| Дневник о прохождении учебно-ознакомительной практики
| Дата
|
Событие
|
| 6.07.11
|
Регистрация цен на продукты, фиксирование цен по каждому виду
|
| 7.07.11
|
Регистрация цен на продукты, фиксирование цен по каждому виду
|
| 8.07.11
|
Регистрация цен на продукты, фиксирование цен по каждому виду
|
| 9.07.11
|
Регистрация цен на продукты, фиксирование цен по каждому виду
|
| 10.07.11
|
Регистрация цен на продукты, фиксирование цен по каждому виду
|
| 11.07.11
|
Регистрация цен на продукты, фиксирование цен по каждому виду
|
| 12.07.11
|
Регистрация цен на продукты, фиксирование цен по каждому виду
|
| 13.07.11
|
Анализ динамики цен в течении первой недели
|
| 14.07.11
|
Регистрация цен на продукты, фиксирование цен по каждому виду
|
| 15.07.11
|
Регистрация цен на продукты, фиксирование цен по каждому виду
|
| 16.07.11
|
Регистрация цен на продукты, фиксирование цен по каждому виду
|
| 17.07.11
|
Регистрация цен на продукты, фиксирование цен по каждому виду
|
| 18.07.11
|
Регистрация цен на продукты, фиксирование цен по каждому виду
|
| 19.07.11
|
Регистрация цен на продукты, фиксирование цен по каждому виду
|
| 20.07.11
|
Анализ динамики цен в течении первой недели
|
| 21.07.11
|
Регистрация цен на продукты, фиксирование цен по каждому виду
|
| 22.07.11
|
Регистрация цен на продукты, фиксирование цен по каждому виду
|
| 23.07.11
|
Регистрация цен на продукты, фиксирование цен по каждому виду
|
| 24.07.11
|
Регистрация цен на продукты, фиксирование цен по каждому виду
|
| 25.07.11
|
Регистрация цен на продукты, фиксирование цен по каждому виду
|
| 26.07.11
|
Регистрация цен на продукты, фиксирование цен по каждому виду
|
| 27.07.11
|
Анализ динамики цен в течении первой недели
|
Содержание
|
|
Введение
|
4
|
| 1
|
Статистическое изучение цен
|
5
|
| 2
|
Статистическое исследование изменения цен
|
6
|
| 2.1
|
Сбор данных на продукцию
|
6
|
| 2.2
|
Обработка полученного материала, его анализ и обобщение
|
7
|
|
|
Заключение
|
9
|
|
|
Приложение А
|
10
|
|
|
Приложение Б
|
12
|
|
|
Приложение В
|
15
|
|
|
Список использованных источников
|
18
|
Введение
Переход к рыночной экономике наполняет новым содержанием работу коммерсантов, менеджеров, экономистов. Это предъявляет повышенные требования к уровню их статистической подготовки. Овладение статистической методологией - одно из непременных условий познания конъюнктуры рынка, изучение тенденций и прогнозирования спроса и предложения, принятия оптимальных решений на всех уровнях коммерческой деятельности на рынке товаров и услуг.
Забиваем Сайты В ТОП КУВАЛДОЙ - Уникальные возможности от SeoHammer
Каждая ссылка анализируется по трем пакетам оценки: SEO, Трафик и SMM.
SeoHammer делает продвижение сайта прозрачным и простым занятием.
Ссылки, вечные ссылки, статьи, упоминания, пресс-релизы - используйте по максимуму потенциал SeoHammer для продвижения вашего сайта.
Что умеет делать SeoHammer
— Продвижение в один клик, интеллектуальный подбор запросов, покупка самых лучших ссылок с высокой степенью качества у лучших бирж ссылок.
— Регулярная проверка качества ссылок по более чем 100 показателям и ежедневный пересчет показателей качества проекта.
— Все известные форматы ссылок: арендные ссылки, вечные ссылки, публикации (упоминания, мнения, отзывы, статьи, пресс-релизы).
— SeoHammer покажет, где рост или падение, а также запросы, на которые нужно обратить внимание.
SeoHammer еще предоставляет технологию Буст, она ускоряет продвижение в десятки раз,
а первые результаты появляются уже в течение первых 7 дней.
Зарегистрироваться и Начать продвижение
Во всем мире возрастает интерес к статистике. В нашей стране это внимание тем более обострено в связи с осуществлением экономических реформ, затрагивающих интересы всех людей. В статистических данных, отображающих развитие отдельных сторон жизни общества и служащих информационной базой принятия управленческих решений, каждый из нас ищет результаты реформ.
Цены, процессы их образования и изменения представляют собой предмет статистического исследования. Статистика цен - самостоятельный блок, входящий как составная часть в статистику рынка и соответственно в социально-экономическую статистику. Поэтому в органах государственной статистики сформирована самостоятельная служба статистики цен. Сложились уже и альтернативные службы статистики цен.
Изменение цены часто влечет за собой серьезнейшие социальные, экономические, а также политические последствия. Поэтому во всесторонней и объективной информации о ценах, в глубоком анализе закономерностей и тенденций их изменения заинтересовано все общество, а не только властные структуры и маркетинговые службы.
