|
БЕЛОРУССКАЯ ГОСУДАРСТВЕННАЯ
СЕЛЬСКОХОЗЯЙСТВЕННАЯ АКАДЕМИЯ
НАУЧНАЯ РАБОТА
на тему:
«
Занятость и безработица в Республики Беларусь»
Научную работу
подготовила:
студентка ФБУ
1 курса 4 группы
Самусева Евгения
преподаватель:
Жудро М.М
Горки
2010 г.
СОДЕРЖАНИЕ
Введение………………………………………………………………………….3с.
1. Занятость. Сущность, виды и формы занятости………………………….5с
1.1.Государственная политика занятости……………………………...7c
2. Безработица. Сущность и типы безработицы……………………………..8c
2.1.Показатели безработицы………………………………………….10c
2.2.Экономические и внеэкономические издержки
безработицы…………………………………………………………….14c
2.3.Социально-экономические последствия безработицы………...15c
2.4.Государственная политика борьбы с безработицей……………18c
2.5.Пути снижения безработицы……………………………………...19c
Заключение………………………………………………………………………23c
Литература………………………………………………………………………25c
"Важнейшим ресурсом социально-экономического
развития страны, главным источником благосостояния
людей выступает полноценная трудовая деятельность".
А.Г.Лукашенко
Введение.
Темой
научной работы является «Занятость и безработица в Республике Беларусь».
Важнейшим направлением
государственной политики является последовательное повышение уровня и качества жизни граждан Беларуси.
Занятость и безработица
- основные показатели, отражающие социальное благополучие, эффективность осуществляемых реформ и их привлекательность для населения.
Государственная политика и гарантии государства в области содействия занятости населения направлены на создание условий для полной занятости населения. Обеспечение правовых, экономических и организационных основ государственной политики в области содействия занятости населения, гарантий государства по реализации конституционных прав граждан на труд и социальную защиту от безработицы осуществляется на основании Закона Республики Беларусь от 15.06.2006 № 125-3 "О занятости населения Республики Беларусь".
Приоритетными направлениями совершенствования социально-трудовых отношений и занятости населения являются:
· создание новых рабочих мест;
· достижение баланса спроса и предложения рабочих мест на рынке труда по профессионально-квалификационным группам и регионам;
Забиваем Сайты В ТОП КУВАЛДОЙ - Уникальные возможности от SeoHammer
Каждая ссылка анализируется по трем пакетам оценки: SEO, Трафик и SMM.
SeoHammer делает продвижение сайта прозрачным и простым занятием.
Ссылки, вечные ссылки, статьи, упоминания, пресс-релизы - используйте по максимуму потенциал SeoHammer для продвижения вашего сайта.
Что умеет делать SeoHammer
— Продвижение в один клик, интеллектуальный подбор запросов, покупка самых лучших ссылок с высокой степенью качества у лучших бирж ссылок.
— Регулярная проверка качества ссылок по более чем 100 показателям и ежедневный пересчет показателей качества проекта.
— Все известные форматы ссылок: арендные ссылки, вечные ссылки, публикации (упоминания, мнения, отзывы, статьи, пресс-релизы).
— SeoHammer покажет, где рост или падение, а также запросы, на которые нужно обратить внимание.
SeoHammer еще предоставляет технологию Буст, она ускоряет продвижение в десятки раз,
а первые результаты появляются уже в течение первых 7 дней.
Зарегистрироваться и Начать продвижение
· проведение взвешенной миграционной политики;
· стимулирование и расширение деловой и предпринимательской инициативы граждан;
· содействие профессиональной ориентации молодежи в выборе профессии.
Для реализации государственной политики в области содействия занятости населения и обеспечения гражданам соответствующих гарантий создана государственная служба занятости, работу которой организует и возглавляет Министерство труда и социальной защиты Республики Беларусь. В структуре соответствующих местных исполнительных и распорядительных органов действуют территориальные службы.
Деятельность службы занятости направлена на:
· обеспечение социальных гарантий гражданам, признанным безработными;
· содействие гражданам в поиске подходящей работы, а нанимателям - в подборе необходимых работников;
· организацию профессиональной ориентации, профессиональной подготовки, переподготовки и повышения квалификации безработных;
· повышение экономической заинтересованности нанимателей в сохранении действующих и создании новых рабочих мест;
· содействие безработным в организации предпринимательской деятельности;
· организацию работы по переселению безработных и членов их семей в связи с переездом в другую местность на новое место жительства и работы и другое.
Обеспечение максимально полной их занятости выступает одним из ключевых направлений.
Экономическая система, создающая дополнительное количество рабочих мест, ставит задачу увеличить количество общественного продукта и тем самым в большей степени удовлетворить материальные потребности населения. При неполном использовании имеющихся ресурсов рабочей силы система работает, не достигая границы своих производственных возможностей. Немалый урон безработица наносит и жизненным интересам людей, не давая им приложить свое умение в том роде деятельности, в каком человек может наибольшим образом проявить себя, или же лишая их таковой возможности, из-за чего люди переносят серьезный психологический стресс. Из вышесказанного можно сделать вывод, что показатели занятости населения и безработицы являются одними из ключевых показателей макроэкономики, которые служат для оценки эффективности и выявления основных тенденций функционирования и развития рыночных отношений в контексте общего состояния экономики страны.
Целью написания данной работы
является исследование теоретических аспектов развития безработицы, анализ основных показателей занятости и безработицы, а также изучение факторов, влияющих на увеличение или снижение занятости и безработицы в Республике Беларусь.
Сервис онлайн-записи на собственном Telegram-боте
Попробуйте сервис онлайн-записи VisitTime на основе вашего собственного Telegram-бота:
— Разгрузит мастера, специалиста или компанию;
— Позволит гибко управлять расписанием и загрузкой;
— Разошлет оповещения о новых услугах или акциях;
— Позволит принять оплату на карту/кошелек/счет;
— Позволит записываться на групповые и персональные посещения;
— Поможет получить от клиента отзывы о визите к вам;
— Включает в себя сервис чаевых.
Для новых пользователей первый месяц бесплатно.
Зарегистрироваться в сервисе
Для реализации поставленной цели необходимо решить следующие задачи
:
· раскрыть понятие, сущность видов занятости
· раскрыть понятие, сущность безработицы
· проанализировать основные показатели безработицы, положение на современном этапе
· выявить основные пути решения проблемы безработицы.
Научная работа состоит из двух глав
. В первой главе рассмотрены основные виды и сущность занятости населения в нашей республике. Вторая глава посвящена раскрытию понятия и сущности безработицы в республике, проводится анализ основных показателей уровня безработицы, рассматриваются пути проведения государственной политики по уменьшению безработицы и повышению уровня занятости.
