Содержание
| Введение |
3 |
| 1. |
Глава 1. Литературный обзор |
4 |
| 1.1. Классификация перенапряжений |
4 |
| 1.2. Грозовые (внешние) перенапряжения и защита от них |
5 |
| 1.3. Внутренние перенапряжения |
9 |
| 1.4. Аварийность в сетях высокого напряжения вследствие внутренних перенапряжений |
16
|
| 1.5. Меры защиты от перенапряжений |
18 |
| Заключение |
22 |
| Список литературы |
23 |
Введение
Номинальным напряжением изоляции оборудования электрической сети определяется его оптимальное рабочее напряжение в процессе эксплуатации. Работа сети неизбежно сопровождается постоянными колебаниями рабочего напряжения, вызванными изменениями нагрузки, схемы питания сети, числа работающих генераторов и т.п. В случае коротких замыканий, внезапных разрывов цепи, отключение нагрузки и других неблагоприятных режимов возможны большие отклонения воздействующего на изоляцию напряжения от заданного нормальным режимом значения. На напряжение промышленной частоты могут накладываться кратковременные импульсы, вызванные переходными процессами в сети или внешними воздействиями, такими, как влияние соседних цепей либо грозовые разряды. Любое превышение этих напряжений принято называть перенапряжением электрической стойкости изоляции или просто перенапряжением.
Глава 1. Литературный обзор.
1.1.
Классификация перенапряжений
Перенапряжение, любое увеличение (повышение) напряжения, в какой-либо части установки или линии электропередачи, достигающее величины, опасной для состояния изоляции установки[1][2][3]. При перенапряжениях создаются тяжелые условия для работы изоляции, т.к. они могут во много раз превышать максимальное рабочее напряжение. Перенапряжение представляет также опасность для людей, находящихся во время перенапряжения в непосредственной близости от установки или линии[4].
Перенапряжения подразделяются на:
1) Внешние (грозовые)
2) Внутренние (коммутационные и квазистационарные)
К основным характеристикам перенапряжения (которые, как правило, являются случайными величинами) относят следующие:
1. Максимальное значение амплитуды напряжения при перенапряжении или кратность перенапряжений (равная отношению максимального значения перенапряжения к амплитуде наибольшего допустимого рабочего напряжения).
2. Длительность воздействия перенапряжения.
3. Форма кривой перенапряжений (апериодическая, колебательная, высокочастотная и др.).
4. Широта охвата элементов электрической цепи.
Все перечисленные характеристики имеют стохастическую природу и имеют значительный статический разброс, который обязательно учитывается при расчетах. Для изоляции высоковольтных устройств низких и средних классов напряжения (U≤220 кВ) наиболее опасными являются грозовые перенапряжения. Их изоляция выдерживает коммутационные перенапряжения любой кратности.
Забиваем Сайты В ТОП КУВАЛДОЙ - Уникальные возможности от SeoHammer
Каждая ссылка анализируется по трем пакетам оценки: SEO, Трафик и SMM.
SeoHammer делает продвижение сайта прозрачным и простым занятием.
Ссылки, вечные ссылки, статьи, упоминания, пресс-релизы - используйте по максимуму потенциал SeoHammer для продвижения вашего сайта.
Что умеет делать SeoHammer
— Продвижение в один клик, интеллектуальный подбор запросов, покупка самых лучших ссылок с высокой степенью качества у лучших бирж ссылок.
— Регулярная проверка качества ссылок по более чем 100 показателям и ежедневный пересчет показателей качества проекта.
— Все известные форматы ссылок: арендные ссылки, вечные ссылки, публикации (упоминания, мнения, отзывы, статьи, пресс-релизы).
— SeoHammer покажет, где рост или падение, а также запросы, на которые нужно обратить внимание.
SeoHammer еще предоставляет технологию Буст, она ускоряет продвижение в десятки раз,
а первые результаты появляются уже в течение первых 7 дней.
Зарегистрироваться и Начать продвижение
Для изоляции высоковольтных устройств высоких и сверхвысоких классов напряжения (U≥330 кВ) наиболее опасными являются коммутационные перенапряжения.
Поэтому на низких классах напряжения ограничивают специальными устройствами только грозовые перенапряжения, а на высоких классах принудительно ограничивают и внутренние перенапряжения[18].
1.2.
Грозовые (внешние) перенапряжения и защита от них
Главную опасность в электрических установках напряжением 1 ...220 кВ представляют возникающие при грозовых разрядах атмосферные перенапряжения.
Процесс атмосферного перенапряжения упрощенно можно представить следующим образом. Нижняя часть грозового облака (обычно заряженная отрицательно) и земля образуют своего рода конденсатор с обкладками облако — земля (рис. 1). По мере накопления отрицательных зарядов облака и положительных зарядов земли растет напряженность электрического поля между ними. Когда напряженность в каком-нибудь месте достигает критического значения (25...30 кВ/см), воздух ионизируется и начинается развитие разряда с облака на землю.Рис.1.
