Банк рефератов содержит более 364 тысяч рефератов, курсовых и дипломных работ, шпаргалок и докладов по различным дисциплинам: истории, психологии, экономике, менеджменту, философии, праву, экологии. А также изложения, сочинения по литературе, отчеты по практике, топики по английскому.
Реклама
Полнотекстовый поиск
Всего работ:
364139
Теги названий
Реклама
VisitTime.ru помогает быстро организовать онлайн-запись клиентов и держать расписание под контролем.
📅 Настройте услуги и длительность приёма, откройте свободные окна — и клиенты запишутся сами в пару кликов.
🕒 Вы избегаете накладок, меньше тратите времени на переписки и звонки, а автоматические напоминания повышают явку.
💡 Отличное решение для мастеров, студий и сервисных команд, которым важны порядок и стабильная загрузка.
Начать пользоваться сервисом



Разделы
Авиация и космонавтика (304)
Административное право (123)
Арбитражный процесс (23)
Архитектура (113)
Астрология (4)
Астрономия (4814)
Банковское дело (5227)
Безопасность жизнедеятельности (2616)
Биографии (3423)
Биология (4214)
Биология и химия (1518)
Биржевое дело (68)
Ботаника и сельское хоз-во (2836)
Бухгалтерский учет и аудит (8269)
Валютные отношения (50)
Ветеринария (50)
Военная кафедра (762)
ГДЗ (2)
География (5275)
Геодезия (30)
Геология (1222)
Геополитика (43)
Государство и право (20403)
Гражданское право и процесс (465)
Делопроизводство (19)
Деньги и кредит (108)
ЕГЭ (173)
Естествознание (96)
Журналистика (899)
ЗНО (54)
Зоология (34)
Издательское дело и полиграфия (476)
Инвестиции (106)
Иностранный язык (62791)
Информатика (3562)
Информатика, программирование (6444)
Исторические личности (2165)
История (21319)
История техники (766)
Кибернетика (64)
Коммуникации и связь (3145)
Компьютерные науки (60)
Косметология (17)
Краеведение и этнография (588)
Краткое содержание произведений (1000)
Криминалистика (106)
Криминология (48)
Криптология (3)
Кулинария (1167)
Культура и искусство (8485)
Культурология (537)
Литература : зарубежная (2044)
Литература и русский язык (11657)
Логика (532)
Логистика (21)
Маркетинг (7985)
Математика (3721)
Медицина, здоровье (10549)
Медицинские науки (88)
Международное публичное право (58)
Международное частное право (36)
Международные отношения (2257)
Менеджмент (12491)
Металлургия (91)
Москвоведение (797)
Музыка (1338)
Муниципальное право (24)
Налоги, налогообложение (214)
Наука и техника (1141)
Начертательная геометрия (3)
Оккультизм и уфология (8)
Остальные рефераты (21692)
Педагогика (7850)
Политология (3801)
Право (682)
Право, юриспруденция (2881)
Предпринимательство (475)
Прикладные науки (1)
Промышленность, производство (7100)
Психология (8692)
психология, педагогика (4121)
Радиоэлектроника (443)
Реклама (952)
Религия и мифология (2967)
Риторика (23)
Сексология (748)
Социология (4876)
Статистика (95)
Страхование (107)
Строительные науки (7)
Строительство (2004)
Схемотехника (15)
Таможенная система (663)
Теория государства и права (240)
Теория организации (39)
Теплотехника (25)
Технология (624)
Товароведение (16)
Транспорт (2652)
Трудовое право (136)
Туризм (90)
Уголовное право и процесс (406)
Управление (95)
Управленческие науки (24)
Физика (3462)
Физкультура и спорт (4482)
Философия (7216)
Финансовые науки (4592)
Финансы (5386)
Фотография (3)
Химия (2244)
Хозяйственное право (23)
Цифровые устройства (29)
Экологическое право (35)
Экология (4517)
Экономика (20644)
Экономико-математическое моделирование (666)
Экономическая география (119)
Экономическая теория (2573)
Этика (889)
Юриспруденция (288)
Языковедение (148)
Языкознание, филология (1140)

Курсовая работа: Рынок земли 3

Название: Рынок земли 3
Раздел: Рефераты по экономике
Тип: курсовая работа Добавлен 20:17:40 06 июня 2011 Похожие работы
Просмотров: 1172 Комментариев: 20 Оценило: 2 человек Средний балл: 5 Оценка: неизвестно     Скачать

Содержание

Введение . 2

1. Сущность, функции и особенности рынка земли. 4

1.1. Определение и понятия рынка земли.4

1.2.Формирование рынка земли в России.5

1.3.Цена земли. 10

1.4.Оценка сельскохозяйственных земель. 12

2.Современное состояние земельного рынка РФ .. 19

2.1.Анализ земельного рынка в современных условиях. 19

2.2.Необходимость использования земель сельскохозяйственного назначения.24

2.2.Сравнительный анализ земельных ресурсов сельскохозяйственного назначения в Европе и России. 28

3. Российский земельный рынок: проблемы и решения. 31

3.1.Пути совершенствования земельного рынка.31

Заключение . 36

Список использованной литературы .. 37

Приложение . 39

Введение

Особенностью земли, как экономического ресурса, является ее ограниченность. В основе появления рынка земли лежит проблема частной собственности.

С одной стороны, выступают собственники земельных ресурсов, с другой – люди, владеющие деньгами и желающие свои деньги и свой труд вложить в использование земельных угодий и стать предпринимателями. Собственники земли предлагают свои земли в аренду, тем самым формируют предложение на землю.

Будущие сельскохозяйственные землепользователи вступают в переговоры об аренде земли, тем самым формируют спрос на землю, вследствие чего в обществе возникают аграрные отношения. Земля, ее недра, леса, животный мир и другие ресурсы составляют основу жизни и деятельности людей.

Россия обладает уникальными богатствами, созданными самой природой, и эти богатства - её земли.

Проблема совершенствования правового регулирования земельных отношений в России в последнее время стала одной из наиболее актуальных и широко обсуждаемых.

Действующее земельное законодательство не соответствует современным потребностям регулирования земельных отношений, так как Россия перешла на качественно новые отношения, а, следовательно, изменилось и отношение к земле. Появились различные нововведения.

Земля как основной базис всех процессов жизнедеятельности общества в политической, экономической, социальной, производственной, коммунальной, экологической и других сферах обладает стоимостью, качественная оценка которой представляет собой одно из важнейших условий нормального функционирования и развития многоукладной экономики. Необходимость в получении достоверной оценки стоимости земельных участков испытывают как государственные и муниципальные органы исполнительной власти при управлении земельными ресурсами, осуществлении перспективного развития населенных пунктов, проведении рациональной земельной и налоговой политики, так и частные субъекты земельного права при совершении разного рода сделок с землей.

Реклама

На сегодняшний день в РФ сложились адекватные предпосылки для реформирования механизмов налогообложения земли, взимания арендной платы за земли, находящиеся в государственной и муниципальной собственности, а также государственной политики в области оценки земель для целей налогообложения. В этой связи первоочередными задачами, стоящими перед Правительством РФ, являются:

1. Совершенствование существующей и разработка нормативной правовой базы для реформирования налоговой и земельной политики.

2. Создание методологического инструментария, необходимого для реализации нормативной правовой базы, на основе комплексного анализа существующих методик и методологических подходов по государственной оценке земли.

Методологической основой работы, явились труды, таких исследователей как А. Гольцблат, Н.В. Комов, Н. Шагайда, В.Р Беленький, С.И. Сай, В.А. Горемыкина, П.Г. Грабового, В.В. Григорьева, В.Р. Дорожкина, В.Н. Зарубина, Е.С. Озерова, И.А. Рахмана, Е.П. Ушакова, М.А. Федотовой.

Выбранная тема курсовой работы особа актуальна в современных условиях. После кардинальных преобразований и зарождения рынка в целом, появляется дальнейшая необходимость реформирования механизмов земельных отношений. В России идут земельные преобразования, и важно, чтобы уникальные природные ресурсы, богатейшая земля России использовались на благо каждого жителя нашей страны. Несовершенство законодательства усугубляется необходимыми переменами с изменениями экономической политики.

Цель курсовой работы: рассмотреть особенности рынка земли, его состояние и факторы, определяющие цену на землю и на сельскохозяйственную продукцию.

Основными задачами при написании, являлись:

- этапы формирования земельного рынка.

- анализ современного состояния рынка земли РФ.

- необходимость использования земель сельскохозяйственного назначения.

- предложение путей совершенствования земельного рынка.

Объектом рассмотрения, в курсовой работе, является земельный рынок РФ.

Реклама

Предметом является рынок земли, его состояние и факторы, которые оказывают существенное влияние на цену земли и сельскохозяйственную продукцию.

Проблема совершенствования правового регулирования земельных отношений в России в последнее время стала одной из наиболее актуальных и широко обсуждаемых. Действующее земельное законодательство не соответствует современным потребностям регулирования земельных отношений, так как Россия перешла на качественно новые отношения, а следовательно изменилось и отношение к земле. Появились различные нововведения.

1. Сущность, функции и особенности рынка земли.

1.1. Определение и понятия рынка земли.

Рынок земли является неотъемлемой частью экономики любого развитого государства. Земля - важнейший ресурс, занимающий исключительное место в жизни и деятельности любого общества[1] .Рынок земли обладает целым рядом специфических особенностей[2] . Во-первых, земля является бесплатным даром природы, что позволяет говорить об иррациональном характере ее стоимости. Тем не менее, земля является объектом купли-продажи; с ней связаны земельные арендные отношения[3] .Во-вторых, в зависимости от тех или иных природно - климатических условий, а также местонахождения участков земли, последние подразделяются на лучшие, средние и худшие[4] . В основе такого деления лежит естественное плодородие почвы, от которого зависит продуктивность земли. Но она может быть улучшена в результате дополнительных вложений в нее труда и капитала[5] .Это улучшенное плодородие почвы называется экономическим. Повышение экономического плодородия почвы практически возможно на любых участках. Однако оно имеет определенные границы, связанные с известным законом убывающего плодородия почвы, когда при сложившейся технологии обработки земли каждая последующая единица затрат обеспечивает все меньшую и меньшую отдачу.В-третьих, в следствие фиксированности площади земельных угодий природой, предложение земли характеризуется в общественном масштабе совершенной неэластичностью, хотя для конкретного пользователя землей дело обстоит иначе: предложение земли обладает определенной эластичностью, поскольку пользователь имеет возможность увеличить имеющуюся у него земельную площадь за счет конкурентов. Ограниченность предложения земельных ресурсов усиливается закрепленностью земли в частную собственность. В условиях рынка земельные собственники весьма неохотно идут на продажу своих земельных участков, отдавая предпочтение сдаче земли в виде аренды они получают право получения стабильного дохода, именно поэтому каждый определенный момент продается лишь незначительная часть земельного фонда, в этом заключается принципиальная особенность рынка земли.Земельный рынок формирует условия стимулирующие эффективное использование земли и вынуждает отдельных субъектов отказаться от части земли или от всего участка если он не функционирует эффективно[6] .Однако рынок земли далек от совершенства и не является гарантом стабильности. Восполнение недостатков рынка - важнейшая задача государства[7] .Государство обязано в первую очередь создать условия защиты прав собственности на землю, соблюдения субъектами своих договорных обязательств, целенаправленного и разумного использования земельного фонда страны, при этом политика государства должна базироваться на сочетании интересов всех хозяйствующих субъектов аграрного сектора. Любая государственная система управления должна базироваться на земельном кадастре - это официально составленный, систематизированный свод сведений, касающийся земельного фонда страны. Очевидно, что вне наличия у государства банка данных о земле невозможно разрешение проблем аграрного сектора[8] .Под рынком земли следует понимать не только куплю-продажу земли, но и предоставление ее в аренду, а так же весь рынок сельскохозяйственной продукции, на котором реализуются в той или иной форме отношения собственности на землю.