1. Занятость. Сущность и виды занятости.
В соответствии с законодательством Республики Беларусь занятость
определяется как не запрещенная законом деятельность граждан, связанная с удовлетворением личных и общественных потребностей, как правило, приносящая доход.
С точки зрения экономических позиций общества занятость – это деятельность трудоспособного населения по созданию общественного продукта или национального дохода. Как экономическая категория занятость выражает производственные отношения по поводу включения работника (отдельной социальной группы) в конкретную кооперацию труда с целью удовлетворения спроса на рабочую силу. Занятость показывает, как трудоспособное население обеспечено рабочими местами.
К занятому населению относятся в первую очередь работники по найму, а также лица, самостоятельно обеспечивающие себя работой, включая предпринимателей, занятых индивидуальной трудовой деятельностью и т.д.
Занятость в общественном производстве не исчерпывает всех видов полезной занятости, таких как учёба в общеобразовательных и высших учебных заведениях, служба в армии, занятость в домашнем хозяйстве, воспитание детей, уход за больными и престарелыми, участие в работе общественных организаций (не по найму) и др.
Однако с точки зрения развития самого общества решающее значение имеет занятость в общественном производстве, которая определяет как экономический потенциал общества, так и уровень качества жизни населения в целом и благосостояние отдельных граждан.
В занятости как экономическом явлении выделяют два аспекта
: количественный и качественный. По своему содержанию они соответствуют понятиям полной и эффективной занятости. Предоставления всем желающим и способным трудиться в общественном производстве такой возможности ведет в идеале полной занятости. Эффективная же занятость означает такое распределение трудовых ресурсов в территориальном и отраслевом разрезах, по сферам приложения труда и видам деятельности, которое дает возможность в
каждый момент времени получить наибольший прирост материальных и духовных благ, предполагает эффективное использование в трудовом процессе каждого занятого.
При полной и эффективной занятости решаются две задачи
:
1.создается достаточное количество рабочих мест;
2.обеспечиваются необходимой рабочей силой предприятия и организации;
Первая задача отражает интересы населения, проживающего на определенной территории, вторая – интересы отрасли, предприятий.
Достижение эффективной занятости
– задача хозяйственных единиц, а полной занятости
– задача государства. Оптимальное сочетание полной и эффективной занятости определяет рациональную занятость
.
Виды занятости характеризуют распределение активной части трудовых ресурсов по сферам применения труда, по профессиям, специальностям и т.д.
Структурные виды занятости
выделяют по следующим признакам:
1. По характеру деятельности:
· работа на предприятиях всех видов и общественных
· организациях;
· служба в армии;
· индивидуальная трудовая деятельность;
· личное подсобное хозяйство и т.д.
2. По принадлежности занятых к определенному классу и социальному слою:
· рабочие;
· инженерно-технические работники и служащие;
· управленческий персонал;
· предприниматели;
· крестьяне.
3. С учетом межотраслевых и внутриотраслевых пропорций в распределении трудовых ресурсов.
4. По территориальному признаку:
· по регионам;
· по областям;
· экономическим районам и т.д.
5. По уровню урбанизации.
6. По профессионально – квалификационному признаку:
· уровень образования;
· стаж работы;
· степень механизации труда и т.д.
7. По половозрастному признаку.
8. По формам организации труда:
· соотношение между занятыми, охваченными индивидуальной и коллективной формами организации труда.
9. По видам собственности.
Формы занятости
представляют собой организационно-правовые способы и условия использования рабочей силы. В рамках каждого вида занятости труд людей организуется с помощью разнообразных организационно-правовых форм, различающимися нормами регулирования продолжительности и режимов рабочего дня: регулярностью или стабильностью трудовой деятельности; местом
выполнения работы (на предприятиях или на дому), статусом деятельности.
Следовательно, формы занятости классифицируются с учетом следующих признаков
:
1) Формы организации рабочего времени:
· полная (работа на условиях полного рабочего дня);
· неполная (работа на условиях сокращенного дня, сокращенной рабочей недели или неполного рабочего дня при сокращенной рабочей неделе);
· надомная (когда лица трудоспособного возраста по ряду причин не могут трудиться на производстве. Надомный труд организуется в домашних условиях).
2) Значимости для рабочего:
· первичная;
· вторичная.
3) Стабильности:
· постоянная (с относительно стабильным местом работы)
· временная (с временным, эпизодическим или сезонным характером работы).
4) Форм правового регулирования использования рабочей силы:
· основная (реализуется трудовым законодательством);
· специальная (нуждается в специальном трудовом регулировании,
например, занятость с режимом неполного рабочего дня, на условиях надомничества, гибкого рабочего времени, разновидности вторичной и временной занятости).
В условиях рыночных отношений рост занятости имеет объективно существующий экономический предел. Достижение полной занятости может являться стратегической целью соответствующей политики государства. Но при этом полная занятость в соответствии со стандартами Международной организации труда (МОТ), рассматривается не как всеобщая для трудоспособного населения в трудоспособном возрасте, а как обеспеченность предложения рабочей силы в количественном и качественном отношении спросом на нее, т.е. каждый желающий работать и активно ищущий работу может удовлетворить свою потребность в рабочих местах (должностях).
Следовательно, в этих условиях очевидна неизбежность такого явления, его объективность. [5 с 3-8]
1.1.
Государственная политика занятости
В отношении безработицы государство располагает тремя видами политики: социальной, макроэкономической и в сфере занятости.
Функция социальной политики состоит в оказании помощи безработным с целью поддержания их жизненного уровня.
Макроэкономическая политика предполагает использование денежно- кредитных и бюджетно-налоговых мер для сокращения безработицы.
Политика в сфере занятости направлена на создание новых рабочих мест, системы переподготовки кадров, центров по трудоустройству и т.д.
Все методы и меры, с помощью которых государство воздействует на занятость и безработицу, можно разделить на две группы: активные и пассивные.
Активные меры нацелены на создание дополнительных рабочих мест. К числу активных мер принадлежат, во-первых, кейнсианская макроэкономическая политика, направленная на стимулирование совокупного спроса за счет средств госбюджета. Во- вторых, организационные законодательные и финансовые меры государства, которые включают: организацию системы образования и производственно- технического обучения кадров на базе служб по трудоустройству и предприятий; регулирование отраслевой и региональной мобильности кадров; расширение производства товаров и услуг за счет роста государственных субсидий; осуществление программ общественных работ в коммунальном хозяйстве, строительстве, ремонтно- восстановительных работах; создание рабочих мест для молодежи; субсидии по занятости лиц, нуждающихся в социальной защите; инвестирование наиболее перспективных или трудоемких отраслей; меры по сокращению предложения на рынке труда; стимулирование самостоятельной занятости населения; содействие в развитии мелкого и среднего бизнеса.
