Содержание
| Введение
|
4 |
| Глава 1. Предприятие как объект управления
|
7 |
| 1.1. Факторы влияния на систему управления |
7 |
| 1.2. Иерархические типы структур управления |
10 |
| 1.3. Органические типы структур управления |
16 |
| 1.4. Проектирование функций управления |
22 |
| 1.5. Система управления предприятием |
25 |
| 1.6. Внутренняя корпоративная среда организации технологии |
29 |
| 1.7. Организационная культура предприятия и эффективность производственной деятельности |
32 |
| Глава 2. Проектирование организационной структуры управления ЗАО «Энергокабель»
|
38 |
| 2.1. Общая характеристика ЗАО «Энергокабель» |
38 |
| 2.2. SWOT-анализ ЗАО «Энергокабель |
39 |
| 2.3. Выбор типовой организационной структуры ЗАО «Энергокабель» |
47 |
2.4. Определение отдельных блоков системы управления
ЗАО «Энергокабель»
|
50 |
| 2.5. Расчет численности ИТР и служащих по функциям управления |
77 |
| 2.6. Разработка окончательной организационной структуры системы управления ЗАО «Энергокабель» |
79 |
| 2.7. Разработка организационной структуры управления цехом |
80 |
| Глава 3. Проект мероприятий для повышения эффективности организации управления ЗАО «Энергокабель»
|
96 |
| 3.1. Разработка положения о подразделении |
96 |
| 3.2. Оценка влияния организационной культуры предприятия на эффективность производственной деятельности |
100 |
| Заключение
|
104 |
| Список использованной литературы
|
105 |
Введение
Управленческая деятельность - один из важнейших факторов функционирования и развития промышленных предприятий в условиях рыночной экономики. Эта деятельность постоянно совершенствуется в соответствии с объективными требованиями производства и реализации продукции, усложнением хозяйственных связей, повышением роли потребителя в формировании технико-экономических и иных параметров предприятия.
Изменение условий производственной деятельности, необходимость адекватного приспособления к ней системы управления сказывается не только на совершенствовании её организации, но и на перераспределении функций управления по уровням ответственности и формам их взаимодействий. Речь идёт прежде всего о такой системе управления (принципах, функциях, методах, организационной структуре), которая порождена объективной необходимостью и закономерностями рыночной системы хозяйствования, связанными с удовлетворениями в первую очередь индивидуальных потребностей, обеспечением заинтересованности работников в наивысших конечных результатах. Всё это требует от промышленных предприятий адаптации к новым рыночным условиям, преодоления возникающих противоречий в экономическом и научно-техническом процессах.
Задачей менеджера является построение такой структуры, которая лучше всего отвечала бы целям и задачам организации. Под организационной структурой предприятия понимается состав и взаимосвязи производственных подразделений, входящих в него. Цель организационной структуры состоит в том, чтобы обеспечить достижение стоящих перед организацией задач. Проектирование структуры должно базироваться на стратегических целях. Наиболее эффективной считается та структура, которая наилучшим образом позволяет организации эффективно взаимодействовать с внешней средой, продуктивно и целесообразно распределять и направлять усилия своих сотрудников и, таким образом, удовлетворять потребности клиентов и достигать своих целей с высокой эффективностью.
В настоящее время проектирование и совершенствование организационной структуры осуществляется с помощью 2-х основных методов.
Забиваем Сайты В ТОП КУВАЛДОЙ - Уникальные возможности от SeoHammer
Каждая ссылка анализируется по трем пакетам оценки: SEO, Трафик и SMM.
SeoHammer делает продвижение сайта прозрачным и простым занятием.
Ссылки, вечные ссылки, статьи, упоминания, пресс-релизы - используйте по максимуму потенциал SeoHammer для продвижения вашего сайта.
Что умеет делать SeoHammer
— Продвижение в один клик, интеллектуальный подбор запросов, покупка самых лучших ссылок с высокой степенью качества у лучших бирж ссылок.
— Регулярная проверка качества ссылок по более чем 100 показателям и ежедневный пересчет показателей качества проекта.
— Все известные форматы ссылок: арендные ссылки, вечные ссылки, публикации (упоминания, мнения, отзывы, статьи, пресс-релизы).
— SeoHammer покажет, где рост или падение, а также запросы, на которые нужно обратить внимание.
SeoHammer еще предоставляет технологию Буст, она ускоряет продвижение в десятки раз,
а первые результаты появляются уже в течение первых 7 дней.
Зарегистрироваться и Начать продвижение
Первый метод — аналитический, поисковый — применяется для уникальных предприятий, на которые не распространяются типовые структуры. Организационная структура строится на основе тщательной проработки и структуризации целей, задач, функций, применения нестандартных решений, применяемых только для данного конкретного предприятия.
Второй метод - нормативный, типовой - применяется в том или ином виде для всей массы предприятий. Предприятия руководствуются типовыми структурами и связанными с ними организационными нормативами.;
Повышать степень аналитической проработки организационных структур и в то же время делать эту работу с точки зрения требуемых затрат труда и квалификации разработчиков, доступной для всех предприятий можно на основе применения блочного подхода, при котором разрабатываются типовые решения не по структуре в целом, а по отдельным её частям, укрупнённым блокам.
Тема дипломной работы является актуальной, так как рассматривает изложенные проблемы совершенствования организации управления на примере ЗАО «Энергокабель».
Цель работы – построение модели организационной структуры управления предприятием. Для реализации этой цели были поставлены следующие задачи:
· определить функции управления и факторы, влияющие на объем управленческой деятельности предприятия;
· изучить специфику и условия функционирования ЗАО «Энергокабель»;
· разработать основные блоки управления;
· определить численный и квалификационный состав сотрудников.
Глава 1. Предприятие как объект управления
1.1. Факторы влияния на систему управления
Экономическая стабильность организации, её выживаемость и эффективность деятельности в условиях рыночных отношений неразрывно связаны с её непрерывным совершенствованием и развитием. При этом совершенствование организации должно осуществляться по принципу адаптации к внешней среде.
Сегодня достаточно ясно обозначились факторы, определяющие необходимость постоянных внутренних изменений для адаптации организации к внешней среде. Такими факторами являются следующие:
· рынок сбыта производимой продукции и вида услуг;
· рынок поставщика или потребителя исходных материалов, энергии, товаров и услуг;
· финансовый рынок;
· рынок труда;
· окружающая природная среда.
Без учета этих факторов невозможно планировать стратегию развития. Поэтому успех любого предприятия или организации и возможность их выживания зависят от способности быстро адаптироваться к внешним изменениям.
Сервис онлайн-записи на собственном Telegram-боте
Попробуйте сервис онлайн-записи VisitTime на основе вашего собственного Telegram-бота:
— Разгрузит мастера, специалиста или компанию;
— Позволит гибко управлять расписанием и загрузкой;
— Разошлет оповещения о новых услугах или акциях;
— Позволит принять оплату на карту/кошелек/счет;
— Позволит записываться на групповые и персональные посещения;
— Поможет получить от клиента отзывы о визите к вам;
— Включает в себя сервис чаевых.
Для новых пользователей первый месяц бесплатно.
Зарегистрироваться в сервисе
Организация - это открытая система взаимодействующих и управляемых частей, работающая с определённой целью, -смыслом» миссией и имеющая в своём распоряжении ресурсы.
Любая организация, вне зависимости от её назначения, может быть описана с помощью ряда параметров, среди которых главными являются: цели организации, её организационная структура, внешняя и внутренняя среда, совокупность ресурсов, нормативная и правовая основа, специфика процессов функционирования, система социальных и экономических отношений, организационная культура. Каждая организация имеет свою систему управления, которая также является предметом исследования.
Управление - это процесс распределения и движения указанных выше видов ресурсов в организации с заранее заданной целью по заранее разработанному стратегическому плану с непрерывным контролем результатов работ.
Система управления - это совокупность действий, определяющих направление управленческой деятельности. Структурно процесс управление представлен на рис. 1.1.

Рис. 1.1. Схема процесса управления
Система управления должна отвечать современным рыночным условиям [8]:
· обладать высокой гибкостью производства, позволяющей быстро изменять ассортимент продукции;
· быть адекватной сложной технологии производства, требующей совершенно новых видов контроля, организации и разделения труда;
· учитывать серьёзную конкуренцию на рынке товаров и услуг, в корне изменившую требования к качеству продукции, потребовавшую организовать послепродажное обслуживание и дополнительные фирменные услуги;
· учитывать требования к уровню качества обслуживания потребителей и времени выполнения договоров, которые стали слишком высокими для традиционных производственных систем и механизмов принятия решений;
· учитывать изменение структуры издержек производства;
· принимать во внимание необходимость учёта неопределённости внешней среды.
Процесс управления предусматривает согласованные действия, которые обеспечивают осуществление общей цели или набора целей, стоящих перед организацией. Для координации действий должен существовать специальный орган, реализующий функцию управление. Поэтому в любой организациивыделяется управляемая и управляемые части. Схема взаимодействия между ними показана на рис. 1.2.

Рис.1.2. Взаимодействие управляющей и управляемой части организации
Часть деловой организации, реализующая функции управления, состоит из многих взаимодействующих звеньев и представляет собой управляющую систему, обеспечивающую в рамках организации выполнение ряда специфических функций. На сегодня одним из основных принципов построения любых систем является иерархия. В современной теории организации понятие «иерархия» применяется, в основном, для отражения вертикального подчинения между различными уровнями управления организацией: иерархией властных полномочий, иерархией функций и функциональных обязанностей - соответственно подчинение по службе, функциональное подчинение.
Современный тип иерархической структуры управления имеет много разновидностей. Их можно условно разделить на два вида: бюрократические органические типы структур управления. Приведем краткую характеристику основных организационных структур.
1.2. Иерархические типы структур управления
Структуры управления на многих современных предприятиях были построены в соответствии с принципами управления, сформулированными еще в начале XX века. Наиболее полную формулировку этих принципов дал немецкий социолог Макс Вебер (концепция рациональной бюрократии):
· принцип иерархичности уровней управления, при котором каждый нижестоящий уровень контролируется вышестоящим и подчиняется ему;
· принцип соответствия полномочий и ответственности работников управления месту в иерархии;
· принцип разделения труда на отдельные функции и специализации работников по выполняемым функциям;
· принцип формализации и стандартизации деятельности, обеспечивающий однородность выполнения работниками своих обязанностей и скоординированность различных задач;
· принцип обезличенности выполнения работниками своих функций;
· принцип квалификационного отбора, в соответствии с которым найм и увольнение с работы производится в строгом соответствии с квалификационными требованиями.
Организационная структура управление, построенная в соответствии с этими принципами, получила название иерархической или бюрократической структуры.
Распространенным типами такой структуры является: линейно-функциональная, линейно-штабная организационная структура управления и дивизионная.
Основу линейных структур составляет так называемый "шахтный" принцип построения и специализация управленческого процесса по функциональным подсистемам организации (маркетинг, производство, исследования и разработки, финансы, персонал). По каждой подсистеме формируется иерархия служб ("шахта"), пронизывающая всю организацию сверху донизу (рис. 1.З.). Результаты работы каждой службы оцениваются показателями, характеризующими выполнение ими своих целей и задач. Соответственно строится и система мотивации и поощрения работников. При этом конечный результат (эффективность и качество работы организации в целом) становится как бы второстепенным, так как считается, что все службы в той или иной мере работают на его получение.
Достоинства линейной структуры:
· четкая система взаимных связей функций и подразделений;
· четкая система единоначалия - один руководитель сосредотачивает в своих руках руководство всей совокупностью процессов, имеющих общую цель;
· ясно выраженная ответственность, быстрая реакция исполнительных подразделений на прямые указания вышестоящих
Недостатки линейной структуры:
· отсутствие звеньев, занимающихся вопросами стратегического планирования; в работе руководителей практически всех уровней оперативные проблемы доминируют над стратегическими;
· тенденция к волоките и перекладыванию ответственности при решении проблем, требующих участия нескольких подразделений;
· малая гибкость и приспособляемость к изменению ситуации;
· критерии эффективности и качества работы подразделений и организации в целом разные;
· тенденция к формализации оценки эффективности и качества работы подразделений приводит обычно к возникновению атмосферы страха и разобщенности;
· большое число "этажей управления" между работниками, выпускающими продукцию, и лицом, принимающим решение;
· перегрузка управленцев верхнего уровня;
· повышенная зависимость результатов работы организации от квалификации, личных и деловых качеств высших управленцев.

Рис. 1.3. Линейная структура управлений
Линейно-штабная организационная структура является развитием линейной и призвана ликвидировать ее важнейший недостаток, связанный с отсутствием звеньев стратегического планирования. Линейно - штабная структура включает в себя специализированные подразделения (штабы), которые не обладают правами принятия решений и руководства какими - либо нижестоящими подразделениями, а лишь помогают соответствующему руководителю в выполнении отдельных функций, прежде всего, функций стратегического планирования и анализа. В остальном эта структура соответствует линейной (рис. 1.4).

Рис. 1.4. Линейно - штабная структура управления
Достоинства линейно - штабной структуры:
· более глубокая, чем в линейной, проработка стратегических вопросов;
· некоторая разгрузка высших руководителей;
· возможность привлечения внешних консультантов и экспертов.
При наделении штабных подразделений правами функционального руководства такая структура считается первым шагом к более эффективным органическим структурам управления.
Недостатки линейно - штабной структуры: 1
· недостаточно четкое распределение ответственности, так как лица, готовящие решение, не участвуют в его выполнении;
· тенденции к чрезмерной централизации управления;
· аналогичные линейной структуре, частично в ослабленном виде.
Уже к концу 20-х годов стала ясна необходимость новых подходов к организации управления, связанная с резким увеличением размеров предприятий, диверсификацией их деятельности (многопрофильностью), усложнением технологических процессов в условиях динамически меняющегося окружения. В связи с этим стали возникать дивизионные структуры управления, прежде всего в крупных корпорациях, которые стали предоставлять определенную самостоятельность своим производственным подразделениям, оставляя за руководством корпорации стратегию развития, научно - исследовательские разработки, финансовую и инвестиционную политику. В этом типе структур сделана попытка сочетать централизованную координацию и контроль деятельности с децентрализованным управлением. Пик внедрения дивизионных структур управления пришелся на 60 - 70-е годы (рис. 1.5).

Рис.1.5.Дивизионная структура управления
Ключевыми фигурами в управлении организациями с дивизионной структурой являются уже не руководители функциональных подразделений, а менеджеры, возглавляющие производственные отделения (дивизионы). Структуризация по дивизионам, как правило, производится по одному из критериев: по выпускаемой продукции (изделиям или услугам) - продуктовая специализация; по ориентации на определенные группы потребителей -потребительская специализация; по обслуживаемым территориям - региональная специализация. Аналогичные структуры управления широко внедрялись, начиная с 60-х годов в форме создания производственных объединений.
Достоинства дивизионной структуры:
· она обеспечивает управление многопрофильными предприятиями с общей численностью сотрудников порядка сотен тысяч и территориально удаленными подразделениями;
· обеспечивает большую гибкость и более быструю реакцию на изменения в окружении предприятия по сравнению с линейной и линейно - штабной;
· при расширении границ самостоятельности отделений они становятся "центрами получения прибыли", активно работая на повышении эффективности и качества производства;
· более тесная связь производства с потребителями.
Недостатки дивизионной структуры:
· большое количество "этажей" управленческой вертикали; между рабочими и управляющим производством подразделения - 3 и более уровня управления, между рабочими и руководством компании - 5 и более;
· разобщенность штабных структур отделений от штабов компании;
· основные связи - вертикальные, поэтому остаются общие для иерархических структур недостатки - волокита, перегруженность управленцев, плохое взаимодействие при решении вопросов, смежных для подразделений;
· дублирование функций на разных "этажах" и как следствие высокие затраты на содержание управленческой структуры;
· в отделениях, как правило, сохраняется линейная или линейно - штабная структура со всеми их недостатками.
1.3. Органические типы структур управления
Органические или адаптивные структуры управления стали развиваться примерно с конца 70-х годов, когда, с одной стороны, создание международного рынка товаров и услуг резко обострило конкуренцию среди предприятий и жизнь потребовала от предприятий высокой эффективности и качества работы и быстрой реакции на изменения рынка, и с другой стороны, стала очевидной неспособностьструктур иерархического типа соответствовать этим условиям. Главным свойством управленческих структур органического типа является их способность изменять свою форму, приспосабливаясь к изменяющимся условиям. Разновидностями структур этого типа являются проектные, матричные (программно-целевые), бригадные формы структур. При внедрении этих структур необходимо одновременно изменять и взаимоотношения между подразделениями предприятия. Если же сохранять систему планирования, контроля, распределения ресурсов, стиль руководства, методы мотивации персонала, не поддерживать стремление работников к саморазвитию, результаты внедрения таких структур могут быть отрицательными.
Основой бригадной (кросс - функциональной структуры управления является организация работ по рабочим группам (бригадам). Форма бригадной организации работ – достаточно древняя организационная форма, но только с 80-х годов началось ее активное применение как структуры управления организацией, во многом прямо противоположной иерархическому типу структур. Основными принципами такой организации управления являются:
· автономная работа рабочих групп (бригад);
· самостоятельное принятие решений рабочими группами и координация деятельности по горизонтали;
· замена жестких управленческих связей бюрократического типа гибкими связями;
· привлечение для разработки и решения задач сотрудников разных подразделений.
Эти принципы разрушают свойственное иерархическим структурам жесткое распределение сотрудников по производственным, инженерно-техническим, экономическим и управленческим службам, которые образуют изолированные системы со своими целевыми установками и интересами.
В организации, построенной по этим принципам, могут как сохраняться функциональные подразделения (рис. 1.6), так отсутствовать (рис. 1.7). В первом случае работники находятся под двойным подчинением - административным (руководителю функционального подразделения, в котором они работают) и функциональным (руководителю рабочей группы или бригады, в которую они входят). Такая форма организации называется кросс-функциональной, во многом она близка к матричной. Во втором случае функциональные подразделения как таковые отсутствуют. Такая форма достаточно широко применяется в организации управления по проектам.
Преимущества бригадной (кросс-функциональной) структуры:
· сокращение управленческого аппарата, повышение эффективности управления;
· гибкое использование кадров, их знаний и компетентности;
· создание условий для самосовершенствования;
· возможность применения эффективных методов планирования и управления;
· сокращение потребности в специалистах широкого профиля.