Перед моментом разряда в проводах линии электропередачи возникает электрический ток, обусловленный притягиванием положительных зарядов с дальних участков линии к месту расположения облака. После разряда молнии электрическое поле исчезает вследствие нейтрализации зарядов облака и земли, накопившиеся в линии заряды больше не удерживаются электрическим полем и начинают растекаться к обоим концам линии. Так возникают две электромагнитные волны индуктированного перенапряжения, движущиеся по линии в противоположных направлениях со скоростью света[13].
Прямой удар молнии в линию электропередачи при этом не обязателен. Но если он происходит, то также приводит к образованию двух волн перенапряжения, идущих вдоль линии в противоположные стороны. В данной ситуации перенапряжение особенно велико, амплитуда тока молнии достигает в среднем 25 кА, а в одном случае из ста — 200 кА. Между проводами и землей возникает напряжение, определяемое по эмпирической формуле U = 100/м.
Если это напряжение превышает электрическую прочность изоляции в какой-либо точке линии или на подстанции, то происходит перекрытие изоляции, ее пробой и короткое замыкание.
Сервис онлайн-записи на собственном Telegram-боте
Попробуйте сервис онлайн-записи VisitTime на основе вашего собственного Telegram-бота:
— Разгрузит мастера, специалиста или компанию;
— Позволит гибко управлять расписанием и загрузкой;
— Разошлет оповещения о новых услугах или акциях;
— Позволит принять оплату на карту/кошелек/счет;
— Позволит записываться на групповые и персональные посещения;
— Поможет получить от клиента отзывы о визите к вам;
— Включает в себя сервис чаевых.
Для новых пользователей первый месяц бесплатно.
Зарегистрироваться в сервисе
Электрические установки на подстанциях защищают от прямых ударов молнии вертикальными стержневыми молниеотводами, а линии — горизонтальными молниеотводами. Вертикальный стержневой молниеотвод представляет собой высокий столб с проложенным вдоль него стальным проводом, который соединен с заземлителем. Горизонтальный молниеотвод представляет собой провод, расположенный над фазными проводами линии на тех же опорах. Чем выше над защищаемым объектом расположен молниеотвод, тем больше его защитная зона, в которой молниеотвод как бы перехватывает молнию и отводит ее в землю.
Для защиты объектов, занимающих большую площадь (например, открытых подстанций), применяют два или четыре вертикальных молниеотвода. Площадь защитной зоны группы из двух и особенно из четырех молниеотводов значительно больше, чем сумма площадей защитных зон двух или четырех одиночных молниеотводов. Необходимое условие защищенности всей площади четырьмя молниеотводами:
- Защитная зона вертикального молниеотвода имеет вид конуса с радиусом гх
па высоте hx
(рис. 2). Значение гх
определяют по формуле D=9ha
, где D -расстояние между молниеотводами по диагонали.

Рис. 2. Защитная зона молниеотвода:
1 — защищаемый объект; 2 — молниеотвод
Тросовые молниеотводы защищают линию на всей протяженности тросов.
Для отвода токов разряда молнии в землю молниеотводы присоединяются к заземляющему устройству (заземлителю) на подстанции и на каждой опоре линии. Заземлители выполняют из стальных труб, прутков или уголков, вбиваемых в землю. Сопротивление заземлителей опор линий электропередачи должно быть не более 30 Ом, сопротивление заземляющего устройства подстанции — не более 0,5 Ом.
Защита зданий, закрытых подстанций, распределительных устройств от прямых ударов молнии выполняется заземлением молниеприемной сетки, железобетонных несущих конструкций кровли или металлического покрытия кровли. При отсутствии металлических покрытий на крыше здания устанавливают стержневые молниеотводы. Открытые РУ и подстанции защищают стержневыми молниеотводами, устанавливаемыми на опорах РУ. Подходы воздушных линий напряжением 35 кВ защищают тросовыми молниеотводами на протяжении 1... 4 км, а линии напряжением 110 кВ и выше — по всей длине. Требования к молниезащите и конструкции ее устройств приведены в ПУЭ.
Наличие молниезащиты воздушных линий и подстанций не предотвращает возникновение атмосферных перенапряжений при разрядах молнии вблизи подстанций и линий. Поэтому грозозащита воздушных линий, подстанций и РУ предусматривает установку на линиях, не защищенных тросами по всей длине, трубчатых разрядников, установку в РУ вентильных разрядников, применение на изоляторах защитных промежутков.
