Задание №1
1. Методы изучения рабочего времени.
2. Функции нормирования труда.
3. Уровень, динамика и дифференциация заработной платы на предприятии.
1. Методы изучения рабочего времени.
Изучение затрат рабочего времени проводится с помощью наблюдений: фотографий рабочего времени, хронометража и других методов.
Фотография рабочего времени - вид наблюдения, при котором измеряют все без исключения затраты времени, осуществляемые исполнителем (исполнителями) за определенный период работы (например, за смену или ее часть). Она проводится главным образом для выявления потерь рабочего времени, установления причин, вызывающих эти потери, и разработки необходимых организационно-технических мероприятий по их устранению.
Применяется фотография рабочего времени и для разработки нормативов подготовительно-заключительного времени, времени обслуживания рабочего места, перерывов на отдых и личные надобности, а также определения оперативного времени на разные работы в единичном и мелкосерийном производстве.
Кроме того, фотография проводится для установления норм обслуживания оборудования и нормативов численности работников, изучения использования рабочего времени передовыми работниками с целью распространения их опыта, выявления причин невыполнения норм выработки отдельными работниками.
В зависимости от количества наблюдаемых работников фотография может быть индивидуальной, групповой (бригадной), массовой.
При индивидуальной фотографии
рабочего времени изучается использование времени одним работником в течение рабочего дня или другого периода.
Фотография рабочего времени состоит из следующих этапов: подготовка к наблюдению, наблюдение и измерение затрат рабочего времени, обработка и анализ наблюдений, разработка и внедрение в производство организационно-технических мероприятий. В период подготовки к наблюдениям изучается предстоящий технологический процесс, организация рабочего места, его обслуживание; технические характеристики, режимы работы и состояние оборудования.
Наблюдение и измерение затрат рабочего времени ведется по текущему времени. Все действия исполнителя и перерывы в работе фиксируются строго по порядку в наблюдательном листе.
Забиваем Сайты В ТОП КУВАЛДОЙ - Уникальные возможности от SeoHammer
Каждая ссылка анализируется по трем пакетам оценки: SEO, Трафик и SMM.
SeoHammer делает продвижение сайта прозрачным и простым занятием.
Ссылки, вечные ссылки, статьи, упоминания, пресс-релизы - используйте по максимуму потенциал SeoHammer для продвижения вашего сайта.
Что умеет делать SeoHammer
— Продвижение в один клик, интеллектуальный подбор запросов, покупка самых лучших ссылок с высокой степенью качества у лучших бирж ссылок.
— Регулярная проверка качества ссылок по более чем 100 показателям и ежедневный пересчет показателей качества проекта.
— Все известные форматы ссылок: арендные ссылки, вечные ссылки, публикации (упоминания, мнения, отзывы, статьи, пресс-релизы).
— SeoHammer покажет, где рост или падение, а также запросы, на которые нужно обратить внимание.
SeoHammer еще предоставляет технологию Буст, она ускоряет продвижение в десятки раз,
а первые результаты появляются уже в течение первых 7 дней.
Зарегистрироваться и Начать продвижение
При обработке данных фотографии составляется сводный баланс рабочего времени по категориям затрат: подготовительно-заключительное время, оперативное время и т.д. В процессе анализа определяются нерациональные затраты и потери рабочего времени, устанавливаются их причины.
После анализа составляется проектируемый баланс рабочего времени. При этом все нерациональные затраты и потери рабочего времени исключатся и за их счет увеличивается оперативное время. На основании данных фактического и проектируемого балансов определяется возможный рост производительности труда за счет устранения потерь и нерациональных затрат рабочего времени.
Затем разрабатываются мероприятия по устранению потерь рабочего времени и совершенствованию организации труда, которые включаются в план организационно-технических мероприятий с указанием срока их выполнения и исполнителей.
Групповая фотография рабочего времени
производится в тех случаях, когда работа выполняется группой работников. Одной из основных задач групповой фотографии является изучение существующего разделения и кооперации труда, использования рабочего времени, эффективности применения оборудования.
Порядок проведения наблюдений при групповой фотографии такой же, как при индивидуальной фотографии рабочего времени.
При изучении использования рабочего времени большего числа работников (более 10 человек) проводится массовая (фотография рабочего времени методом моментных наблюдений,
при котором фиксируются не абсолютные величины затрат времени на отдельные виды работ, а число моментов их выполнения. Для достижения требуемой точности результатов наблюдений заранее устанавливается по формулам или соответствующим таблицам их объем, т.е. число моментов, которое необходимо зафиксировать.