Рис. 1.6. Кросс - функциональная организационная структура
Недостатки бригадной (кросс-функциональной) структуры:
· усложнение взаимодействия, вы особенности для кросс-функциональной структуры;
· сложность в координации работ отдельных бригад;
· высокая квалификация и ответственность персонала;
· высокие требования к коммуникациям.

Рис.1.7. Бригадная структура организации
Основным принципом построения проектной структуры является концепция проекта, под которым понимается любое целенаправленное изменение в системе, например, освоение и производство нового изделия, внедрение новых технологий, строительство объектов. Деятельность предприятия рассматривается как совокупность выполняемых проектов, каждый из которых имеет фиксированное начало и окончание. Под каждый проект выделяются трудовые, финансовые, промышленные ресурсы, которыми распоряжается руководитель проекта. Каждый проект имеет свою структуру, и управление проектом включает определение его целей, формирование структуры, планирование и организацию работ, координацию действий исполнителей. После выполнения проекта структура проекта распадается; ее компоненты, включая сотрудников, переходят в новый проект или увольняются. По форме структура управления по проектам может соответствовать как бригадной (кросс-функциональной) структуре, так и дивизионной структуре, в которой определенный дивизион (отделение) существует не постоянно, а на срок выполнения проекта.
Преимущества структуры управления по проектам:
· высокая гибкость;
· сокращение численности управленческого персонала по сравнению с иерархическими структурами.
Недостатки структуры управления по проектам:
· очень высокие требования квалификации, личным и деловым качествам руководителя проекта, который должен не только управлять всеми стадиями жизненного цикла проекта, но и учитывать место проекта в сети проектов компании;
· дробление ресурсов между проектами;
· сложность взаимодействия большого числа проектов в компании;
· усложнение процесса развития организации как единого целого.
Преимущества такой структуры перевешивают недостатки на предприятиях с небольшим числом одновременно выполняемых проектов. Возможности воплощения принципов современной философии качества определяются формой управления проектами.
Матричная (программно - целевая) структура управления представляет собой сетевую структуру, построенную на принципе двойного подчинения исполнителей: с одной стороны непосредственному руководителю функциональной службы, которая предоставляет персонал и техническую помощь руководителю проекта, с другой -руководителю проекта или целевой программы, который наделен необходимыми полномочиями для осуществления процесса управления. При такой организации руководитель проекта взаимодействует с 2-мя группами подчиненных: с постоянными членами проектной группы и с другими работниками функциональных отделов, которые подчиняются ему временно и по ограниченному кругу вопросов. При этом сохраняется их подчинение непосредственным руководителям подразделений, отделов, служб. Для деятельности, которая имеет четко выраженное начало и окончание, формируются проекты, для постоянной деятельности - целевые программы. В организации и проекты, и целевые программы могут сосуществовать. Пример матричной программно - целевой структуры управления приведен на рис.1.8. Эта структура была предложена Каори Ишикава в 70-х годах и с небольшими изменениями функционирует по сей день на многих фирмах по всему миру.
Преимущества матричной структуры:
· лучшая ориентация на проектные или программные цели и спрос;
· более эффективное текущее управление, возможность снижения расходов и повышения эффективности использования ресурсов;
· более гибкое и эффективное использование персонала организации, специальных знаний и компетентности сотрудников;
· относительная автономность проектных групп или программных комитетов способствует развитию у работников навыков принятия решений, управленческой культуры, профессиональных навыков;
· улучшение контроля за отдельными задачами проекта или целевой программы;
· любая работа организационно оформляется, назначается одно лицо - "хозяин" процесса, служащее центром сосредоточения всех вопросов, касающихсяпроекта или целевой программы;
· сокращается время реакции на нужды проекта или программы, так как созданы горизонтальные коммуникации и единый центр принятия решений.

Рис. 1.8. Матричная структура управления
Недостатки матричных структур:
· трудность установления четкой ответственности за работу по заданию подразделения и по заданию проекта или программы (следствие двойного подчинения);
1.4. Проектирование функций управления
В процессе проектирования организационных систем целесообразно ориентироваться на такие понятия, как общие оперативные и операционные цели.
Общие цели соответствуют назначению, миссии стратегическим замыслам организации. Они характеризуют внешнюю направленность организации, перспективы её развития и защитные функции. Эти цели содержатся в уставе организации, отражаются в рекламе и официальных изданиях и используются при создании имиджа организации.
Оперативные цели соответствуют текущему моменту деятельности организации и тому, что на самом деле занимается организация. Эти цели отличаются внутренней направленностью, мобилизацией ресурсов и отражаются в планах работы организации.
Операционные цели характеризуются конкретизацией и детализацией задач, более чётки распределением функциональных обязанностей, контролем за исполнительской дисциплиной, возможностью изменения параметров.
Эта классификация позволяет выделить необходимые цели-ориентиры в той последовательности, которая наилучшим образом способствует достижению главной цели организации.
После разработки развёрнутой во времени последовательности целей ориентиров необходимо определить стратегическую концепцию организации.

Рис.1.9. Этапы организационного проектирования
Правильный выбор стратегии позволяет перейти к следующему этапу организационного проектирования - к созданию организационной структуры. На рис.1.9 показана последовательность действий перехода от цели организации к организационной структуре управления с последующей оценкой эффективности построения этой структуры [9].
Выполнение всех этапов организационного проектирования должно сопровождаться экономическим анализом, учитывающим как ресурсные возможности организации, так и потребности внешней среды. Поскольку проектирование организации определяет её будущее и последовательность её развития, все этапы проектирования предусматривают проведение вычислительных экспериментов с использованием процедур моделирования.
В частности, цель, определяемая на первом этапе проектирования, - это исходная модель будущего состояния организации. Другие элементы модели организации могут быть представлены в виде развёрнутого алгоритма, отражающего последовательность действий на этапах организационного проектирования (рис.1.10).

Рис. 1.10. Алгоритм проектирования организационной структуры управления
Исследование и проектирование функций управления является наиболее трудоемкой задачей, так как любое их изменение приводит к изменению структуры управления. Выделение функций управления вызвано ещё и многообразием управленческой деятельности, то есть процессами принятия решения. Поскольку каждая отдельная функция характеризует специфическую управленческую деятельность, то совокупность таких функций позволяет формировать конкретную систему управления.
1.5. Система управления предприятием
Один из основоположников науки управления Анри Файоль рассматривал предприятие как совокупность материального и социального организмов. Но сам Файоль, развивая науку управления, способствовал тому, чтобы его социальный организм разделился на две составляющие: административную (организация и управление) и человеческую (персонал). Поэтому сейчас мы можем говорить уже не о двух, а о трех «организмах» предприятия, которыми являются материальная база, персонал и менеджмент, как деятельность по организации работ и управлению предприятием, включая также взаимоотношения между людьми на производстве.
Принцип создания системы управления предприятием заключается в том, чтобы, провести разделение труда по вертикали, которое осуществляется путем делегирования линейных полномочий сверху вниз по уровням управления, сформированным при построении структуры предприятия. В результате в структуре определяются руководители всех уровней (субъекты управления) и подчиненные им сферы контроля (объекты управления), создается иерархия уровней управления и образуется цепь команд. Кроме делегирования линейных полномочий сверху вниз, нужно определить штабные полномочия, обязанности руководителей по координации (стыковке) работ подразделений по горизонтали и обеспечить интеграцию деятельности всех подразделений для достижения общих целей организации. В организациях обычно выделяют три уровня управления:
· руководители низового звена — технический уровень (мастера — младшие начальники), которые руководят непосредственными исполнителями работ;
· руководители среднего звена — руководители подразделений;
· руководители среднего звена, взаимодействуют на своем уровне с поставщиками и потребителями и поставляют большую часть информации высшему руководству;
· руководители высшего звена, которые разрабатывают стратегию, формулируют цели и политику, взаимодействуют с внешней средой, принимают важнейшие решения, отвечают за мотивацию персонала, общую организацию работ и управление предприятием.
В результате, для обеспечения полноты и непрерывности процесса управления на предприятии, по нашему мнению, необходимо предусмотреть выполнение следующих управленческих функций: взаимодействие с внешней средой, определение стратегии и политики, организацию работ, подбор, подготовку и мотивацию персонала, планирование и подготовку производства, управление производством, контроль производства и качества продукции, информационное обеспечение, разработку мероприятий, принятие решений, внедрение мероприятий.
Содержание и методы работ при выполнении перечисленных выше функций в процессе управления предприятием определяются для каждой функции в отдельности. При этом необходимо применять методы и подходы к управлению, накопленные практикой менеджмента и отвечающие содержанию и характеру реализуемых функций.
На основе процессного подхода можно построить модель управления предприятием и показать на ней процесс управления как непрерывную серию взаимосвязанных управленческих функций (рис.1.11).
В соответствии с представленной моделью процесс управления начинается со взаимодействия с внешней средой. Исходя из требований заказчиков и рынков сбыта, предприятие определяет объемы поставок, сроки, цену и качество своей продукции и требования к поставщикам материалов и комплектующих элементов. Анализ предприятия принимает стратегические решения, то есть определяет долгосрочные цели, разрабатывает стратегию и политику. Затем проводятся мероприятия по организации работ, подбору, подготовке и мотивации персонала. Исходя из стратегии и политики, с учетом требований рынка и заказчиков, осуществляется планирование производства. Далее проводится подготовка производства, осуществляется непосредственное управление производством и проводится контроль производства и качества продукции. Полученная по результатам контроля информация анализируется и сравнивается с информацией о научно-техническом прогрессе (НТЦ), а также с информацией с рынков сбыта, от заказчиков и конкурентов. По результатам сравнительного анализа разрабатываются мероприятия и принимаются необходимые решения руководством предприятия.
После этого осуществляется внедрение мероприятий для реализации принятых решений. Как правило, оперативные решения, принимаемые руководством, направляются на устранение и предупреждение отклонений от технологии и требуемых характеристик продукции при управлении производством, а также на улучшение продукции и производственного процесса. Но кроме этого принимаемые меры могут быть направлены на корректировку ранее принятых оперативных планов, а также на сферу ответственности высшего руководства, например, на изменение организации работ, на повышение квалификации и мотивации персонала, а также на выбор более квалифицированных поставщиков материалов и комплектующих изделий.

Рис. 1.11. Модель управления предприятием
После завершения процесса производства продукция поставляется заказчику или на рынки сбыта, и поставщик получает от них реакцию на поставленную продукцию (обратная связь). Таким образом, цикл управления заканчивается выполнением той же функции, с которой он и начинался — взаимодействием с внешней средой.
Для завершения создания системы управления необходимо разработать нормативные документы, указывающие, как надо выполнять указанные выше функции их исполнителями. Только после этого, можно будет сказать, что система управления предприятием сформирована.
1.6. Внутренняя корпоративная среда организации технологии
Определение роли и места технологий в области менеджмента и управления всем комплексом различных направлений деятельности организации должно быть ориентировано на прагматические результаты, обеспечивающие продвижение наиболее прогрессивных и современных технологий управления в практическую деятельность. Эффективность работы компании на рынке определяется наличием у неё системы управления, основанной на стратегии развития, являющейся ранжированной по приоритетам системой взаимодействия внедрённых технологий. Алгоритм выбора, исследования и внесения технологии в корпоративную среду фирмы представлен на рис. 1.12.

Рис.1.12. Алгоритм выбора, исследования и внедрения технологий управления
Систему управления предприятием можно рассматривать как интегрированную систему управления технологиями, выстроенную по заданному алгоритму и приоритетам. Для принятия решения о необходимости разработки или покупки управленческой технологии компании исследуют её.
Выбор и исследование технологии, предполагаемой к внедрению, начинают с предметно-ориентированного описания элементов технологии и параметров её сети поддержки во взаимодействии с элементами и параметрами внутренней корпоративной среды фирмы. Определение свойств и атрибутов ядра и сети поддержки технологий описывают в терминах единого словаря принятых на фирме понятий.
Внутреннюю корпоративную среду в описываемом подходе можно рассматривать состоящей из пяти основных частей (рис.1.13):

Рис. 1.13. Основные составляющие внутренней корпоративной среды компании
· организационная среда представлена организационной структурой фирмы, системой распределения полномочий и ответственности; порядком и правилами участия и взаимодействия персонала в процессах и в процедурах принятия решений, системой управления фирмой;
· техническая среда включает в себя номенклатуру оборудования совокупную структуру основных фондов фирмы, также производственные процессы, конструкторские и технологические спецификации изделий фирмы;
· информационная среда определяет процессы документооборота фирмы, все элементы информационных технологий, включая глобальные и локальные сети фирмы, систему накопления и использования информации и знаний;
· культурная корпоративная среда идентифицирует текущее состояние и формирует требования к персоналу фирмы, его квалификационный уровень, требования к обучению, подготовке и переподготовке персонала, мотивацию труда и карьерные возможности;
· нормативная среда состоит из стандартов предприятия, внедрённых на фирме, методик, инструкций, включая, например, адаптированные к условиям фирмы требования системы менеджмента качества серии ISO-9000.
Состояние внутренней корпоративной среды зависит от влияния таких внешних факторов, как законодательная база государства, политическая и экономическая составляющие государственной политики, социальные и культурные особенности региона, специфика функционирования фирмы, качество исодержание государственных и отраслевых стандартов.
Никакая система или подсистема управления не будет функционировать, если в расчёт не будет взята поведенческая функция персонала. Именно персонал определяет функционирование всех вышеперечисленных сред. Поэтому отдельным самостоятельным фактором формирования системы стратегического управления развитием фирмы является разработка и внедрение системы управления персоналом. Определяющей в системе управления трудовыми ресурсами фирмы является необходимость найти и определить возможности реализации рационального поведения сотрудника фирмы — оптимального для него и одновременно полезного для фирмы. Условия, которые позволяют персоналу оптимально удовлетворять свои интересы при рациональном поведении по отношению к фирме, являются критериальными. Эти условия должны быть прозрачны для персонала и отражать мотивацию его рационального поведения, включая материальные и моральные стимулы, условия карьерного продвижения по службе.
Каждая новая управленческая концепция призвана отражать определённую технологию или комплекс управленческих технологий, направленных на получение конкретных конкурентных преимуществ.
Введение понятий технологического ядра и сети поддержки технологий позволяет сделать ряд методологических выводов, представляющих интерес для практического менеджмента. Вопрос о формировании сети поддержки технологий, складывающейся на фирме, как набора технологий из различных областей знаний позволяет топ-менеджерам обеспечить условия достиженияпоставленных целей управления всем комплексом процессов на фирме наиболее эффективным путём, формировать этапы и переходы планируемой эволюции к будущим, более совершенным системам управления. Поэтому разработку и внедрение любых систем управления компании рассматривают и концептуально проектируют как интегрированную модель взаимодействия различных технологических ядер с учётом формирования достаточно сложной гиперсети поддержки технологий, отвечающей критериям заданной эффективности. Именно менеджмент должен проектировать сеть поддержки технологий с тем, чтобы в конечном итоге создать эффективную систему управления организацией.
1.7. Организационная культура предприятия и эффективность производственной деятельности
Постоянные изменения во внешней среде, усложнения в производственной и коммерческой деятельности предприятий, повышение значения фактора времени, расширение пространства предприятия и увеличение объёмов и скорости получения информации и новых знаний повышают значимость внутренних источников экономического роста, способных обеспечить прирост производства. Важнейшим ресурсом, способным создать гибкую, адаптивную и тем самым эффективную производственную систему, является организационная культура предприятия, поскольку именно она определяет, как. каким образом и с какими затратами достигаются результаты его деятельности, обусловливая изменение соотношения между объемом производства и измеряемыми затратами.
Организационная культура является оболочкой любого предприятия. Определяя состояние социальной системы, в рамках которой все факторы произволе та преобразуются в конечные результаты, организационная культура предприятия я мнется важнейшим инструментом управления, лежащим в основе построения любой экономической модели деятельности.
Развитая организационная культура предприятия усиливает координацию, контроль и единство целей предприятия с целями работников оказывает влияние на качество и прибыль компании.
Результаты деятельности любого предприятия необходимо связывать с организационной культуройпредприятия, поскольку она является важнейшим системообразующим фактором производства. Как система элементов, корпоративная культура лежит в основе организации управления всеми факторами производства (трудовыми ресурсами, материалами, капиталом и информацией). Однако только сильная организационная культура обусловливает успешное функционирование предприятия — сложной открытой системы.
Организационная культура — не единственный элемент, способствующий повышению эффективности производственной деятельности. Возможны ситуации, когда предприятие обладает высокоэффективной корпоративной культурой и в то же время терпит поражение на рынке, или же фирма с низкой организационной культурой демонстрирует высокую эффективность. Однако в достижении долгосрочной эффективности предприятия определяющим фактором является только лишь сильная организационная культура.
Чтобы оценить влияние организационной культуры предприятия на эффективность его производственной деятельности, необходимо диагностировать состояние её структурных элементов, характеризующих реальные возможности формирования культурного пространства — определённого порядка осуществления производственной деятельности предприятия, способствующего повышению целеустремленности социальной системы и тем самым повышению эффективности функционирования. Исследования влияния организационной культуры на эффективность производства в основном сводятся к качественным методам анализа.
В основе методики лежит понимание организационной культуры как «системы духовных и материальных элементов, взаимодействующих между собой и присущих только данному предприятию, в формировании которых существенную роль играет культура внутренних субъектов и факторы внешней среды и на основе которой формируется системный подход к управлению всеми факторами производства путем создания целостной стратегии функционирования и развития предприятия и непосредственной её реализации в процессе осуществления производственной деятельности.
Такое определение организационной культуры позволяет акцентировать внимание на двух важнейших аспектах — на составляющих культуру элементах и степени их влияния на функционирование предприятия.
В структуре организационной культуры выделяются 18 элементов (рис.1.13) наиболее полно определяющих её силу. Этот набор лежит в основе дальнейшей количественной оценки организационной культуры и определения её влияния на эффективность производственной деятельности предприятия.

