
Кафедра «Экономика и менеджмент»
КУРСОВАЯ РАБОТА
по дисциплине «Стратегический менеджмент»
Разработка системы стратегического планирования на предприятии ОАО «Брянский хлебокомбинат КАРАВАЙ»
Выполнила: студентка гр. 07-МНТ 2
Трофимова Л.
Преподаватель: к.э.н., доцент
Бабич О.В.
Брянск 2010
Содержание
Введение……………………………………………..……………………………….....2
1. Определение миссии (философии) бизнеса…………………….……….……5
2. Определение общих долгосрочных целей предприятия……………….…….7
3. Управленческий анализ……………………………………………………10
4. Стратегический анализ внешней среды………………………………………..…29
5. SWOT-анализ деятельности предприятия………………….………………41
6. Формирование стратегии предприятия………………………………………..…44
Заключение………………………………………..…………………………53
Список использованной литературы…………………………………………56
Приложение……………………………………………………………………...……59
Введение
В связи с постоянными изменениями, происходящими в экономике и требующими от организаций значительной гибкости в процессе осуществления хозяйственной деятельности, в современном мире роли менеджменте отводится все больше внимания. Из-за перемен во внешней среде на первый план выдвигаются потребность приведения целей, стратегий и общей политики предприятия в соответствие с ними.
Одна из важных частей происходящих изменений – это постижение науки и искусства менеджмента. Менеджмент – наука и практика управления коммерческой фирмой в условиях рыночной системы хозяйствования, способствующая повышению эффективности работы фирмы.
Менеджер – специалист-профессионал по управлению, которого собственник или команда собственников нанимают для осуществления эффективного хозяйствования в пределах выделенных ему ресурсов. [9, с.4]
Стратегическое управление – набор решений и действий по формулированию и выполнению стратегий, разработанных для того, чтобы достичь целей организации. [20, с.11]
Положение предприятия ОАО «Брянский хлебкомбинат КАРАВАЙ» на рынке хлебобулочных изделий и то, насколько это положение соответствует намерениям фирмы, во многом зависит от эффективности разработки и применения управленческих решений.
Стратегические планы предприятия должны быть ориентироваться на долгосрочную перспективу, которая определяется конкретными целями и задачами и заключается в конечном итоге в обеспечении успешной деятельности фирмы.
Забиваем Сайты В ТОП КУВАЛДОЙ - Уникальные возможности от SeoHammer
Каждая ссылка анализируется по трем пакетам оценки: SEO, Трафик и SMM.
SeoHammer делает продвижение сайта прозрачным и простым занятием.
Ссылки, вечные ссылки, статьи, упоминания, пресс-релизы - используйте по максимуму потенциал SeoHammer для продвижения вашего сайта.
Что умеет делать SeoHammer
— Продвижение в один клик, интеллектуальный подбор запросов, покупка самых лучших ссылок с высокой степенью качества у лучших бирж ссылок.
— Регулярная проверка качества ссылок по более чем 100 показателям и ежедневный пересчет показателей качества проекта.
— Все известные форматы ссылок: арендные ссылки, вечные ссылки, публикации (упоминания, мнения, отзывы, статьи, пресс-релизы).
— SeoHammer покажет, где рост или падение, а также запросы, на которые нужно обратить внимание.
SeoHammer еще предоставляет технологию Буст, она ускоряет продвижение в десятки раз,
а первые результаты появляются уже в течение первых 7 дней.
Зарегистрироваться и Начать продвижение
Цель курсового исследования состоит в определении путей успешного развития ОАО «Брянский хлебокомбинат КАРАВАЙ» в дальнейшем, повышения уровня его конкурентоспособности с помощью разработки и внедрения программы мероприятий стратегического планирования на предприятии.
Эта программа должна быть связана с выделением важнейших целей и стратегий, а также с обозначением миссии ОАО «Брянский хлебокомбинат КАРАВАЙ» на рынке.
Задачи данной курсовой работы тесно связаны с ее целью и состоят в следующем:
- определение миссии (философии) бизнеса;
- определение общих долгосрочных целей предприятия;
- рассмотрение общекорпоративной структуры, существующей на предприятии, потребностей и вариантов ее изменения;
- определение ситуационного положения предприятия, характеристика основных элементов его микросреды;
- проведение отраслевого анализа;
- формирование стратегии предприятия и определение конкретных рекомендаций ОАО «Брянский хлебокомбинат КАРАВАЙ» для реализации предложенных стратегий.
Объектом исследования в данной курсовой работе является предприятие ОАО «Брянский хлебокомбинат».
Предмет исследования – это управленческая деятельность данного предприятия на рынке хлебобулочных изделий.
В процессе курсового исследования и решения поставленных задач будут использоваться методики PEST(E) и SWOT-анализа, анализ пяти конкурентных сил Портера, помимо этого, будут применены различные статистические, математические, маркетинговые модели, финансовые и балансовые методы анализа.
Информационная база данного исследования – научная литература, статистические данные, данные интернет-сайтов и СМИ.
Стратегическое планирование – это совокупность действий и решений руководства, которые ведут к разработке специфических стратегий, предназначенных достижения целей организации. Стратегическое планирование предполагает постановку стратегических целей, которые должны быть достаточно конкретными и измеряемыми с помощью определенных критериев. [9, с.64]
Миссия – это предназначение организации, основная цель ее существования. [9, с.58] предприятие разрабатывает миссию в трех вариантах: расширенный, сокращенный и лозунговый.
Лозунговый вариант миссии ОАО «Брянский хлебокомбинат КАРАВАЙ»:
«Превосходный вкус, высокое качество, широкий ассортимент – только лучшее для наших покупателей».
Сервис онлайн-записи на собственном Telegram-боте
Попробуйте сервис онлайн-записи VisitTime на основе вашего собственного Telegram-бота:
— Разгрузит мастера, специалиста или компанию;
— Позволит гибко управлять расписанием и загрузкой;
— Разошлет оповещения о новых услугах или акциях;
— Позволит принять оплату на карту/кошелек/счет;
— Позволит записываться на групповые и персональные посещения;
— Поможет получить от клиента отзывы о визите к вам;
— Включает в себя сервис чаевых.
Для новых пользователей первый месяц бесплатно.
Зарегистрироваться в сервисе
Расширенный вариант миссии ОАО «Брянский хлебокомбиат КАРАВАЙ»:
«Оптимальный способ удовлетворения потребностей покупателей посредством выпуска и реализации на территории Брянской и соседних областей хлебобулочной продукции высокого качества на любой вкус по доступным ценам;
Реализация не имеющего аналогов по своей широте ассортиментного ряда продукции;
Избегание зависимости от конкретных предприятий, рынков и территорий, расширение горизонтов бизнеса;
Создание стабильной благоприятной рабочей обстановки, обеспечение справедливого вознаграждения труда и достойного уровня жизни работников предприятия; поддержка творческой инициативы и стремление к инновациям;
Внедрение новой техники и технологий с целью повышения качества продукции и совершенствования производственного процесса;
Проведение политики устойчивого улучшения и повышения эффективности рабочего процесса и разных уровней управления с целью увеличения производственных мощностей и объемов производства в перспективе».
Сокращенный вариант миссии ОАО «Брянский хлебокомбинат КАРАВЙ»:
«Оптимальный способ удовлетворения потребностей покупателей посредством выпуска и реализации на территории Брянской и соседних областей широкого ассортимента хлебобулочной продукции высокого качества на любой вкус по доступным ценам;
Ответственность и надежность в деловых отношениях, сотрудничестве с акционерами, поставщиками и посредниками;
Создание стабильной благоприятной рабочей обстановки, обеспечение достойного уровня жизни, возможности для развития и роста работников предприятия;
Внедрение новой техники и технологий с целью повышения качества продукции и совершенствования производственного процесса;
Проведение политики повышения эффективности рабочего процесса и управления для дальнейшего развития предприятия».
Следующим этапом стратегического менеджмента на предприятии является разработка долгосрочных целей ОАО «Брянский хлебокомбинат КАРАВАЙ».
Для разработки целей на 2010-2011 гг. необходимо проанализировать развитие основных показателей деятельности предприятия в 2007-2009 гг. (см. табл.1).
Таблица 1
Динамика основных показателей деятельности ОАО «Брянский хлебокомбинат КАРААЙ»
в 2007-2009 гг.
| № |
Наименование |
2007г. |
2008г. |
2008г. в % к 2007г. |
2009г. |
2009г. в % к 2008г. |
| 1 |
Выручка, тыс. руб. |
285244 |
350130 |
122,7 |
407585 |
116,4 |
| 2 |
Доля рынка, % |
29 |
31 |
106,8 |
32 |
103,2 |
| 3 |
Объем производства, т. |
12760 |
14290 |
112 |
15050 |
105,3 |
| 4 |
Средняя заработная плата, руб. |
8677 |
9271 |
106,8 |
12500 |
134,8 |
Производительность труда в 2009 г. составила 1345,2 тыс. руб./чел, темп ее роста относительно 2008г. составил 17%, т.е. с учетом прогнозируемого увеличения, в 2010г. производительность труда составит 1573,9 тыс.руб/чел. При такой производительности труда для достижения планируемого уровня выработки необходимо, чтобы численность работников составила 305 человек, следовательно, нужно нанять двух производственных рабочих.
По результатам таблицы можно сделать вывод о том, что в 2008 г. наблюдается значительное увеличение основных показателей деятельности предприятия. Это объясняется тем, что в 2008 г. ОАО «Брянский хлебокомбинат КАРАВАЙ» оснастило цех новым оборудованием – была введена в эксплуатацию новая электропечь, что позволило открыть новую линию и увеличить объемы производства, долю рынка. Следовательно, этот год нельзя учитывать при определении темпов роста показателей деятельности предприятия.
В 2010 г. руководство ОАО «Брянский хлебокомбинат КАРАВАЙ приняло решение о приобретении склада готовой продукции в Москве. Появление склада должно способствовать проникновению продукции комбината на рынок хлебобулочных изделий Московской области.
Долгосрочные цели предприятия ОАО «Брянский хлебокомбинат КАРАВАЙ» приведены в таблице 2.
Таблица 2
Цели ОАО «Брянский хлебокомбинат КАРАВАЙ» на 2010-2012гг.
| Цели ОАО «Брянский хлебокомбинат КАРАВАЙ» |
2010г. |
2011г. |
2012г. |
| Корпоративная цель: увеличение выручки на 16% каждый год |
| Выручка |
На 18% |
На 20% |
На 22% |
| 1. Рыночные цели |
1.1 Увеличение доли брянского рынка
- развитие рекламной компании
-увеличение рекламного бюджета
1.2 Освоение новых рынков (московский регион)
|
До 33%
|
До 34%
|
До 35%
|
| 2. Производственные цели |
Увеличение объема производства
-замена устаревающего оборудования новым
|
На 7%
|
На 9%
|
На 11%
|
| 3. Финансовая цель |
3.1 Увеличение чистой прибыли
3.2 Снижение издержек
|
На 39,1%
На 2%
|
На 37%
На 2%
|
На 35,42%
На 2%
|
| 4. Организационные цели |
4.1 Мотивация сотрудников
- увеличение фонда заработной платы
4.2 Прием на работу двух производственных рабочих
|
Проверим долгосрочные цели ОАО «Брянский хлебокомбинат КАРАВАЙ» через правило воздействия операционного рычага (см. табл.3-5).
Таблица 3
Определение прибыли и себестоимости в 2010 году
| Годы |
Выручка, тыс. руб. |
Себестоимость, тыс. руб. |
Прибыль от продаж, тыс. руб. |
| 2009 |
407585 |
352052 |
25531 |
| 2010 |
480950 |
- |
Х |
| Сила воздействия операционного рычага (СВОР) = Валовая маржа / Прибыль от продаж = (407585 - 352052) / 25531 =2,18 |
| Изменение прибыли = Изменение Выручки * СВОР = 18*2,18 = 39,1 % |
Таким образом, проанализировав данные таблицы 1, можно сделать вывод, что увеличение объема продаж в 2010 г. на 18% приведет к увеличению прибыли на 39%, т.е. она составит 35488 тыс. руб.
Таблица 4
Определение прибыли и себестоимости в 2011 году
| Годы |
Выручка, тыс. руб. |
Себестоимость, тыс. руб. |
Прибыль от продаж, тыс. руб. |
| 2010 |
480950 |
415421 |
35488 |
| 2011 |
577140 |
- |
Х |
| Сила воздействия операционного рычага (СВОР) = Валовая маржа / Прибыль от продаж = (480950 - 415421) / 35488 =1,85 |
| Изменение прибыли = Изменение Выручки * СВОР = 20*1,85 = 37 % |
То есть увеличение объема продаж в 2011 г. на 20% приведет к увеличению прибыли на 37%, т.е. она составит 48618,5 тыс. руб.
Таблица 5
Определение прибыли и себестоимости в 2012 году
| Годы |
Выручка, тыс. руб. |
Себестоимость, тыс. руб. |
Прибыль от продаж, тыс. руб. |
| 2011 |
577140 |
498505 |
48618,5 |
| 2012 |
704110 |
- |
Х |
| Сила воздействия операционного рычага (СВОР) = Валовая маржа / Прибыль от продаж = (577140 - 498505) / 48618,5 =1,61 |
| Изменение прибыли = Изменение Выручки * СВОР = 22*1,61 = 35,42 % |
То есть увеличение объема продаж в 2012 г. на 20% приведет к увеличению прибыли на 35,42%, т.е. она составит 65635 тыс. руб.
Управленческий анализ деятельности предприятия позволяет определить сильные и слабые стороны предприятия, оценить их важность и установить параметры, которые могут стать основой конкурентных преимуществ.
ОАО «Брянский хлебокомбинат КАРАВАЙ» (полное название: Открытое акционерное общество «Брянский хлебокомбинат КАРАВАЙ») учреждено в соответствии с Указом Президента РФ «Об организационных мерах по преобразованию государственных предприятий в акционерные общества» от 1.071992 года путем преобразования государственного предприятия «Брянский хлебокомбинат КАРАВАЙ» (основан в 1945 году) и является его правопреемником. Выдержки из Устава предприятия содержатся в прил.1.