Наблюдения проводятся путем обхода по заранее разработанному маршруту участка, где расположены рабочие места исполнителей. В процессе обхода наблюдатель фиксирует, чем занят работник в данный момент, путем нанесения отметок в наблюдательном листе.
В процессе обработки результатов наблюдения подсчитывается количество моментов по каждому виду затрат рабочего времени, а также их сумма и определяется их процентное выражение.
Анализ результатов и разработка мероприятий по устранению выявленных недостатков производится так же, как при индивидуальной и групповой фотографиях рабочего времени.
Сервис онлайн-записи на собственном Telegram-боте
Попробуйте сервис онлайн-записи VisitTime на основе вашего собственного Telegram-бота:
— Разгрузит мастера, специалиста или компанию;
— Позволит гибко управлять расписанием и загрузкой;
— Разошлет оповещения о новых услугах или акциях;
— Позволит принять оплату на карту/кошелек/счет;
— Позволит записываться на групповые и персональные посещения;
— Поможет получить от клиента отзывы о визите к вам;
— Включает в себя сервис чаевых.
Для новых пользователей первый месяц бесплатно.
Зарегистрироваться в сервисе
В практике нормирования труда широко применяется самофотография рабочего времени. В отличие от фотографии рабочего дня при самофотографии учитываются лишь потери рабочего времени, связанные с организационно-техническими неполадками, которые записываются самим работником в специальный бланк наблюдения.
Целью проведения самофотографии является привлечение к совершенствованию организации труда самих работников. На основе анализа полученных данных разрабатываются мероприятия по устранению недостатков.
Хронометраж - вид наблюдения, при котором изучаются циклически повторяющиеся элементы оперативной работы, отдельные элементы подготовительно-заключительной работы или работы по обслуживанию рабочего места.
Основное назначение хронометража: определение продолжительности повторяющихся элементов операции (приемов и движений) для расчета норм или для разработки нормативов времени; выявление и изучение передовых методов и приемов труда в целях передачи этих методов работы широкому кругу работников; проверка установленных норм выработки; выявление причин невыполнения норм отдельными работниками.
В период подготовки к проведению хронометража наблюдатель изучает технологический процесс выполнения нормируемой операции, анализирует его, разбивает операцию на элементы, изучает режим работы оборудования и организацию рабочего места. Все выявленные недостатки устраняются до начала наблюдения.
При выборе исполнителя учитывается степень выполнения им норм, его квалификация, соответствие разряда нормируемой работы и рабочего.
Перед проведением хронометража устанавливается количество необходимых наблюдений. Оно зависит от продолжительности элементов операции, типа производства и требований, предъявляемых к степени точности полученных данных. Для большей точности проводится большее число наблюдений.
Хронометраж может быть непрерывный, когда замеры длительности элементов операции проводятся непрерывно от начала до конца операции, и выборочный, при котором проводятся замеры отдельных элементов операции.
При проведении непрерывного хронометража в хроно-карте отмечается время начала хронометража, а затем фиксируется по текущему времени окончание каждого элемента.
Обработка результатов наблюдения начинается с определения продолжительности выполнения отдельных элементов операции. При проведении непрерывного хронометража она равна разности показаний текущего времени двух смежных замеров. Затем исключаются ошибочные (дефектные) замеры, о которых сделаны отметки при наблюдении, и составляются хронометражные ряды длительности выполнения каждого элемента операции во всех замерах. Качество результатов наблюдения характеризуется величиной колебаний цифровых значений хроноряда. Колебания зависят от выполняемой работы, характера участия в ней рабочего, продолжительности элементов операции, типа производства, квалификации наблюдателя и используемых при измерении приборов.
Показателем оценки хроноряда является фактический коэффициент устойчивости, который определяется отношением максимальной продолжительности элемента в данном хроноряде к минимальной. Фактический коэффициент устойчивости сравнивается с нормативным. Если он меньше или равен нормативному, хроноряд считается устойчивым, а само наблюдение качественным.
Далее определяется средняя продолжительность выполнения каждого элемента операции.
Анализ полученных результатов проводится с целью проверки рациональности процесса выполнения операций. При этом изыскиваются возможности сокращения затрат времени путем устранения отдельных элементов операции, замены некоторых приемов более рациональными и менее утомительными, а также перекрытия машинным временем отдельных элементов ручной работы.