Рис.1.13.Структурные элементы организационной культуры предприятия
Для расчёта абсолютного влияния (в баллах) одного элемента организационной культуры на другой оцениваются парные линейные регрессии. Математически задача сводится к нахождению аналитического выражения, наилучшим образом описывающего связь одного элемента организационной культуры с другим в виде:
у = а+bх,
где у — результативный признак, х — факторный признак. Коэффициент h показывает, на сколько баллов изменяется результативный признак при увеличении факторного признака на балл.
Например, для элемента 1 «ясность целей и ориентация на их достижение» факторными признаками являются элемент 2 - «сфокусированность производственной деятельности», элемент 8 - «участие работников в принятии решений» и элемент 13 - «управление системой ценностей». Матрица парных коэффициентов корреляций позволила также ответить, какие элементы в большей степени определяют организационную культуру предприятия.
В основе роста всех элементов лежат два независимых признака: элемент 12 — «ориентация на потребителя» и элемент 6 — «ориентация на персонал». Это доказывает важность данных элементов организационной культуры при её формировании. Другим независимым элементом является элемент 4 — «уровень формальности». Уровень формальности определяется такими элементами, как стиль управления, ориентация на потребителя, на персонал, однако » данном исследовании достоверной статистической взаимосвязи выявлено не было.
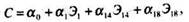
Далее для того чтобы отобрать факторные признаки и справиться с проблемой мультиколл и неарности, был проведен статический анализ с помощью метода пошаговой регрессии. В результате было получено уравнение вида
где С — организационная культура предприятия, — константа, — коэффициенты регрессии, — элементы, определяющие организационную культуру «факторные признаки.
Уравнение зависимости культуры от факторных признаков приняло следующий вид:
Таким образом, существует высокая сила связи между выбранными факторными признаками и организационной культурой предприятия, поскольку множественный коэффициент корреляции r = 0.98. При этом 96.5% изменения организационной культуры предприятия обусловлено изменением ведущих факторов: элемента 1 — «ясность целей и ориентация на их достижение», элемента 14 — «способность предприятия реагировать на изменения» и элемента 18 — «технический уровень производства.
При проверке значимости уравнения на основе многомерного аналога критерия Фишера, в частности при сравнении расчётного значения Fрасч
=82,9 и критического значения Fкрит
=3.86 для уровня значимости 0,05, было установлено, что уравнение значимо и связь признается существенной. При оценке значимости коэффициентов регрессии на основе критерия Стьюлента (Госсета) было установлено, что все они значимы на уровне 0,05 и даже на уровне 0,02. Поскольку теоретическое и эмпирическое значения организационной культуры предприятий очень близки (рис.1.14), данное уравнение можно использовать для осуществления прогнозов.

Рис.1.14. Теоретические и эмпирические значения показателя организационной культуры
Глава 2. Проектирование организационной структуры управления
ЗАО «Энергокабель»
2.1. Общая характеристика ЗАО «Энергокабель»
Характеристика организации представлена в таблице 2.1.
Таблица 2.1. Основные показатели деятельности ЗАО «Энергокабель»
| № п/п |
Показатель |
Обозна чение |
Значение |
Единица измерения |
| 1 |
Численность промышленно-производственного персонала |
Рпп |
1479 |
чел. |
| 2 |
Общая численность рабочих |
Ро |
1149 |
чел. |
| 3 |
Численность производственных рабочих |
Рп |
1034 |
чел. |
| 4 |
Стоимость основных производственных фондов |
Ф |
127.2 |
млн..руб. |
| 5 |
Коэффициент укомплектованности рабочих мест |
Ку |
1,43 |
- |
| 6 |
Суммарный грузооборот |
Гс |
3 |
млн.т. |
| 7 |
Протяженность заводских железнодорожных путей |
Zжп |
5 |
км. |
| 8 |
Число транспортных средств на балансе предприятия |
Чтс |
234 |
шт. |
| 9 |
Годовое потребление электроэнергии |
Гэ |
3 |
млн. кВт. |
| 10 |
Коэффициент сложности деталей |
 |
0,58 |
| 11 |
Объем выпуска сварных конструкций |
Vск
|
6 |
тыс. т.
/год
|
| 12 |
Количество поставщиков и потребителей |
П |
468 |
шт. |
| 13 |
Количество технологических норм или операций в основном производстве |
Т |
684 |
шт. |
| 14 |
Количество наименований, типоразмеров, артикулов, полуфабрикатов, материалов, покупных изделий и выпускаемой продукции |
М |
343 |
шт. |
| 15 |
Количество наименований оригинальных деталей |
А |
280 |
шт. |
| 16 |
Количество предприятий кроме базового |
2 |
шт. |
| 17 |
Количество цехов основного производства в головном предприятии |
7 |
шт. |
| 18 |
Тип производства |
С |
| 19 |
Характер продукции |
ОС |
| 20 |
Численность основных рабочих в цехе |
РпЦ
|
150 |
чел. |
| 21 |
Коэффициент закрепления оперший |
Кзо |
43 |
| 22 |
Средний разряд работы |
Рс
|
3,4
|
| 23 |
Количество производственных участков в цехе |
У |
6 |
шт. |
| 24 |
Специализация цеха |
Технологическая |
| 25 |
Тип цеха |
Механосборочный цех сер. произв |
2.2.
SWOT
-анализ ЗАО «Энергокабель
Оценка значимости силы и возможностей со стороны потенциала предприятия и внешней среды представлена в таблице 2.2.
Таблица 2.2. SWOT-анализ
| Оценка сильных сторон |
Оценка возможностей |
| Сила |
Знач
имо
сть.
Балл
(0-
10)
|
Вероятно
сть
наступле
ния в
течение
года(0-1)
|
Резу
льти
рую
щая
оцен
ка
|
Возможность |
Значимость.
Балл (0-10)
|
Вероят-
ность
на-
ступлен
ияв
течение
года(0-1)
|
Результиру
ющая
оценка
|
Полная
компе-
тентность
в
ключевых
вопросах
|
Верти-
кальная
инте-
грация
|
| 8 |
0,3 |
2,1 |
9 |
0,2 |
1,8 |
| Хорошее |
Способ- |
| впеч- |
ность |
| атление, |
обслужить |
| сложив- |
9 |
0,5 |
4,5 |
дополнит- |
8 |
0,5 |
4,5 |
| шееся у |
ельные |
| клиентов о |
группы |
| компании |
потребителей или выйти на новые сегменты рынка. |
| Экономия на масштабах производства |
8 |
0,4 |
2,4 |
Новые предложения со стороны финансовых организаций |
10 |
0,5 |
5,0 |
| Умение избежать (хотя бы в некоторой мере) сильного давления со стороны конкурентов |
9 |
0,7 |
6,3 |
Ослабление позиции фирм конкурентов |
8 |
0,3 |
2,4 |
| Большой опыт |
5 |
0,6 |
3,0 |
Появление новых технологий |
6 |
0,5 |
3 |
| Превосходные технологические навыки |
8 |
0,8 |
6,4 |
Пути расширения перечня услуг чтобы удовлетворить больше потребителей |
7 |
0,7 |
4,9 |
| Низкие издержки за счёт экономии |
7 |
0,4 |
2,8 |
Внедрение информационных технологий |
8 |
0,7 |
5,6 |
| Хорошее впечатление со стороны партнёров |
9 |
0,8 |
7,2 |
Увеличение числа клиентов в прежнем сегменте рынка |
10 |
0,7 |
7,0 |
Оценка возможных решений о целесообразности использования указанных возможностей при наличии у предприятия слабых сторон представлена в таблице 2.3.
Таблица 2.3. Использование возможностей ЗАО «Энергокабель»
| Оценка возможностей |
Оценка слабых сторон |
Возмож-
ность
|
Значи
-
мость
. Балл
(0-10)
|
Вероят-
ность
на-
ступлен
ияв
течение
года(0-
1)
|
Резуль-
тирую
щая
оценка
|
Слабая
сторона
|
Значи-
мость.
Балл (0-10)
|
Вероят-
ность
наступления в
течение
года(0-
1)
|
Резуль
-
тирую
щая
оценка
|
| Увеличение спроса на услуги |
9 |
0,6 |
5,4 |
Нет чёткого стратегического направления развития |
9 |
0,8 |
7,2 |
| Вертикальная интеграция |
7 |
0,5 |
3,5 |
Внутренние производственные проблемы |
7 |
0,9 |
6,3 |
| Внедрение новых технологий управления |
8 |
0,5 |
4,0 |
Низкая производительность из-за нехватки времени на решения |
10 |
0,8 |
8,0 |
| Расширение видов услуг |
9 |
0,7 |
6,3 |
Недостаток в постоянном штате некоторых специалистов |
7 |
0,5 |
3,5 |
| Способность обслужить дополнительные группы потребителей или выйти на новые сегменты рынка. |
9 |
0,8 |
7,2 |
Плохая информированность на рынке о компании |
6 |
0,5 |
3,0 |
| Ослабление позиции фирм конкурентов |
9 |
0,4 |
3,6 |
Неудовлетворительная маркетинговая деятельность |
4 |
0,6 |
2,4 |
Предложения
со стороны
финансовых
организаций
|
9 |
0,5 |
4,5 |
Недостаток
денег на
финансирование
необходимых
изменений в
стратегии
|
8 |
0,6 |
4,8 |
Оценка имеющихся сильных сторон и угроз представлена в таблице 2.4.
Таблица 2.4. Оценка сильных сторон
| Оценка возможностей |
Оценка
угроз
|
| Сила |
Значимое |
Вероятность |
Резуль- |
Угроза |
Значи |
Вероят |
Резуль- |
| ть |
наступления |
тирую |
мость |
ность |
тирую |
| Балл (0- |
в течение |
щая |
. Балл |
наступ |
щая |
| 10) |
года(0-1) |
оценка |
(0-10) |
ления в |
оценка |
| течение |
| года(0- |
| 1) |
Умение
избежать
сильного давления
со стороны конку-
рентов
|
4 |
0,9 |
3,6 |
Выход на
рынок
новых
конкурентов
|
9 |
0,8 |
7,2 |
| Улучшение отношений с поставщиками |
6 |
0,9 |
5,4 |
Медленный рост рынка |
6 |
0,8 |
4,8 |
Низкие
издержки за
счёт
экономии
|
3 |
0,9 |
2,7 |
Неблагоприя-
тное изменение
курсов
иностранн
ых валют
|
5 |
0,9 |
4,5 |
Расширение
видов услуг
|
7 |
0,9 |
6,3 |
Высокая
Зависимость от
снижения
спроса и
этапа
жизненного цикла
предприятия
|
8 |
0,6 |
4,8 |
Полная
компетентное
ть в ключе-
вых вопросах
|
8 |
0,6 |
4,8 |
Растущая
требова-
тельность
потреби-
телей и
постав-
щиков
|
9 |
0,9 |
8,1 |
Прево-
сходные
техноло-
гические
навыки
|
8 |
0,7 |
5,6 |
Изменение
потребностей покупателей
|
8 |
0,5 |
4,0 |
Оценка наихудшего сочетания факторов представлена в таблице 2.5.
Таблица 2.5. Сочетание факторов среды
| Оценка слабых сторон |
Оценка угроз |
| Слабость |
Значи- |
Вероят- |
Резуль- |
Угроза |
Значи- |
Вероят- |
Резуль- |
| мость. |
ность на- |
тирую |
мость. |
ность на- |
тирую |
| Балл (0- |
ступления |
щая |
Балл (0- |
ступления |
щая |
| 10) |
в течение |
оценка |
10) |
в течение |
оценка |
| года(0-1) |
года(0-1) |
| Нет |
Выход на |
| чёткого |
рынок |
| страте- |
новых |
| гического |
9 |
0,8 |
7,2 |
конку- |
9 |
0,8 |
7,2 |
| направ- |
рентов |
| ления |
| развития |
| Внут- |
Медлен- |
| ренние |
ный рост |
| производст- |
7 |
0,8 |
5,6 |
рынка |
7 |
0,9 |
6,3 |
| венные |
| проблемы |
| Низкая |
Небла- |
| произ- |
гоприя-тное |
| водит- |
измене-ние |
| ельность |
курсов |
| из-за |
10 |
0,8 |
8,0 |
иностран- |
10 |
0,8 |
8,0 |
| нехватки |
ных валют |
| времени |
| на |
| решения |
Недостаток в постоянном штате
некото-
рых
специа-
листов
|
7 |
0,5 |
3,5 |
Недостаточный ассортимент |
0,5 |
3,5 |
Плохая
инфор-
миро-
ванность
на рынке о компа-нии
|
6 |
0,5 |
3,0 |
Высокая
зави-
симость от
сниже-ния
спроса и этапа
жизнен-
ного цикла
предприятия
|
6 |
0,5 |
| Неудовл- |
Растущая |
| етво- |
требова- |
| рительная |
тельность |
| марке- |
4 |
0,6 |
2,4 |
потреби- |
8 |
0,5 |
4,0 |
| тинговая |
телей и |
| деятель- |
постав- |
| ность |
щиков |
Недос-
таток
денег на
финан-
сирование необ-
ходимых
измене-
ний в
стратегии
|
8 |
0,6 |
4,8 |
Изменение
потре-
бностей
дам-
покупателей
|
7 |
0,8 |
5,6 |
Матрица SWOT-анализа представлена в таблице 2.6.
Таблица 2.6. Матрица SWOT-анализа
| Внутренняя среда |
Внешняя среда |
| Возможности (О) |
Угрозы У(Т) |
| I |
II |
III |
IV |
| 1 |
2 |
3 |
4 |
5 |
6 |
Сила
C(S)
|
Прево-
сходные
техноло-
гические
навыки
|
Увеличе-
ние числа
клиентов
в преж-
нем сегменте
рынка
|
Новые
предло-
жения со
стороны
финан-
совых
организаций
|
Появление
большого
числа
конкурентов
|
Повышение
себестоимости
работ
|
Расширение
видов услуг
|
Увеличение
тарифов на
выполнение
работ
|
Исследование
системы
управления
|
Появление
новых
технологий
|
Использование
программ
развития
|
Полная
компетентно
ключевых
вопросах
|
Внедрение
Информационных технологий
|
Формирование
спроса на продукцию
|
Увеличение
стоимости
УСЛУГ
|
Переход на
качественно
новый уровень работ
|
Слабость Cл (W)
|
Низкая
произ-водит-
ельность из-
за нехватки
времени на
решения
|
Внедрение
новых
технологий
управления
|
Внедре-
ние
новых
техноло-
гий
|
Небла-
гоприятное
изменение
курсов
иностранных
валют
|
Невозможность
компенсировать
рост закупочных
цен на комплектующие.
За счет
повышения цен
на услуги
|
Нет
чёткого
страте-
гического
направ-
ления
развития
|
Новые
маркетинговые
стратегии
|
Освоение
новых видов
деятельности.
|
Увеличение
затрат из-за
роста
закупочных
цен на
комплектующие
|
Дополнительный расход времени на решение
вопросов
переобучения
|
Недостаток
денег на
финансирование
необходимы
х изменений
в стратегии
|
Способность
обслужить дополнительные
группы потребителей или выйти на
новые сегменты
рынка.
|
Организация
новых точек
|
Изменение
потребностей
покупателей
|
Выход на рынок
новых
конкурентов
|
Проведённый анализ позволил сделать ранжирование, и в качестве решения мы рассмотрим дерево целей, где обозначим стратегически важные задачи:
1. Использование программ развития предприятия;
2. Освоение новых видов деятельности;
3. Увеличение числа потребителей в прежнем сегменте рынка;
4. Внедрение новых технологий;
5. Внедрение информационных технологий;
6. Перераспределение функций.
Каждое предприятие может сформировать свою организационную структуру, используя типовые блочные решения в том или ином сочетании. В условиях акционерного общества рекомендуется разрабатывать типовые решения применительно к головному предприятию, производственной единице.
Научно-обоснованное проектирование новых и рационализация действующих структур управления является важнейшим направлением совершенствования управления промышленным производством.
Исходной базой при проектировании структур управления является содержание деятельности и структура объекта управления, т.е. производства и вытекающих из него функций управления и факторов, влияющих на объём управленческой деятельности.
После изучения функций и факторов приступают к непосредственному проектированию структуры управления. За основу берется типовая структура целостной организации системы управления предприятием. Затем на основе отраслевых рекомендаций разрабатывается структура, учитывающая специфику и условия данного конкретного предприятия. При этом используется так называемый блочный подход. Далее определяется численный и квалификационный состав сотрудников, необходимых для эффективного управления предприятием. После этого наступает этап согласования содержания и организационных форм управления. Завершает процесс проектирования построение конкретной схемы управления предприятием.
2.3. Выбор типовой организационной структуры ЗАО «Энергокабель»
В соответствии с типовыми методическими схемами определяем типовую структуру головного предприятия. Для этого нам необходимы следующие исходные данные:
· стоимость основных производственных фондов: 127,2 млн.руб.;
· численность производственно-промышленного персонала: 1479 чел.;
· тип производства: серийное;
· вид продукции: особо сложный.
Для определения группы предприятия рассчитываем количество баллов:
127,2*3,9+147/100*3,5=496+52=548>400 (для I гр. норма составляет 400 баллов)
Следовательно, группа предприятия - первая.
Типовая структура управления машиностроительного предприятия должна включать 17 отделов:
· отдел развития персонала
· отдел технического обучения
· одел организации труда и заработной платы
· планово-экономический отдел
· производственно-технический отдел
· отдел технического контроля
· бухгалтерия
· юридический отдел
· отдел главного конструктора
· технологический отдел
· бюро тех.-информации и оргтехники
· инструментальный отдел
· отдел техники безопасности
· отдел главного механика
· отдел главного энергетика
· отдел материально-технического снабжения
· финансовый отдел
· административно-хозяйственный отдел
На основе отраслевых рекомендаций каждое предприятие разрабатывает структуру и устанавливает штаты управления в пределах норматива. Структура аппарата управления предприятиями и цехами утверждается директором, что позволяет периодически её совершенствовать в связи с изменениями внутренних и внешних факторов.
Совершенствование структуры управления предприятиями требует определённой подготовительной работы и представляет довольно длительный процесс с обратной связью, где результаты практического функционирования создаваемой системы могут повлиять на характер первоначально принятых решений.
При совершенствовании структуры используется следующий последовательность работ:
· изучить отечественный и зарубежный передовой опыт в области разработки структур организации производства и управления;
· изобразить в виде схемы существующую структуру управления и оценить её с точки зрения передового отечественного и зарубежного опыта;
· уточнить функции, выполняемые исполнителями, определить фактическую загрузки каждого из них;
· установить существующее разграничение функций и ответственности между отделами, бюро, группами и отдельными исполнителями;
· выявить незакреплённые за исполнителями функции и задачи путём анализа должностных инструкций наличного персонала;
· проверить, соответствует ли квалификация сотрудников выполняемой ими работе.
После этого можно приступить к разработке более рациональной структуры управления:
· составить примерную схему управления на основе типовой, установить соподчинённость и взаимосвязь функциональных органов управления, а также основных линейных руководителей;
· определить наиболее рациональную степень централизации и децентрализации аппарата управления по каждой функции;
· пересмотреть должностные функции работников;
· рассчитать нормативную численность ИТР и служащих, необходимую для эффективного управления предприятием по каждой функции;
· определить количество заместителей и помощников руководителей предприятия;
· руководствуясь типовой структурой построить конкретную схему управления предприятием.
Для установления соотношений между численностью руководителей и исполнителей предложено использовать нормы управляемости:
для линейных руководителей - 6-9 чел.
для функциональных – 6-12 чел.
2.4. Определение отдельных блоков системы управления
ЗАО «Энергокабель»
Чтобы повысить степень аналитической проработки организационных структур и в то же время делать эту работу с точки зрения требуемых затрат труда и квалификации разработчиков доступной для всех предприятий можно на основе применения блочного подхода, разрабатывать типовые решения не по структуре в целом, а по отдельным её частям - укрупнённым блокам.
Под термином «блок» в данном случае подразумевается совокупность взаимосвязанных звеньев управления и исполнения, на которые возложено выполнение функций одной из систем, входящих в целостную организационную систему (ЦОС) в качестве её подсистемы. По каждому блоку определяется соответствующее должностное лицо, ответственное за функционирование соответствующей системы и её влияния на конечные результаты работы предприятия. Состав и характеристика блоков определяется соответственно реализуемыми функциями системы, входящей в ЦОС.
Общая структура управления ЗАО «Энергокабель» предположительно будет состоять из следующих блоков:
· общее руководство;
· линейное и оперативное руководство производством;
· техническое руководство;
· управление финансовой деятельностью;
· управление материальными ресурсами;
· управление кадрами и социальным развитием.
Рассмотрим каждый из этих блоков в отдельности.
Блок «Общее руководство» - ведущее звено в общей структуре управления производственным предприятием, призванное обеспечить единое взаимосвязанное руководство всеми сторонами его деятельности на основе определения и проведения в жизнь соответствующей экономической, социальной, организационной и технической политики.
В состав руководства входят:
· генеральный директор
· заместители генерального директора по существующим направлениям и объектам деятельности, состав которых зависит от задач и объёмов управленческих работ на предприятии;
· руководители производственных единиц предприятия, входящих в ЗАО.
Генеральный директор - исполнительный орган ЗАО. Он осуществляет текущее руководство деятельностью и подотчётен совету директоров и общему собранию акционеров. К компетенции исполнительного органа общества относится решение всех вопросов, не составляющих исключительную компетенцию других органов управления обществом, определяемых уставом ЗАО.
Генеральный директор осуществляет общее руководство при непосредственном участии Совета директоров, который является наблюдательным советом. В соответствии с законом ЗАО должна быть определена его исключительная компетенция.
На крупных предприятиях выделяют следующий обязательный состав заместителей:
· главный инженер
· директор по производству
· финансовый директор
· коммерческий директор
· директор по персоналу
Предварительная схема общего руководства будет выглядеть следующим образом (рис.2.1).

