|
1.История развития, место значение теории финансов в системе экономических наук
В системе управ. деят-ю любого предприятия в совр-х условиях наиболее сложным звеном является управ-е фин. В странах с рыночной экономикой принципы и методы этого управления еще на рубеже XIX—XX веков оформились в спец-ю область знаний, получившую название «финансовый менеджмент».Ф.м. пред-т собой систему принц-в и методов разработки и реализации управ-х решений, связанных с фор-ем, распр-ем и исп-ем фин. ресурсов предприятия и организ-ей оборота его денежных средств.Выделение фин. мен. в самостоятельную научную дисциплину определилось рядом предпосылок:1)В конце XIX века экономическое развитие начало приобретать такие спец-е черты, как крупномасш. Орган-ю хозя. (а соответственно и финансовой) деят. развитие мощных корпораций, орган-ых в форме акционерных обществ.2)В связи с активным расширением акц. обществ и повышением роли фин. капитала мощный импульс к развитию получил финансовый рынок.3)В системе общей экон-ой теории были в целом сформированы основы теории финансов и теории фирмы, что обусловило возможность синтеза основных положений этих теорий в новом научном направлении. На рубеже Х1 Х-ХХ веков начато формирование основ научного управления предприятием, которое связывается с Ф. Тейлором и А. Файолем. Выделение финансового менеджмента в самостоятельную научную дисциплину, с одной стороны, было вызвано потребностями практики, а с другой, — возможностями использования соответствующего теоретического базиса, накопленного к этому периоду.Эффективное управление финансовой деятельностью предприятия обеспечивается реализацией ряда принципов, основными из которых являются:1)Интегрированность с общей системой управления предприятием2)Комплексный характер формирования управленческих решений. 3)Высокий динамизм управления. 4)Вариативность подходов к разработке отдельных управленческих решений. 5)Ориентированность на стратегические цели развития предприятия.Эффективный финансовый менеджмент, организованный с учетом изложенных принципов, позволяет формировать необходимый ресурсный потенциал высоких темпов прироста операционной деятельности предприятия, обеспечивать постоянный рост собственного капитала, существенно повышать его конкурентную позицию на товарном и финансовом рынках, обеспечивать стабильное экономическое развитие в стратегической перспективе.
Забиваем Сайты В ТОП КУВАЛДОЙ - Уникальные возможности от SeoHammer
Каждая ссылка анализируется по трем пакетам оценки: SEO, Трафик и SMM.
SeoHammer делает продвижение сайта прозрачным и простым занятием.
Ссылки, вечные ссылки, статьи, упоминания, пресс-релизы - используйте по максимуму потенциал SeoHammer для продвижения вашего сайта.
Что умеет делать SeoHammer
— Продвижение в один клик, интеллектуальный подбор запросов, покупка самых лучших ссылок с высокой степенью качества у лучших бирж ссылок.
— Регулярная проверка качества ссылок по более чем 100 показателям и ежедневный пересчет показателей качества проекта.
— Все известные форматы ссылок: арендные ссылки, вечные ссылки, публикации (упоминания, мнения, отзывы, статьи, пресс-релизы).
— SeoHammer покажет, где рост или падение, а также запросы, на которые нужно обратить внимание.
SeoHammer еще предоставляет технологию Буст, она ускоряет продвижение в десятки раз,
а первые результаты появляются уже в течение первых 7 дней.
Зарегистрироваться и Начать продвижение
2,3.Основные концепции фин. мен-та(ф.м). в совр-х условиях
Концепция (лат. conceptio)(к.) — это система взглядов, отр-щая понимание явлений и процессов, т.е. с помощью к. выражается точка зрения на сущность и напр-я развития исследуемого явления или процесса..Систему важнейших теоретических концепций и моделей, составляющих основу современной парадигмы финансового менеджмента, можно условно разделить на следующие группы:1. Концепции и модели, определяющие цель и основные параметры финансовой деятельности предприятия.2. Концепции и модели, обеспечивающие реальную рыночную оценку отдельных финансовых инструментов инвестирования в процессе их выбора.3. Концепции, связанные с информационным обеспечением участников финансового рынка и формированием рыночных цен.1-я группа:1)
К. приоритета экономических интересов собственников
. Впервые ее выдвинул амер. экономист Герберт Саймон. В приклад. значении она форм-ся как «максимизация рыночной стоимости предприятия».2) Современная портфельная теория
. Ее род-ом является Гарри Марковец. В основе этой концепции лежат методологические принципы статистического анализа и оптимизации соотношения уровня риска и доходности рисковых инструментов финансового инвестирования.3) К-я стоимости капитала.
Сущность этой к. состоит в мин. средневз-ой стоимости капитала что при прочих равных условиях обес-ет максим. Благос-ия собст-в.4) К. структуры капитала.
В основе этой концепции лежит, механизм влияния избранного предприятием соотношения собственного и заемного капитала на показатель его рыночной стоимости.5) Теория дивид. политики.
Распределение корпоративного дохода между дивидендами, капитализацией и налогами».6) Модели фин. обеспеч. устойчивого роста предприятия.
Первая из этих моделей была разработана в 1988 году американским экономистом Джеймсом Ван Хорном и изложена в его работе «Моделирование устойчивого роста».2-группа: 1)К. временной стоимости денег
играет центр-ю роль в практике фин-ых выч-ий и выражает необх-ость учета фактора времени при осущ-ии долговрем-ых фин-ых опер. путем оценки и срав-ия стоим. денег в начале фин-ия проекта и при их возврате в виде будущих денежных поступлений.К заключ. в том, что стоимость денег с течением времени изменяется с учетом нормы прибыли на финансовом рынке, в качестве которой обычно выступает норма ссудного процента. Таким образом, одна и та же сумма денег в разные периоды времени имеет разную стоимость. Стоимость денег в настоящее время всегда выше, чем в любом будущем периоде, это определяется действием трех основных факторов: инфляцией, риском неполучения дохода при вложении капитала и особенностями денег, рассматриваемых как один из видов оборотных активов.2)К. учета фактора инфляции заключается
в необ-и реального отражения стоимости активов и денежных потоков и обеспечения возмещения потерь доходов, вызываемых инфляц-ми процессами, при осущ-ии долговрем-ых фин. операций. 3)К.учета фактора риска
состоит в оценке его уровня с целью обеспечения формирования необходимого уровня доходности финансово-хозяйственных операций и разработки системы мероприятий, позволяющих мин-ать его негативные фин.последствия. Под доходностью понимают отношение дохода, создаваемого определенным активом, к величине инвестиций в этот актив. Предпр-ая деят-ть всегда сопряжена с риском. В то же время между риском и дох-ю этой деят-и обычно прослеживается четкая зависимость: чем выше требуемая или предполаг. дох-ть (т.е. отдача на вложенный капитал), тем выше степень риска, связанная с возможностью неполучения этой доходности, и наоборот. При принятии управ-их решений могут ставиться различные задачи, в том числе: максим. доходности или миним. риска, но, как правило, чаще речь идет о достижении разумного соот-ия между риском и доходностью. В рамках ф. м. категория риска имеет важное значение при принятии решений по структуре капитала, форм-ю инвест. портфеля, обос-ю дивидендной политики и др.3-я группа:1) Гип-за эфф-и рынка
. Отражает завис. ценовой эффект-и фондового рынка от уровня информ-ого обеспеч. его участников. В завис. от условий информац. обеспеч. уча-ов следует различать слабую, среднюю (полусильную) и сильную ценовую эффек-ть фондового рынка.2) Конц.агентских отношений
. К-я предполагает, что деятельность менеджеров (агентов) лишь тогда будет направлена на реализ-ю главной цели управ-я фин., если она будет доп-но стимул-ся их участ. в прибыли и соответ-но эффективно контр-ся соб-ками.3) К-я асимметрической информации.
Сущность ее в том, что потенц. инвесторы — возможные покуп-ли ценных бумаг компании располагают о ее деятельности меньшим объемом информации, чем ее менеджеры. В результате асим.инф. инвесторы несут впоследствии опред-ые фин. потери.4) Арбитражная теория ценообразования.
Основу этой теории сост-т положение о том, что на конкур-х фин. рынках «арбитраж» (спекул. Опер-и, основанные на разнице рын. цен на отдельных рынках) обеспечивает вырав-ие реальных рын-х цен отдельных фин-ых активов в соотв-и с уровнем их риска и доходности.
Сервис онлайн-записи на собственном Telegram-боте
Попробуйте сервис онлайн-записи VisitTime на основе вашего собственного Telegram-бота:
— Разгрузит мастера, специалиста или компанию;
— Позволит гибко управлять расписанием и загрузкой;
— Разошлет оповещения о новых услугах или акциях;
— Позволит принять оплату на карту/кошелек/счет;
— Позволит записываться на групповые и персональные посещения;
— Поможет получить от клиента отзывы о визите к вам;
— Включает в себя сервис чаевых.
Для новых пользователей первый месяц бесплатно.
Зарегистрироваться в сервисе
4. Теория структуры капитала Миллера-Модильяни (М и М) для совершенного рынка
В 1958 г. Модильяни
и Миллер
пришли к выводу, что стоимость любой фирмы опред-ся исключит. ее будущ. доходами и не завис. от структуры ее кап-ла. М и М, исходя из жестких заданных условий, включающих наличие идеальных рынков капитал
а ( 1) полное отсутствие транзакционных затрат; 2) отсутствие каких-либо налогов; 3) наличие больш. числа покуп-ей и продавцов, вследствие чего действия отд. продавца или покуп-ля не влияют на цену соответств. цен. бумаги; 4) равный доступ на рынок для юр. и физ. лиц; 5) отсутствие затрат на инфор-ное обеспеч-е, что предполагает равнодоступность информации; 6) одинаковые (однородные) ожидания у всех действующ. лиц; 7) отсут-ие затрат, связ. с фин. затруднениями)
, док-ют с помощью идеи арбитражных операций, что стр. кап-ла не влияет на стоим-ть фирмы. Суть док-ва сост. в том что: если финанс-ие деят-ти фирмы более выгодно за счет ЗК
, а не за счет собств. ист-ов, то владельцы акций комп-и со смешан. струк-ой кап-ла предпочтут продать часть акций своей фирмы, использовав выруч. средства на покупку акций фирмы, не пользующ. привлеч. источ-ми, и восполнив недостаток в фин. ресурсах засчет ЗК. Одновремен. операции с цен. бум-ми фирм с относит. высокой и относит. низкой долей ЗК приведут к тому, что цены таких фирм будут примерно совпадать. Т.о.
, стоимость акций фирмы не связана с соотнош-ем между ее ЗК и СК. Однако, концепция М и М является верной лишь при наличии опред. предпосылок.
В 1963 г. М и М опублик. 2-ю работу, в кот-ой ввели в свою первонач. модель такой фактор, как налоги на корпорации. С учетом наличия налогов было показано, что цена акций фирмы непосред-но связана с исп-ем этой фирмой ЗК
: чем выше доля ЗК, тем выше и цена акций. Согласно пересмотренной теории М и М, фирмам следовало бы финансир-ся на 100% за счет ЗК, так как это обеспечило бы им наивысшие курсы акций. Однако обычно доля займов в капитале фирмы бывает весьма далека от 100%. Позднее различ. исслед-ли, пытаясь модифицир. теорию М и М, для того чтобы объяснить фактич. положение вещей, смягчали многие из первонач. предпосылок. Модифицир-ая с учетом фактора затрат фин. затруднений теория М и М утверждает: 1) наличие опред. доли ЗК идет на пользу фирме; 2) чрезмер. исп-ие ЗК приносит фирме вред; 3) для каждой фирмы существует своя оптим. доля ЗК.
Т.о. модифиц. теория М и М, именуемая теорией компромисса между экономией от снижения налоговых выплат и финансовыми затратами, позволяет лучше понять факторы, от которых зависит оптимальная структура капитала.
5.Теория убывающей полезности
Ведущую роль в современной экономической науке, развитой Вальрасом и Джевонсом, сыграла не только теория максимизации удовлетворенности. Аксиома об убывающей полезности со времен этих экономистов до сегодняшнего дня продолжает оставаться одним из основных инструментов экономических исследований. Тот факт, что определенная часть продукта а
тем менее ценна для владельца, чем большим количеством продукта а
он обладает, прекрасно объясняет приобретения обеих сторон в процессе обмена: каждая сторона отказывается от "последних" долей товара, которого у нее много, чтобы приобрести "первые" доли товара, которого у нее нет. Два набора товаров а
и b,
первоначально сосредоточенные в разных руках, возрастают в стоимости в процессе обмена, поскольку последние доли товара а,
мало полезные для А,
переходят в руки В,
для которого они имеют большую полезность, в то время как А
приобретает у В
последние доли товара b,
которые более ценны для него, чем для предыдущего владельца.
В этой операции обмена надо учитывать два обстоятельства. Отказываясь от последних долей товара а,
владелец А
мало теряет, тогда как, приобретая первые доли товара b,
он многое получает. Предположим теперь, что он настолько обеспечен товарами b, с
... п,
что не намерен приобретать товар b,
а отказ от последних долей товара а
для него по-прежнему лишь небольшая жертва, в то время как для В
приобретение первой доли товара а
-- большой выигрыш. То есть, можно сказать, что при смене владельца потребительская стоимость этой части товара а
возрастает.
Таким образом, от аксиомы убывающей полезности мы переходим к предположению об убывающей полезности дохода. Выдающимся экономистам не составило труда распространить аксиому убывающей полезности на доходы. Так, проф. Пигу писал: "Очевидно, что любое перемещение доходов от относительно богатого человека к относительно бедному примерно такого же характера должно увеличить общую сумму удовлетворенности, поскольку это обеспечивает удовлетворение более насущных потребностей за счет менее насущных" [Pigou, Economics of Welfare, 4th ed. (London, 1948), p. 89]. Благодаря своей простоте это утверждение воспринимается легче, чем утверждение проф. Лернера: "Общая удовлетворенность максимизируется таким распределением доходов, которое уравнивает предельные полезности доходов всех членов общества" [A. P. Lerner, The Economics of Control, 3rd ed. (1947), chap. II, p.29].
Предельная полезность дохода -- это модный термин для обозначения удовлетворенности или удовольствия, получаемого от последней единицы дохода. Допустим, эта единица равняется 10 фунтам. Утверждение проф. Лернера означает, что доходы хорошо распределены, если потеря 10 фунтов будет одинаково переживаться всеми членами общества. Утверждение проф. Пигу означает, что передача 10 фунтов из одних рук в другие оправдана, если новому владельцу эта сумма принесет больше удовлетворенности, чем предыдущему.
Проф. Роббинс со свойственным ему изяществом утверждал [L. Robbins, An Essay on the Nature and Significance of Economic Science, 2nd ed. (London, 1935), chap. VI], что распространение теории убывающей полезности на доходы не оправдано потому, что применение маржиналистской теории в этой сфере подразумевает сравнение степеней удовлетворенности разных людей. Это опять заводит в ту ловушку, которой стремятся избежать при разумном применении этой теории. Удовлетворенность разных людей, утверждает Роббинс, нельзя мерить одной меркой.
Этот аргумент неожиданно оказался спасительным для приверженца экономики благосостояния, который взвалил на себя невыполнимую задачу уравнивания предельных полезностей для разных индивидов. Доказав, что это является патовой ситуацией, проф. Роббинс тем самым невольно вызвал следующий ход: "Вероятная величина общей удовлетворенности максимизируется при равном
распределении доходов" (Лернер) [Lerner, The Economics of Control, pp. 29--32]. Нет необходимости подробно приводить доказательство проф. Лернера, которое опирается на в высшей степени искусственные предпосылки: первоначальное равенство доходов и то, что отклонения от этого равенства являются случайными. Силу аргумента равного распределения определяют не столько эти формальные рассуждения, сколько другое. Если равное распределение предлагается как средство максимизации удовлетворенности, те, кто выступает против него, возлагают на себя бремя доказательства того, что получателям больших доходов необходимо и больше удовольствия для достижения того же уровня полезности, а это не может не шокировать демократическое общество.
6. Теория предельной полезности.
Тео́рия преде́льной поле́зности
или преде́льных изде́ржек
— концепция в политэкономии, возникшая в последней трети XIX века, является противовесом теории трудовой стоимости К. Маркса. Теория разрабатывалась представителями австрийской школы: К. Менгером, Э. Бём-Баверком, Ф.ф. Визером, Й. Шумпетером, а также Л. Вальрасом (Лозаннская школа) и У. С. Джевонсом. Основные положения теории предельной полезности были сформулированы еще Г. Г. Госсеном в надолго всеми забытой работе 1844 г., а начало массированного проникновения маржиналистских идей в экономическую литературу следует отнести только к середине 1880-х годов. Сам термин «предельная полезность»
(нем. Grenznutzen
) впервые использовал Ф.ф. Визер. Согласно теории предельной полезности
, ценность товаров определяется их предельной полезностью
на базе субъективных оценок человеческих потребностей. Предельная полезность какого-либо блага обозначает ту пользу, которую приносит последняя единица этого блага, причём последнее благо должно удовлетворять самые маловажные нужды. При этом редкость товара объявляется фактором стоимости. Субъективная стоимость — это личная оценка товара потребителем и продавцом; объективная же ценность — это меновые пропорции, цены, которые формируются в ходе конкуренции на рынке. По мере постепенного насыщения потребностей субъекта полезность вещи падает. Теория предельной полезности
пытается дать совет, как наилучшим образом распределить средства для удовлетворения потребностей при ограниченности ресурсов. Современные экономисты используют теорию предельной полезности
, акцентируя внимание на изучении закономерностей потребительского спроса, анализе предложения, исследовании рынков и ценообразования на микроэкономическом уровне.