Сейчас это одно из ведущих предприятий России по выпуску хлебобулочных изделий. Сегодня комбинат выпускает свыше 40 наименований продукции.
Таблица 6
Основные показатели деятельности предприятия (2007-2009гг.)
| № |
Наименование |
2007г. |
2008г. |
2009г. |
2009г. в % к 2008г. |
| 1 |
Объем реализации всей продукции (тонн) |
14 054 |
14 925 |
15050 |
100,84 |
| 2 |
Объем реализации продукции (тыс. руб.) |
285244 |
350130 |
407585 |
116,41 |
| 3 |
Среднесписочная численность работающего персонала (чел.) |
310 |
304 |
303 |
99,7 |
| 4 |
Средняя заработная плата (руб.) |
8677 |
9271 |
12500 |
134,82 |
| 5 |
Производительность труда (тыс.руб./чел) |
920,1 |
1151,7 |
1345,2 |
116,8 |
Таблица 7
Финансово-экономическое состояние ОАО «Брянский хлебокомбинат»
| № п/п |
Показатели |
Единицы измерения |
2007г. |
2008г. |
2009г. |
2009г. в % к 2008г. |
| 1 |
Валовая прибыль |
тыс. руб. |
40276 |
51183 |
55533 |
108,5 |
| 2 |
Чистая прибыль |
тыс. руб. |
16417 |
22425 |
25531 |
113,85 |
| 3 |
Уставной капитал |
тыс. руб. |
5306 |
5306 |
5306 |
100 |
По результатам анализа данных таблиц 6, 7 можно проследить небольшую положительную тенденцию в развитии предприятия за рассматриваемые 2007-2009 гг.
По сравнению с 2008 г. в 2009 г. чистая прибыль увеличилась на 13,85%, что в условиях кризиса является достаточно хорошим результатом.
Основная продукция ОАО «Брянский хлебокомбинат КАРАВАЙ» – различные виды мучных изделий.
ОАО «Брянский хлебокомбинат КАРАВАЙ» располагает необходимыми производственными площадями, оборудованием. Руководство предприятия старается внедрять и использовать в производстве новейшие технологии кондитерской отрасли.
Вся продукция предприятия сертифицирована. Продукция ОАО «Брянский хлебкомбинат КАРАВАЙ» отличается высокими показателями качества и превосходным вкусом.
На предприятии ОАО «Брянский хлебокомбиат КАРАВАЙ» среди прочего, используется новое высокотехнологичное оборудование, такое как, например, введенная в эксплуатацию в 2008г. современная электропечь. Электропечь работает на противнях и непрерывном поде. Осуществляет диафрагменную резку, что позволяет ускорить формирование хлебобулочных изделий.
В таблице 8 приведены основные показатели производственной базы хлебокомбината.
Таблица 8
Основные показатели производственной базы ОАО «Брянский хлебокомбинат КАРАВАЙ»
| Наименование показателя |
Ед. изм. |
2007г |
2008г |
2009г. |
| Фондоотдача (выручка/основные фонды) |
руб./руб. |
5,66 |
6,81 |
6,84 |
| Фондовооруженность (основные средства/численность работников) |
руб./чел. |
162,5 |
169,6 |
196 |
| Стоимость основных фондов |
млн. руб. |
50362 |
51398 |
59594 |
| Товарооборот |
млн.руб. |
285244 |
350130 |
407585 |
| Рентабельность основных средств |
% |
2,62 |
2,7 |
2,38 |
Данные, характеризующие деятельность предприятия по производству разных видов продукции, приведены в таблице 9.
Таблица 9
Основные показатели деятельности ОАО «Брянский хлебокомбинат КАРАВАЙ» по продукции
| Наименование показателя |
Ассортимент выпускаемой продукции |
| Хлеб «ЛЮБИМЫЙ» |
Хлеб с семечками |
Хлеб здобный |
| 2009г |
2009г |
2009г |
| Средняя цена за кг. руб. |
31 |
24,3 |
22 |
| Себестоимость, руб. |
25,2 |
20,6 |
19,9 |
| Доля в общем объеме, % производства, % |
51,6 |
48,2 |
0,2 |
| Объем производства, т./тыс.бут |
7900 |
7298 |
27 |
| Объем производства, т.руб. |
229987,8 |
177001,2 |
594 |
В отчетном периоде на предприятии наблюдается увеличение показателей фондоотдачи и рост фондовооруженности. Постепенно на комбинате решается проблема износа оборудования. В связи с высокой стоимостью нового оборудования, предприятие не может сразу обновить все, но частичные обновления и замены производятся регулярно.
На финансовое благополучие предприятия напрямую влияет организация системы управления учета. Учетная политика предприятия и ее реализация связаны с практическим осуществлением бухгалтерского учета.
Важная составляющая часть анализа производства – факторный анализ себестоимости продукции.
Данные для анализа представлены в аналитической форме (табл. 10).
Таблица 10
Факторный анализ себестоимости
| Показатели |
Базисный
Период
|
Отчетный
период
|
Абсолютное
отклонение
|
Темп
изменения, %
|
| Товарооборот, Т, тыс. руб. |
350130 |
407585 |
+57455 |
116,41 |
| Сумма издержек, И тыс. руб. |
298947 |
352052 |
+53105 |
117,76 |
| Уровень издержек, Уи, % |
85,24 |
86,25 |
+1, 01 |
101,2 |
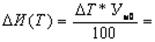
Построим факторную модель, которая имеет вид:
(2)
И -
сумма издержек, тыс. руб; Т -
товарооборот, тыс. руб; Уи
-
уровень издержек, %
Применим для анализа метод абсолютных разниц:
48988,4 тыс. руб.
4116,6 тыс. руб.
48988,4 + 4116,6= 53105 тыс. руб.
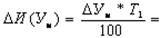
Из сказанного выше можно сделать вывод о том, что увеличение суммы издержек на 53105 тыс. руб. является результатом совокупного влияние факторов, в частности под влиянием изменения товарооборота произошло увеличение на 48988,4 тыс. руб., а под влиянием изменения уровня издержек увеличение на 4116,6 тыс. руб.
Важным элементом анализа производственной деятельности предприятия является оценка износа оборудования. Расчет уровня физического износа оборудования осуществляется по формуле 2:
Уи
= ССфакт
i
/ ССплан
i
, (3)
Где: Уи
– уровень износа оборудования,
ССфакт
i
– фактический срок службы i-той единицы оборудования,
ССплан
i
– плановый срок службы i-той единицы оборудования
Большая часть оборудования ОАО «Брянский хлебокомбинат КАРАВАЙ» (автомукомеры, 2 тестомесильные машины, 3 печи, 4 транспортера готовой продукции) была введена в эксплуатацию в 1992 году после преобразования комбината из государственного предприятия в акционерное общество.
Учитывая, что плановый срок службы данного оборудования составляет от 35 до 40 лет, по формуле 2 можно определить, что уровень износа оборудования ОАО «Брянский хлебокомбинат КАРАВАЙ» колеблется от 45 до 51%. Т.е. производственная база предприятия устаревает. Сейчас руководство ОАО «Брянский хлебокомбинат КАРАВАЙ» по мере возможности старается обновлять оборудование.
Выводы о сильных и слабых сторонах производственной деятельности представлены в таблице 11.
Таблица 11
Сильные и слабые стороны производственной деятельности предприятия
| Сила |
Слабость |
| 1. Широкий ассортимент выпускаемой продукции |
1.Часть оборудования производственных цехов предприятия является устаревшей |
| 2. Высокое качество выпускаемой продукции, подтвержденное сертификатами качества (см. прил.3) |
2. Отставание в области исследований по расширению ассортимента выпускаемой продукции |
| 3. Применение новейшего высокотехнологичного оборудования в производстве продукции |
3. Необходимость ремонта помещений цехов предприятия |
В ОАО «Брянский хлебокомбинат КАРАВАЙ» отдел маркетинга состоит из 4 человек: начальник отдела, 2 менеджера по рекламе, маркетолог по аналитической работе. Все специалисты имеют высшее образование по специальности.
Основными направлениями деятельности отдела маркетинга являются:
1. Изучение рынка сбыта и спроса.
2. Прогнозирование и планирование маркетинга.
3. Разработка стратегий маркетинга на разные сроки.
4. Рекламная деятельность.
5. Формирование положительного имиджа предприятия и продукции.
6. Разработка систем поощрения (лояльности) покупателей (клиентов).
Функции отдела маркетинга:
1. Работа с информацией о продукции, конкурентах.
2. Выбор сегментов рынка для обследования, определение необходимой информационной базы, методов исследований.
3. Изучение новых рынков сбыта, позиционирование продукции на рынке.
4. Анализ конкурентоспособности выпускаемой продукции предприятия.
5. Изучение потребностей и предпочтений покупателей.
6. Выявление тенденций развития производства и анализ спроса.
7. Систематическое наблюдение за рынком и корректировка прогнозов.
8. Разработка и представление руководству предложений по созданию новой продукции, определение ее конкурентоспособности, выработка рекомендаций по повышению определенных показателей новой продукции.
9. Анализ эффективности организации фирменного обслуживания, сбыта, рекламы и разработка предложений по их совершенствованию.
10. Организация обратной связи с потребителями (клиентами). Разработка предложений по повышению качества продукции.
11. Участие в определении себестоимости новых изделий и разработке мероприятий по снижению себестоимости выпускаемой продукции.
12. Разработка предложений по формированию фирменного стиля.
13. Организация рекламы.
14. Составление смет и затрат на проведение рекламных мероприятий.
15. Определение эффективности рекламы.
Маркетинговая политика ОАО «Брянский хлебокомбинат КАРАВАЙ» состоит из этапов: от выбора видов продукции, определения их цен, методов сбыта до продвижения товара.
Анализ рынка хлебобулочных изделий свидетельствует о том, что в последние годы имеется устойчивая тенденция к росту их потребления. Хлебобулочная продукция пользуется постоянным спросом. Емкость рынка хлебобулочных изделий РФ в 2010 г. составляет 755000 т.
Удельный вес хлебобулчной продукции предприятий на Брянском рынке (емкость равна 46235т.) рассчитывается по формуле 2:
,(4)
где У – удельный вес предприятия в общем объеме товаров или услуг;
ПП
– объем производства товара на предприятии;
С – емкость рынка.
По данным таблицы 1:
У1
=(15050/47031)*100%=32%(ОАО«БрянскийхлебокомбинатКАРАВАЙ)
У2
= (21634/47031)*100% = 46% (ОАО «Брянский хлеб»)
У3
= (3292/47031)*100% = 7% (ОАО «ЛУКОШКО»)
Доля продукции ОАО «Брянский хлебокомбинат КАРАВАЙ» на Брянском рынке составляет 39,4%. Самым опасным конкурентом является ОАО «Брянский хлеб».
Целевыми сегментами для ОАО «Брянский хлебокомбинат КАРАВАЙ» являются платежеспособные магазины, ИП и торговые организации; конечные потребители со средним уровнем дохода.
В таблице 12 приведены показатели рентабельности продукции ОАО «Брянский хлебокомбинат КАРАВАЙ».
Таблица 12
Рентабельность продукции ОАО «Брянский хлебокомбинат КАРАВАЙ»
| Продукция |
Выручка от продажи, тыс. руб. |
Себестоимость проданной продукции, тыс.руб. |
Прибыль, тыс.руб. |
Рентабельность, % |
| Любимый |
229987,8 |
201450 |
28766,8 |
14,3 |
| Хлеб с семечками |
177001,2 |
150237,6 |
26763,6 |
17,8 |
| Хлеб здобный |
594 |
537,3 |
56,7 |
9,5 |
Таким образом, наименьшую рентабельность (9,5%) имеет сдобный хлеб. Наибольшую прибыль ОАО «Брянский хлебокомбинат КАРАВАЙ» приносит производство хлеба с семечками, рентабельность данной продукции составляет 17,8%,а хлеб любимый – 14,3%.
Цена продукции ОАО «Брянский хлебокомбинат КАРАВАЙ» рассчитывается на основе затратного метода, т.е. складывается из себестоимости (переменные издержки + постоянные издержки), рентабельности и НДС (18%).
Организацией сбыта продукции ОАО «Брянский хлебокомбинат КАРАВАЙ» занимается коммерческая служба предприятия. Прием заказов осуществляется предварительно или непосредственно на предприятии, когда покупатель приезжает и заказывает нужный ему товар по ассортиментному перечню, после чего заключается договор на поставку продукции.
Процесс товародвижения включает транспортные расходы, расходы на содержание отдела продаж и складов информационное обеспечение, по учету и контролю складских запасов которые в сумме составляют приблизительно 450000 руб. в год.
Проведение коммуникативной политики предприятия связано, прежде всего, с рекламой. Главная цель рекламы – увеличить товарооборот. Реклама товаров ОАО «Брянский хлебокомбинат КАРАВАЙ» нацелена на покупателей потребительских товаров, а также снабженцев и деловых закупщиков для предприятий; направлена на продвижение товаров с целью увеличения объемов продаж.
Размещается реклама в основном на телевидении, в печатных изданиях (газетах, журналах, листовках, плакатах), помимо этого ОАО «Брянский хлебокомбинат КАРАВАЙ» проводит выставки и дегустации продукции в магазинах, торговых павильонах и других местах продаж.
Основные цели маркетинговой политики предприятия – это повышение степени конкурентоспособности, освоение новых рынков сбыта.
Программу маркетинга ОАО «Брянский хлебокомбинат КАРАВАЙ» на 2010 год можно представить в форме таблицы 13.
Таблица 13
Программа маркетинга ОАО «Брянский хлебокомбинат КАРАВАЙ» на 2010 год
| Направление |
Мероприятия |
Затраты, тыс. руб. |
| Товарная политика |
1. Модификация товара
2. Максимальное увеличение срока хранения продукции при минимальном ущербе качеству
3. Расширение предлагаемого ассортимента за счет внедрения в производство новых видов продукции
|
800 |
| Ценовая политика |
1. Повышение уровня механизации и автоматизации производства за счет внедрения новой техники и технологий
2. Поиск новых поставщиков, аналогичное сырье которых обойдется предприятию дешевле
3. Переговоры с существующими поставщиками по поводу предоставления дополнительных скидок
4. Пересмотр расхода сырья и энергии
|
1500 |
| Сбытовая политика |
1. Снижение суммы предоплаты на 10% и издержек на транспортировку на 5%
2. Долгосрочное планирование продаж
3. Контроль над ценообразованием дилеров
4. Расширение собственного автопарка
|
3000 |
| Коммуникативная политика |
1. Увеличение рекламного бюджета до 630,5 тыс. рублей
2. Направление средств в размере 400 тыс. рублей на развитие рекламы по телевидению и в Интернете
3. Увеличение количества проводимых презентаций, выставок и дегустаций продукции
|
630,5 |
| ИТОГО |
5930,5 |
Сильные и слабые стороны маркетинговой деятельности предприятия представлены в таблице 14.
