Министерство Образования Российской Федерации
Уфимский Государственный Авиационный Технический Университет
Реферат
Анализаторы как рецепторная система. Их устойчивость и функции.
Выполнил: Зайнуллин Р.Н.
Студент гр. БМС-209
Проверил: Бадретдинов М.А.
УФА 2007
СТРУКТУРА И ЗНАЧЕНИЕ АНАЛИЗАТОРОВ
Структура анализаторов.
Разнообразные раздражения, постоянно действующие на живой организм, воспринимаются различными рецепторными образованиями, которые в зависимости от их местоположения и строения избирательно на них реагируют. Так, рецепторные образования глаза воспринимают световые раздражения, уха — звуковые, кожи — механические, температурные раздражения и т. д. Соответственно выделяют различные органы чувств: вкуса, обоняния, зрения, слуха и кожной рецепции. В настоящее время к органам чувств относят рецепторные образования, расположенные в любом участке тела: рецепторы мышц, которые воспринимают изменения степени их сокращения и растяжения; рецепторы стенки сосудов, реагирующие на изменение давления крови и ее химического состава, и т. д.
Объективно деятельность органов чувств выражается в возникновении возбуждения в их рецепторных образованиях, а субъективно она проявляется в ощущении. Однако для возникновения ощущения необходимо, чтобы возбуждение от органов чувств было передано по афферентным путям в центральную нервную систему. Исходя из этого, И. П. Павлов ввел в физиологию понятие анализатора, под которым понимают всю совокупность анатомических образований, деятельностью которых определяется возникновение ощущений. Анализатор состоит из периферического отдела
— соответствующего органа чувств, афферентных проводящих путей
и определенного участка в коре головного мозга, который называется корковым концом анализатора.
Названия анализаторов соответствуют названиям органов чувств, т. е. выделяют зрительный, слуховой, обонятельный, вкусовой
и кожный
анализаторы. Кроме того, выделяют двигательный
анализатор, периферической частью которого являются рецепторы мышц, сухожилий, суставов, внутренний
анализатор, воспринимающая часть которого представлена рецепторами внутренних органов, и вестибулярный
анализатор, рецепторы которого приходят в состояние возбуждения при изменении положения тела. Согласно исследованиям И. П. Павлова в корковом отделе анализатора следует выделять центральное ядро и периферию, включающую так называемые рассеянные элементы. При удалении центрального ядра становится невозможным сложный анализ и синтез раздражений. Например, при повреждении определенного участка височной области коры, где находится слуховой центр, невозможно тонкое дифференцирование раздражителей, рефлексы же на отдельные тоны через некоторое время восстанавливаются за счет деятельности периферических рассеянных элементов.
Забиваем Сайты В ТОП КУВАЛДОЙ - Уникальные возможности от SeoHammer
Каждая ссылка анализируется по трем пакетам оценки: SEO, Трафик и SMM.
SeoHammer делает продвижение сайта прозрачным и простым занятием.
Ссылки, вечные ссылки, статьи, упоминания, пресс-релизы - используйте по максимуму потенциал SeoHammer для продвижения вашего сайта.
Что умеет делать SeoHammer
— Продвижение в один клик, интеллектуальный подбор запросов, покупка самых лучших ссылок с высокой степенью качества у лучших бирж ссылок.
— Регулярная проверка качества ссылок по более чем 100 показателям и ежедневный пересчет показателей качества проекта.
— Все известные форматы ссылок: арендные ссылки, вечные ссылки, публикации (упоминания, мнения, отзывы, статьи, пресс-релизы).
— SeoHammer покажет, где рост или падение, а также запросы, на которые нужно обратить внимание.
SeoHammer еще предоставляет технологию Буст, она ускоряет продвижение в десятки раз,
а первые результаты появляются уже в течение первых 7 дней.
Зарегистрироваться и Начать продвижение
Значение анализаторов.
Для поддержания деятельного состояния центральной нервной системы, а следовательно, и всего организма в целом необходимо небольшое количество падающих на него раздражений. При поражении подавляющего большинства органов чувств, т. е. при резком ограничении афферентных раздражений, теряется способность поддерживать активное состояние: человек все время спит и разбудить его можно только путем воздействия на органы чувств, сохранившие свою функцию.
В настоящее время в связи с космическими полетами, с перспективой межпланетных путешествий вопрос о воздействии на организм минимума афферентных раздражений принял особую остроту. Исследования показали, что отсутствие сенсорных раздражений отрицательно сказывается на способности концентрировать внимание, логически мыслить, выполнять умственные задачи. В ряде случаев при длительном резком ограничении раздражений испытуемых появляются галлюцинации: например, перед глазами возникают последовательно сменяющие друг друга геометрически фигуры.
Раздражения, воспринимаемые рецепторными образованиями органов чувств, несут сведения (информацию) о состоянии внешней и внутренней среды организма. На основе ощущений, возникающих при раздражении экстерорецепторов и отражающих лишь отдельные свойства предметов окружающей действительности, формируются понятия и представления, отражающие уже связи взаимозависимости между этими предметами. В возникновении ощущений, формировании понятий и представлений участвуют всезвенья анализатора. При воздействии раздражителей в рецепторных образованиях происходит целый ряд сложнейших физико-химических и биохимических процессов, результатом которых является возникновение потенциалов действия в соответствующих афферентных нервных волокнах. Эти потенциалы достигают коры головного мозга, где происходит окончательный анализ и синтез поступающей информации.
Сервис онлайн-записи на собственном Telegram-боте
Попробуйте сервис онлайн-записи VisitTime на основе вашего собственного Telegram-бота:
— Разгрузит мастера, специалиста или компанию;
— Позволит гибко управлять расписанием и загрузкой;
— Разошлет оповещения о новых услугах или акциях;
— Позволит принять оплату на карту/кошелек/счет;
— Позволит записываться на групповые и персональные посещения;
— Поможет получить от клиента отзывы о визите к вам;
— Включает в себя сервис чаевых.
Для новых пользователей первый месяц бесплатно.
Зарегистрироваться в сервисе
Таким образом, с помощью анализаторных систем осуществляется познание окружающей нас действительности.
Информация, передаваемая в центральную нервную систему от рецепторов внутренних органов, служит основой процессов саморегуляции. Так, например, если изменяется состав крови, то в ответ на это в рецепторах стенок сосудов возникает возбуждение. Оно передается в центральную нервную систему, где формируются под его воздействием эфферентные сигналы, способствующие становлению исходного состава крови.
Роль анализаторов в познании окружающего мира.
Известно, что при действии самых разнообразных раздражителей на какой-либо анализатор всегда возникает ощущение, специфичное именно для этого анализатора. Так, механическое (удар в висок) и электрическое раздражение сетчатки глаза вызывает одно и то же ощущение вспышки света. Исходя из этого, немецкий физиолог И. Мюллер создал в XIX в. закон «специфических энергий органов чувств». Согласно его концепции «нервы органов чувств» обладают определенной энергией. Под определенной энергией каждого нерва Мюллер понимал свойственную этому нерву врожденную и неизменную деятельность, возникающую в ответ на любое раздражение данного органа чувств и проявляющуюся в возникновении всегда одинаковых специфических для него ощущений. Качества ощущений, по его мнению, зависят не от характера раздражений, а от заложенной в чувствительной системе специфической энергии. Учение Мюллера о специфической энергии органов чувств — это одно из проявлений физиологического идеализма. Оно неизбежно приводит к агностицизму — неверию в возможность познания истины.
В самом деле, если все, что мы ощущаем нашими органами чувств, не есть отражение конкретных свойств вещей, а только качества наших ощущений, то мы и не сможем никогда познать действительные свойства этих вещей.
Согласно взглядам агностиков наши понятия — это декорация для прикрытия своего невежества, в них нет ничего объективного, они лишь удобное средство для общения. Вся наука, с их точки зрения,— это картография, описывающая лишь то, что расположено на поверхности.
Некоторые ученые-естествоиспытатели, очень много сделавшие в области изучения живого организма, в своих философских обобщениях также высказывали мысль о невозможности познания окружающей нас действительности. Один из крупнейших ученых XIX в., врач, физиолог и физик — Г. Гельмгольц, говоря о зависимости ощущений от предметов и явлений внешнего мира, создал теорию символов. Он считал, что ощущения являются символами, условными знаками, обозначениями предметов внешнего мира. Согласно его взглядам ощущение является знаком внешнего воздействия, но не изображением его, ибо от изображения требуется известное сходство с предметом, а от знака такого ехидства не требуется. За рубежом и в настоящее время существуют различные философские течения, стоящие на позициях физиологического идеализма. Так, сторонники одного из американских буржуазных философских направлений развивают «теорию символизма». Они утверждают, что между ощущениями и предметом нет никакой причинной связи, что вне субъекта ничего нет.
Острую критику физиологическому идеализму, агностицизму дал В. И. Ленин в своей книге «Материализм и эмпириокритицизм» (1908). Согласно марксистско-ленинской теории отражения наши ощущения отражают объективную реальность, т. е. то, что существует независимо от человеческого сознания. Ощущения В. И. Ленин определяет как «субъективный образ объективного миpa». Этим определением подчеркивается, с одной стороны, то, что действительно независимо от нашего сознания существует объективный мир, с другой стороны, то, что в ощущениях всегда имеется некоторый элемент субъективности. Именно от этого элемента субъективности зависят некоторые ошибки органов чувств. Примером подобной ошибки может быть такое явление, когда серый квадрат на черном фоне кажется более светлым, чем на белом. На практике мы проверяем показания наших органов чувств, и именно практика в качестве критерия истины отбрасывает неверное и утверждает истинное. То, что мы узнаем новые качества предметов, не может служить свидетельством неправильности показаний наших органов чувств, а говорит лишь о том, что этот предмет изучается все более глубоко и всесторонне. Теория отражения доверяет показаниям органов чувств, она рассматривает отраженный образ как подлинную копию отображаемого предмета. Возникновение ощущения есть результат деятельности высокоорганизованной материи. Всей материи присуще свойство, сходное с ощущением,— отражение. На известной ступени развития материи возникают психические явления. Именно свойством материи отражать обусловлено возникновение ощущения. Ощущение — это наиболее элементарный психический акт. Оно отражает лишь отдельные свойства вещей. При переходе к мышлению, для которого характерно обобщение связей между предметами и явлениями окружающей нас действительности, потребовался длительный период развития материального субстрата мышления — мозга. Основным в этом прогрессивном развитии был «труд, а затем и вместе с ним членораздельная речь». Мыслительные процессы осуществляются на основе анализа и синтеза в коре головного мозга тех раздражений, которые посылает объективный, независимо от нашего сознания существующий мир и которые, прежде всего, воспринимаются нашими органами чувств.
С материалистических позиций подходили к решению вопросов о характере ощущений представители отечественной физиологии. И. М. Сеченов считал, что ощущения дают нам правильное представление о предметах и явлениях окружающей действительности. Он говорил о том, что сходства и различия, находимые человеком между чувствуемыми предметами и действительно существующими, являются реальными. Научную и практическую деятельность И. М. Сеченов считал критерием правильности показаний органов чувств. Он писал, что если бы люди оперировали понятиями, в которых нет ничего объективного, то достижения науки не могли бы блистательно оправдываться на практике. Все учение И. П. Павлова является естественнонаучным экспериментальным обоснованием марксистского философского материализма. Им с помощью строго объективного метода были изучены основные закономерности деятельности материального субстрата психических явлений — коры головного мозга. Современные точные и тонкие методы исследования блестяще подтверждают все положения ленинской теории отражения, подтверждают учение И. М. Сеченова, И. П. Павлова. В настоящее время установлена причина большинства «ошибок» органов чувств, дано им физиологическое объяснение. Действие на сетчатку световых волн, электрического и механического раздражения далеко не однозначно. Так, при электрическом раздражении сетчатки для возникновения ощущения вспышки света требуется в 5 млн. раз больше энергии, чем при действии светового раздражения, при этом электрическое раздражение никогда не может дать того богатства световой гаммы, которое возникает при действии естественных световых раздражителей.
Прогресс, который достигнут на сегодняшний день во всех областях знаний, успехи в области техники, медицины, в области освоения космического пространства являются результатом познавательной деятельности человека, основанной на показаниях наших органов чувств.
Классификация рецепторных образований.
В зависимости от структурной организации рецепторные образования делят на первичные
и вторичные.
Рецепторные образования обонятельного, кожного и двигательного анализаторов относят к первичным. Они образуются волокном сенсорного, или чувствительного, нейрона, которое непосредственно подвергается раздражению (рис. 55). К вторичным рецепторам относят вкусовые, зрительные, слуховые, вестибулярные. Для них характерно, что раздражение действует

