| Удосконалення фінансування інноваційної діяльності за рахунок власних коштів
В сучасних умовах основним інструментом інноваційної діяльності суб’єктів господарювання є інноваційні проекти. Оскільки, одним із основних факторів, який стримує розвиток інноваційної діяльності, є дефіцит вільних фінансових ресурсів, проблема вибору проектів, які змогли б забезпечити високу ефективність вкладень капіталу, є надзвичайно актуальною.
Станом на сьогодні існує велика кількість критеріїв та методів оцінки ефективності фінансування нововведень, однак, на нашу думку, не можна виділити один, найбільш досконалий, оскільки кожен із них має свої переваги та недоліки, які визначають доцільність і можливість застосування в конкретному випадку. Існування такої кількості оціночних показників з одного боку можна трактувати як позитивний момент, бо в ринкових умовах кожне підприємство, виходячи з ієрархії власних інтересів, повинно самостійно формувати оптимальну систему оціночних показників, яка повною мірою буде відображати сутність мотиваційного підходу до здійснення інноваційної діяльності. З іншого боку, таке різноманіття оціночних показників обумовлює появу відчутних труднощів, пов’язаних із складністю узгодження одержаних з їх допомогою результатів, що отримало у проектному аналізі назву “конфлікту критеріїв”.
Проведений у роботі аналіз фінансових ресурсів інноваційної діяльності показав, що переважним джерелом фінансового забезпечення для промислових підприємств є власні кошти, оскільки їх використання має низку переваг перед зовнішнім фінансуванням: простота і швидкість залучення; висока норма прибутку інвестованого капіталу, оскільки не вимагається сплата позикового процента в будь-яких його формах; істотне зниження ризику неплатоспроможності і банкрутства підприємства при їх використанні; повне збереження управління в руках засновників компанії . Використання інших джерел фінансування обмежується цілим рядом факторів. Тому особливої актуальності набуває дослідження методології оцінки та обґрунтування інноваційних проектів з внутрішніми джерелами фінансування.
Оскільки інноваційні проекти по своїй суті є інвестиційними, то часто для аналізу економічних результатів реалізації інноваційних проектів традиційно використовують показники оцінки економічної ефективності інвестиційних проектів. Показники, які використовуються в аналізі інвестиційної діяльності підприємств, поділяють на дві групи - критерії, які ґрунтуються на облікових оцінках і не враховують фактор часу, та критерії, що ґрунтуються на дисконтованих оцінках і враховують фактор часу. Найбільш точними є методи, які спираються на дисконтні оцінки. Існує декілька методів оцінки ефективності інвестицій, що ґрунтуються на теорії часової вартості грошей. Організація Об’єднаних націй по промисловому розвитку для оцінки інвестиційних проектів рекомендує використовувати показники чистий приведений дохід (“Net Present Value” - ), внутрішня норма дохідності (“Internal Rate of Return” - ), індекс прибутковості (“Profitability Index” - ) та дисконтований період окупності (“Discounted Payback Period” - ). Проте пряме застосування вище згаданих показників для оцінки ефективності інноваційних проектів, що фінансуються за рахунок власних коштів, зустрічається із певними труднощами.
Забиваем Сайты В ТОП КУВАЛДОЙ - Уникальные возможности от SeoHammer
Каждая ссылка анализируется по трем пакетам оценки: SEO, Трафик и SMM.
SeoHammer делает продвижение сайта прозрачным и простым занятием.
Ссылки, вечные ссылки, статьи, упоминания, пресс-релизы - используйте по максимуму потенциал SeoHammer для продвижения вашего сайта.
Что умеет делать SeoHammer
— Продвижение в один клик, интеллектуальный подбор запросов, покупка самых лучших ссылок с высокой степенью качества у лучших бирж ссылок.
— Регулярная проверка качества ссылок по более чем 100 показателям и ежедневный пересчет показателей качества проекта.
— Все известные форматы ссылок: арендные ссылки, вечные ссылки, публикации (упоминания, мнения, отзывы, статьи, пресс-релизы).
— SeoHammer покажет, где рост или падение, а также запросы, на которые нужно обратить внимание.
SeoHammer еще предоставляет технологию Буст, она ускоряет продвижение в десятки раз,
а первые результаты появляются уже в течение первых 7 дней.