Таблица 14
Сильные и слабые стороны маркетинговой деятельности предприятия
| Сила |
Слабость |
| 1. Способность быстрого реагирования на изменяющиеся потребности потребителей |
1.Слабая политика по продвижению сдобного хлеба, недостаточная реклама |
| 2.Проведение всего комплекса маркетинговых исследований, связанных с рынком, продуктом, потребителями и конкурентами |
2.Отсутствие четкой маркетинговой стратегии по производству сдобного хлеба |
| 3. Высокая квалификация сотрудников отдела маркетинга |
3. Слабое финансирование маркетинговых исследований |
Рассмотрим кадровую структуру ОАО «Брянский хлебокомбинат КАРАВАЙ».
Среднесписочная численность работников за 2009г. составляет 303 чел., средняя заработная плата 12500 руб. (см.табл.15).
Средний возраст рабочих колеблется от 25 до 40 лет. Персонал предприятия обеспечен всеми благоприятными условиями труда. Прием на работу осуществляется посредством собеседования с претендентом.
Таблица 15
Среднесписочная численность работников и средняя заработная плата
| Показатель |
2007г. |
2008г. |
2009г. |
| Численность работников, чел. |
310 |
304 |
303 |
| Средняя заработная плата, руб. |
8677 |
9271 |
12500 |
Среднесписочная численность работников в 2009г. снизилась на 2,2 % по отношению к 2007г. Средняя заработная плата в 2009г. по сравнению с 2007г. увеличилась на 44%, по сравнению с 2008г. – на 34,8%.
Таким образом, наблюдается положительная тенденция, так как на фоне относительно стабильной численности работников происходит увеличение средней заработной платы.
Средняя заработная плата работников ОАО «Брянский хлебокомбинат КАРАВАЙ» приведена в таблице 16.
Таблица 16
Средняя заработная плата работников ОАО «Брянский хлебокомбинат КАРАВАЙ», руб.
| Персонал |
2007г. |
2008г. |
2009г. |
| Управленческий персонал |
13191 |
13905 |
17972 |
| ИТР |
7890 |
8422 |
11981 |
| Производственные рабочие |
7252 |
7761 |
10450 |
| Прочий |
6378 |
6989 |
9605 |
| ИТОГО |
34711 |
37077 |
50008 |
Увеличение средней заработной платы в 2009г. в сравнении с 2008г.: управленческий персонал – 4067 руб., ИТР – 3559 руб., производственные рабочие – 2689 руб., прочие – 2616 руб.
Текучесть кадров отражена в таблице 17.
Таблица 17
Текучесть кадров ОАО «Брянский хлебокомбинат КАРАВАЙ»
| Персонал |
2007г. |
2008г. |
2009г. |
| Прибыло |
Убыло |
Прибыло |
Убыло |
Прибыло |
Убыло |
| Управленческий персонал |
1 |
0 |
2 |
1 |
0 |
0 |
| ИТР |
2 |
3 |
4 |
6 |
2 |
4 |
| Производственные рабочие |
12 |
9 |
8 |
11 |
6 |
7 |
| Прочий |
7 |
5 |
4 |
6 |
9 |
7 |
| ВСЕГО |
22 |
17 |
18 |
24 |
17 |
18 |
Рассчитаем коэффициенты приема и выбытия кадров за 2009г. (см. формулы 5, 6).
Кпр
= (Чпр
/ЧСС)*100% (5)
где Кпр
– коэффициент приема кадров;
Чпр
– число принятых на работу;
ЧСС – среднесписочная численность работников.
Кпр
= (17/303)*100% = 5,61%
Квыб
= (Чвыб
/ЧСС)*100% (6)
где Квыб
– коэффициент выбытия кадров;
Чвыб
– число выбывших работников.
Квыб
= (18/303)*100% = 5,94 %
Следовательно, коэффициент выбытия незначительно превышает коэффициент приема.
На ОАО «Брянский хлебокомбинат КАРАВАЙ» осуществляется переобучение персонала, в 2009г. затраты составили 53580 руб. Затраты предприятия на переобучение персонала за последние годы представлены в таблице 18.
Таблица 18
Затраты на переобучение персонала
| Данные |
2007г. |
2008г. |
2009г. |
| Затраты на переобучение, руб. |
46210 |
48929 |
53580 |
Кадровая деятельность «Брянский хлебокомбинат КАРАВАЙ» реализуется в направлении поиска, отбора, обучения персонала. При этом необходимо учитывать соответствие подбираемых кадров задачам деятельности предприятия, которые решаются в стратегической перспективе предприятия.
Рабочие ОАО «Брянский хлебокомбинат КАРАВАЙ» обеспечены социальным пакетом, в который включаются: оплачиваемые больничные и отпуска, предоставление путевок, премии.
Оценить сформированную систему управления ОАО «Брянский хлебокомбинат КАРАВАЙ» можно с помощью таких коэффициентов как аппаратная норма (АП) и коэффициент управленческих расходов (Купр. р.
).
АН = У/Ч, (7)
Где У – число работников, занятых в управлении предприятием;
Ч – общая численность работников предприятия.
АН = 12/303 = 0,039
Купр р
= Зу
/ФОТ, (8)
Где Зу
– заработная плата управленческого персонала (за год):
Фот – общий фонд оплаты труда (годовой)
Купр р
= 2587968/7201152 = 0,34
Сильные и слабые стороны кадровой деятельности предприятия представлены в таблице 19.
Таблица 19
Сильные и слабые стороны кадровой деятельности предприятия
| Сила |
Слабость |
| 1. Наличие системы мотивации персонала |
1. Нехватка высококвалифицированных кадров на производстве |
| 2. Невысокая текучесть кадров |
2. Недостаточное финансирование обучения персонала и повышения квалификации |
| 3. Рост заработной платы |
3. Невысокий уровень заработной платы производственных рабочих и прочего персонала |
Важным элементом деятельности предприятия является анализ его финансового состояния, который содействует повышению эффективности коммерческой деятельности. ОАО «Брянский хлебокомбинат КАРАВАЙ» не имеет задолженности по налогам и сборам, по заработный плате, отличается обязательностью исполнения своих договорных обязательств, что поднимает репутацию предприятия на высокий уровень.
Своевременно оплатить сырье, оборудование и другие ресурсы предприятию помогают краткосрочные кредиты и займы.
Анализ финансового состояния предприятия осуществляется с помощью показателей ликвидности, платежеспособности, финансовой устойчивости, оборачиваемости и рентабельности.
Рассчитаем основные показатели деятельности предприятия за три года (с 2007г. по 2009г.) и сведем все данные в таблицу 20.
В таблице 20:
СК – собственный капитал; ВБ – валюта баланса; ПЗ – производственные запасы;
ОбА – оборотные активы; КО – краткосрочные обязательства; ДС – денежные средства; ДЗ/КЗ – дебиторская/кредиторская задолженность; ВР – выручка;
СБ – себестоимость; ВА – внеоборотные активы; ОФ – основные фонды (средства).
Таблица 20
Расчет основных показателей деятельности предприятия
| Коэффициент |
Норматив |
Данные на конец года |
| 2007г. |
2008г. |
2009г. |
| Показатели финансовой устойчивости в долгосрочном плане |
| Коэффициент автономии = СК/ВБ |
>0,6 |
0,9 |
0,93 |
0,83 |
| Коэффциент финансовой зависимости = КЗ/СК |
<1 |
0,1 |
0,1 |
0,2 |
| Коэффициент маневренности = СОК/СК |
<0,5 |
0,45 |
0,53 |
0,34 |
| Собственный оборотный капитал (СОК)=СК-ВА |
48568 |
68817 |
58850 |
| Коэффициент обеспеченности производственными запасами =СОК/ПЗ |
>0,8 |
2,67 |
2,86 |
2,74 |
| Показатели ликвидности |
| Коэффициент текущей ликвидности =ОбА/КО |
>2 |
4,47 |
6,81 |
2,74 |
| Коэффициент срочной ликвидности =(ОбА-ПЗ)/КО |
0,8-1 |
2,1 |
4 |
2,1 |
| Коэффициент абсолютной ликвидности = ДС/КО |
>0,2 |
0,85 |
0,29 |
0,42 |
| Показатели деловой активности (данные за год) |
| Оборачиваемость средств в расчетах = (ДЗ*360)/ВР, дней |
Не более 73 |
40 |
52 |
44 |
| Оборачиваемость производственных запасов = (ПЗ*360)/СБ, дней |
Не более 120 |
27 |
29 |
22 |
| Оборачиваемость кредиторской задолженности = (КЗ*360)/СБ |
Не более 190 |
17 |
11 |
35 |
| Показатели рентабельности (данные за год) |
| Рентабельность СК = ВР/ВА |
4,72 |
5,74 |
3,62 |
| Рентабельность ВА = ВР/ОФ |
5,66 |
6,81 |
6,84 |
| Рентабельность ОФ = ВР/СК |
2,62 |
2,7 |
2,38 |
| Рентабельность продаж = ВР/СБ |
1,16 |
1,17 |
1,17 |
| Рентабельность основной деятельности = ВР/ВБ |
2,37 |
2,53 |
1,98 |
| Рентабельность общего капитала = СБ/ВР |
0,86 |
0,85 |
0,87 |
Анализ осуществляется на основании бухгалтерской отчетности предприятия (см. прил.1).
По данным таблицы 16 можно сделать вывод, что показатели финансовой устойчивости в 2009г. по сравнению с 2008г. ухудшились, но по прежнему соответствуют нормативам. Следовательно, данное предприятие является платежеспособным, имеет стабильное финансовое положение.
Значение коэффициента текущей ликвидности в норме, что говорит о том, что ОАО «Брянский хлебокомбинат КАРАВАЙ» в состоянии покрывать текущие долги.
Коэффициент абсолютной ликвидности, показывающий, какую часть кредиторской задолженности предприятие может погасить немедленно, у предприятия составляет 0,42, значит, дефицита платежеспособных средств нет.
Показатели оборачиваемости средств в расчетах, производственных запасов и кредиторской задолженности соответствуют норме. Таким образом, показатели деловой активности указывают на успешную финансовую деятельность предприятия, на эффективность использования им имеющихся денежных средств.
Коэффициенты рентабельности являются показателямиформирования прибыли предприятия. В 2009г. произошло незначительное снижение данных показателей по сравнению с 2008г.
Наличие дебиторской задолженности сроком до 12 месяцев дает определенные гарантии в случае убыточной работы предприятия, так как за счет нее можно будет погасить долги и убытки.
Выводы о сильных и слабых сторонах финансовой деятельности предприятия представлены в таблице 21.
Таблица 21
Сильные и слабые стороны финансовой деятельности предприятия
| Сила |
Слабость |
| 1.Увеличение рентабельности внеоборотных активов и общего капитала |
1. Снижение показателей ликвидности и рентабельности капитала, основных средств |
| 2. Сокращение оборачиваемости средств и производственных запасов |
2. Снижение показателей рентабельности капитала, основных средств и основной деятельности |
Руководство предприятия ОАО «Брянский хлебокомбинат КАРАВАЙ» представлено следующими должностями: генеральный директор, технический директор, главный бухгалтер, директор по финансам и экономике, заместитель генерального директора по управлению персоналом, директор по производству, помощник директора по техническому и информационному обеспечению, начальник службы сбыта, начальник отдела маркетинга.
Все сотрудники, занимающие руководящие должности имеют высокую квалификацию, высшее образование и периодически проходят переподготовку.
Управление предприятием осуществляет генеральный директор Сагайдако Юрий васильевич. Персонал организации обеспечен высоким уровнем оплаты труда и предоставляемыми социальными гарантиями.
Выводы о сильных и слабых сторонах управленческой деятельности предприятия представлены в таблице 22.
Таблица 22
Сильные и слабые стороны управленческой деятельности предприятия
| Сила |
Слабость |
| 1.Большой опыт управления предприятием у руководителей |
1. Нечеткое разграничение функций маркетинга и сбыта |
| 2. Обмен информацией между службами маркетинга и сбыта |
2. Единоличное принятие решений руководителем предприятия |
Предприятие ОАО «Брянский хлебокомбинат КАРАВАЙ» обладает значительным потенциалом в сфере финансов, маркетинга, менеджмента, производства, научных разработок, кадровой службы. В целом положение предприятия можно назвать благоприятным.
Организационную структуру ОАО «Брянский хлебокомбинат КАРАВАЙ» можно квалифицировать как линейно-функциональную, так как имеются структуры функционального назначения, и структуры, содержащие вертикальные связи управления, т.е. элементы линейной структуры.
Среди преимуществ линейно-функциональной структуры можно отметить:
- высокая централизация принятия решений;
- сосредоточение ресурсов в центре и уменьшение их потребления в функциональных областях;
- стимулирование деловой и профессиональной специализации по направлениям деятельности.     
Основная должность в ОАО «Брянский хлебокомбинат КАРАВАЙ» принадлежит генеральному директору предприятия, который является менеджером высшего звена. Он выполняет обязанности управления, руководства, планирования, организации, мотивации и контроля над средним звеном управления. Генеральному директору подчинены заместители, директора и начальники отделов: технический директор, зам. ген. директора по управлению персоналом, директор по производству, директор по финансам, начальник отдела маркетинга, заведующий производства.
Недостатком линейно-функциональной структуры предприятия является то, что цели структурных подразделений могут ставиться выше целей предприятия, так как работающие в одном подразделении специалисты концентрируют усилия в сфере своих взаимных интересов.
