| Содержание
Введение
…………………………………………………………………………..3
Глава 1 Статистика населения
…………………………………………….5
1.1 Расчет и анализ показателей численности населения…………………..5
1.2 Анализ естественного движения населения……………………………..8
1.3 Анализ миграции населения и расчет перспективной численности населения…………………………………………………………………………11
1.4 Расчет и анализ показателей уровня и динамики занятости и безработицы……………………………………………………………………..15
Глава 2 статистика уровня жизни населения
…………………………...21
2.1 Анализ основных показателей уровня жизни населения……………...21
2.2 Анализ доходов населения………………………………………………25
2.2.1 Анализ номинальных и располагаемых доходов…………………25
2.2.2 Анализ показателей динамики реальных доходов населения…...28
2.2.3 Методы изучения дифференциации доходов и уровня бедности………………………………………………………………………….32
2.3 Анализ расходов населения……………………………………………...36
2.3.1 Выявление основной тенденции развития уровня индивидуального потребления методом аналитического выравнивания……36
2.3.2 Индексный анализ показателей потребления……………………..39
Глава 3 Корреляционно-регрессионный анализ влияния факторов на изменение уровня жизни населения
…………………………………………43
3.1 Однофакторный линейный корреляционный и регрессионный анализ……………………………………………………………………………..43
3.2 Проверка адекватности регрессионной модели………………………..46
Заключение
……………………………………………………………………...49
Список использованной литературы
……………………………………......52
Приложение 1
…………………………………………………………………...53
Приложение 2
………………………………………………………………….54
Приложение 3
………………………………………………………………….55
Приложение 4
…………………………………………………………………...57
Приложение 5
…………………………………………………………………...58
Приложение 6
…………………………………………………………………...59
Приложение 7
…………………………………………………………………...60
Приложение 8
…………………………………………………………………...63
Приложение 9
…………………………………………………………………...64
Приложение 10
………………………………………………………………….65
Введение
Социальная статистика исследует вопросы, затрагивающие личные интересы каждого человека, с которыми связаны его благополучие, удовлетворение потребностей, реализация жизненных планов.
К числу наиболее значимых направлений исследования в социальной статистике относятся: социальная и демографическая структура населения и ее динамика, уровень жизни населения.
Забиваем Сайты В ТОП КУВАЛДОЙ - Уникальные возможности от SeoHammer
Каждая ссылка анализируется по трем пакетам оценки: SEO, Трафик и SMM.
SeoHammer делает продвижение сайта прозрачным и простым занятием.
Ссылки, вечные ссылки, статьи, упоминания, пресс-релизы - используйте по максимуму потенциал SeoHammer для продвижения вашего сайта.
Что умеет делать SeoHammer
— Продвижение в один клик, интеллектуальный подбор запросов, покупка самых лучших ссылок с высокой степенью качества у лучших бирж ссылок.
— Регулярная проверка качества ссылок по более чем 100 показателям и ежедневный пересчет показателей качества проекта.
— Все известные форматы ссылок: арендные ссылки, вечные ссылки, публикации (упоминания, мнения, отзывы, статьи, пресс-релизы).
— SeoHammer покажет, где рост или падение, а также запросы, на которые нужно обратить внимание.
SeoHammer еще предоставляет технологию Буст, она ускоряет продвижение в десятки раз,
а первые результаты появляются уже в течение первых 7 дней.
Зарегистрироваться и Начать продвижение
Изучение любого социального процесса невозможно без учета численности и структуры тех групп населения, которые в нем участвуют. Демографические процессы оказывают влияние на ход всех других общественных процессов.
Одним из основных направлений анализа социально-экономического развития страны является изучение уровня жизни населения. Социальные проблемы волнуют всех: центральные и местные органы власти, профсоюзы и партии, научную общественность и, наконец, само население. Это и понятно, поскольку повышение уровня благосостояния, улучшение условий жизни различных слоев населения относятся к числу важнейших долгосрочных приоритетов социально-экономического развития страны. Социально-экономические индикаторы являются составной частью социальных программ. Они позволяют оценить эффективность экономической и социальной политики, проводимой органами государственного управления, и используются в качестве инструмента измерения степени достижения поставленных целей и влияния экономических реформ на уровень жизни населения.
Исходя из сказанного выше, можно сделать вывод о том, что тема курсовой работы очень актуальна не только для изучения на современном этапе развития России, но и в любой другой момент времени, ведь статистические методы являются основным средством изучения массовых, повторяющихся явлений, и играют важную роль в прогнозировании поведения экономических показателей.
Объектом исследования данной курсовой работы является население России и уровень его жизни в период с 2000 г. по 2008 г. Первая глава посвящена статистическому анализу населения РФ. Во второй главе рассмотрены основные показатели уровня жизни населения. В третьей главе приведен пример корреляционно-регрессионного анализа влияния факторов на изменение уровня жизни населения на примере влияния уровня заработной платы на численность населения с доходами ниже прожиточного минимума.
Задачи курсовой работы – изучить структуру и состав населения России, уровень и структуру доходов и расходов населения, дать характеристику основным показателям динамики населения и проанализировать эти показатели, составить прогноз развития демографической ситуации на ближайший период времени, количественно охарактеризовать социальные стороны жизни общества с помощью социально-экономических индикаторов уровня жизни.
Цели работы на основе анализируемых показателей сделать выводы о том, как:
Сервис онлайн-записи на собственном Telegram-боте
Попробуйте сервис онлайн-записи VisitTime на основе вашего собственного Telegram-бота:
— Разгрузит мастера, специалиста или компанию;
— Позволит гибко управлять расписанием и загрузкой;
— Разошлет оповещения о новых услугах или акциях;
— Позволит принять оплату на карту/кошелек/счет;
— Позволит записываться на групповые и персональные посещения;
— Поможет получить от клиента отзывы о визите к вам;
— Включает в себя сервис чаевых.
Для новых пользователей первый месяц бесплатно.
Зарегистрироваться в сервисе
- менялась структура и численность населения России за последние 9 лет;
- проанализировать доходы и расходы населения, их состав и структуру, а также динамику и дифференциацию доходов;
- оценить влияние различных показателей на данные изменения.
Глава 1 Статистика населения
1.1
Расчет и анализ показателей численности населения
Статистика населения – древнейшая отрасль статистической науки, которая изучает население и процессы, связанные с его динамикой, с количественной стороны в конкретных условиях общественного развития. Таким образом, предметом изучения этой отрасли статистики являются население и закономерности его развития.
Население – это совокупность людей, проживающих в пределах определенной территории: части страны, всей страны, группы стран, всего земного шара.
Статистика населения включает такие единицы учета, как семья и домохозяйство. Семья как статистическая единица определяется как группа лиц, связанных родственными отношениями, проживающих на одной территории и имеющих общий бюджет. По рекомендациям Статистической Комиссии ООН в переписях 1999-2001 гг. будет использоваться в основном в качестве учетной единицы домохозяйство, поскольку это понятие в большей степени соответствует рыночному критерию.
Под домохозяйством понимается группа лиц, которые совместно проживают в жилищной единице и которые полностью или частично объединили свои индивидуальные бюджеты в общий бюджет, подчиняясь общим правилам как связанных, так и не связанных отношениями родства. Домохозяйства, соответствующие данным критериям, принято относить к частным домохозяйствам (домохозяйство может состоять и из одного человека, проживающего самостоятельно).
Кроме частных имеются и коллективные (групповые) домохозяйства. В этом случае речь идет о группе лиц, проживающих в одной жилищной единице, совместно питающихся, но не имеющих индивидуальных бюджетов, подчиняющихся общим правилам и обычно не связанных родственными отношениями (дома-интернаты, детские дома, дома ребенка, религиозные учреждения, воинские части и т.д.).
Как известно, свой предмет статистика изучает при помощи совокупности специфических приемов и способов, составляющих ее метод. Наряду с общепринятыми приемами массового наблюдения, сводки и группировки его данных, обобщающих показателей, статистика населения использует свои, особенные способы, такие как построение вероятностных таблиц, демографической сетки, возрастных пирамид и др.
Основная цель расчета показателей статистики населения – оценка демографической ситуации, сложившейся на конкретной территории в конкретных условиях места и времени, ее прогноз на будущее.
Расчет демографических показателей очень часто бывает связан с необходимостью определения среднегодовой численности населения территории. Выбор способа ее расчета зависит от исходных данных.
Если имеются данные на начало (S1) и конец периода (S2), то средняя численность населения определяется по формуле средней арифметической простой:
(1)
Если имеются данные равноотстоящего моментного ряда динамики, то:
(2)
где S1, S2, ..., Sn-1, Sn – численность населения на начало месяца;
n – число месяцев.
Если требуется найти среднюю численность населения в не равноотстоящем моментном ряду динамики, то используется формула средней арифметической взвешенной:
(3)
где – средняя численность населения в i-м интервале, рассчитываемая по приведенным выше формулам;
ti – длительность i-го интервала времени. Если нужно определить среднюю численность населения за длительный период времени, то используется формула средней логарифмической:
(4)
где S1 – численность населения на начало периода;
Sn – то же на конец периода.
Среднегодовая численность населения Российской Федерации за последние 9 лет по данным приложения 1 составила 143,625 млн человек. Мы водим, что население России постепенно убывает и в период с 2001 по 2009 года его численность сократилась на 4,4 млн человек.
В основу отечественной статистики положено деление населения на городское и сельское. К городскому населению относятся жители городских поселений, поселков городского типа, дачных поселков. Сельское население проживает в населенных пунктах, которые классифицируются как сельские поселения. По данным приложения 1 можно сделать вывод о том, что в России преобладает городское население. Так на 1 января 2009 г. численность населения Российской Федерации составила 141,9 млн чел., в том числе 103,7 млн чел. – городское (73%) и 38,2 млн чел. – сельское (27%) население.
В статистике населения также выделяют группы по полу и возрасту. В последние годы наблюдается женского населения в общей численности нашей страны. Из приложений 2 и 3 на 1 января 2009 г. мужчины составляли 46%, женщины – 54%, или на 1000 мужчин приходилось 1162 женщины.
1.2
Анализ естественного движения населения
Изменение численности населения между переписями отслеживается с помощью текущего учета населения, который основывается на статистике естественного и миграционного (механического) движения населения.
Естественное движение населения - изменение численности населения за счет рождения и смертей. В статистике широко используется показатель естественного прироста населения, который определяют как разность между числом родившихся живыми и числом умерших за определенный период, имея в виду прежде всего положительный результат (число родившихся должно превышать численность умерших). Если разница имеет отрицательный результат, то речь идет о показателе естественной убыли населения.
Воспроизводство населения измеряется с помощью общего коэффициента рождаемости и общего коэффициента смертности (рассчитываются на 1000 человек, т.е. в промилле, ‰).
Общий коэффициент рождаемости характеризует интенсивность деторождения по отношению к населению в целом (всех возрастов) и вычисляется как отношение числа родившихся живыми в течение года (N) к среднегодовой численности населения ( ):
(5)
Интенсивность смертности населения измеряется общим коэффициентом смертности, который представляет собой отношение общего числа умерших в течение года (М) к среднегодовой численности населения:
(6)
В статистике населения используется также коэффициент естественного прироста (убыли), который представляет собой разность между коэффициентом рождаемости и коэффициентом смертности.
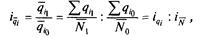
По данным приложения 4 рассчитаем основные показатели, характеризующие естественное движение (воспроизводство населения):
Таблица 1 - Коэффициенты рождаемости, смертности, естественного прироста (убыли)
| Годы
|
На 1000 человек населения
|
| родившихся
(коэффициент рождаемости)
|
умерших
(коэффициент смертности)
|
естественный прирост
(коэффициент естественного прироста)
|
| 2000
|
8,7
|
15,3
|
-6,6
|
| 2001
|
9,0
|
15,6
|
-6,6
|
| 2002
|
9,7
|
16,2
|
-6,5
|
| 2003
|
10,2
|
16,4
|
-6,2
|
| 2004
|
10,4
|
16,0
|
-5,6
|
| 2005
|
10,2
|
16,1
|
-5,9
|
| 2006
|
10,4
|
15,2
|
-4,8
|
| 2007
|
11,3
|
14,6
|
-3,3
|
| 2008
|
12,1
|
14,6
|
-2,5
|
По данным таблицы 1 можно сделать вывод о том, что коэффициент смертности превышает коэффициент рождаемости уже на протяжении долгого времени, что соответственно ведет к естественной убыли населения. Но есть и положительный момент – коэффициент естественного прироста, хоть и имеет отрицательный знак, постепенно возрастает.
Большое значение для анализа естественного движения населения имеет расчет возрастных коэффициентов рождаемости (коэффициентов для отдельных возрастных групп женщин) и суммарного коэффициента рождаемости, который характеризует среднее число детей, рожденных женщиной за свою жизнь. В последние годы в России суммарный коэффициент рождаемости имеет тенденцию к росту – от 1,195 в 2000 г. до 1,494 в 2008 г. Но не смотря на это в настоящее время не обеспечивается даже простое воспроизводство населения.
Важнейшей частью статистической информации о смертности населения является показатель смертности детей на первом году жизни. Речь идет о коэффициенте младенческой смертности, который представляет собой отношение числа умерших в возрасте до одного года (М0 ) к числу родившихся живыми:
(7)
Рассчитаем коэффициент младенческой смертности:
Таблица 2 - Коэффициент младенческой смертности
| 2001
|
2002
|
2003
|
2004
|
2005
|
2006
|
2007
|
2008
|
| Коэффициент младенческой смертности
|
14,6
|
13,3
|
12,4
|
11,6
|
11,0
|
10,2
|
9,4
|
8,5
|
Из таблицы видно, что четко прослеживается снижение младенеской смертности.
Обобщающим показателем является показатель средней продолжительности предстоящей жизни, который может быть рассчитан для любой возрастной группы населения путем деления суммы предстоящих человеко-лет, которые предстоит прожить группе лиц от возраста х до предельного возраста включительно (Tx ), на численность изучаемого поколения, дожившего до возраста х (Lx ):
(8)
По продолжительности жизни Россия уступает развитым странам. Ожидаемая продолжительность жизни при рождении — это число лет, которое в среднем предстоит прожить одному человеку из поколения родившихся при условии, что на протяжении всей жизни этого поколения уровень смертности будет таким, как в данном периоде. Рассмотрим таблицу 3:
Таблица 3 – Ожидаемая продолжительность жизни при рождении в РФ (годы)
| 2001
|
2002
|
2003
|
2004
|
2005
|
2006
|
2007
|
2008
|
| все население
|
65,2
|
65,0
|
64,9
|
65,3
|
65,3
|
66,6
|
67,5
|
67,9
|
| мужчины
|
58,9
|
58,7
|
58,6
|
58,9
|
58,9
|
60,4
|
61,4
|
61,8
|
| женщины
|
72,2
|
71,9
|
71,8
|
72,3
|
72,4
|
73,2
|
73,9
|
74,2
|
По данным таблицы, приведенной выше, можно сделать вывод о том, что ожидаемая продолжительность жизни имела тенденцию к снижению с 2001 г. до 2004 г. Анализируя следующие 4 года мы видим, что данный показатель повышается. Так же стоит заметить, что женщины живут дольше мужчин (разница в возрасте составляет более чем 10 лет).
1.3 Анализ миграции населения и расчет перспективной численности населения
Кроме естественного движения большое влияние на численность населения страны оказывает перемещение населения по территории страны (миграция населения). Изменение численности населения на отдельных территориях за счет миграции представляет собой механическое движение населения.
Миграция населения - это передвижение людей (мигрантов) через границы тех или иных территорий (страны, региона, области, района и т.д.), связанное с переменой места жительства навсегда или на более или менее длительное время. Миграционные потоки являются важным объектом исследования, поскольку дают сведения о том, как перемещается население, в каком направлении, что из себя представляет социально-демографический состав мигрантов.
К основным показателям миграции относятся следующие:
число прибытий - П;
число выбытий - В;
миграционный прирост - (П - В), если П > В;
миграционный отток - (П - В), если П < В.
Выбывшим считается лицо, которое выехало за пределы данной территории. К прибывшим относятся лица, которые въехали на данную территорию из-за ее пределов. Число выбывших и прибывших определяется по показателям регистрационных учетов по месту прибытия и месту убытия.
Для статистической характеристики миграционных процессов используют расчетные относительные показатели: коэффициенты интенсивности (прибытия, выбытия, миграционного оборота), коэффициент эффективности миграции.
Коэффициент прибытия
(9)
Данный коэффициент характеризует число прибывших на 1000 человек населения в среднем за год.
Коэффициент выбытия
(10)
Этот коэффициент характеризует число выбывших на 1000 человек населения в среднем за год.
Коэффициент интенсивности миграционного оборота
(11)
Данный коэффициент может иметь как положительное значение (+), так и отрицательное (-) и характеризует в положительном значении приток, а в отрицательном - отток.
Коэффициент интенсивности миграции
(12)
Наконец, важным показателем является коэффициент эффективности миграции
(13)
Таблица 4 – Основные показатели миграции населения
| 2000
|
2001
|
2002
|
2003
|
2004
|
2005
|
2006
|
2007
|
2008
|
| Число прибывших, чел
|
359330
|
193450
|
184612
|
129144
|
119157
|
177230
|
186380
|
286956
|
281614
|
| Число выбывших, чел
|
145720
|
121166
|
106695
|
94018
|
79795
|
69798
|
54061
|
47013
|
39508
|
| Коэффициент прибытия
|
|
1,322
|
1,267
|
0,890
|
0,826
|
1,235
|
1,305
|
2,017
|
1,983
|
| Коэффициент выбытия
|
|
0,828
|
0,732
|
0,649
|
0,553
|
0,486
|
0,379
|
0,331
|
0,278
|
| Коэффициент интенсивности миграционного оборота
|
|
2,150
|
2,000
|
1,539
|
1,380
|
1,722
|
1,684
|
2,348
|
2,261
|
| Коэффициент интенсивности миграции
|
|
0,494
|
0,535
|
0,242
|
0,198
|
0,749
|
0,927
|
1,687
|
1,705
|
| Коэффициент эффективности миграции
|
|
0,230
|
0,268
|
0,157
|
0,273
|
0,435
|
0,550
|
0,718
|
0,754
|
Для планирования многих народнохозяйственных показателей очень важно предвидеть численность населения на планируемый период, поэтому одной из задач статистики населения является определение численности населения на перспективу. Общий прирост численности населения за год складывается как в результате его естественного движения, так и в результате механического перемещения отдельных лиц. Для его характеристики в статистике применяется коэффициент общего прироста населения:
(14)
Таблица 5 – Коэффициенты общего прироста населения
| Коэффициент рождаемости
|
Коэффициент смертности
|
Коэффициент интенсивности миграции
|
Коэффициент общего прироста населения
|
| 2000
|
8,7
|
15,3
|
1,471
|
|
| 2001
|
9
|
15,6
|
0,494
|
-6,106
|
| 2002
|
9,7
|
16,2
|
0,535
|
-5,965
|
| 2003
|
10,2
|
16,4
|
0,242
|
-5,958
|
| 2004
|
10,4
|
16
|
0,198
|
-5,327
|
| 2005
|
10,2
|
16,1
|
0,749
|
-5,151
|
| 2006
|
10,4
|
15,2
|
0,927
|
-3,873
|
| 2007
|
11,3
|
14,6
|
1,687
|
-1,613
|
| 2008
|
12,1
|
14,6
|
1,705
|
-0,795
|
Мы видим, что коэффициент общего прироста населения отрицательный за рассматриваемый период времени, что означает убыль на каждые 1000 человек. Но все же этот показатель с каждым годом повышается.
Перспективная численность населения рассчитывается на основе данных о естественном и механическом приросте населения за определенный анализируемый период и предположения о сохранении выявленной закономерности на прогнозируемый отрезок времени:
, (15) где - численность населения на начало планируемого периода;
t – число лет, на которое прогнозируется расчет;
