Оглавление
Введение. 2
Глава 1. Сущность, основные методы и этапы аудита персонала. 3
1.1 Цели и принципы аудита. 3
1.2 Параметры аудита. 5
1.3 Методы аудита. 7
1.4 Типы аудита. 8
1.5 Этапы аудита. 9
Глава 2 Методология применения основных методов аудита. 11
2.1 Кадровый аудит. 11
2.2Аудит эффективности использования трудовых ресурсов. 17
2.3 Аудит производительности. 23
2.4 Аудит развития персонала. 27
2.5 Анализ численности как один из важнейших элементов аудита персонала. 29
Глава 3 Автоматизация как способ совершенствования аудита. 37
3.1 Система WebTutor. 37
3.2 1C:Предприятие 8. Оценка персонала. 42
Заключение. 46
Список используемой литературы и информационных ресурсов интернета. 47
Приложение 1. 48
Приложение 2. 50
Аудит персонала является частью организационно-кадровой работы, которая также предполагает анализ кадровых процессов и внутрикорпоративного строения.
В сегодняшней ситуации практически любой вид бизнеса испытывает воздействие серьезной конкуренции. Для того чтобы выжить и преуспеть в своей деятельности организациям необходимо оставаться конкурентоспособными в этой новой среде. Сохранение компетентности возможно только через непрерывное развитие человеческих ресурсов. Потенциальным механизмом этого роста является комплексный аудит (оценка) деятельности сотрудника, оценка должна носить постоянный и всесторонний характер. Поскольку эффективная система аудита персонала оценивает достижения сотрудника и служит основой создания планов развития отдельных лиц и коллективов, ставит новые задачи и цели для дальнейшем пребывания и функционирования человека в организации.
Основной целью данной работы является рассмотрение теоретических и практических аспектов проведения комплексной оценки персонала современных условиях.
Основные задачи:
· раскрыть сущность, цели, функции, роль и место аудита персонала в организации;
· описать процесс проведения оценки сотрудников фирмы;
· рассмотреть различные методы оценки, используемые на практике;
· выявить наиболее эффективные способы оценки персонала
· рассмотреть пути совершенствования аудита персонала
Теоретической и информационной основой данной работы являются курс лекций к.э.н. проф. Попова А.Л., а так же учебник Ю.Г.Одегов, Т.В.Никонова «Аудит и контроллинг персонала» изд.2, а так же интернет ресурсы, посвященные управлению персоналом.
Забиваем Сайты В ТОП КУВАЛДОЙ - Уникальные возможности от SeoHammer
Каждая ссылка анализируется по трем пакетам оценки: SEO, Трафик и SMM.
SeoHammer делает продвижение сайта прозрачным и простым занятием.
Ссылки, вечные ссылки, статьи, упоминания, пресс-релизы - используйте по максимуму потенциал SeoHammer для продвижения вашего сайта.
Что умеет делать SeoHammer
— Продвижение в один клик, интеллектуальный подбор запросов, покупка самых лучших ссылок с высокой степенью качества у лучших бирж ссылок.
— Регулярная проверка качества ссылок по более чем 100 показателям и ежедневный пересчет показателей качества проекта.
— Все известные форматы ссылок: арендные ссылки, вечные ссылки, публикации (упоминания, мнения, отзывы, статьи, пресс-релизы).
— SeoHammer покажет, где рост или падение, а также запросы, на которые нужно обратить внимание.
SeoHammer еще предоставляет технологию Буст, она ускоряет продвижение в десятки раз,
а первые результаты появляются уже в течение первых 7 дней.
Зарегистрироваться и Начать продвижение
Объектом настоящего исследования является процесс управления персоналом организации. Предметом настоящего исследования является применение аудита персонала в современных социально-экономических условиях.
В первой части данной работы рассмотрены основные понятия и методы и этапы аудита персонала. Во второй части представлена основная методология проведения наиболее эффективных методов аудита. В третьей части рассмотрены варианты совершенствования методов аудита персонала.
Аудит персонала - это система консультационной поддержки, аналитической оценки и независимой экспертизы кадрового потенциала организации, которая наряду с финансово-хозяйственным аудитом позволяет выявить соответствие кадрового потенциала организации ее целям и стратегии развития; соответствие деятельности персонала и структур управления организации существующей нормативно-правовой базе; эффективность кадровой работы по решению задач, стоящих перед персоналом организации, ее руководством, отдельными структурными подразделениями; причины возникающих в организации социальных проблем (рисков) и возможные пути их разрешения или снижения их негативного воздействия. Аудит персонала является частью организационно-кадрового аудита, который также предполагает анализ кадровых процессов и строения организации.
Главной, глобальной целью аудита персонала является оценка эффективности и производительности деятельности персонала как одного из важнейших факторов, обеспечивающих прибыльность организации.
В практике менеджмента аудит персонала является, с одной стороны, способом наблюдения подобно финансовому или бухгалтерскому аудиту, а с другой - инструментом управления, который позволяет решить ту или иную проблему, возникающую в сфере трудовых отношений.
Аудит персонала осуществляется на основании общепризнанных для любой аудиторской проверки принципов: профессионализм, независимость, достоверность, честность и объективность, сопоставимость с международным правом.
Такой принцип, как независимость аудиторской проверки, в основном присущ внешним аудиторам, не зависящим от руководства организации.
Объект аудита персонала - трудовой коллектив организации, различные стороны его производственной деятельности, принципы и методы управления персоналом в организации. Аудиторская проверка в области персонала должна осуществляться по следующим направлениям:
Сервис онлайн-записи на собственном Telegram-боте
Попробуйте сервис онлайн-записи VisitTime на основе вашего собственного Telegram-бота:
— Разгрузит мастера, специалиста или компанию;
— Позволит гибко управлять расписанием и загрузкой;
— Разошлет оповещения о новых услугах или акциях;
— Позволит принять оплату на карту/кошелек/счет;
— Позволит записываться на групповые и персональные посещения;
— Поможет получить от клиента отзывы о визите к вам;
— Включает в себя сервис чаевых.
Для новых пользователей первый месяц бесплатно.
Зарегистрироваться в сервисе
- оценка кадрового потенциала организации, качественных и количественных характеристик персонала;
- диагностика кадровых процессов и процедур управления, оценка их эффективности.
.Определение. Целью аудита кадрового потенциала является выявление того, обладает ли организация человеческими ресурсами, необходимыми и достаточными для ее функционирования и развития; способен ли персонал работать эффективно и в соответствии с выбранной стратегией. Для этого необходимо оценить фактический состав работающих, а также особенности самого персонала, наличие у работников профессионально важных качеств и характеристик.
Оценка кадрового потенциала должна включать:
- анализ списочного состава работников по возрастному, образовательному, половому и другим признакам, естественной убыли и его соответствие организации;
- оценку укомплектованности кадрового состава в целом и по уровням управления, включая оценку обеспеченности персоналом технологического процесса;
- оценку соответствия образовательного и профессионально-квалификационного уровня персонала, степени его подготовленности требованиям производственной деятельности;
- анализ структуры кадрового состава на соответствие требованиям технологии и классификатору должностей;
- проверку и анализ данных об использовании рабочего времени;
- оценку текучести кадров и абсентеизма, изучение форм, динамики, причин движения рабочей силы, анализ потоков перемещений внутри организации, состояния дисциплины труда;
- определение в динамике количества работников, занятых неквалифицированным и малоквалифицированным трудом, тяжелым ручным трудом;
- исследование социальных аспектов трудовой деятельности (мотивации труда, профессионально-квалификационного роста, семейного положения, обеспеченности жильем и др.);
- сбор и анализ данных об уровне санитарно-гигиенических производственных и бытовых условий (состояние рабочих мест, бытовок, мест общественного питания);
- диагностику управленческого, инновационного потенциала персонала организации, его способности к обучению.
Для выработки и обоснования рекомендаций в ходе аудиторской проверки должны быть изучены не только количественные и качественные характеристики персонала, но и весь спектр функций управления персоналом, посредством которых достигается обеспечение интересов организации (табл. ниже).
Таблица 1 Основные параметры аудита по функциям управления персоналом
Основные функции управления персоналом |
Содержание аудита |
Формирование кадровой политики организации |
Оценка текущего состояния кадровой политики, степени ее согласования с целями организации, стратегией ее развития; оценка степени связи кадровой политики со спецификой организации и внешними условиями |
Планирование персонала |
Оценка наличных ресурсов, целей и перспектив развития организации, будущих потребностей в персонале; анализ штатного расписания, степени его обоснованности; анализ изменений кадрового потенциала организации |
Использование персонала |
Анализ уровня занятости персонала; анализ обеспечения стабильности состава работников; изучение занятости женщин, лиц пожилого возраста и других уязвимых слоев населения |
Наем и отбор персонала |
Оценка используемых методов найма персонала, источников и путей покрытия потребностей в персонале, стоимости найма; оценка результативности найма, обеспеченности вакансий кандидатами, перспективного списка кандидатов; оценка результативности оценочных процедур; оценка взаимодействия организации со службами трудоустройства, учебными заведениями, местными органами власти, конкурирующими организациями |
Деловая оценка персонала |
Анализ используемых форм деловой оценки персонала, периодичности ее проведения, представляемых результатов и решений, принимаемых по ее результатам |
Профориентация и адаптация персонала |
Анализ используемых методов профориентации и адаптации, оценка их эффективности (количество увольняемых работников среди вновь нанятых, конфликты в подразделениях новичков); выявление и диагностика проблем, возникающих в период адаптации |
Обучение персонала |
Анализ целей и используемых форм обучения, их соответствия целям организации; изучение содержания и продолжительности обучения; оценка персонала, прошедшего обучение; оценка эффективности обучения, фактических результатов |
Работа с кадровым резервом |
Анализ и проектирование управленческой деятельности в организации; оценка управленческого потенциала и определение потребности в подготовке кадрового резерва; оценка методов работы с кадровым резервом |
Служебно- профессиональное продвижение, деловая карьера персонала |
Анализ системы продвижения персонала в организации; анализ схем замещения должностей; анализ реализации плана кадрового роста; оценка результативности методов планирования карьеры |
Организация трудовой деятельности персонала |
Анализ условий труда, техники безопасности и охраны труда; анализ состояния нормирования труда в организации; оценка эффективности организации рабочих мест, распределения работ; анализ вложений финансовых средств в эту сферу и оценка полученных результатов |
Мотивация и стимулирование труда |
Анализ используемых форм и систем стимулирования, их связи с мотивацией персонала; анализ уровня и структуры оплаты труда; оценка соответствия разработанных принципов, структуры оплаты труда целям организации |
Трудовые отношения в коллективе |
Диагностика социально-психологического климата, оценка уровня социальной напряженности в организации, сопротивления переменам; диагностика организационной культуры, типа управленческой команды, оценка уровня соответствия целям и специфики организации |
Основные направления и показатели, необходимые для проведения аудита персонала.
1. Производительность и эффективность труда.
Это направление занимает ведущее место в сфере управления трудовыми ресурсами, так как в основе любого управления лежит сопоставление затрат и результатов труда, оценка вклада различных категорий персонала и отдельных коллективов в итоги деятельности организации.
2. Трудовой потенциал.
Данное направление оказывает непосредственное влияние на эффективность производства и уровень жизни людей.
3. Условия труда
характеризуют безопасность деятельности человека, режим труда и отдыха, уровень интенсивности труда и т.п.
4. Организация и нормирование труда
обосновывает рациональные формы разделения труда, проектирование и обслуживание рабочих мест, прогрессивные методы и приемы выполнения работы, оптимальные нормы трудовых затрат различных категорий персонала.
5. Планирование численности персонала
обеспечивает определение обоснованности потребности в различных категориях работников и их рациональное использование.
6. Мотивация персонала
побуждает человека к наиболее плодотворной деятельности на основе всестороннего учета его личных потребностей и основных целей организации.
7. Оплата и вознаграждение персонала.
Показатели этого направления определяют результаты работы и доходы сотрудников, соотношение общих доходов и компенсационных доплат и т.п.
8. Социально-трудовые отношения.
Это направление изучает взаимодействие личных, корпоративных и общественных интересов персонала, развитие партнерских отношений между работодателем и сотрудниками всех категорий и др.
9. Совершенствование организации управления персоналом
предусматривает приведение в соответствие существующих в организации форм, методов и процедур работы с кадрами.
Важную методологическую роль в проведении аудита и принятии обоснованных решений играет мониторинг в области персонала - научно обоснованная система периодического сбора, обобщения и анализа кадровой информации и представления полученных данных для принятия стратегических и тактических решений руководством организации.
Основными источниками информации, используемой для проведения аудита персонала, являются законы и инструкции в области управления трудом и трудовыми отношениями, трудовые показатели организации, результаты анкетирования и интервьюирования работников.