Рис. 55. Схематическое изображение первичных и вторичных рецепторных образований:
А
— первичное рецепторное образование; Б
— вторичное рецепторное образование; РП —
рецепторный потенциал; ГП
— генераторный потенциал; ПД
— потенциал действия; 1
— немиелинизированное нервное волокно; 2—
миелинизированное нервное волокно; 3—
рецептирующая клетка; 4—
афферентное нервное волокно; 5 — эфферентное нервное волокно; 6
— синапс. Стрелками показано место формирования РП,
ГП
и
ПД
.
не непосредственно на окончание отростка сенсорного нейрона, а на особые структуры — специализированные рецептирующие клетки. В них под влиянием этого раздражения возникает целая серия различных процессов, являющихся причиной последующего возбуждения сенсорного нейрона. Отсюда и название этих рецепторов — вторичные или вторичночувствующие.
В зависимости от специфичности рецепторных образований к действию раздражителей их делят на мономодальные
и полимодальные.
Мономодальные рецепторные образования приспособлены к восприятию какого-либо одного вида раздражителя. Так, рецепторные образования сетчатки приспособлены к восприятию лишь световых раздражений, т. е. являются мономодальными. В то же время некоторые рецепторные образования кожи обладают способностью воспринимать и механические, и температурные раздражения, соответственно их относят к полимодальным.
Если раздражитель вызывает возбуждение рецепторных образований лишь при непосредственном соприкосновении с ними, их< называют контактными
(например, рецепторные образования кожи). Если же они обладают способностью приходить в состояние] возбуждения при действии раздражителей, расположенных на рас-] стоянии, их называют дистантными.
Например, рецепторные образования обонятельного анализатора относятся к дистантным.
В зависимости от характера действующих раздражителей, к которым рецептор обладает избирательной чувствительностью, различают фоторецепторы, терморецепторы, барорецепторы, механоре-цепторы, хеморецепторы.
ОБЩИЕ СВОЙСТВА И ЗАКОНОМЕРНОСТИ ДЕЯТЕЛЬНОСТИ РЕЦЕПТОРНЫХ ОБРАЗОВАНИИ
Рецептивное поле анализатора и чувствительность рецепторных образований.
Для каждого анализатора характерно наличие цептивного поля.
Им называют воспринимающий раздражения участок поверхности, в котором разветвляется афферентное нервное волокно одной нервной клетки. Площадь рецептивных участков различна не только для разных анализаторов, но широко варьирует в пределах каждого из них. Так, у кошки рецептивные поля воспринимающие давление, имеют размер 1—2 мм2
, болевые раздражения — 9 мм2
, в то же время встречаются осязательные рецептивные поля размером 4500 мм2
. У обезьян в центре сетчатки рецептивные поля равны 20 мкм, а на периферии — 600 мкм. Чем больше рецептивное поле, тем большее количество рецепторных элементов приходится на одно нервное волокно и соответственно на одну нервную клетку.
С величиной рецептивного поля связана чувствительность действующему раздражителю. Экспериментально было показано, что для возникновения возбуждения в нейроне недостаточно активности одного рецепторного элемента. При действии раздражителя происходит суммация эффектов раздражения в элементах данного