7. Внутренняя и временная стоимость опциона.
Первая часть стоимости опциона – внутренняя стоимость. Эта стоимость представляет собой часть премии опциона, равную количеству пунктов, которые переводят опцион в состояние «в деньгах». Другими словами – это разница, на которую страйк опциона пут выше спотовой цены базового актива или разницей, на которую страйк опциона колл ниже спотовой цены его актива. Только опционы «в деньгах» могут обладать внутренней стоимостью.
Временная стоимость это – сумма, на которую премия за опцион превышает его внутреннюю стоимость. Со временем, с приближением даты экспирации опциона, ее величина уменьшается. Так, за несколько месяцев до даты истечения контракта, временная стоимость может составлять величину весьма существенную: для опционов в состоянии «около денег» или «вне денег» вся выплачиваемая за опцион премия являет собой временную стоимость. Но, с приближением экспирации опциона, временная стоимость уменьшается и делает это с ускорением. А к дате исполнения контракта сравнивается с нулем. Также, временная стоимость склонна падать в случае опциона глубоко «в деньгах». Итак, Премия опциона = Временная стоимость + Внутренняя стоимость
Рассмотрим сказанное на примере работы с фьючерсом на золото. Пусть у нас есть опцион пут на фьючерс на аффинированное золото в слитках со страйком в 28 долларов. По такому опциону премия составит 2 доллара. Допустим, спотовая цена этого фьючерса равна 26.5 долларов за один контракт. Попробуем определить внутреннюю и временную стоимость.
Внутренняя стоимость опциона пут = цена базового актива – цена страйк = 28 – 26.5 = 1.5 доллара. Следовательно, временная стоимость этого опциона будет равна: премия за опцион – внутренняя стоимость = 2 – 1.5 = 0.5 доллара.
Чтобы сказанное было более понятно, попробуем перефразировать. Так, когда вы приобретаете опцион, вам нужно заплатить продавцу премию. Часть из этой премии будет отдана за базовый актив и, если спотовая цена на него не изменится к моменту экспирации контракта, то эти деньги вам вернутся. Эта честь премии и является внутренней стоимостью. Ну, а касательно второй части премии, то ее, образно говоря, вы платите за надежду, что спотовая стоимость базового актива изменится в благоприятную для вас сторону. Эта часть является временной стоимостью.
Естественно, с приближением срока истечения контракта уменьшается надежда, а за ней и временная стоимость. И на момент экспирации она сравняется с нулем, а премия будет равна внутренней стоимости.
Для опциона в состоянии «около денег», временная стоимость была бы сравнительно высокой, но как только опцион вышел бы в деньги, она бы стремительно уменьшилась. А для опциона «вне денег», премия была бы равна только временной стоимости. Выходя из опциона в деньги, временная стоимость быстро падает, и премия опциона практически равняется его внутренней стоимости. То же можно сказать и про приближение срока истечения контракта.
Вот мы и разобрались, что на ценообразование опциона влияет стоимость базисного актива и время, оставшееся до истечения срока опциона. Но есть и ряд других факторов. Среди них можно выделить ценовую изменчивость.
Эта изменчивость является мерой колебания стоимости базового актива опциона. Когда колебания цен значительны, риск продавцов опционов возрастает, а за ним повышается и размер премии, которую они требуют. А, продавая опционы, в качестве базовых активов которых используются активы с достаточно стабильными ценами, размер премии уменьшают. Во времена нестабильных внешних факторов (кризисы, выборы, войны и т.п.) люди теряют уверенность в будущем, что выливается в более высокие премии на опционы.
8. Теория арбитражного ценообраз-ния(ТАЦ).
Арбитраж (arbitrage) - операции по покупке определенного вида товара (иностранная валюта, акции, облигации, золото или серебро) или его эквивалента на одном рынке с одновременной продажей его или его эквивалента на том же рынке или других рынках с разницей или спредом, имеющими положительное значение, по крайней мере временно, в силу особых условий на каждом рынке. В основу ТАЦ заложено одно утверждение: в условиях равновесного рынка арбитраж (любого вида) невозможен. Если такая возможность есть, рынок быстро ее «ликвидирует».
Под арбитражем понимается получение гарантированной прибыли на фондовом рынке. Дальнейшие рассуждения по поводу невозможности создания арбитражного портфеля приводят к основному уравнению ценообразования активов, которое и может рассматриваться как практический результат теории. Согласно этому уравнению на изменение стоимости актива влияет не только рыночный фактор (стоимость рыночного портфеля), но и другие, в том числе нерыночные, факторы риска - курс национальной валюты, стоимость энергоносителей, уровень инфляции и безработицы и так далее. Если в качестве факторов риска рассматривать только один - стоимость рыночного портфеля, то уравнение совладает с уравнением САРМ.
Ожидаемая доходность отдельной акции в концепции АРТ рассчитывают по формуле:

где n - число факторов риска; i - реакция (чувствительность) ожидаемой доходности акции на изменение значения i-го фактора риска; о - доходность безрисковых вложений; i - премия за риск, обусловленный i-м фактором.
ТАЦ была разработана американским профессором Стефеном Россом в 1976. Основу этой теории составляет положение о том, что на конкурентных финансовых рынках «арбитраж» (спекулятивные операции, основанные на разнице рыночных цен на отдельных рынках) обеспечивает выравнивание реальных рыночных цен отдельных финансовых активов в соответствии с уровнем их риска и доходности. Позднее (в 1984 г.) на основе конкретизации этих факторов данные модели оценки были уточнены Ричардом Роллом и Стефеном Россом в работе «Использование ТАЦ при стратегическом план-нии инвестиционного портфеля».
9. История развития и значение портфельной теории в современных финансах.
Начальный этап развития теории инвестиций, относится к 20-30-м годам ХХ-го столетия и является периодом зарождения теории портфельных финансов как науки в целом. Этот этап представлен работами И. Фишера по теории процентной ставки и приведенной стоимости: критерии оценки инвестиций никак не связаны с тем, предпочитают ли индивидуумы настоящее потребление потреблению в будущем. И мот, и скупец единодушны относительно суммы, которую они хотят инвестировать в реальные активы. Поскольку они пользуются одними и теми же инвестиционными критериями, они могут скооперироваться в одном предприятии и передать функции по его управлению профессиональному управляющему-менеджеру. Задача менеджеров-максимизировать чистую приведенную стоимость. Эти теоретические положения были подкреплены бурным расцветом индустрии первых взаимных фондов в США, активно спекулировавших в то время на американском биржевом рынке.
Начало современной теории инвестиций это 1952 г., когда появилась статья Г. Марковица под названием "Выбор портфеля". Впервые была предложена математическая модель формирования оптимального портфеля ценных бумаг, и были приведены методы построения таких портфелей при определенных условиях. Именно он первым привлек внимание к общепринятой практике диверсификации портфелей. Он продолжил разработку основных принципов формирования портфеля. Эти принципы послужили основой для многих работ, описывающих связь между риском и доходностью. К середине 60-х г. заканчивается первый этап развития современной теории инвестиций в том виде, который придали ей Марковиц и Тобин. С 1964 г. Появляются три работы открывшие следующий этап в инвестиционной теории, связанный с так называемой моделью оценки капитальных активов, или САРМ (Capital Asset Price Model).САРМ является самой значительной и влиятельной современной финансовой теорией. Практические руководства по финансовому менеджменту в части выбора стратегии долгосрочного инвестирования и по сей день основываются исключительно на САРМ. В 1977 г. эта теория была подвергнута жесткой критике в работах Р. Ролла. Он высказал мнение, что САРМ нужно отбросить, поскольку ее в принципе нельзя эмпирически проверить. Несмотря на это, САРМ остается, вероятно, наиболее значительной и наиболее влиятельной современной финансовой теорией. Более того: на ее основе была разработана формула ценообразования на опционы, названная в честь американских ученых Ф. М. Скоулз и Ф. Блэк совершили прорыв в этой области, разработав метод определения стоимости опциона, не требующий использования конкретной величины премии за риск. Однако это не означает, что премии за риск нет: просто она включена в цену акции. Именно эту идею оба ученых впервые обосновали в работе "Ценообразование на опционы и пассивы корпораций" (1973 г.).
В целом к 80-м гг. инвестиционная теория синтезирующая портфельную теорию Марковица-Тобина и САРМ, получает широкое применение.
10.
CVP
– анализ.
CVP -анализ (Cast Value Profit – затраты, объем, прибыль) – метод оптимального распределения ресурсов по видам продукции и принятия решения о производстве товаров. CVP-анализ также зачастую называют определением точки безубыточности. Он помогает определить объем продаж, необходимый для покрытия затрат и достижения желаемой прибыли. CVP -анализ также позволяет определить, как повлияют на прибыль изменения цены продаж, переменных и постоянных затрат, а также доходов.
Операционный анализ — это элемент управления затратами, сущность которого состоит в изучении зависимостей финансовых результатов деятельности хозяйствующего субъекта от издержек и объемов производства и реализации продукции, товаров, услуг. Данный вид анализа считается одним из наиболее эффективных средств планирования и прогнозирования деятельности предприятия, он может быть использован в ценообразовании. В специальной литературе вместо термина «операционный анализ» могут быть также использованы термины «анализ безубыточности», «CVP-анализ (costs, volume, profit — анализ „затраты-объем-прибыль“)»
Центральными элементами операционного анализа являются:
-маржинальный доход
-порог рентабельности или точка безубыточности
-маржинальный запас прочности = (выручка фактическая - выручка пороговая)/выручка фактическая * 100%
-операционный рычаг ( производственный леверидж)
11. Система внутренних нормативов, регулирующих финансовое развитие предприятия
Система внутренних нормативов, регулирующих финансовое развитие предприятия
. В эту систему включаются нормативы размеров отдельных видов активов предприятия, нормативы соотношения отдельных видов активов и структуры капитала, нормативы удельного расхода финансовых ресурсов и затрат и т.п.
12. Доходы и расходы во внешнеторговой деятельности.
Формирование денежных доходов во внешнеторговой деятельности – результат формирования согласованного уровня внешнеторговой цены. Доходы во многом выступают производными от дележа той денежной формы стоимости, которая выступает объектом обязательного платежа. Обязательного для проведения и завершения сделки, но в существенной части не обязательного для покрытия именно этой, а не другой стороной сделки. Предприятия и организации экспортеры и импортеры несут денежные расходы, связанные с экспортом и импортом продукции и товаров на основе принципа четкого разделения денежных расходов, т.е. в рамках контрактной цены и сверх нее. Основа для такого разделения – международные правила и обычаи торговли, а также коммерческая практика калькулирования контрактной цены. Расходы сверх контрактной цены могут быть подразделены на предусматриваемые в договорах-контрактах отдельно в виде специальных оговорок по особым условиям и не предусматриваемые в них, а задаваемые принятым базисом поставки и оплачиваемые в соответствии с установившимися правилами международной торговли. К первым денежным расходам, например, может быть отнесена оплата времени простоя судна в акватории порта в ожидании разгрузки, расходы по выставлению аккредитива, улучшению (изменению) упаковки груза соответствующей международным стандартам. Ко вторым – расходы по доставке груза в точку отправления, по страхованию груза, фрахту транспорта и другие расходы.
Денежные расходы, связанные с внешнеэкономической деятельностью предприятий, фирм, компаний включают:
средства, авансированные производителем-экспортером в создание новой стоимости в части товаров, перемещаемых за пределы территории страны;
средства, авансированные на покупку товаров покупателем-экспортером для последующей их поставки за рубеж;
средства, авансированные покупателем-импортером в оплату собственно стоимости ввозимых товаров (чистая стоимость товара, т.е. за вычетом транспортной составляющей в цене);
транспортные расходы продавца-экспортера и покупателя-импортера;
другие денежные расходы, связанные с обеспечением сделок купли-продажи товаров, работ, услуг, проведением иных операций во внешнеэкономической сфере.
Первые три вида денежных расходов представляют собой непосредственные денежные расходы предприятий, фирм, компаний (включая оплаченные налоги) на предмет экспорта и импорта, которые призваны быть возмещенными по результатам исполнения внешнеторговых контрактов. В противном случае теряется смысл самих внешних операций.
Внешнеторговая цена складывается из собственно отпускной и транспортных расходов. Транспортные расходы по доставке товара возмещаются продавцу-экспортеру. Эти расходы он несет по базисным условиям поставки, но оплачивает их покупатель в составе цены товара, поскольку расходы по доставке товара поставщиком автоматически включаются в контрактную или внешнеторговую цену на товар. Таким образом, сточки зрения действительной отпускной цены за товар транспортные расходы поставщика есть надбавка к этой цене, а с точки зрения теории воспроизводства – элемент издержек, неотъемлемая составная часть цены, а не надбавка к ней.
Покупатель несет транспортные расходы по базису поставки и они в ходе сделки не возмещаются. Транспортные расходы во внешнеторговой цене занимают в среднем 30-40% от внешнеторговой цены на товар. В составе транспортных расходов продавца могут быть суммы денежных расходов на:
подготовку товара к экспорту, оплату погрузки и перевозки товара железной дорогой, автомобилями, самолетами и судами от пункта отправления до промежуточных пунктов погрузки;
погрузку (перегрузку) товара на транспортные средства покупателя;
перевозку товара международным транспортом (фрахт);
страхование экспортируемого товара на условиях СИФ и СИП;
хранение товара в пункте назначения, его перезагрузку, смену тары в пункте назначения;
разгрузку в порту, или пункте назначения;
экспортно-импортную очистку товаров;
покрытие других денежных расходов, включаемых в состав транспортных.
Денежные расходы на страхование на условиях СИФ, или СИП – обязательное страхование для покупателя в условиях высоких рисков порчи товара. Страховые взносы при этом, которые уплатит поставщик, будут включены в экспортную цену контракта и не подлежат возмещению покупателю в случае не наступления страхового случая. Компенсация будет иметь место лишь при наступлении страховых случаев, обычно это минимально контрактная цена плюс десять процентов к ней. Большинство базисов поставок не требуют заключения договора страхования.
В денежных расходах следует различать расходы на экспортную очистку и импортную очистку товаров. Обе разновидности состоят из денежных расходов по таможенному оформлению товаров при ввозе, или вывозе. В их составе: таможенные сборы, экспортные, импортные пошлины, налоги и иные платежи, которые связаны с перемещением сырья, других товаров через границу, например, расходы на получение экспортной, или импортной лицензий.
По сложившейся внешнеторговой практике часть вышеперечисленных денежных расходов возмещаются продавцу в контрактной цене. Другая часть расходов может делиться между продавцом и покупателем в соответствии с договором и в зависимости от конкретных условий поставки продукции. Все расходы до станции отправления оплачивает поставщик, чаще всего он несет издержки и по транспортировке груза до станции (порта, пристани) назначения. Сюда включаются также расходы по оформлению документов и платежи на выходном для груза таможенном терминале.
Расходы, связанные с пересечением грузов границы при экспорте и импорте товаров, оплачиваются экспортерами и импортерами, как правило, в иностранной валюте, исходя из объявленной таможенной стоимости товаров и установленных законодательством ставок платежа на единицу таможенной стоимости. Определение размера экспортной пошлины осуществляется исходя из таможенной стоимости за единицу экспортируемого товара, оцененного по рыночным ценам. Отклонения от принятых цен вниз как по экспорту, так и по импорту ведет к расследованию таможенными органами факта занижения стоимости товара.
Предприятия и организации уплачивают и другие платежи.
Совокупный таможенный платеж может включать не только таможенную пошлину по ставке к таможенной стоимости товара, но и налог на добавленную стоимость, акцизы. Он может быть унифицированным, или исчисляться по-разному для физических и юридических лиц. Расходы на растаможивание груза осуществляются предприятиями, фирмами, компаниями в иностранной валюте, а по отдельным распоряжениям правительства могут уплачиваться в рублях.
Главным денежным расходом предприятий и организаций, осуществляющим внешнеторговую деятельность по импорту товаров, выступают денежные затраты на приобретение валюты. Проведение сделок в валюте требует рублевого резервирования для импортеров. Это частично необходимо и экспортерам, так как многие из них осуществляют закупки оборудования за рубежом для поддержания уровня и развития экспортных возможностей. Собственно курсовая стоимость приобретения валюты лишь часть денежных затрат на ее приобретение. В состав последних также входят комиссионные, взимаемые валютной биржей для компенсации своих операционных затрат по организации торгов, комиссионные валютному дилеру за услуги по приобретению валюты на бирже, комиссионные банку, если он не является валютным дилером, проценты по рублевым кредитам, полученным на цели приобретения иностранной валюты и т.п.
Денежные расходы, связанные с экспортом товаров можно подразделить на покрываемые в рублях по производимой, добываемой, заготовляемой продукции, сырью, полезным ископаемым, и на валютную часть расходов по экспорту, платежи по финансированию которых осуществляются, как правило, в иностранной валюте. Вопреки обычным представлениям экспорт также затратен. Денежные рублевые и валютные затраты по экспорту включают: установленные платежи, связанные с лицензированием экспорта и его квотированием, расходы связанные с оформлением пакета документации, включая сертификацию и экспертизу образцов экспортируемых товаров, платежи за транзит экспортируемого товара через территории государств, суммы транспортных расходов за перевозку грузов до станции назначения страны получателя и другие расходы.