Сложность и многогранность объекта и целей аудита персонала предполагают использование многообразного методологического инструментария проведения проверки и анализа, который можно разделить на три основные группы методов:
1) организационно-аналитические, предполагающие проверку документации и отчетности, анализ трудовых показателей, свидетельствующих о результативности деятельности организации и ее персонала. При этом из общего числа трудовых показателей следует выделить только те, которые в наибольшей степени влияют на эффективность (прибыльность) организации, среди них показатели использования рабочей силы, рабочего времени, качества труда, производительности труда, оплаты труда и др. Источниками данной информации служат документация и отчетность организации, в том числе баланс трудовых ресурсов организации, описание работ и спецификации, должностные инструкции, данные об издержках на наем, увольнение, обучение и переподготовку кадров, анкеты и тесты кандидатов на вакантные должности (рабочие места), уровень профессиональной заболеваемости, производственного травматизма, текучести и т.д.;
2) социально-психологические методы, заключающиеся в проведении самостоятельных социологических опросов, анкетирования, индивидуальных и коллективных бесед, интервьюирования работников различных уровней и категорий. Данная группа методов наиболее результативна для оценки удовлетворенности трудом, отношения к работе, взаимоотношений в коллективе, мотивации к труду, эффективности деятельности руководства и системы вознаграждений и компенсаций и т.д.;
3) экономические методы, позволяющие путем сравнения экономических и социальных показателей деятельности организации с законодательно установленными нормами и нормативами или со средними или лучшими в отрасли (группе аналогичных организаций) показателями оценить: конкурентоспособность организации на рынке труда; эффективность функционирования служб управления персоналом; эффективность самого аудита персонала.
Таблица 2 Классификация типов аудита персонала
Признак классификации |
Тип аудита персонала |
Основные характеристики |
1. Периодичность проведения |
Текущий Оперативный Регулярный Панельный |
Проводится по заранее установленному регламенту за определенный период времени Проводится по оперативному распоряжению руководства Проводится через определенные промежутки времени Проводится с определенной периодичностью, с неизменными методикой и инструментарием на тех же группах людей и тех же объектах |
2. Полнота охвата изучаемых объектов |
Полный Локальный Тематический |
Охватывает все объекты Охватывает отдельно выделенную группу объектов или один объект Включает все объекты или по одной тематике |
| 3. Методика анализа |
Комплексный Выборочный |
Используется весь арсенал методов Анализу подвергаются работники, выбранные по специальной методике-выборке |
4. Уровень проведения |
Стратегический Управленческий Тактический |
Оценка производится на уровне высшего руководства Оценка производится на уровне линейных руководителей Оценка производится на уровне службы управления персоналом |
5. Способ проведения проверки |
Внешний Внутренний |
Проводится силами сторонних специалистов Проводится работниками самой организации |
Осуществление аудиторской проверки предполагает разделение работы на четыре этапа.
На подготовительном этапе осуществляются: формализация идеи проведения аудиторской проверки, определение ее целей, предполагаемой эффективности для организации; подбор персонала (внутри организации или вне ее) для организации проверки, его обучение в случае необходимости; разработка внутрифирменного документа (приказа, распоряжения), намечающего сроки, задачи, исполнителей и участников проверки, инструктаж исполнителей и участников; разработка плана сбора, предоставления и программы рассмотрения анализируемой информации.
На этапе сбора информации осуществляются проверка документации и отчетности, мониторинг персонала, наблюдение, опросы, анкетирование, беседы с сотрудниками, предварительная обработка статистических данных, компоновка бухгалтерской и иной информации. Следует учитывать, что статистические и иные показатели становятся более доступными и содержательными с точки зрения анализа, если для их сбора, хранения и обработки используются компьютерная техника и современные информационные технологии.
На этапе обработки и анализа информации полученная в ходе проверки информация обрабатывается и формализуется в виде таблиц, схем, диаграмм, графиков и прочих форм представления данных, удобных для оценки, и вводится в ЭВМ; на этом же этапе по разработанному алгоритму осуществляются анализ и оценка данных о деятельности персонала путем сравнения с аналогичными особо преуспевающими организациями, научно обоснованными нормами и нормативами, путем применения методов экспертной оценки, ФСА и др.
На заключительном этапе - этапе обобщения и представления оценочных результатов, выводов и рекомендаций - готовится итоговый материал, включающий, как правило, отчет о результатах аудиторской проверки. В отчете могут быть рассмотрены различные пути совершенствования управления персоналом, включая внедрение новых технологий (информационной, офисной, телекоммуникационной), сформулированы предложения по модификации существующих процедур управления, совершенствованию документации, уточнения. На этом же этапе осуществляется оценка результативности аудита персонала, заключающаяся прежде всего в социально-экономической и социально-психологической эффективности разработанных по итогам проведения аудиторской проверки мероприятий по рационализации организации труда персонала, а также по совершенствованию деятельности кадровой службы организации.
Таким образом, аудит персонала, особенно в условиях рыночной экономики, позволяет повысить прибыльность организации за счет выявления внутриорганизационных резервов повышения эффективности и производительности персонала организации.
Кадровый аудит (экспертиза кадровой документации)
– это проверка соответствия ведения кадровой документации в организации нормам российского законодательства и иных правовых актов, обязательных для исполнения на территории РФ, выявление и исправление допущенных нарушений, а также предотвращение негативных последствий этих нарушений.
Проведение кадрового аудита включает в себя:
· Проверку наличия и корректности составления локальных нормативных актов компании (Правила внутреннего трудового распорядка, Положение о защите персональных данных работников, Положение об оплате труда работников, Положение об охране труда др.)
· Проверку наличия и корректности составления документов по учету кадров (Штатное расписание, График отпусков, Табель учета рабочего времени, трудовые договора с работниками, должностные инструкции и др.).
· Проверку оформления и регистрации кадровых приказов (прием, увольнение, перевод, отпусков и др.).
· Проверку порядка ведения личных карточек сотрудников
· Проверку ведения личных дел сотрудников
· Проверку порядка заполнения и ведения трудовых книжек работников.
· Проверку порядка ознакомления сотрудников с локальными актами компании.
Порядок предоставления услуг по аудиту кадровой документации:
· Проверка наличия у Компании-Заказчика обязательных к наличию в соответствии с требованиями Законодательства РФ кадровых документов.
· Предоставление Компанией-Заказчиком для проверки документов, запрошенных специалистами нашей Компании.
· Составление заключения по результатам выполненной проверки кадровой документации.
В заключение включается:
· список проверенных документов
· список выявленных нарушений
· ответственность работодателя за нарушение трудового законодательства
· риски, которые могут возникнуть в случае не устранения выявленных нарушений (размер штрафа по каждому нарушению).
Аудит кадрового делопроизводства не нужно путать с аудитом, проводимым в бухгалтерии организации.
Аудит кадрового делопроизводства может проводиться специалистом, который обладает знаниями в области трудового права и нормативов оформления кадровых документов.
Провести кадровый аудит можно своими силами (внутренний кадровый аудит), поставив соответствующую задачу перед работающими в компании менеджерами по персоналу/работниками кадровой службы. Однако, поручая аудит штатным сотрудникам, отвечающим за ведение кадрового документооборота, необходимо понимать, что они прежде всего являются наемными работниками и не всегда способны дать независимую и объективную оценку сложившейся ситуации. Во-первых, потому что они будут фактически проводить аудит собственной работы. Во-вторых, очевидно, что от результатов проведенной проверки может зависеть оплата их труда. В-третьих, именно этим сотрудникам в случае обнаружения каких-либо отклонений придется исправлять допущенные ошибки, разрабатывать и внедрять рекомендации (предложения) по улучшению собственной же деятельности.
Приглашая внешних аудиторов (консультантов) руководство компании получает возможность значительно сэкономить время, получив одновременно дополнительный ресурс в виде знаний и опыта внешних консультантов.
Для того чтобы внешние аудиторы могли комплексно оценить состояние кадрового документооборота, им необходимо:
- изучить процедуры документирования трудовых отношений в компании; - проанализировать состав кадровой документации и определить ее соответствие требованиям действующего законодательства; - провести анализ системы хранения кадровой документации.
Юридическая сила кадрового документа зависит от нескольких условий: 1. Требования к оформлению документов (ГОСТ Р 6.30-2003). Документы, оформленные с отступлением от требований данного Государственного стандарта, теряют юридическую силу. 2. При оформлении ряда процедур по кадровому учету необходимо использовать унифицированные формы первичной учетной документации по учету труда и его оплаты, утвержденные Постановлением Госкомстата России от 5 января 2004 г. N 1. 3. Помимо требований к оформлению кадровой документации трудовое законодательство содержит также определенные требования и к их содержанию.
Соответствие документа всем указанным требованиям и подлежит проверке в ходе аудита. 1. Проверяется наличие каждого из указанных в списке документов. При проверке приказов по личному составу необходимо также убедиться в наличии документов-оснований к этим приказам. Зачастую указанные документы существуют только виртуально - ссылка на них в приказе есть, но сами документы кадровой службой не составляются. 2. Оценка оформления существующих документов на предмет их соответствия действующему законодательству. Проверяется как наличие в документе всех необходимых реквизитов, так и соблюдение требований к их оформлению.
Каждый работодатель должен обеспечить сохранность кадровых документов таким образом, чтобы защищать создаваемые документы от несанкционированного доступа, утраты, повреждения или иных чрезвычайных ситуаций. Требование об обеспечении сохранности документов, образующихся в процессе деятельности компании, и их постоянном хранении в архиве содержится в действующем законодательстве. Если в кадровой службе не создана правильная система хранения кадровых документов, обеспечить их сохранность будет невозможно.
Кадры предприятия не являются постоянной величиной: одни работники увольняются, другие принимаются на работу. Состояние кадров предприятия определяется с помощью следующих коэффициентов:
Коэффициент выбытия кадров (Квк) определяется отношением количества работников, уволенных по всем причинам за данный период к среднесписочной численности работников за тот же период:
Квк = (Чув/Чср) 100
где Чув - количество работников, уволенных по всем причинам, чел.; Чср - среднесписочная численность работников, чел.
Коэффициент приема кадров (Кпк) определяется отношением количества работников, принятых на предприятие за определенный период времени, к среднегодовой численности персонала за этот же период:
Кпк = (Чпр /Чср) 100
где Чпр - численность принятых работников, чел.
Коэффициент текучести кадров (Ктк) рассчитывается делением численности работников, выбывших по собственному желанию и уволенных за нарушение трудовой дисциплины за данный период времени (Чув), на среднесписочную численность работников за тот же период.
Ктк = (Чув/Чср) 100
Потери в численности работников от текучести кадров определяется по формуле:
?Ч = (Ктк * Чср * Дн) / (Тпл х 100)
где Дн – перерыв работы в днях при каждом переходе работника из одной организации в другую. (для укрупненных расчетов принимается равным 20 дням)
Тпл – плановый фонд рабочего времени одного работника по балансу в днях.
Коэффициент оборота кадров (Кок)
Кок = [(Чув + Чпр)/Чср] 100
Определение потребности в персонале на предприятии ведется раздельно по группам промышленно-производственного и непромышленного персонала.
Основными методами расчета количественной потребности в персонале являются расчеты:
• по трудоемкости производственной программы;
по нормам выработки;
по нормам обслуживания;
• по рабочим местам.
Норматив численности работников (основных рабочих-сдельщиков) (Нч)по трудоемкости производственной программы определяется по формуле
Нч= (Тр пл/Фн)/Кв.н
где Тр пл — плановая трудоемкость производственной программы, нормо-ч;
Фн — нормативный баланс рабочего времени одного рабочего в год, ч;
Кв.н — коэффициент выполнения норм времени рабочими.
Плановая трудоемкость производственной программы определяется по плановому нормативу трудовых затрат на единицу продукции, умноженному на плановый выпуск продукции.
Численность рабочихпо нормам выработки определяется по формуле
Нч = (Впл/Нвыр)/Кв.н
где Впл — плановый объем продукции (выполняемых работ) в установленных единицах измерения за определенный период времени;
Нвыр — плановая норма выработки в тех же единицах измерения и за тот же период времени.
Планирование численности основных рабочих в аппаратурных процессах и вспомогательных рабочих, выполняющих работы, на которые имеютсянормы обслуживания, сводится к определению общего количества объектов обслуживания с учетом сменности работ:
Нч= Ко/Но х С х Ксп
где Ко — количество единиц установленного оборудования;
Но — норма обслуживания (количество единиц оборудования, обслуживаемое одним рабочим);
С — количество рабочих смен;
Ксп — коэффициент перевода явочной численности
рабочих в списочную.