Чтобы определить тип организации, необходимо проанализировать организационную структуру ОАО «Брянский хлебокомбинат КАРАВАЙ» по трем уровням:
1. «Организация – внешняя среда». ОАО «Брянский хлебокомбинат КАРАВАЙ» имеет механистический тип организации.
2. Данный тип характеризуется экстенсивным использованием формальных правил и процедур, централизованным принятием решений, узко определённой ответственностью в работе и иерархией власти в организации.Количественный анализ предприятия на уровне внешней среды представлен в таблицах 23 и 24.
Таблица 23
Анализ ОАО «Брянский хлебокомбинат КАРАВАЙ» на уровне внешней среды
| Параметры |
Шкала от 1 до 5 |
Оценка |
| «Чистый» тип организации |
Механический тип |
Органический тип |
| 1. Специализация |
Узкая |
Широкая |
2 |
| 2. Много правил и процедур |
Работа по правилам |
Мало правил и
Процедур
|
2 |
| 3. Четкость прав и ответственности |
Чёткие права и
ответственность
|
Амбициозная
ответственность
|
1 |
| 4. Ясная иерархия |
Чётко выделенные
уровни иерархии
|
Уровни иерархии
Размыты
|
2 |
| 5. Система вознаграждения |
Объективная |
Субъективная |
3 |
| 6. Критерии отбора кадров |
Объективные |
Субъективные |
1 |
| 7.Служебные отношения |
Формальные, носят официальный характер |
Неформальные |
3 |
Суммарная оценка – 14, почти чистый механистический тип.
Специализация в ОАО «Брянский хлебокомбинат КАРАВАЙ» узкая, четко выделены уровни иерархии, права и ответственность, объективная система вознаграждения.
Организационная структура комбината со стороны взаимодействия с внешней средой полностью соответствует условиям, в которых существует учреждение.
Таблица 24
Оценка условий существования ОАО «Брянский хлебокомбинат КАРАВАЙ»
| Параметры |
Шкала от 1 до 5 |
Оценка в орг-и |
| Условия |
Механический тип |
Органический тип |
| 1. Внешняя среда |
Несложное стабильное окружение |
Сложное нестабильное окружение |
2 |
| 2. Цели и задачи |
Известны |
Не известны |
2 |
| 3. Делимость задач |
Поддаются делению |
Не имеет четких границ |
2 |
| 4. Простота и ясность задач |
Простые и ясные |
Сложные |
2 |
| 5. Измеримость работы |
Измеряема |
Измерить сложно |
1 |
Суммарная оценка 9 - условия, приемлемые для почти чистого механистического типа.
3. «Организация – человек» (см.табл.25). На предприятии ОАО «Брянский хлебокомбинат КАРАВАЙ» определяется корпоративная организация.
Таблица 25
Анализ ОАО «Брянский хлебокомбинат КАРАВАЙ» «организация – человек»
| Параметры |
Шкала от 1 до 5 |
Оценка |
| Чистый тип организации |
Корпоративная
организация
|
Индивидуалистская организация |
| 1. Характер объединения людей |
Объединение людей по соц. и проф. критериям |
Свободное объединение людей |
2 |
| 2. Приоритет интересов |
Интересы производства определяют интересы человека |
Интересы производства определяются интересами человека |
2 |
| 3. Принятие решений |
Принцип большинства или старшинства |
Принцип меньшинства или право вето |
1 |
| 4. Согласование интересов |
Интересы согласовываются лидерами |
Интересы согласовываются всеми членами организации |
2
|
| 5. Характер тактического управления |
Монополия на информацию |
Сочетание конкуренции и кооперации в деятельности организации |
1
|
| 6. Роль работы |
Человек существует для работы |
Работа существует для человека |
1 |
| 7. Мораль |
Принцип двойной морали в поведении |
Общечеловеческая мораль |
2 |
Суммарная оценка – 11, почти чистая корпоративная организация.
Корпоративная организация – это объединение человеческих ресурсов, поддержание монополии на информацию, обеспечивающую власть, принятие решений по принципу большинства, интересы производства определяют интересы работника, где человек существует для работы и применяется.
4. «Подразделение – подразделение».Предприятие ОАО «Брянский хлебокомбинат КАРАВАЙ» имеет линейно-функциональную структуру, в которой каждое подразделение возглавляет руководитель, обладающий всеми функциями управления и полномочиями по принятию решений.
Функции подразделений предприятия отражены в таблице 26
Таблица 26
Функции подразделений ОАО «Брянский хлебокомбинат КАРАВАЙ»
| Содержание функции |
Название функции |
Исполнитель |
| Работа с рынком |
Функция «Маркетинг» |
Начальник отдела маркетинга |
| Выпуск продукции |
Функция «Производство» |
Директор по производству |
| Финансирование основного и вспомогательного видов деятельности |
Функция «Финансы» |
Финансовый директор |
| Обеспечение персоналом |
Функция «Человеческие ресурсы» |
Начальник кадровой службы |
| Создание новых видов продукции |
Функция «НИОКР» |
Технический директор |
| Сбыт продукции |
Функция «Сбыт» |
Начальник службы сбыта |
Таким образом, все перечисленные функции соответствуют подразделениям, которые их осуществляют.
По результатам анализа можно свести в общую таблицу выделенные сильные и слабые стороны в деятельности предприятия (табл.27).
Таблица 27
| Сильные стороны |
Слабые стороны |
| Производство |
1. Широкий ассортимент выпускаемой продукции
2. Высокое качество выпускаемой продукции
3. Применение новейшего высокотехнологичного оборудования
|
1.Часть оборудования производственных цехов предприятия является устаревшей
2. Отставание в области исследований по расширению ассортимента выпускаемой продукции
3. Необходимость ремонта помещений цехов предприятия
|
| Маркетинг |
1. Способность быстрого реагирования на изменяющиеся потребности потребителей
2.Проведение всего комплекса маркетинговых исследований
3. Высокая квалификация сотрудников отдела маркетинга
|
1.Слабая политика по продвижению минеральной воды и кваса, недостаточная реклама
2.Отсутствие четкой маркетинговой стратегии по производству минеральной воды
3. Слабое финансирование маркетинговых исследований
|
| Кадры |
1. Наличие системы мотивации персонала
2. Невысокая текучесть кадров
3. Рост заработной платы
|
1. Нехватка высококвалифицированных кадров на производстве
2. Недостаточное финансирование обучения персонала и повышения квалификации
2. Недостаточное финансирование обучения персонала и повышения квалификации
|
| Финансы |
1.Увеличение рентабельности внеоборотных активов и общего капитала
2. Сокращение оборачиваемости средств и производственных запасов
|
1. Снижение показателей ликвидности и рентабельности капитала, основных средств
2. Снижение показателей рентабельности капитала, основных средств и основной деятельности
|
| Менеджмент |
1.Большой опыт управления предприятием у руководителей
2. Обмен информацией между службами маркетинга и сбыта
|
1. Нечеткое разграничение функций маркетинга и сбыта
2. Единоличное принятие решений руководителем предприятия
|
Сильными сторонами деятельности ОАО «Брянский хлебокомбинат КАРАВАЙ» являются производство пряников, печенья и крекера, наличие товарной марки, отдела маркетинга, рекламного бюджета. Основные слабости предприятия – производство минеральной воды и кваса, отсутствие инноваций в области новой продукции.
На деятельность предприятия оказывают влияние факторы внешней среды, которые можно разделить на факторы прямого и косвенного воздействия. На любое предприятие влияют внешние факторы, которые не зависят от действий самого предприятия: политические, экономические, социальные, технологические, правовые, экологические – PESTE-факторы. Они относятся факторам косвенного воздействия и могут влиять на фирму как положительно, так и отрицательно.
Рассматривая политические факторы, необходимо отметить, чтов соответствии с ГК РФ порядок создания, реорганизации, ликвидации, правовое положение акционерных обществ, права и обязанности их акционеров определяет, а также обеспечивает защиту прав и интересов акционеров, ФЗ от 26.12.1995 №208-ФЗ с изм., внесенными ФЗ от 13.10.2008 №173-ФЗ, от 27.10.2008 №175-ФЗ.
Настоящий Федеральный закон распространяется на все акционерные общества, созданные или создаваемые на территории Российской Федерации, если иное не установлено настоящим Федеральным законом и иными федеральными законами.
В соответствии с Налоговым кодексом РФ (часть I) ОАО «Брянский хлебокомбинат КАРАВАЙ» выплачивает следующие налоги:
1. В соответствии с главой 21 – налог на добавленную стоимость (НДС). Этот налог включен в цену всех товаров производимых организацией. Весь объем товаров облагается по ставки 18% в соответствии со статьей 164.
2. В соответствии с главой 24 – единый социальный налог, налоговая ставка которого определяется в соответствии со ст. 241. Для ОАО «Брянский хлебокомбинат КАРАВАЙ» налоговая ставка 26%
3. Налог на прибыль организации (гл. 25). Налоговая ставка определяется в соответствии со ст. 284 и снижена в 2009 г. с 24% до 20%.
4. Налог на имущество организации (гл. 30). В соответствии со ст. 380 налоговые ставки устанавливаются законами субъектов РФ и не превышают 2,2%.
Важную роль при анализе макросреды организации играю экономические факторы.
Валовой внутренний продукт (ВВП) - обобщающий показатель экономической деятельности страны. На стадии производства – это сумма добавленной стоимости по видам экономической деятельности в основных ценах и чистых налогов на продукты, а на стадии использования – стоимость товаров и услуг, предназначенных для конечного потребления, накопления и экспорта.
Существенное влияние на уровень цен, а значит и на промышленные предприятия оказывает уровень инфляции в стране. В 2009 г. в России уровень инфляции составил 5,8-7%.
Индекс промышленного производства в 2009г. по сравнению с 2008г. составил - 105,4%, в 2008г. по сравнению 2007г. - 101,4% .
Объем ВВП России за 2009г. составил в текущих ценах 39016,1 млрд.рублей. Его физический объем относительно 2008г. составил 92,1%. Индекс-дефлятор ВВП за 2009г. по отношению к ценам 2008г. составил 102,7%.
В 2009г. использовано 4761,8 млрд. рублей инвестиций в основной капитал или 113,4% к уровню предыдущего года.
В 2009г. в экономику России поступило 46,5 млрд. долларов иностранных инвестиций, что на 22,9% меньше, чем 2007 года.
Объем инвестиций по Брянской области составил 21313,8 млн. руб. за 2009г., что означает увеличение относительно 2007г. на 71%.
Для анализа экономических факторов необходимо привести основные экономические показатели РФ (см. табл.28).
Таблица 28
Основные экономические показатели РФ в динамике
| Показатели |
2007г. |
2008г. |
2009г. |
2009г. в % к 2008г. |
| Валовой внутренний продукт, млрд. руб. |
33102,9 |
41256 |
39016,1 |
94,5 |
| Объем промышленной продукции, % к пред. году |
106,3 |
102,1 |
89,2 |
87,4 |
| Инвестиции в основной капитал, млрд. руб. |
6716,2 |
8764,9 |
7539,9 |
86 |
| Темп инфляции, % |
12 |
13,3 |
8,8 |
100 |
| Ставка ЕСН, % |
26 |
26 |
26 |
100 |
|
НДС,%
|
13 |
18 |
18 |
100 |
| Ставка налога на прибыль, % |
24 |
24 |
20 |
83,3 |
| Экспорт, млрд. долл. США |
354,4 |
471,6 |
303,3 |
64,3 |
| Импорт, млрд. долл. США |
223,5 |
291,9 |
192,7 |
66 |
Динамика потребительских цен за период 2007-2009г показывает их возрастание: индекс потребительских цен в процентах к предыдущему году оставил соответственно 111,9; 113,3 и 114%. Индекс цен промышленных предприятий соответственно 125,1; 93,0 и 113,9%.[1]
Проведем анализ социальные факторы. По оценке, численность постоянного населения Российской Федерации на 1 декабря 2009г. составила 141,9 млн.человек и с начала года увеличилась на 3,2 тыс.человек, или на 0,002% (на соответствующую дату предыдущего года наблюдалось сокращение численности населения на 117,4 тыс.человек, или на 0,083%).
По сравнению с 2008 г. в 2009 г. численность трудоспособного населения[2]
в РФ сократилась с 90328 тыс. чел. до 89712 тыс.чел.
В Брянской области в 2009г. наблюдалось увеличение коэффициента рождаемости с 9,1 до 10,1. коэффициент смертности уменьшился в 2008г. по сравнению с 2007г. с 18,6 до 17,9.
В 2009г. объем денежных доходов населения сложился в размере 28388,8 млрд.рублей и увеличился на 12,5% по сравнению с 2008 годом. Население израсходовало средств на покупку товаров и оплату услуг 19635,6 млрд.рублей, что на 5,0% больше, чем в 2008 году. Сбережения за этот период составили 5602,3 млрд.рублей, что на 67,3% больше, чем в предыдущем году.
Социальные факторы, оказывающие влияние на кондитерскую отрасль, представлены в таблице 29.
Таблица 29
| Показатели |
2007г. |
2008г. |
2009г. |
2009г. в % к 2008г. |
| Общая численность населения, млн. чел |
142,2 |
142,2 |
142,2 |
100 |
| Реальные располагаемые денежные доходы, млн. руб |
12603 |
15136 |
16818 |
111,1 |
| Прожиточный минимум в среднем на душу населения, руб. |
3752 |
4690 |
5083 |
108,4 |
| Номинально начисленная среднемесячная заработная плата на одного работника, руб. |
13518 |
17112 |
18785 |
109,8 |
| Средний размер пенсии, руб. (среднемесячный) |
3682,3 |
4546,3 |
5023 |
110,5 |
| Общая численность безработных, млн. чел. |
4,6 |
4,8 |
6,3 |
131,25 |
| Занятые, млн.чел. |
70,5 |
71,0 |
69,4 |
97,7 |
| Численность официально зарегистрированных безработных, млн. чел. |
1,6 |
1,7 |
2,9 |
170,6 |
Основные социальные показатели Российской Федерации в динамике
В среднесрочной перспективе продолжится тенденция опережения роста заработной платы по сравнению с ростом экономики в целом. В 2009 году фонд заработной платы по сравнению с 2008 годом возрос на 24%, в то время как номинальный объем ВВП уменьшился на 6%.