Во время практики будем исследовать цен на основе потребительской корзины на городском центральном рынке, в супераркее «Магнит» и маленьком магазине «Любимый» г. Ишимбай.
Целью учебно-ознакомительной практики является проведение самостоятельного статистического наблюдения за ценами и их изменением, а так обработка полученных данных.
Чтобы достичь поставленную цель, рассмотрим следующие задачи:
- ознакомление с организацией проведения статистического исследования;
- овладение техникой сбора информации и ее первичная обработка;
- группировка результатов наблюдения, их обобщение и анализ.
Объектом исследования служат продукты питания. Предметом– цена на исследуемые товары, процессы их образования и изменения. Необходимо учитывать, что рассматриваться будут товары первой необходимости.
Наблюдение производилось согласно составу набора товаров из 24 наименований, указанного в программе практики. Регистрация цен проводилась ежедневно три раза в день:
- с 10.00 до 11.00 часов,
- с 13.00 до 14.00 часов,
- с 16.30 до 17.30 часов.
Регистрация цен проводилась на определенный вид, сорт и качество товара.
1 Статистическое изучение цен
Установление определенной цены на товар или услугу служит для последующей их продажи и получения прибыли. Очень важно назначить цену таким образом, чтобы она не оказалась слишком высокой или слишком низкой.
Сервис онлайн-записи на собственном Telegram-боте
Попробуйте сервис онлайн-записи VisitTime на основе вашего собственного Telegram-бота:
— Разгрузит мастера, специалиста или компанию;
— Позволит гибко управлять расписанием и загрузкой;
— Разошлет оповещения о новых услугах или акциях;
— Позволит принять оплату на карту/кошелек/счет;
— Позволит записываться на групповые и персональные посещения;
— Поможет получить от клиента отзывы о визите к вам;
— Включает в себя сервис чаевых.
Для новых пользователей первый месяц бесплатно.
Зарегистрироваться в сервисе
Запрашиваемая цена определяет качество товара или услуги в сознании покупателя и помогает определить положение данного продукта на рынке. Назначение высокой цены может быть чревато потерей интереса к приобретению. Назначение высокой цены тоже может вызвать отрицательную реакцию, например, сомнение в качестве продукции или в умении и опыте предпринимателя.
Цена, определение которой является одной из труднейших задач, остается важным показателем, несмотря на повышение роли неценовых факторов в процессе современного маркетинга. Цена, если она неправильно определена, окажет решающее воздействие на процесс покупки товара.
При переходе к рыночным отношениям в нашей стране формирование цен происходит за счет ряда факторов, таких как полезность товара, затраты на производство, конкуренция, качество производства, конъюнктура рынка и т.д., необходимо учесть: расходы покупателя, доход продавца, условие конкуренции.
Изучение динамики цен, что является одной из задач статистики, продукты питания дает важнейшую информацию, которая в последующем используется государственными органами, частными предпринимателями и другими организациями, в частности при исследовании потребительской корзины.
Для изучения цен целесообразно использовать выборочное наблюдение, что связано с экономией времени, трудовых и других ресурсов.
В то же время необходимо четко представлять, что выборочное наблюдение всегда связано с определенными ошибками. Поэтому, когда процент отбора достигает 25%, необходимо правильно оценить целесообразность несплошного обследования. Вполне вероятно, что проведение сплошного обследования при изучении цен было более оправданным и привело к более точным результатам.
Любое статистическое наблюдение необходимо начинать с точной формулировки единицы наблюдения, критического момента, периода наблюдения, организационной формы. Также выбираются вид и способ наблюдения. Важнейшим фактором при формировании цен является срок годности рассматриваемого товара, поэтому в течение торгового дня цены на продукты изменяются, т.е. в начале они высокие, к концу – низкие. Также фиксируется и временной фактор, т.е. в предпраздничные и выходные дни проявляется тенденция роста цен. Кроме перечисленных факторов на цены влияет сезонность и индивидуальные характеристики, способ хранения и использования товара.
2 Статистическое исследование изменения цен
2.1 Сбор данных по продукции
Проведение статистического исследования предполагает соблюдение установленного порядка в строго определенной последовательности.
Наблюдение проводилось согласно составу набора товаров из 24 наименований:
- хлеб пшеничный;
- хлеб ржаной;