С помощью анализа определяются состав операции и продолжительность выполнения отдельных ее элементов. После этого устанавливается оперативное время выполнения операции или исходные данные для разработки нормативов на ручные и машинно-ручные работы.
Аналогично проводится изучение хронометражем затрат времени на отдельные элементы подготовительно-заключительной работы и работы по обслуживанию рабочего места.
Изучение затрат рабочего времени позволяет получить необходимые данные для совершенствования организации труда и установления норм трудовых затрат, выявить резервы роста производительности труда и лучшего использования оборудования.
Для нормирования труда кроме данных, полученных при помощи фотографий рабочего времени и хронометражей, используются следующие нормативные материалы.
Нормативы режимов работы оборудования - это регламентированные величины режимов работы оборудования, обеспечивающие наиболее целесообразное его использование. Примером могут служить нормативы режимов резания металла на станках, которые содержат значения глубины резания, подачи и скорости в зависимости от конструкции и материала режущей части инструмента, заданной частоты и точности обработки и другие параметры. Эти нормативы предназначены для установления рациональных режимов работы оборудования и определения времени машинной работы.
Нормативы времени
-
это регламентированные затраты времени на выполнение отдельных элементов, входящих в состав операции. Они предназначены для определения норм затрат труда на машинно-ручные и ручные работы и делятся на следующие группы нормативов: основного времени (при ручных работах), вспомогательного времени, времени подготовительно-заключительной работы, времени обслуживания рабочего места, времени на отдых и личные надобности.
Нормативы времени обслуживания
-
это регламентированные величины затрат времени на обслуживание единицы оборудования, рабочего места и других производственных единиц. Они используются для установления норм обслуживания, т.е. количества единиц оборудования, рабочих мест, производственных площадей и других объектов, которые необходимо закрепить за одним работником или их группой.
Нормативы численности
-
регламентированное количество работников определенного профессионально-квалификационного состава, которое необходимо для выполнения единицы (или определенного объема) работы. Такие нормативы предназначены для установления численности рабочих в основном на работах, на которые определение её другими способами, в частности через нормативы времени, затруднено.
Типовые нормы
разрабатываются на работы, выполняемые по типовой технологии с учетом рациональных организационно-технических условий, уже существующих на большинстве или части предприятий, где имеются такие виды работ. Типовые нормы рекомендуются в качестве эталона для предприятий, где организационно-технические условия производства еще не достигли уровня, на который рассчитаны указанные нормы.
По сфере применения нормативные материалы подразделяются на межотраслевые (ведомственные), отраслевые и местные, а по степени укрупнения - на дифференцированные (элементные и микроэлементные) и укрупненные.
2. Функции нормирования труда.
В настоящее время, характеризующееся переходом от централизованной экономики к рыночной, возрастает роль нормирования труда как элемента управления стабильностью экономического, социального и технического развития предприятия любой организационно-правовой формы - государственного, казенного, малого, акционерного и др. Это объясняется, прежде всего, повышением роли экономического фактора в складывающихся отношениях между работодателем (администратором, доверенным лицом м т.д.) и работником в процессе производства материальных благ (оказания услуг), получения прибылен и их распределения, а также усилением социальной направленности современного менеджмента.
При организации работы по нормированию труда в настоящее время необходимо учитывать особенности рыночной экономики применительно к сфере трудовых отношений.
Прежде всего, в условиях действия разнообразных форм собственности, в том числе и на труд, у работодателя и работника повышается экономический интерес к установлению обоснованных затрат рабочего времени н его использованию.
Работодатель как собственник средств производства (или их части) стремится извлечь максимальную прибыль от их применения посредством рационального использования труда работника с минимальными издержками, в т.ч. оптимальной численностью персонала, минимальными затратами рабочего времени при обеспечении высокого качества товара (услуг). Вот почему в странах с развитой рыночной экономикой на ряде фирм (их подразделений) создаются программы по нормированию труда, представляющие собой взаимоувязанные мероприятия, направленные на максимальное использование трудового потенциала всех работников путем расширения сферы нормирования, обеспечения высокого качества норм и нормативов, поддерживая их на необходимом уровне, формирования высококвалифицированных кадров специалистов-нормировщиков и др. Достаточно новой тенденцией является усиление координирующей деятельности централизованной службы нормирования труда в рамках всей фирмы, что связано с возрастающей потребностью установления ровно напряженных норм времени на одни и те же виды работ (функций) и необходимостью создания единой автоматизированной нормативно-информационной базы. В то же время широкое развитие получают консультативные службы по вопросам нормирования труда, созданию соответствующей отчетности, документации и т.п. По мере развития рыночных отношений вопросы нормирования труда все в большей степени связываются с социально-экономическими и социально-психологическими аспектами управления, ибо проблема повышения эффективности использования труда персонала остается самой острой.