Пассивная политика занятости включает создание системы социального страхование и материальной помощи безработным. Система социального страхования предусматривает выплату пособий по безработице с учетом прежних заработков, система материальной помощи направлена на обеспечение безработному прожиточного минимума.[7,10 c 78-81;31-38]
2.
Безработица. Сущность и типы безработицы.
Важным явлением, характеризующим макроэкономическую нестабильность и имеющим циклический характер развития, выступает безработица.
Безработица
– это социально-экономическое явление, при котором часть рабочей силы (экономически активного населения) не занята в производстве товаров и услуг. Безработные наряду с занятыми формируют рабочую силу страны. В реальной экономической жизни безработица выступает как превышение предложения рабочей силы над спросом на нее.
Чтобы определить, кто такие безработные, следует рассмотреть основные категории населения страны.
Население
(population –
POP
) страны с макроэкономической точки зрения делится на две группы
: включаемые в численность рабочей силы (labour force - L
) и не включаемые в численность рабочей силы (non-labour force - NL
):
POP = L + NL.(2.1)
К категории «non-labour force»
относят людей, не занятых в общественном производстве и не стремящихся получить работу. В эту категорию автоматически включаются следующие группы населения:
· дети до 16 лет;
· лица, отбывающие срок заключения в тюрьмах;
· люди, находящиеся в психиатрических лечебницах и инвалиды.
(Эти категории людей называют «институциональным населением»
, поскольку они находятся на содержании государственных институтов.) Кроме того, к категории не включаемых в численность рабочей силы относятся люди, которые в принципе могли бы трудиться, но не делают этого в силу разных причин, т.е. которые не хотят или не могут работать и работу не ищут:
· студенты дневного отделения (поскольку должны учиться);
· вышедшие на пенсию (поскольку уже отработали свое);
· домохозяйки (поскольку хотя и трудятся полный рабочий день, но не в общественном производстве и не получают плату за свой труд);
· бродяги (поскольку просто не хотят работать);
· люди, прекратившие поиск работы (искавшие работу, но отчаявшиеся ее найти и поэтому выбывшие из состава рабочей силы).
К категории «labour force»
относят людей, которые работать могут, работать хотят и работу активно ищут. Т.е. это люди, либо уже занятые в общественном производстве, либо не имеющие места работы, но предпринимающие специальные усилия по ее поиску.
Таким образом, общая численность рабочей силы делится на две части
:
· занятые
(employed - E
)
- т.е. имеющие работу, причем неважно, занят человек полный рабочий день или неполный, полную рабочую неделю или неполную. Человек также считается заня-тым, если он не работает по следующим причинам: а) находится в отпуске; б) болеет; в) бастует и г) из-за плохой погоды;
· безработные
(unemployed - U
)
- т.е. не имеющие работу, но активно ее ищущие. Поиск работы является главным критерием, отличающим безработных от людей, не включаемых в рабочую силу.
Таким образом, общая численность рабочей силы равна:
L = E + U
(2.3)
(При этом военнослужащие, находящиеся на действительной воинской службе, хотя формально и относятся к занятым, как правило, при подсчете показателя уровня безработицы не учитываются в общей численности рабочей силы. Этот показатель обычно (если это не оговаривается специально) рассчитывается только для гражданского сектора экономики.)
Показатели количества занятых и безработных, численности рабочей силы и численности не включаемых в рабочую силу являются показателями потоков. Между категориями «занятых», «безработных» и «не включаемых в рабочую силу» постоянно происходят перемещения (рис.1.). Часть занятых теряет место работы, превращаясь в безработных. Некоторая доля безработных находит работу, становясь занятыми. Часть занятых увольняется с работы и покидает общественный сектор экономики (например, выходя на пенсию или становясь домохозяйкой), а часть безработных, отчаявшись, прекращает поиски работы, что увеличивает численность не включаемых в рабочую силу. При этом часть людей, не занятых в общественном производстве, начинает активный поиск работы (неработающие женщины; закончившие высшие учебные заведения студенты; одумавшиеся бродяги). Как правило, в условиях стабильной экономики, количество людей, теряющих работу, равно числу людей, активно ее ищущих.[4 с8-25]
Рис.1.
2.1.Показатели безработицы
В экономической теории используется два показателя, которые могут охарактеризовать картину экономической нестабильности на рынке труда - это уровень безработицы и средняя ее продолжительность.
Показатель уровня безработицы используется для измерения масштабов безработицы и рассчитывается как отношение числа безработных к совокупной рабочей силе:
Число безработных
Уровень безработицы = ------------------------------------- 100 (2.4)
Совокупная рабочая сила
С определенными оговорками можно полагать, что совокупную рабочую силу представляет собой все самодеятельное население страны. Это последнее представляет собой разность между общей численностью населения и той его частью, которая еже или уже не работает по возрасту или по болезни. В числителе этого отношения обычно принимают во внимание число безработных, которые зарегистрированы официально. Разумеется, в периоды кризисов и депрессии уровень безработицы возрастает, в периоды подъема и бума – сокращается. Продолжительность безработицы характеризуется средним периодом времени перерыва в работе.
Основным показателем безработицы является показатель уровня безработицы. Уровень безработицы
(rate of unemployment - u
)
представляет собой отношение численности безработных к общей численности рабочей силы (сумме количества занятых и безработных), выраженное в процентах:
u = U/L*100%
или
u = U/(E+U)*100%.
(2.5)
Еще одним важным показателем статистики труда выступает показатель уровня участия в рабочей силе (labour force participation rate), который представляет собой отношение численности рабочей силы к общей численности взрослого населения, выраженное в процентах: уровень участия в рабочей силе = рабочая сила / численность взрослого населения
Все имеющиеся взгляды на причины безработицы
в странах СНГ, в частности в Республике Беларусь, можно сгруппировать следующим образом.
Во-первых, причиной безработицы может стать относительно избыточное население, «лишнее» по сравнению с достигнутым уровнем национального производства. Этот фактор безработицы особо силен в развивающихся странах.
Во-вторых, безработица может быть результатом изменений в структуре экономики, в том числе - в технологии (структурная безработица). Эта безработица является временной, т.к. на смену старым отраслям и производствам приходят новые.
В-третьих, безработица может временно увеличиться из-за естественных желаний людей найти работу «по душе», с лучшими условиями труда и оплаты (фрикционная безработица).
В-четвертых, особо сильное увеличение уровня безработицы происходит в результате циклического спада в экономике. Этот вид безработицы является наиболее опасным, так как возникает замкнутый круг: падение производства – безработица – уменьшение общего уровня доходов – снижение совокупного спроса – падение производства – безработица и т.д.