Рис.2.1. Организационная структура блока «Общее руководство»
Кроме того, при наличии определённых нормативных условий, разработанных в отраслях, возможно выделение следующих должностей:
· директор по управлению персоналом;
· директор по транспорту.
Так для эффективной структуры управления необходимо ввести должность заместителя генерального директора по персоналу.
Должность заместителя генерального директора по транспорту вводится при суммарном грузообороте по железнодорожному и автомобильному транспорту (Гс
) не менее 2,5 млн. т., протяжённость железнодорожных путей (Lж.п.
) до30 км, суммарном числе железнодорожных вагонов и грузовых автомобилей, находящихся на балансе предприятия (Чтс
), не менее 200 единиц.
В нашем случае: Гс
=3 млн. тонн > 2,5
Lж.п.
= 11 км < 30
Чт.с.
= 234 шт. > 200 ед.
Таким образом, мы вводим зам. ген. директора по транспорту.
В соответствии с действующими положениями непосредственно на директора предприятия возлагается руководство выполнением отдельных функций: бухгалтерского учёта, технического контроля, правовой деятельности, организация информационно-вычислительных операций, общее делопроизводство. Однако в этом случае происходит превышение норм управляемости для генерального директора, поэтому руководство выполнением вышеуказанных функций распределяем следующим образом: бухгалтерию подчиним финансовому директору. ОТК и юридический отдел - заместителю генерального директора по коммерческим вопросам; общим делопроизводством будет заниматься канцелярия как составная часть секретариата. Тогда окончательная схема блока «Общая руководство» будет выглядеть следующим образом:

Рис. 2.2. Организационная структура блока «Общее руководство»
Блок «Линейное управление» - это совокупность должностей линейных руководителей на различных уровнях управления, обеспечивающих непосредственное руководство как основными, так и вспомогательными производственными структурными подразделениями (производствами, цехами). К числу линейных руководителей относятся: начальники производственных единиц; начальники производств (при объединении цехов в производства); начальники цехов; начальники участков; бригадиры.
Заместитель генерального директора по производству организует своевременный выпуск качественной продукции службами предприятия, находящимся в его непосредственном подчинении, обеспечивает внедрение в производство новейших методов и систем планирования и организации производства.
Линейное руководство основным производством осуществляется в неразрывной связи с функцией оперативного управления. Поэтому в подчинении заместителя генерального директора по производству находятся блоки «Оперативного управления основным производством», в подразделениях которого осуществляется следующая работа: разработка графиков оперативно-календарного планирования и контроля за их соблюдением; организация ритмичной и максимальной загрузки производственных мощностей; контроль за наличием нормативных запасов сырья, материалов и комплектующих изделий в промежуточных складах цехов и производств; оперативное регулирование выпуска производимой продукции по цехам, производствам и сменам.
Выполнение указанной функции возлагается на производственно-диспетчерский отдел (ПДО), который состоит из бюро оперативно-календарного планирования и диспетчерского бюро. В составе этих бюро выделяются группы (исполнители), каждая из которых курирует определённый цех или производство.
Бюро текущего планирования занимается разработкой среднесрочных производственных программ, т.е. детализацией годового плана производства по срокам.
Диспетчерское бюро занимается оперативным регулированием и диспетчированием производств в форме непрерывного контроля за движением процесса производства и принятием решений по устранению возникающих отклонений от установленных заданий в результате выполнения запланированной производственной программы.
Образование самостоятельного производства и введение соответствующей должности линейного руководителя - начальника производства - зависят от определённых нормативных условий. Машиностроительные предприятия могут создавать самостоятельные производства при наличии не менее трёх технологически или предметно связанных цехов.
На предприятии ЗАО «Энергокабель» 3 технологически связанных цеха, предположительно с вредными условиями труда (гальванический цех, термический цех, и др.) подчиним начальнику производства, другие 4 цеха подчиняются непосредственно директору по производству.
В обязанности начальника производства входит обеспечение согласованной деятельности между цехами, ритмичности выпуска продукции и слаженной работы подотчётного ему производства.
Начальнику производства подчиняется начальник цеха. Он осуществляет непосредственное руководство производственной деятельностью участков своего цеха и контролирует работу всех служб цеха.
Мастера выполняют те же функции в пределах подотчётных им участков, бригадиры - в пределах бригад.
Учитывая имеющуюся современную тенденцию к децентрализации производства, целесообразно организовать производственно-диспетчерское бюро (ПДБ) не на уровне производств, а на уровне цехов. Поэтому ПДБ вводим в каждом из основных цехов.
ПДБ осуществляет оперативное и производственное планирование, учёт и контроль выполнения плана производства цехом, организует ритмичную работу подразделений в цехе, обеспечивает своевременное получение и хранение материальных ценностей в цехе, а также:
· получает и своевременно доводит до участков планы-графики производства, выявляет и предупреждает отклонения от нормального хода производства, принимает меры по их устранению;
· руководит работой распределителей и контролирует их работу;
· обеспечивает правильное оформление и своевременную отправку из цеха товарной продукции.
ПДБ, в свою очередь, состоит из группы оперативного планирования и группы диспетчирования.
Группа диспетчирования выполняет те же функции, что и диспетчерское бюро, только по отношению к конкретным цехам и на меньший период времени. В своей деятельности она опирается на оперативный план-график.
Группа оперативного планирования занимается конкретизацией заданий из ПДО на более короткий период времени, доведением производственного задания до исполнителей и обеспечением его выполнения.
Организационная структура блоков «Линейного и оперативного управления основным производством представлена на рис.2.3.