Нормирование труда оказывает существенное влияние на решение многообразных социально-экономических задач лишь в том случае, если на предприятии действуют прогрессивные нормы, учитывающие оптимальные организационно-технические, экономические, психофизиологические и социальные факторы.
У работника, реализующего свои трудовые способности, повышаются интерес в более эффективном использовании рабочего времени, и в то же время, требования нормальных условий труда и оптимальной его напряженности, установленной на базе объективно рассчитанных затрат.
Без нормативного регулирования рабочего времени по продолжительности, степени напряженности (интенсивности), организации рационального использования трудовых затрат не могут состояться рыночные отношения внутри предприятия любой формы, собственности и структуры управления.
Полная экономическая самостоятельность или свобода предпринимательства, характерная для рыночной экономики, наряду с выбором номенклатуры продукции (услуг), организационно-правовых форм и структур управления, финансового планирования и решения других хозяйственно-производственных вопросов, предполагает самостоятельность в установлении численности персонала, подборе кадров, выборе форм и систем оплаты труда и методов ее организации, в решении вопросов замены и пересмотра норм и других задач нормирования.
Это означает, что в современных условиях направление решения основных трудовых вопросов переносится на уровень предприятия.
Для предпринимательства важны точный учет и контроль издержек производства, в т.ч. на трудовые ресурсы, а также повышение производительности труда всех категорий работающих, прежде всего, за счет максимально рационального использования рабочего времени. Эти цели достигаются при помощи нормирования труда.
Зарубежные специалисты отмечают, что при внедрении нормирования труда предприниматели получали значительный эффект, выражающийся в увеличении объемов выпуска и повышения качества продукции (услуг) при неизменных производственных мощностях, в росте прибыли за счет сокращения издержек, а также - социальный эффект: снижение текучести кадров, уменьшение числа трудовых конфликтов и т.п.
Для работников свобода предпринимательства в настоящее время в значительной мере выражается в самостоятельном выборе сферы приложения своих способностей путем оценки не только уровня квалификации, сложности труда и пр., но и учета продолжительности рабочего времени и степени интенсивности (напряженности) трудовой деятельности.
В то же время, рыночные отношения, предусматривающие конкуренцию, зависят от ценообразования, саморегулирования рынка с учетом спроса - предложения и т.п. Свободные цены, безусловно, не означают отсутствия учета затрат труда на единицу производственной продукции (услуги), что, в свою очередь, повышает необходимость установления обоснованных трудовых затрат при определении цены на нее, а, следовательно, экономическое значение нормирования.
Интерес к нормированию трудовых процессов, установлению необходимых затрат рабочего времени и его рациональному использованию повышается также при определении стоимости (цены) рабочей силы на рынке труда, где в рыночные отношения вступают работодатель и работник. Эти отношения регулируются на всех стадиях общественного воспроизводства путем формирования трудового потенциала (рабочей силы) и его использования и определяются формой собственности на средства производства и предметы производства и самой рабочей силой. Цена рабочей силы связана со многими аспектами переходного периода в экономике и зависит от многих факторов. Вместе с тем, при установлении цены труда на каждого работника на конкретном предприятии становится очевидной необходимость, наряду с оценкой его квалификации, сложности, условий, определении количества (продолжительности) рабочего времени, степени его напряженности, а также темпа работы, что не случайно является неотъемлемой частью оперативного нормирования на предприятиях (фирмах) стран с развитой рыночной экономикой.
Приведенные выше аргументы подтверждают значение организации и совершенствования работы по нормированию труда на разных уровнях управления экономикой с учетом условий переходного периода.
Однако, по мере перехода предприятий на новые формы управления, реорганизации и т.п., на многих из них имеет место негативное отношение к нормированию труда, отрицание его роли при решении производственно-хозяйственных задач, вопросов ценообразования и т.п., а также сокращение и ликвидация служб, занятых организацией и нормированием труда персонала, сокращение подготовки и повышения квалификации кадров специалистов по труду. Причины такого положения имеют и объективный и субъективный характер.