- коэффициент общего прироста населения за период, предшествующий плановому.
Так, например, перспективная численность населения России через 50 лет будет приблизительно равна 136464 тысяч человек.
1.4 Расчет и анализ показателей уровня и динамики занятости и безработицы
Трудовые ресурсы - население, занятое экономической деятельностью или способное трудиться, но не работающее по или иным причинам.
В состав трудовых ресурсов включаются: население в трудоспособном возрасте (мужчины 16 - 59 лет и женщины 16 - 54года), кроме неработающих инвалидов 1 и II групп и неработающих лиц, получающих пенсию на льготных условиях; работающие подростки и работающие лица пенсионного возраста. В условиях рыночной экономики трудовые ресурсы им важное значение, поскольку интегрируют категории, принятые международными Конференциями статистиков труда, peкомендации Международной организации труда (МОТ) и учитывают национальные особенности России.
Экономически активное население (рабочая сила) - часть населения, которая предлагает свой труд для производства товаров и услуг. Численность экономически активного населения чает занятых и безработных.
В международной статистике исходными показателями для па занятых является коэффициент (уровень) экономической активности населения - доля численности экономически активного населения в общей численности населения страны на определенную дату:
(16)
К занятым в экономике относятся лица обоего пола в возрасте 16 лет и старше, а также младших возрастов, которые в рассматриваемый период выполняли работу по найму за вознаграждение, а также приносящую доход работу не по найму самостоятельно или с одним или несколькими партнерами как с лечением, так и без привлечения наемных работников. В число занятых включаются лица, которые выполняют работу без ты на семейном предприятии, а также лица, которые временно отсутствовали на работе из-за болезни, ухода за больными ежегодного отпуска или выходных дней, обучения, учебного отпуска, отпуска без сохранения или с частичным сохранением заработной платы по инициативе администрации, забастовки и других подобных причин.
Статистика изучает занятость как по секторам, так и по отраслям экономики.
Количественно занятость характеризуется коэффициентом (уровнем) занятости, который рассчитывается по формуле:
(17)
К безработным, применительно к стандартам международной организации труда (МОТ), относятся лица в возрасте 16 лет и старше, которые в рассматриваемый период:
- не имели работы (доходного занятия);
- занимались поиском работы, т.е. обращались в государственную или коммерческую службу занятости, использовали или помещали объявления в печати, непосредственно обращались к администрации предприятия (работодателю), использовали личные связи и т.д. или предпринимали шаги к организации собственного дела;
- были готовы приступить к работе.
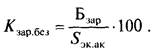
В составе безработных выделяются лица, не занятые трудовой деятельностью, зарегистрированные в службе занятости 11 качестве ищущих работу или признанных безработными. Коэффициент (уровень) безработицы определяется отношением общей численности безработных к численности экономически активного населения:
(18)
где Б - численность безработных.
Коэффициент (уровень) зарегистрированной безработицы отношение численности зарегистрированных безработных численности экономически активного населения:
(19)
Продолжительность безработицы - промежуток времени, в течение которого человек ищет работу (с момента начала поиска работы и до момента трудоустройства или до рассматриваемого периода, используя при этом любые способы.
Экономически неактивное население - население обследуемого возраста, которое не входит в состав рабочей силы, т.е. занятых и безработных. Эту часть населения составляют следующие категории:
а) учащиеся и студенты, слушатели и курсанты, посещающие дневные учебные заведения;
б) лица, получающие пенсии по старости и на льготных условиях, по инвалидности;
в) лица, занятые ведением домашнего хозяйства, уходом детьми, больными родственниками;
г) отчаявшиеся найти работу, т.е. лица прекратившие работы, но которые могут и готовы работать;
д) другие лица, которым нет необходимости работать, независимо от источника их дохода.
Статус занятого экономической деятельностью - правовое положение различных групп лиц, отнесенных к занятым экономической деятельностью и классифицируемых в системе общественных отношений в зависимости от степени экономического иска, элементом которого является вид взаимоотношений лица, наделенного определенными полномочиями (в пределах установленных обязанностей), с другими работниками и предприятиями. К л а с с и ф и к а ц и я з а н я т ы х по статусу предусматривает выделение двух основных групп: работающие по найму и работающие не по найму.
В составе работающих н е п о н а й м у выделяются подгруппы:
• работодатели;
• лица, работающие на индивидуальной основе;
• неоплачиваемые семейные работники.
Основная работа (доходное занятие) и дополнительная работа определяются для всех лиц, относящихся к категории занятых
имеющих более одной работы (занятия).
Основной является та работа, где находится трудовая книжка, и та которую лицо само считает основной.
Дополнительной работой - может быть совместительство любого рода, другая работа по контракту или случайная (разовая работа).
Неполная видимая занятость определяется количеством лиц много труда, вынужденных работать (по инициативе администрации, работодателя и т.д.) меньше установленной законом нормальной продолжительности рабочего времени в рассматриваемый период. Это лица, вынуждено работающие с «неполной рабочей неделей, или с неполным рабочим днем».
Коэффициент нагрузки на одного занятою в экономике - это ело незанятых в экономике, приходящееся на одного занятого:
(20)
Таблица 6 – Уровень экономической активности населения, уровень занятости и уровень безработицы
| Уровень экономической активности (экономически активное население к численности населения соответствующей возрастной группы)
|
Уровень занятости (занятое население к численности населения соответствующей возрастной группы)
|
Уровень безработицы (безработные к численности экономически активного населения соответствующей возрастной группы)
|
Уровень зарегистрированной безработицы (зарегистрированные безработные к численности экономически активного населения)
|
| в возрасте 15-72 года
|
в трудоспособном возрасте2)
|
в возрасте 15-72 года
|
в трудоспособном возрасте2)
|
в возрасте 15-72 года
|
в трудоспособном возрасте2)
|
| 2000
|
65,1
|
78,2
|
58,7
|
70,4
|
9,8
|
10,0
|
1,4
|
| 2001
|
64,1
|
77,0
|
58,4
|
70,1
|
8,8
|
9,0
|
1,6
|
| 2002
|
64,9
|
77,2
|
59,4
|
70,5
|
8,5
|
8,7
|
2,1
|
| 2003
|
65,2
|
77,0
|
60,1
|
70,8
|
7,8
|
8,0
|
2,3
|
| 2004
|
65,4
|
76,6
|
60,2
|
70,4
|
7,9
|
8,1
|
2,6
|
| 2005
|
66,2
|
76,9
|
61,5
|
71,3
|
7,1
|
7,3
|
2,5
|
| 2006
|
66,2
|
76,8
|
61,8
|
71,5
|
6,7
|
7,0
|
2,3
|
| 2007
|
67,0
|
77,3
|
63,2
|
72,8
|
5,7
|
5,9
|
2,1
|
| 2008
|
67,8
|
78,6
|
63,1
|
73,0
|
7,0
|
7,1
|
2,0
|
С переходом России к рыночным отношениям большое значение стало придаваться анализу баланса трудовых ресурсов, который представляет собой систему статистических показателей, отражающих количественные характеристики двух важнейших составляющих использования трудовых ресурсов: формирования (наличие и источники воспроизводства) и распределения трудовых ресурсов по сферам и видам экономической деятельности.
Статистический анализ количественных характеристик формирования трудовых ресурсов осуществляется с помощью следующих показателей.
Абсолютный прирост трудовых ресурсов (АПтр ) рассчитывается как разность численностей трудовых ресурсов на конец и начало года:
(21)
где ТРп - численность трудовых ресурсов на конец года; ТР0 - численность трудовых ресурсов на начало года
Темп роста (Тр ) рассчитывается как отношение абсолютных величин численности трудовых ресурсов на конец и начало года.
Определяем вначале коэффициент роста:
(22)
затем определяем темп роста, который равен коэффициенту роста, умноженному на 100%:
(23)
Темп прироста (Тпр ) равен темпу роста минус 100%:
(24)
Таблица 7 – Численность экономически активного населения РФ, тыс.чел.
| |
2000
|
2001
|
2002
|
2003
|
2004
|
2005
|
2006
|
2007
|
2008
|
| Численность экономически активного населения
|
72332
|
71411
|
72421
|
72835
|
72909
|
73811
|
74156
|
75060
|
75892
|
| занятые в экономике
|
65273
|
65124
|
66266
|
67152
|
67134
|
68603
|
69157
|
70814
|
70603
|
| безработные
|
7059
|
6288
|
6155
|
5683
|
5775
|
5208
|
4999
|
4246
|
5289
|
| Численность безработных, зарегистрированных в государственных учреждениях службы занятости (на конец года)
|
1037
|
1123
|
1500
|
1639
|
1920
|
1830
|
1742
|
1553
|
1522
|
| Из них безработные, которым назначено пособие по безработице
|
909
|
1007
|
1293
|
1305
|
1624
|
1570
|
1522
|
1305
|
1253
|
Рассчитанные на основе абсолютных величин относительные показатели более наглядно иллюстрируют различия в уровне и динамике занятости и безработицы в эти годы в РФ (таблица 7).
Таблица 8 – Динамика занятости и безработицы в РФ (в % от экономически активного населения)
| Показатели
|
2000 г.
|
2001 г.
|
2002 г.
|
2003 г.
|
2004 г.
|
2005 г.
|
2006 г.
|
2007 г.
|
2008г.
|
| Экономически активное население - всего
|
100,0
|
100,0
|
100,0
|
100,0
|
100,0
|
100,0
|
100,0
|
100,0
|
100,0
|
| Занято в экономике - всего
|
90,24
|
91,19
|
91,5
|
92,19
|
92,08
|
92,94
|
93,25
|
94,34
|
93,03
|
| Безработные - всего
|
9,76
|
8,81
|
8,5
|
7,81
|
7,92
|
7,06
|
6,75
|
5,66
|
6,97
|
| Численность безработных, зарегистрированных в службы занятости - всего
|
1,4
|
1,6
|
2,1
|
2,3
|
2,6
|
2,5
|
2,3
|
2,1
|
2,0
|
Анализ данных этих двух таблиц свидетельствует о росте численности экономически активного населения, увеличении уровня занятости и снижении уровня безработицы в России, а так же о повышении официально зарегистрированной безработицы.
Глава 2 Статистика уровня жизни населения
2.1 Анализ основных показателей уровня жизни населения
Под уровнем жизни населения в статистике понимается обеспеченность населения теми благами и услугами, которые необходимы и достаточны для удовлетворения как жизненно важных материальных потребностей людей (питание, одежда, жилище, предметы культуры и быта), так и социально-культурных (труд, занятость, досуг, здоровье, образование, природная среда обитания и т.д.).
В денежном выражении вся данная совокупность благ и услуг, фактически потребляемых в течение данного времени в домохозяйстве, представляет собой стоимость жизни.
В статистике выделяют следующие виды уровня жизни:
- достаток (пользование благами и услугами, которые обеспечивают всестороннее развитие человека);
- нормальный уровень (потребление благ и услуг по научно обоснованным нормам, которые достаточны для полноценного восстановления физических и интеллектуальных сил человека);
- бедность (потребление благ и услуг на уровне возможности сохранения работоспособности человека);
- нищета (минимальное потребление благ и услуг на уровне биологического выживания человека).
Чтобы получить всю совокупность характеристик по уровню жизни, исследуются все статистические совокупности:
- население в целом;
- отдельные социальные и профессиональные группы;
- домохозяйства с различным доходом.
В мировой практике накоплен определенный опыт по комплексному исследованию уровня жизни населения по основным социально-экономическим показателям, из которых можно выделить следующие:
- показатели прожиточного минимума;
- показатели дифференциации населения;
- показатели денежных доходов (в среднем на душу населения в месяц);
- средний размер пенсий;
- показатели расходов и потребления населения;
- показатели покупательной способности населения;
- достигнутый уровень образования;
- показатели расходов в социальной сфере;
- продолжительность жизни и уровень рождаемости и т.д.
Информационными источниками для построения системы показателей по уровню жизни населения являются данные из материалов различных разделов государственной статистики (демографической, статистики труда, статистики цен, социальной статистики), материалы выборочных обследований бюджетов домохозяйств, материалы переписи населения (приложение 9).
Обобщающим показателем уровня жизни населения является индекс развития человеческого потенциала (ИРЧП). Он предложен группой специалистов Программы развития ООН и включает 3 показателя, отражающих наиболее важные аспекты уровня жизни:
- ожидаемая продолжительность жизни при рождении (I1);
- достигнутый уровень образования (I2);
- реальный объем ВВП в расчете на душу населения в долларах США на основе паритета покупательной способности (ППС) (I3).
ИРЧП = (I1 + I2 + I3) / 3 (25)
Расчет индекса каждого показателя (за исключением индекса реального объема ВВП):
, (26)
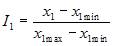
где xi, xi min, xi max -фактическое, минимальное и максимальное значение i-го показателя.
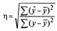
1) Индекс ожидаемой продолжительности жизни при рождении (I1):
. (27)
2) Индекс достигнутого уровня образования (I2):
, (28)
где i21 – индекс грамотности взрослого населения (в возрасте 15 лет и старше);
i22 – индекс коэффициента поступивших в начальные, средние и высшие учебные заведения. Рассчитывается для лиц моложе 24 лет.
3) Индекс реального объема ВВП в расчете на душу населения:
. (29)
Таблица 9 - Предельные значения исходных показателей ИРЧП
| Показатель
|
Максимальное
значение
|
Минимальное
значение
|
| Ожидаемая продолжительность жизни при рождении (лет):
|
x1 min
|
85
|
x1 max
|
25
|
| Уровень грамотности взрослого населения (%)
|
x21 min
|
100
|
x21 max
|
0
|
| Коэффициент поступивших в начальные, средние и высшие учебные заведения (%)
|
x22 min
|
100
|
x22 max
|
0
|
| Реальный ВВП на душу населения (долл. США по ППС)
|
x3 min
|
40000
|
x3 max
|
100
|
Россия занимает 73 место в списке с индексом ИРЧП = 0,806 (что является довольно высоким показателем, но при этом этот индекс в России на 2008 год хуже, чем в Белоруссии и Казахстане). Индекс стал падать с началом 90-х из-за сокращения ВВП и повышения смертности. В 1992 Россия занимала 52 место,1995 — 114, в 2004 — 57 [1], в 2005 — 62 с индексом 0,795 [2], в 2006 — 65 с индексом 0,797 [3], в 2007 году — 67 место с индексом 0,802 [4]. Однако, следует учитывать, что индекс составляется с отставанием в два года, поэтому цифры, опубликованные ООН 27 ноября 2007 года на самом деле относятся к 2005. От своих соседей по таблице Россия отличается очень низкой продолжительностью жизни и чуть снизившимся уровнем образования.
Индекс сильно варьируется по регионам России. По данным Независимого Института Социальной Политики [5], в 2006 году наивысший среди российских регионов ИРЧП у города Москвы — 0,907 (что сопоставимо с такими странами как Германия, Италия и др.), в то время как наименьший индекс у Республики Тувы — 0,691 (сопоставим с Киргизией, Таджикистаном и др.). При этом важно отметить, что индекс для Москвы и Санкт-Петербурга завышен, в то время как занижен для Московской и Ленинградской областей. Такая ситуация получается из-за того, что отдельная часть Индекса РЧП считается как отношение студентов ВУЗов к общему числу учащихся. Однако значительная (если не подавляющая) часть студентов-жителей соответствующих областей учится в двух федеральных городах, внося тем самым вклад в их индекс (для Москвы вклад в ИРЧП индекса образования — 0,999, для Санкт-Петербурга — 0,985). Большинство же российских регионов относятся к категории со значением индекса 0,750-0,799, что вполне сопоставимо с такими странами, как Казахстан, Украина и др.
2.2 Анализ доходов населения
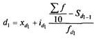
2.2.1 Анализ номинальных и располагаемых доходов населения
Центральное место в системе показателей жизненного уровня занимают показатели доходов населения. В их состав включаются все денежные и натуральные поступления населению за исследуемый период. Существуют следующие основные виды доходов населения:
1) доходы от занятий (оплата труда);
2) доходы от личного подсобного хозяйства;
3) пенсии, пособия, стипендии, дотации на путевки в санатории, дома отдыха, профилактории, детские оздоровительные лагеря, на содержание детей в детских дошкольных учреждениях;
4) доходы из других источников.
Доходы населения имеют как денежную, так и натуральную форму. Подавляющее большинство доходов поступает населению в виде денег. Натуральными доходами являются доходы от личного подсобного хозяйства, доходы фермеров, часть фонда оплаты труда, большая часть благотворительной помощи.
При изучении доходов населения большое значение имеет его группировка по источникам средств существования и дохода. Эта группировка охватывает все население, независимо от возраста. При этом выделяются следующие источники:
1) заработная плата на предприятии, организации, учреждении всех форм собственности, оплата труда в колхозе. Помимо лиц, работающих постоянно в этих экономических единицах, сюда относятся лица, занятые на сезонных или вахтовых работах; лица, находящиеся в неоплачиваемых вынужденных отпусках; лица, находящиеся в трудовых конфликтах с владельцами и администрацией; женщины, находящиеся в отпуске по уходу за ребенком; служители культа; учащиеся в аспирантуре, ординатуре, адъюнктуре;
2) доход от предпринимательской деятельности. В эту группу входят предприниматели (предприниматель – лицо, исполняющее труд хотя бы одного наемного работника); уличные торговцы; лица, занятые индивидуальной трудовой деятельностью; лица, свободных профессий (частнопрактикующие врачи, учителя, юристы; писатели, артисты, композиторы, не состоящие в штате какого-либо учреждения);
3) доход от фермерского хозяйства;
4) доход от работы по найму у отдельных граждан (домработницы, охрана, водители, воспитательницы и т.п.);
5) доходы от личного подсобного хозяйства. Сюда относят доходы лиц, занятых личным подсобным хозяйством, если оно имеет приоритетное значение для домохозяйства;
6) доходы от собственности. Эта группа охватывает население, основным источником средств существования которого служат рента, проценты, дивиденды, курсовая разница от реализации ценных бумаг, выигрыши по займам; сдачи в аренду жилья, непроизводственных помещений, земельных участков, транспортных средств, недвижимости, орудий труда (компьютеров, машин, оборудования и т.п.);
7) стипендия, пенсии по старости или за выслугу лет, пенсии по инвалидности или по случаю потери кормильца;
8) пособие по безработице; другие виды пособий (на детей, на больных СПИДом и т.п.);
9) другой вид государственного обеспечения. В эту группу входят лица, живущие в домах ребенка, школах-интернатах; домах инвалидов и престарелых и т.п.;
10) на иждивении отдельных лиц – это члены домохозяйства, живущие за счет других членов домохозяйства;
11) прочие источники; не указавшие источник средств существования.
Для измерения уровня и структуры доходов населения используется ряд показателей, характеризующих их в различных аспектах. Одним из основных показателей является объем личных доходов населения – все виды доходов населения, полученных в денежной форме или в натуре. Этот показатель может быть рассчитан прямым путем для отдельных домохозяйств на основе статистики семейных бюджетов, однако он не отражает ни общих, ни реальных доходов населения. Совокупные (общие) доходы населения (СДН) определяются суммированием личных доходов и стоимости бесплатных или на льготных условиях предоставленных населению услуг за счет общественных фондов потребления. Стоимость услуг определяется расчетным путем.
Названные показатели, рассчитанные в ценах текущего периода, называются номинальными показателями доходов. Они не определяют реального содержания доходов, т.е. не показывают, какое количество материальных благ и услуг доступно населению при сложившемся уровне доходов. Владельцы дохода могут в окончательном виде располагать лишь частью номинального дохода, так как должны уплатить индивидуальные налоги и сделать другие обязательные отчисления. Вычитая из личных номинальных доходов (ЛНД) налоги, обязательные платежи и взносы в общественные организации (НП), находят личные располагаемые доходы (ЛРД) населения – ту часть личных доходов, которую владельцы их направляют на потребление и сбережение:
ЛРД = ЛНД - НП. (30)
Доля этой части в общем объеме доходов составит
(31)
Среднедушевые денежные доходы исчисляются как отношение общей суммы денежных доходов населения за год (или текущий период) к среднегодовой численности наличного населения.