Разрядники настраивают так, чтобы происходил пробой их разрядных промежутков при возникновении перенапряжения: в установках напряжением до 35 кВ — до 9 UH
, в установках напряжением 35 кВ — до 4UН
, в установках напряжением 110 кВ и выше — до (2,4...2)UH
. В результате пробоя импульс напряжения отводится в землю, после чего дуга в разряднике гаснет при переходе тока через нулевое значение.
В пожаро- и взрывоопасных электроустановках возникает повышенное напряжение еще одного вида, с которым необходимо считаться и принимать меры противодействия. При наполнении резервуаров и сливных операциях возможно образование зарядов статического электричества. В результате трения происходит электризация потока сжатого воздуха, ременных передач и т.д. Заряды статического электричества резко увеличиваются при наличии примесей воды, пыли или грязи в потоке жидкости, газа.
Основной мерой защиты от возникновения искр при разряде статического электричества служит заземление резервуаров, трубопроводов, сливо-наливных устройств. Кроме того, запрещается сливать жидкость свободно падающей струей и применять ременные передачи в пожароопасных помещениях[21].
1.3.
Внутренние перенапряжения
Внутренние перенапряжения по длительности и по причине возникновения делятся на квазистационарные и коммутационные.
Квазистационарные перенапряжения продолжаются от единиц секунд до десятков минут и в свою очередь подразделяются на режимные, резонансные, феррорезонансные и параметрические. Режимные перенапряжения возникают при несимметричных коротких замыканиях на землю, а также при разгоне генератора в случае резкого сброса нагрузки. Резонансные перенапряжения имеют место при возникновении резонансных эффектов в линиях (при одностороннем питании линии), в электрических цепях при наличии реакторов. При несимметричном отключении фаз линий электропередачи, когда отключается только одна или две фазы линии, возможно возникновение резонансных перенапряжений, физическая сущность которых сводится к явлению нелинейного гармонического резонанса (феррорезонанс). Такие случаи бывают при обрыве одного из проводов линии, который часто сопровождается падением на землю одного из концов провода, при перегорании плавких вставок в одной или двух фазах; при неодновременном отключении фаз включателя, что может иметь место при пофазном управлении и т.д. Феррорезонансные перенапряжения возникают в цепях с катушками с насыщенным магнитопроводом, что может быть как на частоте 50 Гц, так и на высших гармониках и на субгармониках. Особенностью феррорезонанса является скачкообразный вход в режим резонанса (триггерный эффект)[22],[5].
Коммутационные перенапряжения возникают при переходных процессах и быстрых изменениях режима работы сети (при работе коммутационных аппаратов, при коротких замыканиях и при прочих резких изменениях режима) за счет энергии, запасенной в емкостных и индуктивных элементах. Наиболее часто такие перенапряжения имеют место при коммутациях линий, индуктивных элементов, конденсаторных батарей[3].
В процессе эксплуатации электрических установок коммутационные перенапряжения возникают при включениях и отключениях цепей, дуговых замыканиях на землю, резонансе участков сети на рабочей частоте или частоте высших гармоник. Для установок с напряжением 330 кВ и выше перенапряжения внутреннего происхождения являются определяющими при выборе уровней изоляции. Характерны для линий с напряжением 330—500 кВ кратковременные перенапряжения при переходных процессах, возникающих в результате нормальных или аварийных коммутационных процессов в системе[5].
Решающее влияние на уровень внутренних перенапряжений оказывают характеристики выключателей. Опытом установлено, что в сетях 110 кВ с масляными выключателями при отключении ненагруженных линий возникают многократные повторные зажигания и появляются перенапряжения, достигающие от 2,5 до 3,1 Uф . При отключении той же системы с глухозаземленной нейтралью с воздушными выключателями перенапряжения не превышают 2,5 Uф.
При отключении ненагруженных трансформаторов возможны перенапряжения более 3Uф. Эти перенапряжения из-за малой длительности могут быть приравнены к атмосферным перенапряжениям. Поэтому для защиты изоляции на подстанциях и станциях от перенапряжений служат обычные вентильные разрядники. Основной мерой защиты от внутренних перенапряжений являлся до сих пор выбор таких уровней изоляции, которые могли бы обеспечить бесперебойную работу электрических аппаратов и трансформаторов при воздействии перенапряжений, возникающих при различных переходных режимах. В настоящее время уровень внутренних перенапряжений для электропередач с напряжением 330 кВ принят 2,7 Uф при условии, что система имеет глухозаземленную нейтраль, защищена вентильными разрядниками, а выключение осуществляется воздушным или малообъемным масляным выключателями. В электропередачах с напряжением 500 кВ необходимо учитывать появление перенапряжений, связанных со специфическими особенностями передачи энергии по длинным линиям. Характерно для длинных линий то, что они имеют большую величину емкости относительно земли. Поэтому при работе их на холостом ходу и включении на полное фазовое напряжение, напряжение на разомкнутом конце значительно превышает напряжение в начале линии. Чтобы устранить такое явление, применяют шунтирующий реактор, который включают между каждым проводом линии и землей в определенных местах линии и тем самым компенсирует ее емкость.