В прерывных производствах Ксп определяется как отношение номинального фонда времени к полезному (эффективному), а в непрерывных — как отношение календарного фонда времени к полезному (эффективному).
По рабочим местам обычно определяется численность вспомогательных работников, для которых не могут быть установлены ни объемы работ, ни нормы обслуживания (например, крановщики, стропальщики и т.д.):
Нч = МхСхКсп ,
где М — число рабочих мест.
Численность уборщиков может быть определена по площади закрепленных за ними помещений, гардеробщиков — по количеству обслуживаемых людей и др.
Фонд ресурсов труда в человеко-днях или человеко-часах (Фрт ) можно определить путем умножения среднесписочной численности работников (Чсп) на среднюю продолжительность рабочего периода в днях или часах (Т рв):
Фрт = Чсп х Т рв .
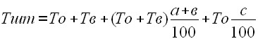
Продолжительность рабочего времени (Т рв ) в плановом периоде может быть определена по следующей формуле:
Т рв=(Тк-Тв- Тпрз- То- Тб –Ту - Тг- Тпр) х Псм -(Ткм+ Тп+ Тс),
где Тк — количество календарных дней в году;
Тв — количество выходных дней в году;
Тпрз - Количество праздничных дней в году;
То — продолжительность очередных и дополнительных отпусков, дни;
Тб — невыходы на работу по болезни и родам, дни;
Ту — продолжительность учебных отпусков, дни;
Тг — время на выполнение государственных и общественных обязанностей, дни;
Тпр — прочие неявки, разрешенные законом, дни;
Псм — продолжительность рабочей смены, ч;
Ткм — потери рабочего времени в связи с сокращением длительности рабочего дня кормящим матерям, ч;
Тп — потери рабочего времени в связи с сокращением длительности рабочего дня подросткам, ч;
Тс — потери рабочего времени в связи с сокращенным рабочим днем в предпраздничные дни, ч.
Коэффициент оборота кадров
(Кок)
Кок = [(Чув + Чпр)/Чср] 100
Кок = [(11+47)/98]*100 = 59.184%
Определение потребности в персонале на предприятии ведется раздельно по группам промышленно-производственного и непромышленного персонала.
Основными методами расчета количественной потребности в персонале являются расчеты:
- по трудоемкости производственной программы;
- по нормам выработки;
- по нормам обслуживания;
- по рабочим местам.
Продолжительность рабочего времени
(Т рв ) в плановом периоде может быть определена по следующей формуле:
Т рв=(Тк-Тв- Тпрз- То- Тб –Ту - Тг- Тпр) х Псм -(Ткм+ Тп+ Тс),
где Тк — количество календарных дней в году;
Тв — количество выходных дней в году;
Тпрз - Количество праздничных дней в году;
То — продолжительность очередных и дополнительных отпусков, дни;
Тб — невыходы на работу по болезни и родам, дни;
Ту — продолжительность учебных отпусков, дни;
Тг — время на выполнение государственных и общественных обязанностей, дни;
Тпр — прочие неявки, разрешенные законом, дни;
Псм — продолжительность рабочей смены, ч;
Ткм — потери рабочего времени в связи с сокращением длительности рабочего дня кормящим матерям, ч;
Тп — потери рабочего времени в связи с сокращением длительности рабочего дня подросткам, ч;
Тс — потери рабочего времени в связи с сокращенным рабочим днем в предпраздничные дни, ч.
2.2
Аудит эффективности использования трудовых ресурсов
В современных условиях в большинстве организаций остро встает вопрос о поисках внутренних резервов роста прибыльности и эффективности деятельности, поэтому актуальными становятся вопросы использования ресурсов как важнейшего фактора производства и повышения эффективности труда: повышение производительности и снижение затратоемкости, в т.ч. зарплатоемкости продукции и услуг, увеличение прибыли организации. Именно поэтому сегодня высока востребованность аудита эффективности использования трудовых ресурсов как целенаправленной и системной работы по решению проблем, обусловленных неэффективными методами по управлению персоналом, трудом и организацией в целом.
Методика проведения аудита эффективности использования трудовых ресурсов включает в себя: цели, объект и предмет аудиторского исследования, заказчиков и исполнителей, этапы и сроки проведения, методы исследования, источники получения информации, систему показателей эффективности, рекомендации по итогам аудиторской проверки (исследования).
Целью проведения аудиторского исследования являются проведение комплекса мероприятий по анализу эффективности использования трудовых ресурсов, формирование выводов по его результатам и разработка рекомендаций по повышению эффективности.
Объектом исследования являются трудовые коллективы и системы управления персоналом организаций. Предметом исследования - эффективность использования трудовых ресурсов в организации.
Чаще всего заказчиком данного вида аудита выступает руководство организации, иногда потенциальный инвестор. Исполнителем данного вида исследования могут стать как сотрудники организации, так и сторонние эксперты, специалисты по консалтингу, аудиторы.
Выбор исполнителей имеет свои достоинства и недостатки:
- сотрудники организации хорошо ориентируются в бизнес-процессе, технологиях, системе управления конкретной организации, они хорошо включены в систему коммуникаций, ориентируются в системе внутренней отчетности компании, при необходимости смогут наблюдать и корректировать внедрение мероприятий по повышению эффективности;
- внешние специалисты лишены данных преимуществ, но зачастую количество и опыт проведения подобного вида исследований у сторонних экспертов больше, чем у штатных сотрудников организации. К достоинствам привлечения внешних аудиторов также можно отнести: непредвзятость и более высокую объективность суждений, высокий уровень профессиональной подготовки, работу в жестких временных и бюджетных рамках.
Аудит эффективности использования трудовых ресурсов должен проводиться на основе законодательно-нормативной базы государственного, отраслевого, организационного уровня, а также с использованием принципов этики и независимости.
Сроки проведения и численность исследователей (аудиторов) зависят от "размеров и сложности" организации и проблемы, но следует отметить, что организация - развивающаяся система и при затягивании исследования рекомендации по повышению эффективности уже окажутся неэффективными как не отвечающие реальной ситуации.
Важное значение при проведении аудита имеют планирование этапов, подбор методов и определение и получение необходимого объема информации.
Изучив существующие теоретические подходы и рекомендации по проведению аудита, в качестве основы этапов проведения аудиторской проверки и методологической основы удобно использовать этапы и методы, представленные в табл. 4
Этапы и методы процесса аудита эффективности использования трудовых ресурсов (приложение 1)
Этапы и методы процесса аудита
Методологический инструментарий чрезвычайно широк и базируется главным образом на методах, используемых в экономике труда, статистике, управлении персоналом, социологии, психологии, правоведении. В целом методы могут быть представлены в виде трех групп методов: организационно-аналитические, социально-психологические и экономические.
Аудит основан на получении и изучении необходимой информации. Чем достовернее и точнее информация, тем более велика вероятность получить достоверную картину проблемной ситуации и возможность разработать наиболее эффективный комплекс мероприятий по решению выявленной проблемы.
Для оценки эффективности использования трудовых ресурсов возможно использовать систему показателей эффективности использования трудовых ресурсов. Показатели в данной системе можно разделить на группы по зонам ответственности руководителей, оптимизировать каждую группу показателей может соответствующий комплекс мероприятий по повышению эффективности (Приложение 2).
Система показателей для анализа эффективности использования трудовых ресурсов и мероприятия по повышению эффективности
Базой сравнения при оценке эффективности могут стать плановые показатели, показатели за предыдущий сопоставимый период, показатели, рассчитанные нормативным путем, или показатели ведущих предприятий данной отрасли.
В результате анализа и оценки ситуации определяются достоинства и недостатки, возможности и угрозы, которые несут выявленные проблемы, определяется программа по повышению эффективности: разрабатываются мероприятия, бюджет их внедрения, определяется их экономическая и социальная эффективность, сроки внедрения, модель контроллинга за внедрением и результатами изменений, ответственные лица.
Разрабатывая и внедряя мероприятия по повышению эффективности использования трудовых ресурсов, следует учитывать тот факт, что снижение цены труда при постоянном росте уровня жизни и увеличении уровня затрат на восстановление трудоспособности ведет к снижению производительности, мероприятия по оптимизации следует проводить под контролем уровня мотивации и с учетом сопротивления персонала, в противном случае можно еще более усугубить ситуацию или получить результаты ниже ожидаемых.
Итак, повышение эффективности использования трудовых ресурсов является актуальной задачей для большинства современных организаций. Исходя из этого, главная задача, которую сегодня приходится решать службам управления персоналом, - это производительность труда. Аудит эффективности использования трудовых ресурсов - это диагностическое исследование результатов управления трудовыми ресурсами с целью определения их фактической эффективности, внесения необходимых корректировок в процесс управления и, в конечном итоге, повышения прибыльности организации.
Методика расчета норм времени
Ручные работы всех типов производства.
Единичное производство, все виды работ:
, где а - норма времени на обслуживание рабочего места (ОБ) в % от оперативного времени, в - –норма времени на отдых и личные надобности (ОТЛ) в % от оперативного времени.
Норма калькуляционного времени, используемая для исчисления себестоимости единицы продукции, рассчитывается по формуле:
Тшт.к=Тшт*Кпз,
где Кпз – коэффициент, учитывающий затраты подготовительно-заключительного времени.
Кпз=1+Тпз/(Тсм-Тпз),
Норма штучного времени рассчитывается по формуле:
, где а – норма времени на организационное обслуживание рабочего места ОБ(ОРГ) в % от Топ, в - норма времени на отдых и личные надобности (ОТЛ) в % от Топ, с - величина времени на техническое обслуживание рабочего места ОБ(ТЕХ) в % от То.
Норма штучного времени расчитывается по формуле:
),
где а - норма времени на обслуживание рабочего места (ОБ) в % от оперативного времени, в - –норма времени на отдых и личные надобности (ОТЛ) в % от оперативного времени.
В серийном производстве норма калькуляционного времени на 1шт включает в себя норму штучного времени и ту часть подготовительно-заключительного времени на партию деталей, которая приходится на одну шт.
Тшт.к=Тшт+Тпз/п,
где п – количество штук в партии одновременно обрабатываемых заготовок.
Норма времени на обработку партии деталей:
Тпар=Тшт*п+Тпз
Тпар=Тшт.к*п,
где п – количество деталей в партии.
В массовом и крупносерийном производстве норма штучного времени является одновременно и нормой штучно-калькуляционного времени, так как подготовительно-заключительные функции выполняют специальные работники.
Норма выработки и методы ее установления
Норма выработки определяет число единиц продукции в натуральных единицах или условных единицах (или число операций), которое должно быть изготовлено (или выполнено) в единицу времени, принятую для расчета и учета одним работником или группой работников соответствующей квалификации при наиболее рациональном использовании оборудования и применении прогрессивных методов труда.
Норма выработки измеряется в натуральных единицах (штуках, метрах, тоннах) и выражает необходимый результат деятельности работников.
Норма выработки рассчитывается как частное от деления фонда сменного времени на норму времени.
В массовом производстве:
Нвыр=Тсм/Тшт,
где Тсм – продолжительность смены.
В серийном производстве:
Нвыр=Тсм/Тшт.к,
В единичном производстве:
Нвыр=Тсм/Тшт.к
В тех производствах, где ПЗ нормируется на смену:
Нвыр=(Тсм-Тпз)/Тшт
Для многих видов автоматизированного и аппаратурного оборудования:
Нвыр=Нвм*Но,
где Нвыр. м – норма выработки оборудования; Но – норма обслуживания.
Нвыр. м=Нвыр. м теор*Кп.вр,
где Нвыр. м теор – теоретическая производительность оборудования в час; Кп.вр – коэффициент полезного времени работы в смену.
Для периодических аппаратурных процессов:
Нвыр=(Тсм-Тоб-Тотл)*В*Но/Топ,
где В – выпуск продукции за один период;
Но – норма обслуживания;
Топ – длительность периода.
Расценка рассчитывается по формуле:
Р=С/Нвыр или Р=Тшт*С.
где С – ставка разряда работ данного разряда.
Взаимосвязь нормы времени и нормы выработки
Норма времени и норма выработки взаимосвязаны между собой, норма времени является исходной величиной, а норма выработки производной от нормы времени.
Зависимость между нормой времени и нормой выработки можно выразить формулой:
Нвыр=1/Нвр,
(За единицу времени может приниматься 1 час, 1 смена и т.д., которые при расчетах нужно выразить в соизмеримых единицах с нормой времени. Например, если норма времени рассчитана в мин., то продолжительность одной 8-ми часовой смены составит 480 мин.)
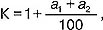
При уменьшении нормы времени норма выработки будет увеличиваться.
,
где х - процент повышения нормы выработки; у – процент снижения нормы времени.
Взаимосвязь повышения нормы выработки и снижения нормы времени выражается формулой:
,
где у – процент уменьшения нормы времени.
Соответственно, можно рассчитать процент снижения нормы времени:
,
где у – процент увеличения нормы выработки.
Данная взаимосвязь нормы времен и нормы выработки широко используется в практике промышленных предприятий, в частности при пересмотре норм труда.
С уменьшением норм времени на операцию расценка снижается на ту же величину. Но увеличение норм выработки в большей степени по сравнению со снижением норм времени дает возможность сохранить дневную тарифную ставку рабочего на том же уровне, не снижать ее при пересмотре норм, т.к. норма выработки растет быстрее, чем снижается норма времени.
Норма выработки
определяется по формуле:
где Нв
— норма выработки; Тр
— продолжительность периода, на который устанавливается норма выработки (в часах, минутах); ч — количество рабочих, принимающих участие в выполнении работы; Тн
— норма времени на данную работу или одно изделие (в человеко-часах, человеко-минутах).
Уровень выполнения норм выработки