В 2009г. объем денежных доходов населения сложился в размере 28388,8 млрд.рублей и увеличился на 12,5% по сравнению с 2008 годом. Население израсходовало средств на покупку товаров и оплату услуг 19635,6 млрд.рублей, что на 5,0% больше, чем в 2008 году. Сбережения за этот период составили 5602,3 млрд.рублей, что на 67,3% больше, чем в предыдущем году.
2.2.2 Анализ показателей динамики реальных доходов населения
Между номинальными и реальными величинами доходов могут быть существенные расхождения в связи с изменением покупательной способности денег – показателя, обратного уровню цен. Реальное значение показатели дохода приобретают, если для расчетов используются постоянные цены либо их изменение учитывается (компенсируется) с помощью индексов покупательной способности денег (Iп.с.д.) или индексов цен на потребительские товары и услуги (Ip). С поправкой на изменение потребительских цен рассчитывается величина реальных располагаемых доходов населения:
(32)
Аналогично рассчитываются реальные общие доходы (РОД) населения – как совокупные доходы (СДН) с поправкой на покупательную способность денег:
(33)
Для характеристики динамики этих показателей строятся соответствующие индексы, например индекс реальных располагаемых доходов:
(34)
Отсюда следует, что скорость изменения реальных доходов зависит от трех факторов: темпов роста номинальных доходов, изменения ставок налоговых платежей и изменения покупательной способности денег.
Реальные располагаемые денежные доходы
, по оценке, в 2009г. по сравнению с 2008г. увеличились на 1,9%, в декабре 2009г. по сравнению с соответствующим периодом 2008г. - на 7,6%.
Таблица 10 – Динамика реальных располагаемых денежных доходов
| В % к
|
| соответствующему периоду предыдущего года
|
предыдущему периоду
|
| 2008г.
|
| Январь
|
108,0
|
50,5
|
| Февраль
|
110,3
|
125,4
|
| Март
|
104,4
|
100,2
|
| I квартал
|
107,5
|
73,5
|
| Апрель
|
109,7
|
110,2
|
| Май
|
103,9
|
94,7
|
| Июнь
|
103,7
|
105,0
|
| II квартал
|
105,7
|
115,9
|
| I полугодие
|
106,6
|
|
| Июль
|
106,0
|
102,5
|
| Август
|
108,3
|
102,6
|
| Сентябрь
|
99,3
|
92,3
|
| III квартал
|
104,5
|
103,0
|
| Январь-сентябрь
|
105,8
|
|
| Октябрь
|
98,7
|
99,5
|
| Ноябрь
|
94,2
|
102,2
|
| Декабрь
|
88,7
|
129,4
|
| IV квартал
|
93,1
|
106,0
|
| Год
|
101,9
|
|
| 2009г.1)
|
| Январь
|
94,4
|
53,7
|
| Февраль
|
101,3
|
134,5
|
| Март
|
104,1
|
103,0
|
| I квартал
|
100,4
|
76,6
|
| Апрель
|
101,9
|
107,9
|
| Май
|
104,4
|
97,1
|
| Июнь
|
102,9
|
103,4
|
| II квартал
|
103,1
|
119,0
|
| I полугодие
|
101,8
|
|
| Июль
|
97,7
|
97,4
|
| Август
|
91,5
|
96,1
|
| Сентябрь
|
102,4
|
103,3
|
| III квартал
|
97,1
|
97,1
|
| Январь-сентябрь
|
100,1
|
|
| Октябрь
|
109,9
|
106,8
|
| Ноябрь
|
103,5
|
96,2
|
| Декабрь
|
107,6
|
134,5
|
| IV квартал
|
107,0
|
116,9
|
| Год
|
101,9
|
|