- пшено;
- вермишель;
- сахар;
- масло растительное;
- масло животное;
- говядина;
- колбаса вареная;
- колбаса полукопченая;
- птица;
- рис;
- молоко;
- сметана;
- сыр твердый;
- творог;
- яйца;
- картофель;
- капуста свежая;
- лук репчатый;
- яблоки;
- морковь;
- рыба мороженая;
- маргарин.
Регистрация производилась в течение трех недельного периода. Время, к которому относится регистрация сведений – с 10.00 до 11.00 часов, с 13.00 до 14.00 часов и с 16.30 до 17.30 часов.
По форме наблюдения применялось специальное статистическое обследование. По способу данное статистическое наблюдение основывалось на непосредственном учете фактов, поскольку регистрация цен производилось путем личного учета единиц совокупности.
В случае исчезновения выбранного товара к следующему наблюдению товар должен был заменен на сопоставимый товар, имеющийся в торговой точке.
По времени регистрации данное наблюдение – периодическое, так как цены регистрировались регулярно, но непостоянно, а через определенные промежутки времени.
2.2 Обработка и анализ полученного материала, его обобщение
Собранный в процессе статистического наблюдения материал нуждается в определенной обработке.
После обработки проводился контроль: логический, арифметический, которые использовались за весь период практики и аналитический, который использовался для анализа динамики.
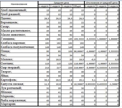
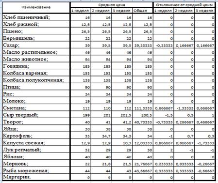
В (приложении А) представлена информация о средних ценах на потребительские товары рынка и двух магазинов с 6.07.2011 по 26.07.2011, что позволяет потребителю ориентироваться в рыночном предложении рассматриваемых продуктов питания в целом и отдельно среди мукомольных изделий, мясомолочной продукции и овощефруктовом ассортименте. В качестве формулы для расчета средней цены выбрана средняя арифметическая простая.
Расчет средних показателей играет важнейшую роль в изучении рассматриваемой статистической совокупности продовольственных товаров, так как именно на основе расчета средних показателей отслеживается динамика стоимости товара, тенденция в их изменении, варьируемость цены около средней в зависимости от условий продажи. Средние показатели используются при расчете стратегически важных характеристик как потребительская корзина, ИПЦ, прожиточного минимума населения и других основополагающих экономических показателей.
На основе сведенных материалов (Приложения А) можно рассчитать следующие показатели: средний темп роста, средний темп прироста, которые позволяют сделать вывод о характере изменения цен (Приложение Б).
В (приложении В) представлена динамика цен на молочную продукцию, мукомольные изделия и овощи в зависимости от времени проведения исследования и даты.
Изучив динамику цен на сахар можно сделать вывод, что в связи с наступлением времени консервирования, на протяжении рассматриваемого периода цены на этот товар неуклонно росли и увеличились на рынке на 0,9% , в большом магазине на 3,4 % и в маленьком магазине на 3,4 % к концу периода, что не свойственно другим рассматриваемым сыпучим изделиям: пшено и рис, которые показали стабильность цен. Цена на говядину, молоко, творог, сметану и сыр очень ярко показывает изменение цен на скоропортящиеся продуктовые товары. Если рассматривать динамику дня, то к вечеру цена снижается.
Незначительные изменения произошли с ценами на лук и морковь. Можно отметить рост цен на данные продукты. А цена на картофель и капусту снизилась. Существенное влияние оказал сезонный фактор: на рынке появились продуты нового урожая.
Заключение
Основная задача статистики цен - отразить и проанализировать состояние
и поведение цен, т. е. их уровень, колеблемость и динамику. Этой цели
соответствует и система показателей статистики цен.
Мы проанализировали весь набор продуктов из 24 наименований на центральном рынке, в супермаркете и маленьком магазине г. Ишимбай.
Цены на не скоропортящиеся продукты: крупы и муку, хлеб не менялись в период наблюдения.
Цены на мясо и мясные продукты в течение дня слегка уменьшились.
Цены на молочную продукцию менялись в течение дня в сторону уменьшения, при этом незначительно повысились за весь период.
Цены на некоторые овощи и фрукты имели тенденцию к понижение в связи со сбором нового урожая.
Практика способствовала приобретению навыков по сбору и обработке статистического материала.
Одной из сложностью в практике была сравнительно большая площадь рынка, которая не позволяла делать точные наблюдения, так как применялось сплошное наблюдение.
Приложение А
Таблица 1 – Средние цены на продовольственные товары (центральный рынок г. Ишимбай)