Рис. 2.3 Организационная структура блоков «Линейного и оперативного управления производством»
Структурное подразделение укрупнённого блока «Техническое руководство», возглавляемого главным инженером, обеспечивает выполнение следующих функций: разработку и совершенствование конструкций изделий, разработку и совершенствование технологии и оснастки; стандартизацию продукции, технологических процессов и других элементов производства; обеспечение производства инструментом и оснасткой; метрологическое обеспечение; ремонтное и энергетическое обслуживание.
Руководство выполнением указанных функций распределяется между главным инженером, его заместителями и руководителями служб с учётом функциональной специализации и технологической взаимосвязи соответствующих блоков.
Главный инженер является первым заместителем генерального директора предприятия и наравне с ним несёт ответственность за результаты производственной деятельности предприятия.
Главный инженер осуществляет организацию технического развития предприятия, обеспечивает развитие научно-технического прогресса, совершенствование работы технических служб предприятия.
За главным инженером непосредственно закреплены подразделения общетехнического назначения отдел стандартизации, отдел рационализации, изобретательства и патентоведения, отдел главного метролога, центральная заводская лаборатория (ЦЗЛ).
ЦЗЛ призвана содействовать внедрению в производство передовой технологии; нового технологического оборудования, обеспечивающих повышение качества и надёжности выпускаемой продукции. ЦЗЛ также - должна обеспечивать контроль за соблюдением технологической дисциплины в цехах.
ОНТИ занимается организацией научно-технической информации, пропаганды, обмена передовым опытом в цехах и на производственных участках предприятия в целях выполнения плана внедрения новой техники, эффективного использования производственных мощностей, обеспечивает руководящих работников и ведущих специалистов предприятия специально-подготовленной информацией, необходимой для принятия решений при формировании технической политики, определения перспектив развития предприятия и управления / производством, а также содействия решению производственных проблем, стоящих перед предприятием.
Задачи отдела рационализации, изобретательства и патентоведения:
· организация работы по развитию рационализации и изобретательства на предприятии, направленной на разрешение наиболее важных технических задач и повышения экономичности производства;
· совершенствование работы по внедрению рациональных предложений иизобретений;
· организация и проведение патентной работы на предприятии.
Отдел главного метролога занимается проверкой, аттестацией, контролем за состоянием измерительных приборов, имеющихся на предприятии, по эталонным приборам, а также их опломбированием на определённый срок эксплуатации; обеспечивает предприятие контрольно- измерительными приборами и техникой. Этот отдел призван обеспечить высокое качество выпускаемой продукции за счёт применения современных средств и методов контроля. В него входят лаборатории: измерительная, контрольно-измерительных приборов и автоматики.
Отдел стандартизации занимается следующими вопросами:
· обеспечением всемерного развития стандартизации и унификации на предприятии, направленной на выпуск высококачественной и экономичной продукции;
· организацией работ по внедрению стандартов, технических условий и инструкций.
К функциям отдела относится выявление технико-экономической эффективности от внедрения стандартов в проектировании и производстве, а также организация обмена опытом и технической информацией по вопросам стандартизации.
В подчинении у главного инженера находятся два заместителя: по подготовке производства и по техническому обеспечению.
Заместитель главного инженера по подготовке производства руководит следующими отделами:
· отделом главного конструктора (ОГК)
· отделом главного технолога (ОГТ)
· инструментальным отделом.
В задачи ОГК входит обеспечение конструкторской подготовки основного производства предприятия; обеспечение высокого технического уровня разрабатываемых конструкций изделий на основе последних достижений науки и техники.
ОГТ занимается обеспечением внедрения новых прогрессивных технологий, совершенствованием технологической подготовке производства.
Очень важным на предприятии является наличие инструментального отдела, в обязанности которого входит:
· планирование потребности производства в технологической оснастке и инструменте;
· бесперебойное обеспечение производственных подразделений предприятия инструментом и оснасткой высокого качества;
· совершенствование работы инструментальной службы, повышение качества и экономичности инструмента и оснастки.
В подчинении у инструментального отдела находится инструментальный цех. В нём осуществляется изготовление необходимых для основного производства инструментов и приспособлений. Его работа планируется в соответствии с потребностью в его продукции. Продукция инструментального цеха поступает на центральный инструментальный склад, откуда осуществляется её движение в цехи основного производства.
Особо значимое место на машиностроительном предприятии имеет отдел автоматизации и механизации производства. Задачами этого отдела являются следующие:
· выявление совместно с соответствующими отделами и цехами трудоёмких, тяжёлых и ручных работ, а также работ с особо тяжёлыми и особо вредными условиями труда, требующих механизации и автоматизации;
· разработка и внедрение в производство средств автоматизации и механизации производственных процессов, а также инженерного и управленческого труда.
В подчинении у этого отдела находится цех автоматизации и механизации.
Заместитель главного инженера по техническому обслуживанию руководит отделом главного механика и отделом главного энергетика. От организации ремонтного хозяйства в большей мере зависит ритмичность работы предприятия.
Задачи отдела главного механика (ОГМ):
· поддержание действующего парка оборудования предприятия в исправном рабочем состоянии путём своевременного качественного ремонтного и технического обслуживания;
· повышение экономичности ремонтного обслуживания оборудования.
Задачи отдела главного энергетика (ОГЭ):
· обеспечение сохранности, надлежащего технического состояния и рациональной эксплуатации энергетического оборудования и энергетических установок;
· разработка и осуществление мероприятий по экономии газообразного топлива, тепловой и электрической энергии, повышению коэффициента мощности электроустановок и КПД энергоустановок;
· развитие энергетического хозяйства соответственно росту производственных мощностей предприятия.
Наиболее важными функциями ремонтного хозяйства являются:
· планово-предупредительный ремонт оборудования;
· техническая и оперативная подготовка ремонтных работ;
· модернизация оборудования.
Система планово-предупредительного ремонта подразумевает совокупность организационных и технических мероприятий по уходу, надзору, обслуживанию и ремонту оборудования, проводимых по плану для обеспечения наиболее эффективной эксплуатации оборудования.
Техническая и оперативная подготовка ремонта осуществляется для всех видов работ. Она включает в себя конструкторские и технологические работы. Конструкторские заключаются в создании объёма чертежей по каждому типоразмеру оборудования, которое используется для изготовления сменных деталей. Технологические - в проектировании технологических процессов изготовления сменных деталей, восстановление изношенных деталей и выполнение ремонтных работ. Качество выполняемых ремонтных работ "влияет на объём бракованной продукции.
Модернизация оборудования направлена на улучшение технико-эксплуатационных параметров оборудования.
В ведении ОГМ находится ремонтно-механический цех.
В последнее время распространена такая сфера деятельности, как обслуживание потребителей продукции, т.е. оказание услуг по его монтажу, наладке и ремонту выпускаемых изделии (фирменное обслуживание). В связи с тем, что на предприятии особосложная продукция, для выполнения указанных работ организуются соответствующие подразделения (отдел пуско-наладочных работ, отдел технического обслуживания, эксплуатации и гарантированного надзора), которые подчиняются заместителю главного инженера по техническому обслуживанию. Отделы по обслуживанию потребителей работают в тесной связи с отделом маркетинга.
Укрупнённый блок «Управление финансовой деятельностью», возглавляемый финансовым директором, выполняет в масштабах всего предприятия следующие функции: экономический анализ и перспективное планирование; технико-экономическое планирование; организацию системы хозяйственного расчёта и экономического стимулирования; калькуляция и ценообразование; организацию труда и заработной платы, финансовое обеспечение; научную организацию труда и управления производством. Финансовый директор осуществляет руководство организацией и совершенствованием экономической деятельности предприятия, направленной на достижение наибольших результатов при наименьших затратах материальных, трудовых и финансовых ресурсов, ускорение темпов роста производительности труда, повышение рентабельности производства и снижение себестоимости продукции, обеспечивая правильное соотношение роста производительности труда и средней заработной платы.
На ЗАО «Энергокабель» целесообразно финансовому директору подчинить бухгалтерию, осуществляющей функцию бухгалтерского" учёта и отчётности.
Задачи планово-аналитического отдела:
· руководство работой по экономическому планированию на предприятии, направленному на организацию рациональной хозяйственной деятельности, выявление и использование резервов производства с целью достижения наибольшей экономической эффективности;
· организация комплексного экономического анализа деятельности предприятия и участия в разработке мероприятий по ускорению темпов роста производительности труда, эффективному использованию производственных мощностей, материальных и трудовых ресурсов, повышению рентабельности производства.
Лаборатория экономического анализа осуществляет руководство работой по комплексному экономическому анализу производственно-хозяйственной деятельности предприятия с целью более рационального использования производственных мощностей, материальных и трудовых ресурсов, сокращения объёмов незавершённого производства, повышения экономической эффективности и рентабельности производства.
Финансово - аналитический отдел занимается организацией финансовой деятельности предприятия, направленной на обеспечение финансовыми ресурсами сохранности и эффективного использования основных фондов и оборотных средств, трудовых и финансовых ресурсов предприятия, своевременности платежей по обязательствам в государственный бюджет.
Отдел управленческого учета (ОУУ) создаётся для организация и проведения учёта финансово-хозяйственной деятельности, контроля за расходом финансовых и материальных средств. К основным функциям ОУУ относят следующие:
· составление отчётных калькуляций себестоимости продукции, бухгалтерских балансов и других видов бухгалтерской отчётности;
· организация расчётов по заработной плате с работниками предприятия;
· своевременное проведение инвентаризации денежных средств и товарно-материальных ценностей, а также ревизий в подчинённых хозяйствах с самостоятельными бухгалтерскими балансами;
· выявление внутрихозяйственных резервов и непроизводственных расходов.
С целью повышения мотивации работников и более эффективному и производительному труду необходимо подчинить отдел управления трудом и заработной платой директору по персоналу.
Непосредственно финансовому директору подчиняется информационно-вычислительный центр (ИВЦ). В связи с компьютеризацией и автоматизацией производства это подразделение является жизненно важным на любом предприятии. Наибольший объём вычислительных работ связан с экономической деятельностью предприятия- целесообразнее всего создание ИВЦ именно в этом блоке, что не исключает связь и обмен информацией с другими подразделениями предприятия и, прежде всего, со службами, находящимися под руководством главного инженера, а также непосредственно с генеральным директором предприятия.
Задачи информационного центра:
· обеспечение наличия данных о потребностях в информации руководителей каждого уровня;
· сбор первичной информации, автоматизированная её обработка и своевременная выдача потребителям результатов вычислений;
· обеспечение максимальной загрузки имеющейся вычислительной техники и получения наибольшего экономического эффекта от её использования;
· разработка и внедрение более современных методов механизации учёта и , вычислительных работ, основанных на современной технике.
ИВЦ состоит из бюро приёма, контроля и выпуска документов и бюро обработки информации, а также расчётное бюро, занимающееся всеми вычислительными операциями, связанными с финансово-аналитической деятельностью предприятия.
Кроме того, необходимо заметить, что в ИВЦ находится банк данных обо всех работающих на предприятии «едя»-, к которому имеют доступ начальники отдела кадров, отдела подготовки кадров, а также специально-уполномоченные служащие, связанные с психологической работой с персоналом.
Укрупнённый функциональный блок «Управление материальными ресурсами» состоит из следующих обособленных блоков: «Материально-техническое снабжение» (МТС); «Сбыт»; «Транспортное обслуживание», юридический отдел и ОТК (отдел технического контроля). В состав МТС входят: отдел МТС предприятия (головной отдел), отдел МТС производств, отдел внешней кооперации, материальные склады. Блок «Сбыт» включает: головной отдел сбыта; отделы сбыта производств; склады готовой продукции. Блок «Транспортное обслуживание» включает транспортные отделы и бюро, транспортные цехи и участки.
Внутренняя структура подразделений блоков формируется в основном по товарному принципу. Так в отделе МТС организуется специализированные бюро по отдельным видам материальных ресурсов.
Материально-техническое обеспечение - это способы и методы координации отношений предприятия с его поставщиками и клиентами или потребителями в конкурентной среде. В планах МТС отражается потребность в основных видах материальных ресурсов, а также потребность в оборудовании, основных и вспомогательных материалах, топливе, энергии, полуфабрикатах со стороны и комплектующих.
Основной задачей отдела МТС является определение потребности и обеспечение её всеми видами материальных ресурсов.
Отдел МТС работает совместно с другими подразделениями предприятия, входящих в службу МТС, каждое из которых занимается конкретно своей деятельностью:
· отдел внешней кооперации - покупными полуфабрикатами и комплектующими;
· отдел главного механика - запчастями для ремонта оборудования;
· отдел главного энергетика - топливом и энергией;
· инструментальный отдел - инструментом и приспособлениями;
· транспортный отдел - осуществляет управление транспортными операциями по МТС,
а все вместе они призваны способствовать рациональной организации работы снабженческой службы предприятия. Отделу МТС подчиняется склад сырья и материалов.
Для организации и осуществления сбыта готовой продукции на предприятии создаётся отдел сбыта, проводящий эффективную сбытовую политику.
Отдел внешней кооперации занимается:
· своевременным, равномерным и комплексным обеспечением потребностей предприятия в полуфабрикатах и комплектующих изделиях, получаемых от кооперации;
· обеспечение наиболее полного и экономного использования на предприятии полуфабрикатов и комплектующих изделий.
Согласно мнению Ли Якокка, нет возможности подчинить производство и сбыт одному человеку, т.к. это две чрезвычайно трудоёмкие и совершенно различные функции на предприятии, но обе эти области на предприятии должны быть тесно связаны друг с другом во избежание рассогласования действий предприятия, возникновения огромных запасов продукции и, следовательно, финансовой неразберихи. Поэтому как и отдел сбыта, мы подчиняем заместителю генерального директора по коммерческим вопросам, но свою деятельность он должен осуществлять в тесной связи с заместителем генерального директора по производству.
Из опыта зарубежных стран нам известно, что на крупных предприятиях, первое лицо после генерального директора (президента) - вице-президент по маркетингу. Возведение на такой высокий ранг службы маркетинга подчёркивает её огромную важность, острую необходимость и актуальность в сложившихся непростых экономических и политических условиях мирового масштаба. Поскольку ответственность вице-президента по маркетингу очень важна, он должен сочетать в себе черты организатора, экономиста, финансиста, сбытовика, конструктора, психолога, а главное - обладать нестандартностью мышления. Служба маркетинга может быть организована на разных основах, но с таким расчётом, чтобы наилучшим образом способствовать успеху предприятия.
Т.к. в нашей стране служба маркетинга получила своё развитие совсем недавно, и организация деятельности её плохо налажена, особенно на промышленных предприятиях, я не вижу необходимых вводить заместителя генерального директора предприятия маркетингу, а все функции этой службы будут осуществляться отделом маркетинга.
Под маркетингом понимается такая система внутрипроизводственного управления, которая направлена на изучение и учёт спроса и требований рынка для более обоснованной ориентации производственной деятельности предприятия на выпуск конкурентоспособных видов продукции в заранее установленных объёмах и отвечающим определённым технико-экономическим характеристикам. При этом рассчитывается, что реализация намеченной ассортиментной структуры может обеспечить предприятию получение наиболее высоких прибылей и прочное положение на рынке.
Философия маркетинга предельно проста: производитель должен выпускать такую продукцию, которой заранее обеспечен сбыт и получение предприятием намеченного уровня рентабельности и массы прибыли.
Требования к продукту, диктуемые потребителем, обуславливают необходимость использования наиболее оптимальных структур управления, сочетания в управлении принципов централизации и децентрализации, более полного учёта требований потребителей в производственной программе, обеспечения ускорения НТП в повышении конкурентоспособности, осуществления программно-целевого подхода к выработке и принятию управленческих решений. При этом остро встаёт задача обеспечения эффективного взаимодействия на разных уровнях таких функций как маркетинг, планирование, контроль, организация.
Маркетинг как управленческая деятельность включает в себя:
· изучение спроса (текущего и перспективного) на товар на определённом рынке или его сегменте, требований потребителей к товару, его качеству, новизне, технико-экономическим и эстетическим характеристикам, уровню цены и другим ориентирам, включая возможные каналы сбыта;
· установление верхнего предела цены товара и рентабельности его производства;
· разработку на основе программ маркетинга инвестиционной политики предприятия, расчёт полных издержек производства и уровня рентабельности по предприятию в целом;
· определение конечного результата хозяйственной деятельности, валовых доходов и чистой прибыли после вычета материальных затрат, оплаты труда, уплаты всех видов налогов и отчислений, включая проценты за кредит.
В условиях, когда рынок насыщен аналогичной продукцией и происходит сокращение жизненного цикла товаров, чтобы поддержать свою высокую эффективность, предприятие должно прибегнуть к поиску новых идей. На это нацелены технические отделы предприятия. Они организуют выдвижение, оценку и отвечают за поощрение и применение нововведений.
Отдел маркетинга координирует все аспекты производственно-сбытовой деятельности. Он имеет в своём составе следующие службы: лабораторию маркетинговых исследований; группу рекламы и стимулирования сбыта; группу разработки новых товаров; группу, занимающуюся комплексным изучением рынка.
Так как такая функция маркетинговой деятельности, как сбыт играет определяющую роль, целесообразно создание самостоятельного отдела сбыта, но тесно взаимодействующего с отделом маркетинга.
Такой вид деятельности как фирменное обслуживание, техническое обслуживание потребителей целесообразнее возложить на отделы по техническому обслуживанию, находящиеся в подчинении у заместителя главного инженера по техническому обслуживанию.
Отдел маркетинга возглавляется начальником отдела, который несёт ответственность за:
· разработку программ маркетинга по продукту;
· исследование рынка;
· разработку новых видов продукции и товарных знаков;
· определение цен на продукцию;
· осуществление рекламы и стимулирование сбыта;
· выявление новых каналов товародвижениями.
В связи с тем, что сбытовая и снабженческая деятельность связана с заключением хозяйственных договоров, то в блок «Управление материальными ресурсами» целесообразно включить юридический отдел, в обязанности которого входит обеспечение соблюдения законности деятельности предприятия и защита его правовых интересов.
Несмотря на то, что деятельность ОТК тесно связана с производством продукции, его мы также подчиним заместителю генерального директора по коммерческим вопросам, чтобы обеспечить более беспристрастный контроль за качеством выпуска продукции. Отдел возглавляет начальник отдела, в обязанности которого входит предотвращение выпуска и сбыта предприятием продукции, несоответствующей требованиям стандартов и технических условий, утверждённым образцам, проектно-конструкторской и технологической документации или некомплектной продукции путём контроля за её качеством, качеством поступающего на завод сырья, материалов, полуфабрикатов и комплектующих изделий, контроль за комплектованием и упаковкой, а также комплектацией готовой продукции и т.д.
Технический контроль на предприятии должен проводиться на всех стадиях производства от контроля качества поступающих на предприятие материалов, полуфабрикатов, комплектующих изделий до выпуска готовой продукции.
Основной задачей технического контроля на предприятии является своевременное получение полной и достоверной информации о качестве продукции и состоянии технологического процесса с целью предупреждения неполадок и отклонений, которые могут привести к нарушениям требований ГОСТов и ТУ.
Объектами технического контроля являются поступающие материалы, полуфабрикаты на разных стадиях изготовления, готовая продукция, средства производства (оборудование, инструмент, приборы, приспособления и др.), технологические процессы и режимы, общая культура производства.
Функции технического контроля - это контроль за качеством и комплектностью выпускаемых изделий, учёт и анализ возвратов продукции, дефектов, брака, рекламации. Наиболее важной функцией контроля является предупреждение брака и дефектов в производстве. Исполнителями контрольных операций выступают исполнители многих служб завод, цехов, отделов: главного технолога, главного энергетика, главного механика, а также OTK.
Представители ОТК осуществляют контроль изготовленной цехами продукции, окончательный контроль готовых изделий перед предъявлением их потребителю.
Технический контроль на всех участках завода централизуется в едином заводском органе – ОТК.
Продукция предприятия может быть реализована только после приёмки ОТК. При этом должны быть оформлены соответствующие документы, удостоверяющие качество продукции.
Для более эффективного осуществления технического контроля ОТК на заводе может иметь следующие структурные подразделения: бюро (группа) внешней приёмки создаётся для контроля качества поступающих на предприятия материалов, комплектующих и полуфабрикатов производственного назначения; бюро цехового контроля, которое осуществляет контроль качества выпускаемой цехом продукции, своевременное предупреждение и выявление дефектов и брака, его учёт, изоляция, установление причин и виновников; контрольно-проверочные пункты (КПП) создаются в цехах и на складах инструментов и осуществляют контроль за состоянием инструментов и всех видов оснастки; инспекторская группа создаётся при начальнике ОТК для эпизодического, проверочного контроля качества изготавливаемой продукции, а также для целевых проверок соблюдения технологической и контрольной дисциплины (по заданиям начальника ОТК).
Управление кадрами предприятия осуществляет заместитель генерального директора по кадрам.
В этот блок необходимо включить все отделы, так или иначе связанные с работой по персоналу предприятия:
· отдел развития персонала;
· отдел управления труда и заработной платы (ОТиЗ);
· отдел охраны труда и техники безопасности;
· бюро активного развития.
Управление людьми для всех организаций имеет огромное значение. Без людей нет организации. Без нужных людей ни одна организация не сможет достичь своих целей и выжить. Несомненно, что управление трудовыми ресурсами является одним из важнейших аспектов теории и практики управления.
Конкретную ответственность за общее руководство трудовыми ресурсами возложим на профессионально-подготовленных работников отдела развития персонала. Для того, чтобы такие специалисты могли активно содействовать реализации целей организации, им нужны не только знания и компетенция в своей конкретной области, но и осведомлённость о нуждах руководителей низшего звена. Вместе с тем, если руководители низшего звена не понимают специфики управления трудовыми ресурсами, его механизма, возможностей и недостатков, то они не могут в полной мере воспользоваться услугами специалистов-кадровиков. Поэтому важно, чтобы все руководители знали и понимали способы и методы управления людьми. Управление трудовыми ресурсами включает в себя следующие этапы:
· планирование ресурсов: разработка плана удовлетворения будущих потребностей в людских ресурсах;
· набор персонала: создание резерва потенциальных кандидатов по всем должностям;
· оценка кандидатов на рабочие места и отбор лучших из резерва, созданного в ходе набора;
· определение заработной платы и льгот: разработка структуры заработной платы и льгот в целях привлечения, найма и сохранения служащих;
· профориентация и адаптация: введение нанятых работников в организацию и её подразделения, развитие у работников понимания того, что ожидает от него организация и
· какой труд в ней получает заслуженную оценку;
· разработка программ для обучения трудовыми навыками, требующимся для эффективного выполнения работы;
· оценка трудовой деятельности: разработка методик оценки трудовой деятельности и доведение её до работника;
· повышение, понижение, перевод, увольнение: разработка методов перемещения работников на должности с большей или с меньшей ответственностью, развития их профессионального опыта путём перемещения на другие должности или участки работы, а также процедур прекращения договора найма;
· подготовка руководящих кадров, управление продвижением по службе: разработка программ, направленных на развитие способностей и повышения эффективности труда руководящих кадров.
При определении целей своей организации руководство должно также определить необходимые для их достижения ресурсы. Необходимость в деньгах, оборудовании и материалах является вполне очевидной. Редко кто из руководителей упустит эти моменты при планировании. К сожалению, зачастую планирование людских ресурсов ведётся ненадлежащим образом или же ему не уделяется того внимания, которого оно заслуживает.
Именно отдел развития персонала осуществляет планирование людских ресурсов, которое состоит из трёх этапов:
· оценки наличных ресурсов;
· оценки будущих потребностей;
· разработки программы удовлетворения будущих потребностей.
Отдел развития персонала также осуществляет набор кадров, который может быть внешним (привлечение со стороны через публикации объявлений в газетах и профессиональных журналах, обращение к агентствам по трудоустройству) и внутренним (когда набор идёт внутри своей организации. Хочется отметить преимущество последнего. Во-первых, продвижение по службе своих работников обходится дешевле; во-вторых, это повышает заинтересованность, улучшает моральный климат и усиливает привязанность работников к предприятию. Согласно теории ожиданий в отношении мотивации можно полагать, что если работники верят в существование зависимости их служебного роста от степени эффективности работы, то они будут заинтересованы в более производительном труде. Возможным недостатком такого решения проблемы (исключительно за счёт внутренних резервов) является то, что в организацию не приходят новые люди со свежими взглядами, что может привести к застою.
Ещё одной функцией отдела развития персонала является отбор кадров. На этом этапе при управлении планированием кадров руководство отбирает наиболее подходящих кандидатов из резерва, созданного в ходе набора. Объективное решение о выборе, в зависимости от обстоятельств, может основываться на образовании кандидата, уровня его профессиональных навыков, опыте предшествующей работы, а также на личных качествах. Эффективный отбор кадров представляет собой одну из форм предварительного контроля качества человеческих ресурсов. Поэтому на предприятии широко применяемыми методами сбора информации, требующейся для принятия решений при отборе, являются испытания и собеседования. В штат отдела развития персонала вводим должность инженера-психолога.
Необходимость введения ОУТ и ЗП в этот блок обосновывается тем, что именно этот отдел занимается организацией труда и заработной платой обеспечением повышения производительности труда и правильного расходования средств, соблюдения установленных соотношений между ростом производительности труда и средней зарплаты. Этот отдел занимается не только определением заработной платы, но и дополнительных льгот. Вид и количество вознаграждений, предлагаемых организацией, имеют важное значение для оценки качества трудовой жизни.
Исследования показывают, что вознаграждение влияет на решения людей о поступлении на работу, на прогулы, на решение о том, сколько они должны производить, когда и стоит ли вообще уйти из организации. Многими исследованиями установлено, что количество прогулов и текучесть кадров прямым образом связаны с удовлетворённостью получаемым вознаграждением.
Структура заработной платы на предприятии должна определяться с помощью анализа обследования уровня зарплаты, условии на рынке труда, а также производительности и прибыльности организации.
Помимо заработной платы предоставляет своим работникам различные дополнительные льготы, которые для некоторых работников имеют даже большее мотивирующее значение чем сама заработная плата.
С далью обеспечения проведения исследований в области организации труда и управления производством, подготовки научно-обоснованных мероприятий, направленных на повышение производительности труда и эффективности производства создаётся лаборатория НОТ и УП, которая подчиняется ОУТ и ЗП. ОУТ и ЗП также руководит лабораторией психологических исследований. В этой лаборатории работают высококвалифицированные специалисты-психологи, которые используя новейшие приёмы, рекомендации и опыт других специалистов в этой области, проводят исследования в целях улучшения организации деятельности коллектива и повышения производительности труда. На основе результатов этих исследований совершенствуется система стимулирования работников, улучшается внутренняя психологическая атмосфера в коллективе, что является очень важным фактором в условиях настоящей экономической и жизненной действительности. Лаборатория оснащена компьютерной техникой и имеет прямую связь с ИВЦ предприятия.
Современные организации, в которых хорошо поставлено дело управления, считают, что набор подходящих людей является лишь началом. В то время как большая часть ресурсов организации представлена материальными объектами, стоимость которых со временем снижается посредством амортизации, ценность людских ресурсов с годами может и должна возрастать. Руководство должно постоянно работать над всемерным повышением потенциала кадров. Успешная программа по развитию кадров способствует созданию рабочей силы, обладающей более высокими способностями и сильной мотивацией в выполнению задач, стоящих перед организацией. Естественно, что это должно вести к росту производительности, а значит, и к увеличению ценности людских ресурсов организации.
Для развития потенциала рабочей силы используется ряд методов: профессиональная ориентация, адаптация в коллективе, оценка производственной деятельности, система вознаграждений, профессиональная подготовка и обучение, продвижение по службе.
Бюро активного развития осуществляет организацию и учебно - методическое руководство производственного обучения рабочих, повышения квалификации работников предприятия, организацию производственной практики студентов высших и средних специальных учебных заведений учащихся системы профессионального технического обучения общеобразовательных школ.
Данное бюро вводится вместо отдела активного развития исходя из соблюдения норм численности.
Реализацией всех этих установок и призваны заниматься подразделения блока «Управление кадрами».
Организацией работы по созданию безопасных условий труда на предприятии, контролем за соблюдением на предприятии действующего законодательства, инструкций, правил и норм поохране труда, технике безопасности и промышленной санитарии, за предоставлением работникам установленных льгот по условиям труда занимается бюро ОТиТБ [2].
Транспортный отдел возглавляет директор по транспорту.
Транспортный отдел занимается организацией бесперебойного транспортного обслуживания подразделений предприятия и предприятия в целом для обеспечения ритмичной работы по выполнению планов производства и поставки при наименьших затратах №.
Транспортный парк предприятия постоянно обновляется и исключает возможность простоев в транспортном обслуживании, способствует более эффективному функционированию сбытовой i сети предприятия. Транспортному отделу подчиняется транспортный цех и цех железо- дорожного транспорта.
Организационная структура блока «Управление транспортом» изображена на рисунке 2.4.