В-пятых, генератором безработицы может стать активное вмешательство государства и профсоюзов в отношения между наемным работником и работодателем, что приводит к рыночной негибкости заработной платы и заставляет предпринимателей решать проблему достижения максимальной прибыли путем сокращения занятости.
Все эти причины безработицы влияют на размер и динамику безработицы.
Выделяют следующие основные типы безработицы
:
1. фрикционная 4. застойная 7.сезонная
2. структурная 5. добровольная
3. циклическая 6. скрытая
Фрикционная безработица
(от слова «фрикция» - трение) связана с поиском работы. Очевидно, что поиск работы требует времени и усилий, поэтому человек, ожидающий или ищущий работу, некоторое время находится в безработном состоянии. Особенностью фрикционной безработицы является то, что работу ищут уже готовые специалисты с определенным уровнем профессиональной подготовки и квалификации. Поэтому основной причиной
этого типа безработицы является несовершенство информации (сведений о наличии свободных рабочих мест). Человек, потерявший работу сегодня, обычно не может найти другую работу уже завтра.
К фрикционным безработным относятся:
· уволенные с работы по приказу администрации;
· уволившиеся по собственному желанию;
· ожидающие восстановления на прежней работе;
· нашедшие работу, но еще не приступившие к ней;
· сезонные рабочие (не в сезон);
· люди, впервые появившиеся на рынке труда и имеющие требующийся в экономике уровень профессиональной подготовки и квалификации.
Фрикционная безработица представляет собой явление не только неизбежное, поскольку связана с естественными тенденциями в движении рабочей силы (люди всегда будут менять место работы, стремясь найти работу, в наибольшей степени соответствующую их предпочтениям и квалификации), но и желательное, так как способствует более рациональному размещению рабочей силы и более высокой производительности (любимая работа всегда более производительная и творческая, чем та, которую человек заставляет себя выполнять).
Уровень фрикционной безработицы
равен выраженному в процентах отношению количества фрикционных безработных к общей численности рабочей силы:
uфрикц = Uфрикц/L*100%. (2.6)
Структурная безработица
обусловлена структурными изменениями в экономике, которые связаны с изменением структуры спроса на продукцию разных отраслей и с изменением отраслевой структуры экономики, причиной которого является научно-технический прогресс.
Структура спроса постоянно меняется. Спрос на продукцию одних отраслей увеличивается, что ведет к росту спроса на рабочую силу, в то время как спрос на продукцию других отраслей падает, что ведет к сокращению занятости, увольнениям рабочих и росту безработицы. Со временем меняется и отраслевая структура производства: одни отрасли устаревают и исчезают, такие как производство паровозов, карет, керосиновых ламп и черно-белых телевизоров, а появляются другие как, например, производство персональных компьютеров, видеомагнитофонов, пейджеров и мобильных телефонов. Меняется набор профессий, требующихся в экономике. Исчезли профессии трубочиста, стеклодува, фонарщика, ямщика, коммивояжера, но появились профессии программиста, имиджмейкера, диск-жокея, дизайнера.
Причина
структурной безработицы – несоответствие структуры рабочей силы структуре рабочих мест. Это означает, что люди, имеющие профессии и уровень квалификации, не соответствующие современным требованиям и современной отраслевой структуре, будучи уволенными, не могут найти себе работу. Кроме того, к структурным безработным относятся люди, впервые появившиеся на рынке труда, в том числе выпускники высших и средних специальных учебных заведений, чья профессия уже не требуется в экономике. К структурным безработным относятся также люди, потерявшие работу в связи с изменением структуры спроса на продукцию разных отраслей. В разные периоды времени спрос на продукцию одних отраслей растет, поэтому производство расширяется и требуются дополнительные рабочие, а спрос на продукцию других отраслей падает, производство сокращается, и рабочих увольняют.
Уровень структурной безработицы
рассчитывается как отношение количества структурных безработных к общей численности рабочей силы, выраженное в процентах:
uструкт = Uструкт/L*100%. (2.7)
Поскольку и фрикционная, и структурная безработица связаны с поисками работы, то эти типы безработицы относятся к категории «search unemployment»
.
Структурная безработица более продолжительна и дорогостояща, чем фрикционная безработица, поскольку найти работу в новых отраслях без специальной переподготовки и переквалификации практически невозможно. Однако, как и фрикционная, структурная безработица представляет собой явление неизбежное и естественное (т.е. связанное с естественными процессами в развитии и движении рабочей силы) даже в высокоразвитых экономиках, поскольку постоянно меняется структура спроса на продукцию разных отраслей и постоянно меняется отраслевая структура экономики в связи с научно-техническим прогрессом, а поэтому в экономике постоянно происходят и будут всегда происходить структурные сдвиги, провоцируя структурную безработицу. Поэтому, если в экономике существует только фрикционная и структурная безработица, то это соответствует состоянию полной занятости рабочей силы, а фактический объем выпуска в этом случае равен потенциальному.
Наличие циклической безработицы
представляет собой серьезную макроэкономическую проблему, служит проявлением макроэкономической нестабильности, свидетельством неполной занятости ресурсов. Ее вызывает спад производства во время промышленного кризиса, депрессии, спада, т.е. фаза экономического цикла, которая характеризуется недостаточностью общих, или совокупных, расходов. Когда совокупный спрос на товары и услуги уменьшается, занятость сокращается, а безработица растет. По этой причине циклическую безработицу иногда называют безработицей, связанной с дефицитом спроса. С переходом к оживлению и подъему число безработных обычно становится меньше.
Однако циклическая безработица в условиях переходной экономики имеет ряд существенных особенностей. В экономике переходных обществ циклическая безработица фактически превращается в перманентную безработицу периода постоянного свертывания производства. Более того, постепенное, временное оживление экономики в гораздо меньшей степени приводит к рассасыванию безработицы, чем это можно было ожидать.
Причины этого достаточно понятны: модель «шоковой терапии», приводящая к глобальному спаду, разрешает противоречия экономического роста прежде всего за счет трудящихся. Постепенно, конечно, создаются формы общественных работ или другие механизмы парирования наиболее жестких последствий безработицы. Однако циклическая безработица, связанная с устойчивой тенденцией к спаду экономики, является главной формой безработицы в переходной экономике.
Фактически такая стабильная безработица может быть названа скорее застойной, нежели циклической.
Застойная безработица
наиболее характерная для экономики переходного общества. Застойная безработица как наиболее типичная форма безработицы переходной экономики усугубляется тем, что традиции прошлого во многом приводят к надеждам значительной части работников на возможность решения своих проблем в будущем за счет поддержки государства, но не за счет собственной активности. Такая безработица включает работников, потерявших надежду найти работу, а подчас и не ищущих ее.