Иностранные организации, осуществляющие свою деятельность через постоянные представительства, а также получающие доходы от источников в Российской Федерации уплачивают налог на прибыль. При этом, прибыль исчисляется как разница между полученными через них доходами и величиной произведенных этими представительствами расходов.
13. Ценообразование на рынке финансовых активов.
14. Задачи финансовых служб и организация оперативного финансового планирования.
Под финансовой службой предприятия понимается самостоятельное структурное подразделение, выполняющее определенные функции в системе управления предприятием. Обычно таким подразделением является финансовый отдел. Его структура и численность зависят от организационно-правовой формы предприятия, характера хозяйственной деятельности, объема производства и общего количества работающих на предприятии.
Характер хозяйственной деятельности и объем производства определяют величину денежного оборота, количество платежных документов, связанных с расчетами с другими предприятиями -- поставщиками и покупателями (заказчиками), с коммерческими банками, другими кредиторами, бюджетом. Количество работающих влияет на объем кассовых операций и расчетов с рабочими и служащими.
Основные направления финансовой работы на предприятии -- финансовое планирование, оперативная и контрольно-аналитическая работа.
В области планирования финансовая служба выполняет следующие задачи:
* разработку проектов финансовых и кредитных планов со всеми необходимыми расчетами;
* определение потребности в собственном оборотном капитале;
* выявление источников финансирования хозяйственной деятельности;
* разработку плана капитальных вложений с необходимыми расчетами;
* участие в разработке бизнес-плана;
* составление кассовых планов;
* участие в составлении планов реализации продукции и определение плановой суммы балансовой прибыли и расчет показателей рентабельности.
Оперативная работа финансовой службы решает многочисленные задачи, основными из которых являются следующие:
* обеспечение в установленные сроки платежей в бюджет, выплат процентов по краткосрочным и долгосрочным ссудам банков, выдачи заработной платы работникам и других кассовых операций, оплата счетов поставщиков за отгруженные товарно-материальные ценности, услуги и работу;
* обеспечение финансирования затрат плана;
* оформление кредитов в соответствии с договорами;
* ведение ежедневного оперативного учета: реализации продукции, прибыли от реализации, других показателей финансового плана;
* составление сведений о поступлении средств и справок о ходе выполнения показателей финансового плана и финансового состояния.
Контрольно-аналитическая работа. Финансовые службы осуществляют постоянный контроль над выполнением показателей финансового, кассового и кредитного планов, планов по прибыли и рентабельности, следят за использованием по назначению собственного и заемного капитала, за целевым использованием банковского кредита.
На многих предприятиях, входивших в состав крупных объединений, вообще не существовало финансовых служб, а оформлением расчетных и платежных документов занимались один-два человека из числа работников бухгалтерии.
В современных условиях хозяйствования финансовая работа приобретает качественно новое содержание, что объективно связано с изменением отношений собственности и становлением предприятий различных организационно-правовых форм, основанных на негосударственных формах собственности, приватизацией государственных и муниципальных предприятий, самостоятельностью предприятий как хозяйствующих субъектов, в том числе и в области внешнеэкономической деятельности.
На МП (индивидуальных частных или товариществах с ограниченной ответственностью) с небольшими оборотами и незначительной численностью работающих функции финансиста могут быть объединены с функциями бухгалтера, но на более крупных предприятиях, особенно в форме акционерных обществ открытого или закрытого типа, наличие финансовой службы в системе управления предприятием необходимо.
В рыночных условиях хозяйствования важнейшими задачами финансовых служб являются не только выполнение обязательств перед бюджетом, банками поставщиками, работниками предприятия, всех остальных финансовых обязательств, организация расчетов, контроль за использованием собственных и заемных средств, но и организация финансового менеджмента, который включает все перечисленные задачи и содержит качественно новые.
Кратко финансовый менеджмент можно определить как организацию управления финансовыми потоками в целях наиболее эффективного использования собственного и привлеченного капитала и получения максимальной прибыли. Финансовый менеджмент предполагает разработку определенной финансовой стратегии и тактики на основе анализа финансовой отчетности с помощью системы показателей и прогнозирования доходов в зависимости от изменения структуры активов и пассивов предприятия. Совершено очевидно, что меняет прежние представления о структуре финансовой службы и ее месте в системе управления предприятием.
Аппарат управления финансами становится важнейшей частью общего аппарата управления хозяйствующего субъекта. На крупных предприятиях может быть создана финансовая дирекция во главе с финансовым директором или главным финансовым менеджером. Она образуется по решению правления акционерного общества или дирекции предприятия.
Финансовая дирекция имеет структуру, зависящую от характера хозяйственной и финансовой деятельности, организационно-правовой формы хозяйствующего субъекта. Подразделениями финансовой дирекции могут быть, например, финансовый отдел, планово-экономический отдел, бухгалтерия, бюро или сектор экономического анализа, отдел валютных операций и др. Структура, функции и ответственность всех подразделений, их взаимоотношения с другими звеньями управления должны быть определены Положением о финансовой дирекции.
Деятельность финансовой службы подчинена главной цели -- обеспечению финансовой стабильности предприятия, созданию устойчивых предпосылок для экономического роста и получения прибыли. Основное содержание финансовой работы заключается в:
* обеспечении финансовыми ресурсами хозяйственной деятельности;
* организации взаимоотношений с финансово-кредитной системой и другими хозяйствующими субъектами;
* сохранении и рациональном использовании основного и оборотного капитала;
* обеспечении своевременности платежей по обязательствам предприятия в бюджет, банки, поставщикам и работникам. Иными словами, сущность финансовой работы состоит в обеспечении кругооборота основного и оборотного капитала и поддержании финансовых отношений, сопутствующих коммерческой деятельности.
15. Венчурное финансирование инвестиций.
Венчурное финансирование — это долгосрочные (5-7 лет) высокорисковые инвестиции частного капитала в акционерный капитал вновь создаваемых малых высокотехнологичных перспективных компаний (или хорошо уже зарекомендовавших себя венчурных предприятий), ориентированных на разработку и производство наукоёмких продуктов, для их развития и расширения, с целью получения прибыли от прироста стоимости вложенных средств.
Типы венчурного финансирования
Пакеты венчурного финансирования могут быть различного типа.
Тремя основными являются:
1Обычные акции.
2Привилегированные акции.
3Кредит.
Если вы открываете новый бизнес, рассчитывать на банковские кредиты не приходится — финансовые структуры считают финансирование такого рода деятельности рискованным мероприятием. В этом случае выходом может стать венчурное финансирование — привлечение венчурных инвестиций. Такие инвестиции предоставляются, как правило, высокотехнологичным компаниям. Задача венчурного инвестора — вложить деньги в перспективный малый или средний бизнес и получить сверхприбыль, продав свою долю в компании.
Венчурный капитал может поступать из различных источников. Это могут быть деньги крупных компаний, государства, специализированных инвестиционных фондов или банков. Венчурными инвестициями в России чаще всего занимаются именно крупные компании, имеющие свободные средства. В последнее время увеличилась доля венчурного финансирования со стороны государства — во многих регионах России появились специальные фонды. Что касается частных инвестиционных фондов, то их деятельность сильно ограничена законодательно, а банки попросту не рискуют заниматься венчурным финансированием.
Как уже говорилось выше, главная цель венчурного инвестора — получение сверхприбыли после продажи своей доли в компании. И самое первое, что делает инвестор - выбирает объект для венчурных инвестиций. По словам специалистов, главный акцент при поиске инвестор делает не на новшество или изобретение, а на предпринимательские качества изобретателя. Поэтому одним из важнейших моментов на этапе выбора проекта является грамотный бизнес-план и способность его реализовать.
После выбора проекта, знакомства с предпринимателем, компанией и бизнес-планом, между бизнесменом и венчурным инвестором проводятся переговоры, компания подвергается различного рода проверкам, подписываются договора. После этого происходит сам процесс инвестиций, которые могут быть предоставлены в виде покупки доли компании, предоставления займа и так далее. В дальнейшем венчурный инвестор, как правило, имеет определенный контроль над компанией и может влиять на происходящие в ней процессы.
Обычно срок венчурного финансирования составляет около трех-пяти лет. По истечении времени инвестор выходит из бизнеса, продавая свою долю основному собственнику или третьей стороне — к примеру, стратегическому инвестору.
16. Ценообразование на рынке опционов.
Одним из важных вопросов функционирования рынка опционов является вопрос определения величины премии или цены опционов. Рассмотрим основополагающие моменты данной проблематики на основе опционов на акции.
Границы премии опционов на акции, по которым не выплачиваются дивиденды
Стоимость американского и европейского опционов колл к моменту истечения срока действия контрактов
Ответим на вопрос, сколько будет стоить опцион колл непосредственно перед истечением срока его действия. В этот момент его стоимость может принимать только два значения. Если Р < X (где: Р — цена спот акции в момент истечения опциона, X — цена исполнения), то премия равна нулю, поскольку покупка такого опциона не принесет инвестору никакого выигрыша. Если Р > X, то премия составит Р — X, т. е. равна его внутренней стоимости. При нарушении данного условия возникает возможность совершить арбитражную операцию. Поясним сказанное на примерах.
Пример 1.
Перед моментом истечения контракта цена опциона меньше его внутренней стоимости и равна 5 руб., цена исполнения — 100 руб., спотовая цена акции — 110 руб. Тогда арбитражер купит опцион за 5 руб., исполнит его (т. е. купит акцию по контракту за 100 руб. ) и продаст акцию на спотовом рынке за 110 руб. Его выигрыш составит 5 руб.
Пример 2.
Перед истечением срока действия контракта цена опциона больше его внутренней стоимости и равна 15 руб., цена исполнения — 100 руб, цена акции — 110 руб. Тогда арбитражер продает опцион и покупает акцию. Его затраты равны 95 руб. Если покупатель контракта исполняет опцион, то арбитражер поставляет ему акцию за 100 руб. и получает выигрыш в 5 руб. В случае неисполнения опциона после истечения его срока арбитражер продает акцию за 110 руб. и получает прибыль в размере 15 руб.
Стоимость американского и европейского опционов пут к моменту истечения срока действия контрактов
Непосредственно перед истечением срока действия контрактов цена опциона пут может принимать только два значения. Если Р ≥ X, премия равна нулю. Если Р < X, она составит X — Р. При нарушении последнего условия можно совершить арбитражную операцию.
Верхняя граница премии опциона колл в любой момент времени действия контракта не должна быть больше цены спот акции, т. е. с ≤ S, где: с — премия опциона колл, S — цена спот акции. При нарушении данного условия инвестор может совершить арбитражную операцию: он купит акцию и выпишет на нее опцион.
Верхняя граница премии американского и европейского опционов пут
Цена американского опциона пут в любой момент времени действия контракта не должна быть больше цены исполнения, т. е. ра ≤ X, где ра — цена американского опциона пут. В противном случае инвестор может получить прибыль без риска, продав опцион.
К моменту истечения срока действия контракта европейский опцион пут должен стоить не больше цены исполнения. Поэтому в момент его приобретения он должен стоить меньше приведенной стоимости цены исполнения. В противном случае инвестор может получить прибыль, выписав опцион и разместив сумму премии под процент без риска на период действия контракта.
Нижняя граница премии американского и европейского опционов колл
Нижняя граница премии американского и европейского опционов колл на акции, по которым не выплачиваются дивиденды, составляет:
,
rf — ставка без риска для периода Т.
Если данное условие не будет исполняться и премия опциона колл окажется меньше отмеченной величины, то возникнет возможность совершения арбитражной операции. 1
Формула (138) показывает переменные, от которых зависит величина премии опциона колл, а именно: премия опциона колл тем больше, чем выше спотовая цена акции (S), больше период времени до истечения контракта (T), больше ставка без риска (rf) и меньше цена исполнения (X). Премия опциона колл также зависит от величины стандартного отклонения цены акции (σ). Чем оно больше, тем больше вероятность того, что курс акции превысит цену исполнения и опцион принесет прибыль. Поэтому, чем больше σ, тем дороже опцион.
Нижняя граница премии американского и европейского
опционов пут
Нижняя граница премии европейского опциона пут на акции, по которым не выплачивается дивиденд, равна:

Нижняя грaница американского опциона пут равна: X-S
17. Волатильность базового актива
Понятие волатильность является одним из важнейших основ при торговле опционами, и, наверное, наименее понятным. Изучение этого свойства опциона имеет существенное значение для вашего понимания торговли опционами.
Волатильность – это отклонение цены актива. Оно определяет рассеянность цены актива. Чем выше волатильность, тем больше диапазон, в котором могут колебаться цены. С другой стороны волатильность можно оценить как вероятность достижения базовым активом цены, при которой опцион окажется в деньгах.
Соответственно, чем выше волатильность базового актива, тем вероятнее достижение им благоприятных для нас цен, тем выше и стоимость опциона. Так как продавец опциона подстраховывает себя высокой премией за опцион. А если волатильность низкая, то низкая и вероятность, отсюда стоимость опциона дешевле.
Итак, вероятно, вы уже предполагаете, что высоковолатильный рынок характеризуется резкими ценовыми движениями в разных направлениях в течение долгого времени. Однако, вы должны знать какие колебания совершала цена, и за какой промежуток времени. Это вам поможет определить знание исторической волатильности.
Историческая волатильность показывает какие колебания цена совершала в прошлом и помогает вам определить возможную величину будущих отклонений. Но нужно чётко понимать, что историческая волатильность лишь показывает, что было в прошлом, и не даёт видения будущего. При оценки исторической волатильности вы можете лишь предполагать будущую волатильность или подразумевать, какой окажется волатильность в будущем. Это называется подразумеваемой волатильностью.
Подразумеваемая волатильность – индикатор текущего чувства рынка. Это то, как оценивают будущий рынок участники этого рынка. Поэтому именно это чувство будет отражено в цене опционов. То есть при определении стоимости опциона берётся именно его будущая волатильность – подразумеваемая.
Используя подразумеваемую волатильность как индикатор чувства рынка, принцип торговли опционами может быть следующий. Покупка, когда подразумеваемая волатильность низка, и продажа, когда подразумеваемая волатильность высока.
Иногда чувство на рынке может быть настолько оптимистичным(высокая подразумеваемая волатильность), что цены опционов могут повыситься даже прежде, чем фактически повысится цена базового актива.
Высокая подразумеваемая волатильность означает, что чувство игроков на рынке является чрезвычайно бычьим или медвежьим, и что продавцы опциона полагают, что есть большая вероятность более высоких или более низких цен, которые могут быть достигнуты базовым активом в будущем.
Поэтому:
· Покупатели опциона будут вынуждены заплатить больше за опцион, поскольку они думают, что есть больший шанс рынка сделать большое движение в их пользу.
· Продавцы опциона подвергаются потенциально большему риску, если ожидаемый диапазон цен увеличится и поэтому будут требовать более высокую премию за опционы.
Эти обстоятельства и делают опционы, либо более дорогими, при повышении волатильности, либо более дешёвыми, когда волатильность падает.Поэтому очень часто оценка опционов происходит не в денежном эквиваленте, а именно по их подразумеваемой волатильности.
Высокая волатильность – дорогие опционы
Низкая волатильность – дешёвые опционы
Первая вещь, которую профессиональный опционный трейдер сделает прежде, чем начать любую торговлю, он должен проверить какова подразумеваемая волатильность. Установить: волатильность относительно высока или низка посравнению с исторической волатильностью, за определённый период: за прошлый год, месяц или неделю. И в соответствии с этим строить свою стратегию.Стратегии основанные на продаже опционов должны строиться при высокой волатильности. Стратегии основанные на покупке опционов должны строиться при низкой волатильности.Необходимо помнить, что периодам высокой волатильности часто предшествуют периоды низкой волатильности. И наоборот. Волатильность всегда возвращается к своим средним уровням. Поэтому покупая опцион, когда волатильность ниже своих средних уровней в условиях с большим количеством времени до исполнения опциона, вы даёте себе больше возможностей для того чтобы цена базового актива совершила движение и возросла волатильность. Покупая опцион при высоких значениях волатильности, вы даёте возможность времени (временной распад) и волатильности (при её снижение) работать против вас, даже если цена совершит благоприятное движение в вашу сторону. Но, очень часто прибыли, полученной от повышения цены базового актива, не достаточно, чтобы компенсировать потери от падения волатильности.
Конечно, в рамках данного поста не описать такую большую и значимую сферу в опционной торговли как волатильность. Но главное, что вы должны усвоить – это то, что:
Высокая волатильность – дорогие опционы, и не стоит их покупать.
Низкая волатильность – дешёвые опционы, не стоит их продавать.
18. эффективность использования оборотного капитала
Эффективность использования оборотных средств характеризуется системой экономических показателей, одним из которых является соотношение размещения их в сфере производства и в сфере обращения. Чем больше оборотных средств обслуживает сферу производства, а внутри последней — цикл производства (разумеется, при отсутствии сверхнормативных запасов товарно-материальных ценностей), тем более рационально они используются.
О степени использования оборотных средств можно судить по показателю отдачи оборотных средств, который определяется как отношение прибыли от реализации к остаткам оборотных средств.
Важнейшим показателем интенсивности использования оборотных средств является скорость их оборачиваемости.
