в таблице.

В ряде случаев метод сравнительного анализа продаж позволяет определить общий накопленный износ, как правило, типового объекта оценки. Данный подход заключается в поиске сопоставимых недавно проданных аналогов с последующим приведением их ценообразующих характеристик к характеристикам оцениваемого объекта, исключая износ. Усредненная разница между скорректированными восстановительной стоимостью и рыночной ценой каждого из аналогов (без учета стоимости земельного участка) и будет являться стоимостным выражением накопленного износа В отечественной практике рассмотренные методы расчета внешнего износа, основанные на элементах сравнительного анализа продаж, во многих случаях неприменимы по причине большой трудоемкости, а также отсутствия необходимой и достоверной информационной базы.

Метод срока жизни

Данный метод позволяет рассчитать неустранимый внешний износ исходя из резкого сокращения оставшейся экономической (физической) жизни здания по причине его скорого сноса. Причиной скорого сноса, например, может являться необходимость перепланировки и расширение транспортных магистралей. При этом техническое состояние сносимых зданий во многих случаях позволяло бы их эксплуатировать в течение довольно длительного периода времени.

После определения восстановительной стоимости, а также расчета совокупного износа определяют стоимость оцениваемого объекта по следующей схеме.

Для повышения точности расчетных процедур, как по определению восстановигельной стоимости, так и по расчету износа, необходима разумная компиляция нескольких методик по определению указанных показателей.

В заключение хотелось бы отметить, что в условиях слаборазвитого и малоактивного рынка, а также нестабильности экономики, затратный подход к оценке недвижимости был и остается одним и порой чуть ли не единственно применимым в отечественной практике.

Список литературы:

1. Гвоздик А.А. Новая модель поведения рынка. //Труды международной конференции "Теория активных систем". - М.: ИПУ РАН, 2001. Т.2, с.23-24.

2. Петренко Л.И., Синогейкина Е.Г. Что такое ВИНК и сколько она стоит? //Журнал "Вопросы оценки", №3, 2001, стр.11-22.

3. Тришин В.Н., Шатров М.В. Метод экспресс-оценки для крупного предприятия. //Журнал "Имущественные отношения в Российской Федерации", №10(15), 2002, стр. 77-85.

4. Быковский В.А. Оценка капитализации нефтяных и газовых компаний. //Журнал "Нефть, газ и бизнес", №5, 2002, стр. 4-7.

5. Паршев А. Почему Америка наступает. Москва, АСТ "Астрель", 2002.

Оценить/Добавить комментарий
Имя
Оценка
Комментарии:
Хватит париться. На сайте FAST-REFERAT.RU вам сделают любой реферат, курсовую или дипломную. Сам пользуюсь, и вам советую!
Никита04:45:57 04 ноября 2021
.
.04:45:56 04 ноября 2021
.
.04:45:54 04 ноября 2021
.
.04:45:53 04 ноября 2021
.
.04:45:51 04 ноября 2021

Смотреть все комментарии (22)
Работы, похожие на Реферат: Оценка стоимости недвижимости затратным подходом

Назад
Меню
Главная
Рефераты
Благодарности
Опрос
Станете ли вы заказывать работу за деньги, если не найдете ее в Интернете?

Да, в любом случае.
Да, но только в случае крайней необходимости.
Возможно, в зависимости от цены.
Нет, напишу его сам.
Нет, забью.



Результаты(294402)
Комментарии (4230)
Copyright © 2005 - 2024 BestReferat.ru / реклама на сайте