В конструктивном отношении шунтирующий реактор представляет собой индуктивную катушку, помещенную на магнитопровод и опущенную в бак с маслом. Реактор может быть использован для отбора мощности.
Поскольку длинные линии обладают большой индуктивностью, это ведет к уменьшению передаваемой мощности. Для устранения этого явления включают в рассечку линии емкость. Такое устройство называют продольной компенсацией.
К перенапряжениям длинных линий с напряжением 500 кВ относится повышение напряжения основной частоты при одностороннем включении или отключении линии, а также перенапряжения резонансного характера. При разрыве передачи у приемного конца при однофазном замыкании перенапряжения достигают 2,6 Uф. При отключении ненагруженного участка линии при однофазном коротком замыкании и отключенном реакторе перенапряжения достигают 2,8 Uф, а на контактах выключателя 4 Uф. Опыты показали, что на линиях 400 кВ перенапряжения могут изменяться в пределах от 1,6 Uф до 3 Uф. Расчетный уровень внутренних перенапряжений для 400 кВпринимается равным 3 Uф. Этот уровень является предельным и по технико-экономическим соображениям. Для напряжений 500 кВ уровень внутренних перенапряжений снижается до величины 2,5 Uф[22].
Отключение линии с повторным зажиганием дуги.
Если выключателем в начале линии отключить ее в тот момент, когда зарядный ток линии равен нулю, а напряжение достигает максимума, то линия даже при отключенном генераторе будет удерживать напряжение Uф. Через полпериода с момента отключения генератора напряжение на его зажимах изменит знак и достигнет отрицательного максимума. Разность потенциалов на выключателе возрастет до удвоенного значения Uф. Если к этому времени расстояние между контактами выключателя будет невелико, то оно будет пробито и на выключателе появится снова дуга. В линии в это время от генератора к ее концу направится волна с напряжением —2 Uф. Дойдя до конца, она отразится от него до —4 Uф.
Вычитая + Uф из -4Uф, получим - 3 Uф. Таким образом, линии окажется заряженной до -З Uф. Через полпериода напряжение на выключателе за счет перемены знака напряжения источника достигнет +4 Uф. Это напряжение может снова пробить промежуток в выключателе и тогда вновь появится дуга, и напряжение на линии в процесс перезарядки может возрасти до 5 Uф и т. Д[23],.
Отключение ненагруженных линий.
Коммутация линии разбивается на два этапа. При отключении вначале происходит отключение от нагрузки, затем – отключение ненагруженной линии от шин питающей подстанции. При включении вначале производится включение ненагруженной линии под напряжением, а затем включение под нагрузку. Данные измерения в сетях показали, что коммутационные перенапряжения на линиях возникают только при коммутациях ненагруженной линии: ее включение под напряжение или ее отключение от напряжения. Коммутации включения под нагрузку и отключения от нагрузки не сопровождаются перенапряжениями на линиях или вызывают перенапряжения малой кратности, которое можно не учитывать.
Как при включениях, так и при отключениях ненагруженных линии максимальные перенапряжения имеют место на разомкнутом конце линии. В тех случаях, когда коммутация ненагруженной линии производилась выключателями без повторных пробоев дугового промежутка, наибольшие перенапряжения возникали при операции включения. Когда коммутирующий выключатель давал повторные пробои, максимальные перенапряжения могли возникать при операции отключения.
На рисунке 3 представлена схема ненагруженной линии. Выключатель В3
отключает ненагруженную линию Л1
. В цепи протекает синусоидальный ток.
Рис. 3. Схема ненагруженной линии (а) и график переходного процесса при повторном зажигании дуги в выключателе (б)
При обрыве этого тока (при его прохождении через нуль) напряжение на линии Л
1
имеет амплитудное значение U
= Uy
.
max
.
После обрыва тока на линии сохраняется напряжение U
0
= Uy
.
max
, создаваемое зарядом на емкостях линии. На контактах выключателя появляется напряжение U
в
(t
), вызванное разностью ЭДС источника e
= Emax
cos(w
t
) и напряжение U
0
,
созданное зарядом на линии. U
в
(t
) = Emax
cos(w
t
) – U
0
.
Через полпериода промышленной частоты напряжение на контактах выключателя достигнет значения Emax
+ U
0
.