Зарегистрироваться и Начать продвижение
Зокрема, в умовах обмеженості власних коштів реалізація інноваційних проектів може набувати затяжного характеру, тобто вкладення коштів в проект відбувається не миттєво на початковому етапі, а розтягується на декілька етапів реалізації проекту, в той час як традиційні методичні підходи до оцінки динамічних показників ефективності передбачає вкладення капіталу на початку реалізації проекту, що приводить до проектування капітальних вкладень на момент початку реалізації проекту, а значить, до завищення дисконтованого грошового потоку інвестиційних витрат і до заниження показників ефективності відповідно. Тому застосування дисконтних показників ефективності інноваційних проектів, фінансованих за власні кошти, потребує додаткових досліджень.
Розглянемо ключові ідеї, покладені в основу методів оцінювання інноваційних проектів, в яких використовуються вище згадані критерії. Міжнародна практика оцінки ефективності інвестицій базується на концепції часової вартості грошей і побудована на наступних принципах:
· ефективність використання вкладених коштів оцінюється шляхом співставлення грошового потоку (cash flow), який буде зґенерований в процесі реалізації проекту з початковими інвестиціями. При цьому проект визнається ефективним, якщо забезпечується повернення початкової суми інвестицій та дохідність для інвестора;
Сервис онлайн-записи на собственном Telegram-боте
Попробуйте сервис онлайн-записи VisitTime на основе вашего собственного Telegram-бота:
— Разгрузит мастера, специалиста или компанию;
— Позволит гибко управлять расписанием и загрузкой;
— Разошлет оповещения о новых услугах или акциях;
— Позволит принять оплату на карту/кошелек/счет;
— Позволит записываться на групповые и персональные посещения;
— Поможет получить от клиента отзывы о визите к вам;
— Включает в себя сервис чаевых.
Для новых пользователей первый месяц бесплатно.
Зарегистрироваться в сервисе
· кошти, що інвестуються, як і грошовий потік, приводяться до теперішнього моменту часу чи до певного розрахункового року, використовуючи деяку ставку дисконтування ;
· процес дисконтування капітальних інвестицій і грошових потоків здійснюється за різними дисконтними ставками, які визначаються в залежності від особливостей інвестиційних проектів.
Зауважимо, що відповідно до різних поглядів щодо причини зміни вартості грошей у часі, існують різні підходи щодо оцінки ставки дисконту. Ряд економістів схильні вважати, що дисконтна ставка повинна містити такі складові: ставка без урахування ризику; поправка на інфляцію; премія за ризик. Інші вчені до вище приведеного переліку додають такі елементи: премію за низьку ліквідність; премію за якість менеджменту; премію за територіальну та виробничу диверсифікацію; премію за диверсифікацію клієнтури; премію за структуру капіталу.
Традиційно тривалість проекту вимірюється у звітних періодах (як правило, у роках), і звичайно позначається як . Величина інвестицій у проект у періоді позначається як , а чисті грошові надходження, згенеровані проектом в періоді - як .
Чистий приведений дохід – це дисконтована сума перевищення чистих грошових надходжень над інвестиціями протягом всього життєвого циклу проекту
, (3.1)
де - ставка дисконтування.
Величина чистого приведеного доходу дозволяє зробити висновок про доцільність прийняття чи відхилення даного проекту. До переваг даного показника варто віднести такі риси:
· можливість оцінки приросту вартості капіталу фірми;
· адитивність, що дає можливість використовувати показник при оцінці економічного ефекту інноваційного портфеля;
· можливість використання при аналізі проектів з нерівномірними грошовими потоками.
Недоліками цього показника є суттєва залежність від часових параметрів проекту та від масштабів капітальних вкладень.
Внутрішня норма дохідності чисельно рівна такій дисконтній ставці , при якій і знаходиться з умови
. (3.2)
Чим більшою є величина , тим вищою є ефективність інноваційного проекту. Економічний зміст критерію полягає у тому, що підприємство може реалізовувати проекти, рівень рентабельності яких не нижчий від вартості капіталу (“Cost of Capital” - ), де під останнім слід розуміти вартість цільового джерела або середньозважену вартість капіталу.
Якщо показник більший за вартість капіталу , то проект є ефективним, менший – проект відхиляють. Іншими словами, інноваційного проекту – це мінімально припустимий розмір чистого прибутку, який інвестор має одержати з кожної гривні інвестицій. В міжнародній практиці розрахунок часто використовують в якості першого кроку при кількісному аналізі інвестицій.