Таблица 2 – Средние цены на продовольственные товары (супермаркет «Магнит» г. Ишимбай)

Таблица 3 – Средние цены на продовольственные товары (маленький магазин «Любимый» г.Ишимбай)

Приложение Б
Таблица 4 – Расчет средних показателей продовольственных товаров (рынок г.Ишимбай)

Таблица 5 – Расчет средних показателей продовольственных товаров (крупный магазин «Магнит» г.Ишимбай)

Таблица 6 – Расчет средних показателей продовольственных товаров (маленький магазин «Любимый» г.Ишимбай)

Приложение В

График 1 – Динамика цен на молочную продукцию (на базе рынка г.Ишимбай , магазина - «Магнит», магазина – «Любимый»)

График 2 – Динамика цен на овощи (на базе рынка г.Ишимбай , магазина - «Магнит», магазина – «Любимый»)

График 3 – Динамика цен на мукомольные изделия (на базе рынка г.Ишимбай, магазина - «Магнит», магазина – «Любимый»)

График 4 – Динамика цен на молочную продукцию в течении дня (на базе рынка г.Ишимбай , магазина - «Магнит», магазина – «Любимый»)

График 5 – Динамика цен на овощную продукцию в течении дня (на базе рынка г.Ишимбай , магазина - «Магнит», магазина – «Любимый»)

График 6 – Динамика цен на крупы в течении дня (на базе рынка г.Ишимбай , магазина - «Магнит», магазина – «Любимый»)
Список использованных источников
1 Башина О.Э., Иванова Н.Ю. Статистика потребительских цен: Учебное пособие. – М.: Изд-во МГУ, 1999. – 82 с.
2 Экономическая статистика [Текст]:учебник / под. Ред. Ю.Н.Иванова. – М.: ИНФРА-М, 2000, - 480с.
3 Общая теория статистики [Текст]: учебник / под ред. И.И. Елисеевой. – М.: Финансы и статистика, 2004. – 246с.
4 Положение о порядке наблюдения за изменением цен и тарифов на товары и услуги, определение индекса потребительских цен. Постановление Госкомстата России от 29.06 1995 г. №79.
5 Теория статистики [Текст]: учебник под ред. Р.А.Шмойловой. – М.: Финансы и статистика, 2004. – 656с.
|