В среднем за 2009 год населения РФ составило 142,2 млн.чел., в Брянской области 13,2 млн.чел., что меньше показателей прошлого года.
Численность экономически активного населения в декабре 2009г. составила, по итогам обследования населения по проблемам занятости, 75,4 млн.человек, или более 53% от общей численности населения страны, в их числе 69,2 млн.человек, или 91,8% экономически активного населения были заняты в экономике и 6,2 млн.человек (8,2%) не имели занятия, но активно его искали (в соответствии с методологией Международной Организации Труда они классифицируются как безработные). В государственных учреждениях службы занятости населения зарегистрировано в качестве безработных 2,1 млн.человек.
При анализе технологической внешней среды принимаются во внимание изменения в технологии производства, информационных технологий, учитывается влияние научных разработок – одного из самых важных факторов, определяющих положение фирмы на рынке. Преимущество получают предприятия, которые быстро реагируют и внедряют достижения НТП. В табл. 30 представлены основные технологические показатели РФ.
Таблица 30
Основные технологические показатели РФ[3]
| Технологические показатели |
2007 г. |
2008 г. |
2009 г. |
| Уровень НТП |
43,1 |
44,07 |
46,02 |
| Затраты на информатизацию и автоматизацию, млн. руб. |
4135,6 |
4200,89 |
2255,4 |
| Инвестиции в основной капитал, в % к предыдущему году |
126,9 |
109,8 |
110,5 |
Уровень НТП в 2009 г. составил 45,02, а в 2008 г. – 44,07, что говорит о росте внедрения новых технологий. Рост затрат на информатизацию и автоматизацию и инвестиций в основной капитал влекут за собой ускоренные темпы модернизации производства.
«Брянский хлебокомбинат КАРАВАЙ» уделяет пристальное внимание изучению технических и технологических новинок, способных улучшить качество производства.
Немалую роль в функционировании предприятия играют экологические факторы. Сейчас, в условиях постоянного ухудшения экологической ситуации в мире, практически в большинстве развитых стран мира наблюдается тенденция к ужесточению экологических стандартов для предприятий, осуществляющих деятельность в разных отраслях промышленности.
Постоянное усиление контроля соблюдения соответствующих норм и стандартов вызывает у предприятий трудности, связанные с необходимостью применения экологически безопасного сырья и оборудования.
Квалифицированными сотрудниками предприятия ОАО «Брянский хлебокомбинат КАРАВАЙ» проводится постоянный контроль над соблюдением экологических норм и требований, что выражается в регулярном осуществлении проверок и надсмотре за отчетностями о проведенной работе.
Кроме того, разрабатывается программа по повышению степени использования технологий по защите окружающей среды.
Оценка PEST-факторов, оказывающих влияние на деятельность предприятия ОАО «Брянский хлебокомбинат КАРАВАЙ» показывает, что сильные стороны преобладают над слабыми, а возможности над угрозами.
Предприятию необходимо разработать стратегии выявления и использования сильных сторон и возможностей.
В общем виде влияние факторов внешней среды на деятельность ОАО «Брянский хлебокомбинат КАРАВАЙ» представлено в таблице 31.
Таблица 31
Влияние факторов внешней среды на деятельность ОАО «Брянский хлебокомбинат КАРАВАЙ»
| Факторы макросреды |
Возможности, которые дают факторы |
Угрозы, которые представляют факторы |
| Политические и правовые факторы
|
Реализация целевых программ поддержки предпринимательства; реализация стратегии социально-экономического развития; политическая стабильность в стране. Снижение налога на прибыль на 4% |
Несовершенство государственной политики в области инвестирования, ужесточение стандартов на защиту окружающей среды. |
| Экономические факторы
|
Стабильный курс рубля, наличие неосвоенных рынков сбыта. |
Рост цен на энергоносители, комплектующие, материалы, снижение ВВП; нестабильная экономическая ситуация в стране и мире; уменьшения числа занятых; уменьшение объема промышленного производства |
| Социальные факторы
|
Рост уровня доходов населения, увеличение начисленной среднемесячной заработной платы на одного работника. |
Низкий уровень жизни людей, ухудшение демографической ситуации в стране. |
| Технологические факторы
|
Повышение технического уровня и надежности оборудования, финансирование научных исследований и проведения опытно-конструкторских работ, появление оборудования, позволяющего производить новые виды продукции. |
Появление новых технологий у конкурентов, нет достаточных средств для реализации новых идей. |
| Экологические факторы
|
Использование предприятием экологически безопасного оборудования, использование безотходного производства. |
Применение материалов несоответствующих экологическим требованиям, повышение содержания вредных веществ в комплектующих. |
Количественный PEST(E)-анализ представлен в таблице 32.
Таблица 32
Матрица PESTE-анализа
| Факторы среды |
Важность для отрасли, Х |
Влияние на организацию, У |
Направленность влияния, Z |
Степень важности
S = Х.
У.
Z
|
| 1 |
2 |
3 |
4 |
5 |
| 1. Политические |
2 |
3 |
+1 |
+6 |
| 2.Экономические |
4 |
4 |
-1 |
-16 |
| 3.Социально-демографические |
3 |
3 |
-1 |
-9 |
| 4.Технологические |
3 |
4 |
+1 |
+12 |
| 5. Экологические |
2 |
2 |
-1 |
-4 |
| ИТОГО: |
14 |
17 |
+5 |
В таблице 32 приведены факторы, которые косвенным образом влияют на развитие организации, и определяется степень важности каждого фактора (от 1 – слабое значение до 5 – большое значение). Введем шкалу важности для Z: +1 – позитивная направленность,-1 – негативная направленность.
Таким образом, судя по матрице PEST(Е)-анализа наибольшую угрозу для ОАО «Брянский хлебокомбинат КАРАВАЙ» представляют экономические факторы.
По методике Портера состояние конкуренции на любом рынке можно охарактеризовать пятью конкурентными силами, которые определяют условия функционирования каждого конкретного рынка и оценивают потенциал фирмы.
1. Производители аналогичной продукции (внутриотраслевая конкуренция)
Значительное влияние на выработку стратегии предприятия могут оказывать конкуренты. От них зависят доля данного предприятия на товарном рынке, иногда уровень цен на товары и в как результат – положение предприятия на рынке.
В производстве кондитерской продукции основными конкурентами ОАО «Брянский хлебокомбинат КАРАВАЙ» являются ОАО «Брянский хлеб», входящее в число крупнейших кондитерских предприятий России, а также предприятия ОАО «ЛУКОШКО»
Карты позиционирования позволяют выделить стратегические группы предприятий. Предприятия одной стратегической группы являются очевидными соперниками. Таким образом, основными конкурентами ОАО «Брянский хлебокомбинат КАРАВАЙ» на рынке мучных являются ОАО «Брянский хлеб», ОАО «ЛУКОШКО».
Данные по основным конкурентам бизнеса представлены в табл.33.
Таблица 33
Сводная таблица анализа конкурентов
| Предприятие-конкурент |
Доля на рынке |
Цены на товары |
Отличительное особенности |
| ОАО «ЛУКОШКО» |
7 |
40 руб./кг. |
невысокие цены |
| ОАО «Брянский хлеб» |
4 |
39, 5 руб./кг. |
низкие цены |
Основной конкурент ОАО «Брянский хлебокомбинат КАРАВАЙ» – ОАО «Брянский хлеб». Это предприятие, являясь одним из крупнейших российских предприятий, производящих хлебобулочные изделия, занимает лидирующее положение на брянском рынке хлебобулочной продукции по объемам производства и по качеству продукции.
2. Покупатели
Ассортимент предприятия состоит из нескольких десятков наименований различных видов хлебобулочных изделий.
В таблице 34 представлен объем продаж предприятия в динамике.
Таблица 34
Объем продаж предприятия в динамике
| 2007 г |
2008г |
2009 г |
| Объем продаж, тыс. руб. |
285244 |
350130 |
407585 |
| Рост, % |
110,9 |
122,7 |
116,4 |
Наблюдается рост объемов продаж, что говорит об улучшении экономического состояния комбината.
3. Поставщики
ОАО «Брянский хлебокомбинат КАРАВАЙ» работает с одними и теми же фирмами (АПК «Аркада», ООО Меридиан-Инвест, торговая компания ПБОЮЛ Афанасенкова) на протяжении нескольких лет, конкуренции между поставщиками нет, поэтому существует риск изменения договорных условий поставщиками. Снижение его возможно путем расширения круга поставщиков.
Предприятие закупает для производства: муку, сахар, сливочное масло и маргарин, консерванты и т.д. В таблице 35 приведены закупочные цены на основные виды сырья на 2010 год.
Таблица 35
Цены поставщиков на некоторые виды сырья
| Наименование |
Закупочная цена, руб./кг |
| Мука пшеничная, в/с |
11,50 |
| Мука пшеничная, 1 с |
11 |
| Дрожжи прессованные |
17,50 |
| Маргарин |
45 |
| Изюм |
42 |
| Сахар |
18,50 |
| Соль |
2 |
| Яйцо (за 10 шт.) |
23 |
| Ванилин |
480 |
Предприятия имеет собственный автопарк, который обеспечивает производство необходимым сырьём, что делает меньше зависимость от поставщиков. В случае перебоев в поставках имеется недельный запас сырья.
4. Потенциальные конкуренты
Рынок хлебобулочных изделий отличается довольно острой конкуренцией. Учитывая, что данная отрасль является привлекательной, существует угроза со стороны потенциальных производителей. Это связано с тем, что входные барьеры в отрасль не слишком высокие. Трудность состоит в стоимости оборудования и необходимой технологии, рабочие же особой подготовки не требуют.
Сложность заключается в приверженности потребителей к определенной марке, в сложности переключения на нового изготовителя.
5. Товары-заменители
Товарами-заменителями продукции ОАО «Брянский хлебокомбинат КАРАВАЙ» можно считать хлебобулочные изделия, выпускаемые ОАО «Брянский хлеб» и кондитерскую продукцию ОАО «Фабрика-кухня», но учитывая разные целевые сегменты, это не представляет серьезной угрозы для предприятия.
Важной задачей отраслевого анализа является выяснение, существует ли в отрасли опытная кривая.

Предприятие накапливает опыт производства продукции, и его реальные затраты без учета инфляции уменьшаются: при удвоении объема выпуска добавленные затраты на единицу продукции уменьшаются на фиксированный процент. Для ОАО «Брянский хлебокомбинат КАРАВАЙ» это процент составляет приблизительно 25%.
Таким образом, при удвоении объема выпуска добавленные затраты на единицу продукции сокращаются с 25,25 руб./кг. до 20,2 руб./кг.
На основе отраслевого анализа можно определить ключевые факторы успеха отрасли – общие для всех предприятий отрасли управляемые переменные, реализация которых дает возможность улучшить конкурентные позиции предприятия.
Для отрасли мучной хлебобулочной продукции такими факторами являются:
- имидж компании;
- качество продукции;
- простота технологии;
- эффект масштаба производства;
- сбытовая сеть.
Основными среди перечисленных факторов для ОАО «Брянский хлебокомбинат КАРАВАЙ» являются имидж компании, качество продукции и эффект масштаба производства. Реализуя и развивая эти переменные ОАО «Брянский хлебокомбинат КАРАВАЙ» сможет удержать и улучшить свою конкурентную позицию.
Важным элементом разработки стратегии организации является анализ разрывов между намеченными целями и реальными возможностями, или анализ пробелов.

Рис.1. Анализ пробелов
На рис.1 графически изображены темпы роста выручки ОАО «Брянский хлебокомбинат КАРАВАЙ» на основе трендового анализа предыдущих лет (2007-2009гг.) и планируемые темпы.
Возникающие пробелы будут сглаживаться за счет:
- экономии на затратах благодаря эффекту масштаба производства;
- повышению производительности труда с помощью внедрения новой техники.
5.
SWOT-анализ деятельности предприятия
SWOT-анализ позволяет провести совместное изучение внешней и внутренней среды организации с помощью установления связей между силой и слабостью, которые присущи организации и внешними возможностями и угрозами. Получаемые цепочки могут быть в дальнейшем использованы для формулирования стратегий организации. Вырабатывая стратегию, нужно помнить о том, возможности и угрозы могут переходить в свою противоположность.
Сначала с учетом конкретной ситуации, в которой находится организация ОАО «Брянский хлебокомбинат КАРАВАЙ», нужно составить список ее сильных и слабых сторон, возможностей и угроз (см. табл. 36)
Таблица 36
«
SWOT-анализ» ОАО «Брянский хлебокомбинат КАРАВАЙ»
| s
Сильные СТОРОНЫ |
o
Возможности |
1. Наличие финансовых ресурсов.
2. Хорошая репутация у потребителей.
3. Введение в эксплуатацию новой техники.
4. Преимущества в конкурентной борьбе.
5. Высокое качество продукции.
|
1. Появление новых технологий, оборудования и рецептур для хлебобулочной отрасли.
2. Постоянные поставщики и возможность получения скидок при покупке сырья.
3. Высокая активность потребителей.
4. Наличие постоянных потребителей-предприятий
5. Выгодное географическое расположение предприятий по отношению к основным рынкам сбыта (Север и Северо-восток РФ, Центральный и Северо-Западный регионы, страны СНГ).
|
| W
СЛАБЫЕ СТОРОНЫ |
T
УГРОЗЫ |
1. Небольшие маркетинговые способности.
2. Зависимость от поставщиков.
3. Быстрый износ оборудования.
4. Недостаток рекламы и продвижения товаров на рынок.
5. Наличие кредиторской задолженности.
|
1. Наличие сильного конкурента (ОАО «Брянский хлеб»).
2. Неблагоприятные демографические изменения.
3. Постоянный рост цен на энергоресурсы и транспортные услуги
|
Для проведения количественного SWOT-анализа отбираются по пять реально положительно и отрицательно влияющих на деятельность ОАО «Брянский хлебокомбинат КАРАВАЙ» факторов из внешней и внутренней сред (табл. 37).
Таблица 37
Количественный SWOT-анализ
| Факторы внешней и внутренней сред предприятия |
Удельный вес фактора
А
|
Оценка
В
|
Итоговая оценка
С = А*В
|
Сильные стороны
1. Наличие финансовых ресурсов.