1.2.Формирование рынка земли в России.

Одной из главных особенностей формирования российской школы экономической мысли было изучение эволюции крестьянского хозяйства и отношения к земле в связи с оценкой будущего развития страны[9] . До окончательного закрепощения крестьян при Екатерине II, до пугачевского восстания и начала промышленной эпохи аграрный вопрос рассматривался в рамках общих представлений о положении трудящихся[10] .К тому же в России, в отличие от большинства западных стран, до конца XVI века практика свободной заимки земель была главным господствующим обычаем в экономической жизни и отношениях русского народа. Затрата труда на месте заимки служила в большинстве случаев определяющим фактором ее владения.Здесь с давних времен очень твердо было понимание держания, занятия, пользования землей, но понятия аналогичного собственности на землю не существовало.Понятие «рынок земли» на современном этапе было введено после периода, когда про него практически никто не слышал, поэтому его введение породило различные противоречия при освещении этого вопроса[11] . Это в свою очередь возникло из-за того, что долгое время в нашей стране существовал стереотип представлений, что все общественное, а значит ничье. Бесплатность пользования землей явилась одной из главных причин неэффективного ее использования в сельском хозяйстве, высокой землеемкости в градостроительстве и промышленности[12] .Только в этих условиях могла сформироваться ситуация, когда при массовом нерациональном землепользовании, наличии заброшенных и неиспользуемых земель создан искусственный дефицит земли для желающих получить ее под фермерское хозяйство, личное подворье, сад или огород. При наличии значительных пустующих территорий в городах, территорий, занятых малоценной ветхой застройкой, под городские объекты занимаются особо плодородные пригодные для сельхозработ земли.В связи с отмеченными выше особенностями развития российской цивилизации одним из ключевых вопросов, вокруг которых концентрировалась экономическая мысль, стало рассмотрение аграрного вопроса и способов его решения. Именно здесь лежало понимание альтернативности общественного прогресса, во многом так и не реализованного в российских условиях[13] .Сказалось здесь и типичное для классической политической экономии механическое наложение на сельское хозяйство свойств сугубо индустриального этапа развития экономики, воспринятое и многими последователями, включая марксизм[14] .

Термин «земля» охватывает все полезности, которые даны природой в определенном объеме и над предложением которых человек не властен, будь то сама земля, водные ресурсы или полезные ископаемые.

Земля либо выступает как непосредственный фактор производства, либо используются в качестве территории для размещения производственных, административных, жилых и других помещений, транспортных и иных коммуникаций. Но в отличие от большинства иных средств производства земля не является свободно воспроизводимым фактором производства. Ограниченность земель сельскохозяйственного назначения вообще, а земель лучшего и среднего качества тем более, обусловливает мизерную эластичность предложения земель[15] .

В связи с этими особенностями использование одними предпринимателями земель лучшего и среднего качества (по плодородию и местоположения участков) лишает других предпринимателей возможности вести хозяйство на аналогичных землях. Образуется хозяйственная монополизация земель этого рода. Но из-за того, что производство на этих землях не покрывает общественной потребности в продовольствии и сельскохозяйственном сырье, возникает общественная необходимость вовлечь в хозяйственный оборот и сельскохозяйственные земли худшего качества. Однако производство продукции в относительно худших условиях обходится дороже. Общественная потребность в дополнительной продукции приведет к признанию рынком этих увеличенных затрат на ее производство как общественно необходимых затрат[16] .

Поэтому общественной ценой производства выступает цена производства продукции в относительно худших условиях ведения сельского хозяйства. Реализация продукции по общественной цене производства обеспечивает арендаторам, использующим худшие земли, возмещение издержек производства и получение средней прибыли. А арендаторам лучших и средних земель, у которых индивидуальные затраты будут ниже общественных - еще и сверхприбыль. Она и передается в виде ренты землевладельцу[17] .

Земельная рента - это плата за пользование землей, как результат ее ограниченности. Она выступает как разность между общественной ценой производства и индивидуальной ценой производства на лучших или средних землях. Поэтому и рента этого вида носит название дифференциальной, т.е. разностной[18] .

Различаются лучшие (А), средние (В) и худшие (С) участки земли. Рассмотрим это на примере, приложение 1[19] .

С лучшего земельного участка получено 6 тонн пшеницы и индивидуальная цена производства 1 тонны составила 20 долларов. При урожае в 5 тонн индивидуальная цена производства 1 тонны со второго участка равна 24 доллара. Самая дорогая пшеница получена на худшем участке 30 долларов за тонну. Возникает вопрос, по какой цене будет продаваться пшеница на рынке? Если бы это касалось какого-либо промышленного изделия, то механизм конкуренции привел бы к установлению усредненной рыночной цены. Предприниматель, занятый на третьем предприятии потерпел бы банкротство[20] .

Точно также сверхприбыль возникает и из-за различий в расположении земель. Одни земельные участки стратегически выгодно расположены по отношению к рынкам сбыта, к транспортным средствам, к наличию рабочей силы и потребителям продукции. Другие отдалены от всего этого, поэтому себестоимость продукции у них будет выше. Рыночная, общественная цена будет включать в себя затраты по доставке продукции к потребителям с отдаленных участков, вследствие чего выгодно расположенные участки будут обеспечивать дополнительную прибыль[21] .

Таким образом, дифференциальная земельная рента I связана с естественным плодородием земли и местоположению участков[22] .

Рента, возникающая в результате дополнительных инвестиций, вызывающих рост производительности труда, называется дифференциальной рентой II[23] . Ее формирование можно представить следующим образом, приложение 2.

Фактически указанная рента может присваиваться пользователем земли до тех пор, пока остается в силе арендный договор. Но по окончании действия договора положение дел меняется: земельный собственник учтет повысившееся плодородие земли и потребует повышения арендной платы. Вот почему арендатор требует долгосрочных арендных договоров. Если земельный собственник продает землю по окончании срока договора, он продает не только землю, но и вложения капитала, которые были осуществлены другими[24] .

Дифференциация величин земельной ренты выполняет важнейшую экономическую функцию оптимизации распределения земельных участков между возможными различными сферами их использования. Как и собственник, так и арендатор земли заинтересованы в максимальной выгодности использования данного участка, при условии, что доход, связанный с эффективностью их выбора и действий, будет ими же присваиваться[25] .

Таким образом, дифференциальная рента - это доход, полученный в результате использования ресурсов (с неэластичным предложением) более высокой производительности в ситуации ранжирования этих ресурсов по плодородию и местоположению[26] .

Различия между двумя видами ренты состоят в следующем.

Первое различие состоит в том, что дифференциальная рента I возникает еще на основе экстенсивного ведения сельского хозяйства, тогда как дифференциальная рента II возникает только на основе интенсификации сельскохозяйственного производства. Отсюда следует, что дифференциальная рента I исторически предшествует дифференциальной ренте II[27] .

Второе различие между рентами заключается в их получателях. Дифференциальная рента I целиком присваивается земельным собственником, тогда как дифференциальная рента II частично и временно присваивается арендатором[28] .

Кроме монополий хозяйствования на земле существует монополия частной собственности на землю. Она заключается в том, что земля монополизирована как объект собственности, и владелец земли решает, дать или не дать право арендатору приложить капитал к его земле. Владелец даже худшего участка не отдаст в аренду землю бесплатно. Монополия частной собственности на землю порождает абсолютную земельную ренту, уплачиваемую за пользование любой землей, какого бы качества она не была. Это приводит к тому, что цены сельскохозяйственных продуктов поднимаются выше общественной цены производства, в результате даже на худших участках земли получается добавочная прибыль, которая превращается в абсолютную ренту[29] .

Кроме дифференциальной и абсолютной рент в некоторых случаях может существовать монопольная рента[30] . Это имеет место тогда, когда на определенный вид сельскохозяйственной продукции, производимой в ограниченных количествах, устанавливается монопольная цена, превышающая их стоимость.

Между монопольной и абсолютной рентой имеется существенное различие: если абсолютная рента получается со всех земель, то монопольная рента – только с очень немногих участков.

Таким образом, рост производства сельскохозяйственнойпродукцииможет происходить и за счет более интенсивной обработки одних и тех же земель, дополнительных затрат капитала на машины, химические удобрения, ирригацию и мелиорацию почвы и т.д. При этом будет проявляться принцип убывающей производительности данного фактора производства: первое вложение может определять наивысшую производительность труда, второе – несколько меньшую, третье – еще меньшую. Но сути дела это не меняет – урожайность участка повысится, возникнет добавочная прибыль от дополнительных капиталовложений.

1.3.Цена земли

В развитом рыночном хозяйстве земля является предметом купли и продажи. Однако невозделанная земля не имеет стоимости, но цену имеет. Что же лежит в основе «цены земли»? Земля продается как носительница дохода. Продается ее способность приносить ренту своему владельцу. Поэтому цена земли есть капитализированная рента, а ограниченность, неэластичность предложения земли является важнейшей причиной особенностей ценообразования в сельском хозяйстве[31] .

При продаже участка его собственник заботиться о том, чтобы не потерять рентный доход[32] . Он соглашается продать землю за такую сумму, которая, будучи положена в банк или превращенная в ценные бумаги, принесет ему доход, равный ренте. Покупатель земли, прежде чем стать ее собственником, тоже сравнивает приносимую участком ренту с процентом, который он может получить, если деньги положит в банк. У каждой стороны свой расчет. Сравнение с банковским доходом происходит потому, что это наиболее гарантированное и спокойное помещение своего капитала, своей собственности[33] .

При прочих равных условиях именно величина ренты определяет цену земли. Она прямо пропорциональна размеру ренты и обратно пропорциональна норме ссудного процента. Формула цены земли имеет следующий вид[34] :

Земельная рента

Цена земли = · 100% (1)

Норма ссудного процента

Таким образом, цена земли есть капитализированная земельная рента.