В декабре 2009г. денежные доходы населения
сложились в сумме 3311,4 млрд.рублей и увеличились по сравнению с декабрем 2008г. на 17,5%, д
енежные расходы населения
- соответственно 3061,4 млрд.рублей и на 8,7%. Превышение денежных доходов населения над расходами составило 250,0 млрд.рублей.
В структуре денежных доходов населения в IV квартале 2009г. по сравнению с соответствующим периодом 2008г. возросла доля оплаты труда (включая скрытую заработную плату), социальных выплат и доходов от собственности при снижении доходов от предпринимательской деятельности.
2.2.3 Методы изучения дифференциации доходов и уровня бедности
В связи с переходом к рыночным отношениям в последние годы в России резко обострился процесс расслоения общества, возникла необходимость применения широко используемых в международной статистической практике методик анализа социально-экономической дифференциации населения по денежным доходам на основе выборочного обследования бюджетов домашних хозяйств.
Важнейшим инструментом такого анализа является построение распределения населения по уровню среднедушевого денежного дохода, позволяющее производить сравнительную оценку благосостояния отдельных групп населения. Особое внимание при этом уделяется низкодоходным социальным группам, нуждающимся в целенаправленной социальной политике государства.
К числу важнейших методов изучения дифференциации доходов населения относится построение вариационных рядов, и на их основе, - статистических рядов распределения населения по уровню среднедушевых денежных доходов, представляющих собой ранжированные и сгруппированные в определенных интервалах по величине дохода результаты наблюдения.
Для характеристики дифференциации доходов населения и уровня бедности рассчитываются следующие показатели:
- модальный доход – уровень дохода наиболее часто встречающихся среди населения;
- медианный доход – показатель дохода, находящегося в середине ранжированного ряда распределения. Половина населения имеет доход ниже медианного, а вторая половина – выше;
- средний доход – общий средний уровень дохода всего населения;
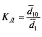
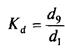
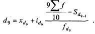
- дециальный коэффициент дифференциации доходов населения (Кd), показывающий, во сколько раз минимальные доходы 10% самого богатого населения превышают максимальные доходы 10% наименее обеспеченного населения:
, (35)
где d9, d1 – девятый и первый дециль соответственно.
Нижний дециль (d1) (самые низкие доходы) определяются по формуле:
. (36)
Верхний предел (d9) – (самые высокие доходы) определяются по формуле:
(37)
Коэффициент фондов (Кд) – соотношение между средними доходами в десятой и первой дециальной группах:
, (38)
где и - среднедушевой доход 10% населения с наименьшими доходами и 10% населения с самыми высокими доходами.
При расчете среднего дохода 10% населения в знаменателе показателей и находятся одинаковые значения, поэтому коэффициент фондов можно исчислить как:
, (39)
где Д1 и Д10 – суммарный доход 10% самой бедной и 10% самой богатой частей населения соответственно.
Коэффициент концентрации доходов Джини (КG), характеризующий степень неравенства в распределении доходов населения, определяется по формуле:
, (39)
где xi – доля населения, принадлежащая к (i-1) социальной группе в общей численности населения;
yi – доля доходов, сосредоточенная у i-той социальной группы населения;
n – число социальных групп;
cum yi – кумулятивная (исчисленная нарастающим итогом) доля дохода.
Коэффициент Джини изменяется в пределах от 0 до 1. При равномерном распределении этот коэффициент стремится к нулю, а чем выше поляризация доходов в обществе, тем он ближе к единице.
Таблица 11 – Коэффициент Джинни
| 2000
|
2001
|
2002
|
2003
|
2004
|
2005
|
2006
|
2007
|
2008
|
| Коэффициент Джини (индекс концентрации доходов)
|
0,395
|
0,397
|
0,397
|
0,403
|
0,409
|
0,409
|
0,416
|
0,423
|
0,423
|
Мы видим, что в последние годы коэффициент Джини возрастает, что означает рост неравенства в распределении доходов населения. На 2008 год коэффициент составил 0,423, что говорит о том что поляризация общества остается достаточно высокой.
При статическом изучении уровня и границ бедности, прежде всего, устанавливается граница дохода, обеспечивающая потребление на минимально допустимом уровне, т.е. определяется стоимостная величина прожиточного минимума, с которой сравниваются фактические доходы отдельных слоев населения.
Прожиточный минимум представляет собой стоимостную оценку минимального набора продуктов питания, необходимого для сохранения здоровья человека и поддержания его жизнедеятельности, а также расходы на непродовольственные товары и услуги, налоги и обязательные платежи, исходя из доли затрат на эти цели в бюджетах низкодоходных групп населения; используется в качестве критерия бедности при характеристике процессов социально-экономической дифференциации.
Рассчитывается величина прожиточного минимума на основе методических рекомендаций, утвержденных Министерством труда Российской Федерации 10 ноября 1992г.
Она определяется в расчете на «среднестатистического» жителя и для различных социально-демографических групп населения с учетом научно обоснованных норм, национальных и других особенностей потребления, а так же реальных возможностей экономики. По отдельным половозрастным группам прожиточный минимум заметно различается.
Прожиточный минимум существенно зависит от цен, поэтому в условиях инфляции он непрерывно изменяется.
В настоящее время наряду с общим прожиточным минимумом определяется физиологический минимум.
Прожиточный (физиологический) минимум – суммарная стоимость товаров и услуг, которую можно рассматривать как нижний предел, позволяющий поддержать физическое состояние, но лишь в течение определенного времени. Жизненно необходимый уровень потребления включает только расходы на питание, самые необходимые предметы санитарии и гигиены, лекарства, коммуникальные услуги и другие обязательные платежи.
Бедность является одной из важнейших характеристик неравенства в распределении доходов. Уровень бедности – удельный вес населения с доходами ниже прожиточного минимума в общей численности населения выступает информативным показателем социально-экономического положения страны. Обычно бедность определяется как состояние, когда экономических ресурсов не хватает для обеспечения прожиточного минимума.
На основе данных о доходах бедного населения рассчитываются относительно новые для социальной статистики показатели:
- дефицит дохода оценивается как суммарный доход малоимущего недостающий до величины прожиточного минимума.
- коэффициент глубины бедности характеризует дефицит дохода обследуемых домохозяйств в виде среднего простого отклонения их доходов от прожиточного минимума в расчете на одно домохозяйство.
- коэффициент остроты бедности также отражает дефицит дохода обследуемых домохозяйств, но рассчитывается по средневзвешенному отклонению их доходов от прожиточного минимума (т.е. придается больший вес домохозяйствам с более высоким дефицитом дохода).
2.3 Анализ расходов населения
2.3.1 Выявление основной тенденции развития уровня индивидуального потребления методом аналитического выравнивания
Денежные расходы населения – это использование доходов населения на покупку товаров и оплату услуг и различного рода платежи: обязательные платежи и профсоюзные взносы (налоги, сборы, платежи по страхованию, взносы в общественные и кооперативные организации, возврат банковских ссуд), покупку иностранной валюты, а также прирост сбережений во вкладах и ценных бумагах. При этом в СНС проводится различие между расходами на конечное потребление и объемом фактического конечного потребления.
Расходы на конечное потребление домашних хозяйств включают:
1. расходы за счет личного бюджета на покупку потребительских товаров;
2. расходы на оплату потребительских товаров;
3. потребление продуктов в натуральной форме, произведенных домашними хозяйствами для собственного конечного потребления;
4. потребление продуктов, полученных домашними хозяйствами в натуральной форме в качестве оплаты труда;
5. услуги по проживанию в собственном жилище
Объем фактического потребления домашних хозяйств – реальная величина конечного потребления, которое обеспечивается как за счет реального дохода, так и за счет социальных трансфертов в натуральной форме, предоставляемых населению органами государственного управления, и некоммерческими организациями, обслуживающими домашние хозяйства.
Основным показателем потребления служит уровень индивидуального потребления как средний размер потребления определенных товаров и услуг на душу населения. Он рассчитывается в виде отношения годового объема потребляемых товаров и услуг по видам к среднегодовой численности населения как в целом, так и по отдельным социальным группам, группам по доходу, возрасту, характеру занятий.
Важнейшим способом количественного выражения общей тенденции изменения уровней потреблении (динамического ряда) является аналитическое выравнивание ряда динамики, которое позволяет получить описание плавной линии развития ряда. При этом эмпирические уровни заменяются уровнями, которые рассчитываются на основе определенной кривой, где уравнение рассматривается как функция времени. Вид уравнения зависит от конкретного характера динамики развития. Его можно определить как теоретически, так и практически. Теоретический анализ основывается на рассчитанных показателях динамики. Практический анализ - на исследовании линейной диаграммы.
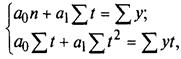
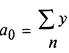
Рассмотрим выравнивание уровней потребления по прямой: . Параметры а0
и а1
согласно методу наименьших квадратов находятся решением следующей системы нормальных уравнений:
(40)
где у – фактические (эмпирические) уровни ряда;
t – время (порядковый номер периода или момента времени).
Таблица 12 – Выравнивание по прямой ряда динамики уровней потребления в РФ
| Год
|
Фактическое конечное потребление на душу населения, руб.
|
t
|