До переваг описаного критерію відносять те, що він не залежить від абсолютного розміру інвестицій в інноваційний проект, може використовуватися для оцінки міри стійкості проекту та не потребує попереднього встановлення ставки дисконту.
Недоліком описаного критерію є те, що даний показник не володіє властивістю адитивності і не дає однозначної оцінки для нестандартних інноваційних проектів.
Дисконтний період окупності розраховується із умови
, (3.3)
і є часом, необхідним для того, щоб сума надходжень від реалізації проекту відшкодувала суму витрат на його впровадження.
Важливо відзначити, що ні один із вище перерахованих критеріїв сам по собі не є достатнім для прийняття проекту. Рішення про інвестування коштів в проект, на нашу думку, повинно прийматися з врахуванням значень всіх критеріїв та інтересів всіх учасників інноваційного проекту. Важливу роль у цьому рішенні повинні відігравати структура, вартість та розподіл в часі капіталу, що залучається для реалізації проекту.
У даній частині дослідження нами запропоновані нові методичні підходи щодо оцінки ефективності фінансування інноваційного проекту власними коштами з використанням методу дисконтованих грошових потоків, яка ґрунтується на застосуванні запропонованої у роботах [20; 29; 72] мікроекономічної моделі промислового підприємства. Алгоритм реалізації даних підходів представлено на рис.3.1.

Рис.3.1
Основні етапи визначення економічної ефективності інноваційного проекту
Нехай основна діяльність промислового підприємства є прибутковою, тобто грошові надходження від реалізації продукції переважають над витратами на її виготовлення ,
, (3.4)
де - обсяги виробництва продукції, - змінні витрати на виготовлення продукції, - постійні витрати підприємства. Постійні витрати включають в себе витрати на НДДКР, а також інші сталі витрати підприємства. Зауважимо, що в методі дисконтованих грошових потоків “грошовий потік – це прибуток від інвестиційного проекту після оподаткування, але перед нарахуванням амортизації, виплатою відсотків і дивідендів” [57, с.91], а тому до витрат віднесено податки і інші обов'язкові платежі. З витрат також вилучено амортизаційні відрахування, оскільки в методі дисконтованих грошових потоків знос виробничих фондів включається до витрат в момент придбання виробничих фондів (інвестицій). Тому чистий дохід підприємства у розмірі
(3.5)
фактично формує два джерела фінансування – амортизаційний фонд та обліковий прибуток підприємства. Особливості формування цих джерел фінансування на промислових підприємствах України детально проаналізовано в частині 2.2 роботи.
Іншою важливою характеристикою моделі є припущення про досконалу маркетингову політику підприємства, наслідком якої є те, що вся виготовлена продукція реалізовується на ринку, а отже, приносить прибуток підприємству. Як було показано в попередніх частинах дослідження, інноваційна діяльність завжди супроводжується ризиками, в тому числі ризиком помилкової оцінки об’ємів споживання та, як наслідок, перевиробництва продукції. У наступній частині дослідження буде показано, як вплив ризику перевиробництва може бути мінімізований шляхом підвищення рентабельності продукції.
Дохід, який отримує підприємство від реалізації продукції, тісно пов’язаний із технологічним рівнем підприємства, який залежить від використовуваних технологій виробництва продукції, організації постачання сировини та комплектуючих, технічного стану засобів виробництва, кваліфікації персоналу, організації менеджменту на підприємстві, тощо. Технологічний рівень підприємства може зростати внаслідок інвестицій в інноваційні проекти
, (3.6)
де - технологічний рівень підприємства, - розмір інвестицій, спрямованих на підвищення технологічного рівня підприємства. З іншого боку, чистий дохід змінюється в часі в залежності від зміни технологічного рівня підприємства
. (3.7)
Питання чисельної оцінки технологічного рівня підприємства та характер залежності (3.7) є актуальним питанням сучасної економічної науки і може бути темою окремого дослідження. Надалі ми будемо користуватися припущенням, що зміна чистого доходу від основної діяльності за сталих обсягів випуску продукції пропорційна до інвестицій, спрямованих на підвищення технологічного рівня підприємства
, (3.8)
де - показник економічної ефективності інновації, який характеризує збільшення прибутку підприємства від впровадження інновації вартістю і є величиною, залежною тільки від природи інновації.