Таким образом, в настоящее время требуется создать условия для выполнения нормами затрат труда их основных функции меры труда, меры вознаграждения за труд, эталона эффективности организации производства, труда и управления, критерия оценки уровня производительности труда, цены и качества продукции (услуги) - с учетом особенностей современного этапа развития экономики.
Функция нормы труда как меры труда в условиях централизованной экономики на практике не выполнялась, ибо нормы затрат рабочего времени выводились из меры вознаграждения за труд из сложившегося или достигнутого уровня заработной платы без достаточной оценки необходимых затрат труда, без обоснованного учета явных и скрытых потерь рабочего времени и возможностей повышения производительности труда за счет лучшей его организации и нормирования. Это ослабляло значение роли данной функции нормы труда, приводило к уравниловке в оплате, снижало экономический интерес работника, порождало в ряде случаев повышенную текучесть кадров, а. следовательно, приводило к недостаточно эффективному использованию трудового потенциала работников. В современных условиях, как рассматривалось выше, повышается роль функции нормы труда как меры трудовой деятельности каждого работника, а также уровня его напряженности, темпа работы.
Функция нормирования труда как меры оплаты груда при переходе к рыночной экономике выходит за рамки государственного регулирования, становится функцией предприятия. Тариф не является ограничителем, а лишь государственной гарантией уровня оплаты работы определенной квалификации.
Предприятие может изменять уровень тарифной ставки при соответствующих межразрядных соотношениях и базовой ставке первого разряда, определяемой прожиточным минимумом. Происходит переход от прямого регулирования индивидуальной или средней заработной платы к налоговому методу регулирования средств на оплату труда. Размер индивидуальной заработной платы должен определяться количеством труда работника и объемом заработанных предприятием средств на оплату труда. Норма времени становится средством распределения и стимулирования мотивации трудовой деятельности, в чем и проявляется ее экономическая значимость.
Не имея прямой связи с заработком работника, норма времени по существу становится производственно-необходимым временем для выполнения технологического процесса при условии эффективного использования материальных и трудовых ресурсов и соблюдении качества продукции (услуг), т.е. призвана выполнять функцию регулятора производственного процесса (цикла) изготовления продукции (оказания услуг). В этом качестве целесообразно использовать нормы трудовых затрат для оперативного управления производством, определения трудоемкости продукции (услуги), расчета роста производительности труда, сравнительного анализа и сопоставления результатов труда, оценки уровня техники и технологии, организации производства и труда и, в конечном счете, оценке уровня менеджмента данного предприятия (организации, фирмы).
Основными задачами нормирования труда являются:
- разработка и внедрение научно обоснованных норм и нормативов по труду;
- выявление резервов роста производительности труда, потерь рабочего времени, недостатков в организации труда и производства и на этой основе разработка организационно-технических мероприятий по совершенствованию организации труда;
- внедрение норм труда;
- контроль за освоением норм труда и накоплением материалов для их пересмотра.
Задачи нормирования труда преследуют цели наилучшего использования средств производства при максимальной экономии и облегчении труда. Важнейшим направлением совершенствования организации и нормирования труда является автоматизация и компьютеризация этой работы в едином цикле с автоматизированным проектированием технологических процессов и организации труда, как на стадии проектирования технологических процессов, так и в действующем производстве. В целях сохранения принятой в теории и практике нормирования терминологии целесообразно рассматривать нормы затрат труда (времени, выработки, обслуживания, численность и др.), как синоним производственно необходимых затрат времени при условии соблюдения требований их точности, прогрессивности и качества.
3. Уровень, динамика и дифференциация заработной платы на предприятии.
Уровень заработной платы характеризуется средней заработной платой одного работника. В статистике исчисляются показатели среднемесячной и среднегодовой начисленной заработной платы для всего персонала предприятия и организации и по отдельным категориям персонала.
Среднемесячная начисленная заработная плата работников определяется путем деления начисленного фонда заработной платы на среднесписочную численность. При этом из фонда заработной платы необходимо вычесть суммы, начисленные на оплату труда работников несписочного состава. Таким образом, определяется размер среднемесячной заработной платы работников на уровне предприятий и организаций, отрасли и экономики в целом.
Кроме того, на уровне предприятия и организации определяется среднемесячная заработная плата работников без совместителей. В этом случае из начисленного фонда заработной платы следует вычесть сумму начисленной оплаты труда лиц, принятых на работу по совместительству, и разделить полученную сумму на среднесписочную численность работников без учета лиц, работающих по совместительству.