Добровольная безработица
вызвана тем, что в любом обществе существует прослойка людей, которые по своему психическому складу или по иным причинам не хотят работать. В нашей стране хорошо известно, что усилия по принудительному устройству так называемых “бомжей” не привели к переориентации этой категории населения.
Сезонная безработица
связана с неодинаковыми объемами производства, выполняемыми некоторыми отраслями в различные периоды времени, то есть в одни месяцы спрос на рабочую силу в этих отраслях растет (и, следовательно, снижается безработица), в другие уменьшается (а безработица возрастает). К отраслям, для которых характерны сезонные колебания объемов производства (а значит, и занятости), относятся прежде всего сельское хозяйство и строительство.
Наконец, скрытая безработица
, которая характерна для отечественной экономики. Суть ее в том, что в условиях неполного использования ресурсов предприятия, вызванного экономическим кризисом, предприятия не увольняют работников, а переводят их либо на сокращенный режим рабочего времени (неполная рабочая неделя или рабочий день), либо отправляют в вынужденные неоплаченные отпуска. Формально таких работников нельзя назвать безработными, однако фактически они являются таковыми. Следовательно, скрытая безработица является скорее даже не безработицей, а неэффективной занятостью.
Таким образом безработица является характерной чертой рыночной экономики. Поэтому полная занятость - нонсенс, не совместимый с идеей рыночного хозяйства. В то же время понятие “полная занятость” не означает полного отсутствия безработицы. Экономисты считают фрикционную и структурную безработицу совершенно неизбежной, следовательно, уровень безработицы при полной занятости равен сумме уровней фрикционной и структурной безработицы. Другими словами, уровень безработицы при полной занятости достигается в том случае, когда циклическая безработица равна нулю. Уровень безработицы при полной занятости называется естественным уровнем безработицы. Выделяют экономические и неэкономические последствия безработицы, которые проявляются как на индивидуальном уровне, так и на общественном уровне.[6,8 с89-125]
2.2.Экономические и внеэкономические издержки безработицы.
Высокая безработица
- это и экономическая, и социальная проблема.
Экономической проблемой она является, поскольку приводит к растрачиванию ценных ресурсов. Социальной - поскольку она служит источником неисчислимых страданий, испытываемых безработными, пытающимися свести концы с концами. В периоды высокой безработицы экономические неудачи сказываются на эмоциональной сфере людей, на их семейной жизни.
Экономические издержки безработицы
Когда уровень безработицы повышается, это означает, что общество фактически отказывается от всех тех товаров и услуг, которые могли бы произвести безработные, как если бы автомобили, дома, одежду и другие блага попросту топили в океане.
Насколько велики потери от безработицы? Какова альтернативная стоимость рецессии? В табл. 1 приводятся расчеты того, насколько за последние полвека в периоды высокой безработицы фактический ВВП оказывался меньше потенциального. Крупнейшие экономические убытки имели место во время Великой депрессии, но годы экономического застоя в 1970-х и 1980-х гг. также характеризовались более чем триллионными потерями выпуска.
Экономические издержки высокой безработицы
Потери в периоды высокой безработицы -это наибольшие документируемые убытки в современной экономике. Они во много раз больше, чем потери на микроуровне вследствие появления монополии или чем убытки, связанные с введением тарифов и квот.
Внеэкономические издержки безработицы
Безработица - это нечто большее, чем экономическое бедствие, это также и социальная катастрофа. Депрессия приводит к бездеятельности, а бездеятельность - к потере квалификации, потере самоуважения, упадку моральных устоев, распаду семьи, а также к общественным и политическим беспорядкам.
Экономические издержки безработицы
безусловно велики, но и внеэкономические - социальные издержки - просто громадны. Никакие деньги не в состоянии адекватно выразить масштабы тех социально-психологических бедствий, которые происходят в периоды высокой и устойчивой вынужденной безработицы. Потеря работы - это большая личная трагедия.
Безработица приводит к быстрым, иногда очень бурным социальным и политическим переменам. Об этом свидетельствует сдвиг влево в американской политической теории во время депрессии 30-х годов. Вызванный депрессией "новый курс" был подлинной революцией в американском политическом и экономическом мышлении. Примером таких перемен является и приход Гитлера к власти в условиях безработицы. Более того, нет сомнений в том, что большой процент безработицы среди негров и других национальных меньшинств также является серьезной причиной беспорядков и насилия, которые периодически возникают в городах Америки и других стран. Что касается простых людей, исследователи находят прямую связь между ростом самоубийств, убийств, смертности от сердечно-сосудистых заболеваний, психических болезней и высоким уровнем безработицы.[2,3с57-69]
2.3.Социально-экономические последствия безработицы
Влияние безработицы на экономическую и социальную жизнь общества противоречиво.
В качестве позитивных аспектов проблемы можно назвать следующие:
во-первых, безработица выступает как условие роста производства, появления новых предприятий. Не будь этого фактора, было бы затруднено расширенное воспроизводство, которое требует дополнительных ресурсов: труда, земли, капитала.
Во-вторых, безработица поднимает дисциплину и эффективность труда тех, кто пока занят в производстве.
В то же время безработица порождает тяжелейшие отрицательные социально-экономические последствия.
1. Незанятая рабочая сила означает недоиспользование экономического потенциала общества, прямые экономические потери, являющиеся следствием естественной и фактической безработицы (и соответственно занятости).
Естественный уровень безработицы
– это такая ситуация на рынке труда, при которой спрос на труд и предложение труда совпадают. К естественной безработице относятся фрикционная и структурная, т. е. нечто неизбежное, объективно обусловленное. Все другие виды безработицы можно рассматривать как прямое недоиспользование трудовых ресурсов.
Естественный уровень безработицы позволяет определить потенциальный ВНП, т. е. такой объем валового национального продукта, который можно произвести в условиях естественного уровня занятости. Фактический уровень ВНП, как правило, ниже его потенциального уровня, а фактический уровень безработицы выше естественного уровня безработицы. В этих условиях возникает необходимость определить, какую часть ВНП общество недополучает вследствие превышения естественного уровня безработицы. Американский экономист Артур Оукен (1928 –1980) сформулировал закон, согласно которому между уровнем безработицы и реальным объемом ВНП существует обратная зависимость, показывающая, что сокращение безработицы на один процентный пункт дает дополнительный прирост реального ВНП примерно на 2%. Это и есть закон Оукена, а цифра 2,0 – коэффициент Оукена. Так, если естественный уровень безработицы в данном году равен 4%, а фактический ее уровень – 7%, то разница составит 3%. Эти 3% надо умножить на коэффициент Оукена (3% 2,0 = 6%). Если фактический ВНП составляет 200 трлн. руб., то общество недополучило в данном году 6% от 200 трлн. руб., т. е. 12 трлн. руб., а потенциальный ВНП в данной стране в данном году составил бы 212 трлн. руб.