Максимальное напряжение в переходном процессе зависит от повторного пробоя межконтактного промежутка выключателя. Возможность повторного пробоя определяется соотношением между кривыми возрастания электрической прочности промежутков выключателя (2) и восстанавливающегося напряжения (1) (рис. 2.). Если кривая восстанавливающегося напряжения (кривая 1) пересечет кривую роста электрической прочности промежутков выключателя U
пр
(t
) в точке В
, то произойдет повторное зажигание дуги. Если же восстанавливающееся напряжение U
в
(t
) (кривая 2) растет медленно, то отключение ненагруженной линии произойдет без повторного пробоя.
Рис.4. Кривые восстанавливающейся прочности (U
пр
) (1) и напряжения на выключателе (U
в
) (2)
Из опыта эксплуатации известно, что величина перенапряжения составляет 3U
ф
. При снижении уровня изоляции до 2,5U
ф
при отключении ненагруженной линии указанные перенапряжения становятся опасным для изоляции[2].
Отключение ненагруженных трансформаторов.
Трансформатор можно выключить воздушным или масляным выключателями. В момент обрыва тока I0 напряжение на трансформаторе будет изменяться колебательным путем с частотой, определяемой индуктивностью Lтр и емкостью Стр трансформатора.
Из-за наличия активных сопротивлений колебания будут затухающими.
На генераторе при обрыве тока I0
тоже возникают колебания, осью которых является синусоидальное напряжение источника. Эти колебания затухают в течение некоторой I0
происходит при напряжении источника U0
и сопровождается перенапряжением. Перенапряжения на выключателе уменьшаются с увеличением емкости системы.
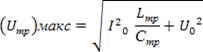
Максимальное напряжение на трансформаторе определяется по
формуле: 
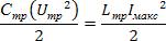
Если обрыв тока происходит при U0=0 и I0=Iмакс , то: 
Это выражение может быть получено из равенства электрической и магнитной энергий: 
Отсюда видно, что чем больше величины тока Iмакс и волнового сопротивления трансформатора [23].
Перенапряжение при автоматическом повторном включении (АПВ).
Использование АПВ основано на том, что большинство замыканий носит дуговой характер. Поэтому при отключении участка линии с КЗ с двух сторон дуга может погаснуть и линия может быть снова включена через время t
АПВ
(рис. 5). Цикл АПВ можно подразделить на следующие этапы:
· Отключение линии выключателем Q2, ближайшем к месту КЗ, приводящее к кратковременному режиму одностороннего питания линии;
· Отключение не поврежденных фаз линии выключателем Q1, т.е. обрыв емкостного тока при переходе его через нулевое значение, что соответствует максимуму напряжения на этих фазах;
· Повторное включение разомкнутой линии выключателем Q1;
· Замыкание выключателя Q2 и восстановление нормальной схемы электросабжения.

Рис. 5. Схема
После отключения выключателя Q2 напряжения на не поврежденных фазах в начале и в конце линии отличаются друг от друга и от ЭДС источника вследствие емкостного эффекта и КЗ на поврежденной фазе (поперечная несимметрия линии).
После отключения линии выключателем Q1 заряд на поврежденной фазе стекает в землю через дугу, а на неподвижных фазах происходит процесс выравнивания напряжения. Заряд на неповрежденных фазах линии без реакторов поперечной компенсации медленно стекает в землю через активные проводимости, которые определяются степенью загрязнения поверхности изоляторов и метеорологическими условиями. В среднем для сухой погоды при t
АПВ
=0,4 с напряжение оставшихся зарядов составляет 60-70% первоначального. Максимальное перенапряжение возникает при повторном включении разомкнутой линии выключателем Q1 [2].
1.4.
Аварийность в сетях высокого напряжения вследствие внутренних перенапряжений.
Внутренние перенапряжения являются причиной значительного числа аварий в сетях. Наиболее частым видом опасных внутренних перенапряжений считаются перенапряжения, связанные с дуговыми замыканиями на землю. Их доля среди всех видов аварий значительна, от 34 до 80%. Такие перенапряжения часто существуют в виде переходных процессов при перемежающейся дуге и опасны для изоляции электроустановок своей продолжительностью и широтой охвата сети, электрически связанной с местом повреждения.
Значительную долю нарушений составляют повреждения вследствие коммутационных и феррорезонансных перенапряжений. Наиболее часто отмечаются выходы из строя силовых трансформаторов и измерительных трансформаторов напряжения при длительных дуговых и металлических замыканиях на землю, при которых инициируется феррорезонансные явления. Внутренние перенапряжения, воздействуют на изоляцию электрооборудования, способствуют возникновению и накоплению дефектов изоляции. Ослабленная таким образом изоляция может быть повреждена умеренными грозовыми перенапряжениями или другими воздействиями, в том числе рабочим напряжением.