|
y*t
|

|

|
|
| 2000
|
26014
|
-4
|
16
|
-104056
|
12393,7
|
13620,29
|
185512299,7
|
| 2001
|
34347
|
-3
|
9
|
-103041
|
29182,6
|
5164,44
|
26671440,51
|
| 2002
|
43976
|
-2
|
4
|
-87952
|
45971,4
|
-1995,41
|
3981661,068
|
| 2003
|
53330
|
-1
|
1
|
-53330
|
62760,3
|
-9430,26
|
88929803,67
|
| 2004
|
68240
|
0
|
0
|
0
|
79549,1
|
-11309,11
|
127895969
|
| 2005
|
86582
|
1
|
1
|
86582
|
96338
|
-9755,96
|
95178755,52
|
| 2006
|
106401
|
2
|
4
|
212802
|
113127
|
-6725,81
|
45236520,16
|
| 2007
|
131882
|
3
|
9
|
395646
|
129916
|
1966,34
|
3866492,996
|
| 2008
|
165170
|
4
|
16
|
660680
|
146705
|
18465,49
|
340974320,9
|
| Итого
|
715942
|
0
|
60
|
1007331
|
715942
|
0,01
|
918247263,5
|
Из таблицы 12 найдем = 715942; = 1007331; = 60; откуда
, а0
= 79549,11; , а1
= 16788,85. Уравнение прямой, представляющее собой трендовую модель искомой функции, будет иметь вид: = 79549,11 + 16788,85t.
Полученное уравнение показывает, что несмотря на незначительные колебания, наблюдается тенденция увеличение потребления на душу населения: с 2000 по 2008 гг. уровень потребления возрастал на а1
= 16788,85 руб. в год.
Фактические и расчетные значения потребления представлены в виде диаграммы.

