| ФЕДЕРАЛЬНОЕ АГЕНСТВО ПО ОБРАЗОВАНИЮ
Воронежский государственный технический университет
Кафедра «Системы информационной безопасности»
Реферат
по дисциплине «Электроника и схемотехника»
на тему «Колебательные контуры и их частотные характеристики »
Выполнил:
Пономарёв К.В.
Проверила:
Доц. Воробьева Е.И
Воронеж 2009
Определение.
Колебательный контур
— электрическая цепь, содержащая последовательно соединённые катушку индуктивности и конденсатор. В такой цепи могут возбуждаться колебания тока (и напряжения).
Колебательный контур - простейшая система, в которой могут происходить свободные электромагнитные колебания
Принцип действия
Пусть конденсатор ёмкостью C заряжен до напряжения U0. Энергия, запасённая в конденсаторе составляет
При соединении конденсатора с катушкой индуктивности ,в цепи потечёт ток I, что вызовет в катушке электродвижущую силу (ЭДС) самоиндукции, направленную на уменьшение тока в цепи. Ток, вызванный этой ЭДС (при отсутствии потерь в индуктивности) в начальный момент будет равен току разряда конденсатора, то есть результирующий ток будет равен нулю. Магнитная энергия катушки в этот (начальный) момент равна нулю.
Затем результирующий ток в цепи будет возрастать, а энергия из конденсатора будет переходить в катушку до полного разряда конденсатора. В этот момент электрическая энергия колебательного контура EC = 0. Магнитная же энергия, сосредоточенная в катушке, напротив, максимальна и равна
где L — индуктивность катушки, I0 — максимальное значение тока.
После этого начнётся перезарядка конденсатора, то есть заряд конденсатора напряжением другой полярности. Перезарядка будет проходить до тех пор, пока магнитная энергия катушки не перейдёт в электрическую энергию конденсатора. Конденсатор, в этом случае, снова будет заряжен до напряжения − U0.
В результате в цепи возникают колебания, длительность которых будет обратно пропорциональна потерям энергии в контуре.
В общем, описанные выше процесы в параллельном колебательном контуре называются резонанс токов, что означает, что через индуктивность и ёмкость протекают токи, больше тока проходящего через весь контур, причем эти токи больше в определённое число раз, которое называется добротностью. Эти большие токи не покидают пределов контура, так как они противофазны и сами себя компенсируют. Стоит также заметить, что сопротивление параллельного колебательного контура на резонансной частоте стремится к бесконечности (в отличии от последовательного колебательного контура, сопротивление которого на резонансной частоте стремится к нулю), а это делает его незаменимым фильтром.
Забиваем Сайты В ТОП КУВАЛДОЙ - Уникальные возможности от SeoHammer
Каждая ссылка анализируется по трем пакетам оценки: SEO, Трафик и SMM.
SeoHammer делает продвижение сайта прозрачным и простым занятием.
Ссылки, вечные ссылки, статьи, упоминания, пресс-релизы - используйте по максимуму потенциал SeoHammer для продвижения вашего сайта.
Что умеет делать SeoHammer
— Продвижение в один клик, интеллектуальный подбор запросов, покупка самых лучших ссылок с высокой степенью качества у лучших бирж ссылок.
— Регулярная проверка качества ссылок по более чем 100 показателям и ежедневный пересчет показателей качества проекта.
— Все известные форматы ссылок: арендные ссылки, вечные ссылки, публикации (упоминания, мнения, отзывы, статьи, пресс-релизы).
— SeoHammer покажет, где рост или падение, а также запросы, на которые нужно обратить внимание.
SeoHammer еще предоставляет технологию Буст, она ускоряет продвижение в десятки раз,
а первые результаты появляются уже в течение первых 7 дней.
Зарегистрироваться и Начать продвижение
Стоит заметить, что помимо простого колебательного контура, есть ещё колебательные контуры первого, второго и третьего рода, что учитывают потери и имеют другие особенности.
Математическое описание процессов
Напряжение, возникающее в катушке при изменении протекающего тока равно

Аналогично для тока, вызванного изменением напряжения на конденсаторе:

Поскольку всё возникающее в катушке напряжение падает на конденсаторе, то uL = uC, а ток, вызванный конденсатором проходит через катушку, то iC = iL. Дифференцируя одно из уравнений и подставляя результат в другое, получаем

Это уравнение гармонического осциллятора с круговой частотой (иначе она называется собственной частотой гармонического осциллятора) Решением такого уравнения является

где Ia — некая постоянная, называемая амплитудой колебаний, — также некоторая постоянная, называемая начальной фазой. И, например, при начальных условиях i = 0 решение сведётся к

Решение может быть записано также в виде

где Ia1 и Ia2 - некоторые константы, которые связаны с амплитудой Ia и фазой следующими отношениями
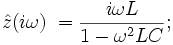
Комплексное сопротивление (импеданс) колебательного контура
Колебательный контур может быть рассмотрен как двуполюсник. Колебательный контур может быть рассмотрен как параллельное включение двух комплексных сопротивлений ёмкости и индуктивности. Комплексное сопротивление такого двуполюсника можно записать как

где i - мнимая единица. Для такого двухполюсника может быть определена т.н. характеристическая частота (она же резонансная частота), когда импеданс колебательного контура стремится к бесконечности (знаменатель дроби стремится к нулю). Эта частота равна

и совпадает по значению с собственной частотой колебательного контура.
Из этого уравнения следует, что на одной и той же частоте может работать множество контуров с разными величинами L и C, но с одинаковым произведением LC.
|