Где и - фактическое и нормированное кол-во продукции
Мерой производительности является соотношение между результатом и ресурсами, затраченными для его достижения.
Производительность труда измеряется как объем продукции на единицу затраченного на его производство труда.
Улучшать рабочую производительность - это таким образом экономить время, чтобы получить тот же результат с наименьшими усилиями.
На уровень производительности труда непосредственное воздействие оказывают технический прогресс, фондовооруженность, качество рабочей силы, социально-трудовые отношения, организация и условия труда, эффективность распределения, сочетания различных ресурсов.
Исследование производительности жизненно важно для предприятия в конкурентной борьбе. При прочих равных условиях оно будет испытывать недостаток финансирования для продвижения продукции или для нововведений, что приведет к накоплению задержек исполнения, отставанию.
Аудит производительности - это средство увеличения производительности.
Аудитор строит свою систему показателей путем сравнительного анализа рабочих мест.
Всякий рост производительности труда, в конечном счете, означает экономию труда, сбережение рабочего времени.
В целях повышения уровня производительности труда разрабатываются специальные программы управления производительностью труда, включающие:
-измерение и оценку этого уровня;
-планирование контроля и повышения производительности на основе информации, полученной в процессе измерения и оценки;
-осуществление конкретных мер по повышению производительности;
-измерение и оценку воздействия этих мер.
Одна из важнейших задач аудитора — четко и ясно сформулировать проблемы роста производительности предприятия.
Практика показывает, что в наши дни в индустриально развитых странах рост производительности в среднем равен 2,5% в год.
Аудитор решает эту важную проблему сопоставлением необходимого роста рабочего времени (желательный рост производительности) с реальным числом часов (например, с временем, необходимым для плавки чугуна естественным путем).
Чем меньше при прочих равных условиях издержки, связанные с потреблением ресурсов живого труда и подлежащие включению в общую сумму издержек производства и обращения фирмы, тем больше величина прибыли
Аудит использования рабочего времени начинается с анализа планового объема рабочего времени, исчисляемого методом вычитания из числа дней в году праздничных, отпускных дней и потерь рабочего времени из расчета среднего числа часов работы одного среднесписочного рабочего за год, месяц. Он заканчивается соотнесением планового объема рабочего времени с фактическим, реальным фондом рабочего времени, величина которого зависит от численности работников, продолжительности рабочего периода в днях, продолжительности рабочего дня, количества отработанных человеко-часов. Сравнение плановых (расчетных, базисных) показателей с фактическими обнаруживает потери рабочего времени в абсолютных единицах и в процентах.
Как отклонение плана и факта в процентах рассчитываются показатели: среднесписочного количества работников, количество отработанных дней, среднесписочная продолжительность рабочего дня, среднее количество часов работы одного работника и т.д. Затем на основе этих данных составляется для наглядности таблица. Более детальную характеристику использования рабочего времени с организации дает анализ баланса рабочего времени одного среднесписочного работника. Эффективность использования рабочего времени определяют возможным сокращением численности работников и величиной недоданной продукции за счет потерь и нерациональных затрат рабочего времени.
На предприятиях производительность труда определяется как эффективность затрат только живого труда и рассчитывается через показатели выработки и трудоемкости продукции, между которыми имеется обратно пропорциональная зависимость.
Выработка (производительность труда) (ПТ) — это количество продукции, произведенной в единицу рабочего времени либо приходящейся на одного среднесписочного работника или рабочего за определенный период (час, смену, месяц, квартал, год). Она рассчитывается как отношение объема произведенной продукции (В) к затратам рабочего времени на производство этой продукции (Т) или к среднесписочной численности работников либо рабочих (Ч):
ПТ=В/Т или ПТ=В/Ч.
Аналогично определяется часовая (ПТч) и дневная (ПТ дн) выработка на одного рабочего:
ПТч= Вмес /Тчас ; ПТдн =Вмес / Тдн.
где Вмес — объем продукции за месяц (квартал, год);
Тчас, Тдн — количество человеко-часов, человеко-дней
(рабочего времени), отработанных всеми рабочими за месяц (квартал, год).
При расчете часовой выработки в состав отработанных человеко-часов не включаются внутрисменные простои, поэтому она наиболее точно характеризует уровень производительности живого труда.
При расчете дневной выработки в состав отработанных человеко-дней не включаются целодневные простои и невыходы.
Объем произведенной продукции может быть выражен в натуральных, стоимостных и трудовых единицах измерения. Соответственно, различают три метода определения выработки: натуральный (условно-натуральный), стоимостный и по нормированному рабочему времени.
Годовая производительность труда (годовая выработка на одного работающего) является основным плановым и учетным показателем для предприятий.
Трудоемкость (Тр) представляет собой затраты живого труда на производство единицы продукции. Она устанавливает прямую зависимость между объемом производства и трудовыми затратами и определяется по формуле
Тр=Т/В,
где Т — время, затраченное на производство всей продукции, нормо-ч, человеко-ч;
В — объем произведенной продукции в натуральном выражении.
Различают технологическую трудоемкость, трудоемкость обслуживания производства, производственную трудоемкость, трудоемкость управления производством и полную трудоемкость.
Технологическая трудоемкость (Тр тех) отражает затраты труда основных производственных рабочих-сдельщиков (Тр сд) и рабочих-повременщиков (Тр повр ):
Тр тех =Тр сд + Тр повр .
Трудоемкость обслуживания производства ( Тр обсл) представляет собой совокупность затрат вспомогательных рабочих цехов основного производства (Тр вспом) и всех рабочих вспомогательных цехов и служб (ремонтного, энергетического и т.д.), занятых обслуживанием производства (Тр всп):
Тр обсл = Тр вспом + Тр всп .
Производственная трудоемкость (Тр пр ) включает затраты труда всех рабочих, как основных, так и вспомогательных:
Тр пр = Тр тех + Тр обсл
Трудоемкость управления производством (Тр у) представляет собой затраты труда служащих (руководителей, специалистов и собственно служащих), занятых как в основных и вспомогательных цехах (Тр сл.пр ), так и в общезаводских службах предприятия (Тр сл.зав ):
Тр у =Тр сл.пр + Тр сл.зав .
В составеполной трудоемкости (Тр полн) отражаются затраты труда всех категорий промышленно-производственного персонала предприятия:
Тр полн =Тр техн + Тр обсл + Тр у
В зависимости от характера и назначения затрат труда каждый из указанных показателей трудоемкости может быть проектным, перспективным, нормативным, плановым и фактическим.
Аудит оценивает возможности использования человеческого потенциала с позиции стратегического плана организации по трем аспектам:
-общие условия развития персонала, т.е. проводится анализ стратегии и менеджерских мощностей предприятия;
-качества средств и методов стратегического управления персоналом, т.е. анализируется доступная информация, позволяющая составить представление о настоящем положении дел, перспективах использования кадрового потенциала, прогнозах изменений во внешней среде.
-оценка возможных рисков.
С позиции интересов работника аудиторская экспертиза осуществляется в двух направлениях:
-развитие компетентности работника (повышение квалификации) и
-возможность продвижения по служебной лестнице (карьера).
Многие фирмы экономят на обучении персонала, хотя обучение выходит на одно из первых мест в перечне средств повышения конкурентоспособности работодателя.
Аудитор знакомится с программами повышения квалификации фирмы и делает выводы относительно:
- наличия потребностей в обучении работников;
- постановки целей обучения;
- выбора методов обучения;
- изменение результатов до и после обучения и конечной оценки эффективности программы.
Издержки на обучение равны прямым и косвенным затратам фирмы на этот процесс.
Второй аспект развития должности в интересах работника - это его карьера.
Управление персоналом базируется на предположении, что фирма принимает на себя обязательства наиболее полно использовать возможности работников и предоставлять каждому из них шанс расти, наиболее полно самореализоваться, успешно продвигаться по служебной лестнице.
Все действия по укомплектованию персоналом должны служить удовлетворению потребностей, как организации, так и отдельных работников - это выгодно как организации, с точки зрения улучшения выполнения работниками обязанностей, так и служащим за счет более полной, напряженной и интересной работы и возможности сделать карьеру.
Аудитор проверяет, насколько предприятие осознает важность развития карьеры, предлагаются ли работникам разнообразные возможности, которые могут включать простые программы обучения или детализированные консультационные услуги для совершенствования индивидуальных планов продвижения по службе.
Общая цель этик программ — сочетание потребностей и целей работника с текущими или будущими возможностями продвижения, имеющимися на предприятии.
Аудит персонала направлен на поиск резервов системы карьерного роста, что может помочь работникам в определении их собственных потребностей к продвижению, подготовку информации о подходящих возможностях карьеры внутри предприятия при согласовании индивидуальных и корпоративных целей. Нахождение таких резервов может уменьшить устаревание человеческих ресурсов, которые так дорого обходится предприятию.
Аудитор оценивает:
-степень информирования сотрудников о вакантных местах и о необходимой для этого квалификации;
-указана ли система, в соответствии с которой работники могут претендовать на эти места;
-оказывается ли помощь работникам в планировании карьеры;
-имеется ли осмысленный диалог между работниками и их руководителями о целях этой карьеры.
Следует оценить проблемы развития карьеры по отдельным группам работников, например, определить причины ранних затруднений, связанных с карьерой (молодые специалисты), проблемы, связанные с серединой карьеры или с ее завершением (предпенсионный период). B каждом из этих случаев аудитор ищет факторы риска социального характера и предлагает пути их снижения.
Задача аудитора — нахождение «узких» мест в совмещении личных ожиданий в области своей карьеры с возможностями, доступными в данной организации. Для этого применяется двоякий подход:
-с одной стороны, оценивается процедура планирования карьеры в организации, предусматривает ли план продвижений средства для достижения желаемых результатов;
-с другой - выясняется, как учитываются желания и возможности самих работников в области обучения, тренингов и профессионального развития.
Рабочая сила на предприятии группируется по составу категорий, а также по профессиям, специальностям и квалификации. Анализ состава работающих на предприятии позволяет определить размеры предприятия, его подразделений, их статус и потенциал развития в области роста профессионализма и квалификации.
Расчёт показателей численности и движения персонала предоставляет руководителям возможность определить дополнительную потребность или избыток кадров. В современных условиях экономического кризиса происходит массовое сокращение работников. Это увеличивает текучесть кадров и влечёт за собой убытки в виде уменьшения объёмов производства и расходов на привлечение новых сотрудников. Также, общеизвестно, что сложившийся, дружный коллектив даёт высокие результаты. Деятельность, направленная на снижение этого показателя способствует более эффективной работе предприятия в целом.
Движение персонала делиться на внешнее и внутреннее. Внешнее - изменение численности работников предприятия в связи с приемом на работу и увольнением. Внутреннее – повышение или понижение в должности, изменение квалификации в рамках тарифной сетки и т.п. Обе группы важны для предприятия, но статистике интересно внешнее движение персонала. Это движение характеризуется различными показателями:
-коэффициент безработицы
Нормирование является инструментом определения численности персонала, необходимого для выполнения заданного объема работ. На практике используются несколько видов норм по труду (нормы времени, выработки, численности и обслуживания), на основе которых можно рассчитать как необходимую, так и штатную численность работников.
Необходимая численность
работников позволяет эффективно и качественно выполнять конкретную работу в заданных объемах и обеспечивает соблюдение научно обоснованного режима труда и отдыха.
Фактически необходимая численность определяет оптимальное количество работников. Однако по различным причинам люди могут отсутствовать на рабочем месте.
Штатная численность
работников рассчитывается на основе норм по труду с учетом плановых невыходов, устанавливаемых по данным бухгалтерского учета:

где Ш — штатная численность персонала;
Н — нормативная численность;
Кн — плановый коэффициент невыходов (отпуска, временная нетрудоспособность и т. д.), определяемый как

Часто нормативную численность называют явочной, а штатную — списочной.
При проведении расчетов следует помнить, что некоторые сборники норм могут уже учитывать плановые невыходы работников, что обязательно должно быть отражено в общей части сборника. Кроме того, при расчете поправочных коэффициентов в используемых нормах обязательно принимаются во внимание затраты времени на отдых и личные нужды работников.
Планирование численности персонала на основе норм по труду позволяет достигнуть того уровня производительности, который реально соответствует организационно-техническим условиям.
Расчет на основе норм численности
Норма численности
— установленная численность работников определенного профессионально-квалификационного состава, необходимых для выполнения конкретных производственных, управленческих функций или объема работ в заданных организационно-технических условиях.
При очевидной простоте применения эти нормы имеют и некоторые недостатки, одним из которых является их относительно невысокая точность. Объясняется это тем, что при расчете норм численности учитываются наиболее типовые для данной категории персонала состав и объем работ. При отклонении реального состава работ от типового снижается точность получаемого результата. Чаще всего нормы численности представляются в виде расчетных зависимостей или составленных на их основе нормативных таблиц. Так, в Межотраслевых нормативах численности работников бухгалтерского учета, утвержденных приказом Министерства труда и социальной политики Украины от 26 сентября 2003 г. № 269, приведены нормативные таблицы и расчетные зависимости для определения численности бухгалтеров на предприятиях с числом структурных подразделений от 3 до 120 и численностью работников от 10 до 20 000 чел. Указанные нормы численности учитывают подготовительно-заключительное время и время на отдых и личные нужды работников.
На предприятиях с численностью работников от 5100 до 10 000 чел. и числом структурных подразделений от 25 до 80 нормативная численность бухгалтеров определяется так:

где Чраб — численность работников предприятия (тыс. чел.);
Nподр — число структурных подразделений;
Кк.п.з — коэффициент, учитывающий удельный вес работ по бухгалтерскому учету, которые выполняются с использованием ЭВМ. Определяется по таблице.
Для каждого диапазона измерения указанных параметров используются разные расчетные зависимости.
Если в состав предприятия входят 47 структурных подразделений, в которых работают 5350 чел., а 75% работ в бухгалтерии выполняются с применением ЭВМ, то нормативная численность работников бухгалтерского учета составляет:

В данном случае нормативная численность рассчитана с учетом типовых видов работ по бухгалтерскому учету. Если виды таких работ на предприятии будут отличаться от типовых, точность результата снизится. Поэтому в Межотраслевых нормативах численности работников бухгалтерского учета приведены также нормы времени для работ по бухгалтерскому учету, которые в полной мере позволяют учесть специфику каждого конкретного предприятия.
Расчет на основе норм времени
Норма времени
— количество затрат рабочего времени, установленное для выполнения одной единицы работы работником или группой работников (бригадой) соответствующей квалификации в заданных организационно-технических условиях. При достаточном охвате нормированием выполняемых работ использование норм времени дает точный и объективный результат по расчету численности персонала. Увеличение доли работ, не охваченных нормированием, вносит растущую погрешность, поскольку учет таких работ обычно производится экспертным (оценочным) путем.
На основе норм времени нормативная численность персонала рассчитывается так:

где То — общие трудозатраты на объем работ планируемого периода (смены, месяца, года и т. д.), чел./ч;
Фр.в — фонд рабочего времени на планируемый период, ч;
Кв.н — плановый коэффициент выполнения норм.
Общие трудозатраты на объем работ планируемого периода:

где Тp i
— затраты времени на каждый отдельный ( i
-й) вид работ, чел./ч (если используемые нормы времени не включают в себя затраты времени на отдых и личные нужды работников, то Tp i
= T i
(1 + Колн / 100), где Колн — процент потерь рабочего времени, от 1 до 15% в зависимости от категории работников, на отдых и личные нужды);
К — коэффициент, учитывающий трудоемкость работ, не охваченных нормированием или носящих разовый характер. К = 1 + % ненорм. работ / 100;
Нв n
— норма времени на данный вид работ, чел./ч;
O n
— объем данного вида работ.
Рассмотрим пример расчета численности бухгалтеров, занимающихся учетом заработной платы. Виды и объем таких работ приведены в табл. 1
. Плановый коэффициент выполнения норм Кв.н = 100, коэффициент работ, не охваченных нормированием, К = 1,03, фонд рабочего времени на 2004 год — 2012 ч. Более 90% работ выполняются на ЭВМ (Кк.п.з = 1,0).

| Таблица
4
. Виды и объем работ по учету заработной платы
|
№
п/п
|
Виды работ
|
Единица
измерения
|
Норма
времени, чел./ч
|
Объем работ
за год
|
Трудоемкость,
чел./ч
|
| 1 |
Начисление заработной платы работникам за выполненные работы |
1 позиция в ведомости |
0,15 |
350 х 12 = 4200 |
630,0 |
| 2 |
Удержание подоходного налога |
0,15 |
350 х 12 = 4200 |
420,0 |
| 3 |
Удержания в пенсионный фонд |
0,15 |
350 х 12 = 4200 |
630,0 |
| 4 |
Удержания в фонд социального страхования на случай временной утраты трудоспособности |
0,15 |
350 х 12 = 4200 |
630,0 |
| 5 |
Удержания в фонд социального страхования на случай безработицы |
0,15 |
350 х 12 = 4200 |
630,0 |
| 6 |
Удержания по исполнительным листам |
0,15 |
53 х 12 = 636 |
94,5 |
| 7 |
Удержание профсоюзных взносов |
0,15 |
315 х 12 = 3780 |
567,0 |
| Итого
|
3601,5
|
Таким образом, нормативная численность работников бухгалтерии предприятия, определенная на основе плановых объемов работ и норм времени, — 1,84 чел. Штатная численность данной категории работников при коэффициенте невыходов Кн = 1,10 составляет:

Расчет на основе норм выработки
Норма выработки
— установленный объем работ (количество единиц продукции), который работник или группа работников (бригада) соответствующей квалификации обязаны выполнять (изготовить, перевезти и т. д.) в единицу рабочего времени в заданных организационно-технических условиях. Норма выработки является величиной, обратной норме времени.
Расчет численности персонала на основе норм выработки дает достаточно объективный и точный результат. При этом используется формула:

где V
— плановый объем работ в принятых единицах измерения;
Фр.в — фонд рабочего времени на планируемый период, ч.;
Нвыр — норма выработки в принятых единицах измерения;
Кв.н — плановый коэффициент выполнения норм.
Предположим, рабочая программа предприятия предусматривает вырезание 108 000 заготовок в год. Местная норма выработки на одного рабочего — 8 заготовок в час. Плановый коэффициент выполнения норм — 1,1. Фонд рабочего времени на 2004 год — 2012 ч. Нормативная численность рабочих, производящих данный вид заготовок, составляет:

Расчет на основе норм обслуживания
Норма обслуживания
— количество производственных объектов (единиц оборудования, рабочих мест, голов скота и т. д.), которые работник или группа работников (бригада) соответствующей квалификации обязаны обслужить в единицу времени в заданных организационно-технологических условиях.
По своей сути норма обслуживания эквивалентна норме выработки для функции обслуживания. Поэтому достаточно часто разрабатываются нормы времени обслуживания. Например, для уборщиков (функция обслуживания) может устанавливаться как площадь убираемого помещения (норма обслуживания), так и время на уборку 1 м2 (норма времени обслуживания).
Нормативная численность работников на основе норм обслуживания рассчитывается по формуле:

где O i
— объем выполняемых работ i
-го вида;
Ho i
— нормы обслуживания для i
-го вида работ;
К — коэффициент, учитывающий время на выполнение вспомогательных функций, а также отдых и личные нужды работников.

где a1
— время на выполнение вспомогательных функций, %;
a2
— время на отдых и личные нужды работников, %.
При использовании норм времени обслуживания нормативная численность работников определяется так:

где T
н.о — норма времени обслуживания для всего комплекса выполняемых работ за планируемый период (год, месяц, смену и т. д.);
Ф — фонд рабочего времени планируемого периода.

где T
н i
— норма времени обслуживания для отдельных видов работ;
К — коэффициент, учитывающий время для выполнения вспомогательных функций, а также отдыха и личных нужд работников.

где ti
— норма времени обслуживания на единицу работ;
Vi
— объем выполняемых работ по каждому виду;
qi
— средняя повторяемость работ по каждому виду.
Рассмотрим пример расчета нормативной численности уборщиков, осуществляющих уборку вестибюля, коридоров и туалетов. Нормы обслуживания и времени обслуживания для данных видов работ приведены в табл. 2
и определены на основе Норм времени на уборку служебных и культурно-бытовых помещений (2001).
Таблица
5
. Нормы обслуживания и времени обслуживания для отдельных видов работ,
выполняемых уборщиками служебных помещений
|
№
п/п
|
Виды работ
|
Нормы
обслуживания,
м2 в смену
|
Нормы времени обслуживания,
чел./мин на 1 м2
|
| 1 |
Подметание фойе и коридоров |
2500 |
0,191 |
| 2 |
Мытье полов в фойе и коридорах |
990 |
0,484 |
| 3 |
Подметание лестниц и лестничных клеток |
940 |
0,510 |
| 4 |
Мытье полов на лестницах и лестничных клетках |
470 |
1,028 |
| 5 |
Мытье полов в туалете |
420 |
1,146 |
Предположим, что уборщики ежедневно при односменной работе осуществляют подметание и мытье 1300 м2 полов в фойе и коридорах офисного здания, 250 м2 полов на лестницах и лестничных клетках, а также мытье дважды в смену 60 м2 полов в туалетах. При этом норма времени на выполнение вспомогательных функций составляет 3%, норма времени на отдых и личные нужды работников — 2%.