2. Безработица сковывает требования профсоюзов о повышении заработной платы, как бы срабатывает в пользу требований союзов предпринимателей.
3. При длительной безработице работник теряет квалификацию, а получение новой квалификации и адаптация к новым условиям часто протекают для него болезненно.
4. Безработица ведет к прямому падению ранее достигнутого уровня жизни. Пособия по безработице всегда меньше заработной платы, имеют временный характер. Рост безработицы снижает покупательный и инвестиционный спросы, сокращает объемы сбережений у населения.
5. Сам факт безработицы наносит человеку тяжелейшую психологическую травму, сравнимую с самыми неприятными обстоятельствами (смерть близких, тюремное заключение и т. п.). Многие социологи связывают рост преступности с ростом безработицы.
Неэкономические последствия безработицы
- это психологические и социальные и политические последствия потери работы. На индивидуальном уровне неэкономические последствия безработицы состоят в том, что если человек в течение продолжительного времени не может найти работу, то это часто приводит к психологическим стрессам, отчаянию, нервным (вплоть до самоубийства) и сердечно-сосудистым заболеваниям, развалу семьи. Потеря стабильного источника дохода может толкнуть человека на преступление (кражу и даже убийство), асоциальное поведение.
На уровне общества это, в первую очередь, означает рост социальной напряженности, вплоть до политических переворотов. Не случайно американский президент Франклин Делано Рузвельт, объясняя причину разработки и проведения им политики «Нового курса» для выхода из Великой Депрессии, главной проблемой которой была огромная безработица (в США в этот период безработным был каждый четвертый), писал, что тем самым он хотел «предотвратить революцию отчаяния». Действительно, военные перевороты и революции связаны именно с высоким уровнем социальной и экономической нестабильности. Кроме того, социальными последствиями безработицы являются рост уровня заболеваемости и смертности в стране, а также рост уровня преступности. К издержкам безработицы
следует отнести и те потери, которое несет общество в связи с расходами на образование, профессиональную подготовку и обеспечение определенного уровня квалификации людям, которые в результате оказываются не в состоянии их применить, а, следовательно, окупить.
Экономические последствия безработицы на индивидуальном уровне заключаются в потере дохода или части дохода (т.е. снижении текущего дохода), а также в потере квалификации (что особенно плохо для людей новейших профессий) и поэтому уменьшении шансов найти высокооплачиваемую, престижную работу в будущем (т.е. возможном снижении уровня будущих доходов).
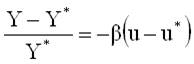
Экономические последствия безработицы на уровне общества в целом состоят в недопроизводстве валового национального продукта (ВНП), отставании фактического ВВП от потенциального ВВП. Наличие циклической безработицы (когда фактический уровень безработицы превышает ее естественный уровень) означает, что ресурсы используются не полностью. Поэтому фактический ВВП меньше, чем потенциальный (ВВП при полной занятости ресурсов).
Отставание (разрыв) фактического ВВП от потенциального ВВП (GDP gap)
рассчитывается как процентное отношение разницы между фактическим и потенциальным ВВП к величине потенциального ВВП:
GDPgap = (Y - Y*)/Y* * 100%, (2.8)
где Y – фактический ВНП, а Y* - потенциальный ВВП.
Зависимость между отставанием объема выпуска (в то время ВНП) и уровнем циклической безработицы эмпирически, на основе изучения статистических данных США за ряд десятилетий, вывел экономический советник президента Дж.Кеннеди, американский экономист Артур Оукен (A.Okun). В начале 60-х годов он предложил формулу, которая показывала связь между отставанием фактического объема выпуска от потенциального и уровнем циклической безработицы. Эта зависимость получила название «закона Оукена».
(2.9)
В левой части уравнения записана формула разрыва ВВП.
В правой части u – это фактический уровень безработицы,
u* - естественный уровень безработицы,
поэтому (u - u*) – уровень циклической безработицы, ??- коэффициент Оукена (??> 0).
Этот коэффициент показывает, на сколько процентов сокращается фактический объем выпуска по сравнению с потенциальным (т.е. на сколько процентов увеличивается отставание), если фактический уровень безработицы увеличивается на 1 процентный пункт, т.е. это коэффициент чувствительности отставания ВВП к изменению уровня циклической безработицы. Для экономики США в те годы, по расчетам Оукена, он составлял 2,5%. Для других стран и других времен он может быть численно иным. Знак «минус» перед выражением, стоящим в правой части уравнения, означает, что зависимость между фактическим ВВП и уровнем циклической безработицы обратная (чем выше уровень безработицы, чем меньше величина фактического ВВП по сравнению с потенциальным).
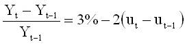
Отставание фактического ВВП любого года можно подсчитать не только по отношению к потенциальному объему выпуска, но и по отношению к фактическому ВВП предыдущего года. Формулу для такого расчета также предложил A.Оукен:
 (3)
где Yt - фактический ВВП данного года,
Yt -1 – фактический ВВП предыдущего года, т.е. в левой части
уравнения записана формула отставания ВВП по годам,
t - фактический уровень безработицы данного года,
t -1 - фактический уровень безработицы предыдущего года,
3% - темп роста потенциального ВНП, обусловленный: а) ростом численности населения, б) ростом капиталовооруженности и в) научно-техническим прогрессом; 2 – это коэффициент, показывающий на сколько процентов сокращается фактический ВВП при росте уровня безработицы на 1 процентный пункт (это означает, что если уровень безработицы увеличивается на 1 процентный пункт, фактический ВВП сокращается на 2%). Этот коэффициент был рассчитан Оукеном на основе анализа эмпирических (статистических) данных для американской экономики, поэтому для других стран он может быть иным.[15,16 ]
2.4.Государственная политика борьбы с безработицей
Поскольку безработица представляет собой серьезную макроэкономическую проблему, выступает показателем макроэкономической нестабильности, государство предпринимает меры для борьбы с ней. Для разных типов безработицы, поскольку они обусловлены разными причинами, используются разные меры
. Общими для всех типов безработицы являются такие меры как:
· выплата пособий по безработице;
· создание служб занятости (бюро по трудоустройству)
Специфическими мерами для борьбы с фрикционной безработицей
выступают:
· усовершенствование системы сбора и предоставления информации о наличии свободных рабочих мест (не только в данном городе, но и других городах и регионах);
· создание специальных служб для этих целей.