Помимо того, что цена земли зависит от ренты и банковского процента, ее уровень зависит от таких факторов, как спрос и предложение на рынке земельных ресурсов[35] .

В условия капитализма цена земли имеет тенденцию к росту, нередко прерываемую в периоды экономических кризисов[36] . Это связано не только с динамикой нормы ссудного процента, сколько с увеличением ренты. Особенно быстро растет доход с городских земельных участков. Монопольная рента с участков земли, где производятся уникальные продукты или где добываются редкие полезные ископаемые, также способствует быстрому росту цен на эти участки[37] .

Одновременно для рынка сельскохозяйственной земли следует учитывать наличие неэластичности спроса на сельскохозяйственную продукцию, что обусловлено возникновением проблемы низких доходов в самом аграрном секторе, так как увеличение производства сельскохозяйственной продукции, ее дополнительный рост влекут за собой быстрое снижение ее предельной полезности. Это отражается и на снижении цен на сельскохозяйственные продукции[38] .

Условия же образования городской ренты гораздо сложнее. Городская земля выступает в более разнообразных формах использования: и как средство производства, и как среда жизнедеятельности, как условие размещения жилой, общественной и промышленной застройки, а также как базис для формирования рекреационной среды, среды для отдыха[39] .

При этом каждый из видов функционального использования городской территории проявляется в большом разнообразии типов.

Перепад ценностных показателей как разность между ценой лучшего и худшего участков в большей мере соотносится с величиной города. Ценностные разности по признакам проявления дифференциальной ренты даже в сравнительно небольших городах могут превышать минимальный ценностный уровень в 10-20 раз и более. В крупных и крупнейших городах показатель превышения цены земли достигает сотенных и тысячных соотношений[40] .

Таким образом, формирование полноценного рынка земли в России только начинается после многих лет отсутствия частной собственности на землю и на фоне острых политических, теоретических дебатов о степени доступности земель различного назначения частным лицам, об угрозе концентрации национального богатства в собственности узкой группы общества и возможности паразитизма на этой собственности.

1.4.Оценка сельскохозяйственных земель

При оценке земли, используемой в сельскохозяйственном про­изводстве, в зависимости от того, для каких целей производится оценка земельных ресурсов, изменяются и методические подходы[41] . Так, например, если земля изымается из сельскохозяйственно­го оборота, нужно учитывать величину сопряженных капиталь­ных вложений, дополнительных затрат на проведение рекульти­вации и окультуривания почв на площади отвода, величину и сто­имость недополученной продукции за период изъятия земель из сельскохозяйственного оборота и т. п. Расчет величины сопряженных капитальных вложений при использовании земли для объектов строительства или добычи по­лезных ископаемых, строительного материала, выполняет­ся с учетом фактора времени, структуры сельскохозяйственных угодий и региональных особенностей. Оценка земли производится на основе бонитета (качества зем­ли), определяемого в баллах по данным земельно-оценочных ра­бот, проведенных системой институтов по регио­нам и отдельным сельскохозяйственным предприятиям[42] . В качестве экономического параметра качества (бо­нитета) почв принят размер производимого в сельском хозяйстве национального дохода, отнесенный к приведенной сопоставимой площади почвы с учетом ее качества и расчетного срока, на кото­рый земля изымается из сельскохозяйственного оборота. Для денежной оценки земли, используемой в сельскохозяй­ственном производстве, в условиях перехода к рыночной экономике предлагаются два методических подхода[43] .

1. Определение цены земли на основе средневзвешенных баллонное качества[44] .

За базовую денежную оценку земли сельскохозяйственных предприятий в этом случае приняты нормативная урожайность сельскохозяйственных культур и продуктивность кормовых уго­дий, рассматриваемые при оценке земель как функция экономи­ческих, почвенных и климатических факторов. Поэтому по каж­дому хозяйству собирается и обрабатывается следующая инфор­мация: средние значения признаков и свойств почв, продуктивно­сти кормовых угодий, полученные по данным почвенно-климатических обследований; средние многолетние данные по температу­ре воздуха, количеству осадков в год и пр.; среднегодовые показа­тели по урожайности сельскохозяйственных культур, затратам труда, стоимости силовых и рабочих машин, количеству внесен­ных минеральных и органических удобрений, стоимости тракто­ров, комбайнов и других сельскохозяйственных машин на 1 га посева, количеству работников растениеводства, приходящихся на 100 га культивируемой площади, и другие показатели. В результате по каждому земельно-оценочному району для ос­новных сельскохозяйственных культур рассчитывают уравнения регрессии урожайности, которые применяют для получения нор­мативной урожайности зерновых по району. Так как в большин­стве регионов Российской Федерации доля пашни под зерновыми культурами составляет до 70% , то при денежной оценке земель­ных ресурсов такой подход вполне приемлем. В специализирован­ных районах оценка земли производится по ведущей культуре[45] .

Для определения, насколько одни земли лучше или хуже дру­гих, необходимо рассчитывать средневзвешенный балл качества земель. Совокупные почвенные баллы земель по сельскохозяй­ственным предприятиям и в целом по району используются при денежной оценке земельных угодий, определении величины зе­мельного налога и размеров арендной платы за землю[46] .

2. Определение цены земли на основе дифференциальной ренты, нормативной урожайности и почвенно-экологического индекса[47] .

При монополии на землю как на объект хозяйствования обра­зуется земельная дифференциальная рента, которая поступает в бюджет государства через механизм цен, платежи и налоги с чис­того дохода сельскохозяйственных предприятий. Экономическая сущность дифференциальной ренты проявляется в получении из­быточного прибавочного продукта. Земельная рента является эко­номической формой реализации собственности на землю и поэто­му может быть использована при определении цены земли. Диф­ференциальная рента определяется на единицу площади как раз­ница между стоимостью продукции растениеводства в ценах реа­лизации и индивидуальной ценой производства[48] .

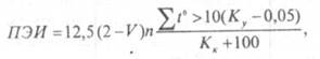
Норма прибыли, которая исчисляется как отношение всей при­были, полученной от реализации продукции растениеводства, к наличию основных и оборотных фондов, определяет индивидуаль­ную цену производства. При оценке земли также необходимо учитывать сельскохозяй­ственную продуктивность климата, которая может быть представ­лена как функция многих агроклиматических факторов. Формула почвенно-экологического индекса (ПЭИ) позволяет учесть особенности климата и почвенного покрова данной терри­тории[49] :

(2)

где V - объемная масса почвы в среднем для метрового слоя, г/см; n0 - полезный (безбалластный) объем почвы в метровом слое; t >10 - среднегодовая сумма температур более 100 С; Ку - коэффициент увлажнения; Кк - коэффициент континентальности. Величина К представляет собой отношение среднегодового ко­личества осадков к среднегодовой испаряемости. Среднемесячные величины испаряемости определяются по формуле:

(3)

где t° - среднемесячная температура воздуха; d- среднемесячная относительная влажность воздуха (по спра­вочным данным). На основе вышеописанных показателей определяется размер ежегодного земельного налога за пользование 1 га пашни.

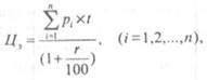
3. Определение цены земли на основе капитализации чистого дохода.

В этом случае цена земли определяется по формуле

(4)

где - ожидаемый чистый доход от основных сельскохозяй­ственных культур с единицы земельной площади за период лет; t- период лет; r- банковский процент за пользование долгосрочным креди­том.

Определение цены сельскохозяйственных угодий, установление величины земельного налога за землепользование - проблема не только экономическая, но и политическая, так как в условиях многообразия форм собственности и организации производства она связана с характером производственных отношений, с проблемой создания регулируемого рынка в его взаимосвязи с мировым, а также с государственной финансовой политикой и решением важ­нейших социально-экономических проблем[50] .

В настоящее время в России завершен четвертый этап земель­но-оценочных работ[51] . Результаты этих исследований, наряду с дру­гими данными Земельного кадастра, значительно облегчают реа­лизацию поставленной задачи — определение цены земельных ресурсов. Одним из основных показателей земельно-оценочных работ является нормативная урожайность, которая позволяет определить в натуральном выражении дифференциаль­ную ренту 1, связанную с различиями в агроклиматическом по­тенциале земель[52] . Цена 1 га пашни на основе нормативной урожайности по основ­ным или ведущей сельскохозяйственной культуре до каждому рай­ону области (края, республики) определяется по формуле[53] :

Цпрпоб * Уппоб , (5)

где Цпр - цена 1 га пашни в районе, руб.; Цпоб - цена 1 га пашни по региону, руб.; Уп - нормативная урожайность основных или ведущей сель­скохозяйственной культуры по району, ц/га; Упоб - нормативная урожайность основных или ведущей сель­скохозяйственной культуры по области, ц/га.

Методический подход к стоимостной оценке земли на основе капитализации чистого дохода эффективен на всех уровнях управления. Однако этот метод приемлем лишь при наличии стабильной финансово-экономической системы в стране[54] .

В экономически развитых странах цены внутреннего рынка на сельскохозяйственную продукцию тесно связаны с мировыми, причем в них заложены общественно необходимые затраты труда на производство сельскохозяйственной продукции на худших зем­лях, средняя норма прибыли на вложенный капитал, цены на зе­мельные ресурсы с учетом их экономического плодородия и мес­тонахождения, учтенные через арендную плату за их использова­ние[55] .

Цена земли определяется на основе оптимального срока арен­ды земли, средней учетной ставки банковского долгосрочного кре­дита по курсу и чистой прибыли (дохода), получаемой от реализа­ции основных продуктов земледелия, на котором специализируется данный регион.

При определении цены земельных ресурсов наиболее часто используется методический подход на основе ка­питализации чистого дохода. Для кадастровой оценки стоимости сельскохозяйственных уго­дий методические подходы могут быть следующими.

Для получе­ния достоверных данных доходности ведения сельскохозяйствен­ного производства на землях различного качества и местоположе­ния, размеров земельной ренты и стоимости земельных участков проводится кадастровая оценка стоимости сельскохозяйственных угодий, которая является составной частью Государственного зе­мельного кадастра РФ.

Размер дифференциальной ренты определяется как разница между ценой производства продукта в худших условиях и индивидуальной ценой. Замыкающими назы­вают относительно худшие условия, в которых признано целесообразным производство товара в силу общественных потребностей[56] . Расчет рентных доходов рекомендуется проводить не по каж­дому отдельному продукту, а в целом по совокупности товарных отраслей. В целом для товаропроизводителя учитывают как объек­тивные условия производства, так и его результаты[57] .

Производство товарного продукта обеспечивается одновремен­ным действием разнокачественных факторов. Степень влияния каждого отдельного фактора и их совокупного действия на резуль­таты товарного производства рассчитывается на основе корреля­ционно-регрессионного анализа, путем моделирования уравнения регрессии, коэффициенты регрессии которого показывают меру влияния соответствующего фактора на выход товарной продукции.

Эти коэффициенты служат основой для расчетов первой составляющей рентных доходов - прироста выручки за счет рентных факторов[58] .