Оскільки показником оцінюється сукупний економічний ефект від впровадження інновацій, його можна застосовувати як у випадку інновацій, спрямованих на зменшення витрат (застосування ресурсозберігаючих технологій, впровадження автоматизованих систем з метою підвищення продуктивності праці персоналу, покращення ефективності управління підприємством, тощо), що приводить до зменшення собівартості продукції, так і у випадку інновацій, метою яких є зростання доходів підприємства (запровадження систем підвищення якості продукції, випуск вдосконаленої модифікації базової продукції тощо), що приводить до зростання відпускної ціни на продукцію.
Вважаємо, що керівництво підприємства прийняло рішення про реалізацію інноваційного проекту, метою якого є поетапне збільшення прибутковості від основної діяльності за рахунок підвищення технологічного рівня підприємства. При цьому вирішено не змінювати обсяги виробництва, тобто
, (3.9)
де - обсяг виробництва і реалізації продукції в звітному періоді . Випадок, коли інвестиції спрямовуються також і на збільшення обсягів випуску продукції, нами детально розглянутий в роботі.
Загальна вартість інвестицій, необхідна для фінансування проекту в повному обсязі складає . Фінансування проекту вирішено здійснювати за рахунок власних коштів підприємства. Процес інвестування розглядаємо як тривалий в часі
, (3.10)
де - тривалість етапу впровадження, протягом якого здійснюються інвестиції у інноваційний проект. Обмеженість власних коштів підприємств накладає також умову на величину інвестицій у звітному періоді
, (3.11)
де - чистий дохід підприємства в періоді . Надалі ми будемо вважати, що на фінансування проекту в кожному звітному періоді виділяється частка чистого доходу підприємства
. (3.12)
Нехай в першому звітному періоді чистий дохід підприємства складав . Тоді в першому звітному періоді інноваційний проект можна профінансувати в розмірі
. (3.13)
Інвестиції в інноваційний проект в розмірі приведуть до збільшення чистого доходу підприємства в другому звітному періоді на величину (3.8)
, (3.14)
а чистий дохід підприємства в другому звітному періоді складе
. (3.15)
Чистий дохід другого звітного періоду дозволяє профінансувати інноваційний проект в розмірі
, (3.16)
що приведе до збільшення чистого доходу підприємства в третьому звітному періоді на величину
, (3.17)
тоді чистий дохід, отриманий в третьому звітному періоді
. (3.18)
Використовуючи вищенаведені рекурентні співвідношення можна стверджувати, що в -му звітному періоді
. (3.19)
Таким чином, систематичне реінвестування власних коштів у фінансування інноваційного проекту приводить до степеневого в часі зростання чистого доходу підприємства. Таке степеневе зростання має місце на етапі впровадження інноваційного проекту, коли його результати починають давати економічний ефект безпосередньо в процесі впровадження інновації. Після завершення етапу впровадження і припинення інвестування у інноваційний проект підвищення технологічного рівня , а отже, і зростання чистого доходу, припиняється, і розпочинається етап використання інновації, коли виробництво починає приносити сталий дохід у розмірі
, (3.20)
де - тривалість етапу впровадження інноваційного проекту.
Для того, щоб розрахувати показники ефективності інноваційного проекту, розрахуємо спочатку грошові потоки в моделі самофінансування інноваційного проекту. На протязі етапу впровадження інноваційного проекту чисті грошові надходження , згенеровані проектом в -му звітному періоді, є чистий дохід, отриманий підприємством у випадку реалізації інноваційного проекту за мінусом чистого доходу, яке підприємство отримало б у випадку відхилення інноваційного проекту
. (3.21)
Величина інвестицій у -му періоді етапу впровадження складає
. (3.22)
Після закінчення етапу впровадження інвестування у інноваційний проект припиняється
, (3.23)
а чисті грошові надходження, згенеровані проектом, складають
. (3.24)
Необхідно також врахувати грошовий потік від ліквідації проекту, який виникає в періоді
, (3.25)
де - ліквідаційна вартість проекту.
Таким чином, грошові потоки у випадку фінансування інноваційного проекту прибутком від основної діяльності матимуть вигляд як у табл.3.1.