2.3.2 Индексный анализ показателей потребления
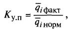
Сравнение фактического потребления отдельных товаров с нормативным позволяет определить уровень удовлетворения потребности населения в данном товаре.
Коэффициент удовлетворения потребности в i-м товаре имеет вид:
(41)
где факт – фактическое потребление i-го товара в среднем на душу населения;
норм – нормативный уровень потребления i-го товара в среднем на душу населения;
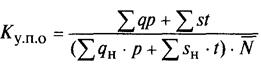
Коэффициент удовлетворения потребностей населения по всем потребительским товарам и услугам (К у.п.о.) определяется в агрегатной форме:
, (42)
где p – цена товара;
q- количество фактически потребленных товаров;
s – количество фактически потребленных услуг;
t – фактический тариф за определенную услугу;
qн – норматив потребления определенного товара на душу населения;
sн – норматив потребления определенного вида услуг на душу населения;
N - средняя численность населения за период.
Разность числителя и знаменате6ля этого показателя определяет стоимость общего недопотребления товаров и услуг по сравнению с нормативным его уровнем.
Динамика общего и среднедушевого потребления изучается с помощью индексов. По отдельным видам товаров рассчитываются индивидуальные индексы изменения потребления:
общего потребления i-го товара: (43)
где ∑qi1, ∑qi10 - объемы потребления i – го товара в натуральном выражении в отчетном и базисном периодах соответственно;
среднедушевого потребления i-го товара: (44)
где N1
,N0
- средняя численность населения в отчетном и базисном периодах, соответственно;
разница между числителем и знаменателем индексов показывает абсолютное изменение соответственно общего и среднедушевого потребления i-го товара:
(45)
Потребление населением услуг измеряется так же, как и товаров. При этом должна быть обеспечена сопоставимость цен (тарифов – t) на услуги в отчетном и базисном периодах в результате использования сопоставимой (базисной) цены или применения метода дефлятирования.
Динамика общего потребления населением товаров и услуг характеризуется агрегатным индексом объема потребления:
(46)
где q1, q0; s1,s0 – количество потребленных в отчетном и базисном периодах соответственно товаров и услуг;
p0, t0 – цена товара и тариф за определенную услугу в базисном периоде.
Для изучения динамики потребления отдельных групп товаров или услуг применяется средний гармонический индекс физического объема следующего вида:
(47)
где ip – индивидуальные индексы цен на отдельные товары и услуги.
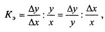
Для изучения зависимости объема потребления от дохода в социальной статистике на практике используется коэффициент эластичности потребления от изменения дохода, который показывает, насколько процентов возрастает (или снижается) потребление товаров и услуг при росте дохода на 1% (формула А. Маршалла):
(48)
где x, y – начальный доход и потребление;
Δx, Δy – их приращение за некоторый период.
Если коэффициент эластичности отрицательный, то с ростом доходов потребление «малоценных» (низкого качества) товаров уменьшается
Если Кэ>1, то потребление растет быстрее доходов.
Если Кэ=1, то между доходом и потреблением существует пропорциональная зависимость.
Если Кэ<1, то потребление увеличивается медленнее, чем доход.
Таблица 13 – Потребление продуктов питания в России (на душу населения в год)
| 2006
|
2007
|
2008
|
Рациональная норма
|
Коэффициент удовлетворения потребности в i-м товаре
|
| мясо и мясопродукты, кг
|
53
|
56
|
61
|
70
|
0,87
|
| молоко и молочные продукты, л
|
239
|
242
|
243
|
360
|
0,68
|
| яйца, шт
|
256
|
254
|
254
|
265
|
0,96
|
| рыба и рыбопродукты, кг
|
13,1
|
13,9
|
15
|
33
|
0,45
|
| сахар и кондитерские изделия, кг
|
39
|
39
|
40
|
35,3
|
1,13
|
| картофель, кг
|
132
|
132
|
111
|
105
|
1,06
|
| овощи и бахчевые, кг
|
106
|
110
|
100
|
140
|
0,71
|
| фрукты и ягоды, кг
|
51
|
54
|
53
|
75
|
0,71
|
| хлебные продукты
|
121
|
121
|
120
|
105
|
1,14
|
Как видно из таблицы 13, душевое потребление основных продуктов питания в стране увеличилось за период с 2006 г по 2008 г (исключение составляют картофель и овощи). По некоторым продуктам потребление не отвечает не только рациональным, но даже минимальным нормам.
Если рассчитать Кэ, то мы увидим, что для данных продуктов питания показатель меньше 1, что означает, что потребление продуктов питания в России увеличивается медленнее, чем доход, а следовательно, указанные продукты являются малоэластичным товаром.
Глава 3 Корреляционно-регрессионный анализ влияния факторов на изменение уровня жизни населения
3.1 Однофакторный линейный корреляционный и регрессионный анализ
Корреляцией называется такая связь между двумя варьирующими признаками в статистической совокупности, при которой различиям в величине одного из них соответствует закономерное различие между средними значениями другого. Задачами корреляционно – регрессионного анализа являются отражение статистической связи в форме уравнения регрессии (регрессионной анализ) и измерение тесноты связи (корреляционный анализ), т.е. измерение всех основных параметров статистической связи.
Уровень жизни населения во многом зависит от доходов населения, основным источником которых является заработная плата. Рассмотрим методику проведения корреляционно-регрессионного анализа (КРА) зависимости между уровнем заработной платы населения и численностью населения с доходами ниже прожиточного минимума, чем больше уровень заработной платы, тем ниже уровень бедного населения.
Важнейшей задачей является определение формы связи с последующим расчетом параметров уравнения, или, иначе, нахождение уравнения связи (уравнения регрессии). Мы рассмотрим прямолинейную форму связи, которая выражается уравнением:
(49)
Параметры для этого уравнения связи определим из системы нормальных уравнений, которые должны отвечать требованию метода наименьших квадратов (МНК):

(50)
Таблица 13 - Зависимость между уровнем заработной платы населения и численностью населения с доходами ниже прожиточного минимума
| Исходные данные
|
Расчетные данные
|
| Годы
|
Среднемесячная номинальная начисленная заработная плата работающих в экономике, руб. (х)
|
Численность населения с денежными доходами ниже величины прожиточного минимума: млн. человек (у)
|

|

|

|

|
| 2000
|
2223,4
|
42,3
|
4943507,56
|
1789,29
|
94049,82
|
37,8300957
|
| 2001
|
3240,4
|
40
|
10500192,16
|
1600
|
129616
|
36,1878136
|
| 2002
|
4360,3
|
35,6
|
19012216,09
|
1267,36
|
155226,68
|
34,3793655
|
| 2003
|
5498,5
|
29,3
|
30233502,25
|
858,49
|
161106,05
|
32,541366
|
| 2004
|
6739,5
|
25,2
|
45420860,25
|
635,04
|
169835,4
|
30,537362
|
| 2005
|
8554,9
|
25,2
|
73186314,01
|
635,04
|
215583,48
|
27,6057996
|
| 2006
|
10633,9
|
21,5
|
113079829,2
|
462,25
|
228628,85
|
24,248568
|
| 2007
|
13593,4
|
18,7
|
184780523,6
|
349,69
|
254196,58
|
19,4694786
|
| 2008
|
17290,1
|
18,5
|
298947558
|
342,25
|
319866,85
|
13,4999366
|
| Итого
|
72134,4
|
256,3
|
780104503,1
|
7939,41
|
1728109,71
|
256,299786
|
| Средние значения
|
8014,933333
|
28,47777778
|
86678278,12
|
882,1566667
|
192012,19
|
Для уточнения формы связи между рассматриваемыми признаками используем графический метод. Нанесем на график точки, соответствующие значениям х и у (см. табл.13), получим корреляционное поле, а соединив их отрезками – ломанную регрессию.

Параметры уравнения парной линейной регрессии исчислим по следующим формулам:

или по другим формулам, дающим тот же результат:
 Мы получим следующие значения а0
=41,42050876; а1
= - 0,00161483.
Следовательно регрессионная модель распределения заработной платы по численности населения с денежными доходами ниже прожиточного минимума для данного примера может быть записана в виде конкретного простого уравнения регрессии: = 41,4205 - 0,0016х. Расчетные значения , найденные по данному уравнению, приведены в таблице 13.
В рассмотренном уравнении =41,4205-0,0016х, характеризующем зависимость численности населения с доходами ниже прожиточного минимума у от среднемесячной заработной платы х, параметр а1
0. Следовательно с возрастанием уровня среднемесячной заработной платы численность населения с доходами ниже прожиточного минимума, как и ожидалось, уменьшается. Из уравнения следует, что возрастание среднемесячной зарплаты на 1 рубль приводит к уменьшению численности населения с доходами ниже прожиточного минимума на 0,0016 млн человек.
3.2 Проверка адекватности регрессионной модели
Для практического использования моделей регрессии очень важна их адекватность, т.е. соответствие фактическим статистическим данным. Для проверки значимости коэффициентов регрессии исследуемого уравнения : = 41,4205 - 0,0016х исчислим t-критерий Стъюдента с v = 9-2=7 степенями свободы. Рассмотрим вспомогательную таблицу (табл. 14).
Таблица 14 – Расчетные значения необходимые для исчисления 
|
|