Рис. 56. Схема зависимости различительной способности от перекрытия рецептивных полей.
От пункта А
возбуждение идет по двум афферентным волокнам, а от пунктов Б
и В
— по одному. Это способствует различению двух раздражений, наносимых . одновременно в точках А и Б
одного рецептивного поля или А и В
второго.
рецептивного поля. Причем установлено, что интенсивность раздражителя в известных пределах взаимозаменяема с площадью раздражаемого участка. Чем больше площадь суммации, тем менее интенсивным может быть раздражитель для вызова одного и того же эффекта. Таким образом, величиной рецептивного поля определяется интенсивность возникающей реакции и способность к восприятию слабых раздражений. Способность различать две точки пространства как раздельные при увеличении рецептивного поля, наоборот, падает. При большом рецептивном поле одновременно нанесение раздражения на две его точки, даже далеко расположенные, воспринимается как одно, ибо они адресуются к одной и той же нервной клетке. Недостаточная различительная способность частично компенсируется взаимным перекрытием рецептивных полей (рис. 56).
Различению способствуют разные латентные периоды и разная возбудимость центра рецептивного поля и его периферии. При одновременном нанесении двух раздражений на различные участки воспринимающей поверхности быстрее проходит возбуждение из центра рецептивного поля, чем с периферии, которая характеризуется большим латентным периодом и меньшей возбудимостью. Это способствует раздельному восприятию наносимых раздражений.
Чувствительность рецепторных образований.
Все рецепторные образования очень чувствительны к адекватным раздражениям.
Для возбуждения одной палочки сетчатки достаточно одного кванта света. Для возникновения зрительного ощущения необходимо одновременное раздражение нескольких палочек (для вызова порогового ответа — около 500). Порогом для раздражения слуховых рецепторов является интенсивность звука, равная 10-9
эрг/с • см2
при частоте 1000 Гц.
Чувствительность анализаторов настолько велика, что у некоторых животных они могут улавливать изменения заряда поля, составляющие 0,003 мВ/мм, вибрацию при амплитуде колебаний, не превышающей половины диаметра атома водорода, изменения t° в 0,001°. Поэтому не удивительно, что в технике пытаются использовать принципы устройства анализаторов для создания различных механизмов с большой тонкостью восприятия сигнала, переработки
Рис: 57. Рецепторный потенциал.
его и использования для регуляции и управления. Этими вопросами занимаются бионика и кибернетика.
Рецепторный потенциал.
При действии раздражителя на рецепторные образования органов чувств в них возникает целая цепь биофизических и биохимических превращений, под влиянием которых возникает рецепторный потенциал.
Он представляет собой сдвиг в величине мембранного потенциала, проявляющийся в деполяризации (рис. 57). Рецепторный потенциал сохраняется в течение всего времени раздражения, градуален, т. е. нарастает вместе с увеличением интенсивности раздражения, обладает способностью к суммации, не распространяется, затухая на некотором расстоянии от места своего возникновения. Когда рецепторный потенциал достигает определенной величины, на его фоне возникает распространяющийся ПД (рис. 58). Рецепторный и распространяющийся потенциалы возникают в первичных рецепторах в одних и тех же элементах. Так, в расположенных в коже окончаниях отростка сенсорного нейрона при действии раздражителя сначала формируется рецепторный потенциал, под влиянием которого в ближайшем перехвате Ранвье возникает распространяющийся потенциал. Следовательно, в первичных рецепторах рецепторный потенциал является причиной возникновения — генерации — распространяющегося ПД, поэтому его называют еще генераторным
(рис. 55, А).
Во вторичных рецепторах рецепторный и генераторный потенциалы не являются однозначными понятиями: рецепторный потенциал возникает в рецепторных образованиях, а генераторный—в конечных разветвлениях отростка сенсорного нейрона (рис. 55, Б).
Наличие генераторных потенциалов было установлено для всех рецепторных образований. Это позволило сделать вывод о том, что пусковым механизмом для возникновения нервных импульсов является генераторный потенциал рецепторов. Его амплитуда возрастает в логарифмической зависимости от интенсивности раздражена
Рис. 58. Потенциалы действия, возникающие на фоне генераторного потенциал
1 — генераторный потенциал; 2 —
потенциалы действия. Стрелками обозначены моменты включений и выключения раздражения.
В свою очередь, частота возникающих распространяющихся импульсов прямо пропорциональна величине генераторного потенциала, так что в конечном результате она находится тоже в логарифмической зависимости от интенсивности раздражения. Следовательно, уже на периферии происходит анализ раздражителя по силе: чем сильнее раздражитель, тем больше генераторный потенциал и частота возникающих потенциалов действия и тем интенсивнее возникающее ощущение.
Спонтанная активность рецепторных образований и их реакции на раздражение.
Для всех рецепторных образований характерна \ спонтанная,
или самопроизвольная,
активность. Она проявляется в генерации ПД без нанесения раздражений.
Спонтанная активность служит источником деятельного состояния ретикулярной формации и создает возможность проявлять реакции на раздражения в двух направлениях: возбуждения и торможения. При возбуждении активность усиливается, при торможении уменьшается.
Это обеспечивает известную гибкость системы, воспринимающей различные раздражения.
Различные рецепторы реагируют на раздражения по-разному. |"Так, в одних волокнах зрительного нерва импульсы возникают в ответ на включение раздражителя, в других — только на выключение, а в третьих — и на включение, и на выключение, т. е. на изменение : интенсивности раздражения.
Исходя из этого, стали различать нейроны с оп-эффектом,
реагирующие на включение раздражителя, нейроны с off
-эффектом,
реагирующие на выключение, и нейроны, реагирующие и на включение, и на выключение, т. е. нейроны с on
-
и off
-эффектом.
Эти различные типы реакций являются примером периферического анализа раздражений. Так, в зрительном анализаторе оn-эффекты осуществляются нейронами, воспринимающими свет, оn-эффекты — нейрона, воспринимающими темноту. В on-нейронах торможение возникает при действии темноты, а в оn-нейронах — при действии света.
Помимо этих клеток, реагирующих на включение и выключение [раздражителя, существуют другие самые разнообразные типы клеточных образований, которые способствуют анализу раздражений [уже на периферии анализатора. Так, на сетчатке есть клетки, называемые детекторами направления движения (они реагируют только в том случае, когда светящееся пятно движется перед сетчаткой в определенном направлении), и клетки, которые реагируют на определенный наклон линии или смещение этого наклона, и т. д.
Торможение и адаптация.
Для деятельности анализаторов характерно наличие торможения
уже в периферическом его отделе. Торможение обнаружено в рецепторных образованиях разных анализаторов и у разных представителей мира животных. Торможение в рецепторных образованиях органов чувств способствует периферическому анализу раздражений. Так, в зрительном анализаторе оно обеспечивает контрастность изображения путем подчеркивания линий и контуров предметов.
Всем рецепторам свойственна адаптация к действующему раздражителю. Адаптацией
называют снижение чувствительности анализатора к постоянно действующему раздражению. Субъективно она проявляется в уменьшении интенсивного ощущения или в полном его исчезновении, а объективно — в уменьшении числа импульсов, идущих по афферентному нерву раздражаемого анализатора. Раздражитель, действующий постоянно, перестает раздражать. Поэтому в помещении, где имеется какое-либо пахучее вещество, сначала очень сильно ощущение его запаха, а через некоторое время оно исчезает. Биологическое значение адаптации заключается в том, что нейроны центральной нервной системы, быстро освобождаясь от одного вида деятельности, способны все время воспринимать новые раздражения, т. е. осуществлять реакцию на изменения, происходящие в окружающей среде. Механизм адаптации в каждом анализаторе может иметь свои особенности, но для всех анализаторов характерно, что чувствительность его рецепторного отдела изменяется под влиянием эфферентных импульсов, приходящих из центральной нервной системы. В свою очередь эти импульсы формируются под влиянием импульсации, с других органов. Например, чувствительность вкусовых рецепторов будет различна в зависимости от импульсов, поступающих от пищеварительного тракта. В разных рецепторах скорость адаптации неодинакова. Очень быстро возникает адаптация в рецепторных образованиях глаза и уха, а в двигательном анализаторе ее скорость невелика, так как постоянная импульсация от рецепторов мышц необходима для коррекции движения.
Зрительный Анализатор
Строение глаза.
Периферический отдел зрительного анализатора представлен глазом, который состоит из глазного яблока, расположенного в глазнице, и вспомогательных органов. Глазное яблоке имеет три оболочки (цвет. табл. VII, A
),
Наружная оболочка состоит из двух частей: склеры и роговицы. Склера
— плотная фиброзная оболочка, которую называют ещё белочной. Она непрозрачная и имеет характерный белый цвет, откуда происходит ее название. Роговица
— передняя часть наружной оболочки, составляющая 1
/
6
всей ее поверхности. Она прозрачна и лишена сосудов. Роговица снабжена большим количеством чувствительных нервных окончаний, вследствие чего любое, самое незначительное раздражение ее поверхности вызывает защитные рефлексы слезотечения, моргания, смыкания век.
Среднюю оболочку глазного яблока называют сосудистой оболочкой..
Она состоит из трех частей: радужной оболочки, ресничного тела и собственно сосудистой оболочки. Радужная оболочка
содержит пигмент, количество которого определяет цвет глаза. В центре ее расположено отверстие — зрачок.
Величина его зависит от тонуса мышц радужной оболочки. Волоки мышцы, вызывающей сужение зрачка, окаймляют его по окружности, а мышцы, расширяющие зрачок, расположены радиально по отношению к нему. Мышца, расширяющая зрачок, иннервируется волокнами симпатической нервной системы, а суживающая — парасимпатической. Радужная оболочка, изменяя величину зрачка, регулирует тем самым количество поступающего в глаз света.
На уровне перехода роговицы в склеру радужная оболочка переходит в ресничное тело.
На его внутренней поверхности, обращенной в полость глаза, находится около 70 ресничных отростков,
которые венцом окружают хрусталик. Между ними и сумкой-капсулой, в которой расположен хрусталик, натянуты цинновы связки.
В толще ресничного тела расположена мышца, при изменении напряжения которой меняется выпуклость хрусталика.
Ресничное тело переходит в собственно сосудистую оболочку,
содержащую огромное число сосудов.
Внутренняя, очень сложная по строению оболочка глаза представлена сетчаткой.
Она состоит из многих слоев клеток, различных по своему функциональному значению.
Позади радужной оболочки расположен хрусталик
— прозрачное эластичное тело, имеющее двояковыпуклую форму. Пространство между хрусталиком и сетчаткой заполнено стекловидным телом,
состоящим из прозрачного студенистого вещества. Между задней поверхностью роговицы и передней поверхностью радужной оболочки и хрусталика расположена передняя камера глаза,
а пространство между задней поверхностью радужной оболочки и хрусталиком составляет заднюю камеру глаза.
Обе камеры заполнены прозрачной жидкостью, содержащей некоторое количество белка и солей.
Вспомогательные образования глаза
выполняют защитные и двигательные функции. Это веки, слезный аппарат
и мышцы,
осуществляющие поворот глазного яблока.
Проводниковый отдел зрительного анализатора начинается зрительным нервом, который направляется из глазницы в полость черепа. В полости черепа зрительные нервы образуют частичный перекрест, причем нервные волокна, идущие от наружных (височных) половин сетчаток, не перекрещиваются, оставаясь на своей стороне, а волокна, идущие от внутренних (носовых) половин ее, перекрещиваясь, переходят на другую сторону.
После перекреста зрительные нервы называют зрительными трактами. Они направляются к среднему мозгу (к верхним холмикам четверохолмия) и промежуточному (боковое коленчатое тело и подушка зрительного бугра). Отростки клеток этих отделов мозга в составе центрального зрительного пути направляются в затылочную область коры головного мозга, где расположен центральный отдел зрительного анализатора. В связи с неполным перекрестом волокон к правому полушарию приходят импульсы от правых половин сетчаток обоих глаз, а к левому — от левых половин сетчаток.
Строение сетчатки.
Самый наружный слой сетчатки образован пигментным эпителием .
Пигмент этого слоя поглощает свет, вследствие чего зрительное восприятие становится более четким, уменьшается отражение и рассеивание света. К пигментному слою прилежат фоторецепторные клетки.
Они состоят из ядросодержащей части, периферического и пресинаптического отростков
. Периферические отростки из-за характерной формы называют палочками
и колбочками.
В соответствии с этим различают палочковые
и колбочковые
рецепторные клетки сетчатки. Они состоят из внешнего
и внутреннего
сегментов, соединенных так называемой ножкой.
Фоторецепторная клетка покрыта общей плазматической мембраной. Наружные сегменты палочковых и колбочковых клеток состоят из наложенных друг на друга дисков, число которых очень различно. Мембраны дисков представляют обычную липопротеиновую структуру, но отличаются от других клеточных мембран наличием зрительного пигмента, молекулы которого располагаются перпендикулярно к длинной оси палочковых и колбочковых клеток. Внутренний сегмент содержит большое количество митохондрий, плотно прилегающих друг к другу и образующих эллипсоид.
В нем имеются различные ферменты, гликоген и РНК.
От ядросодержащей части палочковых и колбочковых клеток отходит центральный, пресинаптический отросток. Он заканчивается пуговчатым утолщением в палочковых и колбочковым в колбочках. Центральный отросток называют пресинаптическим в связи с; тем, что он образует синаптический контакт с дендритами биполярных
клеток сетчатки.
Фоторецепторные элементы расположены на сетчатке неравно-! мерно. Глаз человека содержит 6—7 млн. колбочковых и ПО—125J млн. палочковых клеток.
На сетчатке имеется участок размером около 1,5 мм, который/ называют слепым пятном.
Он совсем не содержит светочувствительных элементов. На 3—4 мм кнаружи от него находится желтое пятно,
в центре которого расположено небольшое углубление — центральная ямка.
В ней находятся только колбочковые клетки, а к периферии от нее число колбочковых клеток уменьшается и возрастает число палочковых. На периферии сетчатки имеются только
палочковые клетки.
За фоторецепторным слоем расположен слой биполярных клеток
(рис. 59), а за ним слой ганглиозных клеток,
который контактируют с биполярными. Oтростки ганглиозных клеток образуют зрительный нерв, содержащий около 1 млн. волокон. Один биполярный нейрон контактирую со многими фоторецепторами, одна ганглиозная клетка —» многими биполярными. Отсюда понятно, что импульсы от многих фоторецепторов сходятся одной ганглиозной клетке, ибо