Показатель влияния рентных факторов на уровень себестоимо­сти товарной продукции также оценивается на основе метода кор­реляционно-регрессионного анализа.

Модель учитывает оценку качества земель по окупаемости затрат по хозяйству и среднеобластную; уровень использования ресурсов соответственно по хо­зяйству и в среднем по области; характеристика местоположения хозяйства и среднеобластное значение этого показателя - средне­взвешенное расстояние перевозок товарной продукции до рынков сбыта; среднеобластное значение себестоимости единицы общего объема товарной продукции; коэффициенты регрессии показыва­ют меру влияния соответствующего фактора на уровень себестои­мости.

По этим оценкам рассчитывается нормальная себестоимость то­варной продукции каждого хозяйства и для замыкающих условий. Разница между этими величинами, взвешенная на нормальные объемы товарной продукции, определяет экономию средств от сни­жения себестоимости. Дифференциальная рента в целом определяется по двум со­ставляющим - приросту выручки от реализации сельскохозяйственной продукции и экономии затрат но производство, обеспечиваемых за счет рентных факторов.

В связи с ростом себестоимости и цен реализации сельскохозяй­ственной продукции целесообразно корректировать величину земельной ренты, полученной в расчетах по среднегодовым данным.

Для этого по каждому сельскохозяйственному предприятию рас­считывают агрегированные индексы себестоимости и цен товар­ной продукции, а также корректируют размер ренты при других вариантах цен товарную продукцию.

Размер ренты по видам сельхозугодий определяют на основе индексов рентообразующих факторов.

Затем средние размеры рентного дохода дифференцируют по видам сельхозугодий: прирост выручки - по индексу оценки зем­ли, рассчитанному по нормальному выходу кормовых единиц; экономия затрат - по соответствующему индексу окупа­емости затрат в расчете на гектар, приложение 3.

Оценка стоимостиземли должна учитывать необходимость со­здания нормальных условий воспроизводства не только для хо­зяйств, находящихся в средних и лучших по уровню рентных фак­торов условиях, но и худших.

Поэтому для расче­та опенки стоимости сельскохозяйственных угодий вначале рас­считывают цену товарного продукта для замыкающих условий по формуле[59] :

Цз = Нз х (1 + Рз: 100), (6)

где Цз выручка (цена) на единицу товарной продукции; Нз нормальная себестоимость единицы товарной продукции: Рз нормативный уровень совокупной рентабельности.

При расчетах цены товарного продукта исходят из того, что уровень совокупной рентабельности и в замыкающих условиях должен как минимум обеспечивать простое воспроизводство. Оценку стоимости сельскохозяйственных земель осуществляют на основе данных о нормальной прибыли по замыкающим услови­ям, ренты и нормы капитализации.

В качестве приближенного верхнего значения нормы капита­лизации может приниматься величина ставки Сбербанка по дол­госрочным валютным депозитам из расчета сложного процента за период не менее года. Значением нижней границы может служить ставка 2,5% годовых. Расчет опенки стоимости сельскохозяйственных угодий для хозяйства выполняется по формуле[60] :

Z=(R+D) : ix 100, (7)

где Z оценка стоимости земли; R — относимая на землю нормальная прибыль по замыкающим условиям; D рента; i — норма капитализации дохода, %. Схема расчетов приведена в приложении 4. Аналогично проводят расчеты по другим видам сельхозугодий, в том числе учитывающие мелиоративное состояние сельскохозяй­ственных земель.

Таким образом, в связи с тем, что оценка земли в нашей стране до перехода к рыночным отношениям не практиковалась, в условиях формиро­вания рынка земли необходимы дальнейшее совершенствование механизма оценки земельных ресурсов, разработка и апробация методических подходов к определению стоимости земельных уча­стков.

2.Современное состояние земельного рынка РФ

2.1.Анализ земельного рынка в современных условиях

Важную роль в преобразовании и развитии агропромышленного комплекса РФ играет решение вопроса о земельной собственности в рыночном земельном обороте. В самом общем виде под земельным оборотом понимается совокупность различных экономических операций с землей, в результате которых происходит перераспределение прав собственности на земельные ресурсы. Земельный оборот в рыночной экономике служит своего рода индикатором состояния соответствующей экономической системы и степени зрелости, устойчивости и эффективности механизмов ее функционирования. Изменяющиеся из года в год объемы спроса и предложения на земельном рынке указывают на неблагополучие в экономике в целом и в конкретных отраслях производства в частности. В странах с исторически сложившейся устойчивой рыночной экономической системой в период стабильности рыночный земельный оборот осуществляется на естественной конкурентной основе, без активного вмешательства государства в процессы движения земельных ресурсов и перераспределения прав и функций землевладельцев и землепользователей. В странах же, которые после многолетнего искусственного перерыва восстанавливают нормальные рыночные экономические отношения, ситуация иная. Болезненная ломка старых и медленное, зачастую непоследовательное становление новых механизмов функционирования экономической системы создают специфическую обстановку, при которой форсированный отход государства от управления экономическими процессами сопровождается крупными экономическими и социальными потерями, объективно препятствует проведению самих реформ, снижает эффективность всего процесса преобразований. Сказанное в полной мере относится и к организации в условиях переходной экономики эффективного земельного оборота как действенного инструмента осуществления земельной реформы и наиболее эффективного землевладения и землепользования. Необходимо дифференцированное государственное регулирование масштаба и структуры земельного оборота по числу, площади и категориям вовлеченных в различные рыночные операции земельных участков, состава этих операций, их пропорций, приоритетов и границ. Даже в самых сложных, кризисных экономических ситуациях вмешательство государства в процесс становления эффективного рыночного землеоборота должно основываться не на административно-командных, приказных, а на рыночных механизмах и методах стимулирования поведения его участников. Другими словами, важнейшими инструментами воздействия государства на масштаб, структуру и приоритеты рыночного землеоборота выступают налоговая, финансово-кредитная, инвестиционная политика, гарантии предпринимательского риска при выполнении конкретных рыночных операций с земельными участками, поддержка страховой, консалтинговой и иных видов инфраструктурной деятельности на земельном рынке.

В результате земельной реформы существенно изменилось распределение земельного фонда России по категориям землепользователей и формам собственности.

Эти изменения в первую очередь затронули земли сельскохозяйственного назначения. Созданы крестьянские хозяйства на площади в 34,3 млн. га, а также их объединения и ассоциации (9,0 млн. га). В районах Крайнего Севера организованы общинно-родовые хозяйства, их площадь достигла 68,9 млн. га. Интенсивно идет процесс образования акционерных обществ и товариществ, занимающихся товарным сельскохозяйственным производством. На их долю приходится 190,9 млн. га. Получили широкое развитие сельскохозяйственные кооперативы, расположенные на площади 36,6 млн. га.

Отмечая существенные изменения в распределении земель по формам собственности, значительная часть территории РФ - более 76% (1306,2 млн. га) ее земель - все еще остается в государственной форме собственности, причем 803 млн. га - земли субъектов Федерации. В муниципальной собственности находится 56 млн. га, или 3,3%, в собственности юридических лиц - 335,8 млн. га (20%) и в собственности граждан - чуть более 10 млн. га (0,6%) К не подлежащим вовлечению в рыночный землеоборот или имеющим определенные ограничения отнесены земли:

- обороны и обеспечения безопасности страны (10,0 млн. га);

- единой общегосударственной транспортной сети (1,4 млн. га);

- природоохранного, заповедного, оздоровительного, рекреационного и историко-культурного назначения (27,2 млн. га);

- расположенных на территории городов и населенных пунктов объектов и предприятий федеральной собственности (0,34 млн. га);

- объектов обеспечения внутренних функций государства, его устойчивого развития, жизнеспособности и охраны окружающей среды (2,0 млн. га);

- лесного фонда (265,9 млн. га);

- запаса (47,0 млн. га), а также водные объекты (17,8 млн. га).

Кроме того, для осуществления эффективной градостроительной политики в каждом населенном пункте требуется сохранение резервных площадей, которые в среднесрочной перспективе не подлежат застройке (всего приблизительно 0,43 млн. га). Вряд ли есть основания включать в рыночный землеоборот и земли таких объектов, как внутренние водоемы, болота, гидротехнические сооружения, на которые приходится в составе федерального фонда 18,2 млн. га. Подлежат ограничению в части включения в операции купли-продажи территории оленьих и конских пастбищ в местах обитания малых народов и этнических групп (13,2 млн. га). Исключаются из рыночного землеоборота и хозяйственного использования по крайней мере на среднесрочную перспективу и малодоступные таежные территории Восточной Сибири и Дальнего Востока. Их площадь можно оценить примерно в 300-400 млн. га. Особого отношения заслуживают и земли сельскохозяйственного назначения федеральной собственности (83,1 млн. га), рыночные операции, с которыми существенно ограничиваются.

Итак, в настоящее время можно исключить из оборота по купле-продаже около 800-900 млн. га земель, отнесенных к федеральной собственности. К данной цифре следует добавить еще почти 124 млн. га эрозионно опасных сельскохозяйственных земель, а также приплюсовать 15% территории Европейской части России, загрязненной радионуклидами, тяжелыми металлами, токсинами промышленного происхождения.

Российский земельный рынок пока еще очень слаб, этому свидетельствуют сумбурные из года в год скачущие показатели землеоборота. Землеоборот в рыночной экономике служит своего рода индикатором состояния экономической системы и эффективности механизмов ее функционирования. Выводом из бесчисленных реформ и постановлений может служить необходимость политики, воздействующей на структуру рыночного землеоборота, ее инструментами должны выступать налоговая, финансово-кредитная, инвестиционная политика, гарантии предпринимательского риска, поддержка страховой, консалтинговой и иных видов инфраструктурной деятельности на земельном рынке. Анализируя структуру земель РФ, по объективным причинам из рыночного землеоборота в части купли-продажи земель в современных условиях исключается ориентировочно 1065-1165 млн. га. Остается же в качестве потенциального его резерва около 540-640 млн. га.

Структура сделок с земельными участками и их рыночная оценка.

В РФ среди всех видов сделок с землей преобладают арендные отношения (в среднем выше 90 процентов), тогда как на продажу органами местного самоуправления было выставлено всего лишь 91,4 тыс. га 0,006 % земельного фонда, приложение 6. В 2009 доля площади государственных и муниципальных земель, используемых на правах аренды в РФ, составила 4,3 % от всей их площади. По федеральным округам России этот показатель колеблется от 1,6 % в Северо-Западном федеральном округе до 17,9 % в Южном федеральном округе.

Цены за аренду государственных земель устанавливались постепенно, по мере вовлечения земельных участков в рыночный оборот. Причем, выявить круг факторов, от которых устойчиво зависят эти цены, достаточно трудно. Особенно это касается земель, предназначенных для сельскохозяйственного производства. На формирование цен продолжают оказывать большое влияние субъективные причины, не поддающиеся анализу и обобщениям . В 2009 г базовые размеры арендной платы за землю устанавливались на основе действующих ставок земельного налога с применением коэффициентов в зависимости от ценности территории, целевого использования земель, категории арендаторов, приложение 5.