|

|

|

|

|
| 13,82222222
|
191,0538272
|
9,352317958
|
87,46585119
|
4,469904262
|
19,9800441
|
| 11,52222222
|
132,7616049
|
7,710035848
|
59,44465278
|
3,812186372
|
14,5327649
|
| 7,122222222
|
50,72604938
|
5,901587731
|
34,82873775
|
1,220634489
|
1,48994856
|
| 0,822222222
|
0,676049383
|
4,063588225
|
16,51274926
|
-3,24136601
|
10,5064536
|
| -3,27777778
|
10,74382716
|
2,059584195
|
4,241887056
|
-5,33736198
|
28,4874329
|
| -3,27777778
|
10,74382716
|
-0,871978187
|
0,760345959
|
-2,40579959
|
5,78787168
|
| -6,97777778
|
48,68938272
|
-4,229209757
|
17,88621517
|
-2,74856802
|
7,55462618
|
| -9,77777778
|
95,60493827
|
-9,008299142
|
81,14945343
|
-0,76947864
|
0,59209737
|
| -9,97777778
|
99,55604938
|
-14,9778412
|
224,3357271
|
5,000063423
|
25,0006342
|
| итого
|
640,5555556
|
526,6256197
|
113,931873
|
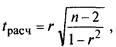
Значимость коэффициентов простой линейной регрессии осуществляют с помощью t-критерия Стьюдента. При этом вычисляют расчетные (фактические) значения t-критерия:
для параметра а0
(56)
для параметра а1
, (57)
где n – объем выборки;
- среднее квадратическое отклонение результативного признака у от выровненных значений ;
- среднее квадратическое отклонение факторного признака х от общей средней.
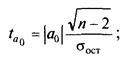
По данным таблицы 14 средние квадратические отклонения равны: = 3,557962487, = 4736,995. Расчетные значения t-критерия Стьюдента: = 30,80008; = 5,6882.
По таблице распределения Стьюдента для v=7 находим критическое значение t-критерия: (tтабл
=2,3646 при α=0,05). Поскольку расчетное значение tрасч
tтабл
, оба параметра а0
и а1
признаются значимыми.
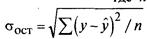
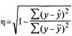
Проверка адекватности регрессионной модели может быть дополнена корреляционным анализом. Для этого необходимо определить тесноту корреляционной связи между переменными х и у. Рассчитаем теоретическое корреляционное отношение двумя способами:
1) , = 0,906718737
2) , = 0,90671707
Полученное значение теоретического корреляционного отношения свидетельствует о возможном наличии весьма тесной зависимости между рассматриваемыми признаками.
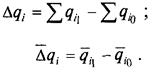
Подкоренное выражение корреляционного отношения представляет собой коэффициент детерминации, который равен 0,82213584. Отсюда заключаем, что 82,2 % общей вариации численности населения с доходами ниже прожиточного минимума обусловлено вариацией фактора – среднемесячной заработной платы, и только 17,8% общей вариации нельзя объяснить изменением уровня среднемесячной заработной платы.
Рассчитаем линейный коэффициент корреляции:
(58)
= -0,90671707.
Отрицательное значение данного коэффициента указывает на то, что связь между признаками обратная.
Для оценки значимости коэффициента корреляции r используем t-критерий Стьюдента. При линейной однофакторной связи t-критерий можно рассчитать по формуле:
(59)
Так, для коэффициента корреляции между численностью населения с доходами ниже прожиточного минимума и среднемесячной заработной платой получим |tрасч
|= 5,68822273. Это значительно больше критического значения t для n-2=7 степеней свободы и α=0,05 (tтабл
=2,3646243), что свидетельствует о значимости коэффициента корреляции и существенности связи между численностью населения с доходами ниже прожиточного минимума и среднемесячной заработной платой.
Таким образом, построенная регрессионная модель =41,4205-0,0016х в целом адекватна, и выводы, полученные по результатам малой выборки, можно с достаточной вероятностью распространить на всю гипотетическую генеральную совокупность.
Заключение
В данной курсовой работе были рассмотрены такие вопросы, как статистическая оценка населения и уровня его жизни, социальные нормативы и потребности, основные индикаторы уровня жизни, современный уровень жизни населения, социальная защищенность и борьба с бедностью.
Тенденции изменения состава населения в России на современном этапе складываются и развиваются на фоне общего социально-экономического кризиса. Все или почти все сегодняшние демографические проблемы России, идет ли речь о низкой рождаемости или высокой смертности, о суженном воспроизводстве населения или новых тенденциях процессов формирования и распадения семей, связаны с историческими изменениями в условиях жизни людей, происходящими во всех странах с высоким уровнем индустриализации и урбанизации. Но существует и Российская специфика. Это – высокая смертность от устранимых причин смерти, недостаточная обеспеченность репродуктивных прав женщины и семьи, низкий уровень репродуктивного здоровья, неразвитость методов планирования семьи, высокая материнская смертность и пр. Преодоление этих негативных тенденций требует длительных и разносторонних усилий, которые, по причине обычной ограниченности ресурсов, не могут быть предприняты одновременно и с одинаковой интенсивностью. Необходим правильный выбор приоритетов, который позволил бы сконцентрировать имеющиеся ресурсы на наиболее важных и перспективных направлениях действий, на решении проблем, которые, по тем или иным причинам достигли критической остроты.
Но кроме экономических есть и серьезные политико-идеологические препятствия. Усилия, направленные на развитие полового просвещения или служб планирования семьи в России, не всегда находят понимание общественного мнения.
Велико значение обобщающих статистических показателей в решении важнейших проблем при рассмотрении демографической политики. Они необходимы для определения роста населения, в изучении миграции населения, составляющей основу межрайонного перераспределения рабочей силы и достижения равномерности ее распределения.
Поскольку население в определенном аспекте изучают многие другие науки – здравоохранение, педагогика, социология и пр., необходимо использовать опыт этих наук, развивать их методы применительно к нуждам статистики.
Стоящие перед нашей страной задачи обновления должны затронуть и решение демографических проблем. Разработка комплексных программ экономического и социального развития должна включать в себя разделы по демографическим программам. Их решение должно способствовать развитию населения с наименьшими демографическими потерями.
Уровень жизни является одной из важнейших социальных категорий, которая характеризует структуру потребностей человека и возможности их удовлетворения. Важнейшими составляющими уровня жизни выступают доходы населения и его социальное обеспечение, потребление им материальных благ и услуг, условия жизни, свободное время.
Уровень жизни населения России постоянно изменяется. Но если смотреть тенденции этого изменения, то видно явное снижение уровня жизни населения России в последние годы. Несмотря на то, что и доходы и расходы населения с каждым годом растут, разница между доходами и расходами снижается. Это далеко не положительно влияет на благосостояние населения России.
Экономико-статистический анализ уровня жизни населения России проводится для того, чтобы улучшать те или иные условия жизни населения. Повышение уровня жизни – это не только результат экономического роста, но и его условие. В современной России наиболее актуальными проблемами повышения уровня жизни являются обеспечение занятости, усиление социальной защищенности населения, борьба с бедностью. Но, в настоящее время, в нынешней нестабильной экономической ситуации делать это становится все сложнее.
Список использованной литературы
1. Алексеев А.Р. – экономическая статистика: учебник (под ред. Иванова Ю.Н.) – М.: Инфра – М, 2006 – 736с.
2. Гусаров В.М. Теория статистики: Учеб. пособие для вузов. М.: Аудит, ЮНИТИ, 1998.
3. Елисеева И.И. Статистические методы измерения связей. - Л.: Изд-во ЛГУ, 1982.
4. Елисеева И.И., Юзбашев М.М. Общая теория статистики: Учебник для вузов. - М.: Финансы и статистика, 1995.
5. Ефимова М.Р. , Бычкова С.В. – Социальная статистика (под ред. Ефимовой М.Р.) – М.: ТК Велби Издательство Проспект, 2003 – 456с.
6. Курс социально-экономической статистики: Учебник для вузов/ Под ред. М.Г. Назарова. - М.: Финстатинформ, ЮНИ ТИ - ДАНА, 2000.
7. Об основных тенденциях развития демографической ситуации в России до 2015 г., М., 2008
8. Сироткина т.С., Хорин А.Н Статистическое моделирование и прогнозирование. - М.: Изд-во ВЗФЭИ, 1988.
9. Социальная статистика / Под ред. Елисеевой И.И., М., 1997
10. Социальное положение и уровень жизни населения России: статистический сборник – М. Росстат, 2009
11. Вопросы статистики: Ежемесячный научно-информационный журнал Госкомстата РФ. - М.: 2000 - 2009 гг.
12. Российский статистический ежегодник. – М. 2000-2009 гг.
Приложение 1
Численность населения
| Годы
|
Все население, млн.человек
|
в том числе
|
В общей численности населения, процентов
|
| городское
|
сельское
|
городское
|
сельское
|
| 2001
|
146,3
|
107,1
|
39,2
|
73
|
27
|
| 2002
|
145,2
|
106,4
|
38,8
|
73
|
27
|
| 2003
|
145,0
|
106,3
|
38,7
|
73
|
27
|
| 2004
|
144,2
|
105,8
|
38,4
|
73
|
27
|
| 2005
|
143,5
|
104,7
|
38,8
|
73
|
27
|
| 2006
|
142,8
|
104,1
|
38,7
|
73
|
27
|
| 2007
|
142,2
|
103,8
|
38,4
|
73
|
27
|
| 2008
|
142,0
|
103,8
|
38,2
|
73
|
27
|
| 2009
|
141,9
|
103,7
|
38,2
|
73
|
27
|
Приложение 2
Численность мужчин и женщин
| Годы
|
Все население, млн. человек
|
в том числе
|
В общей численности населения, процентов
|
Годы
|
Все население, млн. человек
|
в том числе
|
В общей численности населения, процентов
|
| мужчины
|
женщины
|
мужчины
|
женщины
|
мужчины
|
женщины
|
мужчины
|
женщины
|
| 1926
|
92,7
|
44,0
|
48,7
|
47
|
53
|
2002
|
145,2
|
67,6
|
77,6
|
47
|
53
|
| 1939
|
108,4
|
51,1
|
57,3
|
47
|
53
|
2003
|
145,0
|
67,5
|
77,5
|
47
|
53
|
| 1959
|
117,2
|
52,2
|
65,0
|
45
|
55
|
2004
|
144,2
|
67,0
|
77,2
|
46
|
54
|
| 1970
|
129,9
|
59,1
|
70,8
|
45
|
55
|
2005
|
143,5
|
66,6
|
76,9
|
46
|
54
|
| 1979
|
137,4
|
63,2
|
74,2
|
46
|
54
|
2006
|
142,8
|
66,2
|
76,6
|
46
|
54
|
| 1989
|
147,0
|
68,7
|
78,3
|
47
|
53
|
2007
|
142,2
|
65,8
|
76,4
|
46
|
54
|
| 1991
|
148,3
|
69,5
|
78,8
|
47
|
53
|
2008
|
142,0
|
65,7
|
76,3
|
46
|
54
|
| 1996
|
148,3
|
69,5
|
78,8
|
47
|
53
|
2009
|
141,9
|
65,6
|
76,3
|
46
|
54
|
| 2001
|
146,3
|
68,3
|
78,0
|
47
|
53
|
Приложение 3
Число женщин на 1000 мужчин соответствующей возрастной группы
| 2001
|
2002
|
2003
|
2004
|
2005
|
2006
|
2007
|
2008
|
2009
|
| Все население
|
1141
|
1144
|
1148
|
1151
|
1154
|
1158
|
1160
|
1161
|
1162
|
| из него в возрасте, лет:
|
| 0-4
|
950
|
951
|
953
|
951
|
950
|
949
|
948
|
947
|
947
|
| 5-9
|
955
|
955
|
956
|
956
|
955
|
954
|
954
|
954
|
952
|
| 10-14
|
961
|
959
|
958
|
957
|
957
|
957
|
957
|
957
|
957
|
| 15-19
|
966
|
967
|
968
|
969
|
967
|
964
|
962
|
961
|
959
|
| 20-24
|
983
|
984
|
981
|
978
|
978
|
978
|
977
|
976
|
976
|
| 25-29
|
985
|
993
|
997
|
1000
|
1001
|
1002
|
1002
|
998
|
992
|
| 30-34
|
997
|
998
|
1001
|
1004
|
1007
|
1013
|
1018
|
1021
|
1023
|
| 35-39
|
1025
|
1030
|
1032
|
1035
|
1034
|
1033
|
1031
|
1030
|
1032
|
| 40-44
|
1055
|
1058
|
1063
|
1065
|
1068
|
1074
|
1076
|
1074
|
1073
|
| 45-49
|
1104
|
1110
|
1114
|
1119
|
1122
|
1121
|
1121
|
1123
|
1120
|
| 50-54
|
1157
|
1164
|
1173
|
1183
|
1191
|
1202
|
1205
|
1203
|
1203
|
| 55-59
|
1287
|
1271
|
1263
|
1269
|
1278
|
1284
|
1289
|
1293
|
1300
|
| 60-64
|
1421
|
1439
|
1462
|
1477
|
1482
|
1480
|
1449
|
1428
|
1429
|
| 65-69
|
1591
|
1599
|
1599
|
1624
|
1650
|
1674
|
1696
|
1718
|
1727
|
| 70 и более
|
2548
|
2503
|
2476
|
2474
|
2470
|
2452
|
2429
|
2399
|
2388
|
| Городское население
|
1157
|
1162
|
1166
|
1170
|
1175
|
1179
|
1182
|
1184
|
1185
|
| из него в возрасте, лет:
|
| 0-4
|
948
|
949
|
950
|
948
|
948
|
947
|
946
|
945
|
946
|
| 5-9
|
954
|
954
|
954
|
954
|
953
|
952
|
953
|
952
|
950
|
| 10-14
|
964
|
961
|
959
|
957
|
957
|
957
|
956
|
955
|
955
|
| 15-19
|
979
|
982
|
987
|
990
|
986
|
977
|
973
|
970
|
969
|
| 20-24
|
1004
|
1003
|
996
|
989
|
991
|
996
|
998
|
1001
|
1007
|
| 25-29
|
996
|
1004
|
1010
|
1015
|
1018
|
1021
|
1022
|
1015
|
1006
|
| 30-34
|
1008
|
1010
|
1013
|
1015
|
1018
|
1026
|
1031
|
1037
|
1042
|
| 35-39
|
1060
|
1063
|
1062
|
1061
|
1058
|
1053
|
1048
|
1044
|
1045
|
| 40-44
|
1104
|
1107
|
1111
|
1111
|
1111
|
1115
|
1114
|
1108
|
1103
|
| 45-49
|
1153
|
1162
|
1169
|
1176
|
1181
|
1179
|
1178
|
1177
|
1171
|
| 50-54
|
1196
|
1208
|
1221
|
1235
|
1246
|
1261
|
1266
|
1266
|
1266
|
| 55-59
|
1302
|
1290
|
1288
|
1303
|
1320
|
1331
|
1342
|
1350
|
1359
|
| 60-64
|
1451
|
1467
|
1488
|
1499
|
1501
|
1498
|
1471
|
1459
|
1469
|
| 65-69
|
1653
|
1657
|
1652
|
1673
|
1694
|
1712
|
1730
|
1748
|
1753
|
| 70 и более
|
2513
|
2489
|
2477
|
2486
|
2491
|
2482
|
2466
|
2437
|
2428
|
| Сельское население
|
1098
|
1098
|
1099
|
1099
|
1100
|
1102
|
1102
|
1101
|
1100
|
| из него в возрасте, лет:
|
|
| 0-4
|
956
|
956
|
957
|
956
|
955
|
954
|
954
|
951
|
951
|
| 5-9
|
957
|
959
|
961
|
960
|
960
|
959
|
958
|
958
|
957
|
| 10-14
|
956
|
956
|
956
|
957
|
956
|
957
|
959
|
961
|
960
|
| 15-19
|
926
|
921
|
913
|
913
|
921
|
935
|
938
|
939
|
938
|
| 20-24
|
918
|
922
|
932
|
938
|
934
|
918
|
914
|
905
|
896
|
| 25-29
|
951
|
958
|
958
|
953
|
947
|
944
|
939
|
941
|
947
|
| 30-34
|
964
|
963
|
967
|
971
|
974
|
975
|
976
|
971
|
966
|
| 35-39
|
934
|
946
|
955
|
963
|
971
|
978
|
984
|
988
|
992
|
| 40-44
|
927
|
931
|
939
|
946
|
958
|
971
|
981
|
989
|
997
|
| 45-49
|
965
|
967
|
967
|
969
|
973
|
977
|
982
|
989
|
995
|
| 50-54
|
1035
|
1029
|
1028
|
1033
|
1038
|
1043
|
1044
|
1041
|
1042
|
| 55-59
|
1243
|
1213
|
1179
|
1158
|
1145
|
1142
|
1136
|
1133
|
1136
|
| 60-64
|
1346
|
1368
|
1399
|
1419
|
1433
|
1428
|
1378
|
1330
|
1304
|
| 65-69
|
1468
|
1479
|
1483
|
1514
|
1549
|
1586
|
1614
|
1646
|
1665
|
| 70 и более
|
2627
|
2536
|
2475
|
2449
|
2425
|
2389
|
2351
|
2316
|
2301
|
Приложение 4
Рождаемость, смертность и естественный прирост населения
| Годы
|
Всего, тыс. человек
|
На 1000 человек населения
|
| родившихся
|
умерших
|
естественный прирост1)
|
родившихся
|
умерших
|
естественный прирост1)
|
| |
Все население
|
| 1970
|
1903,7
|
1131,2
|
772,5
|
14,6
|
8,7
|
5,9
|
| 1980
|
2202,8
|
1525,8
|
677,0
|
15,9
|
11,0
|
4,9
|
| 1990
|
1988,9
|
1656,0
|
332,9
|
13,4
|
11,2
|
2,2
|
| 1995
|
1363,8
|
2203,8
|
-840,0
|
9,3
|
15,0
|
-5,7
|
| 2000
|
1266,8
|
2225,3
|
-958,5
|
8,7
|
15,3
|
-6,6
|
| 2001
|
1311,6
|
2254,9
|
-943,3
|
9,0
|
15,6
|
-6,6
|
| 2002
|
1397,0
|
2332,3
|
-935,3
|
9,7
|
16,2
|
-6,5
|
| 2003
|
1477,3
|
2365,8
|
-888,5
|
10,2
|
16,4
|
-6,2
|
| 2004
|
1502,5
|
2295,4
|
-792,9
|
10,4
|
16,0
|
-5,6
|
| 2005
|
1457,4
|
2303,9
|
-846,5
|
10,2
|
16,1
|
-5,9
|
| 2006
|
1479,6
|
2166,7
|
-687,1
|
10,4
|
15,2
|
-4,8
|
| 2007
|
1610,1
|
2080,4
|
-470,3
|
11,3
|
14,6
|
-3,3
|
| 2008
|
1713,9
|
2075,9
|
-362,0
|
12,1
|
14,6
|
-2,5
|
| Городское население
|
| 1970
|
1205,2
|
646,1
|
559,1
|
14,8
|
7,9
|
6,9
|
| 1980
|
1535,7
|
970,3
|
565,4
|
15,8
|
10,0
|
5,8
|
| 1990
|
1386,3
|
1140,6
|
245,7
|
12,7
|
10,5
|
2,2
|
| 1995
|
933,5
|
1554,2
|
-620,7
|
8,7
|
14,4
|
-5,7
|
| 2000
|
886,9
|
1564,0
|
-677,1
|
8,3
|
14,6
|
-6,3
|
| 2001
|
928,6
|
1592,3
|
-663,7
|
8,7
|
14,9
|
-6,2
|
| 2002
|
998,1
|
1638,8
|
-640,7
|
9,4
|
15,4
|
-6,0
|
| 2003
|
1050,6
|
1657,6
|
-607,0
|
9,9
|
15,6
|
-5,7
|
| 2004
|
1074,3
|
1606,9
|
-532,6
|
10,2
|
15,2
|
-5,0
|
| 2005
|
1036,9
|
1595,8
|
-558,9
|
9,9
|
15,3
|
-5,4
|
| 2006
|
1044,5
|
1501,2
|
-456,7
|
10,0
|
14,4
|
-4,4
|
| 2007
|
1120,7
|
1445,4
|
-324,7
|
10,8
|
13,9
|
-3,1
|
| 2008
|
1194,8
|
1443,5
|
-248,7
|
11,5
|
13,9
|
-2,4
|
| Сельское население
|
| 1970
|
698,5
|
485,1
|
213,4
|
14,3
|
10,0
|
4,3
|
| 1980
|
667,1
|
555,5
|
111,6
|
16,1
|
13,4
|
2,7
|
| 1990
|
602,6
|
515,4
|
87,2
|
15,5
|
13,2
|
2,3
|
| 1995
|
430,3
|
649,6
|
-219,3
|
10,9
|
16,5
|
-5,6
|
| 2000
|
379,9
|
661,3
|
-281,4
|
9,8
|
17,1
|
-7,3
|
| 2001
|
383,0
|
662,6
|
-279,6
|
10,0
|
17,3
|
-7,3