Рис. 59. Схема соединения рецепторных элементов сетчатки с сенсорными нейронами:
1 — фоторецепторные клетки; 2
— биполярные клетки; 3
— ганглиозная клетка.
число палочек и колбочек превышает 130 млн. Лишь в области цен-: тральной ямки каждая рецепторная клетка соединена с одной биполярной, а каждая биполярная—с одной ганглиозной, что создает г наилучшие условия видения при попадании на нее световых лучей. - На сетчатке расположены еще горизонтальные и амакриновые клетки. Они связывают по горизонтали биполярные и ганглиозные клетки, что еще больше увеличивает число фоторецепторов, приходящихся на одну ганглиозную клетку.
Различия функции палочковых, колбочковых клеток и механизмы фоторецепции.
Целый ряд факторов свидетельствует о том, чтопалочки являются аппаратом сумеречного зрения, т. е. функционируют в сумерки, а колбочки — аппаратом дневного зрения. Колбочки воспринимают лучи в условиях яркой освещенности. С их деятельностью связано восприятие цвета. О различиях в функциях палочковых и колбочковых клеток свидетельствует структура сетчатки различных животных. Так, сетчатка дневных животных — голубей, ящериц и др.— содержит преимущественно колбочковые клетки, а ночных (например, летучих мышей) — палочковые.
Наиболее отчетливо воспринимается цвет при действии лучей на область центральной ямки, если же они падают на периферию сетчатки, то возникает бесцветное изображение. При действии лучей света в наружном сегменте палочек зрительный пигмент родопсин
разлагается на ретиналь
— производное витамина А и белок опсин.
На свету после отделения опсина происходит превращение ретиналя непосредственно в витамин А, - который из наружных сегментов перемещается в клетки пигментного слоя. Считают, что витамин А увеличивает проницаемость клеточных мембран.
В темноте происходит восстановление родопсина, для чего необходим витамин А. При его недостатке возникает нарушение видения в темноте, что называют куриной слепотой. В колбочковых клетках имеется светочувствительное вещество, сходное с родопсином, его называют йодопсином.
Оно тоже состоит из ретиналя и белка опсина, но структура последнего неодинакова с белком родопсина.
Вследствие целого ряда химических реакций, которые протекают в фоторецепторных элементах, в отростках ганглиозных клеток сетчатки возникает распространяющееся возбуждение, направляющееся в зрительные центры головного мозга.
Цветовое зрение.
Световые лучи с длиной волны от 0,4 до 0,8 мкм, вызывая возбуждение в колбочках сетчатки, обусловливают возникновение ощущения цветности предмета. Ощущение красного цвета возникает при действии лучей с наибольшей длиной волны, фиолетового — с наименьшей.
В сетчатке имеются три типа колбочек, реагирующих по-разному на красный, зеленый и фиолетовый цвет. Одни колбочки реагируют главным образом на красный цвет, другие — на зеленый, третьи — на фиолетовый. Эти три цвета были названы основными. Запись потенциалов действия от одиночных ганглиозных клеток сетчатки показала, что при освещении глаза лучами различной длины волны возбуждение в одних клетках — доминаторах
— возникает при действии любого цвета, в других — модуляторах
— только на определенную длину волны. При этом было выделено 7 различных модуляторов, реагирующих на длину волны от 0,4 до 0,6 мкм.
Оптическим смешением основных цветов можно получить все остальные цвета спектра и все оттенки.
Иногда наблюдаются нарушения цветовосприятия, в связи, с чем человек не различает тех или иных цветов. Такое отклонение отмечается у 8% мужчин и у 0,5% женщин. Человек может не различать один, два, а в более редких случаях все три основных цвета, так что вся окружающая среда воспринимается в серых тонах.
Адаптация.
Чувствительность фоторецепторов сетчатки к действию световых раздражителей чрезвычайно высока. Одна палочка сетчатки может быть возбуждена при действии 1—2 квантов света. Чувствительность может меняться при изменении освещенности. В темноте она повышается, а на свету — уменьшается. Повышение чувствительности глаза в темноте называют темновои адаптацией,
а понижение ее на свету — световой адаптацией.
При темновои адаптации чувствительность может возрасти в 2 000 раз. Опыты показали, что адаптация зависит от влияний, приходящих из центральной нервной системы. Так, освещение одного глаза вызывает падение чувствительности к свету второго глаза, не подвергавшегося освещению. Предполагают, что импульсы, приходящие из центральной нервной системы, вызывают изменение числа функционирующих горизонтальных клеток. При увеличении их количества возрастает число фоторецепторов, соединенных с одно ганглиозной клеткой, т. е. возрастает рецептивное поле. Это и обеспечивает реакцию при меньшей интенсивности светового раздражения. При увеличении освещенности число возбужденных горизонтальных клеток уменьшается, что сопровождается падением чувствительности.
Построение изображения.
Глаз имеет несколько преломляю1 сред: роговицу, жидкость передней и задней камер глаза, хруст лик и стекловидное тело. Построение изображения
в такой системе очень сложно, ибо каждая преломляющая среда имеет свой ради кривизны и показатель преломления. Специальные расчеты показ ли, что можно пользоваться упрощенной моделью — редуцированным глазом
и считать, что имеется только одна преломляющая поверхность — роговица и одна узловая точка
(через нее луч пролетит без преломления), находящаяся на расстоянии 17 мм спереди от сетчатки (рис. 60).
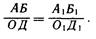
Для построения изображения предмета АБ
из каждой ограничивающей его точки берется два луча: один луч после преломлен проходит через фокус, а второй идет без преломления через уз вую точку (рис. 61). Место схождения этих лучей дает изображение точек А
и Б
— точки А1
и Б2
и соответственно предмет А1
Б1
.
Изображение получается действительным, обратным и уменьшенным. Зная расстояние от предмета до глаза ОД,
величин

Рис.
60. Расположение узловой точки Рис. 61. Построение изображения, и заднего фокуса глаза.
предмета АБ
и расстояние от узловой точки до сетчатки (17 мм), можно вычислить величину изображения. Для этого из подобия треугольников АОБ
и Л1Б1О1 выводится равенство отношений:


Преломляющую силу глаза выражают в диоптриях.
Преломляющей силой в одну диоптрию обладает линза с фокусным расстоянием в 1 м. Для определения преломляющей силы линзы в диоптриях следует единицу разделить на фокусное расстояние в центрах. Фокус
— это точка схождения после преломления параллельно падающих на линзу лучей. Фокусным расстоянием
называют расстояние от центра линзы (для глаза от узловой точки) ho фокуса.
Глаз человека установлен на рассматривание дальних предметов: параллельные лучи, идущие от сильно удаленной светящейся точки, сходятся на сетчатке, и, следовательно, на ней находится фокус. Поэтому расстояние OF
от сетчатки до узловой точки О
является для глаза фокусным расстоянием. Если принять его равным17 мм, то преломляющая сила глаза будет равна:

Аккомодация.
Аккомодацией
называют способность глаза видеть предметы на разном от него расстоянии. При аккомодации меняется кривизна хрусталика за счет сокращения ресничной мышцы (рис. 62). Она приближается к хрусталику, ослабевает натяжение цинновой связки, которая прикрепляется к его капсуле. Капсула расслабляется, и хрусталик, переставая испытывать ее давление, становится более выпуклым. Это сопровождается увеличением преломляющей силы и перемещением точки схождения лучей, идущих от ближнего предмета на сетчатку. Наименьшее расстояние ~ предмета до глаза, на котором этот предмет еще ясно видим,

Рис. 62. Механизмы аккомодации:
А
— состойние покоя; Б
— аккомодация: / — роговица; 2
— радужная оболочка; 3 —
хрусталик; 4
— цииновы связки; 5 — ресничная мышца расслаблена; ё
— ресничная мышца сокращена.
определяет положение ближней точки ясного видения,
а наибольшее расстояние — дальней точки ясного видения.
При расположении предмета в ближней точке аккомодация максимальна, в дальней — аккомодация отсутствует.
Разность преломляющих
сил глаза при максимальной аккомодации и при ее покое называют силой аккомодации.
Величина аккомодации различна у разных людей. Она колеблется в зависимости от возраста. Максимальное ее значение составляет 14Д так что преломляющая сила глаза может возрасти до 73
D
: к 59
D
в покое прибавляется 14
D
,
соответствующих силе аккомодации.
Рефракция. Преломляющие свойства нормального глаза называют рефракцией.
Глаз без всяких нарушений рефракции, соединяющий параллельные лучи в фокусе на сетчатке, называют эммтропическим
(рис. 63,Л). Если параллельно идущие лучи сходятся за сетчаткой, то глаз с таким отклонением от обычной рефракции называют гиперметропическим,
или дальнозорким
(рис. 63, Б).
В этом случае плохо видимы близко расположенные предметы. Если же лучи сходятся перед сетчаткой, то глаз называют миопическим, близоруким
(рис. 63, В).
При таком нарушении рефракция плохо видимы далеко расположенные предметы.
Причина близорукости и дальнозоркости заключается в не-1 стандартной величине глазного яблока и в необычной преломляющей силе.
Большая величина переднезаднего диаметра глазного яблока, или большая преломляющая сила, сопровождается близорукостью малый диаметр, или малая преломляющая сила,— дальнозоркостью. При близорукости необходимы очки вогнутыми стеклами, которые рассеивают лучи; при дальнозоркости — с двояко выпуклыми.

Рис. 63. Схема рефракции:
А
— нормальный глаз; Б
— дальнозоркий глаз; В
— близорукий глаз.
К отклонению рефракции относится также астигматизм.
Он связан с тем, что преломляющие поверхности имеют разную кривизну в разных меридианах. Поэтому лучи, попадающие на них, неодинаково преломляются и сходятся не в одной точке. Этот недостаток в очень слабой степени присущ всякому глазу. Если посмотреть на рисунок 64, где одинаковые по толщине линии расположены горизонтально и вертикально, то одни из них кажутся более тонкими, другие — более толстыми. В тех случаях, когда эта аномалия рефракции сильно выражена, требуется подбор специальных цилиндрических стекол.
К особенностям преломляющих свойств любого глаза относится явление сферической аберрации.
Оно заключается в том, что лучи, проходящие через периферические участки хрусталика, преломляются сильнее, чем лучи, идущие через центральные его части (рис. 65). Поэтому центральные и периферические лучи сходятся не в одной точке. Однако эта особенность преломления не мешает ясному видению предмета, так как радужная оболочка не пропускает лучи и тем самым устраняются те из них, которые проходят через периферию хрусталика.
Неодинаковое преломление лучей разной длины волны называют хроматической аберрацией.
Острота зрения. Глаз человека воспринимает две точки пространства как раздельные даже при очень маленьком расстоянии между ними. Такую способность глаза называют остротой зрения.
Острота зрения определяется наименьшим углом зрения, а следовательно, наименьшим расстоянием между рассматриваемыми точками, при котором они видны еще как раздельные. Для нормального глаза острота зрения определяется углом в 1'. Ему соответствует расстояние между изображениями точек на сетчатке в 5 мкм. Поскольку размер палочки колеблется от 2 до 5 мкм, принято

Рис. 64. Чертеж для выявления астигматизма.