Як видно із розрахунків, важливою характеристикою інноваційного проекту у випадку самофінансування в умовах дефіциту власних коштів є тривалість етапу впровадження , причому у випадку самофінансування ця величина перестає залежати тільки від технічних характеристик проекту і визначається також фінансовими характеристиками підприємства, на якому впроваджується інновація. Справді, тривалість етапу впровадження залежить від темпів інвестування у інноваційний проект, які визначаються обсягами вільних власних коштів, що в свою чергу визначається рентабельністю виробництва на початку впровадження інноваційного проекту. Така особливість суттєво відрізняє самофінансування від випадку фінансування запозиченими коштами, коли підприємство має можливість інвестувати в інноваційний проект всю необхідну суму одразу.
Таблиця 3.1
Грошові потоки у випадку фінансування інноваційного проекту власними коштами
Розрахуємо тривалість етапу впровадження для інноваційного проекту із загальним обсягом інвестицій , використовуючи умову (3.10)
, (3.26)
звідки можна отримати вираз для тривалості етапу впровадження проекту в явному вигляді
. (3.27)
Таким чином, у випадку фінансування інноваційного проекту власними коштами тривалість етапу впровадження проекту визначається виразом (3.27) і залежить від ефективності інновації , величини інвестицій , обсягу власних коштів, якими володіє підприємство на початку впровадження інновації та відсотка власних коштів, які спрямовуються на фінансування інноваційного проекту .
Розрахуємо тепер чистий приведений дохід, який генерується інноваційним проектом. Протягом етапу впровадження інноваційного проекту буде отримано чистий приведений дохід в розмірі
, (3.28)
де - дисконтна ставка. Враховуючи формулу для суми геометричної прогресії
, (3.29)
отримаємо наступний вираз для чистого приведеного доходу, отриманого на етапі впровадження інноваційного проекту
. (3.30)
Протягом етапу використання інновації буде отриманий чистий приведений дохід у розмірі
. (3.31)
Після ліквідації проекту буде отримано чистий приведений дохід в розмірі
. (3.32)
Тоді чистий приведений дохід інноваційного проекту
. (3.33)
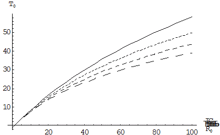
Отриманий нами в аналітичному вигляді вираз (3.33) для чистого приведеного доходу інноваційного проекту дає нам можливість з’ясувати основні особливості, притаманні фінансуванню інноваційних проектів за рахунок власних коштів підприємств. Для цього проаналізуємо детально залежність величини чистого приведеного доходу від обсягу власних коштів підприємства , економічної ефективності інновації та частини власних коштів, яка спрямовується на фінансування інноваційного проекту . Зауважимо, що вище перелічені залежності є нелінійними, оскільки у вираз для і у вирази для інших економічних показників ефективності у степеневому вигляді входить тривалість етапу впровадження інноваційного проекту , яка, в свою чергу, також залежна від параметрів , і . Тому розглянемо спочатку тривалість етапу впровадження інноваційного проекту в звітних періодах в залежності від співвідношення між загальним обсягом інвестицій, необхідних для реалізації інноваційного проекту та початковим обсягом власних коштів за умов річних, , (рис.3.2). Економічна ефективність інновації змінюється в межах від (суцільна лінія) до річних (коротка штрихова лінія).
Аналіз наведеної залежності показує, що реінвестування власних коштів підприємства у фінансування інноваційного проекту значно скорочує терміни впровадження інновацій на підприємстві, зокрема, якщо загальний обсяг інвестицій, необхідних для реалізації проекту в 100 раз перевищує наявні власні кошти , то для завершення проекту потрібно від 35 до 60 звітних періодів (в залежності від економічної ефективності інновації ) в той час, як при відсутності реінвестування для цього було б потрібно 100 звітних періодів.

Рис.3.2
Тривалість етапу впровадження в залежності від співвідношення між загальним обсягом інвестицій та початковим обсягом власних коштів у випадку самофінансування
Розглянемо тепер залежність чистого приведеного доходу проекту від загальної тривалості життя проекту для річних, , , , (рис.3.3). Економічна ефективність інновації змінюється в межах від (суцільна лінія) до річних (коротка штрихова лінія).

Рис.3.