Рост ставок арендной платы косвенно обусловлен индексацией ставок земельного налога в соответствии с законодательными актами РФ. Арендные платежи за землю значительно дифференцированы в зависимости от спроса и предложения, категории арендаторов, местоположения и величины земельных участков. При этом плата за аренду земли городов и поселков по сравнению с сельской местностью значительно выше для всех категорий арендаторов.

В целом администрации большинства субъектов Федерации при формировании арендных цен руководствуются действующими ставками земельного налога и соответствующими коэффициентами, чья величина зависит от ценности территории, целевого использования земель и категории арендаторов. При этом спрос и предложение также учитываются.

Значительное распространение получили сделки по продаже прав аренды. В 2009 году права аренды были выкуплены на 5854 земельных участках площадью 23316 гектаров в 46 субъектах РФ, приложение 6.

Судя по зарегистрированным договорам аренды, бюджет РФ должен был в 2009 году пополниться на 30,3 миллиарда рублей. Однако, по данным Министерства РФ по налогам и сборам, фактически удалось собрать лишь 12,8 миллиарда рублей. Тогда как в 2008 г. в консолидированный бюджет поступило 49,5 млрд. руб., в том числе 51,2% от земельного налога и 48,8% от арендных платежей.

Если поначалу удалось пробудить довольно активный интерес к приобретению земельных участков в основном для индивидуального жилищного строительства, личного подсобного хозяйства, садоводства, то затем интерес начал падать.

В 2009 году зарегистрировано 154702 сделок на общую площадь 91446 гектаров. Земли по-прежнему приобретались главным образом с целью строительства индивидуальных домов, ведения личного подсобного хозяйства (ЛПХ) и садоводства. Обладателями наибольших площадей - в сумме 11 383 гектаров - стали всего 90 фермеров. Граждан, пожелавших приобрести земли для предпринимательских целей, оказалось намного больше - 1 439, но сторговали они всего лишь 429 гектаров, в среднем по 30 соток каждый. Следует отметить, что количество сделок по продаже земельных участков на торгах по сравнению с 2008 годом в целом по России увеличилось в 2,1 раза, а по площади в 9,3 раза (9562 сделки, 35250 га). Доля сделок, осуществлённых на торгах, составляет по количеству и площади соответственно - 6,2 % и 38,5 %, приложение 5,6. В 2009 году на торгах по приобретению земель зарегистрировано около 9,5 тыс. граждан и организаций.

Средние по России цены за государственные земли, приобретённые гражданами и юридическими лицами, в порядке выборки по пяти субъектам РФ представлены в приложении 7. Данные таблицы отражают особенности ценообразования развивающегося земельного рынка в регионах с разными природно-экономическими характеристиками.

Рынок земли формируется вокруг областных центров, и самые высокие цены на землю складываются в областных центрах и прилегающих к ним районах. Цены на незастроенные земельные участки значительно варьируют в зависимости от спроса и предложения, местоположения, целевого использования и других показателей. Однако информация о ценах на землю, определенная в договорах купли-продажи земельных участков, не всегда соответствует реальным рыночным ценам. Как правило, цены на землю в договорах занижены или же использована нормативная цена земли.

Цены на продаваемые земли устанавливаются органами государственной власти и местного самоуправления. При этом они руководствуются нормативной ценой на землю. Из-за неразвитости земельного рынка России нормативная цена земли определяется на основе рыночных цен и экспертных оценок только в четверти субъектов РФ. Почти в трети субъектов РФ нормативная цена земли рассчитывается кратно ставкам земельного налога.

В 2009 году в 75 субъектах РФ было зарегистрировано более 305 тысяч договоров купли-продажи. Всего же за период с 1993 по 2009 год количество таких сделок выросло в 31 раз, для дачных участков - в 93 раза. Однако площади реализуемых гражданами участков весьма скромны, приложение 8.

Земельные участки покупались в собственность гражданами в основном для индивидуального жилищного и дачного строительства, личного подсобного хозяйства и садоводства, а также организациями для использования в целях промышленности, транспорта, связи, строительства и иного специального назначения. За 2009 год граждане России выкупили для индивидуального жилищного и дачного строительства, личного подсобного хозяйства, садоводства и огородничества, приложение 8, 116,4 тыс. земельных участков (27732,5 га), в том числе в населённых пунктах 111,0 тыс. участков на площади 26011,1 га., что по сравнению с 2008 годом больше на 3,8 тыс. земельных участков и практически в 2 раза больше по площади приобретённых земель, т.е. увеличение приобретений земельной недвижимости сопровождается увеличением площади в каждой сделке, несмотря на рост цен. В то же время количество покупок земельных участков юридическими лицами за последние три года постепенно снижается, в 2009 году в целом по России приобретено 6384 участка (10128,6 га). Сделок было совершено в два раза меньше, чем в предыдущем году. Ситуация объясняется с одной стороны естественной стабилизацией земельного рынка, а с другой - более выгодными предложениями по аренде земель.

В заключение необходимо отметить ничтожность количества операций по залогу земель. В 1999–2009 годах на их долю приходилось от 0,02 до 0,04 процента от числа всех сделок.

Таким образом, в настоящее время преобладают арендные отношения среди всех сделок с землей, но развивающийся рынок, регулируемый государством и подкрепляемый законодательными актами, пытается сделать из этой сферы действительно рынок, с гарантиями и правами. И неуклонный рост цен на землю, дает серьезные основания считать рынок земли наиболее перспективным вложением капитала.

2.2.Необходимость использования земель сельскохозяйственного назначения.

Землями сельскохозяйственного назначения являются земли за чертой поселений, предоставленные для нужд сельского хозяйства или предназначенные для этих целей. Земли данной категории выступают как основное средство производства в сельском хозяйстве, имеют особый правовой режим и подлежат особой охране, направленной на сохранение их площади, предотвращение развития негативных процессов и повышение плодородия почв.

На 1 января 2009 года площадь земель сельскохозяйственного назначения составила 401,6 млн. га. К данной категории отнесены земли, предоставленные различным сельскохозяйственным предприятиям и организациям. В нее входят также земельные участки, предоставленные гражданам для ведения крестьянского (фермерского) хозяйства, личного подсобного хозяйства, садоводства, огородничества, животноводства, сенокошения и выпаса скота. Кроме того, к категории земель сельскохозяйственного назначения отнесены земли, выделенные казачьим обществам и родовым общинам.

В соответствии с Земельным кодексом РФ в субъектах РФ фонд перераспределения земель формируется в составе земель сельскохозяйственного назначения. В фонд включаются земельные участки сельскохозяйственного назначения, свободные от обременения правами юридических и физических лиц, в целях перераспределения земель для сельскохозяйственного производства, создания и расширения крестьянских хозяйств, личных подсобных хозяйств, ведения садоводства, животноводства, огородничества, сенокошения, выпаса скота.

Основанием включения земельных участков в фонд перераспределения в 2009 году являлось решение исполнительного органа власти о переводе земель сельскохозяйственного назначения в фонд в случае добровольного отказа от земельного участка, при принудительном отказе, если нет наследников ни по закону или ни по завещанию. Массовый характер получила передача земельных участков в установленном порядке в фонд при ликвидации сельскохозяйственных предприятий.

За отчетный период общая площадь земель фонда перераспределения увеличилась на 5,0 млн. га и на отчетную дату составила 39,9 млн. га, при этом площадь сельскохозяйственных угодий, вошедших в фонд перераспределения, увеличилась на 1,1 млн. га, приложение 9.

В целом площадь категории земель сельскохозяйственного назначения в РФ по сравнению с предшествующим годом увеличилась на 586,0 тыс. га.

В отчетном году повсеместно отмечался добровольный отказ сельскохозяйственных предприятий, крестьянских хозяйств и других производителей сельскохозяйственной продукции от предоставленных им ранее земель, связанный с их неудовлетворительным экономическим состоянием. Как и прежде, ликвидировались сельскохозяйственные предприятия, крестьянские хозяйства. При этом часто нерешенным оставался вопрос дальнейшей судьбы земельных участков. Вследствие этого, в Едином государственном реестре земель (ЕГРЗ) сведения о таких земельных участках продолжали учитываться как земли сельскохозяйственного назначения, используемые теми или иными юридическими и физическими лицами для сельскохозяйственного производства. По данным статистических наблюдений общая площадь земельных участков ликвидированных в результате банкротства сельскохозяйственных предприятий, но числящихся за предприятиями в ЕГРЗ, на отчетную дату составила 6,2 млн. га.

Земли данной категории в установленном порядке отводились под строительство новых и расширение территории уже действующих предприятий промышленности, транспорта и связи. Из состава земель сельскохозяйственного назначения передавались участки лесохозяйственным предприятиям для целей лесоразведения. За счет земель сельскохозяйственного назначения увеличили в прошлом году свои площади также предприятия и организации, занимающиеся природоохранной деятельностью. Осуществлялся отвод земель сельскохозяйственного назначения и для других несельскохозяйственных целей. Всего за отчетный год предоставлено 35,0 тыс. га для нужд, не связанных с сельским хозяйством, из них сельскохозяйственных угодий – 20,8 тыс. га.

Площадь сельскохозяйственных угодий в составе данной категории земель составила 194,4 млн. га, приложение 10. Площадь несельскохозяйственных угодий в структуре земель сельскохозяйственного назначения составила 207,2 млн. га. Это – земли под зданиями, сооружениями, внутрихозяйственными дорогами, защитными древесно-кустарниковыми насаждениями, замкнутыми водоемами, а также земельными участками, предназначенными для обслуживания сельскохозяйственного производства. В настоящее время в состав угодий данной категории включены земельные участки, занятые участками леса, находящиеся в постоянном пользовании сельскохозяйственных предприятий, а также земельные участки под водными объектами, которые могут быть переведены в соответствующие категории земель. На протяжении отчетного года в целях соблюдения требований Лесного кодекса РФ велись работы по прекращению права постоянного пользования у сельскохозяйственных предприятий на земельные участки, покрытые лесом, и передаче этих массивов в ведение лесхозов, в результате площадь лесных земель уменьшилась на 87,3 тыс. га. Земли, предоставленные для северного оленеводства, в составе земель сельскохозяйственного назначения занимали 105,7 млн. га. Значительная их часть – это лесные земли, которые со временем могут быть выведены из состава земель сельскохозяйственного назначения в соответствии с требованиями лесного и земельного законодательства. В сравнении с прошлым годом площадь земель, используемых сельскохозяйственными предприятиями для оленеводства, увеличилась на 3,3 млн. га в результате перевода их из категории земель запаса. Данный факт повлиял на увеличение площади лесных земель (на 37,9 тыс. га) в категории земель сельскохозяйственного назначения. Поэтому в целом доля земельных участков, покрытых лесом, в категории остается по-прежнему высокой и составляет 10,1% (40,6 млн. га). По состоянию на 1 января 2010 года в составе категории земель сельскохозяйственного назначения доля сельскохозяйственных угодий в 23 субъектах РФ составила более 90%, приложение 11. Самое большое количество сельскохозяйственных угодий в составе земель сельскохозяйственного назначения наблюдалось в Оренбургской и Саратовской областях (более 95 %)

В целом по РФ площадь неиспользуемых сельскохозяйственных угодий составила 6033,75 тыс. га, из них пашни – 4948,25 тыс. га, или 82% от площади неиспользуемых сельскохозяйственных угодий в РФ. Не по целевому назначению использовалось 171,89 тыс. га сельскохозяйственных угодий.