Рис. 65. Схема, поясняющая явление сферической аберрации.
Лучи, падающие на периферию хрусталика и на его центральные участки, сходятся в разных точках А
и Б.
считать, что для видения двух точек раздельными необходимо, чтобы между двумя возбужденными точками было не менее одной невозбужденной.
Практически для определения остроты зрения пользуются таблицами, в которых имеется несколько рядов цифр, букв или фигур, разных в каждом ряду по величине. Для получения относительной величины, характеризующей остроту зрения, следует расстояние, с которого испытуемый может без ошибок узнавать буквы или фигуры, разделить на расстояние, указанное возле данного ряда. Для нормального глаза острота зрения составляет единицу.
Бинокулярное зрение.
При бинокулярном зрении предмет виден одиночным лишь в том случае, если его изображение возникает на идентичных участках обеих сетчаток. Идентичными точками
сетчатки двух глаз называют области центральных ямок и все точки, расположенные от нее на одинаковом расстоянии и в одном и том же направлении (рис. 66). Остальные, несовпадающие точки сетчаток называют неидентичными.
При попадании лучей на неидентичные точки изображение предмета оказывается раздвоенным.
Чтобы лучи от предмета попали на идентичные точки, необходимо сведение осей зрения на предмете. Сведение осей зрения на предмете называют конвергенцией.
Конвергенция осуществляется путем вращения глазных яблок, которое происходит при сокращении шести наружных глазных мышц (рис. 67). Все мышцы, кроме нижней косой, прикрепляются к фиброзному кольцу, расположенному вокруг отверстия, из которого выходит зрительный нерв. Наружная прямая поворачивает глазное яблоко наружу, внутренняя — внутрь, верхняя прямая — вверх и одновременно наружу, нижняя прямая — вниз и внутрь. Верхняя косая мышца поворачивает глазное яблоко вниз и наружу, нижняя косая — вверх и наружу.

Рис. 66. Ход лучей при бинокулярном зрении:
А
— фиксирование взором ближнего предмета; Б
— фиксирование взором дальнего предмета; 1,4
-идентичные точки сетчатки; 2.3
— неидентичные (диспаратные) точки.

Рис. 67. Расположение глазных мышц:
I— верхняя прямая; 2 — верхняя косая; 3
— внутренняя прямая; 4
— нижняя прямая; 5 — нижняя
косая; 6
— наружная прямая.
Предметы, расположенные близко и далеко, нельзя одновременно отчетливо видеть. Если свести оси зрения на ближнем предмете, то дальний предмет будет при этом раздваиваться (рис. 66).
Зрение двумя глазами значительно облегчает восприятие пространства и глубины расположения предмета. Оценка расстояния до предмета может быть произведена и одним глазом. При рассматривании ближних предметов напрягается ресничная мышца; чем ближе предмет, тем сильнее ее напряжение. Степень напряжения мышцы дает представление о расстоянии до предмета. Способствует оценке расстояний также и то, что близкие предметы дают большее изображение на сетчатке, чем далекие. Однако наиболее точная оценка расстояния до тех или иных предметов пространства осуществляется при зрении двумя глазами. Чем ближе расположен предмет, тем сильнее должны быть повернуты глазные яблоки для сведения на нем осей зрения. Степень сокращения соответствующих мышц дает представление об удаленности предмета от глаза.
Зрение двумя глазами способствует определению формы предмета, его объема. При рассматривании предмета одна часть лучей, идущих от него, попадает на идентичные участки сетчаток, а другая — на неидентичные, но смещенные относительно друг друга на очень небольшое расстояние. Поэтому при рассматривании предмета поочередно то одним, то другим глазом мы видим его неодинаково: часть деталей видима и одним и другим глазом, часть только правым или только левым. Это дает представление об объемности предмета.
слуховой анализатор
Строение слухового анализатора.
Периферический конец слухового анализатора представлен ухом. Он делится на наружное, среднее и внутреннее ухо. Наружное ухо
состоит из ушной раковины
и наружного слухового прохода.
Ушная раковина улавливает звуковые колебания, которые далее передаются по наружному слуховому проходу к барабанной перепонке. Наружный слуховой проход имеет длину около 24 мм. Он выстлан кожей с тонкими волосками и особыми потовыми железами, которые выделяют ушную серу.
Среднее ухо
представлено барабанной полостью.
В ней находится цепь слуховых косточек: молоточек, наковальня
и стремя.
Рукоятка молоточка срастается с барабанной перепонкой, а его головка образует сустав с наковальней, которая также соединяется суставом с головкой стремени.
На медиальной стенке барабанной полости находятся отверстия: окно преддверия
(овальное) и окно улитки
(круглое). Основание стремени закрывает окно преддверия, ведущее в полость внутреннего уха, а окно улитки затянуто вторичной барабанной перепонкой.
Барабанная полость соединяется с носоглоткой посредством слуховой,
или евстахиевой, трубы.
Через нее из носоглотки в полость среднего уха попадает воздух, благодаря чему выравнивается давление на барабанную перепонку со стороны наружного слухового прохода и барабанной полости. Когда затруднено прохождение воздуха по слуховой трубе,(воспалительный процесс), то преобладает давление со стороны наружного слухового прохода, и барабанная перепонка вдавливается в полость среднего уха. Это приводит к значительной потере возможностей барабанной перепонки совершать колебательные движения в соответствии с частотой звуковых волн.
Внутреннее ухо
называют еще лабиринтом. Оно расположено в пирамиде височной кости. Различают костный
и перепончатый лабиринты.
Стенки костного лабиринта образованы костной тканью височной кости .
Внутри костного лабиринта, в основном повторяя его форму, расположен перепончатый лабиринт. Между костным и перепончатым лабиринтами имеется перилимфатическое пространство,
в котором находится жидкость — перилимфа.
Лабиринт делится на вестибулярный аппарат
(орган равновесия) и улитку,
которая относится к слуховому анализатору. Улитка — это костный канал, который образует 2,5 завитка вокруг стержня . Стержень улитки состоит из губчатой костной ткани, между балками которой расположены нервные клетки, образующие спиральный ганглий
(рис. 68, А).
От стержня отходит в виде спирали тонкий костный листок, состоящий из двух пластин, между которыми проходят миелинизированные дендриты нейронов спирального ганглия. Верхняя пластина костного листка
переходит в спиральную губу,
или лимб,
нижняя — в спиральную основную,
или базиллярную, мембрану,
которая простирается до наружной стенки улиткового канала. Плотная и упругая спиральная мембрана представляет собой соединительнотканную пластинку, которая состоит из основного вещества и коллагеновых волокон — струн, натянутых между спиральной костной пластинкой и наружной стенкой улиткового канала. У основания улитки волокна более короткие. Их длина составляет 104 мкм. По направлению к вершине длина волокон увеличивается до 504 мкм. Общее их число составляет около 24 тыс. Ширина всей базиллярной мембраны составляет у вершины 0,5 мм, а у основания, вблизи овального окна,— 0,04 мм.
От костной спиральной пластинки к наружной стенке костного канала под углом к спиральной мембране отходит еще одна мембрана, менее плотная — вестибулярная,
или рейснерова.
Полость канала улитки разделена мембранами на три отдела: верхний канал улитки,
или вестибулярная лестница,
начинается от

Рис. 68. Схема строения внутреннего уха:
А — поперечный разрез улитки; Б
— кортиев орган:1 — вестибулярная лестница; 2 —
рейснерова мембрана; 3 —
улитковый проток; 4
— сосудистая полоска; 5 —
кортиев орган; в —
барабанная лестница;
[т —
спиральный ганглий; 8 — лимб; 9
— текториальная мембрана; 10—
наружные волосковые клетки;III
—
внутренние волосковые клетки; 12 —
основная мембрана; 13 —
дендриты нейронов спиральногоганглия.
окна преддверия; средний канал улитки
— между вестибулярной и спиральной мембранами и нижний канал,
или барабанная лестница,
начинающаяся от окна улитки. У вершины улитки вестибулярная и барабанная лестницы сообщаются посредством маленького отверстия — геликотремы.
Верхний и нижний каналы заполнены перилимфой. Средний канал — это улитковый проток,
который тоже представляет собой спирально извитый канал в 2,5 оборота. На наружной стенке улиткового протока расположена сосудистая полоска,
эпителиальные клетки которой обладают секреторной функцией, продуцируя эндолимфу. Вестибулярная и барабанная лестницы заполнены перилимфой, а средний канал — эндолимфой.
В улитковом протоке на основной мембране расположены чувствительные волосковые клетки, образующие звуковоспринимающий спиральный орган,
или кортиев
(рис. 68, Б).
Различают внутренние и наружные волосковые клетки. Внутренние волосковые клетки
несут на своей поверхности от 30 до 60 коротких волосков, расположенных в 3—5 рядов. Число внутренних волосковых клеток составляет у человека около 3500. Наружные волосковые клетки
расположены в три ряда, каждая из них имеет около 100 волосков. Общее число наружных волосковых клеток составляет у человека 12—20 тыс. Наружные волосковые клетки более чувствительны к действию звуковых раздражителей, чем внутренние. Волокна клеток спирального ганглия образуют синаптические контакты с внутренними и наружными волосковыми клетками. Для волосковых клеток установлено наличие и эфферентной иннервации, что обеспечивает координацию в работе правого и левого уха.
Над волосковыми клетками расположена текториальная мембрана.
Она имеет лентовидную форму и желеобразную консистенцию. Ее ширина и толщина увеличиваются от основания улитки к вершине. Информация от волосковых клеток передается по дендритам клеток, образующих спиральный узел. Второй отросток этих клеток — аксон — в составе преддверно-улиткового нерва направляется к стволу мозга и к промежуточному мозгу, где происходит! переключение на следующие нейроны, отростки которых идут в] височный отдел коры головного мозга.
Механизм передачи и восприятия звука. Звуковые колебания улавливаются ушной раковиной и по наружному слуховому проходу передаются барабанной перепонке, которая начинает колебаться соответствии с частотой звуковых волн. Колебания барабанной перепонки передаются цепи косточек среднего уха и при их участив мембране овального окна. Колебания мембраны окна преддверия передаются перилимфе и эндолимфе, что вызывает колебания основной мембраны вместе с расположенным на ней кортиевым opraном. При этом волосковые клетки своими волосками касаютс текториальной мембраны, и вследствие механического раздражен* в них возникает возбуждение, которое передается далее на волокна; преддверно-улиткового нерва.
Слуховой анализатор человека воспринимает звуковые волны частотой их колебаний от 20 до 20 тыс. в секунду. Высота тона определяется частотой колебаний: чем она больше, тем выше по тону воспринимаемый звук. Анализ звуков по частоте осуществляется периферическим отделом слухового анализатора. Под влиянием звуковых колебаний прогибается мембрана окна преддверия, смещая при этом какой-то объем перилимфы. При малой частоте колебаний частицы перилимфы перемещаются по вестибулярной лестнице вдоль спиральной мембраны по направлению к геликотреме и через нее по барабанной лестнице к мембране круглого окна, которая прогибается на такую же величину, что и мембрана овального окна. Если же действует большая частота колебаний, возникает быстрое смещение мембраны овального окна и повышение давления в вестибулярной лестнице. От этого прогибается спиральная мембрана в сторону барабанной лестницы и реагирует участок мембраны, обладающий наименьшей жесткостью. Жесткость спиральной мембраны повышается от основания улитки к ее вершине. Поэтому при действии очень большой частоты прежде всего реагирует участок мембраны вблизи окна преддверия. При повышении давления в барабанной лестнице изгибается мембрана круглого окна, основная мембрана благодаря своей упругости возвращается в исходное положение. В это время частицы перилимфы смещают следующий, более инерционный участок мембраны, и волна пробегает по всей мембране. Колебания окна преддверия вызывают бегущую волну, амплитуда которой возрастает, и максимум ее соответствует какому-то определенному участку мембраны (рис. 69). По достижении максимума амплитуды волна затухает. Чем выше высота звуковых колебаний, тем ближе к окну преддверия находится максимум амплитуды колебаний спиральной мембраны. Чем меньше частота, тем ближе к геликотреме отмечаются наибольшие ее колебания.