Для борьбы со структурной безработицей используются такие меры
как:
· создание государственных служб и учреждений по переподготовке и переквалификации;
· помощь частным службам такого типа.
Основными средствами борьбы с циклической безработицей
являются:
· проведение антициклической (стабилизационной) политики, направленной на недопущение глубоких спадов производства и, следовательно, массовой безработицы;
· создание дополнительных рабочих мест в государственном секторе экономики.
[11 с 34-58;13]
2.5.Пути снижения безработицы.
Последствия безработицы негативны для развития экономики любой страны и непосредственно для самого человека. Поэтому разрабатываются следующие законодательные и экономические меры по ограничению безработицы:
· политика государства по стимулированию роста занятости увеличению числа рабочих мест через использование таких рычагов, как льготное налогообложение, льготное кредитование, компенсация в той или иной мере инвестиций на прирост новых рабочих мест или убытков от их сохранения и т.д.;
· стимулирование самозанятости населения, особенно женщин;
· расширение форм, сфер и условий профессиональной подготовки работников;
· разрешение трудовой эмиграции;
· активное применение в государственном и негосударственном секторах экономики гибких форм занятости и др.
· В целях увеличения занятости населения совершенствуется нормативная база по содействию безработным в организации предпринимательской деятельности.
· Постановлением Министерства труда РБ от 22 июня 1998 года № 57 внесены изменения и дополнения в Положение «О содействии государственной службы занятости безработным в организации самостоятельной занятости».
В настоящее время безработный, изъявивший желание начать собственное дело, имеет право на бесплатное обучение основам предпринимательской деятельности, получение субсидии и ссуды соответственно в размере 25 и 150 минимальных зарплат. Кроме этого из фонда занятости безработному компенсируются расходы в размере 15 минимальных зарплат по регистрации в качестве предпринимателя, открытию счета, изготовлению печати и иных действий, связанных с организацией самозанятости.
Многообразие типов безработицы делает задачу ее сокращения чрезвычайно сложной. Поскольку единого способа борьбы с безработицей не существует, любой стране для решения этой проблемы приходится использовать различные методы.
Уровень фрикционной безработицы может быть снижен за счет:
улучшения информационного обеспечения рынка труда. Во всех странах эту функцию выполняют организации по трудоустройству (биржи труда). Они собирают у работодателей информацию о существующих вакансиях и сообщают ее безработным;
устранения факторов, снижающих мобильность рабочей силы. Для этого необходимо, прежде всего:
а) создание развитого рынка жилья;
б) увеличение масштабов жилищного строительства;
в) отмена административных преград для переезда из одного населенного пункта в другой
Сокращению структурной безработицы более всего способствуют программы профессионального переобучения и переквалификации. Такого рода программы должны привести к тому, чтобы рабочая сила наилучшим образам соответствовала имеющимся рабочим местам. Эта задача достигается программой профессиональной подготовки, информацией о рабочих местах. Программы профессиональной подготовки обеспечивают как подготовку на рабочих местах, так и в специальных учебных заведениях для безработной, молодежи, а также для рабочих старших возрастов, чья профессия оказалась устаревшей.
Наиболее трудно бороться с циклической безработицей. Для решения такой задачи наиболее эффективными являются следующие меры:
Создание условий для роста спроса на товары. Так как спрос на рынке труда – производный и зависит от ситуации на рынках товаров и услуг, то занятость возрастет, а безработица упадет в том случае, если товарные рынки предъявят больший спрос и для его удовлетворения надо будет нанять дополнительных работников.
Способами увеличения спроса являются:
стимулирование роста экспорта. Это может привести к росту объемов производства и, соответственно, - занятости на них;
поддержка и поощрение инвестиций в реконструкцию предприятия с целью повышения конкурентноспособности продукции.
Создание условий для сокращения предложения труда. Очевидно, что чем меньше людей претендуют на рабочие места, тем легче найти работу даже при том же числе свободных рабочих мест. Сократить число претендентов на эти места и, более того высвободить дополнительные вакансии для безработных вполне реально.
Некоторое облегчение может принести, например, предоставление возможности досрочного выхода на пенсию работникам, еще не достигшим пенсионного возрасти. В России, например, при упразднении органов управления союзного уровня работавшим в их штатам мужчинам позволяли уйти на пенсию в 57-58 лет, а женщинам – в 53-54 года. Без этого пожилым служащим пришлось бы искать работу. А поскольку шансов на трудоустройство в этом возрасте у них было немного. Они увеличили бы армию безработных. Досрочная пенсия позволила предотвратить такое развитие событий. Вместе с тем этот способ может использоваться только в очень ограниченных масштабах, так как он влечет существенное увеличение пенсионных выплат.
Создание условий для роста самозанятости. Смысл такого рода программ состоит в том, что людям помогают открыть собственное дело, чтобы они могли прокормить себя и свою семью, даже если им не удается найти работу по найму.
Реализация программ поддержки молодых работников. Тяжелее всего безработица ударяет по пожилым (их уже никто не хочет брать на работу из-за падающей производительности труда и ухудшения здоровья) и самым молодым (их еще никто не хочет брать на работу из-за низкой квалификации и отсутствия опыта).
Для помощи молодежи могут использоваться различные методы:
экономическое стимулирование молодежной занятости;
создание специальных фирм, предлагающих работу именно молодежи
создание центров обучения молодых людей тем профессиям, в которых шансы на занятость наиболее велики.
Список программ сокращения безработицы можно продолжать еще долго, но важно понимать, что все эти программы не могут полностью ликвидировать или существенно сократить циклическую безработицу. Такой результат достигается лишь при общем улучшении экономической ситуации в стране.
Что же должно предпринимать государство, чтобы проблема безработицы не стояла перед нами так остро? Прежде всего, политика занятости, вырабатываемая государством, должна иметь предупреждающий характер и включать комплекс мер государственного регулирования, предотвращающих рост безработицы.
Вот наиболее важные меры такого рода:
Перераспределение имеющегося спроса на труд путем стимулирования перехода предприятий на неполный рабочий день, неполную рабочую неделю и т.п. Такие предприятия должны получить налоговые льготы, чтобы компенсировать затраты на прием новых работников.
Бюджетное субсидирование дополнительной (по отношению к фактическому уровню) рабочей силы на действующих предприятиях. Оно может иметь вид кредитования государством зарплаты дополнительно нанятых рабочих.
Снижение фактического предложения рабочей силы за счет снижения установленного законом пенсионного возраста. Такой же эффект может обусловить развитие служб переподготовки кадров и повышения квалификации.