Рис.2.4. Организационная структура блока «Управление транспортом»
2.5. Расчет численности ИТР и служащих по функциям управления
Произведём расчёт численности ИТР и служащих по функциям управления и распределением работающих по подразделениям предприятия (табл. 2.7).
Таблица 2.7. Расчет численности ИТР и служащих и распределение их по подразделениям
| Функции управления |
Расчёт |
Распределение
По подразделениям
|
| Общее (линейное) руководство основным производством |
Нл
=0,099*Рп
0,677
Ф0,21
= 0,099*10340,677
*1272000,21
=61 |
Генеральный директор, заместители генерального директора, директора заводов, входящих в ЗАО, начальники линейных отделов (финансовый и маркетинга) начальники цехов и их заместители, начальники производства, старшие мастера, мастера |
| Разработка и совершенствование конструкции изделий |
Нк
=0,155*Кс
*а= 0,155*0,58*280 = 25 |
ОГК, ОГМет и ОГсварщика, отдел механизации и автоматизации |
| Технологическая подготовка производства |
М = Ро
/ Ку
= 11494/1,43 =803 HT
=0,155*M0,908
Т0,06
= 0,155*803/0,908
*6840,06
= 92 |
ОГТ, ОГМет, ОГСварщика, главный инженер, заместитель главного инженера по подготовке производства, БТПП, технические бюро в цехах, технологии в проектных подразделениях |
| Обеспечение производства технологической оснастки |
Но
= 0,2*Нт
= 0,2*92=18 |
Проектные группы ОГТ, инструментальный отдел, инженеры по инструменту и оснастке |
| Стандартизация и нормализация |
Нст
= 0,05*(Нк
+Нт
) = 0,05*(25+92) =5
|
Отдел стандартизации, группы и специалисты в технологических службах |
| Организация труда и заработной платы |
Нр.о.
= 0,0087*Рпп
0,965
= 0,0087* 14790,965
=9 |
ОТиЗ, БТиЗ, лаборатория НОТиУП, отдел ОТиТБ, нормировщики |
| Ремонтное и энергетическое обслуживание |
Нр0
= 0,02*Ф0,884
= 0,02*1272000,884
= 65 |
ОГМ, ОГЭ, механики и электрики в цехах, отдел пуско-наладочных работ, отдел техобслуживания, эксплуатации и гарант, надзора |
| Контроль качества продукции |
Нкп
=0,044*М0,853
Т0,041
= 0,044*8030
,
853
*6840,
41
= 13 |
ОТК, БТК в цехах, ОГМетролога, ЦЗЛ |
| Оперативное управление основным производством |
Нп
= 0,119*РП
0,587
С0,732
= 0,119*10340,587
*160,732
=20 |
ПДО, ПДБ в цехах |
| Технико-экономическое планирование |
Нэ
= 0,043*Ф0,427
М0,302
=0,043* 1272000,427
*8030,302
=9 |
ПЭО, экономисты и планировщики в цехах |
Бухгалтерский учёт и финансовая
деятельность
|
Нф
= 0,037*Рпп
0,79
М0,064
= 0,037* 14790,79
*3430,064
=12 |
Бухгалтерия, финансовый отдел, юридический отдел,
бухгалтера в цехах
|
| Материально-техническое снабжение и сбыт продукции |
Нс = 0,078*Ро0,542
М0,085
П0,096
=0,078*11490,542
3430,085
4680,096
=7 |
ОМЈЈ> отдел сбыта, отдел внешней кооперации, отдел маркетинга |
| Комплектование и подготовка кадров |
Нп.к= 0,099*Рпп0,608
=0,099*1470,640
=3 |
Отдел развития персонала, отдел подготовки кадров |
| Хозяйственное обслуживание |
Нд= 0,004*Рпп0,95
= 0,004* 14790,95
=3 |
Отдел социального и хозяйственного обслуживания |
Норматив численности работников аппарата управления Нау
на машиностроительных предприятиях определяется по формуле:
Нау
= 0,213 * Рпп
0,79
* Ф0,16
*Ксм
-0,34
Где Ксм
- коэффициент сменности работы предприятия
Нау
= 0,213 * 14790,79
* 1272000,16
*1,4-0,34
= 245 чел.
Поскольку в отделах сосредоточено 75 % всех ИТР и служащих, то минимальная численность любого из них должна составлять 10 чел. Для конструкторских и технологических отделов установлена минимальная численность - 21 чел., для прочих бюро - 7 чел., для технических отделов - 16 чел.
2.6. Разработка окончательной организационной структуры системы управления ЗАО «Энергокабель»
Использовав типовую структуру производственного предприятия первой группы и разработав типовые блочные решения, соединим полученные блоки в единую организационную структуру управления ЗАО «Энергокабель».
Сначала был построен линейный аппарат управления, определено количество линейных уровней от низшего к высшему:
· уровень начальников производственных подразделений;
· уровень начальников отделов;
· уровень заместителей главного инженера;
· уровень заместителей генерального директора ЗАО;
· уровень коллегиального органа управления – Совета директоров.
Совет директоров принимает крупные по значимости и масштабам управленческие решения по всей структуре управления предприятия.
Затем по линейным уровням, но уже сверху вниз была установлена функциональная структура управления предприятием. Начиная с высшего уровня было рассмотрено введение каждого подразделения, исходя из объёмов, работ по функциям, масштабов управляемости и нормативов численности. Учитывались также такие исходные данные как тип производства, вид выпускаемой продукции, объёмы потребления ресурсов и выпуска продукции и многие другие.
Рационализация проектируемой структуры заключается в том, чтобы повысить эффективность линейно-функциональной системы управления 3АО путём сокращения дублирования функций в аппарате управления. Необходимо отметить, что при определении наиболее рациональной степени централизации и децентрализации аппарата управления по каждой функции была выявлена необходимость в цеховых службах, так как велики размеры производства и численность рабочих в производственных цехах предприятия.
Также была рассчитана численность ИТР и служащих, необходимой для эффективного управления предприятием по каждой функции, уточнение должностных функций работников.
В соответствии с этими разработками и типовой структурой была построена схема управления ЗАО «Энергокабель».
B ЗAO «Энергокабель» было введено собрание акционеров, которое является высшим органом управления, к исключительной компетенции которого относятся такие вопросы, как изменение устава или уставного капитала, избрание членов совета директоров, ревизионной комиссии или прекращение их полномочий, утверждение годовых отчетов и бухгалтерских балансов; образование и досрочное прекращение полномочий исполнительных органов и т. п.
В качестве усовершенствования структуры управления вводится стратегический центр, который подчиняется непосредственно генеральному директору. Он занимается стратегическим планированием, управлением инноваций, системным анализом и программированием.
2.7. Разработка организационной структуры управления цехом
По принятой в настоящее время классификации на машиностроительном предприятии осуществляется 17 функций управления. С учётом рекомендации НИИ труда по оптимальной степени централизации функций управления на рассматриваемых предприятиях семь функций должны осуществляться централизовано, остальные десять - децентрализовано, т.е. в цехах. Состав функций, подразделения и работники, занятые их выполнением, показаны в табл. 2.8.
Таблица 2.8. Основные функции управления в цехе
| Функции управления |
Подразделения, выполняющие функцию |
Категории работников, занятых выполнением функций управления |
| 1. Общее (линейное) руководство основным производством |
— |
Начальник цеха, его заместители, начальники участков, старшие мастера |
| 2. Технологическая подготовка производства |
Технологическое бюро (группа) |
Технологи, копировщики, архивариусы |
| 3. Обеспечение производства инструментом и оснасткой |
Бюро (группа) инструментального хозяйства |
Инженер, ст. инженер по инструменту и оснастке, мастер участка |
| 4. Организация труда и заработной платы |
Бюро (группа) организации труда и зарплаты (БТЗ) |
Нормировщики, нарядчики, учётчики, инженер по НОТ |
| 5. Ремонтное и энергетическое обслуживание |
Службы механика и энергетика |
Механик, энергетик, мастера по ремонту оборудования |
| 6. Оперативное управление основным производством |
Планово-диспетчерское бюро (группа) ПДБ |
Планировщики ПДБ, планировщики участков, диспетчеры |
| 7. Технико-экономическое планирование |
Экономическая служба |
Экономист, старший экономист |
| 8. Бухгалтерский учёт и финансовая деятельность |
Бухгалтерская служба, табельная служба |
Бухгалтер, старший бухгалтер, табельщики |
| 9. Общее делопроизводство |
— |
Секретарь-машинистка |
| 10. Хозяйственное обслуживание |
Хозяйственная группа |
Хозяйственный мастер |
Анализ состава функций управления, осуществляемых в цехе, позволяет перейти к разработке принципиальной структурной схемы управления цехом, которая является базой для разработки типовых структур управления, их основой.
Принципиальная схема структуры управления распространяется на все цехи и устанавливает функциональные службы, подразделения и должности работников, которые могут быть в цехе, единую систему их подчинённости и наименования. Она также показывает распределение обязанностей между руководителями цеха (начальник, его заместители) по осуществлению руководства его функциональными органами.
Управление всей производственно-хозяйственной деятельностью цеха осуществляет начальник цеха. Ему подчиняются два заместителя и ряд служб: организация труда и заработной платы (бюро или группа), экономическая и бухгалтерская.
Заместитель начальника цеха по производству возглавляет производственную деятельность цеха: планирование, материально-техническое обеспечение, регулирование хода производства, изготовление и сдачу готовой продукции. В соответствии с этим ему подчинены все производственные участки и планово-диспетчерское бюро (группа), занимающееся вопросами планирования, материально-технического обеспечения, регулировки хода производства, отчётности о выполнении производственного плана и заданий.
В обязанности заместителя начальника цеха по подготовке производства (или технической части) входят следующие вопросы: технологическая и инструментальная подготовка, ремонтное, энергетическое, транспортное обслуживание, разработка и контроль мероприятий по технике безопасности, культуре производства и т.п. Ему подчиняются: технологическое бюро (группа), инструментальная служба, служба механика и энергетика, хозяйственная группа.
БТЗ (группа) занимается вопросами организации труда, в том числе и НОТ всех работников цеха, вопросами сокращения потерь рабочего времени, повышения производительности труда, нормирования технологических процессов и работ, применения соответствующих форм и систем заработной платы.
Экономическая служба осуществляет, технико-экономическое планирование деятельности цеха и его подразделений, разработку бизнес-плана цеха и планов по труду участков, экономический анализ производственно-хозяйственной деятельности цеха и его подразделений.
Бухгалтерская служба цеха осуществляет весь комплекс вопросов бухгалтерского учёта, контроль за правильностью расходования материальных, трудовых и финансовых ресурсов, экономический анализ деятельности цеха. Учитывая особые функции этих служб в цехе, руководство ими должно осуществляться непосредственно начальником цеха.
Организационная форма всех служб (форм, групп) должна определяться с учётом действующих или отдельно утверждённых для каждой группы предприятий (цехов), а введение тех или иных должностей (заместители начальника цеха, механик, энергетик) - с учётом соответствующих норм управляемости и обслуживания.
На структуру управляемости цехом и её составные элементы (численность работников аппарата управления, количество участков и функциональных подразделений и т.д.) оказывает существенное влияние ряд факторов.
Наиболее важные из них следующие:
· масштабы производства;
· тип производства;
· сложность выпускаемой продукции или выполняемых работ и технологических процессов;
· производственная структура предприятия и цеха, т.е. специализация цеха, состав его производственных участков, форма их специализации;
· сложность технологического оборудования.
Для качественной оценки факторов требуется выбрать показатели, наиболее объективно, характеризующие каждый фактор и имеющиеся в то же время в одной из форм учёта или отчётности, чтобы избежать субъективной оценки разработчика.
Для первого фактора (масштабы производства) таким показателем является численность основных производственных рабочих (Рп).
Показателем, характеризующим второй фактор (тип производства), является коэффициент закрепления операций (Кзо
), представляющий собой отношения количества технологических операций, выполняемых в цехе в течение месяца, к числу рабочих мест.
Третий фактор (сложность работы и технологических процессов) наиболее объективно и достаточно полно может быть охарактеризован показателем - средний разряд работы (Рс
), величина которого берётся как среднее значение, например за год, из ежемесячных отчётов цехов по техническому нормированию.
Для четвёртого фактора (производственная структура) выбор объективного показателя количественной оценки затруднителен, поэтому для его оценки принят условный показатель -коэффициент Кхп
., характеризующий сложность управления цехами с различной производственной структурой. Величина его может быть определена по формуле:
Кх.п.
.=У*Кс.п.
где У - количество производственных участков в цехе;
Кс.п. - коэффициент специализации участков цеха, принимаемый при специализации участков по технологическому принципу.
Кх.п.
= 12*1 = 12
Пятый фактор (сложность оборудования) может быть охарактеризован двумя показателями: стоимостью оборудования и суммой единиц его ремонтной сложности. Анализ показал, что второй показатель более правильно характеризует этот фактор.
Переход от оценки каждого фактора в частных показателях к оценке в баллах может осуществляться при помощи поправочных коэффициентов, величины которых определяются расчётным путём с учётом зависимости каждого фактора и степени его влияния на структуру управления и его элементы. В результате определения степени влияния каждого фактора получены следующие соотношения их значимости:
4:3,5:2,5:2:1
Решаем уравнение Бi
=ai
*ki
, где
Бi
- оценка i-гo фактора в баллах;
ai
- оценка i-гo фактора в характеризующих показателях;
ki
- поправочный коэффициент i-ro фактора для перевода в единую систему оценок с учётом соотношения численности значений факторов и, задавшись произвольным значением одного из поправочных коэффициентов (К5 = 0,01), получаем для группы рассматриваемых цехов с их параметрами следующие средние значения поправочных коэффициентов: К1=0,2, К2 = 1,0, К3 = 10,0, К4 = 5,0 (табл.2.9).
Таблица 2.9. Количественная оценка факторов, влияющих на структуру управления цехом
| Фактор |
Характеризующий показатель |
Обозначение |
Формула расчёта баллов |
Поправочный коэфф. для сравнимости показателей |
| Масштабы производства, размеры цеха |
Численность основных рабочих |
Рп |
Б1=К1*Рп = 0,2*150=30 |
К1
= 0,2 |
| Тип производства |
Коэффициент закрепления операций |
Кз.о. |
Б2
= К2
*К3.0.
= 1,0*43 = 43 |
К2
= 1,0 |
| Сложность продукции |
Средний разряд работы |
Рс |
Б3
= Кз*Рс
= 10*3,4 = 34 |
К3
= 10,0 |
| Производственная структура |
Коэффициент характера производства |
Кхп
. |
Б4
= К4
*Кх.п.
= 5*12=60 |
К4
= 5,0 |
| Сложность оборудования |
Сумма единиц ремонтной сложности |
СР
|
Б5
= К5
*СР
= 0,01*780=8 |
К5
= 0,01 |
| Итого: |
175 |
Общая сумма баллов по всем факторам будет тем обобщающим, интегрирующим показателем, который характеризует сравнительную величину объёма работ по управлению цехом. Объём же этих работ может служить критерием при выборе типа структуры управления. Согласно нормативам разрабатываемый цех относится к I группе.
Состав и организационные формы функций управления в цехах I группы будет выглядеть следующим образом (табл.2.10).
Таблица 2.10. Состав и организационные формы функций управления в цехах I группы
| Функции управления |
Подразделение или категория работников |
| Общее (линейное) руководство основным производством |
Начальник цеха |
| Зам. начальника цеха по производству |
| Зам. начальника цеха по технологической подготовке производства |
| Старшие мастера |
| Мастера |
| Технологическая подготовка производства |
Технологическое бюро |
| Обеспечение производства инструментом и оснасткой ^ |
Старший инженер по инструменту |
| Мастер участка |
| Организация труда и заработной платы |
Бюро труда и зарплаты |
| Инженер по НОТ |
| Ремонтное и энергетическое обслуживание |
Механик цеха |
| Энергетик цеха |
| Мастер по ремонту оборудования |
| Оперативное управление основным производством |
Планово-диспетчерское бюро |
| Планировщики на участках |
| Технико-экономическое планирование |
Старший экономист |
| Экономист |
| Бухгалтерский учёт и финансовая деятельность |
Старший бухгалтер |
| Бухгалтер |
| Табельщики |
| Общее делопроизводство |
Секретарь-машинистка |
| Хозяйственное обслуживание |
Хозяйственный мастер |
Пользуясь соответствующими нормативами создания структурных подразделений и введения должностей в цехе, а также типовой структуры, разработаем конкретную организационную структуру управления механическим цехом.
Механический цех подчиняется отделу главного механика, который находится в ведении заместителя главного инженера по техническому обслуживанию. Задачей механического цеха является:
· поддержание действующего парка оборудования предприятия в исправном рабочем состоянии путём своевременного качественного ремонтного и технического обслуживания;
· повышение экономичности ремонтного обслуживания оборудования.
Руководство производственно-хозяйственной деятельностью цеха осуществляет начальник цеха. Он полностью отвечает за общие и конечные результаты работы всего коллектива, выполнение плановых заданий, качество выпускаемой продукции, технику безопасности и охрану труда, подбор и воспитание кадров, соблюдение финансовой и штатной дисциплины, за состояние документации, учёта и отчётности; распоряжается материальными и денежными средствами цеха, обеспечивает максимальное и эффективное использование всех единиц цехового оборудования, производит расстановку рабочих кадров.
Начальник цеха имеет право утверждать нормы выработки на все работы в пределах фонда заработной платы, присваивать квалификационные разряды, премировать или лишать премий полностью или частично работников, переводить рабочих внутри цеха на другие работы, налагать дисциплинарные взыскания и привлекать к определённой материальной ответственности.
Начальник цеха обязан всемерно поддерживать передовые начинания и творческую инициативу рабочих, принимать энергичные меры по устранению недостатков, периодически отчитываться перед собранием или производственным совещанием коллектива цеха о результатах его работы, о реализации предложений работников цеха. Начальник цеха обязан уделять большое внимание улучшению условий труда и была работников цеха.
Начальнику цеха подчиняется заместитель по технической подготовке производства, который обязан:
· осуществлять общее техническое руководство производством в цехе;
· обеспечить технически правильную эксплуатацию и хорошее состояние оборудования, находящегося на балансе цеха;
· руководить технической подготовкой производства продукции цеха;
· превышать технический уровень производства;
· контролировать разработку и выполнение графиков проверки оборудования;
· обеспечивать своевременное и качественное выполнение работ по планово-предупредительному ремонту оборудования, оснасткой приспособление;
· оперативно решать технические вопросы, возникающие в ходе производства;
· принимать участие в работе по совершенствованию организации труда, производства и управления в цехе;
· осуществлять контроль за соблюдением технической дисциплины в цехе;
· обеспечивать выполнение работ по технической подготовке производства новых изделий;
· контролировать содержание цеха в соответствии с правилами и нормами производственной санитарии и техники безопасности.
Заместителю начальника по подготовке производства подчиняются следующие службы:
· технологическая
· инструментальная
· хозяйственная.
В управлении технологическими процессами цеха участвуют инженеры-технологи I, II, и III категорий, возглавляемые старшим инженером-технологом, старший инженер и инженер по оснастке и инструменту, техник-технолог. Инженеры-технологи обязаны:
· разрабатывать и внедрять технологические процессы и режимы производства на все виды работ;
· рассчитывать производственные мощности и загрузку оборудования; -в рассчитывать технические нормы расхода сырья, материалов, экономическую эффективность процессов;
· составлять технические задания на проектирование предусмотренных технологий приспособлений, оснастки, инструмента;
· осуществлять контроль за соблюдением технологической дисциплины и правильной эксплуатацией оборудования;
· обеспечить эффективное осуществление технологических процессов. Старший инженер и инженер по оснастке и инструменту обязаны:
· осуществлять контроль за правильной эксплуатацией инструмента и оснастки,
· обеспечивать их своевременный ремонт и восстановление;
· определить потребности цеха в инструменте и оснастке, обеспечить рабочие места инструкциями по их эксплуатации;
· организовывать хранение, учёт и движение инструмента и оснастки;