Рис. 69. Место возникновения максимальных колебаний основной мембраны:
А —
при действии высоких звуков; £ — при действии средних звуков; В
— при действии низких звуков; 1 — овальное окно; 2
— круглое окно; 3
— бегущая волна; 4
— основная мембрана; 5 — геликотрема.
Установлено, что при действии звуковых волн с частотой колебаний до 1000 в секунду в колебание приходит весь столб перилимфы вестибулярной лестницы и вся спиральная мембрана. При этом их колебания происходят в точном соответствии с частотой колебаний звуковых волн. Соответственно в слуховом нерве возникают потенциалы действия с такой же частотой. При частоте звуковых колебаний свыше 1000 колеблется не вся основная мембрана, а какой-то ее участок, начиная от окна преддверия. Чем выше частота колебаний, тем меньший по длине участок мембраны, начиная от окна преддверия, приходит в колебание и тем меньшее число волосковых клеток приходит в состояние возбуждения. В слуховом нерве в этом случае регистрируются потенциалы действия, частота которых меньше частоты звуковых волн, действующих на ухо, причем при высокочастотных звуковых колебаниях импульсы возникают в меньшем числе волокон, чем при низкочастотных колебаниях, что связано с возбуждением лишь части волосковых клеток. Значит, при действии звуковых колебаний происходит пространственное кодирование звука. Ощущение той или иной высоты звука зависит от длины колеблющегося участка основной мембраны, а следовательно, от числа расположенных на ней волосковых клеток и от места их расположения. Чем меньше колеблющихся клеток и чем ближе они расположены к окну преддверия, тем более высоким воспринимается звук.
Колеблющиеся волосковые клетки вызывают возбуждение в строго определенных волокнах слухового нерва, а значит, и в определенных нервных клетках головного мозга.
Сила звука определяется амплитудой звуковой волны. Ощущение интенсивности звука связано с различным соотношением числа возбужденных внутренних и внешних волосковых клеток. Поскольку внутренние клетки менее возбудимы, чем внешние, возбуждение большого числа их возникает при действии сильных звуков.
Электрические явления в улитке.
В улитке без всякого звукового раздражения можно зарегистрировать мембранный потенциал волосковых клеток
и потенциал эндолимфы.
Мембранный потенциал волосковых клеток составляет —70 мВ, а потенциал эндолимфы -80 мВ. Отсюда следует, что на границе волосковых клеток с эндолимфой имеется большой потенциал, равный 80—(—70) = 150 Под влиянием положительного . потенциала эндолимфы мембрана волосковых клеток становится очень нестабильной и при их соприкосновении с текториальной мембраной дает резкие изме-1 нения МП. Сдвиг в величине МП вызывает возникновение электрического эффекта, который называют микрофонным потенциалом.
Он проявляется в электрических колебаниях, которые по частоте соответствуют звуковым колебаниям и которые можно зарегистрировать от любой из лестниц улитки. Микрофонный потенциал связан с возбуждением волосковых клеток и исчезает при их разрушении. Наибольшая величина его отмечается вблизи кортиева органа, поэтому считают что микрофонный потенциал возникает на границе волосковых клеток и эндолимфы улиткового протока и является изрецепторным потенциалом, предшествующим возникновению распространяющегося возбуждения в дендритах клеток спирального ганглия.
При действии звуков большой частоты и интенсивности различают суммационный потенциал,
который представляет собой постоянный сдвиг потенциала эндолимфы улиткового протока относительно перилимфы барабанной лестницы.
обонятельный анализатор
Строение обонятельного анализатора.
Периферическая часть обонятельного анализатора расположена в слизистой оболочке верхнего носового хода и противолежащей части носовой перегородки (рис. 70, А).
Она представлена обонятельными
и опорными
клетками. Вокруг каждой опорной клетки расположено 9—10 обонятельных (рис. 70, Б).
Обонятельные клетки покрыты волосками, которые представляют собой нити длиной 20—30 мкм. Они сгибаются и разгибаются со скоростью 20—50 раз в 1 мин. Внутри волосков расположены фибриллы, которые обычно заходят в утолщение — пуговку, имеющуюся на конце волоска. В теле обонятельной клетки и в ее периферическом отростке расположено большое количество микротрубочек диаметром 0,002 мкм, предполагают, что они осуществляют связь между различными органеллами клетки. Тело обонятельной клетки богато РНК, которая образует возле ядра плотные скопления. После воздействия паров пахучих
 
Рис. 70. Периферический отдел обонятельного анализатора:
д
— схема строения носовой полости: 1
— нижний носовой ход; 2
— нижняя, 3
— средняя и 4
— верхняя носовые раковины; 5 — верхний носовой ход; Б
— схема строения обонятельного эпителия: 1 — тело обонятельной клетки, 2
— опорная клетка; 3 —
булава; 4
— микроворсинки; 5 —
обонятельные нити.
веществ происходит их разрыхление и частичное исчезновение, что говорит о том, что функция обонятельных клеток сопровождается изменениями в распределении РНК и в ее количестве.
Обонятельная клетка имеет два отростка. Один из них через отверстия продырявленной пластинки решетчатой кости направляется в полость черепа к обонятельным луковицам, в которых возбуждение передается на расположенные там нейроны. Их волокна образуют обонятельные пути, которые подходят к различным отделам ствола мозга. Корковый отдел обонятельного анализатора находится в гиппокамповой извилине и в аммоновом роге.
Второй отросток обонятельной клетки имеет форму палочки шириной 1 мкм, длиной 20—30 мкм и заканчивается обонятельным пузырьком — булавой, диаметр которой 2 мкм. На обонятельном пузырьке расположено 9—16 ресничек.
Восприятие обонятельных раздражений.
Обонятельные рецепторы обладают очень большой чувствительностью. Для возбуждения одной обонятельной клетки человека достаточно от 1 до 8 молекул пахучего вещества (бутилмеркаптана). Механизм восприятия запахов до настоящего времени еще не установлен. Предполагают, что обонятельные волоски являются как бы специализированными антеннами, которые активно участвуют в поиске и восприятии пахучих веществ. Относительно механизма восприятия существуют разные точки зрения. Так, Эймур (1962) считает, что на поверхности волосков обонятельных клеток расположены особые рецептивные участки в виде ямок, щелей определенного размера и определенным образом заряженных. Молекулы различных пахучих веществ имеют форму, размер и заряд, комплементарные различным участкам обонятельной клетки, и это обусловливает различение запахов.
Некоторые исследователи полагают, что обонятельный пигмент, имеющийся в обонятельной рецептивной зоне, также участвует в восприятии обонятельных раздражений, как пигмент сетчатки при восприятии зрительных раздражений. Согласно этим представлениям окрашенные формы пигмента содержат возбужденные электроны. Пахучие вещества, действуя на обонятельный пигмент, вызывают переход электронов на более низкий энергетический уровень, что сопровождается обесцвечиванием пигмента и освобождением энергии, которая затрачивается на возникновение импульсов.
Биопотенциалы возникают в булаве и распространяются далее по обонятельным путям до коры головного мозга.
вкусовой анализатор
Строение вкусового анализатора.
Периферический отдел вкусового анализатора представлен вкусовыми луковицами,
которые расположены главным образом в сосочках языка. Различают сосочки желобоватые, листовидные я грибовидные
(рис. 71, А).
В меньшем количестве вкусовые луковицы встречаются на мягком нёбе и задней стенке глотки. Вкусовая луковица имеет овальную форму и состоит из опорных
и рецепторных вкусовых клеток
(рис. 71, Б).
Вкусовые клетки усеяны на своем конце микроворсинками, которые называют еще вкусовыми волосками.
Длина микроворсинок — около 2 мкм, диаметр — около 0,2 мкм. Они выходят на поверхность языка через вкусовые поры.
На вкусовой клетке имеется большое число синапсов, которые образуют волокна барабанной струны
и языкоглоточного нерва.
Волокна барабанной струны (ветвь язычного нерва) подходят ко всем грибовидным сосочкам, а волокна языкоглоточного нерва — к желобоватым и листовидным. Корковый конец вкусового анализатора находится в гиппокампе, парагиппокамповой извилине и в нижней части заднецентральной извилины.
Вкусовые клетки непрерывно делятся и непрерывно гибнут. Особенно быстро происходит замещение клеток, расположенных в передней части языка, где они лежат более поверхностно. Замена клеток вкусовой почки сопровождается образованием новых синап-тических структур.
Восприятие вкусовых раздражителей.
Микроворсинки вкусовых клеток являются образованиями, непосредственно воспринимающими вкусовой раздражитель. Мембранный потенциал вкусовых клеток колеблется от —30 до —50 мВ. При действии вкусовых раздражителей возникает рецепторный потенциал величиной от 15 до 40 мВ. Он представляет собой деполяризацию поверхности