Оборачиваемость оборотных средств — это продолжительность одного полного кругооборота средств, начиная с первой и кончая третьей фазой. Чем быстрее оборотные средства проходят эти фазы, тем больше продукции предприятие может произвести с одной и той же суммой оборотных средств. В разных хозяйствующих субъектах оборачиваемость оборотных средств различна, так как зависит от специфики производства и условий сбыта продукции, от особенностей в структуре оборотных средств, платежеспособности предприятия и других факторов.
Скорость оборачиваемости оборотных средств определяется с помощью трех взаимосвязанных показателей: длительности одного оборота в днях, числа оборотов за год (полугодие, квартал), а также величины оборотных средств, приходящихся на единицу реализованной продукции.
Расчет оборачиваемости оборотных средств может производиться как по плану, так и фактически. Плановая оборачиваемость может быть рассчитана только по нормируемым оборотным средствам, фактическая — по всем оборотным средствам, включая ненормируемые. Сопоставление плановой и фактической оборачиваемости отражает ускорение или замедление оборачиваемости нормируемых оборотных средств. При ускорении оборачиваемости оборотные средства высвобождаются из оборота, при замедлении возникает необходимость в дополнительном вовлечении средств в оборот.
Длительность одного оборота (О, дней) определяется по формуле: О = СО/(Т : Д), или О – <СО •Д)/Т, где Со — остатки оборотных средств (среднегодовые или на конец планируемого (отчетного) периода), руб.; Т — объем товарной продукции (по себестоимости или в ценах), руб.; Д — число дней в отчетном периоде.
Например, объем товарной продукции по себестоимости за прошедший год 150 тыс. руб. при сумме оборотных средств на конец этого года 18 тыс. руб. Длительность одного оборота равна 43 дням [18 000 •360): 150 000].
Коэффициент оборачиваемости показывает число оборотов (KQ), совершаемых оборотными средствами за год (полугодие, квартал), и определяется по формуле:
В данном примере коэффициент оборачиваемости составит 8,3 (150 000 : 18 000). Следовательно, данные оборотные средства совершили 8,3 оборота за год. В то же время этот показатель означает, что на каждый рубль оборотных средств приходилось 8,3 руб. реализованной продукции.
Коэффициент загрузки оборотных средств (К,) — это показатель, обратный коэффициенту оборачиваемости. Он характеризует величину оборотных средств, приходящихся на единицу (1 руб., 1 тыс. руб., 1 млн руб.) реализованной продукции, и определяется по формуле. Исходя из приведенных выше данных, коэффициент загрузки составит 0,12 (18 000 : 150 000). Следовательно, на 1 руб. реализованной продукции приходится 0,12 руб. оборотных средств. Этот показатель свидетельствует о рациональном, эффективном или, наоборот, неэффективном использовании оборотных средств лишь в сопоставлении за ряд лет и исходя из динамики коэффициента.
Оборачиваемость может быть определена как общая, так и частная. Общая оборачиваемость характеризует интенсивность использования оборотных средств в целом по всем фазам кругооборота, не отражая особенностей кругооборота отдельных элементов или групп оборотных средств. В показателе общей оборачиваемости как бы нивелируется процесс улучшения или замедления оборачиваемости средств в отдельных фазах. Ускорение оборачиваемости средств на одной стадии может быть сведено до минимума замедлением оборачиваемости на другой стадии и наоборот.
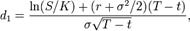
19, 32. Модель ценообразования опционов Блэка–Шоулза
(англ. Black–Scholes Option Pricing Model, OPM
) — это модель, которая определяет теоретическую цену на европейские опционы, подразумевающая, что если базовый актив торгуется на рынке, то цена опциона на него неявным образом уже устанавливается самим рынком. Данная модель получила широкое распространение на практике и, помимо всего прочего, может также использоваться для оценки всех производных бумаг, включая варранты, конвертируемые ценные бумаги, и даже для оценки собственного капитала финансово зависимых фирм.
(Ковбель А.И.)
Согласно Модели Блэка-Шоулза
, ключевым элементом определения стоимости опциона является ожидаемая волатильность базового актива. В зависимости от колебания актива, цена на него возрастает или понижается, что прямопропорционально влияет на стоимость опциона. Таким образом, если ты знаешь стоимость опциона, ты можешь определить уровень волатильности ожидаемой рынком.
Шесть допущений теории
Чтобы вывести свою модель ценообразования опционов, Блэк и Шоулз сделали следующие предположения:
· По базисному активу опциона call
дивиденды не выплачиваются в течение всего срока действия опциона.
· Нет транзакционных затрат, связанных с покупкой или продажей акции или опциона.
· Краткосрочная безрисковая процентная ставка известна и является постоянной в течение всего срока действия опциона.
· Любой покупатель ценной бумаги может получать ссуды по краткосрочной безрисковой ставке для оплаты любой части ее цены.
· Короткая продажа разрешается без ограничений, и при этом продавец получит немедленно всю наличную сумму за проданную без покрытия ценную бумагу по сегодняшней цене.
· Торговля ценными бумагами (базовым активом) ведется непрерывно, и поведение их цены подчиняется модели геометрического броуновского движения с известными параметрами.
Вывод модели основывается на концепции безрискового хеджирования. Покупая акции и одновременно продавая опционы call
на эти акции, инвестор может конструировать безрисковую позицию, где прибыли по акциям будут точно компенсировать убытки по опционам, и наоборот.
Безрисковая хеджированная позиция должна приносить доход по ставке, равной безрисковой процентной ставке, в противном случае существовала бы возможность извлечения арбитражной прибыли и инвесторы, пытаясь получить преимущества от этой возможности, приводили бы цену опциона к равновесному уровню, который определяется моделью.
Формулы
Цена (европейского) опциона call:
где


Цена (европейского) опциона put:

Обозначения:
· C
(S
,t
) - текущая стоимость опциона call
в момент t
до истечения срока опциона;
· S
- текущая цена базисной акции;
· N
(x
) - вероятность того, что отклонение будет меньше в условиях стандартного нормального распределения (таким образом, и ограничивают область значений для функции стандартного нормального распределения);
· K
- цена исполнения опциона;
· r
- безрисковая процентная ставка;
· T
− t
- время до истечения срока опциона (период опциона), приведенная к годовому показателю;
· σ - волатильность (квадратный корень из дисперсии) базисной акции.
20.Эффект финансового рычага.
Финансовый рычаг (финансовый леверидж)
— это отношение заемного капитала компании к собственным средствам, он характеризует степень риска и устойчивость компании. Чем меньше финансовый рычаг, тем устойчивее положение. С другой стороны, заемный капитал позволяет увеличить коэффициент рентабельности собственного капитала, т.е. получить дополнительную прибыль на собственный капитал.
Показатель отражающий уровень дополнительной прибыли при использования заемного капитала называется эффектом финансового рычага
. Он рассчитывается по следующей формуле:
ЭФР = (1 - Сн) × (КР - Ск) × ЗК/СК,
где:
| ЭФР
|
—
|
эффект финансового рычага, %.
|
| Сн
|
—
|
ставка налога на прибыль, в десятичном выражении.
|
| КР
|
—
|
коэффициент рентабельности активов (отношение валовой прибыли к средней стоимости активов), %.
|
| Ск
|
—
|
средний размер ставки процентов за кредит, %. Для более точного расчета можно брать средневзвешенную ставку за кредит.
|
| ЗК
|
—
|
средняя сумма используемого заемного капитала.
|
| СК
|
—
|
средняя сумма собственного капитала.
|
Формула расчета эффекта финансового рычага содержит три сомножителя:
| (1-Сн)
|
—
|
не зависит от предприятия.
|
| (КР-Ск)
|
—
|
разница между рентабельностью активов и процентной ставкой за кредит. Носит название дифференциал (Д).
|
| (ЗК/СК)
|
—
|
финансовый рычаг (ФР).
|
Запишем формулу эффекта финансового рычага короче:
ЭФР = (1 - Сн) × Д × ФР.
Можно сделать 2 вывода:
-Эффективность использования заемного капитала зависит от соотношения между рентабельностью активов и процентной ставкой за кредит. Если ставка за кредит выше рентабельности активов — использование заемного капитала убыточно.
-При прочих равных условиях бо
льший финансовый рычаг дает бо
льший эффект.
21. денежные расчеты на предприятии
Виды и формы расчетов
Все расчеты предприятия можно разделить на следующие группы:
Платежи по товарным операциям - это операции, связанные с движением товара: расчеты с поставщиками и подрядчиками, покупателями и заказчиками, комиссионерами и комитентами.
Расчеты по нетоварным операциям - операции, не обусловленные движением товара и связанные лишь с движением денежных средств: расчеты с бюджетом и внебюджетными фондами, учредителями, акционерами, подотчетными лицами, доверителями и поверенными, кредитными организациями.
Внутрифирменные расчеты и некоторые из внешних могут осуществляться наличными деньгами через кассу предприятия. Наличные расчеты с юридическими лицами ограничены суммами, устанавливаемыми Центральным банком РФ. Внешние расчеты ведутся, как правило, в безналичной форме. Посредником в таких расчетах является коммерческий банк. Предприятие может открывать в коммерческих банках следующие счета:
1. Расчетные счета, предназначенные для осуществления текущих платежей по распоряжению предприятия и зачисления при поступлении денежных средств в адрес предприятия.
Количество расчетных счетов, открываемых предприятию различными коммерческими банками, законодательно не ограниченно.
Однако если предприятие является недоимщиком по платежам в бюджет, то оно должно выбрать по своему усмотрению один счет (так называемый «счет недоимщика»), на который должны аккумулироваться все суммы, поступающие в адрес этого предприятия во все другие банки.
Для открытия расчетного счета требуется разрешение налоговой инспекции, которое выдается по заявлению предприятия.
Что касается текущих счетов, открывающихся для некоммерческих учреждений и организаций, не являющихся юридическими лицами (например, филиалов); то в данном случае, перечень операций по текущему счету ограничен, а распоряжаться средствами с текущего счета можно лишь в строгом соответствии с утвержденной сметой.
3. Специальные счета, применяемые для хранения средств строго целевого назначения.
4. Валютные счета, предназначенные для осуществления расчетов в иностранной валюте.
Эти счета открываются в коммерческих банках, имеющих лицензию Центрального банка РФ на ведение валютных операций. Счета могут открываться в любой из свободно конвертируемых валют, причем на каждый вид валюты заводится отдельный счет.
Организация денежных расчетов с использованием безналичных денег гораздо предпочтительнее платежей наличными деньгами, поскольку достигается значительная экономия на издержках обращения. Широкому применению безналичных расчетов способствует разветвленная сеть банков, а также заинтересованность государства в их развитии. В моей работе в первую очередь будет рассматриваться безналичная форма расчетов.
22. Система показателей информационного обеспечения в теории финансового менеджмента.
Информационная система
(или система информационного обеспечения) финансового менеджмента представляет собой процесс непрерывного целенаправленного подбора соответствующих информационных показателей, необходимых для осуществления анализа, планирования и подготовки эффективных оперативных управленческих решений по всем аспектам финансовой деятельности предприятия.
Содержание системы информационного обеспечения финансового менеджмента, ее широта и глубина определяются отраслевыми особенностями деятельности предприятий, их организационно-правовой формой функционирования, объемом и степенью диверсификации финансовой деятельности и рядом других условий. Конкретные показатели этой системы формируются за счет как внешних
(находящихся вне предприятия), так и внутренних
источников информации. В разрезе каждой из групп этих источников вся совокупность показателей, включаемых в информационную систему финансового менеджмента, предварительно классифицируется.
Система показателей информационного обеспечения финансового менеджмента, формируемых из внешних источников
,
делится на четыре основных группы.
1 Показатели, характеризующие общеэкономическое развитие страны.
Система информационных показателей этой группы служит основой проведения анализа и прогнозирования условий внешней финансовой среды функционирования предприятия при принятии стратегических решений в области финансовой деятельности (стратегии развития его активов и капитала, осуществления инвестиционной деятельности, формирования системы перспективных целевых показателей финансового менеджмента). Формирование системы показателей этой группы основывается на публикуемых данных государственной статистики.
Показатели, входящие в состав первой группы, подразделяются на два блока.
В первом блоке – «Показатели макроэкономического развития»
- содержатся следующие основные информационные показатели, используемые в процессе управления финансами предприятия:
а) темп роста внутреннего валового продукта и национальный доход;
б) объем эмиссии денег в рассматриваемом периоде;
в) денежные доходы населения;
г) вклады населения в банках;
д) индекс инфляции;
е) учетная ставка центрального банка.
Во втором блоке – «Показатели отраслевого развития»
– содержатся следующие основные информационные показатели по отрасли, к которой принадлежит предприятие:
а) объем произведенной (реализованной) продукции, его динамика;
б) общая стоимость активов предприятия, в том числе оборотных;
в) сумма собственного капитала предприятия;
г) сумма балансовой прибыли предприятия, в том числе по основной (оперативной) деятельности;
д) ставка налогообложения прибыли по основной деятельности;
е) ставки налога на добавленную стоимость и акцизного сбора на продукцию, выпускаемую предприятиями отрасли;
ж) индекс цен на продукцию отрасли в рассматриваемом периоде.
2 Показатели, характеризующие конъюнктуру финансового рынка
. Система нормативных показателей этой группы служит для принятия управленческих решений в области формирования портфеля долгосрочных финансовых инвестиций, осуществления краткосрочных финансовых вложений и некоторых других аспектов финансового менеджмента. Формирование системы показателей этой группы основывается на публикациях периодических коммерческих изданий, фондовой и валютной биржи, а также на соответствующих электронных источниках информации.
Показатели, входящие в состав первой группы, подразделяются на два блока.
В первом блоке – «Показатели, характеризующие конъюнктуру рынка фондовых инструментов»
- содержатся следующие основные информационные данные:
а) иды основных фондовых инструментов (акций, облигаций, дивидендов и т.п.), обращающихся на биржевом и внебиржевом фондовом рынке;
б) котируемые цены предложения и спроса основных видов фондовых инструментов;
в) объемы и цены сделок по основным видам фондовых инструментов;
г) сводный индекс динамики цен на фондовом рынке.
Во втором блоке – «Показатели, характеризующие конъюнктуру рынка денежных инструментов»
– содержатся следующие основные информационные данные:
а) кредитная ставка отдельных коммерческих банков, дифференцированная по срокам предоставления финансового кредита;
б) депозитная ставка отдельных коммерческих банков, дифференцированная по вкладам до востребования и срочным вкладам;
в) официальный курс отдельных валют, которыми оперирует предприятие в процессе внешнеэкономической деятельности;
г) курс покупки – продажи аналогичных видов валют, установленный коммерческими банками.
3 Показатели, характеризующие деятельность контрагентов и конкурентов
. Система информационных показателей этой группы используется в основном для принятия оперативных управленческих решений по отдельным аспектам формирования и использования финансовых ресурсов. Эти показатели формируются обычно в разрезе следующих блоков: «Банки»; «Страховые компании»; «Поставщики продукции»; «Покупатели продукции»; «Конкуренты».
Источником формирования показателей этой группы служат публикации отчетных материалов в прессе (по отдельным видам хозяйствующих субъектов такие публикации являются обязательными), соответствующие рейтинги с основными результативными показателями деятельности (по банкам, страховым компаниям), а также платные бизнес-справки. Предоставляемые отдельными информационными компаниями (получение такой информации должно осуществляться только легальными способами).
Состав информативных показателей каждого блока определяется конкретными целями управления финансами, объемом операционной, инвестиционной и финансовой деятельности, длительностью партнерских отношений и другими условиями.
4 Нормативно-регулирующие показатели
. Система этих показателей учитывается в процессе подготовки финансовых решений, связанных с особенностями государственного регулирования финансовой деятельности предприятий. Эти показатели формируются, как правило, в разрезе двух блоков: «Нормативно-регулирующие показатели по различным аспектам финансовой деятельности предприятия» и «Нормативно-регулирующие показатели по вопросам функционирования сегментов финансового рынка». Источником формирования показателей этой группы являются нормативно-правовые акты, принимаемые различными органами государственного управления.
Система показателей информационного обеспечения финансового менеджмента, формируемых из внутренних источников, делится на три группы.
1 Показатели, характеризующие финансовое состояние и результаты финансовой деятельности по предприятию в целом.
Система информационных показателей этой группы широко используется как внешними, так и внутренними пользователями. Она применяется в процессе финансового анализа, планирования, разработки финансовой стратегии и политики по основным аспектам финансовой деятельности, дает наиболее агрегированное представление о результатах финансовой деятельности предприятия. Формирование системы показателей этой группы основывается на данных финансового учета предприятия.
Показатели, входящие в состав этой группы, подразделяются на три основных блока.
В первом блоке содержатся показатели, отражаемые в «Балансе предприятия». Этот отчет содержит два основных раздела – «Актив» и «Пассив».
В составе актива баланса отражаются показатели следующих трех разделов: 1) основные средства и другие внеоборотные активы; 2) запасы и затраты; 3) денежные средства, расчеты и другие активы. Второй и третий разделы актива баланса позволяют получить представление об общей сумме оборотных активов, используемых предприятием.
В составе пассива баланса отражаются показатели следующих трех разделов: 1) источники собственных и приравненных к ним средств; 2) долгосрочные пассивы; 3) расчеты и другие пассивы. Второй и третий разделы пассива баланса позволяют получить представление об общей сумме заемного капитала, используемого предприятием.