Предоставление рабочих мест, не ориентированных на получение прибыли, а связанных с работой в интересах общества, например: работа в области охраны окружающей среды и т.д.
Переход к созданию системы социального партнерства, в том числе создание механизма выработки трехсторонних соглашений (работодатели - профсоюзы - государство) с целью ограничить рост заработной платы. С работодателей следует взимать налог на средства, дополнительно потраченные на заработную плату, и направлять его на субсидирование занятости.
Расширение занятости в будущем зависит и от иностранных инвестиций. В целом инвестиции в реконструкцию и технологическое переоборудование предприятий будут иметь трудосберегающий эффект. Но увеличение капитальных вложений означает создание новых рабочих мест.
Значительно сократить количество незанятых можно за счет структурных изменений в оборонной промышленности. Процесс конверсии обладает большим потенциалом для увеличения занятости, ходя даже ее стабилизация сегодня будет большим плюсом в регулировании рынка труда.[12с 63-110;14]
Заключение
Последовательное повышение уровня и качества жизни граждан Беларуси является важнейшим направлением государственной политики. Обеспечивая высокий уровень занятости и динамичный рост доходов населения, развитие системы общедоступных социальных услуг, Республика Беларусь не на словах, а на деле подтверждает свою сущность как социальное государство.
Одним из ключевых направлений политики белорусского государства является обеспечение максимально полной занятости.
Отличительная особенность Беларуси – низкий уровень зарегистрированной безработицы. На конец октября 2010 года он составил 0,7%, в том числе в Витебской области – 1%, Брестской, Гомельской и Гродненской областях – по 0,9%, Могилевской – 0,8%, Минской – 0,7%, г.Минске – 0,3% (задание пятилетки – 1,5–2%).
В то же время и для стран Евросоюза, и для государств СНГ, несмотря на постепенное послекризисное восстановление экономики, повышенный и высокий уровень безработицы продолжают оставаться болезненной социальной проблемой.
В сентябре т. г. уровень безработицы в государствах СНГ составлял: в Украине – 2%, в России – 2,1%, в Молдове – 3,6%, в Армении – 6,9%. Если в Беларуси было 36 тыс. безработных, то в Армении – 82 тыс., в Украине – около 408 тыс., в России – около 1,6 млн.; всего в СНГ – 2,4 млн.
Уровень безработицы в 16 странах Евросоюза вырос в сентябре 2010 г. до 10,1%. Это – рекордный показатель для еврозоны с момента ее создания. При этом в соседней Литве уровень безработицы достиг 18,2% , в Эстонии – 18,6%, в Латвии – 19,4%.
Характеризуя текущую ситуацию в сфере занятости в нашей стране, следует иметь в виду, что она существенно улучшилась даже по сравнению с началом 2010 года. Ведь еще в январе численность безработных превышала число свободных рабочих мест. Сейчас же, наоборот, число имеющихся вакансий в 1,6 раза превышает количество безработных. По регионам это составляет: Гродненская область – 1,1 раза, Брестская и Могилевская – 1,3 раза, Минская – 1,5 раза, г. Минск – 5,4 раза. И лишь в Гомельской и Витебской областях еще сохраняется небольшой дефицит свободных рабочих мест.
Отмеченные позитивные изменения связаны как с заметным оживлением деятельности предприятий, так и с принятием активных мер на рынке труда. Только в текущем году в стране должно быть создано более 175 тыс. новых рабочих мест, оказано содействие в трудоустройстве свыше 200 тыс. человек.
За 9 месяцев т. г. на новые рабочие места, созданные республиканскими и местными органами государственного управления, трудоустроено 133,4 тыс. человек.
За этот же период в малых и средних населенных пунктах страны появилось около 24,1 тыс. мест приложения труда, на селе – почти 16,5 тыс.
В целом же за пятилетку в Беларуси будет создано примерно 800 тыс. рабочих мест и обеспечено работой около 1 млн. нуждающихся в трудоустройстве, в том числе в малых городах и поселках республики – более 120 тыс. новых рабочих мест.
Особо значимым результатом данных мер является то, что в настоящее время в стране по большому счету решены проблемы региональной и сельской безработицы. Сегодня лишь в малых и средних населенных пунктах Брестской области уровень безработицы сравнялся со среднеобластным значением. В остальных же 5 областях он опустился даже ниже региональных показателей.
Основная цель политики занятости на последующую пятилетку – не просто обеспечить граждан Республики Беларусь рабочими местами. Ключевой задачей является активная модернизация и введение эффективных рабочих мест, что даст возможность людям максимально эффективно применить свой опыт, квалификацию и способности, открыть собственное дело и гарантирует достойное вознаграждение за достойный труд.[9 c1-9]
ЛИТЕРАТУРА:
1. Антосенков Е. Г. От обслуживания безработицы – к активной государственной политике занятости. // ЭКО. 1999. № 2.
2. Н.И. Базылев, С.П. Гурко «Экономическая теория (макроэкономика)» Мн. 2000г
3.Бородянский Э., Кузьмин В. «Реальный путь противодействия безработице.» // Человек и труд. 1996. № 9
4. Дмитрий Ермак, «Количество безработных будет расти.» //Белорусская экономическая газета. № 64, (584) от 30.08.2002г
5. . «Динамика Безработицы» //Мировая экономика и международные отношения №8 август 2000г. Стр.43-45
6. Козырев В. М. Основы современной экономики: Учеб. Пособие. – Москва: «Финансы и статистика», 1998..
7.Лутохина Э.А. Макроэкономическая нестабильность. Учебно-методическое пособие. Мн.:1996г.
8. Макконнелл К. Р., Брю С. Л. Экономикс в 2-х томах. - М.,1992.- Т.1.-С.656.
9 Материалы ИАЦ при Администрации Президента Республики Беларусь по единому дню информирования на тему « «Беларусь-социальное государство: основные итоги развития 2006-2010 годы» декабрь 2010 г.
10. По материалам книги Матвеевой Т.Ю. "Макроэкономика: Курс лекций для экономистов", 2001 год.
11. Рофе А. И. И др. Рынок труда, занятость населения, экономика ресурсов для труда: Учебное пособие / Рофе А. И., Збышко Б. Г., Ишин В. В.; Под ред. А.И. Рофе.- М.: «МИК»,
12. Современная экономика: Учеб. Пособие / Научн. ред. О. Ю. Мамедов. – 2-е изд. доп. – М.: «Зевс», 1997.
13. 1997Славуцкий О. Повысить взаимную ответственность субъектов рынка труда. // Человек и труд. 1999
14. www.gazeta.ru.
15 www.tut.by ( Беларуский портал ИА « Экспресс») новости
16. http://www.president.gov.by/Minstat/main.html
|