Рис. 71. Периферический отдел вкусового анализатора:
А
— сосочки языка: / — листовидный; 2
— грибовидный; 3
— желобоватый; Б
— вкусовые клетки и опорные элементы: /— вкусовая пора; 2
— опорная клетка; 3
— рецепторная клетка; 4
— нервные волокна.
вкусовой клетки, которая является причиной возникновения в волокнах барабанной струны и языкоглоточного нерва генераторного потенциала, переходящего по достижении критического уровня в распространяющиеся импульсы. С рецепторной клетки возбуждение передается через синапс на нервное волокно с помощью ацетилхолина. Некоторые вещества, как например СаС12
, хинин, соли тяжелых металлов, вызывают не первичную деполяризацию, а первичную гиперпрляризацию. Ее возникновение связано с осуществлением отрицательных отвергаемых реакций. Распространяющихся импульсов при этом не возникает.
Различные вкусовые клетки обладают разной чувствительностью к различным вкусовым веществам, которые делятся на четыре группы: кислое, соленое, сладкое, горькое. Каждая клетка отвечает всегда более чем на одно вкусовое вещество, иногда даже на все четыре, но наибольшей чувствительностью обладает к одному из них. Соответственно в зависимости от расположения клеток с особо высокой чувствительностью к тому или иному вкусовому раздражителю разные участки языка обладают также разной чувствительностью. Кончик языка наиболее чувствителен к сладкому, корень языка — к горькому.
Для вкусовых клеток характерны колебания порога раздражения и различный в разных условиях характер ответа на одни и те же раздражители. Их возбудимость зависит от постоянных влияний друг на друга, а также от состояния рецепторов пищеварительного тракта, обонятельных и др. В норме существует определенная «настройка» вкусовых рецепторов в соответствии с состоянием организма, в частности с состоянием сытости.
КОЖНЫЙ АНАЛИЗАТОР
Классификация и структура рецепторных образований кожного анализатора. К кожному анализатору относят совокупность анатомических образований, согласованной деятельностью которых определяются такие виды кожной чувствительности, как чувство давления, растяжения, прикосновения, вибрации, тепла, холода и боли.
Все рецепторные образования кожи в зависимости от их структуры делят на две группы: свободные
и несвободные.
Несвободные в свою очередь подразделяются на инкапсулированные
и неинкапсулированные.
Свободные нервные окончания представлены конечными разветвлениями дендритов сенсорных нейронов. Они теряют миелин, проникают между клетками эпителия и располагаются в эпидермисе и дерме. В некоторых случаях конечные разветвления осевого цилиндра окутывают измененные эпителиальные клетки, образуя осязательные мениски.
Несвободные нервные окончания состоят не только из ветвлений волокна, потерявшего миелин, но и из клеток глии. К несвободным инкапсулированным рецепторным образованиям кожи относятся пластинчатые тельца, или тельца Фатера-Пачини, осязательные
 
Рис. 72. Различные типы рецепторов кожи:
А
— пластинчатое тельце Фатера-Пачини: 1 — наружная колба; 2
— концевой отдел нервного волокна; Б
— осязательное мейснерово тельце; В — свободные нервные окончания; Г
— осязательное тельце
Меркеля; Д
— колба Краузе.
тельца, или тельца Мейснера, колбы Краузе и др. (рис. 72). Тельца Фатера-Пачини
состоят из расположенной снаружи соединительнотканной капсулы и внутренней колбы. Последняя содержит измененные шванновские клетки. Во внутреннюю колбу входит, теряя при этом свою миелиновую оболочку, чувствительное нервное волокно. Тельца Мейснера
состоят из тонкой соединительнотканной капсулы, внутри которой перпендикулярно к длинной оси тельца расположены глиальные клетки, накладывающиеся друг на друга. С поверхностью глиальных клеток контактируют разветвления нервного волокна, которые, входя в тельце, теряют миелин.
Колбы Краузе
имеют сферическую форму, снаружи они одеты соединительнотканной капсулой. Нервные волокна, входящие внутрь колбы, сильно переплетаются.
Количество различного типа рецепторов, приходящихся на единицу поверхности, неодинаково. В среднем на 1 см2
кожной поверхности приходится 50 болевых, 25 тактильных, 12 Холодовых и 2 тепловые точки. Кожа различных участков тела имеет разное количество рецепторов и соответственно обладает неодинаковой чувствительностью. Особенно большое количество рецепторов расположено на поверхности губ, на кожной поверхности кончиков пальцев.
Функциональные свойства кожных рецепторов. Каждому виду чувствительности соответствуют особые рецепторные образования, которые делят на четыре группы: тактильные, тепловые, холодовые и. болевые.
Абсолютная специфичность, т. е. способность реагировать только на какой-то один вид раздражения, характерна лишь для некоторых рецепторных образований кожи. Многие из них реагируют на раздражители разной модальности. Возникновение различных ощущений зависит не только от того, какое рецепторное образование кожи подвергалось раздражению, но и от характера импульсации, идущей от этого рецептора в центральную нервную систему.
Способность к раздельному восприятию двух раздражений, наносимых на разные участки кожи, называют различительной чувствительностью.
Порог пространственного различения,
под которым понимают наименьшее расстояние между двумя точками, раздражение которых воспринимается как раздельное, неодинаков для разных участков кожи. Так, на кончике языка он составляет 1 мм, на ладонной стороне ногтевых фаланг пальцев руки — 2 мм, на спине и груди — 40—70 мм.
Восприятие механических раздражений (прикосновение, давление, вибрации, растяжения) называют тактильной рецепцией.
Она является одним из видов механорецепции,
направленной на восприятие механической энергии раздражающего стимула. Механорецепция осуществляется рецепторами кожи, вестибулярного аппарата, мышц, сухожилий, стенок сосудов и др.
Функциональные свойства механорецепторов особенно детально были изучены на примере телец Фатера-Пачини. Эти рецепторные образования являются первично чувствующими. При действии механических раздражителей происходит растяжение рецепторной мембраны, увеличение ее проницаемости для ионов и возникновение генераторного потенциала.
По достижении критического уровня деполяризации в ближайшем перехвате Ранвье возникает ПД. Каждый рецепторный потенциал может дать начало 1—2 потенциалам действия.
Восприятие тепла и холода определяют как температурную рецепцию.
Холодовые и тепловые рецепторы в определенном диапазоне температур обладают каким-то уровнем электрической активности. Для тепловых рецепторов теплокровных характерна импульсная активность в диапазоне температур от 20 до 50° С, а для Холодовых — от 10 до 41°С. Максимальная импульсация от тепловых рецепторов (2—15 имп/с) отмечается при 38—43°С, а от Холодовых—15—34°С. При быстром изменении температуры меняется частота импульсации. Холодовые рецепторы вызывают увеличение импульсации при охлаждении, тепловые—при согревании. У теплокровных изменение температуры на 0,2°С оказывается достаточным для изменения частоты импульсации в соответствующем афферентном проводнике.
Восприятие болевых раздражений
осуществляется не только свободными нервными окончаниями, а при достаточно интенсивном раздражении и самыми различными рецепторами кожи.
Проводящие пути и корковый конец кожного анализатора.
Возбуждение от рецепторов кожного анализатора направляется в центральную нервную систему по волокнам, имеющим различный диаметр. Волокна малого диаметра (со скоростью проведения возбуждения 30 м/с) осуществляют переключение на второй
нейрон в спинном мозге. Аксоны этих нейронов в составе передних и боковых восходящих путей направляются, частично перекрещиваясь, к зрительным буграм, где располагается третий нейрон пути кожной чувствительности. Отростки этих нейронов достигают соматосенсорной зоны пре- и постцентральной извилины коры.
Волокна более толстые (со скоростью проведения от 30 до 80 м/с) проходят без перерыва до продолговатого мозга, где и происходит переключение на второй нейрон. Там же осуществляется передача на второй нейрон возбуждения, идущего от рецепторов кожи головы. Аксоны нейронов продолговатого мозга полностью перекрещиваются на уровне продолговатого мозга и направляются к зрительным буграм. По аксонам нейронов зрительных бугров возбуждение передается в соматосенсорную область коры.
В зрительном бугре кожная поверхность головы и лица представлена в заднемедиальной зоне заднего вентрального ядра, а верхние и нижние конечности, туловище — в переднелатеральной его части. Имеется определенная организация и в расположении по вертикали нейронов, воспринимающих информацию от различных участков кожной поверхности. Выше всего расположены нейроны, воспринимающие информацию от кожной поверхности ног, несколько ниже — от туловища и еще ниже — от рук, шеи, головы. Такое же расположение характерно и для коркового отдела кожного анализатора (рис. 49). Нейроны, передающие информацию от кожной поверхности, делятся на моно-, ди- и полимодальные. Мономодальные нейроны выполняют функцию различения, а ди- и полимодальные— интегративную. Выделяют особые нейроны — «детекторы нового». Они отвечают очень кратковременной реакцией только на новые раздражения.
вестибулярный анализатор
Строение вестибулярного анализатора.
Периферический отдел вестибулярного анализатора человека является частью внутреннего уха. Он состоит из трех полукружных каналов,
расположенных во взаимно перпендикулярных плоскостях, сферического
и эллиптического мешочков преддверия
(круглого и овального) (рис. 73). В полости их находится жидкость — эндолимфа.
В мешочках преддверия расположены рецепторные волосковые клетки, образующие возвышения — пятна.
Волосковые клетки могут быть шаровидной и цилиндрической формы, их поверхность снабжена волосками, а к основанию подходят безмиелиновые окончания чувствующих волокон вестибулярно-преддверного нерва
(рис. 74, А).
Волоски рецепторных клеток погружены в студенистую отолитовую мембрану, в которой находятся кристаллы кальцита — статоконии
(отолиты) (рис. 74, Б).
Каждая клетка имеет 40—ПО неподвижных волосков и один длинный — подвижный. Пространство между волосками пронизано нитеподобными структурами. Сенсорные клетки расположены группами. Каждая включает несколько сот клеток. Подвижные волоски внутри группы имеют одинаковую ориентацию, но сами группы ориентированы различно.