Во втором блоке содержатся показатели, отражаемые в «Отчете о финансовых результатах». Этот отчет включает показатели по следующим основным разделам: 1) финансовые результаты; 2) использование прибыли; 3) платежи и бюджет; 4) затраты и расходы, учитываемые при исчислении льгот по налогу на прибыль и другие.
В разделе «Финансовые результаты» содержатся показатели формирования прибыли – от операционной деятельности, от реализации имущества, от внереализационных операций; приводится общая сумма балансовой прибыли или убытка в отчетном периоде.
В разделе «Использование прибыли» содержатся показатели по отдельным направлениям ее использования, что позволяет получить представление о соотношении суммы прибыли, отчисляемой в бюджет и остающейся в распоряжении предприятия; о соотношении суммы капитализируемой и потребляемой прибыли и т.п.
В последующих разделах содержатся данные об уплаченных предприятием налогах и использованных налоговых льготах, что позволяет учесть эту информацию при разработке налоговой политики предприятия в процессе управления формированием финансовых ресурсов.
В третьем блоке содержатся показатели, отражаемые в «Отчете о финансово-имущественном состоянии предприятия». Этот отчет, хотя и содержит обширный круг показателей, используемых в управлении финансовой деятельностью, но разрабатывается только один раз в год, что не позволяет применять эту информацию в процессе оперативного управления. В этом отчете содержатся показатели движения разнообразных финансовых фондов предприятия; использования средств бюджета и внебюджетных фондов; направления средств в целевые фонды и на потребление, наличия и движения нематериальных активов, финансовых вложений и других.
2 Показатели, характеризующие финансовые результаты деятельности отдельных структурных подразделений предприятия. Система
этой группы показателей используется для текущего и оперативного управления практически всеми аспектами финансовой деятельности предприятия, а в наибольшей степени – в процессе финансового обеспечения операционной его деятельности. Формирование системы показателей этой группы основывается на данных организуемого на предприятии управленческого учета.
В процессе построения системы информационного обеспечения управления финансовой деятельностью управленческий учет призван формировать группы показателей, отражающих объемы деятельности, сумму и состав затрат. Сумму и состав получаемых доходов и других. Эти группы показателей формируются в процессе управленческого учета обычно по следующим блокам:
а) по сферам финансовой деятельности предприятия
;
б) по регионам деятельности
(если для предприятия характерна региональная диверсификация финансовой деятельности);
в) по центрам ответственности
(созданным на предприятии центрам затрат, дохода и инвестиций).
Управленческий учет строится индивидуально на каждом предприятии и должен быть в первую очередь подчинен задачам информативного обеспечения процесса оперативного управления финансовой деятельностью.
3 Нормативно-плановые показатели, вязанные с финансовым развитием предприятия
. Эти показатели используются в процессе текущего и оперативного контроля за ходом осуществления финансовой деятельности. Они формируются непосредственно на предприятии по следующим блокам:
а) система внутренних нормативов, регулирующих финансовое развитие предприятия
. В эту систему включаются нормативы размеров отдельных видов активов предприятия, нормативы соотношения отдельных видов активов и структуры капитала, нормативы удельного расхода финансовых ресурсов и затрат и т.п.;
б) система плановых показателей финансового развития предприятия
. В состав показателей этого блока включается вся совокупность показателей текущих и оперативных финансовых планов всех видов.
Использование всех представляющих интерес показателей, формируемых из внешних и внутренних источников, позволяет создать на каждом предприятии целенаправленную систему информационного обеспечения финансового менеджмента, ориентированную как на принятие стратегических финансовых решений, так и на эффективное текущее управление финансовой деятельностью.
23. Модель предпочтений ситуации во времени.
24.Определение потребности в оборотном капитале.
Эффективность деятельности предприятия в значительной мере зависит от правильного определения потребности в оборотных средствах. Это в свою очередь способствует минимизации затрат, улучшению финансового положения предприятия в целом и ритмичности производства. Конкретные размеры оборотных средств определяются многими факторами: 1.технологическая сложность производства; 2.длительность производственного цикла; 3.сезонность производства; 4.условия производства и сбыта продукции; 5.темпы изменения объёма производства и реализации; 6.порядок и формы расчётов и т.д. По возможности управления оборотными средствами они классифицируются на нормируемые и ненормируемые. Нормируемые оборотные средства
– это собственные оборотные средства, авансируемые в оборотные производственные фонды и в отдельные элементы фондов обращения (сырьё, материалы, незавершённое производство, расходы будущих периодов и т.д.) Ненормируемые оборотные средства
– товары отгружены, денежные средства, дебиторская задолженность. Нормирование
представляет собой установление оптимальной величины средств, необходимых для нормального осуществления процесса производства и реализации продукции. Существуют несколько способов планирования потребности в оборотных средствах:
1.Аналитический метод
(опытно-статистический) предполагает укрупненный расчёт оборотных средств в размере их средне фактических остатков. 2.Коэффициентный метод
– основан на определение нового норматива на базе имеющегося с учётом поправок на изменение объёма продукции. 3.Метод прямого счёта
является наиболее точным, но и самым трудоёмким. Он базируется на определении научно-обоснованных норм запаса по отдельным элементам оборотных средств и норматива оборотных средств.
25. Переход от однофакторной модели САРМ к многофакторной АРТ
Выделяют два основных свойства или, лучше сказать, две закономерности, которые характеризуют модель оценки капитальных активов. Во-первых, это теорема о разделении. Из перечисленных выше предпосылок вытекает утверждение о том, что, проанализировав характеристики ценных бумаг и определив эффективное множество, инвесторы выбирают один и тот же касательный портфель. Это объясняется предпосылкой 10, утверждающей однородность ожиданий инвесторов.
Вторым свойством CAPM является тот факт, что каждый вид ценных бумаг имеет ненулевую долю в касательном портфеле. Это определяется рыночным механизмом спроса и предложения. Если доля какой-либо бумаги равна нулю, то ее курс на рынке будет падать, соответственно ожидаемая доходность будет расти, пока инвесторы не начнут покупать данную бумагу и доля ее в портфеле не станет отличной от нуля. Если же, наоборот, на какой-либо актив слишком большой спрос, то брокерам придется поднимать цены, следовательно, снизится доходность и уменьшится доля такой бумаги в касательном портфеле, уравняв спрос и предложение. В конечном итоге рынок должен прийти к равновесию.
Теория Марковица - это отличная постановка и решение проблемы формирования инвестиционного портфеля, формирующая основу для модели оценки финансовых активов. Но у нее есть два недостатка с практической точки зрения. Во-первых, проблема расчета. Необходимо слишком большое количество данных для применения метода критических линий Марковица. Во-вторых, модель предполагает, что все характеристики риска и доходности могут быть объяснены ковариацией с другими бумагами. Таким образом, изменения нефинансовых факторов, как то: темп роста экономики, инфляция и другие факторы, - не учитываются. Эти рассуждения привели к различным упрощениям и расширениям модели.
Основное отличие APT от CAPM заключается в трактовке взаимодействия ценных бумаг. Это отличие не является единственным. Например, в CAPM всегда предполагается, что доходности активов нормально распределены или, что функция полезности инвесторов квадратична. АРТ же не требует ни одной из этих предпосылок.
АРТ исходит из того, что доходности ценных бумаг формируются рядом отраслевых и рыночных факторов. Два актива коррелируют между собой лишь в том случае, когда на них одинаково влияет один и тот же экономический фактор. В САРМ корреляция ценных бумаг не базируется на каких-либо внешних факторах. И АРТ, и САРМ предполагают положительную зависимость между доходностью и риском. В модели арбитражного ценообразования риск интерпретируется шире, чем просто стандартное отклонение или ковариация актива с рыночным портфелем.
Модель арбитражной теории ценообразования (АРТ) можно считать обобщением модели САРМ, хотя первая выводилась из других предположений. Интересно отметить тот факт, что уравнение АРТ является обобщением уравнения САРМ, хотя арбитражная теория строилась как ее альтернатива. Согласно этому уравнению на изменение стоимости актива влияет не только рыночный фактор (стоимость рыночного портфеля), но и другие, в том числе нерыночные, факторы риска - курс национальной валюты, стоимость энергоносителей, уровень инфляции и безработицы и т.д. Если в качестве факторов риска рассматривать только один стоимость рыночного портфеля, то уравнение совпадает с уравнением САРМ. Учет нескольких факторов позволяет строить более строгую модель. Это приводит к более точному прогнозу изменения цены актива и уменьшению несистематического риска даже без составления больших портфелей
В классической модели САРМ учитывался только один фактор, и актив характеризовался двумя параметрами - коэффициентом чувствительности беты, характеризующим риск, связанный с этим фактором, и средней остаточной доходностью Е, отвечающей за специфический риск, не объясняемый влиянием выбранного фактора. В модели АРТ появилась возможность учитывать несколько факторов. Теперь актив характеризуется набором показателей беты, каждый из которых представляет собой чувствительность актива к определенному фактору и характеризует систематический риск, связанный с влиянием именно этого фактора, и по-прежнему остаточной доходностью Е. Только теперь величина специфического (не объясненного факторами) риска стала гораздо меньше.
Переход от однофакторной модели САРМ к многофакторной АРТ не только дает преимущества, но и ставит новые проблемы, которые ранее не возникали.
1. Отбор факторов и определение их количества для многофакторной модели. Этот вопрос является весьма тонким не только для модели АРТ, но и для любой многофакторной модели, описывающей фондовый рынок. Совершенно понятно, что не все многообразие доступных для анализа показателей влияет на поведение цены актива. Однако, понять какие именно и сколько их, не так просто. Строить же модель сразу по всем доступным факторам неконструктивно - незначимые факторы будут играть роль шума и могут значительно искажать результаты, полученные с помощью модели.
2. Разные факторы риска для разных активов. Второй вопрос является еще более тонким, чем первый, и более сложным. Если для решения первой проблемы можно было бы предложить интуитивное решение - отобрать несколько основных макроэкономических и ли отраслевых показателей, влияющих, по интуитивным ощущениям, на цены акций, - то для решения второй проблемы этого сделать нельзя. Ведь поведение каждого актива, вообще говоря, индивидуально. Поэтому состав и количество факторов риска у каждого актива могут быть свои. Необходимо определить критерии, в соответствии с которыми одному активу поставить в соответствие один набор факторов, а другому - другой.
3. Изменение состава и количества факторов риска во времени. Предположим, что каким-то образом удалось найти состав и количество факторов влияния для конкретного актива. Может ли через определенный интервал времени факторная структура измениться? Результаты исследований свидетельствуют о нестационарном характере взаимосвязей на фондовом рынке. Это значит, что модель применима лишь в течение определенного срока, после которого возникает необходимость строить ее заново. При этом факторы риска могут быть уже другими.
4. Ранжирование компании по нескольким показателям одновременно. Построив модель САРМ для множества активов, с целью выбора наиболее привлекательных активов мы получали возможность сортировать их по чувствительности, систематическому или несистематическому риску. В многофакторном случае актив характеризуется набором систематических рисков, связанных с каждым фактором. Необходимо учитывать каждый из них [2].
Определение факторов для арбитражной модели ценообразования является предметом тщательного исследования. Перед экономистами стоит задача выявить факторы, которые соответствуют значениям ?, отличающиеся от нуля. Авторы, результаты работ которых описываются ниже, сходятся во мнении, что максимальное количество таких факторов - пять, минимальное - три.
26.Факторы роста прибыли
Прибыль
— это денежное выражение основной части денежных накоплений, создаваемых предприятиями любой формы собственности.
Важнейшими факторами роста прибыли являются рост объема производства и реализации продукции, внедрение научно-технических разработок, а следовательно, повышение производительности труда, снижение себестоимости, улучшение качества продукции.
Основной источник денежных накоплений предприятий - выручка от реализации продукции, а именно та ее часть, которая остается за вычетом материальных, трудовых и денежных затрат на производство и реализацию этой продукции. Поэтому важная задача каждого хозяйствующего субъекта - получить больше прибыли при наименьших затратах путем соблюдения экономии в расходовании средств и наиболее эффективного их использования.
Затраты на производство и реализацию продукции определяют уровень и структуру ее себестоимости. Прибыль как основная форма денежных накоплений представляет собой разницу между выручкой от реализации по соответствующим ценам и полной себестоимостью. Отсюда рост прибыли зависит прежде всего от снижения затрат на производство продукции, а также от увеличения объема реализованной продукции.
27. Точка безубыточности (порог рентабельности)
Сущность метода заключается в нахождении точки, в которой прибыль равна нулю, или точки безубыточности. Т.е. такой порог, когда предприятие уже покрывает все свои издержки, но еще не получает прибыли. Действительно, для предприятия, функционирующего на рынке, необходимо знать не только, что оно получит прибыль, но и когда оно ее получит.
Для этого проводится специальный анализ соотношений между объемом производства, затратами и доходом. Процесс нахождения точки безубыточности можно проследить с помощью рис. На оси абсцисс графика представлен объем производства продукции 0, на оси ординат — выручка от реализации и издержки производства N. Точка безубыточности Qo показывает тот момент, когда доход равняется издержкам, т.е. убытки и прибыль равны нулю, и определяется пересечением общих издержек TC и выручки – R/
Таким образом, точка безубыточности отделяет объем производства, при котором могут быть получены убытки (треугольник ОАК), от объема производства, приносящего прибыль (треугольник КВС).

Точка безубыточности (руб.)
= Пост затр/удельн марж доход
Удельн. марж. доход = марж дох/выручка
Точка безубыточности (шт.)
= пост затраты/(цена на ед изд – переем затр на ед изделия)
Пример. Точка безубыточности в руб.
Определите порог рентабельности, если реализация 500 тыс. руб.,
Постоянные затраты 200 тыс. руб.,
Переменные затраты 250 тыс. руб.
Т. безубыточности 200/250/500 = 400 тыс. руб.
Пример. Точка безубыточности в шт.
Цена за единицу 10 тыс. руб.
Переменные издержки 5 тыс. руб.
Постоянные издержки 200 тыс. руб.
Т. безубыточности 200/10-5 = 40 шт.
Следует обратить внимание, что на точку безубыточности большое влияние оказывают такие факторы, как изменение цен на продукцию, динамика постоянных и переменных затрат. При этом будет действовать следующая закономерность: с ростом цен на производимую продукцию минимальный объем производства соответствующий точке безубыточности К, уменьшается, а при снижении цены возрастает. При увеличении постоянных расходов минимальный объем производства, соответствующий точке безубыточности, повышается. При росте переменных издержек сохранить безубыточность производства можно за счет увеличения минимального объема производства.
28. Методы планирования прибыли.
Прибыль является основным фактором экономического и социального развития не только для предприятия, но и для экономики страны в целом. Поэтому экономически обоснованное планирование прибыли на предприятиях имеет очень большое значение.
Прибыль планируется раздельно по видам,
а именно:
-прибыль от продажи продукции и товаров;
-прибыль от реализации прочей продукции и услуг нетоварного характера;
-прибыль от реализации основных средств;
-прибыль от реализации другого имущества и имущественных прав;
-прибыль от оплаты выполненных работ и оказанных услуг и т.д.;
-прибыль (убыток) от внереализационных операций.
Основными методами планирования прибыли
являются:
- метод прямого счета;
-аналитический метод;
-метод совмещенного расчета.
Метод прямого счета
Данный метод наиболее распространен на предприятиях в современных условиях хозяйствования. Он применяется, как правило, при небольшом ассортименте выпускаемой продукции. Сущность его в том, что прибыль исчисляется как разница между выручкой от реализации продукции в соответствующих ценах за вычетом НДС и акцизов и полной ее себестоимостью. Расчет плановой прибыли
(П) ведется по формуле:
П = (О × Ц) - (О × С),
где О — объем выпуска продукции в планируемом периоде в натуральном выражении;
Ц — цена на единицу продукции (за вычетом НДС и акцизов);
С — полная себестоимость единицы продукции.
Прибыль по товарному выпуску (Птп
) планируется на основе сметы затрат на производство и реализацию продукции, в которой определяется себестоимость товарного выпуска планируемого периода:
Птп
= Цтп
- Стп
,
где Цтп
— стоимость товарного выпуска планируемого периода в действующих ценах реализации (без НДС, акцизов, торговых и сбытовых скидок);
Стп
— полная себестоимость товарной продукции планируемого периода.
Следует отличать плановый размер прибыли в расчете на товарный выпуск от прибыли, планируемой на объем реализуемой продукции. Прибыль на реализуемую продукцию (Прп
) в общем виде рассчитывается по формуле:
Прп
= Врп
- Срп
,
где Врп
— планируемая выручка от реализации продукции в действующих ценах (без НДС, акцизов, торговых и сбытовых скидок);
Срп
— полная себестоимость реализуемой в предстоящем периоде продукции.
Более детально прибыль от объема реализуемой продукции в плановом периоде определяется по формуле:
Прп
= Пон
+ Птп
- Пок
,
где Пон
— сумма прибыли остатков нереализованной продукции на начало планового периода;
Птп
— прибыль от объема выпуска товарной продукции в плановом периоде;
Пок
— прибыль от остатков нереализованной продукции в конце планового периода.
Данная методика расчета применима для укрупненного прямого метода планирования прибыли, когда легко определить объем реализуемой продукции в ценах и по себестоимости.
Разновидностью метода прямого счета является метод поассортиментного планирования прибыли.
При этом методе прибыль суммируется по всем ассортиментным позициям. К полученному результату прибавляется прибыль в остатках готовой продукции, не реализованных на начало планируемого периода.