В целом по РФ было вовлечено в сельскохозяйственный оборот неиспользуемых земель 1490,43 тыс. га, что составляет 24,7% от общей площади неиспользованных сельскохозяйственных угодий в целом по РФ.

В ежегодный оборот земель сельскохозяйственного назначения, пока вовлечено не более пяти процентов земель. Однако сейчас ситуация начинает меняться: земля от сельскохозяйственных организаций все-таки постепенно переходит к другим пользователям - в крестьянские и личные подсобные хозяйства.

Большинство сельскохозяйственных организаций не имеют финансовых возможностей для того, чтобы подготовить карты земельных участков, оплатить работу по оформлению сделок с собственниками земельных долей и участков. Как правило, доходы этих организаций не позволяют им платить высокую арендную плату или купить земельные доли и участки. Гораздо чаще такие траты могут себе позволить те, кто планирует вести на этих землях строительство.

Формально сельскохозяйственные земли защищены от использования для строительства, но на практике можно наблюдать многочисленные случаи их перевода в земли поселений. Пока такой перевод возможен, пока затраты на него ниже, чем выгоды, которые можно получить от строительства, земля будет выводиться из сельскохозяйственного оборота.

В нашей стране площадь неиспользуемых сельскохозяйственных угодий составила 6033,75 тыс. га, из них пашни – 82 % (4948,25 тыс. га), а это упущенные возможности пополнить бюджет, используя эти земли. В ежегодный оборот земель сельскохозяйственного назначения, пока вовлечено не более пяти процентов земель. В настоящее время ситуация начинает меняться: земля от сельскохозяйственных организаций все-таки постепенно переходит к другим пользователям — в крестьянские (фермерские) и личные подсобные хозяйства. Перед правительством стоит дилемма: разрешить продажу земли, и увеличить вывод земель из сельскохозяйственного производства, либо пытаться развивать агропромышленный комплекс и осваивать новые земли сельскохозяйственного назначения. На данный момент первый вариант, менее затратный в плане денежных вложений и каких-либо усилий государства, и приносящий большую выгоду с точки зрения пользователей и меньшую для государства, выигрывает.

2.2.Сравнительный анализ земельных ресурсов сельскохозяйственного назначения в Европе и России

Площадь земель сельскохозяйственного назначения в РФ составляет более 168 млн.га и сопоставима с площадью аналогичных земель в 25 странах Евросоюза вместе взятых, приложение 12.

Суммарно в странах Евросоюза данные площади составляют около 40% общей территории стран, в России доля сельскохозяйственных земель не превышает и 10% объема российской территории, приложение 13. При этом площадь только сельскохозяйственных земель в России в три раза больше, чем общая территория Франции – крупнейшей страны Евросоюза. Франция входит в пятерку ведущих стран - мировых экспортеров продукции сельского хозяйства, более половины ее территории занимают пашни и пастбища. При этом Россия входит в пятерку ведущих стран-импортеров готовой продовольственной продукции. Основную часть сельскохозяйственных земель и в России, и в странах Евросоюза составляет пашня, приложение 14.

Структура сельскохозяйственных угодий России сопоставима со среднеевропейской структурой: около 60% земель составляет пашня, около 30% - пастбища, приложение 15. Несмотря на столь масштабные сельскохозяйственные угодья, эффективность использования земельных ресурсов в России на самом низком уровне по сравнению со странами Европы, приложение 16.

В среднем страны ЕС зарабатывают в 7 раз больше с 1 гектара площади, чем Россия. При условии достижения общеевропейского уровня эффективности использования земельных ресурсов РФ, объем производства сельскохозяйственной продукции в РФ может превысить суммарный объем производства во всей Европе, а Россия - войти в тройку ведущих мировых производителей-экспортеров сельхозпродукции. С учетом более низкой плотности населения в России по сравнению с европейскими странами, объем производства сельскохозяйственной продукции в пересчете на 1 жителя РФ только в 2 раза ниже, чем в среднем по 25 странам Европейского Союза. В среднем по ЕС и по России удельный вес сельскохозяйственного производства в экономике сопоставим и составляет 4-5% ВВП, приложение 17. Объем производства сельскохозяйственной продукции на 1 жителя в России сопоставим с аналогичными показателями в Латвии и Словакии. При этом, например, уровень эффективности использования земельных ресурсов в Словакии более чем в 3 раза превышает российский. Общее количество занятых в российском сельском хозяйстве составляет 6,8 млн. человек, а суммарно в 25 странах Евросоюза – 9,5 млн. человек. Однако следует учесть, что производительность труда персонала, занятого в сельском хозяйстве европейских стран в среднем более чем в 5 раз превышает российский уровень. Соответственно, общий абсолютный объем производимой в России продукции, несмотря на сопоставимые площади сельскохозяйственных угодий, ниже европейского в 7 раз приложение 18.

Аналогичное количество земли на 1 занятого в отрасли позволяет Чехии производить в 4 раза больше продукции на 1 работника, а Эстонии и Венгрии - более чем в 2 раза. А такой же, как в России, уровень производства с/х продукции на 1 работника отрасли Литва и Польша достигает на угодьях, в 2 – 3,5 раза меньших по площади. Отставание от ведущих европейских стран (Франции, Германии, Великобритании) еще более значительно. Уровень эффективности использованияземельных ресурсов и производительность труда в самих европейских странах значительно отличается. Но при этом наилучшие показатели наблюдаются у ведущих стран, которые не являются аграрными. Например, около 10% сельскохозяйственных земель Европы составляют земли Польши. При этом польская экономика производит только 5% общеевропейского объема с/х продукции. Такой же размер угодий позволяет Италии обеспечивать 15% всего объема сельскохозяйственного производства Европы. Значительно отличается по странам и стоимость земельных угодий, но при сравнении эффективности использования земельных ресурсов со среднерыночной стоимостью пашни и пастбищ, разброс по государствам не столь значителен. В среднем по европейским странам на 100 евро стоимости 1 гектара земли объем производства сельхозпродукции составляет 15 евро на гектар в год, по России – 10 евро, приложение 19. Показатель эффективности использования земельных ресурсов для России только в 1,5 раза ниже общеевропейского при уровне производства на единицу площади в 7 раз ниже среднеевропейского. Это означает, что даже в условиях крайне неэффективного использования земельных ресурсов и низкой производительности труда в сельском хозяйстве, стоимость российской земли сельскохозяйственного назначения как минимум в 3-5 раз занижена.

Рассмотрим структуру рынка земли в странах Европы и ее изменение в период 1995-2009 гг., приложение 20. Практически во всех странах с 1995 г. по 2009 г. наблюдается увеличение количества владельцев крупных участков площадью более 50 га за счет участков других категорий, особенно размером меньше 5 га. И только Великобритания имеет обратную тенденцию. Наиболее неконсолидированными являются земли Восточной Европы. В таких странах, как Болгария, Румыния, Венгрия и Словакия более 90% земельных участков по количеству владельцев составляют участки размером до 5 гектар. Страны Восточной Европы ожидает консолидация владельцев земли, приложение 21. Основную часть земельных участков в России составляю участки площадью более 50 га. Это связано с тем, что основная часть участков находится все еще в государственной и муниципальной собственности – 68,7%, в собственности граждан находится 29,9% земли с/х назначения, а в собственности юридических лиц – только 1,4%, приложение 22. При этом Россия имеет уникальную комбинацию участков разных размеров, которая может существенно облегчить крупным игрокам консолидацию с/х земель, приложение 23.

Таким образом, площадь российских земель сельскохозяйственного назначения сопоставима с суммарной площадью аналогичных земель 25 стран Евросоюза. При этом в среднем по европейским странам сельхозугодия занимают 40-50% общей территории стран, в то время как в РФ – не более 10%. Эффективность использования земельных ресурсов и производительность труда в сельском хозяйстве европейских стран в 5-7 раз превышает российский уровень. Земля в России даже с учетом крайне низкой эффективности ее использования значительно недооценена, как минимум в 3-5 раз. В ближайшее время можно прогнозировать процесс консолидации земель Восточной Европы (Болгария, Румыния, Венгрия, Словакия). Основные земельные угодья в России находятся пока в собственности государства и муниципалитетов. При этом в России достаточно равномерно представлен весь спектр земельных участков разных размеров.

3. Российский земельный рынок: проблемы и решения.

3.1.Пути совершенствования земельного рынка.

Российское землепользование уникально в мире по своим масштабам, оно отличается глубокой и многомерной региональной дифференциацией по природно-климатическим условиям, степени антропогенного освоения, уровню урбанизации и индустриализации, разнообразию населяющих различные территории страны национально-этнических групп. Отсюда понятно, с каким необычайно сложным, жизненно важным фактором общественного воспроизводства мы имеем дело, насколько опасно оставлять его вне сферы государственного управления и как необходимо срочно восстановить такое управление в максимально полном объеме.

Для эффективного управления земельно-недвижимым достоянием России, бесспорно, требуется орган, который осуществлял бы общегосударственную координацию деятельности в данной сфере, занимался комплексным, системным решением возникающих здесь крупных хозяйственных проблем.

В конечном счете, задача состоит в том, чтобы радикально пересмотреть концепцию управления земельно-недвижимым комплексом, выявить механизмы его воздействия на эффективность экономического развития регионов и страны в целом. Представляется необходимым на принципиально новой концептуальной основе создать Министерство земельно-недвижимого экономического ресурса, которое должно будет заниматься институциональным, инфраструктурным и экономическим обеспечением процесса формирования нового земельного строя в России и комплексного освоения совокупного земельно-недвижимого экономического ресурса. В составе такого министерства должны быть соответствующие службы и агентства, специализированные на оказании услуг по созданию полноценной информационной базы о земельно-недвижимом ресурсе, ее использованию в прогнозах, программах и проектах развития земельно-недвижимых объектов. Параллельно с системой государственного управления следует стимулировать в установленных границах участие в управлении и негосударственных организаций разных типов и форм собственности.

Формировавшаяся с огромным перерасходом средств и существенными содержательными изъянами автоматизированная система ведения государственного земельного кадастра этим требованиям ни в коей мере не отвечала. И не только из-за того, что объектом кадастрового учета выступали далеко не все обладающие свойством недвижимости ресурсы.