Рис. 73. Схема строения лабиринта уда:
1 — эллиптический и 2
— сферический мешочки преддверия; 3
— улитка; 4
— задний, 5
— наружный и 6
— верхний полукружные каналы; 7 — ампулы полукружных каналов.
В ампулах полукружных каналов расположены гребешки-кристы,
образованные рецепторными клетками, которые снабжены пучком волосков. Число их в каждом пучке составляет 50—80. В разных каналах ориентация волосков различна. Волоски покрыты желеобразным колпачком — купулой.
Волокна, подходящие к волосковым клеткам, являются от-• ростками биполярных клеток узла преддверия, который расположен на дне внутреннего слухового прохода. Второй отросток этих клеток направляется в составе преддверно-улиткового нерва в продолговатый мозг, откуда возбуждение передается на мотонейроны спинного мозга, нейроны мозжечка и ядер глазодвигательных нервов. Корковый конец вестибулярного анализатора локализуется в височной области коры.
Функция вестибулярного анализатора
. Рецепторные образования мешочков преддверия предназначены для восприятия изменений положения головы. Возбуждение волосковых клеток возникает в результате сгибания волосков под влиянием скольжения отолитовой мембраны, при натяжении их в результате ее отвисания, при давлении отолитовой мембраны.
Рецепторы полукружных каналов реагируют на изменения скорости движения организма в горизонтальной плоскости и угловые ускорения при его вращательных движениях. При этих ускорениях под влиянием движения эндолимфы происходит смещение купулы, что и является раздражителем. Движение эндолимфы в противоположных направлениях вызывает противоположно направленные изменения возбудимости, т. е. происходит сдвиг в сторону либо возбуждения, либо торможения.
В нерве, отходящем от узла преддверия, всегда регистрируется фоновая электрическая активность. При раздражении волосковых клеток частота импульсации меняется.

Рис. 74. Микроструктура периферического отдела вестибулярного анализатора:
А
— структура и расположение волосковых клеток: 1 — волосковые клетки; 2
— опорная клетка; 3
— нервные окончания; 4
— нервное волокно; Б
— схема строения отолитового аппарата: 1 — отолиты; 2,
— отолитовая мембрана; 3
— волоски; 4
— опорные клетки; 5
— волосковые клетки; 6
— нервные волокна"
Ядро преддверно-улиткового нерва, расположенное в продолговатом мозге, имеет многочисленные связи со спинным мозгом, мозжечком, центрами, регулирующими работу внутренних органов, с ядрами глазодвигательных нервов. Поэтому раздражение вестибулярного аппарата сопровождается перераспределением тонуса мышц, направленным на установление исходного положения тела. Одновременно возникает ряд вегетативных рефлексов: изменения кровяного давления, кожной температуры, частоты сокращения сердца, частоты дыхания и т. д. При поражении вестибулярного аппарата исчезает способность со хранения вертикального положения тела и ряд вегетативных расстройств (головокружение, тошнота). Однако через несколько месяцев недостаточность функции вестибулярного аппарата компенсируется деятельностью других анализаторов, главным образом двигательного и зрительного. Интенсивность вегетативных расстройств, возникающих при раздражении вестибулярного аппарата, можно уменьшить, а иногда и полностью снять путем систематической тренировки.
ДВИГАТЕЛЬНЫЙ АНАЛИЗАТОР
Строение двигательного анализатора. У человека периферический отдел анализаторов представлен нервно-мышечными веретенами, сухожильными рецепторами Гольджи и различными чувствительными окончаниями связок, суставных сумок и фасций мышц.
Нервно-мышечное веретено
состоит из нескольких мышечных волокон (от 2 до 12), которые покрыты соединительнотканной капсулой (рис. 75, А).
длина веретена колеблется от 4 до 11 мм, диаметр — от 80 до 200 мкм. Число веретен в различных мышцах неодинаково, также различно количество их в одной и той же мышце разных организмов. Некоторые мышцы содержат более ста мышечных веретен. Мышцы с очень большой функциональной активностью обладают большим числом веретен (например, мелкие мышцы кисти). Веретена прикрепляются одним концом к волокнам мышц, в которых они расположены, а другим — к сухожилию. Волокна мышечных веретен называют интрафузальными,
в то время как волокна скелетных мышц получили название экстрафузальных.
Интрафузальное мышечное волокно состоит из центральной расширенной части, которая называется ядерной сумкой
и двух прилегающих к ней с обеих сторон полярных участков
(рис. 75). В области ядерной сумки находится скопление ядер. Полярные участки обладают поперечной ис-черченностью, как и экстрафузальные волокна. Переходную часть интрафузального волокна, в которой постепенно исчезает поперечная исчерченность, называют областью миотрубки.
Вокруг ядерной сумки спирально закручиваются чувствительные нервные волокна, называемые первичными афферентами.
Волокна мышечных веретен обладают двигательной иннервацией. Моторные нервные волокна, идущие к мышечным веретенам, имеют малый диаметр (4—8 мкм). Они являются отростками у-мотонейронов спинного мозга. Число их составляет примерно '/3
от общего количества эфферентных волокон, содержащихся в переднем корешке (рис. 76).
 
Рис. 75. Периферический отдел двигательного анализатора:
А
— строение мышечного веретена: 1 — капсула; 2
— лимфатическое пространство; 3
— пучок интрафузальных волокон; 4
— вторичное нервное окончание; 5 — первичное нервное окончание; Б
— структура интрафузального мышечного волокна: 1 — полярная область; 2
— экваториальная область; 3
— область миотрубки; 4
— ядерная сумка; 5 — экстрафузальное мышечное волокно.
Сухожильные рецепторы Гольджи
по преимуществу расположены на сухожильных концах мышц и образованы нервными окончаниями афферентных волокон, относящихся к группе Ар. Помимо мышечных веретен и сухожильных рецепторов Гольджи в мышце, в суставных сумках и связках расположены рецепторы в форме пластинок, древовидных разветвлений, свободных окончаний афферентных волокон.
Проводниковый отдел
двигательного анализатора представлен волокнами, идущими в составе тех же путей, что и от кожных рецепторов. Кроме того, рецептор-
ные образования двигательного аппарата связывают с головным мозгом спинно-мозжечковые пути, имеющие дополнительные переключения в мозжечке. Корковый конец двигательного анализатора расположен в лобной и теменной долях, в передней и задней центральных извилинах (соматосенсорная зона) и центральной борозде.
Функциональное значение двигательного анализатора.
Мышечные веретена расположены параллельно волокнам скелетных мышц. Этим объясняется тот факт, что в афферентах веретен электрическая активность возникает при растяжении мышцы. При растяжении мышцы на 10—100 мкм в первичных нервных окончаниях веретен возникает генераторный потенциал, который служит причиной возникновения распространяющегося возбуждения в соответствующем афферентном волокне. Частота разряда импульсов, возрастает с увеличением степени растяжения мышцы.
Установлено, что мышечные веретена обладают спонтанной активностью. В афферентах регистрируется электрическая активность и при отсутствии растяжения. При сокращении мышцы эта активность исчезает (рис. 77). Время отсутствия активности при

Рис. 76. Эфферентная иннервация скелетной мышцы:
1 — сухожилие мышцы; 2
— сухожильные рецепторы Гольджи; 3
— свободные окончания; 4
— тельца Фатера-Пачини; 5 — афферентные волокна; 6
— эфферентные волокна; 7— мышечное веретено; 8—
окончания афферентных волокон.
сокращении мышцы называют паузой или «периодом молчания». Его возникновение связано с тем, что при сокращении мышцы происходит уменьшение натяжения волокон веретен. Импульсация вновь возникает после расслабления мышцы.
Импульсы, возникающие в первичных афферентах, при сокращении интрафузальных волокон, имеют большое значение в поддержании тонуса нейронов спинного мозга и в осуществлении различных рефлекторных реакций. Они повышают возбудимость центров собственной мышцы и центров всех мышц-синергистов. В то же время они тормозят центры мышц-антагонистов. Так, при сильном сокращении мышцы-сгибателя вследствие растяжения мышцы-разгибателя усиливается активность ее веретен. Вследствие этого меняется возбудимость мотонейронов: для сгибателей она понижается, а для разгибателей повышается. Так, в результате наличия обратной связи может уменьшаться интенсивность реакции, если она была чрезвычайно большой.
Сухожильные рецепторы Гольджи приходят в состояние возбуждения и при растяжении мышцы, и при ее сокращении. Импульсы, приходящие от них в центральную нервную систему, оказывают тормозящее действие на мотонейроны мышцы, в которой они расположены (аутогенное торможение), и в то же время повышают возбудимость мотонейронов мышц-антагонистов.
Импульсы, поступающие в центральную нервную систему от всех рецепторных образований двигательного аппарата, несут информацию о степени сокращения и растяжения мышц, о взаимном расположении костных рычагов, что необходимо для координированной мышечной деятельности, для оценки пространства.
Еще И. М. Сеченов писал о «темном мышечном чувстве», с помощью которого мы анализируем пространство. Действительно, даже при закрытых глазах человек в состоянии определить, на какую высоту поднята рука, какое расстояние мы прошли, на какой угол согнули в суставе верхнюю или нижнюю конечность. Эта оценка пространства при движениях осуществляется с помощью рецепторных образований двигательного аппарата. Роль мышечных рецепторов в координации двигательной функции особенно
отчетливо выявляется при заболеваниях, связанных с поражением чувствительных путей. В этом случае расстраивается координация движений, теряется способность поддерживать определенное положение тела. Выпадение функции двигательного анализатора частично восполняется деятельностью других анализаторов, главным образом зрительного. Если больной с пораженным двигательным аппаратом закроет глаза, он не сможет сохранять вертикальное положение.

Рис. 77. Характер импульсации при растяжении и сокращении мышцы:
/ —реакциясухожильногорецептора; 2
—реакцияверетен; 3
—исходнаявеличинарастяжениямышцы; 4
—увеличениестепенирастяжения мышцы;, 5,7
—восстановлениеисходнойдлины мышцы; 6
—сокращенияэкстрафузальныхволокон.
|