2. Хорошая репутация у потребителей.
3. Преимущества в конкурентной борьбе.
4. Введение в эксплуатацию новой техники
5. Высокое качество продукции.
|
0,2
0,15
0,3
0,15
0,2
|
5
5
4
3
5
|
1
0,75
1,2
0,45
1
|
| Итого
|
1 |
4,4 |
Слабые стороны
1. Небольшие маркетинговые способности.
2. Зависимость от поставщиков.
3. Быстрое изнашивание оборудования.
4. Недостаток рекламы и продвижения товаров на рынок.
5. Кредиторская задолженность.
|
0,2
0,15
0,15
0,3
0,2
|
4
4
3
5
4
|
0,8
0,6
0,45
1,5
0,8
|
| Итого
|
1 |
4,15 |
Возможности
1. Появление новых технологий и оборудования для кондитерской отрасли.
2. Постоянные поставщики и возможность получения скидок при покупке сырья.
3. Активность потребителей.
4. Наличие постоянных потребителей-предприятий.
5. Выгодное географическое расположение предприятий по отношению к основным рынкам сбыта
|
0,1
0,2
0,2
0,3
0,2
|
3
4
5
5
4
|
0,3
0,8
1
1,5
0,8
|
| Итого
|
1 |
4,4 |
Угрозы
1. Наличие сильного конкурента в отношении производства печенья и крекера.
2. Возможность появления новых конкурентов.
3. Ожидание роста инфляции.
4. Постоянный рост цен на на энегроресурсы и транспортные услуги.
5. Неблагоприятные демографические изменения.
|
0,3
0,2
0,15
0,2
0,15
|
5
4
3
4
3
|
1,5
0,8
0,45
0,8
0,45
|
| Итого
|
1 |
4 |
Применение количественного SWOT-анализа показывает важность и силу влияния определенного фактора на предприятии. Проанализировав табл. 37, можно сделать вывод о том, что итоговая оценка сильных сторон преобладает над слабыми сторонами, а итоговая оценка возможностей – над угрозами. Однако угрозы и слабые стороны достаточно сильно действуют на предприятие, тем более что разрыв между ними и возможностями небольшой.
В ходе анализы выявлено, что сильными сторонами ОАО «Брянский хлебокомбинат КАРАВАЙ» являются преимущества в конкурентной борьбе, благодаря внедрению новой техники, высокому качеству продукции и широкому ассортименту.
Наиболее значимая слабая сторона – недостаток рекламы и продвижения на рынок продукции.
Наибольшей возможностью для ОАО «Брянский хлебокомбинат КАРАВАЙ» является наличие постоянных потребителей предприятий, что гарантирует постоянный спрос на продукцию. Данная возможность позволит предприятию получать стабильную прибыль и исправлять слабые стороны организации. А наибольшей угрозой для предприятия можно считать наличие сильного конкурента – ОАО «Брянский хлеб».
Разработка стратегии проводится следующим образом:
1) Определяется количество бизнесов для разработки стратегии.
2) Проводится анализ портфеля бизнесов с помощью матриц БКГ и МакКинзи с учетом их жизненного цикла и целевого рынка.
3) Для каждого бизнеса формулируются стратегические альтернативы
4) Для каждого бизнеса формулируется эталонная стратегия
5) Для каждого бизнеса формулируется конкурентная (маркетинговая) стратегия
Разработка портфельной стратегии осуществляется с помощью матриц БКГ и Маккинзи. Модель БКГ– это матрица, которая отображает позицию конкретного бизнеса в стратегическом пространстве, которое включает 4 квадранта и задается двумя координатными осями (см. рис.7).
Чтобы определить положение продукции ОАО «Брянский хлебокомбинат КАРАВАЙ» на двумерной матрице БКГ «рост/доля» требуется знать рыночную долю и темпы роста объемов продаж предприятия (см. табл.36).
По оси абсцисс координата рассчитывается по формуле 7:
, (7)
Где V1
- объем продаж фирмы;
V2
- объем продаж главного конкурента.
На оси ординат темп роста определим по формуле 8:
, (8)
Где V3
- объем продаж продукции ОАО «» в 2009 Брянский хлебокомбинат КАРАВАЙ» году;
V4
- объем продаж в 2008 году.
Таблица 38
| № |
Продукция |
Lg X |
Темпы роста продаж, % |
| 1 |
Хлеб отрубной |
0,4 |
9,5 |
| Хлеб ржаной |
0,35 |
13 |
Рис.7. Матрица Бостонской консалтинговой группы
По горизонтали – измерение относительной доли конкретного бизнеса коммерческой организации по данному конкретному продукту на конкретном рынке данного продукта. По вертикали – измерение темпов прироста рынка соответствующего продукта
Согласно матрице БКГ продукция ОАО «Брянский хлебокомбинат КАРАВАЙ» попадает в следующие квадранты:
1) Хлеб ржаной – «Звезды»: это продукты-лидеры отраслевых рынков с высокой доле на рынке, высокими объемами продаж и высокой прибылью, обычно нуждаются в значительных инвестициях для расширения производственных возможностей и увеличение оборотного капитала, и для того чтобы не отстать от высокого темпа отрасли.
2) Хлеб отрубной – «Дойные коровы»: товары на этапе зрелости, которые дают прибыли больше, чем требуется для их поддержания на рынке. За счет их прибыли раскручивают проблемные продукты, наращивают «звезд».
Матрица GE/McKinsey, или матрица МакКинзи представляет фактический портфолио-анализ, который дает представление об областях деятельности предприятия на момент получения информации.
В матрице МакКинзи горизонтальная ось – это интенсивная многофакторная оценка конкурентного статуса конкретного бизнеса, а вертикальная ось – интегральное многофакторное измерение привлекательности рынка поданному конкретному бизнесу.
Необходимо ввести: шкалу важности с весовыми коэффициентами (1 – не важно, 2 – важно, 3 – очень важно); оценочную шкалу (1 – очень плохо, 2 – плохо, 3 – удовлетворительно, 4 – хорошо, 5 – отлично).
1. Производство пряников, печенья и крекера
Расчет координат по осям «Х» и «У» представлены в табл. 39, 40.
Таблица 39
Расчет фактического показателя по оси Х (оценка конкурентной позиции)
| Ось Х |
Относительный вес |
Оценка привлекательности |
Результат |
| 1. Качество продукции |
0,3 |
5 |
1,5 |
| 2. Исследовательский потенциал |
0,2 |
2 |
0,4 |
| 3. Доля рынка |
0,2 |
4 |
0,8 |
| 4. Издержки производства |
0,3 |
3 |
0,9 |
| ИТОГО: |
1 |
3,6 |
Таблица 40
Расчет фактического показателя по оси Y (привлекательность отрасли)
| Ось Y |
Относительный вес |
Оценка привлекательности |
Результат |
| 1. Рост и размер рынка |
0,3 |
5 |
1,5 |
| 2. Технологическая стабильность |
0,2 |
3 |
0,6 |
| 3. Конкурентная ситуация |
0,25 |
4 |
1 |
| 4. Прибыльность |
0,25 |
4 |
1 |
| ИТОГО: |
1 |
4,1 |
2. Производство минеральной воды
Расчет координат по осям «Х» и «У» представлены в табл.41, 42
Таблица 41
Расчет фактического показателя по оси Х
| Ось Х |
Относительный вес |
Оценка привлекательности |
Результат |
| 1. Качество продукции |
0,3 |
3 |
0,6 |
| 2. Исследовательский потенциал |
0,2 |
2 |
0,4 |
| 3. Доля рынка |
0,3 |
3 |
0,9 |
| 4. Издержки производства |
0,2 |
3 |
0,6 |
| ИТОГО: |
1 |
2,5 |
Таблица 42
Расчет фактического показателя по оси Y
| Ось Y |
Относительный вес |
Оценка привлекательности |
Результат |
| 1. Рост и размер рынка |
0,3 |
5 |
1,5 |
| 2. Технологическая стабильность |
0,2 |
3 |
0,6 |
| 3. Конкурентная ситуация |
0,25 |
2 |
0,5 |
| 4. Прибыльность |
0,25 |
2 |
0,5 |
| ИТОГО: |
1 |
3,1 |
Матрица МакКинзи представлена на рисунке 2.
Рис.2. Матрица МакКинзи
Матрица МакКинзи рассматривает стратегические рекомендации:
1. Инвестирование (наступательная стратегия);
2. Сохранение позиций (оборонительная стратегия);
3. Дезинвестирование (отход, ликвидация).
Производство ржаного хлеба попадает в квадрат инвестирования. Доля продукции ОАО «Брянский хлебокомбинат КАРАВАЙ» постепенно увеличивается, поэтому необходимо удерживать достигнутые позиции и расширять на рынке хлебобулочной продукции. Данная стратегия ориентирует деятельность предприятия на стремление к лидерству, на избирательные инвестиции по критерию эффективности и укрепления уязвимых мест.
Для комбината необходимо использовать стратегию ограниченного роста в производстве ржаного и отрубного хлеба. Для данной стратегии характерно установление целей от достигнутого, скорректированных с учетом инфляции. Выбор стратегии ограниченного роста обусловлен тем, что предприятие ОАО «Брянский хлебокомбинат КАРАВАЙ» в основном удовлетворено своим положением, это самый легкий, наиболее удобный и наименее рискованный способ действия.
Для каждого бизнеса предприятия формулируется соответствующая выбранной стратегической альтернативе эталонная стратегия. Важнейшим направлением развития современной предпринимательской организации является ее становление как системы, которая эффективно сочетает в себе подсистему из небольшого количества относительно обособленных бизнесов и подсистему из нескольких агрегированных видов обеспечивающей деятельности.
На предприятии по каждому отдельному бизнесу и агрегированному виду деятельности, как правило, разрабатывается своя специализированная стратегия.
Для производства хлебобулочных изделий ОАО «Брянский хлебокомбинат КАРАВАЙ» целесообразно использовать эталонную стратегию развития рынка, так как организация успешна в данном бизнесе (высокие темпы роста), появляются новые надежные каналы сбыта, а также существуют непроработанные рынки. Поэтому существует возможность выведения своего продукта на рынок в новых географических регионах.
Выбор конкурентной позиции осуществляется с помощью матрицы Портера, в центре внимания которой находятся не только удовлетворение потребностей покупателей, но и конкурирующие силы рынка, а именно: потенциальные конкуренты, покупатели, поставщики, реальные конкуренты внутри отрасли (см. рис.9).
Стратегическая
цель
|
Стратегическое преимущество |
| Неповторимость (уникальность) продукта с точки зрения покупателя
|
Преимущества в себестоимости
|
| Вся отрасль
|
1. Дифференцирование
|
2. Лидерство в области затрат |
| Сегмент рынка
|
3. Концентрация на сегменте |
Рис.9. Матрица Портера
В отношении производства хлеба целесообразным для ОАО «Брянский хлебокомбинат КАРАВАЙ» будет применение стратегии дифференцирования, так как организация работает со всей отраслью и ее нельзя назвать лидером в области затрат. Предпосылками выбора именно этой стратегии является широкий ассортимент продукции, применение высококачественного сырья, высокий имидж предприятия.
Преимуществами стратегии дифференцирования являются:
1. Потребители связывают продукт с маркой, их чувствительность к цене снижается, что дает большие преимущества по отношению к ценовым лидерам;
2. Высокая прибыль облегчает отношения с поставщиками;
3. Высокая лояльность потребителей к марке дает защиту от продуктов-заменителей.
В основе подхода к портфельному анализу фирмы ArthurD. Little лежит концепция жизненного цикла отрасли или бизнес-единицы, в соответствии с которой каждая бизнес единица проходит в своем развитии четыре стадии: рождение, развитие, зрелость, спад.
Другим параметром является конкурентная позиция бизнеса: ведущая, сильная, прочная, слабая (рис.10).
Рис.10. Матрица портфельного анализа ArthurD. Little
Руководствуясь рекомендациями матрицы ArthurD. Little, ОАО «Брянский хлебокомбинат КАРАВАЙ» следует выбрать следующие стратегии:
1) Для производства отрубного хлеба (положение бизнес-единицы в матрице: ведущая/зрелость) возможные стратегии: удержание доли рынка (A, B, C, F, G, H, J, N, T), удержание конкурентного преимущества (A, C, N, U, V).
Уточненные стратегии консультационной группы ArthurD. Little:
А – обратная интеграция; B – развитие бизнеса за рубежом; C – развитие производственных мощностей за рубежом; F – экспорт той же продукции; G – прямая интеграция; H – неуверенность; J – лицензирование за рубежом; N – методы и направления повышения эффективности; T – старые продукты-новые рынки; U – старые продукты-старые рынки; V – эффективная технология.
2) Для производства ржаного хлеба (сильная/зрелость) возможные стратегии: удержание конкурентного положения (A, C, N, U, V, T), рост доли рынка с увеличением производства (A, В, C, F, N, P, T, U).
Уточненные стратегии: P – новые продукты-старые рынки.
Выбранные для ОАО «Брянский хлебокомбинат КАРАВАЙ» стратегии можно привести в табличной форме (см. табл. 43).
Таблица 43
Выбранные стратегии развития
| Бизнес/ продукт |
Стратегическая альтернатива |
Эталонная стратегия |
Конкурентная стратегия |
| 1) Производство ржаного и отрубного хлеба |
Инвестирование |
Развитие рынка |
Дифференцирование |
Выбранные стратегии будут способствовать достижению ОАО «Брянский хлебокомбинат КАРАВАЙ» поставленных целей, позволят предприятию удерживать лидирующие позиции на рынке и в конкурентной борьбе.
Виды деятельности при конкуренции можно разделить на категории, которые объединены в так называемую цепочку стоимости. Все виды деятельности, входящие в эту цепочку, вносят свой вклад в конечную потребительскую стоимость продукта-товара. Выбранная конкурентная стратегия определяет способ, которым организация выполняет отдельные виды своей деятельности, а также всю цепочку стоимости в целом (рис3).