|
| 2002
|
398,9
|
693,5
|
-294,6
|
10,5
|
18,2
|
-7,7
|
| 2003
|
426,7
|
708,2
|
-281,5
|
11,1
|
18,4
|
-7,3
|
| 2004
|
428,2
|
688,5
|
260,3
|
11,2
|
18,0
|
-6,8
|
| 2005
|
420,5
|
708,1
|
-287,6
|
10,9
|
18,3
|
-7,4
|
| 2006
|
435,1
|
665,5
|
-230,4
|
11,3
|
17,3
|
-6,0
|
| 2007
|
489,4
|
635,0
|
-145,6
|
12,8
|
16,6
|
-3,8
|
| 2008
|
519,1
|
632,4
|
-113,3
|
13,6
|
16,6
|
-3,0
|
Приложение 5
Возрастные коэффициенты рождаемости
| Годы
|
Родившиеся в среднем за год на 1000 женщин в возрасте, лет
|
Суммарный коэффициент рождаемости4)
|
| моложе 202)
|
20-24
|
25-29
|
30-34
|
35-39
|
40-44
|
45-49
|
15-493)
|
| 2000
|
27,4
|
93,6
|
67,3
|
35,2
|
11,8
|
2,4
|
0,1
|
32,1
|
1,195
|
| 2001
|
27,3
|
93,1
|
70,2
|
38,0
|
12,9
|
2,4
|
0,1
|
33,1
|
1,223
|
| 2002
|
27,4
|
95,7
|
75,1
|
41,7
|
14,7
|
2,6
|
0,1
|
35,2
|
1,286
|
| 2003
|
27,6
|
95,1
|
78,3
|
44,1
|
16,0
|
2,7
|
0,1
|
36,5
|
1,319
|
| 2004
|
28,2
|
93,4
|
80,2
|
45,9
|
17,6
|
2,9
|
0,1
|
37,7
|
1,340
|
| 2005
|
27,5
|
86,8
|
77,9
|
45,5
|
17,8
|
3,0
|
0,2
|
36,8
|
1,287
|
| 2006
|
28,6
|
85,8
|
78,2
|
46,8
|
18,7
|
3,1
|
0,1
|
37,7
|
1,296
|
| 2007
|
29,1
|
87,5
|
86,3
|
54,5
|
22,8
|
3,8
|
0,2
|
41,4
|
1,406
|
| 2008
|
30,5
|
89,8
|
91,0
|
60,4
|
25,9
|
4,6
|
0,2
|
44,6
|
1,494
|
Приложение 6
Младенческая смертность
| Годы
|
Умеpшие в возpасте до 1 года, человек
|
Умеpшие в возpасте до 1 года на 1000 pодившихся живыми
|
Годы
|
Умеpшие в возpасте до 1 года, человек
|
Умеpшие в возpасте до 1 года на 1000 pодившихся живыми
|
| всего
|
мальчики
|
девочки
|
всего
|
мальчики
|
девочки
|
всего
|
мальчики
|
девочки
|
всего
|
мальчики
|
девочки
|
| 1970
|
43511
|
25335
|
18176
|
23,0
|
26,2
|
19,7
|
2003
|
18142
|
10429
|
7713
|
12,4
|
13,8
|
10,9
|
| 1980
|
48500
|
28300
|
20200
|
22,1
|
25,2
|
18,8
|
2004
|
17339
|
10090
|
7249
|
11,6
|
13,1
|
10,0
|
| 1990
|
35088
|
20691
|
14397
|
17,4
|
20,0
|
14,7
|
2005
|
16073
|
9416
|
6657
|
11,0
|
12,5
|
9,4
|
| 1995
|
24840
|
14472
|
10368
|
18,1
|
20,5
|
15,5
|
2006
|
15079
|
8660
|
6419
|
10,2
|
11,4
|
9,0
|
| 2000
|
19286
|
11248
|
8038
|
15,3
|
17,3
|
13,2
|
2007
|
14858
|
8598
|
6260
|
9,4
|
10,5
|
8,1
|
| 2001
|
19104
|
11273
|
7831
|
14,6
|
16,9
|
12,5
|
2008
|
14436
|
8234
|
6202
|
8,5
|
9,5
|
7,5
|
| 2002
|
18407
|
10703
|
7704
|
13,3
|
15,3
|
11,6
|
Приложение 7
Миграция
| 2000
|
2001
|
2002
|
2003
|
2004
|
2005
|
2006
|
2007
|
2008
|
| Прибыло в Российскую Федерацию
- всего
|
359330
|
193450
|
184612
|
129144
|
119157
|
177230
|
186380
|
286956
|
281614
|
| в том числе:
|
|
|
|
|
| из стран СНГ
|
346774
|
183650
|
175068
|
119661
|
110374
|
168598
|
177657
|
273872
|
269976
|
| Азербайджан
|
14906
|
5587
|
5635
|
4277
|
2584
|
4600
|
8900
|
20968
|
23331
|
| Армения
|
15951
|
5814
|
6802
|
5124
|
3057
|
7581
|
12949
|
30751
|
35216
|
| Беларусь
|
10274
|
6520
|
6841
|
5309
|
5650
|
6797
|
5619
|
6030
|
5865
|
| Грузия
|
20213
|
9674
|
7128
|
5540
|
4886
|
5497
|
6806
|
10595
|
8806
|
| Казахстан
|
124903
|
65226
|
55706
|
29552
|
40150
|
51945
|
38606
|
40258
|
39964
|
| Киргизия
|
15536
|
10740
|
13139
|
6948
|
9511
|
15592
|
15669
|
24731
|
24014
|
| Республика Молдова
|
11652
|
7569
|
7562
|
6391
|
4816
|
6569
|
8649
|
14090
|
15519
|
| Таджикистан
|
11043
|
6742
|
5967
|
5346
|
3339
|
4717
|
6523
|
17309
|
20717
|
| Туркмения
|
6738
|
4402
|
4531
|
6299
|
3734
|
4104
|
4089
|
4846
|
3962
|
| Узбекистан
|
40810
|
24873
|
24951
|
21457
|
14948
|
30436
|
37126
|
52802
|
43518
|
| Украина
|
74748
|
36503
|
36806
|
23418
|
17699
|
30760
|
32721
|
51492
|
49064
|
| из стран дальнего зарубежья
|
12556
|
9800
|
9544
|
9483
|
8783
|
8632
|
8723
|
13084
|
11638
|
| Австралия
|
27
|
25
|
22
|
30
|
42
|
30
|
28
|
38
|
31
|
| Австрия
|
37
|
22
|
23
|
24
|
21
|
24
|
53
|
50
|
35
|
| Афганистан
|
288
|
171
|
107
|
82
|
55
|
60
|
86
|
212
|
278
|
| Бангладеш
|
116
|
93
|
31
|
19
|
12
|
13
|
15
|
25
|
22
|
| Болгария
|
245
|
255
|
238
|
212
|
125
|
118
|
109
|
207
|
190
|
| Вьетнам
|
182
|
157
|
198
|
129
|
48
|
114
|
157
|
921
|
714
|
| Германия
|
1753
|
1627
|
1962
|
2692
|
3117
|
3025
|
2900
|
3164
|
3134
|
| Греция
|
182
|
124
|
150
|
224
|
182
|
200
|
176
|
260
|
289
|
| Египет
|
23
|
17
|
25
|
12
|
16
|
19
|
18
|
51
|
64
|
| Замбия
|
24
|
16
|
24
|
17
|
6
|
29
|
17
|
3
|
1
|
| Израиль
|
1508
|
1373
|
1670
|
1808
|
1486
|
1004
|
1053
|
1094
|
1002
|
| Индия
|
203
|
213
|
196
|
33
|
25
|
54
|
72
|
107
|
66
|
| Иордания
|
85
|
57
|
56
|
25
|
25
|
26
|
33
|
52
|
33
|
| Италия
|
47
|
40
|
26
|
45
|
34
|
46
|
44
|
152
|
126
|
| Йемен
|
28
|
32
|
26
|
9
|
5
|
7
|
8
|
7
|
14
|
| Канада
|
50
|
74
|
70
|
103
|
87
|
99
|
77
|
118
|
105
|
| Китай
|
1121
|
405
|
410
|
346
|
212
|
432
|
499
|
1687
|
1177
|
| Корейская Народно-Демократическая Республика
|
32
|
40
|
19
|
5
|
2
|
5
|
2
|
73
|
63
|
| Куба
|
37
|
42
|
22
|
23
|
12
|
17
|
12
|
44
|
36
|
| Латвия
|
1785
|
1283
|
990
|
906
|
819
|
726
|
766
|
887
|
716
|
| Ливан
|
106
|
71
|
50
|
26
|
26
|
27
|
54
|
43
|
43
|
| Литва
|
945
|
758
|
722
|
535
|
339
|
360
|
371
|
537
|
455
|
| Марокко
|
131
|
117
|
33
|
19
|
16
|
38
|
51
|
32
|
21
|
| Монголия
|
95
|
49
|
70
|
54
|
20
|
31
|
33
|
36
|
30
|
| Нигерия
|
47
|
36
|
26
|
23
|
30
|
27
|
18
|
16
|
18
|
| Пакистан
|
90
|
61
|
65
|
19
|
8
|
19
|
16
|
36
|
35
|
| Палестина
|
79
|
54
|
38
|
19
|
6
|
13
|
12
|
27
|
26
|
| Перу
|
20
|
10
|
42
|
27
|
16
|
17
|
12
|
11
|
8
|
| Польша
|
61
|
56
|
53
|
39
|
48
|
55
|
48
|
96
|
100
|
| Республика Корея
|
71
|
39
|
52
|
33
|
34
|
53
|
32
|
101
|
36
|
| Сербия
|
181
|
117
|
80
|
73
|
32
|
54
|
41
|
115
|
110
|
| Сирийская Арабская Республика
|
358
|
260
|
144
|
101
|
56
|
68
|
67
|
93
|
125
|
| Соединенное Королевство (Великобритания)
|
68
|
50
|
22
|
27
|
37
|
40
|
34
|
100
|
80
|
| США
|
439
|
432
|
455
|
484
|
518
|
396
|
411
|
578
|
551
|
| Турция
|
164
|
184
|
144
|
112
|
77
|
86
|
172
|
315
|
373
|
| Финляндия
|
83
|
97
|
136
|
125
|
141
|
129
|
137
|
172
|
174
|
| Франция
|
56
|
31
|
46
|
38
|
51
|
40
|
54
|
144
|
72
|
| Чешская Республика
|
65
|
40
|
43
|
37
|
38
|
24
|
39
|
62
|
57
|
| Швеция
|
14
|
28
|
19
|
22
|
16
|
23
|
32
|
39
|
30
|
| Эстония
|
786
|
535
|
534
|
445
|
446
|
432
|
347
|
508
|
476
|
| другие страны
|
924
|
709
|
505
|
481
|
497
|
652
|
617
|
871
|
722
|
| 2000
|
2001
|
2002
|
2003
|
2004
|
2005
|
2006
|
2007
|
2008
|
| Выбыло из Российской Федерации -
всего
|
145720
|
121166
|
106685
|
94018
|
79795
|
69798
|
54061
|
47013
|
39508
|
| в том числе :
|
| в страны СНГ
|
82312
|
61570
|
52099
|
46081
|
37017
|
36109
|
35262
|
31329
|
26114
|
| Азербайджан
|
3187
|
2170
|
1704
|
1771
|
1336
|
1274
|
1366
|
1355
|
1258
|
| Армения
|
1519
|
1362
|
1114
|
1098
|
654
|
620
|
686
|
728
|
1032
|
| Беларусь
|
13276
|
11175
|
8829
|
7016
|
5671
|
6034
|
6318
|
5302
|
3954
|
| Грузия
|
1802
|
1339
|
964
|
939
|
740
|
691
|
593
|
603
|
572
|
| Казахстан
|
17913
|
15186
|
13939
|
14017
|
12504
|
12437
|
11948
|
10211
|
7483
|
| Киргизия
|
1857
|
1333
|
1080
|
959
|
656
|
473
|
605
|
668
|
648
|
| Республика Молдова
|
2237
|
1660
|
1385
|
1234
|
907
|
786
|
636
|
629
|
551
|
| Таджикистан
|
1158
|
993
|
827
|
922
|
549
|
434
|
424
|
464
|
637
|
| Туркмения
|
676
|
352
|
272
|
251
|
168
|
125
|
112
|
111
|
90
|
| Узбекистан
|
3086
|
1974
|
1400
|
1130
|
717
|
595
|
648
|
722
|
948
|
| Украина
|
35601
|
24026
|
20585
|
16744
|
13115
|
12640
|
11926
|
10536
|
8941
|
| в страны дальнего зарубежья
|
63408
|
59596
|
54586
|
47937
|
42778
|
33689
|
18799
|
15684
|
13394
|
| Австралия
|
176
|
184
|
144
|
146
|
167
|
209
|
167
|
139
|
202
|
| Австрия
|
179
|
120
|
116
|
112
|
122
|
144
|
96
|
120
|
71
|
| Аргентина
|
101
|
68
|
20
|
25
|
11
|
6
|
14
|
10
|
3
|
| Белиз
|
44
|
52
|
33
|
28
|
22
|
29
|
55
|
19
|
27
|
| Бельгия
|
47
|
45
|
46
|
38
|
55
|
65
|
70
|
62
|
86
|
| Болгария
|
180
|
163
|
133
|
156
|
160
|
124
|
116
|
132
|
163
|
| Венгрия
|
58
|
42
|
40
|
42
|
27
|
42
|
33
|
39
|
16
|
| Вьетнам
|
33
|
27
|
19
|
10
|
16
|
45
|
42
|
22
|
31
|
| Германия
|
40443
|
43682
|
42231
|
36928
|
31876
|
21458
|
8229
|
6486
|
4916
|
| Греция
|
314
|
204
|
190
|
186
|
157
|
155
|
139
|
116
|
98
|
| Дания
|
57
|
49
|
66
|
62
|
49
|
58
|
59
|
58
|
52
|
| Израиль
|
9407
|
4835
|
2764
|
2048
|
1733
|
1745
|
1408
|
1202
|
1040
|
| Индия
|
110
|
98
|
152
|
10
|
10
|
13
|
28
|
19
|
25
|
| Иордания
|
62
|
39
|
52
|
28
|
29
|
32
|
16
|
21
|
9
|
| Ирландия
|
15
|
14
|
49
|
33
|
42
|
47
|
39
|
29
|
45
|
| Испания
|
160
|
220
|
264
|
255
|
372
|
320
|
348
|
388
|
348
|
| Италия
|
273
|
163
|
148
|
186
|
240
|
249
|
293
|
254
|
254
|
| Канада
|
841
|
812
|
725
|
701
|
783
|
628
|
552
|
571
|
516
|
| Китай
|
658
|
156
|
151
|
86
|
154
|
456
|
196
|
56
|
53
|
| Корейская Народно-Демократическая Республика
|
47
|
40
|
20
|
11
|
8
|
5
|
3
|
4
|
19
|
| Латвия
|
365
|
311
|
256
|
259
|
226
|
211
|
223
|
271
|
226
|
| Ливан
|
51
|
23
|
25
|
25
|
26
|
33
|
39
|
14
|
14
|
| Литва
|
376
|
262
|
293
|
268
|
282
|
213
|
228
|
276
|
215
|
| Марокко
|
169
|
73
|
77
|
24
|
32
|
24
|
20
|
17
|
8
|
| Монголия
|
44
|
19
|
38
|
27
|
34
|
43
|
17
|
29
|
17
|
| Нидерланды
|
115
|
74
|
84
|
87
|
91
|
108
|
128
|
117
|
88
|
| Новая Зеландия
|
101
|
112
|
93
|
84
|
77
|
67
|
92
|
89
|
105
|
| Норвегия
|
73
|
100
|
140
|
155
|
165
|
166
|
173
|
158
|
184
|
| Пакистан
|
31
|
50
|
23
|
17
|
13
|
22
|
11
|
3
|
-
|
| Палестина
|
26
|
16
|
30
|
14
|
10
|
19
|
4
|
6
|
6
|
| Польша
|
135
|
84
|
80
|
72
|
57
|
76
|
84
|
77
|
101
|
| Португалия
|
16
|
19
|
36
|
52
|
149
|
158
|
91
|
84
|
80
|
| Республика Корея
|
690
|
99
|
71
|
98
|
95
|
84
|
61
|
76
|
49
|
| Сербия
|
47
|
28
|
27
|
31
|
28
|
36
|
21
|
13
|
25
|
| Сирийская Арабская Республика
|
54
|
60
|
66
|
58
|
55
|
54
|
42
|
38
|
24
|
| Соединенное Королевство (Великобритания)
|
133
|
135
|
121
|
152
|
165
|
234
|
271
|
227
|
224
|
| США
|
4793
|
4527
|
3134
|
3199
|
2919
|
4040
|
3109
|
2108
|
1722
|
| Турция
|
104
|
96
|
80
|
88
|
60
|
85
|
78
|
78
|
81
|
| Финляндия
|
1142
|
980
|
1110
|
737
|
910
|
737
|
695
|
692
|
620
|
| Франция
|
139
|
140
|
212
|
174
|
190
|
204
|
209
|
221
|
253
|
| Чешская Республика
|
234
|
158
|
206
|
172
|
193
|
215
|
324
|
372
|
401
|
| Швейцария
|
79
|
69
|
45
|
73
|
60
|
57
|
62
|
89
|
80
|
| Швеция
|
195
|
148
|
162
|
151
|
158
|
110
|
132
|
137
|
157
|
| Эстония
|
385
|
402
|
321
|
351
|
265
|
225
|
270
|
280
|
301
|
| Япония
|
60
|
71
|
52
|
57
|
54
|
50
|
75
|
87
|
73
|
| другие страны
|
646
|
527
|
441
|
421
|
431
|
588
|
437
|
378
|
366
|
Приложение 8
Численность экономически активного населения, занятых и безработных
| |
1995
|
2000
|
2001
|
2002
|
2003
|
2004
|
2005
|
2006
|
2007
|
2008
|
| Численность экономически активного населения1)
- всего
|
70
740
|
72332
|
71411
|
72421
|
72835
|
72909
|
73811
|
74156
|
75060
|
75892
|
| мужчины
|
37338
|
37499
|
36905
|
36997
|
37206
|
37079
|
37511
|
37627
|
37975
|
38770
|
| женщины
|
33401
|
34833
|
34506
|
35423
|
35629
|
35831
|
36300
|
36529
|
37085
|
37122
|
| в том числе:
|
| занятые в экономике – всего
|
64055
|
65273
|
65124
|
66266
|
67152
|
67134
|
68603
|
69157
|
70814
|
70603
|
| мужчины
|
33726
|
33754
|
33527
|
33709
|
34199
|
34177
|
34710
|
34996
|
35704
|
35869
|
| женщины
|
30330
|
31519
|
31596
|
32557
|
32953
|
32958
|
33893
|
34161
|
35110
|
34734
|
| безработные – всего
|
6684
|
7059
|
6288
|
6155
|
5683
|
5775
|
5208
|
4999
|
4246
|
5289
|
| мужчины
|
3613
|
3745
|
3378
|
3288
|
3007
|
2902
|
2801
|
2631
|
2271
|
2901
|
| женщины
|
3072
|
3314
|
2910
|
2866
|
2676
|
2873
|
2407
|
2368
|
1975
|
2388
|
| Численность безработных, зарегистрированных в государственных учреждениях службы занятости (на конец года)2) - всего
|
2327
|
1037
|
1123
|
1500
|
1639
|
1920
|
1830
|
1742
|
1553
|
1522
|
| мужчины
|
872
|
322
|
360
|
487
|
533
|
647
|
630
|
610
|
570
|
604
|
| женщины
|
1455
|
715
|
763
|
1013
|
1106
|
1273
|
1200
|
1132
|
983
|
918
|
| Из них безработные, которым назначено пособие по безработице - всего
|
2026
|
909
|
1007
|
1293
|
1305
|
1624
|
1570
|
1522
|
1305
|
1253
|
| мужчины
|
764
|
285
|
328
|
418
|
415
|
544
|
536
|
530
|
476
|
493
|
| женщины
|
1262
|
624
|
679
|
875
|
890
|
1080
|
1034
|
992
|
829
|
760
|
Приложение 9
Основные социально-экономические показатели уровня жизни населения
| 1995
|
2000
|
2001
|
2002
|
2003
|
2004
|
2005
|
2006
|
2007
|
2008
|
| Фактическое конечное потребление домашних хозяйств (в текущих ценах), млрд. руб. (1995 г. – трлн. руб.)
|
872
|
3813
|
5014
|
6390
|
7710
|
9814
|
12391
|
15161
|
18742
|
23447
|
| на душу населения, руб. (1995 г. – тыс. руб.)
|
5874
|
26014
|
34347
|
43976
|
53330
|
68240
|
86582
|
106401
|
131882
|
165170
|
| в процентах к предыдущему году (в сопоставимых ценах)
|
105,9
|
108,2
|
107,7
|
106,7
|
110,2
|
110,5
|
109,9
|
112,0
|
109,6
|
| Среднедушевые денежные доходы населения (в месяц), руб. (1995 г. - тыс. руб.)
|
515,9
|
2281,1
|
3062,0
|
3947,2
|
5170,4
|
6410,3
|
8111,9
|
10196,0
|
12602,7
|
14939,2
|
| Реальные располагаемые денежные доходы населения, в процентах к предыдущему году
|
85,0
|
112,0
|
108,7
|
111,1
|
115,0
|
110,4
|
112,4
|
113,5
|
112,1
|
101,9
|
| Среднемесячная номинальная начисленная заработная плата работающих в экономике, руб. (1995 г. - тыс. руб.)
|
472,4
|
2223,4
|
3240,4
|
4360,3
|
5498,5
|
6739,5
|
8554,9
|
10633,9
|
13593,4
|
17290,1
|
| Реальная начисленная заработная плата, в процентах к предыдущему году
|
72,0
|
120,9
|
119,9
|
116,2
|
110,9
|
110,6
|
112,6
|
113,3
|
117,2
|
111,5
|
| Средний размер назначенных пенсий1)
, руб. (1995 г. – тыс. руб.)
|
188,1
|
694,3
|
1023,5
|
1378,5
|
1637,0
|
1914,5
|
2364,0
|
2726,1
|
3115,5
|
4198,6
|
| Реальный размер назначенных пенсий1)
, в процентах к предыдущему году
|
80,5
|
128,0
|
121,4
|
116,3
|
104,5
|
105,5
|
109,6
|
105,1
|
104,8
|
118,1
|
| Величина прожиточного минимума2)
(в среднем на душу населения):
|
|
|
| руб. в месяц (1995 г. – тыс. руб.)
|
264,1
|
1210
|
1500
|
1808
|
2112
|
2376
|
3018
|
3422
|
3847
|
4593
|
| в процентах к предыдущему году
|
в 3,1 р.
|
120,03)
|
124,0
|
120,5
|
116,8
|
112,5
|
118,63)
|
113,4
|
112,4
|
119,4
|
| Численность населения с денежными доходами ниже величины прожиточного минимума:
|
| млн. человек
|
36,5
|
42,3
|
40,0
|
35,6
|
29,3
|
25,2
|
25,2
|
21,5
|
18,7
|
18,5
|
| в процентах от общей численности населения
|
24,8
|
29,0
|
27,5
|
24,6
|
20,3
|
17,6
|
17,7
|
15,2
|
13,3
|
13,1
|
| в процентах к предыдущему году
|
110,9
|
84,93)
|
94,6
|
89,0
|
82,3
|
86,0
|
87,73)
|
85,3
|
87,0
|
98,9
|
| Соотношение с величиной прожиточного минимума4)
, процентов:
|
| среднедушевых денежных доходов
|
195
|
189
|
204
|
218
|
245
|
270
|
269
|
298
|
328
|
325
|
| среднемесячной номинальной начисленной заработной платы
|
159
|
168
|
199
|
222
|
239
|
259
|
263
|
288
|
327
|
348
|
| среднего размера назначенных пенсий
|
101
|
76
|
90
|
100
|
102
|
106
|
98
|
100
|
102
|
115
|
| Коэффициент фондов (коэффициент дифференциации доходов), в разах
|
13,5
|
13,9
|
13,9
|
14,0
|
14,5
|
15,2
|
15,2
|
16,0
|
16,8
|
16,9
|
| Коэффициент Джини (индекс концентрации доходов)
|
0,387
|
0,395
|
0,397
|
0,397
|
0,403
|
0,409
|
0,409
|
0,416
|
0,423
|
0,423
|
Приложение 10
Распределение населения по величине среднедушевых денежных доходов
| |
2003
|
2004
|
2005
|
2006
|
2007
|
2008
|
| Все население
|
100
|
100
|
100
|
100
|
100
|
|
| в том числе со среднедушевыми денежными доходами, руб. в месяц:
|
| до 4000,0
|
51,1
|
40,4
|
28,9
|
20,5
|
14,3
|
9,8
|
| 4000,1–6000,0
|
20,5
|
21,1
|
20,3
|
17,7
|
14,8
|
12,0
|
| 6000,1–8000,0
|
11,5
|
13,4
|
14,9
|
14,7
|
13,6
|
12,1
|
| 8000,1–10000,0
|
6,5
|
8,4
|
10,3
|
11,2
|
11,3
|
10,9
|
| 10000,1–15000,02)
|
10,4
|
10,0
|
13,9
|
17,1
|
19,1
|
20,1
|
| 15000,1–20000,03)
|
...
|
6,7
|
11,7
|
8,4
|
10,6
|
12,4
|
| 20000,1–30000,04)
|
...
|
...
|
...
|
10,4
|
9,6
|
12,4
|
| свыше 30000,0
|
...
|
...
|
...
|
...
|
6,7
|
10,3
|
|