В сетях средних классов напряжения наибольшую аварийность имеют электрические машины. Вместе с тем эти машины играют важную роль при генерации, передаче и распределении электроэнергии. Так, например, повреждение изоляции электродвигателей, питаемых от сетей собственных нужд и выполняющих различные технологические функции, может привести к полному сбросу нагрузки всей станции или её части. Выход из строя мощных синхронных компенсаторов в значительной степени ухудшает технико-экономические показатели работы энергосистемы и требует серьезных ремонтно-восстановительных работ.
По данным эксплуатации наибольшая повреждаемость имеет место среди машин в сетях собственных нужд (СН) электростанций. Это объясняется тем, что изоляция некоторых видов электрических машин, например ответственных электродвигателей СН ТЭЦ и ГРЭС, работает в тяжелых условиях загрязненной и увлажненной среды, повышенной температуры, подвергается частым перегрузкам и электродинамическим воздействиям при пусках и коротких замыканиях, а в ряде случаев - повышенным вибрациям и перегревам, вследствие чего быстро изнашивается и имеет значительно меньшие запасы электрической прочности.
Ослабление изоляции по указанным выше причинам развивается столь быстро, что приводит к пробоям в период между очередными профилактическими испытаниями при рабочем напряжении или умеренных перенапряжениях. Число случаев пробоя изоляции электродвигателей во время работы в 2,5 раза превышает таковое при профилактике, эффективность которой не может быть увеличена учащением испытаний или повышением испытательных напряжений, так как оба этих направления в сложившейся обстановке ведут не к повышению надежности, а к чрезмерному увеличению объема работ по перемотке и восстановительному ремонту электродвигателей.
Таким образом, защита сетей от внутренних перенапряжений является одной из основных задач повышения надежности электро- и теплоснабжения обширных территорий[4].
1.5.
Меры защиты от перенапряжений
Меры и средства защиты от перенапряжений подразделяются на организационные и технические. Организационные меры защиты, в свою очередь, включают системные и оптимизационные, технические меры и средства защиты - превентивные и коммутационные.
Системные меры,строго говоря, не являются специальными мерами защиты от перенапряжений. Однако сооружение параллельных линий и расширение резервов оборудования, установка синхронных компенсаторов и шунтирующих реакторов и другие мероприятия дают возможность предотвратить или существенно уменьшить вероятность развития системной аварии, приводящей к наибольшему ущербу. Эти меры ограничивают также повышение рабочего напряжения сверх допустимого.
Оптимизационные мерытакже не являются специальными мерами защиты от перенапряжений в узком смысле слова. Как следует из названия, они предполагают разработку и выбор на стадии проектирования, а также реализацию в условиях эксплуатации оптимальной стратегии ведения режима работы сети, производства коммутаций и ликвидацию отрицательных последствий воздействия перенапряжений. К их числу следует отнести АПВ, селективную релейную защиту сети, автоматическое регулирование возбуждения генераторов и синхронных компенсаторов, своевременную и тщательную профилактику изоляции и ремонт оборудования.
Превентивные мерызащиты оказывают постоянное влияние на сеть. Их назначение - предотвратить возникновение перенапряжений или способствовать ограничению их величины. Благоприятное действие превентивных мер защиты проявляется на протяжении всего переходного процесса. К таким мерам можно отнести, в частности, применение выключателей, работа которых не вызывает появления больших перенапряжений (например, выключателей без опасных повторных зажиганий дуги между контактами и с шунтирующими сопротивлениями), грозозащитных тросов, заземление опор на линиях, емкостную защиту изоляции обмоток трансформаторов, заземление нейтрали трансформаторов через дугогасящие реакторы.
Коммутационныесредства защиты от перенапряжений, как правило, содержат в себе коммутирующие элементы, например искровые промежутки. Они срабатывают, когда перенапряжение в точке их установки превысит некоторую критическую величину. Это приводит к изменению схемы или параметров сети. Перенапряжение на изоляции ограничивается до допустимых пределов, авероятность возникновения перенапряжений высокой кратности существенно уменьшается. К коммутационным средствам защиты можно отнести также и нелинейные ограничители перенапряжений (ОПН). В этих аппаратах отсутствуют искровые промежутки и высоконелинейные резисторы подключены к сети постоянно. Однако при повышении напряжения на ОПН сверх наибольшего рабочего резко уменьшается их сопротивление, что эквивалентно срабатыванию искровых промежутков.