При расчете нормативной численности персонала на основе норм обслуживания

При расчете нормативной численности персонала на основе норм времени обслуживания


Таким образом, нормативная численность уборщиков, выполняющих указанные работы, должна составлять 3,06 чел.
При расчете как нормативной, так и штатной численности часто получают результаты, выраженные дробными числами, которые необходимо округлить. В практике принято оперировать штатными единицами не менее 0,25 ставки. Результаты расчетов служат основанием для принятия конкретных управленческих решений по формированию кадрового состава предприятия и его штатного расписания.
Компания Websoft, ведущий поставщик комплексных решений в области автоматизации подбора, обучения, развития и оценки персонала, в начале 2010 года осуществила автоматизацию ежегодной оценки компетенций персонала в Банке ВТБ 24, реализовав все необходимые настройки этой процедуры в соответствии со спецификой бизнес-процессов Банка. Основой решения стала система WebTutor, комплексный программный продукт для управления обучением, развитием, адаптацией и оценкой персонала.
В результате реализации данного проекта проведена оценка компетенций 15,5 тыс. сотрудников, обработано более 45 тыс. оценочных форм, получены индивидуальные рекомендации для каждого оцениваемого сотрудника. Благодаря решению, реализованному WebSoft, Банку удалось уменьшить трудозатраты по ее администрированию, а также сократить время подведения итогов проведенной оценки.
Перед проведением оценки специалисты WebSoft осуществили интеграцию системы WebTutor с новой кадровой системой, используемой в Банке с конца 2009 года, настроили загрузку данных из внешних источников по компетенциям, профилям, типовым должностям, их уровням, ступеням, а также связям между ними в систему WebTutor.
Для проведения процедуры оценки были разработаны оценочные формы по шаблону заказчика, настроен документооборот их заполнения и утверждения оценочных форм в соответствии со спецификой бизнес-процессов Банка. При разработке была учтена сложная схема согласования оценочных форм при инициировании конфликта, а также даже предусмотрен механизм делегирования полномочий на период болезни или командировки оценивающего сотрудника, реализована возможность продления процедуры для отдельных сотрудников.
Эксперт Центра обучения персонала Банка ВТБ 24 Любовь Шашенкова прокомментировала этот проект: «Внедрение и настройка модуля «Оценка Персонала» системы WebTutor прошло успешно благодаря тесному взаимодействию наших сотрудников со специалистами WebSoft и оперативному реагированию сотрудников этой компании на все возникавшие у нас вопросы и проблемы. За время нашего сотрудничества специалисты WebSoft реализовали в системе WebTutor большое количество необходимых нам дополнительных функций и настроек, что позволило полностью автоматизировать процесс оценки компетенций в Банке. Мы благодарим компанию Websoft за оперативную, профессиональную помощь и активную заинтересованность в реализации данного проекта».
В свою очередь генеральный директор WebSoft Алексей Корольков отметил: «В ходе подготовки и реализации данного проекта коллектив нашей компании в очередной раз убедился в тщательной продуманности и основательности реализуемых в Банке ВТБ 24 проектов. Специалисты Банка остались удовлетворены новой формой проведения оценки персонала и уже запланировали очередную аналогичную процедуру на конец этого – начало следующего года. Кроме того, планируется следующий проект по автоматизации оценки деятельности внутренних подразделений Банка, который также будет реализован на платформе WebTutor. Использование нового формата процедуры автоматизации оценки обеспечивает Банку ВТБ 24 возможность еще более оперативно повышать уровень профессионализма своих сотрудников с учетом их индивидуальных особенностей, что, безусловно, делает этот Банк одним из самых привлекательных на российском рынке».
WebTutor — система комплексной автоматизации бизнес-процессов, связанных с подбором, оценкой, тестированием и обучением персонала, управлением талантами, систематизацией и хранением знаний, а также с организацией корпоративных коммуникаций и взаимодействия между сотрудниками и HR-подразделением.
Систему WebTutor отличает модульный подход, позволяющий создавать на базе набора программных модулей гибко настраиваемые системы, функционал которых зависит от задач, стоящих перед заказчиком.
В результате внедрения системы заказчик получает портал, который может быть доступен как в сети Интернет, так и в Интранет. На основе портала может быть построена либо система дистанционного обучения и тестирования, либо полноценный учебный или HR-портал, автоматизирующий все процессы корпоративного обучения, либо корпоративный информационный портал компании.
Портал предоставляет пользователям (сотрудникам компании, партнерам, клиентам) сервисы, зависящие от набора внедренных модулей системы. Примеры сервисов, доступных на портале:
· Дистанционное обучение сотрудников
· Информирование сотрудников об HR-политике компании (новости, статьи, документы)
· Тестирование сотрудников
· Проведение процедур оценки персонала (по компетенциям, по целям)
· Информирование сотрудников обо всех формах корпоративного обучения, ознакомление с календарем учебных мероприятий, сбор заявок на обучение,
· Сбор обратной связи - форумы, блоги, опросы, отзывы об обучении
· Формирование базы знаний компании
Система может быть интегрирована с основными элементами ИТ-инфраструктуры заказчика - системой учета персонала, EPR системой, системами учета пользователей, корпоративной почтовой системой и т.п. Интеграция позволяет сделать внедрение и эксплуатацию системы максимально эффективными.
Сотни ведущих компаний России и стран СНГ успешно внедрили и используют систему WebTutor. Общее количество пользователей системы (сотрудников ведущих компаний, использующих порталы, построенные на ее основе) превышает 500.000 человек.
Модуль "Оценка персонала" системы WebTutor позволяет автоматизировать процедуры планирования, проведения и анализа результатов различных типов оценочных процедур, в том числе различные формы оценки по компетенциям (включая обратную связь 360 градусов), формирование и индивидуальных планов развития сотрудников, оценку результатов деятельности (по ключевым показателям эффективности, по целям), тестирование, оценку должностей
Основные задачи, решаемые модулем:
· Ведение библиотеки компетенций, знаний навыков, поведенческих индикаторов
· Ведение библиотеки ключевых показателей эффективности (KPI)
· Формирование профилей должностей на основе библиотеки компетенций
· Автоматизированное формирование планов оценки на основе параметров оценочных процедур и организационной структуры компании
· Поддержка множества типов оценочных процедур, в том числе проводящихся одновременно
· Гибкая настройка процедур согласования оценочных форм на основе встроенного в систему редактора электронных документооборотов
· Уведомление участников оценки по электронной почте

Рис. 1 - формирование модели компетенций
Дополнительные функциональные возможности:
· Поддержка гибкой схемы подчиненности (функциональные руководители)
· Возможность загрузки данных для оценки по KPI из внешних баз данных
· Возможность совмещения в одной процедуре различных оценочных форм (компетенции, цели, индивидуальные планы развития)
· Возможность гибкой настройки аналитических отчетов (включая встроенный генератор отчетов), в том числе с графическими

Рис. 2 - заполнение оценочной формы на портале
Основные преимущества автоматизации:
· Возможность проведения массовых процедур оценки в короткие сроки
· Сокращение трудозатрат на сбор и обработку оценочных форм
· Возможность построения произвольной аналитики по итогам оценки

Программный продукт 1С:Оценка персонала – совместное решение фирм 1С и Персонал Софт, предназначенное для автоматизации процессов оценки персонала на предприятии на основе модели компетенций, профессионального и психологического тестирования, оценки результатов труда по KPI.
Решение предназначено создания автоматизированных рабочих мест менеджеров по персоналу, сотрудников кадровых служб, отделов по управлению персоналом и организационному развитию.
Программа 1С:Предприятие 8. Оценка персонала позволяет:
· автоматизировать большинство процессов оценки персонала, в том числе ассессмента и аттестации;
· проводить оценку кандидатов при приеме на работу, проведении кадровых конкурсов, ротации кадров с учетом соответствия сотрудников определенным должностным требованиям;
· проводить аттестации персонала и анализировать результаты;
· определять сильные и слабые стороны управленческих и проектных команд, формировать профессиональные команды с учетом индивидуально-психологических особенностей каждого сотрудника;
· внедрить на предприятии систему компетенций персонала;
· прогнозировать поведение сотрудников в типичных ситуациях для оценки потенциальных рисков, связанных с их деятельностью; проводить мониторинг социально-психологического климата в коллективе при реализации новых или рискованных управленческих решений;
· оценивать работу персонала на основе системы показателей эффективности (KPI).
Базовые методики, реализованные в 1С:Предприятие 8. Оценка персонала:
· Оценка компетенций методом «360 градусов». В комплект поставки входит кластер из 54 компетенций.
· Конструирование и проведение профессиональных тестов для оценки компетентностей: знаний и навыков сотрудников.
· Психодиагностика – в составе поставки 36 психологических тестов.
· Социометрия.
· Проектирование управленческих и проектных команд по методикам Р. Белбина, Т.Ю. Базарова, Кейрси.
· Оценка персонала по KPI.