Средняя часовая заработная плата работников рассчитывается как отношение суммы начисленной заработной платы списочного состава за месяц и человеко-часов, фактически отработанных работниками, включенными в списочный состав работников. Данные о среднечасовой заработной плате работников рассчитываются на уровне предприятий и отдельных отраслей.
Значительный интерес представляют данные о размере средней заработной платы по отдельным профессиональным группам работников. В международной статистике накоплен значительный опыт в проведении подобного рода статистических работ. Международное бюро труда (МВТ) на основе рекомендаций 1-й Международной конференции статистиков труда (1923 г.) начиная с 1925 г. проводит ежегодно октябрьские обследования заработной платы и продолжительности рабочей недели по профессиям и ценам на продовольственные товары.
Первоначально октябрьские обследования заработной платы и продолжительности рабочей недели взрослых работников проводились по 48 профессиям и ценам на 39 потребительских товаров. С 1985 г., когда была пересмотрена программа обследования, октябрьские обследования охватывают 159 профессий из 49 отраслей экономической деятельности и розничные цены по 93 наименованиям продовольственных товаров. Отрасли экономической деятельности — это отрасли, представленные в Международной стандартной отраслевой классификации всех видов экономической деятельности, а профессии — наиболее распространенные и типичные профессии в каждой из отраслей, указанные в Международной стандартной классификации занятий.
В этом всемирном обследовании, в котором принимает участие в настоящее время свыше 160 стран мира, участвует и Россия.
Впервые российское обследование, программа которого в основном базировалась на методологических принципах октябрьского обследования МВТ, было проведено в 1993 г. Было обследовано 19 отраслей и 120 наиболее типичных профессий. Круг профессий в связи с пожеланиями отраслевых ведомств был в ряде случаев представлен гораздо шире по сравнению с соответствующим перечнем профессий по программе МВТ.
По наиболее массовым профессиям данные собирались отдельно по мужчинам и женщинам. В дальнейшем предполагается включить в программу обследования и другие отрасли.
В результате октябрьских обследований впервые получены данные о среднемесячной и среднечасовой заработной плате по отдельным профессиям, которые являются сопоставимыми с данными остальных стран мира.
Данные октябрьских обследований используются для сопоставления уровня оплаты труда работников отдельных профессий по регионам, а также по предприятиям и организациям различной формы собственности.
Эти данные необходимы:
· для анализа дифференциации оплаты труда различных профессиональных групп работников;
· для анализа дифференциации оплаты труда работников различного уровня квалификации в пределах одной отрасли;
· для сопоставления динамики уровней заработной платы по различным профессиям.
Эта информация представляет интерес для организаций предпринимателей и трудящихся при разработке политики в области заработной платы. Традиционно результаты октябрьских обследований пользуются большим спросом у потенциальных иностранных инвесторов.
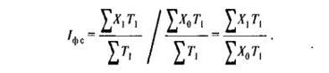
Динамика уровней заработной платы анализируется на основе индексов заработной платы. Чаще всего используется индекс переменного состава заработной платы, который рассчитывается по следующей формуле:

Индекс переменного состава заработной платы показывает, каким образом изменился средний уровень заработной платы в отчетном периоде по сравнению с базисным в зависимости от изменения средней заработной платы отдельных категорий персонала (на отдельных предприятиях или в отраслях) и удельного веса численности работников с различным уровнем оплаты труда.
Каждый из этих факторов влияет на изменение среднего уровня заработной платы по-разному.
Для устранения влияния структурного фактора следует воспользоваться индексом фиксированного состава заработной платы, который рассчитывается по следующей формуле:

Этот индекс показывает, каким образом изменился средний уровень заработной платы без учета структурного фактора, т. е. только в результате изменения уровней заработной платы работников в отчетном периоде по сравнению с базисным.
Влияние структурного фактора можно определить с помощью индекса структурных сдвигов, который рассчитывается путем деления индекса переменного состава заработной платы на индекс фиксированного состава заработной платы:

Этот индекс характеризует, каким образом изменился средний уровень заработной платы в зависимости от изменения удельного веса численности работников с различным уровнем заработной платы.
Рассмотрим расчет этих индексов на примере. В таблице приведены данные о численности работников и среднемесячной заработной плате по отраслям в России за 1990 и 1994 гг.