Как отмечалось, меры защиты от перенапряжений могут быть направлены на уменьшение последствий перекрытия или пробоя изоляции. Однако главное значение имеют мероприятия предусматривающие снижение уровня перенапряжений и, тем самым, вероятность пробоя или перекрытия изоляции. В ряде случаев, эти меры снижают вынужденную составляющую перенапряжений на изоляции. К ним можно отнести применение шунтирующих реакторов, синхронных компенсаторов и батарей продольной компенсации, секционирование длинных линий, применение регуляторов сильного действия. Снижение вынужденной составляющей напряжения при коммутационных перенапряжениях обеспечивается также глухим заземлением нейтрали в сетях 110 кВ и выше, установкой пониженных коэффициентов трансформации трансформаторов перед оперативными коммутациями линий, ограничением минимальной мощности питающей системы, а также программированием оптимальной очередности действия релейной защиты при аварийных включениях и отключениях линий.
В то же время ряд мер и средств защиты предназначены для ограничения переходной составляющей коммутационных перенапряжений. К ним относятся меры, обеспечивающие более благоприятные начальные условия коммутаций (например, снижение начального заряда при включении в цикле АПВ на линиях с установленными измерительными трансформаторами напряжения или выключателями с шунтирующими сопротивлениями), коммутации линии выключателями при оптимальной фазе э. д. с. Заземление нейтрали через дугогасящий реактор снижает вероятность возникновения дуговых перенапряжений. Демпферные обмотки в генераторах предотвращают возможность появления опасных перенапряжений на высших гармониках при несимметричных к. з. на линиях.
Для защиты оборудования от прямых ударов молнии применяются молниеотводы на подстанциях и грозозащитные тросы на линиях. Уменьшение вероятности опасных грозовых перенапряжений при ударах молнии в молниеотводы и другие заземленные элементы линий и подстанций достигается соединением их с землей при обеспечении достаточно малого импульсного сопротивления заземления. Защита изоляции от волн, набегающих по линиям, осуществляется с помощью разрядников и нелинейных ограничителей перенапряжений[5].
Заключение
Характеристики перенапряжений являются предметом тщательного изучения, прежде всего потому, что они определяют запасы электрической прочности изоляции, необходимые для достижения достаточной эксплуатационной надежности электрической сети. Ограничения технико-экономического характера не позволяют выбрать изоляцию, способную выстоять во всех без исключения случаях воздействия перенапряжений. Наоборот, наивысшие технико-экономические показатели электрооборудования достигаются при наличии некоторого риска его отказа при наиболее суровых перенапряжениях, которые могут быть признаны достаточно редкими.
В настоящее время проблема уточнения характеристик перенапряжений сохраняет свою актуальность в силу ряда причин. Во-первых, по мере роста мощности энергосистем происходит постоянное ужесточение требований к надежности и экономичности электрооборудования, включая и его изоляцию, что повышает уровень требований к точности оценки опасных воздействий. Во-вторых, разработка и применение новых устройств для снижения перенапряжений: нелинейных ограничителей перенапряжений, управляемых реакторов, усовершенствование коммутационной аппаратуры - ставят вопрос о пересмотре существующих уровней изоляции с учетом характеристик реальных воздействий. В-третьих, данные о перенапряжениях нужны при обосновании требований к самим упомянутым устройствам для ограничения перенапряжения. С особой остротой вопрос об уточнении воздействий на изоляцию встает при разработке новых высоковольтных конструкций: закрытых распределительных устройств высокого и сверхвысокого напряжения с элегазовой изоляцией; линий с пропускной способностью, повышенной за счет снижения прочности изолирующих промежутков; криогенных турбогенераторов и другого современного оборудования.
Список литературы
1. Внутренние перенапряжения на электрооборудовании высокого и сверхвысокого напряжения / И. Ф. Половой, Ю. А. Михайлов, Ф. Х. Халилов. — 2-е изд., перераб. и доп. — Л. : Энергоатомиздат, 1990. — 152 с. : ил. — Библиогр.: с. 148-150.
2. Техника высоких напряжений; Изоляция и перенапряжения в электрических системах : учебное пособие / В. В. Базуткин, В. П. Ларионов, Ю. С. Пинталь. — 3-е изд., перераб. и доп. — М. : Энергия, 1986. — 464 с.
3. Перенапряжения в электрических сетях различного назначения и защита от них : учебник / К. П. Кадомская, Ю. А. Лавров, А. А. Рейхердт. — Новосибирск : Изд-во НГТУ, 2006. — 368 с. : ил. — (Учебники НГТУ) .
4. Внутренние перенапряжения в сетях 6-35кВ / И. М. Зархи, В. Н. Мешков, Ф. Х. Халилов. — Л. : Наука : Ленингр. отд-ние, 1986. — 128,[1] с. : ил. ; 22 см. — Библиогр.: с. 124-128 (85 назв.).
5. Защита сетей 6-35 кВ от перенапряжений. Ф.Х Халилов, Г.А. Евдокунин, В.С. Поляков, Г.В. Подпоркин, А.И. Таджибаев.