Основу решения 1С:Предприятие 8. Оценка персонала составляет платформа 1С:Предприятие 8 , которая обеспечивает:
1. Масштабируемость: решение может быть развернуто в файловом варианте, с использованием технологии «клиент-сервер», в виде распределенной информационной базы. Все варианты поддерживают многопользовательскую работу.
2. Администрирование: ведение списка пользователей, возможность регистрации всех действий пользователя, архивирование данных.
3. Средства разработки: при внедрении решения можно добавить функционал, учитывающий специфику организации: автоматизировать созданные в компании уникальные системы оценки, обеспечить обмен данными с другими программами, используемыми в компании.
4. Систему прав доступа.
Решение «1С:Предприятие 8. Оценка персонала»
содержит следующие функциональные блоки:
· Учет данных о персонале
:
1. Cоздание и ведение корпоративной структуры предприятия.
2. Ведение кадрового плана.
3. Ведение личных карточек сотрудников и кандидатов.
4. Учет данных о движении персонала: прием и увольнение работников, перемещение по службе.
5. Определение системы компетенций компании.
6. Создание профилей, соответствующих позициям кадрового плана.
7. Определение перечня KPI для каждой должности и структурного подразделений предприятия.
Скриншот «учет данных о персонале»
· Автоматизация тестирования и анкетирования
:
1. Конструктор тестов, открывающий возможность к созданию пользователями тестов любой сложности, а также загрузке готовых тестов извне.
2. Задание «плана оценок», т.е. определение перечня тестов и плановых результатов их прохождения для каждой позиции кадрового плана.
3. Проведение тестирования и анкетирования несколькими способами:
- непосредственно в среде «1С:Предприятие 8»;
- на корпоративном портале компании;
- удаленное тестирование и анкетирование с помощью клиента (программы), не требующего специальной установки и лицензирования;
- удаленное тестирования с помощью электронных бланков, доступных по локальной сети.
4. Возможность выгрузки результатов тестирования и анкетирования в MS Word (например, для написания заключений по результатам аттестации сотрудников).
5. Автоматические расчеты результатов тестирования и анкетирования. На подготовку и расчет результатов для нескольких сотен человек у менеджера по персоналу уходит всего несколько минут.
Скриншот «тестирование и анкетирование»
· Блок KPI
:
1. «Привязка» показателей к должностям и подразделениям.
2. Планирование значений показателей.
3. Учет фактических значений KPI по сотрудникам и подразделениям.
4. Возможность загрузки значений показателей в программу.
Скриншот «KPI»
· Аналитический блок
:
1. Специальные отчеты для каждой персонал - технологии: психодиагностики, формирования команд, оценки социально-психологического климата, оценки профессиональных и личностных компетенций, системы KPI.
2. Возможность создания произвольных отчетов.
Программа 1С Оценка персонала может использоваться как самостоятельно, так и совместно с другими программами, такими как 1С Зарплата и управление персоналом 8, 1С Управление производственным предприятием, 1С-Битрикс: Корпоративный портал.
В комплект поставки входит программный продукт, полностью готовый к работе, с начальными данными (тесты, компетенции) и необходимой документацией.
Подводя итоги данной работы, хотелось бы отметить тот факт, что цель кадровой работы любого предприятия заключается в формировании работоспособного и конкурентоспособного персонала, от которого зависит точность выполнения принимаемых решений и успех работы каждого подразделения в отдельности и всего предприятия в целом. А для этого в обязательном порядке необходимо проведение комплексного аудита персонала, который позволяет:
- адекватно расценить потенциальные и реальные возможности каждого члена коллектива,
- разработать планы обучения и развития персонала, систему мотивации и стимулирования сотрудников,
- и в целом, определить уровень работы в прошлом, чтобы способствовать его повышению в будущем (в т.ч. и качества работы).
Однако, также считается необходимым добавить, что оценка вызывает у некоторых (или, возможно даже, у многих) менеджеров затруднения и неприятные чувства. Так бывает только в тех случаях, когда используется неадекватные методы, либо когда сотрудникам не вполне понятно, зачем нужна оценка их работы и каким образом она повлияет на их дальнейшее пребывание в организации.
А в общем и целом, на самом деле оценка служит множеству целей, а улучшение ее результатов и эффективность играют все более решающую роль на современном рынке. Как показывают исследования, регулярная и систематическая оценка персонала положительно сказывается на мотивации работников, их профессиональном развитии и росте внутри организации. Поэтому эффективная система оценки была и продолжает быть одной из приоритетных задач управления персоналом.
- Одегов Ю.Г., Никонова Т.В. «Аудит и контроллинг персонала»: учебник. 2-е изд., перераб. И доп. – М.: Изд.»Альфа-Пресс», 2010.
- http://www.hr-portal.ru/node/36897 (Комплексный аудит системы управления персоналом, статья)
- http://market-pages.ru/audit/12.html (информационный бизнес портал)
- http://www.hrm.ru/kadrovyjj-audit-kak-sistema-ocenki-chelovecheskogo-potenciala-kompanii- (Кадровый аудит как система оценки человеческого потенциала компании)
- http://ekonomika-predprijatija.ru/tag/pokazatel (информационный ресурс, рассчет показателей)
- http://www.personal-soft.ru/1c_software_service/1c_assessment.php (автоматизация)
- http://www.websoft.ru/db/wb/root_id/products/doc.html (автоматизация)
Этапы и методы процесса аудита эффективности использования трудовых ресурсов
| N |
Этап |
Содержание этапа аудита |
Наименование метода |
| 1 |
Выявление проблемы (подготовительный) |
Изучение информации о компании - финансовых данных, сведений об эффективности контроля. На основе установочных интервью с руководителями предприятия уточняются границы бизнеса, лица и подразделения, ответственные за бизнес- процессы, ключевые функции, текущие и стратегические цели. Определяются направления аудиторского обследования. Формируются проблемы, выбираются оптимальные методы исследования, планируются процедуры проведения |
Самообследование; установочные и экспертные интервью; анализ документов, сбор данных; формализованное описание процедур; построение схем и моделирование бизнес- процессов и ключевых функций; функционально- стоимостной анализ (ФСА) |
| 2 |
Получение информации для анализа |
Планирование и реализация процедур сбора данных. Анализируются документы, проходят установочные и экспертные интервью с руководителями подразделений и специалистами. Аудиторы формируют основу для принятия решения (оценки). Уточняются содержание процедур, последовательность их реализации, точки контроля, стандарты выполнения, критерии оценки качества, функциональные и информационные взаимодействия. Результатами являются модели бизнес-процессов компании |
Установочные и экспертные интервью; анализ документов, сбор данных; формализованное описание процедур; построение схем и моделирование бизнес- процессов и ключевых функций; функционально- стоимостной анализ (ФСА) |
| 3 |
Оценка и анализ информации |
Проведение оценки о достаточности собранных данных для принятия обоснованного решения по проблеме исследования. Проведение проверки и анализа моделей на соответствие общепринятым стандартам управления. В результате выделяются недостатки в процедурах ключевых функций управления и бизнес-процессов. Результат анализа моделей - перечень требований к изменению системы управления |
Системный анализ; экономический анализ; декомпозиция; сравнение; структуризация целей; экспертно- аналитический; нормативный; параметрический; моделирование, ФСА; главных компонент; балансовый; опытный; корреляционно- регрессионный анализ; матричный, SWOT- анализ |
| 4 |
Выводы и рекомендации |
Формирование аудиторского заключения. Аудиторское заключение включает описание состояния эффективности системы управления в разрезе ее элементов, направлений деятельности по управлению в организации, возможные пути совершенствования управления. Руководство организации оценивает результаты аудита и на этой основе формирует направления дальнейшего аудита |
Аналогий; сравнений; нормативный; моделирование; расчет количественных показателей, показателей экономической эффективности предлагаемых вариантов; ФСА |
Система показателей для анализа эффективности использования трудовых ресурсов и мероприятия по повышению эффективности
N п/п |
Показатель эффективности |
Зона ответственности |
Эффективность |
Мероприятия по повышению эффективности |
| 1 |
Прибыль, % роста прибыли за период, маржинальный доход, оборот капитала, оборачиваемость оборотных средств, уровень сверх нормативных запасов оборотных средств, показатели ликвидности. Доля на рынке |
Генеральный директор; финансовый директор |
Рост |
Планирование деятельности, управление издержками, разработка технологических и управленческих мероприятий по снижению себестоимости, оптимизация процессов |
| 2 |
2.1. Фактически выполненные плановые задания по объему и номенклатуре, динамика объема производства, динамика производительности труда. Экономия материальных ресурсов, количество рацпредложений. 2.2. Издержки производства, количество рекламаций и их динамика, удельный вес брака и его динамика, величина простоев (по разным причинам), потери от простоев, коэффициент текучести кадров |
Линейные руководители производственных подразделений |
Рост (по 2.1)
Снижение (по 2.2) |
Планирование и регламентация бизнес-процессов. Техническое переоснащение, модернизация. Совершенствование процессов: адаптации, мотивации, обучения, аттестации персонала, нормирования производительности, численности, использования рабочего времени; совершенствование системы контроллинга |
| 3 |
3.1. Уровень травматизма, уровень заболеваемости. 3.2. Уровень обученного и аттестованного персонала, количество аттестованных рабочих мест |
Руководитель службы по охране труда и технике безопасности |
Снижение
Рост |
Инструктажи, медосмотры, организация охраны труда и техники безопасности, проведение обучения и аттестации по охране труда и технике безопасности, аттестация рабочих мест, контроль соблюдения санитарных норм |
| 4 |
4.1. Затраты на персонал в издержках производства, коэффициент текучести кадров и его динамика, количество вакантных мест, сроки подбора персонала, количество персонала, не прошедших испытательный срок, уровень брака по вине персонала, количество управленческого персонала. 4.2. Производительность труда, уровень нормирования труда, уровень регламентации, квалификации персонала, удовлетворенность трудом, охват сотрудников программами обучения, аттестации, социальными программами, участие сотрудников в жизни коллектива |
Директор по персоналу |
Снижение
Рост |
Совершенствование системы управления персоналом по функциям: формирование кадровой политики организации, планирование и использование персонала, наем и отбор, деловая оценка, профориентация и адаптация персонала, обучение, работа с кадровым резервом, деловая карьера, организация трудовой деятельности персонала, мотивация и стимулирование персонала, трудовые отношения в коллективе |
|