· повышать качество инструмента и оснастки и снижать затраты на их изготовление.
Техник-технолог цеха обязан:
· внедрять и отрабатывать технологические процессы и их элементы, выполнять технические расчёты, проводить технические пробы;
· вести учёт технологических потерь, расхода материалов и инструмента;
· учитывать, хранить и выдавать техническую документацию.
Заместителю начальника цеха по технической подготовке производства подчиняются также:
· служба механика и энергетика;
· транспортная служба;
· хозяйственная служба.
Так как численность основных рабочих в цехе 150 чел. > 100, имеем право ввести механика и энергетика цеха. Цех средних размеров, следовательно, численность работников хозяйственной службы не должна превышать 10 чел. Основной задачей механика цеха является проведение комплекса работ по поддержанию в исправном состоянии и работоспособности технологического и грузоподъёмного оборудования цеха, повышение качества и сокращения сроков его ремонта, внедрение новейших достижений научно технического прогресса в организацию и технологию ремонта и обслуживания оборудования.
Механик цеха обязан:
· обеспечивать полное и эффективное использование оборудования, изучать условия работы и причины аварии оборудования;
· вести учёт простоев оборудования;
· обеспечивать соблюдение правил охраны труда и техники безопасности;
· рассматривать рационализаторские предложения и изобретения, касающиеся ремонта и модернизации оборудования, давать заключения по ним;
· обеспечивать внедрение принятых предложений и выполнять другие работы, вытекающие из занимаемой должности.
Основные задачи энергетика цеха - организация и проведение работ по поддержанию в исправном состоянии и работоспособности энергетического оборудования, повышение качества и сокращение сроков его ремонта.
Энергетик цеха обязан:
· обеспечивать наиболее полное и эффективное использование энергетического оборудования;
· внедрять новейшие достижения НОТ в организацию, ремонт и обслуживание энергооборудования;
· принимать участие в расследовании причин аварий энергооборудования и разрабатывать мероприятия по обеспечению безопасности и надёжности его эксплуатации;
· вести учёт расхода энергоресурсов и вычислять другие работы, исходящие из занимаемой должности.
Задачей хозяйственного мастера является обслуживание участков цеха, содержание в надлежащем состоянии здания цеха и территории вокруг него в соответствии с правилами и нормами промышленной санитарии и пожарной безопасности.
Заместитель начальника цеха по производству вводится при числе производственных участков 4 и более, когда нагрузка на начальника цеха составит 9 и более непосредственных подчинённых, т.е. превысит максимальную норму управляемости. Основной задачей заместителя начальника цеха по производству является оперативное регулирование хода производства и обеспечение ритмичной работы цеха. Он обязан организовывать равномерный выпуск продукции высокого качества, обеспечивать максимальное использование производственных мощностей, устранение потерь рабочего времени и повышение производительности труда, координировать работу производственных участков и бригад, совершенствовать складское хозяйство, учёт и хранение материальных ценностей, контролировать своевременность выдачи заданий, следить за соблюдением технологической и производственной дисциплины. Ему подчиняются старшие мастера и начальник ПДБ.
В данном механическом цехе 150 основных рабочих и производственных участков. Найдём число мастеров. Оно будет 8 чел. Каждому из них будет подчиняться по 25 человек на 6 участках, что соответствует нормативам. Цех работает в три смены. Мастер, как руководитель коллектива участка во всех случаях должен оставаться полномочным представителем администрации на участке. Он осуществляет руководство трудовым коллективом на основе единоначалия.
Мастер несёт ответственность за деятельность возглавляемого им производственного участка, успешное выполнение стоящего перед ним задач по повышению эффективности и качества работы.
Все распоряжения, относящиеся к производственной деятельности участка, передаются для исполнения только через мастера. Все непосредственные решения относительно рабочего участка принимаются при непосредственном участии мастера или с учётом его мнения.
В обязанности мастера входит обеспечение выполнения участком в установленные сроки плановых заданий по объёму производства продукции высокого качества в заданном ассортименте; повышение производительности труда; снижение трудоёмкости продукции; соблюдение технологического процесса; обеспечение рационального расходования сырья, материалов, топлива, энергии, внедрение НОТ, своевременное доведение производственного задания до исполнителей; формирование и координация деятельности бригад, обеспечение правильного использования производственных площадей, оборудования, оснастки и инструмента, своевременной подготовки производства и равномерной (ритмичной) работы участка, создание и поддержание соответствующего психологического климата в коллективе.
Должность старшего мастера вводится при условии подчинения ему не менее 3-х мастеров. В нашем случае целесообразно ввести 3 старших мастеров. Старший мастер осуществляет общее руководство участком, следовательно, необходимость начальника участка отпадает.
Старший мастер выполняет те же функции, что и мастер, только на уровне участка, координируя и направляя деятельность мастера. Основной его задачей является обеспечение вверенным ему участком равномерного выполнения плана выпуска продукции в заданном объёме и номенклатуре в установленные сроки при наименьших затратах ресурсов, постоянного роста производительности труда, соблюдения технологии, полного использования оборудования, у
' правильной расстановки и загрузки рабочего с учётом их квалификации, рациональной организации рабочих мест контроля за работой участка.
Учитывая имеющуюся современную тенденцию к децентрализации производства и достаточно большое количество цехов, входящих в каждое производство, целесообразно организовать ПДБ не на уровне производств, а на уровне цехов.
ПДБ осуществляет оперативно-производственное планирование, учёт и контроль выполнения плана производства цехом, организует ритмичную работу подразделений в цехе, обеспечивает своевременное получение и хранение материальных ценностей в цехе, получает и своевременно доводит до участков планы-графики производства, выявляет и предупреждает отклонение от нормального хода производства, принимает меры по их устранению, руководит работой распределителей и контролирует их работу, контролирует обеспеченность производства материалами, организует их хранение и транспортировку в соответствии с техническими условиями, обеспечивает правильное оформление и своевременную отправку из цеха товарной продукции.
ПДБ возглавляет начальник. Он отвечает за неполное и несвоевременное выполнение ПДБ своих задач и функций, неэффективную организацию труда, сверхнормативные запасы сырья и материалов в цехе, неправильное хранение материальных ценностей.
В цехе организуется также бюро технического контроля качества продукции. В его задачи входит контроль за производимой в цехе продукцией, проведение анализа качества продукции, разработка и проведение мероприятий по повышению качества продукции. Бюро работает в тесной связи с ОТК, т.е. конкретизирует функции последнего применительно к данному цеху.
Экономическая и бухгалтерская службы при наличии в них двух или более человек возглавляются старшими специалистами, т.е. один из них назначается старшим.
Экономическая служба осуществляет перспективное и текущее технико-экономическое планирование деятельности цеха и его подразделений, разработку плана цеха и планов по труду участков, экономический анализ производственно-хозяйственной деятельности цеха и других его подразделений, улучшение технико-экономических показателей работы цеха, выявление и использование резервов производства, внедрение и совершенствование внутрицехового расчёта.
Бухгалтерская служба цеха осуществляет весь комплекс вопросов бухгалтерского учёта, контроль за правильностью расходования материальных, трудовых и финансовых ресурсов, анализ деятельности цеха. В неё входят табельщики, которые осуществляют фиксацию и учёт выходов на работу, выявление причин неявок, анализ динамики этих показателей и подача данных в отдел развития персонала. У нас имеется 3 табельщика по одному на каждую смену.
Бюро труда и заработной платы (БТЗ) занимается вопросами организации труда, в том числе и НОТ работников цеха, вопросами сокращения потерь рабочего времени, повышения производительности труда, нормирования технических процессов и работ, применения соответствующих норм и систем заработной платы, соблюдения установленных соотношений между ростом производительности труда и заработной платы.
Инженер по НОТ и УП обязан разрабатывать и внедрять в цехе предприятия по НОТ, проводить контроль за их осуществлением, внедрять передовой опыт методов и приёмов организации труда, улучшать организацию рабочих мест и их обслуживание, обеспечивать подготовку и повышение квалификации кадров, совершенствовать нормирование, оплату и условия труда.
Итак, организационная структура управления механическим цехом представлена ИТР и служащими, указанными в табл.2.11
Таблица 2.11.Состав ИТР и служащих механического цеха
| Функции и должность |
Структурное подразделение |
Численность |
| I. |
Линейное руководство |
14 |
| 1 |
Начальник цеха |
1 |
| 2 |
Зам. начальника цеха по производству |
1 |
| 3. Зам. начальника цеха по технической подготовке производства |
1 |
| 4. Старший мастер |
3 |
| 5. Мастер |
8 |
| II. Технологическая подготовка производства |
Технологическое бюро |
16 |
| 1. Начальник технологического бюро |
1 |
| 2. Старший инженер-технолог |
2 |
| 3. Инженеры-технологи I, II, III категории |
Специалисты |
10 |
| 4. Инженер по инструменту и оснастке |
1 |
| 5. Техник-технолог |
2 |
| III. Оперативное управление Производством |
Производственно-диспетчерское бюро |
6 |
| 1. Начальник ПДБ |
1 |
| 2. Старший диспетчер |
1 |
| 3. Диспетчер |
4 |
| IV. Организация труда и заработной платы |
Бюро труда и заработной платы |
4 |
| 1. Начальник БТЗ |
1 |
| 2. Нормировщик |
2 |
| 3. Инженер по НОТ и УП |
1 |
| V. Бухгалтерский учёт и финансовая деятельность |
Специалисты |
1 |
| 1. Бухгалтер |
2 |
| 2. Табельщик |
2 |
| VI. Технико-экономическое планирование |
1 |
| 1. Экономист |
Специалисты |
1 |
| VII. Ремонтно-механическое и ремонтно-энергетическое обслуживание |
1 |
| 1. Механик 2. Энергетик |
Специалисты |
1 |
| VIII. Хозяйственное обслуживание |
1 |
| 1. Завхоз |
Специалисты |
1 |
| IX. Общее делопроизводство |
1 |
| Секретарь-машинистка |
Специалисты |
1 |
В качестве вывода можно заметить, что типовая структура цеха с некоторыми изменениями вполне отвечает имеющимся требованиям. Она достаточно децентрализована для данной ситуации, включает в себя все службы, необходимые для нормальной деятельности цеха и обеспечивает нормальную ритмичную работу по всем подразделениям и цеху в целом.
Глава 3. Проект мероприятий для повышения эффективности организации управления ЗАО «Энергокабель»
3.1. Разработка положения о подразделении
Положение об отделе главного технолога предприятия состоит из четырех частей.
Общие положения.
1. Отдел главного технолога предприятия - ОГТ - самостоятельное структурное подразделение предприятия, которое подчиняется непосредственно главному инженеру.
2. Основная цель деятельности отдела: обеспечивать технологическую конкурентоспособность выпускаемой продукции при сокращении затрат на данные производственные работы.
3. Отдел главного технолога возглавляет главный технолог предприятия.
4. Работа отдела главного технолога организуется на основе ежемесячных планов работы, утверждаемых главным инженером, а также перспективных планов и программ, утверждаемых руководством ЗАО (план новой техники, план стандартизации и т. д.)
5. Работники отдела" главного технолога обязаны соблюдать правила внутреннего распорядка ЗАО, техники безопасности и противопожарной безопасности. Они несут ответственность за сохранность материальных ценностей, выданных в пользование, разглашения государственной и коммерческой тайны. Исполнение своих служебных обязанностей работники осуществляют в соответствии с должностными инструкциями.
6. Положение об отделе главного технолога утверждается генеральным директором по представлению главного инженера.
Функции и обязанности главного технолога представлены во втором разделе (табл. 3.1).
Таблица 3.1. Функции главного технолога
| Функции |
Обязанности |
Периодичность контроля |
| 1 |
2 |
3 |
| Плановая |
Составлять перспективные планы развития производства и отдельных цехов.
Составлять расчетные материалы для обоснования потребности в оборудовании, составлять заявки на потребное оборудование и реализовывать излишнее оборудование через соответствующие службы.
|
раз в год
по необходимости
|
| Проектная |
Разрабатывать предложения для плана новой техники, оргтехплана, мероприятия по качеству.
Разрабатывать и оформлять технологические задания на нестандартное и специальное технологическое оборудование, средства механизации и автоматизации и участвовать в обсуждении разработанных конструкций:
Разрабатывать технологическую документацию на все виды оборудования
|
по плану отдела по
плану отдела
по плану отдела
|
| Контрольная |
Осуществлять контроль за соблюдением конструкторской и технологической дисциплины, правил и норм по охране труда, технике безопасности, производственной санитарии и пожарной безопасности, требований Госгортехнадзора, природоохранных, санитарных и других органов.
Осуществлять контроль за бесперебойным обеспечением производства электроэнергией, топливом, водой и другими видами энергии.
Осуществлять контроль за распределением и установкой вновь поступившего оборудования по цехам.
Вести учет и хранение подлинников технологической документации.
|
2 раза в квартал
постоянно
постоянно
постоянно
|
Производственная
ч/
|
Осуществлять своевременную и качественную подготовку производства, техническую эксплуатацию, ремонт и модернизацию оборудования, достижение высокого качества выпускаемой продукции.
Обеспечивать производство электроэнергией, топливом, водой и другими видами энергии.
Обеспечивать своевременное расследование аварий и несчастных случаев на производстве.
Осуществлять контроль за наличием и выполнением графиков подготовки производства.
Проводить планировку размещения оборудования, а также вести контроль за выполнением графиков работ, связанных с этими планировками.
Проводить планировки по реконструкции и техническому перевооружению производственных участков и цехов.
|
постоянно
постоянно по
потребности
постоянно по плану
по плану
|
| Аналитиче екая |
Обеспечивать плановое внедрение в производство новых, более безопасных технологических процессов, технологических средств, улучшающих условия труда и повышающих безопасность производства.
Создавать работу по улучшению ассортимента, совершенствованию и обновлению выпускаемой продукции, созданию новых видов продукции, осуществлению режима экономии.
|
периодически
постоянно
|
| Управленческая |
Обеспечивать непрерывность управления по всем направлениям, функциям и обязанностям, а также по всем структурным единицам подразделения.
Осуществлять методическое и оперативное руководство работой по расчету производственных мощностей, определение производственной мощности производства. Выполнять работу по приказам, распоряжениям и другим решениям.
|
постоянно
постоянно
по документу или указанию
|
| Кадровая |
Проводить подбор и расстановку работников службы, составлять и корректировать положения о подразделениях. Планировать, контролировать и оценивать работу каждого работника службы. Обеспечить непрерывный процесс обучения и повышения квалификации. |
по мере необходимости
раз в месяц в течение года
|
Права главного технолога представлены в третьем разделе. Они заключаются в следующем
1. Издавать распоряжения, касающиеся деятельности отдела и подчиненных ему служб.
2. Запрещать работу оборудования в случаях нарушения правил технической эксплуатации, неудовлетворенного технического состояния, неподготовленности обслуживающего персонала -и прямой угрозы аварий или несчастного случая впредь до устранения причин, нарушающих правила его эксплуатации.
3. Принудительно останавливать оборудование, на котором выпускаемая продукция не соответствует качеству или нарушена технология.
4. Привлекать через руководство предприятия отдельные службы или работников к ответственности за нарушение правил технической эксплуатации оборудования.
5. Определять и изменять структуру отдела применительно к поставленным задачам и целям.
6. Принимать, увольнять, перемещать, выдвигать на более высокую категорию работников отдела в рамках существующих законодательств.
7. Распределять обязанности между работниками, а также устанавливать им должностные оклады в рамках регламентируемых вилок.
8. Видоизменять систему оплаты и стимулирования труда, направляя их на новые задачи и цели.
Ответственность главного технолога прописана в четвертом разделе (табл. 3.2).
| Функции |
Контролируемые показатели |
Исполнители |
Периодично сть выполнения |
| 1 |
2 |
3 |
4 |
| Плановая |
Претензии к срокам представления и графиков внедрения прогрессивных, экономически обоснованных ресурсосберегающих технологических процессов и режимов производства выпускаемой предприятием продукции. Качество планов новой техники и организационно-технических мероприятий. Выявление диспропорций в планировании. Наличие и качество нормативов. |
Начальники цехов, функциональные службы
Гл. инженер
Цеха, подразделения
ОТ и ЗП
|
По мере поступления
Раз в год
По мере выявления
Раз в год
|
| Проектная |
Претензии к срокам и качеству проектных работ.
Эффективность исследовательских и экспериментальных работ по освоению вновь разрабатываемых технологических процессов, средств механизации и автоматизации производства, повышения качества выпускаемой продукции.
|
Потребители работ, контрольная служба Гл. инженер |
По мере поступления
Раз в квартал
|
| Производственная |
Нарушение срыва сроков выполнения других производственных заданий, их задержка |
Цеха, функциональная служба |
По мере выполнения |
| Учетная, контрольная |
Отклонение в выполнении функций учета, контроля, хранения |
Цеха, службы, руководство предприятия |
По мере выполнения |
| Управленч еская |
Претензии цехов и отделов к обеспечению непрерывности управления.
Сроки представления плана подразделения. Сроки предоставления отчета подразделения. Случаи отсутствия информации по невыполняемым планам.
Претензии к качеству или срокам исполнения решений.
|
Контрольная служба,
цехи,отделы
|
По мере выполнения
Раз в квартал
Раз в год
Раз в месяц
Раз в месяц
|
| Кадровая |
Качество работы по расстановке и подбору кадров.
Качество должностных инструкций.
Наличие персональной оценки работы специалиста подразделения непосредственно руководителем.
Наличие индивидуального плана квалификационного роста специалистов и качество его реализации.
Качество работ по повышению квалификации специалистов.
Количество специалистов, использующих принцип «открытой карьеры» и работающих по специальному плану.
|
Гл. инженер
Лаборатория НОТ, отдел кадров Контрольная служба
Отдел кадров
|
Раз в год
Раз в год
Раз в квартал
Раз в год
Раз в год
Раз в год
|
3.2. Оценка влияния организационной культуры предприятия на эффективность производственной деятельности
Статистическая значимость влияния организационной культуры предприятия на показатели эффективности производственной деятельности была оценена корреляционно-регрессионным анализом. За основу оценки эффективности были взяты производительность труда, рентабельность основной деятельности и рентабельность продаж. Уравнения парной линейной регрессии позволяют установить, а каком направлении и на какую величину изменяется результативный признак (производительность труда, рентабельность основной деятельности и рентабельность продаж) при изменении факторного признака (организационная культура предприятия) на балл.
Корпоративная культура тесно связана с производительностью труда (rг = 0,67), рентабельностью основной деятельности (r=0,70) и рентабельностью продаж (r=0,70) (рис. 3.1, 3.2 и 3.3). При этом 45% изменения производительности труда, 50% изменения рентабельности основной деятельности и 50% изменения рентабельности продаж обусловлено изменением организационной культуры предприятия. Построенные парные линейные уравнения регрессий определили, что при изменении организационной культуры на балл:
· величина изменения производительности труда составит 1,59 тыс. руб./чел.:
П= -314,18 + 1,59С,
где П - производительность труда, С - организационная культура предприятия;