Аналитический метод
Этот метод применяется при большом ассортименте выпускаемой продукции, а также как дополнение к прямому методу, так как он позволяет выявить влияние отдельных факторов на плановую прибыль. При аналитическом методе прибыль рассчитывается не по каждому виду выпускаемой в планируемом году продукции, а по всей сравнимой продукции в целом. Прибыль по несравнимой продукции определяется отдельно. Исчисление прибыли аналитическим методом включает три последовательных этапа:
1) определение базовой рентабельности как частного от деления ожидаемой прибыли за отчетный год на полную себестоимость сравнимой товарной продукции за тот же период;
2) исчисление объема товарной продукции в планируемом периоде по себестоимости отчетного года и определение прибыли на товарную продукцию исходя из базовой рентабельности;
3) учет влияния на плановую прибыль различных факторов: снижение себестоимости сравнимой продукции, повышение ее качества и сортности, изменение ассортимента, цен и т.д.
После выполнения расчетов по всем трем этапам определяется прибыль от реализации товарной продукции.
Кроме прибыли от реализации товарной продукции в составе прибыли, как отмечено ранее, учитывается прибыль от реализации прочей продукции и услуг нетоварного характера, прибыль от реализации основных фондов и другого имущества, а также планируемые внереализационные доходы и расходы.
Прибыль от прочей реализации (продукции и услуг подсобного сельского хозяйства, автохозяйств, услуг непромышленного характера для капитального строительства, для капитального ремонта и т.д.) планируется методом прямого счета. Результат от прочей реализации может быть как положительным, так и отрицательным.
Прибыль (убытки) от традиционных статей внереализационных доходов и расходов (штрафы, пени, неустойки и пр.) определяется, как правило, на основе опыта прошлых лет.
После расчета прибыли (убытков) по остальным видам деятельности, а также внереализационных доходов и расходов и с учетом прибыли от реализации товарной продукции определяется валовая (общая) прибыль предприятия.
Метод совмещенного расчета
В этом случае применяются элементы первого и второго способов. Так, стоимость товарной продукции в ценах планируемого года и по себестоимости отчетного года определяется методом прямого счета, а воздействие на плановую прибыль таких факторов, как изменение себестоимости, повышение качества, изменение ассортимента, цен и др., выявляется с помощью аналитического метода.
Получение определенной массы прибыли определяет эффективность производства, однако сама масса прибыли не характеризует, насколько эффективно работает предприятие. Для этого необходимо массу прибыли «взвесить» на затраты предприятия. Этим целям отвечает показатель рентабельности.
Рентабельность
— это относительный показатель эффективности производства, характеризующий уровень отдачи затрат и степень использования ресурсов, выраженный в процентах. В основе построения коэффициентов рентабельности лежит отношение прибыли (чаще всего в расчет показателей рентабельности включают чистую прибыль) или к затраченным средствам, или к выручке от реализации, или к активам предприятия. Таким образом, коэффициенты рентабельности показывают степень эффективности деятельности компании.
Наиболее часто используются показатели рентабельности активов (капитала), рентабельности чистых активов, рентабельности собственного капитала и рентабельности реализации.
В аналитической работе также часто полную сумму активов заменяют на стоимость текущих активов и анализируют рентабельность использования последних.
В качестве показателя прибыли, в зависимости от конкретных условий деятельности, используют показатели прибыли до налогообложения, прибыли от обычной деятельности или чистой прибыли.
В зарубежной практике в качестве числителя чаще всего используют показатели прибыли до налогообложения, а некоторые организации в расчет принимают показатели чистой прибыли.
В качестве активов (знаменателя формулы) используют следующие показатели:
· стоимость активов по балансу;
· стоимость активов по балансу плюс суммы амортизации по амортизируемым активам;
· действующие активы;
· оборотный капитал плюс внеоборотные активы.
29. Направления использования выручки.
Направления распределения выручки показаны на рис. 6.1
 .
Выручка используется в первую очередь для оплаты счетов поставщиков сырья, материалов, покупных полуфабрикатов, комплектующих и т.п. Остаток выручки после возмещения стоимости израсходованных материальных ресурсов и возмещения амортизации внеоборотных активов формирует валовой доход, из которого в первую очередь возмещаются средства, израсходованные на оплату труда. Оставшиеся после этого средства составляют чистых доход предприятия, направляемый на уплату налогов, относимых на финансовый результат деятельности и формирование прибыли.
30. математическая модель формирования оптимального портфеля ценных бумаг
Момент возникновения портфельного анализа можно датировать довольно точно, связав его с выходом в марте 1952 года пионерской работы Гарри Марковица
. Предложенная в этой работе модель, достаточно простая по существу, позволила ухватить основные черты финансового рынка, с точки зрения инвестора, и снабдила последнего инструментом для выработки рациональных инвестиционных решений. Портфельная теория Марковица направлена на решение практической задачи о рассредоточении капитала по различным видам операций в условии неопределенности. Центральной проблемой в теории Марковица является выбор портфеля, то есть набора операций. При этом в оценке, как отдельных операций, так и их портфелей учитываются два важнейших фактора: доходность и риск операций и их портфелей. Суть подхода Марковица состоит в том, что он предложил рассматривать доходности активов (и составленных из них портфелей) как случайные величины. В теории Марковица математическое ожидание есть формальный аналог понятия ожидаемой доходности, а дисперсия (или стандартное отклонение) служит мерой риска. При этом принимается важное соглашение, состоящее в том, что инвестор при принятии инвестиционных решений основывается лишь на двух характеристиках: ожидаемой доходности и риске. Выбор двух количественных характеристик или критериев - ожидаемой доходности и риска - делает задачу выбора оптимальной стратегии инвестирования двухкритериальной. Если эта стратегия состоит в инвестировании всего капитала лишь в актив одного вида, то необходимо, чтобы он был наилучшим сразу по двум критериям, т. е. обладал наибольшей доходностью и наименьшим риском. Результаты исследований, полученные Г. Марковицем, сразу позволили перевести задачу выбора оптимальной инвестиционной стратегии на точный математический язык. Именно он первым привлек внимание к общепринятой практике диверсификации портфеля и точно показал, как инвесторы могут уменьшить стандартное отклонение его доходности, выбирая акции, цены на которые изменяются по-разному. С математической точки зрения, полученная оптимизационная стратегия относится к классу задач квадратичной оптимизации при линейных ограничениях. До сих пор, вместе с задачами линейного программирования, это один из наиболее изученных классов оптимизационных задач, для которых разработано большое количество достаточно эффективных алгоритмов.
31.Планирование расходов
Управление расходами подразумевает под собой не только учет всех расходов. Путь к богатству тернист и учет доходов и расходов – это всего лишь одна из простейших функций, хотя и абсолютно необходимая. Управление расходами – это, в первую очередь их планирование и четкое соблюдение выделенного на каждую категорию расходов бюджета. Как уже отмечалось, книга учёта доходов и расходов совершенно не обходима для этих целей.
Конечно, на первом этапе наиважнейшую роль играет именно учет расходов. Это связанно с тем, что мало кто реально представляет на что и в каком количестве расходуются деньги. При такой ситуации планирование расходов просто невозможно. Поэтому, первоначальный этап связан со сбором статистики и выработкой привычки ежедневно посвящать часть времени личным финансам.
Обычно достаточно трех – четырех месяцев для получения полной картины по имеющимся расходам. По собственному опыту можно отметить, что собранные статистические данные могут вызвать легкий шок – настолько бездарно и бессмысленно трятятся вполне ощутимые суммы.
Именно такие бессмысленные расходы и подлежат сокращению в первую очередь на следующем этапе – планировании расходов и составлении ежемесячного бюджета.
Личный бюджет
- это план на определенный период, где запланированы все доходы и расходы по статьям и категориям. Составление личного бюджета и его неукоснительное соблюдение является квитэссенцией управления расходами да и финансового планирования в целом.
Собранные на первом этапе статистические данные по расходам и доходам могут и должны быть положены в основу подобного бюджета. Но просто расписать все имеющиеся расходы по различным категориям совершенно бессмысленно – бюджет предназначен для того, чтобы по возможности урезать одну часть расходов с тем, чтобы увеличить инвестиционную составляющую.
Другими словами, задачей бюджетирования и планирования расходов является сокращение всех текущих расходов с целью создания личного капитала, направляемого на инвестиционные цели. Казалось бы, имено сокращение планируемых расходов должно явиться первым шагом на первом этапе составления бюджета. На самом деле это совсем не так.
33.Роль, содержание и направления использования системы сбалансированных и ключевых показателей.
О сбалансированной системе показателей в РФ узнали относительно недавно, 3-4 года назад. ССП
- это система стратегического управления организацией на основе измерения и оценки ее эффективности по набору показателей, подобранному таким образом, чтобы учесть все существенные (с точки зрения стратегии) аспекты ее деятельности. ( Д. Нортон и Р. Каплан) Согласно исследованию американского института в компаниях, использующих систему ССП менеджмент оценивает эффективность своей системы управления почти на балл выше (по пятибалльной шкале), чем менеджмент, не использующий данную систему компаний.
Использование ССП в управлении бизнесом не противоречит использованию других инструментов управления, а как бы абсорбирует их в себя.
Аксиомы ССП: 1 аксиома ССП-Планирование и согласование действий подразделений и сотрудников в достижении ими стратегических целей компании.
2 аксиома ССП - управлять можно только тем, что можно измерить.
3 аксиома ССП вводит текущий и регулярный контроль за реализацией стратегии компании.
4. аксиома ССП помогает объединить разрозненные стратегические идеи в взаимосвязанный единый комплекс.
5аксиома ССП- Основной акцент оценки эффективности деятельности компании смещен на нефинансовые показатели при текущем анализе финансовых показателей.
6. аксиома ССП -ССП позволяет не только проводить эффективную аналитику и осуществлять планирование деятельности компании в разрезе стратегических и оперативных целей, но и придает модели бизнеса динамический характер.
Система позволяет:
- сформулировать обоснованную стратегию
- перевести стратегические цели в четкий план оперативной деятельности подразделений и ключевых сотрудников
- оценить результаты деятельности сотрудников с точки зрения реализации стратегии с помощью ключевых показателей эффективности.
ССП является адекватным методом адаптации компании к условиям нестабильной внешней среды, работающим на обеспечение ее конкурентоспособности.
Методика ССП предназначена для повышения эффективности управления предприятием за счет применения оптимального набора индикаторов деятельности компании. Система организует в рамках стратегий совокупность целей и соответствующих им показателей по ключевым перспективам деятельности компании. Такими перспективами могут быть: Финансовая
- Каким желают видеть предприятие собственники? Клиентская
- Каким должны воспринимать предприятие и его продукт потребители? Внутренние процессы
- Какими темпами совершенствуются стратегически важные процессы? Обучение
- Обеспечивается поддержание уровня квалификации? Развитие
- Каковы темпы разработки товаров завтрашнего дня?
Таким образом, в соответствии с подходом ССП стратегическое развитие предприятия рассматривается в четырех направлениях и с помощью данных проекций менеджеры могут ответить на следующие основные вопросы:
- Какой компания представляется своим акционерам и потенциальным инвесторам? - Проекция финансов
показывает насколько интересно акционерам инвестировать деньги в данное предприятие.
- Какой компания представляется своим покупателям? - Проекция клиентов
показывает, чем можно заинтересовать клиентов, чтобы привлечь их и добиться требуемых финансовых результатов.
- Какие бизнес-процессы компания должна улучшить, от каких отказаться, на каких сосредоточиться? - Проекция внутренних бизнес – процессов
показывает, какие процессы играют наиболее важные роли при реализации конкурентного преимущества данное предприятие
- Может ли компания продолжать свое развитие, повышать эффективность и увеличивать свою стоимость? - Проекция инновации
, развитие персонала и инфраструктуры показывает, за счет каких знаний, умений, опыта, технологий и прочих нематериальных активов можно реализовать конкурентное преимущество.
Стратегически важными являются все четыре проекции показателей.
Кроме того, система включает планы мероприятий по достижению целей, которые в свою очередь связаны с ответственными лицами и подразделениями предприятия. Этим реализуется один из уровней механизма доведения стратегии до исполнителей.
Финансовые показатели в ССП оценивают экономические последствия действий компании: прибыльность, доходность занятого капитала, добавленную стоимость.
ССП представляет собой не просто набор целей и показателей, но систему причинно-следственных связей между ними: эти направления взаимосвязаны, каждое из последующих направлений позволяет определить, за счет чего будет реализовано развитие предыдущего.
Стратегические цели организации в четырёх важнейших сферах её деятельности (финансы, маркетинг, внутренние процессы, развитие) связываются в единую «карту стратегии».
Создание стратегической карты
- необходимый шаг для определения перспектив, целей и показателей, а также причинно-следственных связей между ними.
Стратегическая карта – документ, позволяющий зафиксировать принятую в компании стратегию развития.
Главные особенности системы
:
- в систему входят показатели, относящиеся ко всем стратегически важным аспектам деятельности (как минимум их четыре: финансы, рынок, производство, эффективность и развитие);
- причинно-следственная связь всех показателей в системе;
- причинно-следственная связь всех показателей, входящих в систему, и стратегических задач компании;
- связь результирующих (лаговых) показателей и определяющих факторов;
- связь всех показателей с финансовыми результатами деятельности.
ССП определяется как стратегический менеджмент и система измерений, ключом успеха такой системы должен быть унифицированный интегрированный ряд показателей . Это:
- потребительские перспективы (как организация учитывает нужды своих потребителей);
- внутренние перспективы (в которых организация должна достичь отличительных преимуществ);
- инновационные перспективы и перспективы обучения (области, в которых организация должна совершенствоваться, добавляя новые продукты или сервис, или совершенствуя оперативную деятельность).
Показатели по этим категориям обеспечивает ССП, которая отражает более точно работу организации и помогает менеджерам сфокусироваться на миссии организации, а не только на финансовых результатах в краткосрочной перспективе, а также помогает мотивации в достижении стратегических целей.
Очевидно, что показатели ССП для фирмы должны определять ее топ-менеджмент исходя из своего понимания стратегии и миссии фирмы, видения ее будущего.
Что необходимо учитывать при переходе предприятия на ССП.
Необходимые факторы, кот. следует учитывать
компаниям при внедрении ССП:
1.
осуществление изменений в компании под инициативным руководством ее первых лиц. Постоянное участие исполнительного руководства, вовлеченность, активная инициатива и поддержка. Это - важнейшее условие преодоления возникающих перед компанией трудностей.
2.постоянные усилия, направленные на реализацию стратегии и целей компании. Требуется постоянная и кропотливая работа
3. это - единство в реализации стратегии. Каждый сотрудник должен понимать, в чем цель его действий в рамках общей цели компании.
4.общая ориентация компании на реализацию стратегических целей. Необходимо провести оценку текущих организационных структур компании, обеспечения оптимальной поддержки реализации стратегии.
5.изложение стратегии и целей компании в операционной терминологии. Использование этого подхода, а также специальных инструментов ССП превращает реализацию стратегии в каждодневно выполняемую, и что очень важно, выполнимую задачу.
ССП - модель функционирования бизнеса как системы, позволяет обеспечить непрерывность стратегического управления, а кроме этого «развёртывает» стратегическое управление вниз по организации, объединяя её в едином «порыве». Стратегия создаёт силовое поле, пронизывающее всю организацию сверху вниз. Характерная особенность ССП- обращает особое внимание на интеллектуальный капитал, как ключевой вид ресурсов в наше время. При этом ССП помогает трансформировать интеллектуальный капитал (обучение и рост) через производственные показатели (внутренние процессы) и рыночные показатели (маркетинг) в финансовые результаты (финансы).
35.Примерный перечень ключевых показателей
ССП определяется как стратегический менеджмент и система измерений, которые связывают стратегические цели с понятийными индикаторами. Ключом успеха такой системы должен быть унифицированный интегрированный ряд показателей, измеряющих ключевые активности и процессы в оперативном окружении организаций. Он учитывает не только традиционные («hard») финансовые показатели, но и три дополнительные категории («soft») измерителей оперативной деятельности. Это:
- потребительские перспективы (как организация учитывает нужды своих потребителей);
- внутренние перспективы (в которых организация должна достичь отличительных преимуществ);
- инновационные перспективы и перспективы обучения (области, в которых организация должна совершенствоваться, добавляя новые продукты или сервис, или совершенствуя оперативную деятельность).
Показатели по этим категориям обеспечивает ССП, которая отражает более точно работу организации и помогает менеджерам сфокусироваться на миссии организации, а не только на финансовых результатах в краткосрочной перспективе, а также помогает мотивации штаба в достижении стратегических целей.