Обеспечивающая деятельность
|
|
Инфраструктура организации |
| Управление персоналом |
| Развитие технологии |
| Снабжение |
| Обеспечение поставок |
Выпуск продукта |
Обеспечение сбыта |
Маркетинг и продажа |
Сервис |
| Основная производственная деятельность |
Рис3. Цепочка стоимости
Определим цепочку стоимости для производства хлебобулочной продукции. Полная стоимость выпуска хлебобулочной продукции включает затраты на основную и обеспечивающую деятельность и в сумме составляет 351687,6 тыс. руб. Цепочка стоимости в тыс. руб.:
I. Обеспечивающая деятельность:
1. Инфраструктура организации – 7500
2. Управление персоналом – 9800
3. Развитие технологии – 15200
4. Снабжение – 8600
II. Основная деятельность:
1. Обеспечение поставок – 201510,6
2. Выпуск продукта – 26780
3. Обеспечение сбыта – 27150
4. Маркетинг и продажа – 33042
5. Сервис – 22105
В данной работе ставилась целью разработка системы стратегического планирования на предприятии на примере ОАО «Брянский хлебокомбинат КАРАВАЙ».
Одной из важнейших составляющих функционирования организации в современном мире является стратегическое управление, которое рассматривается как деятельность высшего руководства по управлению организацией. Стратегическое планирование – это инструмент формирования системы целей предприятия, основа функциональной структуры управления и системы управленческих функций.
Корпоративная цель предприятия на 2010-2012гг. – это увеличение объемов продаж в 2010 году на 18% по сравнению с 2009 годом, в 2011г. на 20% по сравнению с 2010г. и в 2012г. на 22% по сравнению с 2012г. Главной рыночной целью является увеличение рыночной доли потребления рынка Брянска и брянской области, а также освоение нового рынка в московском регионе.
По результатам анализа основных показателей деятельности предприятия видно, что ОАО «Брянский хлебокомбинат КАРАВАЙ» в 2007-2009г имел устойчивое финансовое положение, снижение показателей рентабельности связано с резким ухудшением экономической ситуации в стране.
Предприятие ОАО «Брянский хлебокомбинат КАРАВАЙ» обладает значительным потенциалом в сфере финансов, маркетинга, менеджмента, производства, научных разработок, кадровой службы. В целом положение предприятия можно назвать благоприятным.
Организационную структуру ОАО «Брянский хлебокомбинат КАРАВАЙ» можно квалифицировать как линейно-функциональную, каждое подразделение которой возглавляет руководитель, обладающий всеми функциями управления и полномочиями по принятию решений. ОАО «Брянский хлебокомбинат КАРАВАЙ» имеет механистический тип организации, характеризуемый экстенсивным использованием формальных правил и процедур, централизованным принятием решений, узко определённой ответственностью в работе и иерархией власти в организации.
Пищекомбинат представляет собой корпоративную организацию, имеющую монополии на информацию, обеспечивающую власть, принятие решений в которой строится по принципу большинства, интересы производства определяют интересы работника, где человек существует для работы и применяется принцип двойной морали.
Оценка PEST-факторов, оказывающих влияние на деятельность предприятия ОАО «Брянский хлебокомбинат КАРАВАЙ» показывает, что сильные стороны преобладают над слабыми, а возможности над угрозами. Предприятию необходимо разработать стратегии выявления и использования сильных сторон и возможностей. На деятельность предприятия наибольшее положительное влияние оказывают социальные и технологические факторы. Экологические факторы в целом оказывают небольшое отрицательное влияние, это обусловлено тем, что все материалы, используемые комбинатом в производстве, имеют гигиенические и экологические сертификаты качества.
Применение количественного SWOT-анализа показывает, что итоговая оценка сильных сторон преобладает над слабыми сторонами, а итоговая оценка возможностей – над угрозами. Однако угрозы и слабые стороны достаточно сильно действуют на предприятие, тем более что разрыв между ними и возможностями небольшой.
Для ОАО «Брянский хлебокомбинат КАРАВАЙ» рекомендованы следующие стратегии:
- производство ржаного хлеба необходимо инвестировать. Данная стратегия ориентирует деятельность предприятия на стремление к лидерству, на избирательные инвестиции по критерию эффективности и укрепления уязвимых мест;
- рекомендуется использовать стратегию ограниченного роста в производстве пряников, печенья и крекера. Для данной стратегии характерно установление целей от достигнутого, скорректированных с учетом инфляции;
- целесообразно использовать эталонную стратегию развития рынка, так как организация успешна в данном бизнесе (высокие темпы роста), появляются новые надежные каналы сбыта, а также существуют непроработанные рынки.
Поэтому существует возможность выведения своего продукта на рынок в новых географических регионах.
1. «Об акционерных обществах» ФЗ от 26.12.1995 № 208-ФЗ (ред. от 30.12.2008) // ЗАО «Консультант Плюс». – М.: CONSULTANT, 1997. – Режим доступа: http//www.consultant.ru
2. Ансофф И. Стратегический менеджмент = Strategic Management : клас. изд. / И. Ансофф ; пер. с англ. под ред. А. Н. Петрова. - М. [и др.] : Питер, 2009. - 344 с.
3. Арустамов, Э.А. Организация предпринимательской деятельности : учеб. пособие для вузов / Э. А. Арустамов, А. Н. Пахомкин, Т. П. Митрофанова. - 3-е изд., испр. - М. : Дашков и Ко, 2009. - 331 с.
4. Басовский Л.Е. Менеджмент : учеб. пособие для вузов / Л. Е. Басовский. - М. : ИНФРА-М, 2008. - 216 с.
5. Белов Г.В. Экологический менеджмент предприятия : учеб. для вузов / Г. В. Белов. - М. : Логос, 2008. - 236 с.
6. Бирюкова О.Ю. Приемы антикризисного менеджмента : учеб. пособие / О. Ю. Бирюкова, Л. А. Бочкова. - М. : Дашков и Ко, 2008. - 270 с.
7. Виханский, О.С. Стратегическое управление : учеб. для вузов / О. С. Виханский. - Изд. 2-е, перераб. и доп. - М. : Экономистъ, 2008. - 292 с.
8. Горбачев, А.Г. Тайм-менеджмент в 2 счета / А. Г. Горбачев. - М. [и др.] : Питер, 2009. - 256 с.
9. Горностаева, А.Н. Современные проблемы управления российскими предприятиями. Часть 1. Менеджмент: учеб. пособие / А.Н. Горностаева. – Брянск, издательство БГТУ, 2003.-336 с.
10. Евстигнеев Е.Н. Налоги и налогообложение : учеб. пособие / Е. Н. Евстигнеев. - [6-е изд.]. - М. : Питер, 2009. - 312 с.
11. Инновационный менеджмент : учебник / А. В. Гугелев. - М. : Дашков и Ко, 2008. - 335 с.8. - 351 с.
12. Инновационный менеджмент : учеб. пособие для вузов / К. В. Балдин [и др.]. - М. : Academia, 2008. - 362 c.
13. Ковалев, В.В. Финансы организаций (предприятий) : учеб. для вузов / В. В. Ковалев, Ковалев Вит.В. - М. : Проспект, 2009. - 351 с.
14. Котлер, Ф. Маркетинг менеджмент : экспресс-курс / Ф. Котлер, К. Л. Келлер ; пер. с англ. под науч. ред. С. Г. Жильцова. - 3-е изд. - М. [и др.]: Питер, 2008. - 479 с.
15. Кравченко, А.И. Социология управления: фундаментальный курс : учеб. пособие для вузов / А. И. Кравченко, И. О. Тюрина. - М. ; Екатеринбург : Акад. Проект : Деловая кн., 2008. - 982 с.
16. Латфуллин, Г.Р. Теория организации : учеб. для вузов / Г. Р. Латфуллин, А. В. Райченко. - 2-е изд. доп. и перераб. - М. [и др.] : Питер, 2008. - 462 с.
17. Лейни Т.А. Бренд-менеджмент : учеб.-практ. пособие / Т. А. Лейни, Е. А. Семенова, С. А. Шилина. - М. : Дашков и Ко, 2008. - 225 с.
18. Максименко Г.Б. Менеджмент : учеб. пособие для вузов / Г. Б. Максименко. - 2-е изд. - М. : Дашков и Ко, 2008. - 362 с.
19. Менеджер информационных ресурсов : учеб.-метод. пособие / В. К. Клюев [и др.] ; [под общ. ред. В. К. Клюева ]. - М. : Литера, 2009. - 324 с.
20. Мескон, М.Х. Основы менеджмента / М.Х. Мескон, М.Албберт, Ф.Хедоури. – М.: Дело, 2007. – 704 с.
21. Мильнер Б.З. Теория организации : учеб. для вузов / Б. З. Мильнер. - Изд. 7-е, перераб. и доп. - М. : ИНФРА-М, 2009. - 862 с.
22. Мухамедьяров, А.М. Инновационный менеджмент : учеб. пособие / А. М. Мухамедьяров. - 2-е изд. - М. : ИНФРА-М, 2008. - 175 с.
23. Пивоваров, С.Э. Сравнительный менеджмент : учебник / С. Э. Пивоваров, И. А. Максимцев. - 2-е изд. - М. [и др.] : Питер, 2008. - 480 с.
24. Птускин А.С. Нечеткие модели и методы в менеджменте : учеб. пособие / А. С. Птускин. - М. : Изд-во МГТУ им. Н. Э. Баумана, 2008.
25. Ромат, Е.В. Реклама : [учеб. для вузов] / Е. В. Ромат. - 7-е изд. - М. [и др.] : Питер, 2008. – 512 с.
26. Трайнев В.А. Менеджмент и маркетинг в образовании, науке и производстве и его информационное обеспечение (методология и практика) / В. А. Трайнев, С. А. Дмитриев, И. И. Пинчук ; под общ. ред. В. А. Трайнева. - М. : Дашков и Ко, 2008. - 266 с.
27. Цветков, А.Н. Менеджмент / А. Н. Цветков. - М. [и др.] : Питер, 2009.- 176 с.
28. Фатхутдинов Р.А. Стратегический менеджмент : учеб. для вузов / Р. А. Фатхутдинов. - 9-е изд., испр. и доп. - М. : Дело, 2008. - 445 с.
29. Философова Т.Г. Конкуренция. Инновации. Конкурентоспособность : учеб. пособие для вузов / Т. Г. Философова, В. А. Быков ; под ред. Т. К. Философовой. - Изд. 2-е, перераб. и доп. - М. : ЮНИТИ, 2008. - 295 с.
30. Финансовый менеджмент : Теория и практика : учеб. для вузов / Е. С. Стоянова [и др.] ; под ред. Е. С. Стояновой. - Изд. 6-е. - М. : Перспектива, 2008. - 655 с.
31. Фунтов, В.Н. Основы управления проектами в компании : учеб. пособие / В. Н. Фунтов. - 2-е изд., доп. - М. [и др.] : Питер, 2008. - 336 с.
32. Официальный сайт Брянской области. Режим доступа: http//www.bryanskobl.ru/
33. Официальный сайт Госкомстата РФ. Режим доступа: http// www.gks.ru/
Приложение 1
Бухгалтерская отчетность ОАО «ПК Бежицкий» за период с 2007 г по 2009 г.
| Бухгалтерский баланс на 2007г. |
| АКТИВ |
Код показателя |
На начало отчетного года |
На конец отчетного периода |
| 1 |
2 |
3 |
4 |
| I. Внеоборотные активы
|
| Нематериальные активы |
110 |
69 |
77 |
| Основные средства |
120 |
51133 |
50362 |
| Незавершенное строительство |
130 |
4382 |
7221 |
| Доходные вложения в материальные ценности |
135 |
- |
- |
| Долгосрочные финансовые вложения |
140 |
2441 |
2300 |
| Отложенные налоговые активы |
145 |
382 |
470 |
| Прочие внеоборотные активы |
150 |
- |
- |
| Итого по разделу I
|
190
|
58407
|
60429
|
| II. Оборотные активы
|
| Запасы |
210 |
15665 |
18164 |
| в том числе: |
| сырье, материалы и другие аналогичные ценности |
211 |
13283 |
15544 |
| животные на выращивании и откорме |
212 |
- |
- |
| затраты в незавершенном производстве |
213 |
- |
- |
| готовая продукция и товары для перепродажи |
214 |
2087 |
2288 |
| товары отгруженные |
215 |
- |
- |
| расходы будущих периодов |
216 |
295 |
333 |
| прочие запасы и затраты |
217 |
- |
- |
| Налог на добавленную стоимость по приобретенным ценностям |
220 |
1360 |
250 |
| Дебиторская задолженность (платежи по которой ожидаются более чем через 12 месяцев после отчетной даты) |
230 |
- |
- |
| в том числе: |
| покупатели и заказчики |
231 |
- |
- |
| Дебиторская задолженность (платежи по которой ожидаются в течение 12 месяцев после отчетной даты) |
240 |
21338 |
31842 |
| 31842 |
| в том числе: |
| покупатели и заказчики |
241 |
13599 |
17812 |
| Краткосрочные финансовые вложения |
250 |
- |
- |
| Денежные средства |
260 |
3475 |
9717 |
| Прочие оборотные активы |
270 |
- |
- |
| Итого по разделу II
|
290
|
41838
|
59974
|
| БАЛАНС
|
300
|
100245
|
120403
|
| Форма 0710001 с.2 |
| ПАССИВ
|
Код строки
|
На начало отчетного года
|
На конец отчетного периода
|
| 1 |
2 |
3 |
4 |
| III. Капитал и резервы
|
| Уставный капитал |
410 |
5306 |
5306 |
| Собственные акции, выкупленные у акционеров |
411 |
- |
- |
| Добавочный капитал |
420 |
11513 |
11513 |
| Резервный капитал |
430 |
796 |
796 |
в том числе:
|
резервные фонды, образованные в соответствии с законодательством |
431 |
796 |
796 |
| 796 |
| резервы, образованные в соответствии с учредительными документами |
432 |
- |
- |
| Нераспределенная прибыль (непокрытый убыток) |
470 |
75872 |
91133 |
| Итого по разделу III
|
490
|
93487
|
108748
|
| IV. Долгосрочные обязательства
|
| Займы и кредиты |
510 |
- |
- |
| Отложенные налоговые обязательства |
515 |
246 |
249 |
| Прочие долгосрочные обязательства |
520 |
- |
- |
| Итого по разделу IV
|
590
|
246
|
249
|
| V. Краткосрочные обязательства
|
| Займы и кредиты |
610 |
2009 |
- |
| Кредиторская задолженность |
620 |
4503 |
11406 |
| в том числе: |
| поставщики и подрядчики |
621 |
1695 |
4223 |
| задолженность перед персоналом организации |
622 |
1321 |
1929 |
| задолженность перед государственными внебюджетными фондами |
623 |
237 |
477 |
| 477 |
| задолженность по налогам и сборам |
624 |
1000 |
4266 |
| прочие кредиторы |
625 |
250 |
512 |
| Задолженность участникам (учредителям) по выплате доходов |
630 |
- |
- |
| Доходы будущих периодов |
640 |
- |
- |
| Резервы предстоящих расходов |
650 |
- |
- |
| Прочие краткосрочные обязательства |
660 |
- |
- |
| Итого по разделу V
|
690
|
6512
|
11406
|
| БАЛАНС
|
700
|
100245
|
120403
|
| СПРАВКА О НАЛИЧИИ ЦЕННОСТЕЙ, УЧИТЫВАЕМЫХ НА ЗАБАЛАНСОВЫХ СЧЕТАХ
|
| Арендованные основные средства |
910 |
- |
- |
| в том числе по лизингу |
911 |
- |
- |
| Товарно-материальные ценности, принятые на ответственное хранение |
920 |
- |
- |
| Товары, принятые на комиссию |
930 |
- |
- |
| Списанная в убыток задолженность неплатежеспособных дебиторов |
940 |
- |
- |
| Обеспечения обязательств и платежей полученные |
950 |
- |
- |
| Обеспечения обязательств и платежей выданные |
960 |
- |
- |
| Износ жилищного фонда |
970 |
- |
- |
| Износ объектов внешнего благоустройства и других аналогичных объектов |
980 |
- |
- |
| Нематериальные активы, полученные в пользование |
990 |
- |
- |
| - |
- |
Отчет о прибылях и убытках на 2007 г.