Прежде всего, еще ни юридически, ни практически не сформирована и не скоро будет сформирована «критическая масса» земельных участков, выступающих объектами кадастрового учета, так как пока подавляющая часть земельных ресурсов остается в государственной, не разделенной по уровням ведения собственности. Земельные же участки сельскохозяйственных владений, которые остались в виде долей в сохранивших совместную форму собственности предприятиях, тоже физически еще не выделены на местности, а следовательно, не могут выступать объектами кадастрового учета и регистрации.

Добавим к этому отсутствие повсеместного реального спроса на кадастровую информацию в связи с дефицитом инвесторов, так как для иностранцев выход на российский рынок сельскохозяйственных земель закрыт российскими же законодательными барьерами, а отечественные владельцы финансовых средств до сих пор проявляют интерес лишь к занимающим менее 2% территории страны земельным участкам, отведенным для застройки в городах, да и то не во всех, а лишь в крупнейших и крупных, либо обладающих рекреационным потенциалом. В этом нет ничего удивительного, ибо современная российская экономика имеет сырьевую ориентацию и не нуждается в значительных дополнительных территориальных площадях и земельных ресурсах.

Вряд ли целесообразно повсеместное создание земельной кадастровой системы и потому, что земельный рынок как главная предпосылка организации такой системы существует в России в депрессивном, деформированном и «очаговом» состоянии.

Все это означает, что деньги, потраченные для создания и размещения на всей территории страны опорных пунктов земельно-кадастровой системы, с большой долей вероятности окажутся выброшенными на ветер, особенно те из них, которые будут вложены в технические и программные средства, требующие непрерывного, буквально через каждые полтора-два года, обновления.

Отсюда никак не следует, что нужно вообще отказаться от организации российского кадастра объектов недвижимости.

Чтобы решить поставленные задачи и не допустить разбазаривания средств налогоплательщиков, следует хотя бы ориентировочно установить те части географического пространства России, где в обозримой перспективе действительно потребуется полноценная кадастровая информация о земельно-недвижимом ресурсе экономического роста, и сформировать там опорные пункты единого кадастрового учета земельных участков и прочно связанной с ними недвижимости.

Ничем не обоснованная, разорительная для государственной казны спешка в создании на всей территории России опорных пунктов кадастровой системы – не единственный изъян практики ее организации. Не менее серьезный недостаток, по существу исключающий возможность использования кадастровой информации для каких-либо серьезных экономических расчетов и обоснований, заключается в том, что информация эта является максимально деэкономизированной, сведенной в основном к показателям геодезических измерений в сочетании с неким набором правоустанавливающих характеристик (сведения о собственнике, адрес участка и разного рода ограничения) и сомнительными по своей достоверности оценками кадастровой стоимости объектов учета. Другие показатели, позволяющие использовать кадастровую информацию как сведения об экономическом ресурсе, а тем более о многомерной сравнительной ценности его потребительских свойств, оказались напрочь «выкорчеванными».

И теперь в единое целое необходимо свести информацию, объективно формирующуюся на разном территориально-географическом основании, не синхронизированную во времени и, что самое главное, с разными возможностями приведения к общему экономическому «знаменателю».

Задача весьма сложная но посильная, если организовать в дополнение к модернизированной кадастровой системе совмещенный по времени и месту комплексный мониторинг экономического пространства, причем так, чтобы соединить в единой информационной «оболочке» привязанные по месту и времени «наслоения» разнородных информационных массивов. Для этого нужно решить еще один не терпящий отлагательства вопрос – отказаться от профессионально ущербной методики массовой кадастровой оценки земельно-недвижимых объектов и освоить в практической оценочной деятельности профессионально полноценные методические разработки.

Важно уяснить, что оценка стоимости каждого товара в отдельности для осуществления текущих рыночных сделок между конкретными партнерами совсем не то же самое, что оценка «товарной массы» для решения задач государственного управления экономикой. Если в первом случае достаточно увязать оценку объекта сделки с текущей экономической конъюнктурой, когда вполне продуктивно применение таких общеизвестных методов, как доходный, затратный и сравнения продаж, то во втором варианте требуется более фундаментальные основания.

Необходимо разработать стандарты эффективности использования земельно-недвижимого ресурса. Для этого потребуется составить комплексные схемы рациональной экономико-землеустроительной организации производственной структуры региональных социально-экономических комплексов и оптимизации механизмов их функционирования. Эти схемы по идее не заменяют детализированные комплексные межотраслевые и отраслевые целевые программы, но обладают вполне конкретным методическим преимуществом. Суть в том, что в современных оптимизационных моделях регионального развития его территориально-земельное основание вводится в расчеты в усредненных количественных характеристиках, зачастую без учета сложной системы внутренних и внешних связей и зависимостей, без должного учета дифференциации его экономического содержания на макро-, мезо- и особенно микроуровне. Поэтому и региональные программы социально-экономического развития носят в известной мере абстрактный, упрощенный характер.

Важный момент грамотного управления земельно-недвижимым достоянием России – приведение рынка земельно-недвижимых объектов к цивилизованным стандартам. Центральной здесь является задача создания полноценной рыночной инфраструктуры, прогнозирования перспектив развития земельного рынка, выявления сегментных и региональных его диспропорций, разработки и осуществления мер регулирования, позволяющих нейтрализовать негативные отклонения в его функционировании.

В пакете этих задач на первое место нужно поставить затянувшееся на долгие годы создание таких структур, как Земельный банк, Земельный залоговый фонд, Фонд страхования рисков недобросовестных сделок с земельно-недвижимыми объектами, причем не только залога, но и сдачи в аренду, внесения в качестве пая в уставной капитал совместных предприятий, наконец, страхования от недобросовестных сделок с землей. И все это – с квалифицированным учетом специфики земельного участка.

Серьезным тормозом развития полноценного сбалансированного рынка земельно-недвижимых объектов остается дефицит, а по большому счету – просто отсутствие полноценных статистических данных по конъюнктуре спроса и предложения. Нельзя установить крайне необходимые для расчетов равновесной рыночной стоимости земельных ресурсов ценовые притязания одних и ценовые ожидания других партнеров по фиксируемым в статистике конечным результатам сделок.

Нужна объективная информация об интересах, оценках, установках и мотивах поведения участников рынка. На основе нынешней статистики стратегические перспективы развития земельного рынка определять просто невозможно.

Есть и другие уязвимые блоки в инфраструктуре рынка земельно-недвижимых объектов. Слабым звеном выступают, например, консалтинговые, посреднические структуры, информационно-аналитические, маркетинговые службы организации мониторинга рынка земельно-недвижимых объектов, и т.п.

В данный момент наиболее существенной и в то же время объективно трудноустранимой на современном этапе причиной проблемного состояния земельного рынка в России выступает большие затраты на освоение земли, неразвитость производственной инфраструктуры в сельской местности, недостаточный объем инвестиций в сельскохозяйственное производство и на восстановление земли. Вместе с тем есть и вполне устранимые причины, сдерживающие становление полноценного земельного рынка. К ним относятся: недостаточная государственная поддержка землевладельцев; недоверие людей к властям и проводимой ими экономической политике; неразвитость системы средне- и долгосрочного кредитования; коррумпированность властей. Для квалифицированного решения проблем развития и определения перспектив использования земельно-недвижимого комплекса России необходимо существенно укрепить научное обеспечение управленческой деятельности в данной сфере. Целесообразно также организовать институт соответствующего профиля. Принципиальное значение в развитии земельного рынка России будет иметь создание соответствующих земельных финансовых инструментов и агрегатов: земельных акций, облигаций, векселей, сертификатов и иных ценных бумаг, обеспечивающих приток реальных инвестиций.

Таким образом, главной задачей на сегодня является создания полноценной рыночной инфраструктуры, прогнозирования перспектив развития земельного рынка, выявления сегментных и региональных его диспропорций, разработки и осуществления мер регулирования, позволяющих нейтрализовать негативные отклонения в его функционировании.

Заключение

Перспективы развития рынка земли - очень актуальный вопрос на сегодняшний день. Ни для кого не является секретом, что предложение рынка земли имеет свой предел. Это объясняется тем, что количество земли на нашей планете ограничено. Таким образом, рынок земли является очень специфическим рынком среди других видов рынка. Земля очень ценилось во все времена. В древних веках ее захватывали; в средние века — землю раздавали верноподданным, в знак уважения за их преданность; а сегодня на рынке земли делают большие деньги. Можно даже сказать, что огромные деньги. На сегодняшний день люди, владеющие земельными участками, можно сказать богачи. Это объясняется тем, что сегодня спрос на недвижимость и землю значительно превышает предложение, а, следовательно, образуется дефицит недвижимости. Единственный выход в сложившейся ситуации - строить новые дома. Далее по цепочке - если надо строить дома, то надо и покупать землю. Таким образом, при таком дефиците, владельцы земли могут по праву считаться богатыми людьми. Примерно так сегодня выглядит российский рынок земли. Если говорить о цифрах, то сейчас примерно прибыль от инвестирования в строительство жилых домов составляет 40-60%. Ну, а если уж сильно постараться, то можно получить и все 80% чистого дохода. Также очень выгодно строить помещения для различных складов. Вследствие этого резко повысился спрос именно на земельные участки больших размеров.

Как показывает статистика, рынок земли с каждым годом становится все дороже. Цены растут с огромной скоростью. Вместе с тем, одной из главных проблем земельного рынка становится уменьшение или неправильное использование сельскохозяйственных земель. Ведь, если подумать, то получается, что наша великая и большая страна закупает большой процент сельскохозяйственных товаров за границей. А ведь у самих-то сколько земли? Сколько полей? Может, стоит задуматься не только о новостройках? Может надо просто поддержать сельского фермера? Поддержав наших фермеров, мы убьем сразу 2-х зайцев. Во-первых: мы будем потреблять свои продукты, что значительно полезнее и экономичнее, а во-вторых: подняв сельское хозяйство - из деревень люди не будут бежать в города, где имеет место дефицит жилья. Люди будут оставаться в села и работать. Ведь наше процветание зависит именно от этих работящих людей.

Таким образом, землей надо распоряжаться с умом, это один из самых дорогих наших ресурсов, тем более, предложение земли ограничено. Поэтому надо беречь и правильно использовать каждый километр нашей России.

Список использованной литературы

1. "Земельный кодекс Российской Федерации" от 25.10.2001 N 136-ФЗ (принят ГД ФС РФ 28.09.2001) (ред. от 27.12.2009) (с изм. и доп., вступающими в силу с 01.04.2010)

2. Федеральный закон от 25.10.2001 N 137-ФЗ (ред. от 27.12.2009) "О введении в действие Земельного кодекса Российской Федерации" (принят ГД ФС РФ 28.09.2001)

3. Базылев Н.И., Гурко С.П., Базылева М.Н. Экономическая теория. Учебник. – М.: Инфра – М, 2007. 147 с.