Очевидно, что показатели ССП для фирмы должны определять ее топ-менеджмент исходя из своего понимания стратегии и миссии фирмы, видения ее будущего
Таблица 2.Примерный состав ключевых аналитических показателей в холдинге
| Уровни управления,
группа показателей
|
Ключевые показатели
|
| уровень управления – президент, генеральный директор
|
| Показатели удовлетворенности акционеров
|
Рентабельность активов; рентабельность денежного потока; стоимость компании
|
| Показатели удовлетворенности клиентов
|
Совокупное количество претензий клиентов-покупателей; текучесть клиентов; количество постоянных клиентов
|
| Показатели удовлетворенности и эффективности персонала
|
Производительность труда; текучесть кадров
|
| уровень управления – вице-президенты, заместители генерального директора, руководители служб и департаментов
|
| Показатели эффективности закупок
|
Индекс качества поставок; время прохождения товара
|
| Показатели эффективности хранения и перемещения товара
|
Скорость товарного обращения; стоимость потерь при хранении; стоимость потерь при перевозке
|
| Показатели эффективности производства
|
Объем производства; номенклатура производства
|
| Показатели эффективности продаж
|
Доля скидок в продажах; охват клиентской базы; рентабельность продаж
|
| Показатели эффективности послепродажного обслуживания
|
Затраты на исправление дефектов; индекс качества устранения претензий
|
| Показатели эффективности НИОКР
|
Средняя продолжительность жизненного цикла нового продукта; количество новых продуктов, находящихся в разработке
|
| Показатели качества
|
Затраты на сертификацию; доля брака
|
| Показатели эффективности персонала
|
Отношение фонда заработной платы к продажам; текучесть кадров; количество принятых сотрудников по отношению к количеству претендентов
|
| Финансовые показатели
|
Показатели ликвидности; показатели рентабельности; показатели оборачиваемости; операционный рычаг
|
| Показатели эффективности использования информационных технологий
|
Отдача от инвестиций в информационные технологии; Удовлетворенность ключевых бизнес-подразделений уровнем ИТ- поддержки
|
| Оценка работы отдельных подразделении (уровень управления – вице-президенты, заместители генерального директора, руководители служб и департаментов)
|
| Для оценки работы подразделений используются те же показатели, что и для оценки бизнес – процессов или функциональных направлений, относящихся к работе конкретных отделов
|
Производительность труда (для производственного цеха); текучесть кадров (для службы продаж и других подразделений)
|
35,36.Определение ключевых показателей эффективности. определение целевых значений
Целевые показатели в стратегии развития
Если в компании не будут определены цели, то в полную силу система стратегического менеджмента работать не сможет. Цели
— это конкретные показатели с четкими значениями, которые компания должна достигнуть за намеченный период. Менеджеры должны идентифицировать главные стратегические цели организации. Основанный на четырех главных перспективах, по Каплану и Нортону, список целей и показателей может включать что-то из:
Финансы
Проекция финансов является одной из ключевых составляющих ССП.
Финн цели: увеличение рент-ти прод-ии, рент-ти СК, чистого денежного потока, ЧП и др.Существует очень тесная взаимосвязь с целями клиентов, внутренних процессов и роста организации:
- цели (рост прибыльности, объемов, увеличение возвратов);
- показатели (поток наличности, снижение издержек, добавленная стоимость, прибыль, выручка, возврат инвестиций в капитал, имущество, продажа, рост доходов, рабочий капитал, обращение).
Клиенты
Руководители опред-ют ключевые сегменты рынка, на кот. компания намеревается сосредоточить свои усилия по продвижению и реализации своих продуктов. Основные показатели эффективности: удовлетворенность покупателей, удержание клиентов, приобретение новых клиентов, прибыльность клиентов, доля рынка в целевых сегментах и т.д.
Внутренние Бизнес-Процессы
Проекция внутренних бизнес-процессов идентифицирует основные процессы, подлежащие усовершенствованию и развитию, с целью укрепления конкурентных преимуществ.
- цели (улучшение ключевых компетентностей и технологий, совершенствование организации производственного процесса, лучший моральный климат сотрудников);
- показатели (эффект-ные улучшения, длит-ть цикла разработки/внедрения, снижение издержек на ед продукции, снижение ущерба, улучшение снабжения, удовлетворенность и моральный климат сотрудников, аудит внутр стандартов, число жалоб сотрудников, продажи сотрудникам).
Инновации и обучение-
четвертая проекция ССП. Она определяет инфр-ру, кот. орган-ция должна построить для того, чтобы обеспечить рост и развитие в долгосрочной перспективе
- цели (новые продукты, непрерывное их совершенствование, обучение сотрудников);
- показатели (число новых прод-ов и % их продаж, число сотрудников, прошедших обучение, число часов обучения на одного сотрудника, число внедренных стратегически важных искусств, согласование целей с ССП).
SJVMRT
-критерии
При формализации целей необходимо соблюдать как минимум пять требований которые в зарубежной практике часто называют SJVMRT-критериями:
1. Конкретность (
Specific
).
2. Измеримость (
Measurable
).
3. Достижимость (реализуемость) (
Achievable
).
4. Значимость (
Relevant
).
5. Определенность во времени (
Timed
/
Timed
-
bound
).
37.
Типовой план проекта «Разработка и внедрение системы сбалансированных показателей – BSC на корпоративном уровне»
Цель проекта:
Повышение эффективности реализации стратегии предприятия посредством разработки и внедрения системы сбалансированных показателей – BSC. Для достижения целей проекта необходимо решить следующие задачи:
Задачи проекта:
-Разработка корпоративной стратегической карты (Strategic Map)
-Разработка корпоративной счетной карты (Score Card)
-Разработка таблицы и плана стратегических инициатив (Initiatives Plan). Разработка стратегического бюджета (Strategic Budget)
-Внедрение системы сбалансированных показателей – BSC на корпоративном уровне
Этапы проекта:
Работы проекта по разработке и внедрению системы сбалансированных показателей – BSC согласно сформулированным задачам разбиваются на следующие 4 этапа:
| №
|
Название этапа
|
Длительность
|
| Этап 1
|
Разработка корпоративной стратегической карты (Strategic Map)
|
Ориентировочно 3 недели (точная длительность этапа определяется исходя из размеров предприятия и объема работ)
|
| Этап 2
|
Разработка корпоративной счетной карты (Score Card)
|
Ориентировочно 1 месяц (точная длительность этапа определяется исходя из размеров предприятия и объема работ)
|
| Этап 3
|
Разработка таблицы и плана стратегических инициатив (Initiatives Plan). Разработка стратегического бюджета (Strategic Budget)
|
Ориентировочно 3 недели (точная длительность этапа определяется исходя из размеров предприятия и объема работ)
|
| Этап 4
|
Внедрение системы сбалансированных показателей – BSC на корпоративном уровне
|
Ориентировочно 3 недели (точная длительность этапа определяется исходя из размеров предприятия и объема работ)
|
Описание этапов:
Этап 1. «
Разработка корпоративной стратегической карты (Strategic Map)»
| №
|
Работы
|
Результаты
|
| 1.
|
Организация работ по проекту
|
| 1.1.
|
Определение состава и формирование координационной рабочей группы проекта со стороны Заказчика
|
Приказ о создании координационной рабочей группы проекта
|
| 1.2.
|
Разработка календарного плана работ по проекту
|
Календарный план работ по проекту
|
| 1.3.
|
Разработка регламента проведения работ по проекту
|
Регламент проведения работ по проекту
|
| 2.
|
Изучение и анализ стратегии и стратегических целей предприятия
|
Отчет с результатами анализа
|
| 3.
|
Разработка финансовой составляющей (F) стратегической карты BSC
|
| 3.1.
|
Определение и формулирование общих (Core) финансовых целей
|
Перечень финансовых целей
|
| 3.2.
|
Определение и формулирование специфических (Specific) финансовых целей
|
| 3.3.
|
Определение причинно-следственных связей между финансовыми целями и разработка стратегической карты по финансовой перспективе
|
Стратегическая карта по финансовой перспективе
|
| 4.
|
Разработка клиентской составляющей (C) стратегической карты BSC
|
| 4.1.
|
Определение и формулирование общих (Core) клиентских целей
|
Перечень клиентских целей
|
| 4.2.
|
Определение и формулирование специфических (Specific) клиентских целей
|
| 4.3.
|
Определение причинно-следственных связей между клиентскими целями и разработка стратегической карты по клиентской перспективе
|
Стратегическая карта по клиентской перспективе
|
| 5.
|
Разработка внутренней/процессной составляющей (I) стратегической карты BSC
|
| 5.1.
|
Определение и формулирование общих (Core) внутренних/процессных целей
|
Перечень внутренних/процессных целей
|
| 5.2.
|
Определение и формулирование специфических (Specific) внутренних/процессных целей
|
| 5.3.
|
Определение причинно-следственных связей между внутренними/процессными целями и разработка стратегической карты по внутренней/процессной перспективе
|
Стратегическая карта по внутренней/процессной перспективе
|
| 6.
|
Разработка составляющей стратегической карты BSC по перспективе «Персонал и системы» (L)
|
| 6.1.
|
Определение и формулирование общих (Core) целей по перспективе «Персонал и системы»
|
Перечень целей по перспективе «Персонал и системы»
|
| 6.2.
|
Определение и формулирование специфических (Specific) целей по перспективе «Персонал и системы»
|
| 6.3.
|
Определение причинно-следственных связей между целями перспективы «Персонал и системы» и разработка стратегической карты по перспективе «Персонал и системы»
|
Стратегическая карта по перспективе «Персонал и системы»
|
| 7.
|
Проверка сбалансированности стратегических целей, разработка и согласование итоговой корпоративной стратегической карты
|
Корпоративная стратегическая карта
|
Этап 2. «
Разработка корпоративной счетной карты (Score Card)»
| №
|
Работы
|
Результаты
|
| 1.
|
Определение корпоративных показателей результативности – KPI для финансовых целей (F)
|
| 1.1.
|
Определение и формулирование отсроченных (Lag) финансовых показателей
|
Перечень финансовых показателей
|
| 1.2.
|
Определение и формулирование опережающих (Lead) финансовых показателей
|
| 1.3.
|
Определение причинно-следственных связей между финансовыми показателями и разработка счетной карты по финансовой перспективе
|
Счетная карта по финансовой перспективе
|
| 2.
|
Определение корпоративных показателей результативности – KPI для клиентских целей (C)
|
| 2.1.
|
Определение и формулирование отсроченных (Lag) клиентских показателей
|
Перечень клиентских показателей
|
| 2.2.
|
Определение и формулирование опережающих (Lead) клиентских показателей
|
| 2.3.
|
Определение причинно-следственных связей между клиентскими показателями и разработка счетной карты по клиентской перспективе
|
Счетная карта по клиентской перспективе
|
| 3.
|
Определение корпоративных показателей результативности – KPI для внутренних/процессных целей (I)
|
| 3.1.
|
Определение и формулирование отсроченных (Lag) внутренних/процессных показателей
|
Перечень внутренних/процессных показателей
|
| 3.2.
|
Определение и формулирование опережающих (Lead) внутренних/процессных показателей
|
| 3.3.
|
Определение причинно-следственных связей между внутренними/процессными показателями и разработка счетной карты по внутренней/процессной перспективе
|
Счетная карта по внутренней/процессной перспективе
|
| 4.
|
Определение корпоративных показателей результативности – KPI для целей по перспективе «Персонал и системы» (L)
|
| 4.1.
|
Определение и формулирование отсроченных (Lag) показателей по перспективе «Персонал и системы»
|
Перечень показателей по перспективе «Персонал и системы»
|
| 4.2.
|
Определение и формулирование опережающих (Lead) показателей по перспективе «Персонал и системы»
|
| 4.3.
|
Определение причинно-следственных связей между показателями и разработка счетной карты по перспективе «Персонал и системы»
|
Счетная карта по перспективе «Персонал и системы»
|
| 5.
|
Формулирование значений корпоративных показателей на итоговый и промежуточные плановые периоды
|
Таблица плановых значений корпоративных показателей
|
| 6.
|
Проверка сбалансированности ключевых показателей результативности - KPI, разработка и согласование итоговой корпоративной счетной карты
|
Корпоративная счетная карта
|
Этап 3. «Разработка таблицы и плана стратегических инициатив (Initiatives Plan). Разработка стратегического бюджета (Strategic Budget)»
| №
|
Работы
|
Результаты
|
| 1.
|
Разработка таблицы стратегических инициатив
|
| 1.1.
|
Формулирование стратегических инициатив (проектов и программ развития)
|
Перечень стратегических инициатив
|
| 1.2.
|
Разработка матрицы формирования стратегических инициатив
|
Матрица формирования инициатив
|
| 1.3.
|
Анализ соответствия и достаточности стратегических инициатив корпоративным стратегическим целям и ключевым показателям результативности
|
Результаты анализа
Предложения по доработке перечня стратегических инициатив
|
| 2.
|
Разработка стратегического бюджета (Strategic Budget)
|
| 2.1.
|
Оценка стоимости стратегических инициатив
|
Бюджет стоимости инициатив
|
| 2.2.
|
Разработка стратегического бюджета
|
Стратегический бюджет
|
| 2.3.
|
Анализ стратегического бюджета и корректировка стратегии, стратегических целей, показателей и инициатив
|
Результаты анализа и предложения по корректировке
|
| 3.
|
Разработка плана стратегических инициатив (Initiatives Plan)
|
| 3.1.
|
Разработка календарного плана реализации стратегических инициатив
|
План стратегических инициатив
|
| 3.2.
|
Определение ответственных за реализацию стратегических инициатив
|
Матрица ответственности за реализацию инициатив
|
Этап 4. «Внедрение системы сбалансированных показателей – BSC на корпоративном уровне»
| №
|
Работы
|
Результаты
|
| 1.
|
Распределение ответственности за достижение плановых значений корпоративных показателей - KPI
|
| 1.1.
|
Распределение ответственности за достижение плановых значений корпоративных показателей - KPI
|
Матрица ответственности за корпоративные показатели
|
| 1.2.
|
Разработка предложений по введению корпоративных показателей - KPI в систему мотивации
|
Предложение по совершенствованию системы мотивации
|
| 2.
|
Разработка механизмов интеграции системы сбалансированных показателей с другими системами управления предприятием
|
| 2.1.
|
Разработка механизмов интеграции системы сбалансированных показателей с системой финансового управления, бюджетирования и управленческого учета
|
Схема интеграции
|
| 2.2.
|
Разработка механизмов интеграции системы сбалансированных показателей с системой управления маркетингом
|
Схема интеграции
|
| 2.3.
|
Разработка механизмов интеграции системы сбалансированных показателей с системой процессного управления/системой менеджмента качества (СМК)
|
Схема интеграции
|
| 2.4.
|
Разработка механизмов интеграции системы сбалансированных показателей с системой управления персоналом
|
Схема интеграции
|
| 2.5.
|
Разработка механизмов интеграции системы сбалансированных показателей с системой управления проектами
|
Схема интеграции
|
| 3.
|
Разработка и внедрение процессов обратной связи по реализации стратегии
|
| 3.1.
|
Разработка процессов, процедур и механизмов формирования и получения фактических значений по корпоративным показателям для целей проведения план-фактного контроля реализации стратегии
|
Схемы формирования фактических значений показателей
|
| 3.2.
|
Разработка процессов корректировки стратегических целей и показателей
|
Схемы процессов
|
| 3.3.
|
Разработка документов регламентирующих функционирование системы сбалансированных показателей
|
Регламентирующие документы
|
39.Принципы построения и разработка ССП
Основные принципы построения ССП
- Принцип каскада — цели первого уровня являются аналитической суммой целей второго уровня.
- Сбалансированность. При составлении ССП необходимо видеть и понимать, как одно влияет на другое (повышение удовлетворенности сотрудников и, как следствие, производительности труда оказывает влияние на улучшение качества выпускаемой продукции, а благодаря этому растет доля рынка компании).
- Каждый параметр, включенный в ССП, должен быть элементом
цепи причинно-следственных связей, посредством которой может быть получена информация о стратегии (например, связь между повышением квалификации менеджеров по продажам и увеличением прибыли может быть установлена такой последовательностью гипотез: если мы увеличили число занятий по продуктам, то менеджеры отдела продаж станут более осведомленными относительно ассортимента товаров, которые они могут продать; если они станут более осведомленными, то объем продаж возрастет; если объем продаж возрастет, то и прибыль увеличится).
- Правильно составленная ССП должна иметь сбалансированный комплекс результатов и факторов достижения результатов, что является неотъемлемой частью общей стратегии.
- Все показатели ССП через цепь причинно-следственных связей должны быть согласованы с финансовыми целями.
Советы по составлению ССП
1. Не игнорируйте использование нефинансовых показателей в ССП. Финансовые показатели всегда являются зависимыми по отношению к нефинансовым. А потому именно использование последних дает возможность руководству реально повлиять на процессы в компании.
2. Не перегружайте ССП лишними измеряемыми показателями. Опыт показывает, что оптимальным является следующее соотношение числа показателей для каждой из четырех перспектив:
- финансы – 4-5 показателей (22%)
- клиенты - 4-5 показателей (22%)
- внутренние бизнес-процессы — 8-10 показателей (34%)
- обучение и развитие — 4-5 показателей (22%).
3. Не меняйте формулы расчета показателей, чтобы впоследствии не возникло проблем с интерпретацией. Вместе с тем добавляйте новые или удаляйте ненужные показатели.
4. Для наглядности используйте графики и диаграммы.
5. Не стремитесь на первом этапе приобретать специальное программное обеспечение для
ведения ССП.
6. Используйте ССП как механизм мотивации персонала. Разработанные показатели закрепляются за конкретными людьми, а достижение заданных значений показателей можно соотнести с достижением целей компании и с ростом благосостояния собственников.
7. Чтобы процесс разработки ССП не затянулся на долгие месяцы (годы), целесообразно составить примерный график работ.
8. Составляйте ССП, учитывая структуру своей компании.
Особенности составления ССП в компании, в структуре которой несколько бизнес-единиц:
ССП всей компании определяет общие стратегические приоритеты;
каждая бизнес-единица разрабатывает собственный долгосрочный план и стратегическую карту в соответствии со стратегическими приоритетами компании;
каждое подразделение разрабатывает план мероприятий и карту с целью достижения наилучших результатов;
руководители формулируют индивидуальные целевые и измеряемые показатели.