Рис. 3.1. Зависимость между производительностью труда и организационной культурой предприятия
· величина изменения рентабельности основной деятельности составит 0,08%:
R1
=-31,3+0,08С
где R1
- рентабельность основной деятельности;

Рис.3.2. Зависимость между рентабельностью основной деятельности и организационной культурой предприятия
· величина изменения рентабельности продаж составит 0,08%:
R2
=-29,5+0,08С
где R2
- рентабельность продаж;

Рис.3.3. Зависимость между рентабельностью продаж и организационной культурой предприятия
Проверка значимости полученных уравнений и их коэффициентов на основе F-критерия и t-критерия показала, что и уравнения, и их коэффициенты регрессии значимы на уровне 0,05.
Проведённый анализ доказывает, что существует тесная положительная корреляционная связь между организационной культурой предприятия и показателями эффективности его производственной деятельности (чем выше уровень организационной культуры предприятия, тем выше показатели эффективности его производственной деятельности).
Предлагаемая методика диагностики организационной культуры, позволяющая чётко определить её стержневые ценности, является полезным инструментом эффективного управления организационными изменениями, направленными на создание сильной корпоративной культуры. Диагностику уровня оргкультуры следует осуществлять периодично и постоянно. Это позволит оценивать степень и сильной организационной культуры.
Предложенный подход к опенке организационной культуры является самым правильным способом её диагностики.
Способ обладает следующими преимуществами:
· охватывает ключевые изменения культуры, которые уже определены как ответственные за различия в успехе предприятия;
· процесс диагностики и построения стратегии изменений может быть осуществлён в разумное по продолжительности время;
· этапы процесса позволяют привлекать к работе любого члена организации, но особенно важно в течение тех, кто несет ответственность за установление направлений деятельности, поддерживает формирование ценное гей и руководит фундаментальными изменениями;
· процесс полагается на количественную оценку ключевых измерений культуры, а не только на качественные описания;
· процесс диагностики может быть реализован собственной командой предприятия, особенно если это команда настоящих менеджеров. Нет надобности приглашать извне специалистов по диагностике, экспертов по организационной культуре или консультантов по изменениям.
Заключение
В ходе выполнениях дипломной работы были пройдены все этапы построения организационной структуры управления предприятием: от деления организации на широкие блоки (построение структуры управления предприятием в целом) до определения задач и функций исполнителей (разработка положения о подразделении). При построении были учтены только основные факторы. В действительности построение организационной структуры - это сложный и длительный процесс, при котором должны учитываться ещё ряд более мелких факторов.
В результате была получена функциональная организационная структура управления ЗАО «Энергокабель».
Нынешние рыночные условия вносят свои коррективы. Внешняя среда стала более динамичной и функциональней организационные структуры, сложившиеся на многих предприятиях, не удовлетворяют изменившимся условиям, назрела необходимость в изменении структуры управления.
В третьей части дипломной работы дана оценка влияния организационной культуры на эффективность производственной деятельности предприятия.
Список использованной литературы
1. Арабянц З.И., Благодарев И.М. и др. Справочник начальника цеха промышленного предприятия, — М.: Экономика, 2001.
2. Баканов М.И., Шеремет А.Д. Теория анализа хозяйственной деятельности: Учебник. – 4 –е изд., перераб. и доп. – М.: Финансы и статистика, 1997.
3. Виханский О.С., Наумов А.И. Менеджмент, изд. ГАРДАРИКИ- М.: , 2002.
4. Волкова К.А. и др. Структура производственного объединения, положения об отделах и службах, должностные инструкции: справочное пособие. — М.: Экономика, 2001.
5. Громыко Г.Л. Теория статистики: практикум. – М.: ИНФРА – М , 2001.
6. Ефремов В.С. Стратегическое планирование в бизнес-системах. –М.: «Финпресс»,2001.
7. Инновационный менеджмент. Учебное пособие. Под.ред Аньшина В.М. Дагаева А.А. –м.: «Дело», 2003.
8. Ескин К., Крутик А. Инновационная деятельность и новые открытия – государственная стратегия реформирования //Инновации - № 3-4.-1999.
9. Милгром П, Роберте Д. Экономика, организация и менеджмент. – СПБ: Экономическая школа СПб госуниверситета экономики и финансов,2001.
10. Минсберг Г., Альстренд Б. Лэмпел Д. Школы стратегий. – СПб : «Питер».2000.
11. Ковалев В.В. Финансовый анализ: управление капиталом, выбор инвестиций, анализ отчетности. – М.: Финансы и статистика, 1996
12. Петров В.В., Ковалев и др. Как читать баланс. – 2-е изд. –М.: Финансы и статистика, 1994.
13. Райзберг Б.А., Фатхудинов Р.А. Управление экономикой: Учебник. – М.: ЗАО «Бизнес - школа» «Интел- Синтез»,1999.
14. Савицкая Г.В. анализ хозяйственной деятельности промышленного предприятия. – Минст: ИСЗ ,1996.
15. Трифилова А.А. Оценка инновационной активности предприятия // Инновации. - №10.-2003.
16. Теория экономического анализа /под.ред. А.Д. Шеремета. –М.:. «Прогресс», 2001.
17. Шеремет А.Д. Сайфулин Р.С. Методика финансового анализа предприятия. –М.: Инфра-М , 1996.
18. Шеховцева Л.С. Стратегический менеджмент: Учебное пособие. –Калининград: Изд-во КГУ , 2001.
|