4. Беленький В.Р.. Что нужно сделать для формирования земельного рынка в России // Независимая газета. 2007. № 103. 51 с.

5. Беленький В.Р. Российский рыночный землеоборот: миф или реальность? // Вопросы экономики. № 11. 2008. 62 с.

6. Гольцблат.А. Сделки с землей: купля-продажа, аренда, приватизация, ипотека – М., 2008. 74 с.

7. Горемыкин В.А. Современный земельный рынок России: практ. пособие. – М., 2007. 345 с.

8. Журавлева Г.П.. Курс экономической теории.– М.: Инфра – М, 2008. 250 с.

9. Казначевская Г.Б. Экономическая теория. Учебник для колледжей. – Ростов-на-Дону: Феникс, 2008. 350 с.

10. Кабаков С.И. К вопросу формирования цен на землю в городах России// Экономика строительства. 2007. №6. 65 с.

11. Ковальчук А. Земельный рынок России. // Отечественные записки. № 1. 2007. 261 с.

12. Комов Н.В. Социально-экономические и правовые аспекты становления земельных отношений в России// Земельный вестник России. № 1. 2007. 89 с.

13. Кресникова Н. Становление земельного рынка в РФ// Экономика сельского хозяйства в России. 2008. №3. 58 с.

14. Липски С. А. Институциональные преобразования в системе земельных отношений и их исследование (модель России конца XX - начала XXI века). -М., 2008. 209 с.

15. Нуреев Р.М. Курс микроэкономики. Учебник. – М.: Норма, 2007. 189 с.

16. Носова С.С. Экономическая теория. – М.: Владос, 2009. 178 с.

17. Николаева И.П.. Экономическая теория. Учебник.– М.: Юрист, 2008. 321 с.

18. Слагода В.Г. Основы экономической теории. – М.: Форум – Инфра-М., 2007. 267 с.

19. Сажина М.А., Чибриков Г.Ю. Экономическая теория. Учебник. – М.: Норма, 2008. 269 с.

20. Сивкина Р.А. Экономический словарь. – М.: Норма, 2008. 165 с.

21. Шагайда Н. Земельный рынок // Рынки факторов производства в АПК России: перспективы анализа. М.: АЭП, 2007. 86 с.

22. Шагайда Н. Формирование рынка земель сельскохозяйственного назначения в России// Отечественные записки. 2007. №1. 268 с.

Приложение


[1] Базылев Н.И., Гурко С.П., Базылева М.Н. Экономическая теория. Учебник. – М.: Инфра – М, 2007. с.101

[2] Кабаков С.И. К вопросу формирования цен на землю в городах России// Экономика строительства. 2007. №6. с. 41

[3] Носова С.С. Экономическая теория. – М.: Владос, 2009. с. 52

[4] Сажина М.А., Чибриков Г.Ю. Экономическая теория. Учебник. – М.: Норма, 2008. с. 111

[5] Шагайда Н. Земельный рынок // Рынки факторов производства в АПК России: перспективы анализа. М.: АЭП, 2007. с. 110

[6] Горемыкин В.А. Современный земельный рынок России: практ. пособие. – М., 2007. с. 211

[7] Журавлева Г.П.. Курс экономической теории.– М.: Инфра – М, 2008. с. 200

[8] Кабаков С.И. К вопросу формирования цен на землю в городах России// Экономика строительства. 2007. №6. с. 42

[9] Шагайда Н. Формирование рынка земель сельскохозяйственного назначения в России// Отечественные записки. 2007. №1. с. 36

[10] Шагайда Н. Земельный рынок // Рынки факторов производства в АПК России: перспективы анализа. М.: АЭП, 2007. с. 62

[11] Горемыкин В.А. Современный земельный рынок России: практ. пособие. – М., 2007. с. 177

[12] Кабаков С.И. К вопросу формирования цен на землю в городах России// Экономика строительства. 2007. №6. с. 44

[13] Шагайда Н. Формирование рынка земель сельскохозяйственного назначения в России// Отечественные записки. 2007. №1. с. 69

[14] Базылев Н.И., Гурко С.П., Базылева М.Н. Экономическая теория. Учебник. – М.: Инфра – М, 2007. с. 100

[15] Горемыкин В.А. Современный земельный рынок России: практ. пособие. – М., 2007. с. 111

[16] Журавлева Г.П.. Курс экономической теории.– М.: Инфра – М, 2008. с. 87

[17] Казначевская Г.Б. Экономическая теория. Учебник для колледжей. – Ростов-на-Дону: Феникс, 2008. с. 99

[18] Ковальчук А. Земельный рынок России. // Отечественные записки. № 1. 2007. с. 93

[19] Беленький В.Р.. Что нужно сделать для формирования земельного рынка в России // Независимая газета. 2007. № 103. с. 12

[20] Шагайда Н. Земельный рынок // Рынки факторов производства в АПК России: перспективы анализа. М.: АЭП, 2007. с. 85

[21] Беленький В.Р.. Что нужно сделать для формирования земельного рынка в России // Независимая газета. 2007. № 103. с. 112

[22] Ковальчук А. Земельный рынок России. // Отечественные записки. № 1. 2007. с. 158

[23] Ковальчук А. Земельный рынок России. // Отечественные записки. № 1. 2007. с. 156

[24] Слагода В.Г. Основы экономической теории. – М.: Форум – Инфра-М., 2007. с. 87

[25] Сивкина Р.А. Экономический словарь. – М.: Норма, 2008. с. 65

[26] Шагайда Н. Земельный рынок // Рынки факторов производства в АПК России: перспективы анализа. М.: АЭП, 2007. с. 66

[27] Сажина М.А., Чибриков Г.Ю. Экономическая теория. Учебник. – М.: Норма, 2008. с. 74

[28] Базылев Н.И., Гурко С.П., Базылева М.Н. Экономическая теория. Учебник. – М.: Инфра – М, 2007. с. 113

[29] Журавлева Г.П.. Курс экономической теории.– М.: Инфра – М, 2008. с. 188

[30] Слагода В.Г. Основы экономической теории. – М.: Форум – Инфра-М., 2007. с. 195

[31] Базылев Н.И., Гурко С.П., Базылева М.Н. Экономическая теория. Учебник. – М.: Инфра – М, 2007. с. 45

[32] Сажина М.А., Чибриков Г.Ю. Экономическая теория. Учебник. – М.: Норма, 2008. с. 46

[33] Беленький В.Р.. Что нужно сделать для формирования земельного рынка в России // Независимая газета. 2007. № 103. с. 25

[34] Шагайда Н. Формирование рынка земель сельскохозяйственного назначения в России// Отечественные записки. 2007. №1. с. 29

[35] Сивкина Р.А. Экономический словарь. – М.: Норма, 2008. с. 87

[36] Шагайда Н. Земельный рынок // Рынки факторов производства в АПК России: перспективы анализа. М.: АЭП, 2007. с. 52

[37] Журавлева Г.П.. Курс экономической теории.– М.: Инфра – М, 2008. с. 96

[38] Беленький В.Р.. Что нужно сделать для формирования земельного рынка в России // Независимая газета. 2007. № 103. с. 48

[39] Горемыкин В.А. Современный земельный рынок России: практ. пособие. – М., 2007. с. 82

[40] Шагайда Н. Земельный рынок // Рынки факторов производства в АПК России: перспективы анализа. М.: АЭП, 2007. с. 71

[41] Ковальчук А. Земельный рынок России. // Отечественные записки. № 1. 2007. с. 69

[42] Шагайда Н. Формирование рынка земель сельскохозяйственного назначения в России// Отечественные записки. 2007. №1. с. 185

[43] Шагайда Н. Земельный рынок // Рынки факторов производства в АПК России: перспективы анализа. М.: АЭП, 2007. с. 13

[44] Слагода В.Г. Основы экономической теории. – М.: Форум – Инфра-М., 2007. с. 179

[45] Горемыкин В.А. Современный земельный рынок России: практ. пособие. – М., 2007. с. 34

[46] Казначевская Г.Б. Экономическая теория. Учебник для колледжей. – Ростов-на-Дону: Феникс, 2008. с. 261

[47] Кабаков С.И. К вопросу формирования цен на землю в городах России// Экономика строительства. 2007. №6. с. 37

[48] Базылев Н.И., Гурко С.П., Базылева М.Н. Экономическая теория. Учебник. – М.: Инфра – М, 2007. с. 85

[49] Беленький В.Р. Российский рыночный землеоборот: миф или реальность? // Вопросы экономики. № 11. 2008. с. 23

[50] Базылев Н.И., Гурко С.П., Базылева М.Н. Экономическая теория. Учебник. – М.: Инфра – М, 2007. с. 45

[51] Ковальчук А. Земельный рынок России. // Отечественные записки. № 1. 2007. с. 63

[52] Слагода В.Г. Основы экономической теории. – М.: Форум – Инфра-М., 2007. с. 125

[53] Горемыкин В.А. Современный земельный рынок России: практ. пособие. – М., 2007. с. 67

[54] Шагайда Н. Земельный рынок // Рынки факторов производства в АПК России: перспективы анализа. М.: АЭП, 2007. с. 55

[55] Нуреев Р.М. Курс микроэкономики. Учебник. – М.: Норма, 2007. с. 100

[56] Беленький В.Р.. Что нужно сделать для формирования земельного рынка в России // Независимая газета. 2007. № 103. с. 31

[57] Беленький В.Р. Российский рыночный землеоборот: миф или реальность? // Вопросы экономики. № 11. 2008. с. 63

[58] Сивкина Р.А. Экономический словарь. – М.: Норма, 2008. с. 57

[59] Комов Н.В. Социально-экономические и правовые аспекты становления земельных отношений в России// Земельный вестник России. № 1. 2007. с. 225

[60] Казначевская Г.Б. Экономическая теория. Учебник для колледжей. – Ростов-на-Дону: Феникс, 2008. с. 59

Оценить/Добавить комментарий
Имя
Оценка
Комментарии:
Хватит париться. На сайте FAST-REFERAT.RU вам сделают любой реферат, курсовую или дипломную. Сам пользуюсь, и вам советую!
Никита04:15:14 04 ноября 2021
.
.04:15:13 04 ноября 2021
.
.04:15:11 04 ноября 2021
.
.04:15:10 04 ноября 2021
.
.04:15:08 04 ноября 2021

Смотреть все комментарии (20)
Работы, похожие на Курсовая работа: Рынок земли 3

Назад
Меню
Главная
Рефераты
Благодарности
Опрос
Станете ли вы заказывать работу за деньги, если не найдете ее в Интернете?

Да, в любом случае.
Да, но только в случае крайней необходимости.
Возможно, в зависимости от цены.
Нет, напишу его сам.
Нет, забью.



Результаты(294402)
Комментарии (4230)
Copyright © 2005 - 2024 BestReferat.ru / реклама на сайте