6. Системы защиты электрических сетей от перенапряжений на основе схемно-режимных мер : диссертация на соискание ученой степени кандидата технических наук / И. А. Ефремов ; Новосибирский государственный технический университет. — Новосибирск, 1997. — 379 л.
7. Исследование и разработка требований к защитным и коммутационным аппаратам блоков электрических станций : диссертация на соискание ученой степени кандидата технических наук / В. А. Хныков ; Новосибирский государственный технический университет. — Новосибирск, 2001. — 93 л. : ил. — Библиогр.: с. 92-93.
8. Перенапряжения в сетях 6-35 кВ / Ф.А.Гиндуллин, В.Г.Гольдштейн, А.А.Дульзон, Ф.Х.Халилов. — М. : Энергоатомиздат, 1989. — 192 с.
9. Техника высоких напряжений; Изоляция и перенапряжения в электрических установках : учебник для техникумов / В. П. Ларионов, В. В. Базуткин, Ю. Г. Сергеев ; Под ред. В. П. Ларионова. — М. : Энергоиздат, 1982. — 296 с. : ил. — Библиогр.: с. 292.
10. Инженерные расчеты внутренних перенапряжений в электропередачах / Л. Ф. Дмоховская. — М. : Энергия, 1972. — 288 с. : ил. — Библиогр.: с. 284-285.
11. Исследование и разработка комплекса мер, повышающих надежность эксплуатации изоляции сетей собственных нужд электрических станций и высоковольтного электрооборудования компрессорных станций : диссертация на соискание ученой степени кандидата технических наук : Спец. 05.14.12 / Р. В. Копылов ; Новосибирский государственный технический университет; Науч. рук. К. П. Кадомская. — Защищена в 2003 г. — Новосибирск, 2003. — 127 л.
12. Перенапряжения и координация изоляции : переводы докладов международной конференции по большим электрическим системам (СИГРЭ 76) / под ред. А. К. Лоханина. — М. : Энергия, 1979. — 128 с. : ил. — (Энергетика за рубежом) .
13. Перенапряжения и защита от них в воздушных и кабельных электропередачах высокого напряжения / М. В. Костенко [и др.] ; Академия наук СССР (АН СССР), Отделение физико-технических проблем энергетики (ОФТПЭ) ; Ленинградский политехнический институт им. М. И. Калинина (ЛПИ) ; под ред. Н. Н. Тиходеева. — Л. : Наука : Ленингр. отд-ние, 1988. — 301,[1] с. : ил. ; 22 см. — Библиогр.: с. 295-298 (79 назв.). — Предм. указ.: с. 299-300.
14. Вопросы ограничения перенапряжений в сетях 6-35 кв / Л. М. Рыбаков, Ф. Х. Халилов. — Красноярск : Изд-во Краснояр. ун-та, 1991. — 152 с.
15. Основы теории перенапряжений в электрических сетях : пер. с англ. / Дж. П. Бикфорд, Н. Мюлине, Дж. Р. Рид ; пер. В. В. Базуткин; под ред. А. А. Обуха. — М. : Энергоиздат, 1981. — 164 с.
16. Труды научно-технической сессии по перенапряжениям / Всесоюзное научное инженерно-техническое общество энергетики; под ред. А. М. Залесского. — М. ; Л. : Госэнергоиздат, 1950. — 327 с.
17. "Перенапряжения и защита от них в распределительных сетях и сетях генераторного напряжения" : тезисы докладов областной научно-технической конференции / Куйбышевский политехнический институт; под ред. В. Г. Гольдштейн;а, Ю. П. Кубарькова. — Куйбышев : Изд-во КПТИ, 1979. — 76 с.
18. Техника высоких напряжений : курс лекций / В. Ф. Важов, В. А. Лавринович, С. А. Лопаткин. — Томск : Изд-во ТПУ, 2006. — 123 с. : ил. — (Учебники Томского политехнического университета) . — Библиогр.: с. 123.
19. Техника высоких напряжений : учебное пособие / В. Ф. Важов [и др.] ; Томский политехнический университет (ТПУ). — Томск : Изд-во ТПУ, 2009. — 232 с. : ил. — Библиография в конце глав.
20. Квазистационарные перенапряжения в энергосистемах : учебное пособие / М. В. Костенко, И. М. Богатенков, Ю. А. Михайлов, Ф. Х. Халилов ; Ленинградский политехнический ин-т им. М. И. Калинина. — Л. : ЛПИ, 1987. — 72,[2] с.
21. http://forca.ru/stati/podstancii/zaschita-elektrooborudovaniya-ot-perenapryazheniy.html
22. http://www.ros-electro.ru/articles/articles_912.html
23. http://forca.com.ua/knigi/navchannya/grozozaschita-zdanii-i-promyshlennyh-sooruzhenii_3.html
|