Средняя заработная плата работников этих отраслей в 1990 г. составляла:

в 1994г.:

Следовательно, индекс переменного состава заработной платы составит:

Средняя месячная номинальная заработная плата работников этих отраслей возросла в 1136 раз в результате повышения заработной платы работников каждой из рассматриваемых отраслей и изменения удельного веса численности работников этих отраслей в общей численности.
Определим влияние изменения уровня заработной платы в каждой отрасли на изменение среднего уровня заработной платы всех работников, занятых в этих отраслях. Для этого рассчитаем индекс фиксированного состава заработной платы:

Этот индекс показывает, что под влиянием изменения уровня заработной платы в каждой отрасли средний уровень заработной платы всех работников этих отраслей увеличился в 1994 г. по сравнению с 1990 г. в 1107 раз.
Следовательно, влияние структурного фактора на средний уровень зарплаты всех работников, занятых в этих отраслях, составит:

Уменьшение удельного веса численности работников, занятых в отрасли науки и научного обслуживания, и увеличение удельного веса численности работников, занятых в отраслях, в которых заработная плата была выше, почти уравновесили друг друга, что привело к незначительному изменению индекса цен за счет структурных сдвигов, в результате средняя зарплата увеличилась на 2,6%.
При анализе динамики заработной платы необходимо анализировать динамику как номинальной (т. е. начисленной) заработной платы, так и реальной заработной платы (как покупательной способности номинальной заработной платы). Реальная заработная плата определяется путем деления номинальной зарплаты на сводный индекс цен на потребительские товары и услуги.
Статистика изучает дифференциацию заработной платы работников. Размер заработной платы зависит от уровня квалификации работника, интенсивности труда, условий труда, а также от отрасли, в которой занят работник, территориального размещения предприятий и организаций и других факторов.
Основным источником статистических данных о дифференциации заработной платы являются материалы ежегодно проводимого обследования. Данные этого обследования позволяют получить ряды распределения работников по размеру начисленной за месяц заработной платы. При этом предприятия представляют данные о численности работников и размере начисленной им заработной платы только для тех работников, которые работали на данном предприятии или в организации в течение всего месяца, который обследуется.
В результате получаются ряды распределения работников по размеру заработной платы по отдельным отраслям экономики и по народному хозяйству в целом. На основе этих данных рассчитываются различные коэффициенты дифференциации заработной платы. Наиболее часто используются децильный и квартальный коэффициенты дифференциации, коэффициент фондов и др.
Децильный
коэффициент дифференциации равен:

Квартальный коэффициент характеризует соотношение между верхним и нижним квартилями.
Коэффициент фондов определяется как соотношение между средними уровнями зарплаты внутри сравниваемых групп, находящихся в разных концах распределения по уровню зарплаты:

Поскольку фонды заработной платы F{0 и Р[ относятся к равным частям совокупности работающих (10%), то коэффициент фондов можно исчислить на основе соотношения средних значений заработной платы для сопоставления групп работников.
Показатели дифференциации заработной платы рассчитываются на уровне предприятий, отраслей и экономики в целом.
Дифференциация средней заработной платы по группам 10% наиболее и 10% наименее оплачиваемых работников (поданным обследования за октябрь 1997 г.) составляла: в промышленности — 17,9 раза, в сельском хозяйстве — 24,4, в строительстве — 22,2, в образовании — 14,2, в науке и научном обслуживании — 19,5 раза.
Процесс дифференциации работников по размерам заработной платы в России за последние годы усилился, при этом размеры дифференциации превышают соответствующие показатели в развитых странах.
На основе данных рядов распределения работников по размеру получаемой ими заработной платы можно определить также общую численность и удельный вес численности работников, зарплата которых находится ниже прожиточного минимума трудоспособного населения.
По данным на октябрь 1997 г. удельный вес численности работников с заработной платой на уровне или ниже прожиточного минимума трудоспособного населения составлял 29% в общей численности работников, в том числе в сельском хозяйстве — 65%, в образовании, науке и научном обслуживании, здравоохранении — около 50%.
Анализ дифференциации заработной платы по отдельным профессиональным группам и дифференциации по размеру зарплаты между отдельными профессиональными группами работников проводится на основе данных обследований. Данные обследований можно также использовать при международных сопоставлениях уровня и динамики дифференциации заработной платы работников основных и наиболее массовых профессий, занятых в различных отраслях экономики.
|