| Показатель |
За отчетный период |
За аналогичный период предыдущего года |
| наименование |
код |
| 1 |
2 |
3 |
4 |
| Доходы и расходы по обычным видам деятельности
|
| Выручка (нетто) от продажи товаров, продукции, работ, услуг (за минусом налога на добавленную стоимость, акцизов и аналогичных обязательных платежей) |
010 |
285244 |
285244 |
260242 |
| 285244 |
285244 |
260242 |
| 285244 |
285244 |
260242 |
| Себестоимость проданных товаров, продукции, работ, услуг |
020 |
-244968 |
-244968 |
-217467 |
| Валовая прибыль |
029 |
40276 |
40276 |
42775 |
| Коммерческие расходы |
030 |
-6266 |
-6266 |
-4289 |
| Управленческие расходы |
040 |
- |
- |
| Прибыль (убыток) от продаж |
050 |
34010 |
34010 |
38486 |
| Прочие доходы и расходы
|
| Проценты к получению |
060 |
124 |
124 |
102 |
| Проценты к уплате |
070 |
-14 |
-14 |
-137 |
| Доходы от участия в других организациях |
080 |
- |
- |
| Прочие доходы |
090 |
1294 |
1294 |
956 |
| Прочие расходы |
100 |
-10713 |
-10713 |
-9548 |
| Прибыль (убыток) до налогообложения
|
140 |
24701 |
24701 |
29859 |
| Отложенные налоговые активы |
141 |
88 |
88 |
106 |
| Отложенные налоговые обязательства |
142 |
-3 |
-3 |
-95 |
| Текущий налог на прибыль |
150 |
-8368 |
-8368 |
-9058 |
| Налог на ЕНВД |
180 |
-1 |
-1 |
-31 |
| Чистая прибыль (убыток) отчетного периода
|
190 |
16417 |
16417 |
20781 |
| СПРАВОЧНО: |
| Постоянные налоговые обязательства (активы) |
200 |
2355 |
2355 |
1881 |
| Базовая прибыль (убыток) на акцию |
201 |
- |
- |
| Разводненная прибыль (убыток) на акцию |
202 |
- |
- |
Бухгалтерский баланс на 2008г.
| АКТИВ |
Код
показателя
|
На начало отчетного года |
На конец отчетного периода |
| 1 |
2 |
3 |
4 |
| I. Внеоборотные активы
|
| Нематериальные активы |
110 |
77 |
77 |
115 |
| Основные средства |
120 |
50362 |
50362 |
51398 |
| Незавершенное строительство |
130 |
7221 |
7221 |
6519 |
| Доходные вложения в материальные ценности |
135 |
- |
232 |
| Долгосрочные финансовые вложения |
140 |
2300 |
2300 |
2300 |
| Отложенные налоговые активы |
145 |
470 |
470 |
471 |
| Итого по разделу I
|
190
|
60430
|
60430
|
61035
|
| II. Оборотные активы
|
| Запасы |
210 |
18165 |
18165 |
24056 |
| в том числе: |
| сырье, материалы и другие аналогичные ценности |
211 |
15544 |
15544 |
18706 |
| готовая продукция и товары для перепродажи |
214 |
2288 |
2288 |
4428 |
| расходы будущих периодов |
216 |
333 |
333 |
922 |
| Налог на добавленную стоимость по приобретенным ценностям |
220 |
250 |
250 |
38 |
| Дебиторская задолженность (платежи по которой ожидаются в течение 12 месяцев после отчетной даты) |
240 |
31842 |
31842 |
50988 |
| 31842 |
31842 |
50988 |
| в том числе: |
| покупатели и заказчики |
241 |
17812 |
17812 |
32928 |
| Денежные средства |
260 |
9717 |
9717 |
2545 |
| Итого по разделу II
|
290
|
59974
|
59974
|
77627
|
| БАЛАНС
|
300
|
120404
|
120404
|
138662
|
| ПАССИВ
|
Код
строки
|
На начало отчетного года
|
На конец отчетного периода
|
| 1 |
2 |
3 |
4 |
| III. Капитал и резервы
|
| Уставный капитал |
410 |
5306 |
5306 |
5306 |
| Добавочный капитал |
420 |
11513 |
11513 |
11513 |
| Резервный капитал |
430 |
796 |
796 |
796 |
| в том числе: |
резервные фонды, образованные в соответствии
с законодательством
|
431 |
796 |
796 |
796 |
| 796 |
796 |
796 |
| Нераспределенная прибыль (непокрытый убыток) |
470 |
91133 |
91133 |
112002 |
| Итого по разделу III
|
490
|
108748
|
108748
|
129617
|
| IV. Долгосрочные обязательства
|
| Отложенные налоговые обязательства |
515 |
249 |
249 |
235 |
| Итого по разделу IV
|
590
|
249
|
249
|
235
|
| V. Краткосрочные обязательства
|
| Кредиторская задолженность |
620 |
11407 |
11407 |
8810 |
| в том числе: |
| поставщики и подрядчики |
621 |
4223 |
4223 |
3114 |
| задолженность перед персоналом организации |
622 |
1929 |
1929 |
2315 |
| задолженность перед государственными внебюджетными фондами |
623 |
477 |
477 |
511 |
| 477 |
477 |
511 |
| задолженность по налогам и сборам |
624 |
4266 |
4266 |
2694 |
| прочие кредиторы |
625 |
512 |
512 |
176 |
| Итого по разделу V
|
690
|
11407
|
11407
|
8810
|
| БАЛАНС
|
700
|
120404
|
120404
|
138662
|
Отчет о прибылях и убытках на 2008 г.
| Показатель |
За отчетный период |
За аналогичный период предыдущего года |
| наименование |
код |
| 1 |
2 |
3 |
4 |
| Доходы и расходы по обычным видам деятельности
|
| Выручка (нетто) от продажи товаров, продукции, работ, услуг (за минусом налога на добавленную стоимость, акцизов и аналогичных обязательных платежей) |
010 |
350130 |
285244 |
| 285244 |
| 285244 |
| Себестоимость проданных товаров, продукции, работ, услуг |
020 |
(298947) |
(244968) |
| Валовая прибыль |
029 |
51183 |
40276 |
| Коммерческие расходы |
030 |
(4730) |
(6266) |
| Прибыль (убыток) от продаж |
050 |
46453 |
34010 |
| Прочие доходы и расходы
|
| Проценты к получению |
060 |
253 |
124 |
| Проценты к уплате |
070 |
- |
(14) |
| Прочие доходы |
090 |
1460 |
1294 |
| Прочие расходы |
100 |
(14508) |
(10713) |
| Прибыль (убыток) до налогообложения
|
140 |
33658 |
24701 |
| Отложенные налоговые активы |
141 |
1 |
88 |
| Отложенные налоговые обязательства |
142 |
14 |
(3) |
| Текущий налог на прибыль |
150 |
(11201) |
(8368) |
| Налог на ЕНВД |
180 |
(47) |
(1) |
| Чистая прибыль (убыток) отчетного периода
|
190 |
22425 |
16417 |
| СПРАВОЧНО: |
| Постоянные налоговые обязательства (активы) |
200 |
3108 |
2355 |
Бухгалтерский баланс на 2009 г.
| АКТИВ |
Код
показателя
|
На начало отчетного года |
На конец отчетного периода |
| 1 |
2 |
3 |
4 |
| I. Внеоборотные активы
|
| Нематериальные активы |
110 |
115 |
115 |
119 |
| Основные средства |
120 |
51398 |
51398 |
59594 |
| Незавершенное строительство |
130 |
6519 |
6519 |
49971 |
| Доходные вложения в материальные ценности |
135 |
232 |
232 |
222 |
| Долгосрочные финансовые вложения |
140 |
2300 |
2300 |
2300 |
| Отложенные налоговые активы |
145 |
471 |
471 |
437 |
| Итого по разделу I
|
190
|
61035
|
61035
|
112643
|
| II. Оборотные активы
|
| Запасы |
210 |
24056 |
24056 |
21506 |
| в том числе: |
| сырье, материалы и другие аналогичные ценности |
211 |
18706 |
18706 |
14975 |
| готовая продукция и товары для перепродажи |
214 |
4428 |
4428 |
4917 |
| расходы будущих периодов |
216 |
922 |
922 |
1614 |
| Налог на добавленную стоимость по приобретенным ценностям |
220 |
38 |
38 |
7109 |
| Дебиторская задолженность (платежи по которой ожидаются в течение 12 месяцев после отчетной даты) |
240 |
50988 |
50988 |
49835 |
| 50988 |
50988 |
49835 |
| в том числе: |
| покупатели и заказчики |
241 |
32928 |
32928 |
29169 |
| Денежные средства |
260 |
2545 |
2545 |
14300 |
| Итого по разделу II
|
290
|
77627
|
77627
|
92750
|
| БАЛАНС
|
300
|
138662
|
138662
|
205393
|
| ПАССИВ
|
Код
строки
|
На начало отчетного года
|
На конец отчетного периода
|
| 1 |
2 |
3 |
4 |
| III. Капитал и резервы
|
| Уставный капитал |
410 |
5306 |
5306 |
5306 |
| Добавочный капитал |
420 |
11513 |
11513 |
11513 |
| Резервный капитал |
430 |
796 |
796 |
796 |
| в том числе: |
резервные фонды, образованные в соответствии
с законодательством
|
431 |
796 |
796 |
796 |
| 796 |
796 |
796 |
| Нераспределенная прибыль (непокрытый убыток) |
470 |
112002 |
112002 |
153576 |
| Итого по разделу III
|
490
|
129617
|
129617
|
171191
|
| IV. Долгосрочные обязательства
|
| Отложенные налоговые обязательства |
515 |
235 |
235 |
302 |
| Итого по разделу IV
|
590
|
235
|
235
|
302
|
| V. Краткосрочные обязательства
|
| Кредиторская задолженность |
620 |
8810 |
8810 |
33900 |
| в том числе: |
| поставщики и подрядчики |
621 |
3114 |
3114 |
18679 |
| задолженность перед персоналом организации |
622 |
2315 |
2315 |
2466 |
| задолженность перед государственными внебюджетными фондами |
623 |
511 |
511 |
735 |
| 511 |
511 |
735 |
| задолженность по налогам и сборам |
624 |
2694 |
2694 |
11878 |
| прочие кредиторы |
625 |
176 |
176 |
142 |
| Итого по разделу V
|
690
|
8810
|
8810
|
33900
|
| БАЛАНС
|
700
|
138662
|
138662
|
205393
|
Отчет о прибылях и убытках на 2009 г.
| Показатель |
За отчетный период |
За аналогичный период предыдущего года |
| наименование |
код |
| 1 |
2 |
3 |
4 |
| Доходы и расходы по обычным видам деятельности
|
| Выручка (нетто) от продажи товаров, продукции, работ, услуг (за минусом налога на добавленную стоимость, акцизов и аналогичных обязательных платежей) |
010 |
407585 |
350130 |
| 350130 |
| 350130 |
| Себестоимость проданных товаров, продукции, работ, услуг |
020 |
(352052) |
(298947) |
| Валовая прибыль |
029 |
55533 |
51183 |
| Коммерческие расходы |
030 |
(5132) |
(4730) |
| Прибыль (убыток) от продаж |
050 |
50401 |
46453 |
| Прочие доходы и расходы
|
| Проценты к получению |
060 |
395 |
253 |
| Проценты к уплате |
070 |
(83) |
- |
| Прочие доходы |
090 |
2616 |
1460 |
| Прочие расходы |
100 |
(14666) |
(14508) |
| Прибыль (убыток) до налогообложения
|
140 |
41733 |
33658 |
| Отложенные налоговые активы |
141 |
(34) |
1 |
| Отложенные налоговые обязательства |
142 |
(67) |
14 |
| Текущий налог на прибыль |
150 |
(17072) |
(11201) |
| Налог на ЕНВД |
180 |
(29) |
(47) |
| Чистая прибыль (убыток) отчетного периода
|
190 |
25531 |
22425 |
| СПРАВОЧНО: |
| Постоянные налоговые обязательства (активы) |
200 |
2597 |
3108 |
[1]
По данным сайта http://www.icss.ac.ru/macro/
[2]
По данным Всероссийской переписи населения.
[3]
Режим доступа: www.gks.ru
|