3
Чистий приведений дохід в залежності від тривалості проекту у випадку самофінансування
Зростання загальної тривалості проекту, а значить, і тривалості фази використання інновації, як і очікувалось, приводить до зростання показника проекту, оскільки у цьому випадку збільшується період, протягом якого впровадженні технологічні новинки приносять дохід. Однак при подальшому збільшенні фази експлуатації інновації подальший ріст показника чистого приведеного доходу припиняється, що пояснюється впливом дисконтування. Справді, чим далі в майбутньому ми отримуємо дохід від реалізації, тим менший вплив він має на величину критерію , а отже, інвестування у інноваційні проекти, які мають тривалі терміни життя не приводить до значного зростання ефективності такого інвестування. Одночасно зростання економічної ефективності інновації приводить до зростання темпів зростання показника .
Графік перетинає вісь абсцис в точці, де тривалість проекту рівна дисконтованому періоду окупності проекту. Як видно із рисунка 3.3, зростання економічної ефективності інновації приводить до зменшення періоду окупності, але при рівномірному зростанні показника термін окупності проекту зменшується кожного разу на меншу величину, в той час, як величина чистого приведеного доходу зростає пропорційно до зростання величини ефективності інновації. Таким чином, застосування періоду окупності інвестицій для оцінки інноваційних проектів з високою ефективністю, які фінансуються за рахунок власних коштів, поруч із застосуванням показника чистого приведеного доходу є невиправданим.
Розглянемо тепер залежність чистого приведеного доходу проекту від дисконтної ставки для , , , , (рис.3.4). Економічна ефективність інновації змінюється в межах від (суцільна лінія) до річних (коротка штрихова лінія).
Як і очікувалось, зростання дисконтної ставки приводить до зменшення величини чистого приведеного доходу аж до . Графік перетинає вісь абсцис у точці, де дисконтна ставка рівна внутрішній нормі дохідності . Зростання економічної ефективності інновації приводить до зростання внутрішньої норми дохідності . Важливо, що чистий приведений дохід монотонно спадає при підвищенні дисконтної ставки , а отже, рівняння для знаходження внутрішньої норми дохідності інвестицій може мати тільки один розв’язок, незважаючи на те, що основним недоліком показника вважають його неоднозначність. Тому показник внутрішньої норми дохідності інвестицій може успішно застосовуватись для аналізу інноваційних проектів, які фінансуються власними коштами [20].

Рис.3.
4
Чистий приведений дохід в залежності від ставки дисконтування у випадку самофінансування
Таким чином, застосування мікроекономічної моделі промислового підприємства для розрахунку дисконтованих показників ефективності інноваційних проектів , , дозволило виявити ряд особливостей фінансування інноваційних проектів за рахунок власних коштів. При цьому вважалося, що на фінансування інноваційного проекту спрямовується частка власних коштів підприємства у розмірі , а решта власних коштів можуть бути використані на розгляд керівництва підприємства. Економічно доцільним є прийняття рішення про реінвестування залишку власних коштів у цінні папери, фінансові інструменти чи у розширення обсягів виробництва продукції. Випадок, коли керівництво підприємства приймає рішення про одночасне фінансування як інноваційного проекту, так і проекту по розширенню обсягів виробництва у співвідношенні розглянутий нами детально у роботі.
Зокрема, детально проаналізована залежність показників економічної ефективності , та від обсягу власних коштів підприємства , економічної ефективності інновації та величини інвестицій та показано, що застосування періоду окупності інвестицій для оцінки інноваційних проектів з високою ефективністю, які фінансуються за рахунок власних коштів, поруч із застосуванням показника чистого приведеного доходу є невиправданим, а внутрішня норма дохідності для інноваційних проектів, які фінансуються власними коштами, визначається однозначно. Цікавим результатом є також відсутність конфлікту критеріїв , та для випадку фінансування інноваційного проекту власними коштами.
Економіко-математичний аналіз показав також, що у випадку самофінансування тривалість етапу впровадження інноваційного проекту перестає залежати тільки від технічних характеристик проекту і визначається також фінансовими характеристиками підприємства, на якому впроваджується інновація, а систематичне реінвестування власних коштів у фінансування інноваційного проекту приводить до степеневого в часі зростання прибутку від виготовлення та реалізації продукції на етапі впровадження інноваційного проекту, коли його результати починають давати економічний ефект безпосередньо в процесі впровадження інновації.
Література:
Возняк Г.В., Кузнєцова А.Я. Інноваційна діяльність промислових підприємств та способи її фінансування в Україні:
монографія. / Г.В.Возняк. - К.: УБС НБУ, 2007.- 183 c.
|