4. Факторы успеха
Для успешного внедрения ССП необходимо соблюдение нескольких условий:
1. Показатели не должны быть хаотичными. Необходимо их систематизировать в соответствии со стратегией.
2. Система сбора информации о деятельности всех подразделений должна быть хорошо налажена.
3. Руководство компании должно быть готово к конструктивной работе по созданию стратегии, обсуждению целей и разработке подробного плана работы.
4. Желательно, чтобы в компании хотя бы один сотрудник имел опыт построения подобных систем управления или хорошо в них разбирался.
5. При введении ССП нужно быть готовым к трудностям, возникающим при любой перестройке бизнес-процессов, главной из которых является сопротивление персонала.
6. Необходимо выстроить систему управления вокруг новых наборов показателей и способов их измерения. Донести это до работников, чтобы они понимали, в чем конкурентное преимущество компании.
7. Индивидуальные мотиваторы и личные цели сотрудников нужно привязать к показателям, а затем отслеживать данные их изменений и оценок для того, чтобы можно было понять, какие бизнес-процессы необходимо улучшить.
8. За ключевые показатели эффективности должны отвечать заинтересованные специалисты, которые имеют возможность влиять на их величину.
9. ССП является гибкой и может изменяться с течением времени, так как определить сразу, какие именно параметры будут наиболее точно описывать работу компании, довольно сложно.
5. Причины неудач
1. Моральная и профессиональная неготовность компании к изменениям.
2. Бездумное следование шаблону.
3. Cyгyбo операционный подход и излишняя детализация (слишком много показателей).
4. Топ-менеджмент дистанцируется от внедрения.
Или
Эффективность сбалансированной системы показателей зависит от качества ее внедрения. Внедрение ССП осуществляется в четыре этапа:
-подготовка к разработке ССП;
-разработка ССП;
-каскадирование ССП;
-контроль выполнения стратегии.
Подготовка к разработке ССП
На этапе подготовки к построению ССП необходимо разработать стратегию, определить перспективы и принять решение, для каких организационных единиц и уровней нужно разработать ССП.
Важно всегда помнить, что ССП – это концепция внедрения существующих стратегий, а не разработки принципиально новых стратегий. Необходимо сначала завершить разработку стратегии, а потом приступать к созданию сбалансированной системы показателей.
При определении подразделений, для которых будет разрабатываться ССП, нужно учитывать следующее: чем больше подразделений предприятия управляются стратегически с помощью одной ССП, тем лучше можно каскадировать (декомпозировать, передавать) важные цели с верхнего уровня на нижние.
Одним из важных мероприятий при подготовке к разработке ССП является выбор перспектив. Рассмотрение различных перспектив при формировании и реализации стратегии является характерной чертой концепции сбалансированной системы показателей и ее ключевым элементом. Формулирование стратегических целей, подбор показателей и разработка стратегических мероприятий по нескольким перспективам призваны обеспечить всестороннее рассмотрение деятельности компании.
Компании, формулирующие свою стратегию слишком односторонне, необязательно отклоняются только в сторону финансов. Встречаются компании, которые слишком ориентированы на клиента и забывают о своих финансовых целях. Некоторые компании могут быть чрезмерно ориентированы на свои бизнес-процессы и не обращают внимания на рыночные аспекты. Равноправное рассмотрение нескольких перспектив позволяет избежать такой несбалансированности.
Итак, исходными предпосылками разработки ССП являются:
-перспективы ССП;
-информированная и мотивированная команда высшего руководства;
-стратегия, являющаяся «зрелой» для разработки ССП.
Разработка ССП
На этом этапе разрабатывается ССП для одной организационной единицы. Это может быть компания в целом, подразделение или отдел.
При этом разработка ССП осуществляется путем выполнения следующих шагов:
-конкретизация стратегических целей;
-связывание стратегических целей причинно-следственными цепочками – построение стратегической карты;
-выбор показателей и определение их целевых значений;
-определение связи показателей с бизнес-процессами;
-разработка стратегических мероприятий.
Стратегические цели имеют статус решающих и ключевых целей компании. Чтобы спланировать и обеспечить процесс реализации целей, для каждой из них разрабатываются соответствующие финансовые и нефинансовые показатели, по которым, в свою очередь, определяются целевые, плановые и фактические значения. Достижение разработанных целей призвана обеспечить реализация стратегических мероприятий. По каждому стратегическому мероприятию определяются сроки его реализации, бюджет и четкая ответственность.
Результат данного этапа обеспечивает единое понимание стратегии и является исходным пунктом для постоянного мониторинга внедрения стратегии. Только после информирования о ССП в организации, передачи целей на нижние уровни (каскадирование), создания адекватной системы планирования и отчетности и адаптации систем руководства и мотивации сотрудников ССП становится концепцией менеджмента.
На этапе разработки ССП необходимо учитывать, что стратегические цели, а не их показатели, составляют ядро сбалансированной системы показателей. Лучшие показатели бесполезны, если положенные в их основу цели не описывают надлежащим образом стратегию, ведущую к устойчивому конкурентному преимуществу.
Каскадирование ССП
Каскадирование ведет к повышению качества стратегического управления во всех вовлеченных организационных единицах, поскольку цели и стратегические мероприятия из вышестоящих подразделений могут быть последовательно переданы в ССП нижестоящих организационных единиц – это вертикальная интеграция целей [3]. Тем самым повышается вероятность, что стратегические цели всего предприятия или крупных подразделений будут достигнуты.
Затем стратегические цели, показатели, целевые значения и действия по совершенствованию конкретизируются и адаптируются в подразделениях и отделах. Т.е. корпоративная ССП должна быть увязана с ССП подразделений, отделов и с индивидуальными планами работы сотрудников. На основе ССП своего подразделения каждый отдел разрабатывает собственную ССП, которая должна быть согласована с корпоративной ССП.
индивидуальный план работы. Этот план больше ориентирован на достижение реальных результатов на рабочем месте, а не на задания или действия по усовершенствованию.
Степень подробности декомпозиции сбалансированных систем показателей «сверху вниз» зависит от организационной структуры и размера компании. Каждое подразделение включает в свою систему показателей только те задачи и показатели результативности общей (корпоративной) ССП, на которые оно оказывает влияние.
Контроль выполнения стратегии
Если бы внедрение ССП [4, 5] заканчивалось разработкой стратегических целей, причинно-следственных цепочек, показателей, целевых значений и стратегических мероприятий для одной организационной единицы, это означало бы лишь одноразовое сильное фокусирование на стратегию. Чтобы обеспечить долгосрочную реализацию стратегии, сформулированной в ССП, необходимо интегрировать ССП в систему управления.
Внедрение методологии реализации стратегии сегодня непрерывно связано с автоматизацией. Внедрение ССП, например, с помощью MS Excel, или вообще без какой-либо информационной поддержки возможно лишь на начальных этапах внедрения ССП либо в небольших организациях. Если компания собирается разрабатывать сбалансированные системы показателей для нескольких структурных подразделений и периодически их уточнять и корректировать, то без использования преимуществ информационных технологий не обойтись.
Как правило, основная проблема, с которой сталкиваются предприятия, решившие внедрить у себя данную методологию реализации стратегии, не в том, как автоматизировать создание дерева целей и показателей или построение стратегической карты, а в том, как в автоматическом режиме постоянно обеспечивать ССП свежими данными и поддерживать ее в рабочем состоянии. Программный продукт Business Studio как раз и предназначен для решения проблем, связанных с автоматизацией внедрения ССП.
Лишь с завершением этапа внедрения сбалансированная система показателей действует как концепция менеджмента, а не только как система показателей.
40,41. Бенчмаркинг
Б.-
это пост. процесс изучения и оценки товаров, услуг и опыта произ-ва своих самых серьезных конкурентов, либо тех компаний, которые являются признанными лидерами в своей области.
Б.
-
это поиск наилучшего промышленного опыта, ведущего к превосходству в сфере производства.
"Б.-это постоянное измерение и сравнение отдельно взятого бизнес процесса с эталонным процессом ведущей организации для сбора инф-ии, к-ая поможет рассматриваемому предп-ю опр-ть цель своего совершенствования и провести мероприятия по улучшению работы". Большинство специалистов придерживается мнения, что б. - изучение и внедрение методов управления других, успешно работающих при их помощи орг-ий, путем сравнения с ними после выявления слабых сторон своей орг-ии
Б.
вкл-ет в себя процесс оценки как внутреннего положения вещей в компании, так и внешней оценки, основываясь на определенных объективных и постоянно собирающихся фактах.
Объектом исследования
б. являются товары, услуги и опыт промышленного производства; это больше, чем анализ потенциала конкурентов. Объектом исследования б. являются признанные лидеры в своей области (не только непосредственные конкуренты). Б.-это поиск передового промышленного опыта.
Цель б.-научиться перенимать опыт других, неважно работают они в одной с вами области или нет.
Главная задача и результат б.-
это генерирование информации для принятия решений в области построения наиболее эффективной модели бизнеса или модели преодоления кризиса на предприятии.
Цель бенчмаркинга -- повышение эффективности собственной деятельности и завоевание преимуществ в конкурентной борьбе. В настоящее время бенчмаркинг, использование его главного принципа "от лучшего к лучшему", возвращает к жизни, к успеху многие фирмы США, Японии, Западной Европы. Предметом бенчмаркинга является технология, производственные процессы, методы организации производства и сбыта продукции. Результаты бенчмаркинга наряду с результатами маркетинговых исследований используются при выработке целей и стратегий деятельности организаций.
42. Виды и принципы бенчмаркинга
Основные виды бенчмаркинга являются:
Внутренний бенчмаркинг
— бенчмаркинг, осуществляемый внутри организации путем сопоставления характеристики производственных единиц, схожих с аналогичными процессами.
Бенчмаркинг конкурентоспособности
— измерение характеристики предприятия и ее сопоставление с характеристикой конкурентов, исследования специфических продуктов, возможностей процесса или административных методов предприятий-конкурентов.
Функциональный бенчмаркинг
— бенчмаркинг, который сравнивает определенную функцию двух или более организаций в том же секторе.
Бенчмаркинг процесса
— деятельность по изменению определенных показателей и функциональности для их сопоставления с предприятиями, характеристика которых является совершенной в аналогичных процессах.
Глобальный бенчмаркинг
— расширение стратегического бенчмар-кинга, которое включает также ассоциативный бенчмаркинг.
Общий бенчмаркинг
— бенчмаркинг процесса, который сравнивает определенную функцию двух или более организаций независимо от сектора.
Бенчмаркинг затрат
— сравнивает уровень постоянных и переменных издержек по выполнению схожих бизнес-процессов в разных органнизациях.
Ассоциативный бенчмаркинг
— бенчмаркинг, проводимый организациями, состоящими в узком бенчмаркинговом альянсе. Протокол этой кооперации содержится в Кодексе поведения бенчмаркинга.
Выделяют еще бенчмаркинг характеристики, бенчмаркинг клиента, стратегический бенчмаркинг, оперативный бенчмаркинг.
Бенчмаркинг близок к понятию маркетинговой разведки
, которая означает постоянную деятельность по сбору текущей информации об изменении внешней среды маркетинга, необходимой как для разработки, так и корректировки планов маркетинга.
В центре внимания бенчмаркинга находятся такие вопросы, как:
• Кто, какая фирма находится на вершине конкуренции?
• Почему собственное предприятие не является лучшим?
• Что должно быть изменено или сохранено на предприятии, чтобы стать лучшим?
• Как внедрить соответствующую стратегию, чтобы стать лучшим из лучших?
43. Модель «Колесо бенчмаркинга»
Стандартный процесс бенчмаркинга можно представить с помощью моделей бенчмаркинга. Одна из них называется "Колесо бенчмаркинга" и состоит из ряда этапов: планирование, поиск, наблюдение, анализ, адаптация (рисунок 6).

44.Основные принципы бенчмаркинга и этики бизнеса
Watson G.H. выделяет следующие основные принципы бенчмаркинга:
1. Взаимность. Все должно быть заранее установлено и согласовано.
2. Аналогия. Оперативные процессы партнеров должны быть схожими. Аналогия процессов и установление критериев отбора партнеров по бенчмаркингу являются тем, от чего зависит успех деятельности.
3. Измерение.
Бенчмаркинг – это сравнение характеристик, измеренных на нескольких предприятиях; целью является установление того, почему существуют различия в характеристиках и как достигнуть их наилучшего значения.
4. Достоверность.
Бенчмаркинг должен проводиться на основе фактических данных, точного анализа и изучения процесса, а не только на базе интуиции.
Бенчмаркинг — это взгляд на внутренние функции, деятельность и опыт со следующими целями:
• определить лучшие результаты;
• проанализировать свою работу;
• выявить недостатки в функционировании;
• устранить слабые места;
• создать мотивацию к постоянному улучшению.
Этика в бизнесе
— это значит создавать условия в соответствии с основными человеческими ценностями.
Базовые принципы:
- «Кюусей». В переводе с японского: жить и работать вместе для общего блага и через это создавать возможности для кооперации и взаимного благополучия. Сотрудничать вместе в здоровой и честной конкуренции.
- Человеческое достоинство. Каждый человек достоин уважения и не должен рассматриваться только как инструмент для достижения целей компании.
Дополнительные принципы:
- Ответственность за бизнес-процесс со стороны владельцев компаний и наемных работников.
Ценность компании для общества основана на улучшении благосостояния общества, предоставлении рабочих мест, а также на продуктах и сервисе, которыми обеспечивает компания своих потребителей. Для создания подобных благ для общества компания должна поддерживать свое экономическое «здоровье» и жизнеспособность. Нацеленность только на выживание в данном случае недостаточна.
Компании играют важную роль для своих клиентов, работников и акционеров, разделяя с ними все блага, которые компания создает совместно с ними. Партнеры и конкуренты ожидают, что компания выполняет все свои обещания, будучи честной и корректной по отношению к ним.
Все компании ответственны за локальное, региональное, национальное и глобальное общество, в котором они работают. Они участвуют в создании будущего для этого общества.
- Экономический и социальный результат от ведения бизнеса направлен на улучшение общества в целом.
Компании, которые начинают работать в других странах, производят и продают, содействуют прогрессу в этих странах путем создания новых рабочих мест и возможностей. Также они способствуют развитию образования, прав человека и благосостояния общества.
- Поведение в бизнесе: следование законам и дух доверия. Несмотря на наличие секретов производства, компании должны быть честными и открытыми партнерами, которым доверяют как на национальном, так и на межнациональном уровне.
- Уважение правил.
Для избежания проблем и для поддержки свободной торговли и честной конкуренции компании должны уважать национальные и интернациональные законы.
- Поддержка и взаимная торговля.
Участники торговых сделок должны поддерживать ГАТТ и ВТО, интернациональную систему торговли и прочие международные торговые соглашения. Они должны сотрудничать во имя прогресса и либеральной торговли.
- Уважение к окружающей среде.
Компании должны защищать и улучшать окружающую среду, не допускать расточительства природных ресурсов.
- Избегание нелегальных действий.
Компании должны избегать отмывания денег и прочих нелегальных финансовых операций; не поддерживать криминальный бизнес.
46. Этапы развития и проведения бенчмаркинга.
Б.
-
это поиск наилучшего промышленного опыта, ведущего к превосходству в сфере производства.
1-ое
поколение б. интерпретировалось как реинжиниринг или ретроспективный анализ продукта;2-ое
поколение-б. конкурентоспособности — развивалось как наука в 1976—1986 гг.;3-е
поколение б. развивалось в 1982—1986 гг., когда предприятия — лидеры качества предпочитали поучиться у предприятий вне их сектора или отрасли, чем исследовать деят-ть конкурентов; 4-ое
поколение б.-это стратегический б., к-ый рассм-ся как систематический процесс, направленный на оценку альтернатив, реализацию стратегий и усовершенствование характеристик производительности на основе изучения успешных стратегий внешних предприятий партнеров; 5-ое
поколение — глобальный б.г, к-ый рассматривается как будущий инструмент организации международных обменов с учетом культуры и национальных процессов организации производства.
Основные этапы проведения б.:
1)Выбор продукта, услуги или процесса для сравнения;
2)Определение основных критериев оценки;
3)Выбор компании или внутрифирменной области для сравнения;
4)Сбор информации;
5)Анализ показателей и определение возможностей применения полученных данных;
6)Адаптация и применение лучших практических разработок, установление обоснованных задач для компании, применения полученного опыта.
47.Причины популярности бенчмаркинга.
Джейсон Грейсон-младший (Jason Grason Jr.), глава International Benchmarking Clearinghouse, так определил причины сегодняшней популярности бенчмаркинга:
1. Глобальная конкуренция
Сегодня, в эпоху глобализации бизнеса, компании осознают необходимость всестороннего и детального изучения и последующего использования лучших достижений конкурентов в целях собственного выживания.
2. Вознаграждение за качество
В последние годы все большее распространение получают проходящие на национальном уровне кампании по определению и вознаграждению фирм — лидеров качества. Условия участия в подобных программах предполагают, помимо демонстрации компаниями-участниками конкурентных преимуществ выпускаемых ими продуктов, обязательное применение концепции бенчмаркинга в практике управления компанией.
3. Необходимость повсеместной адаптации и использования мировых достижений в области производственных и бизнес-технологий.
Чтобы не остаться позади своих конкурентов, всем компаниям, независимо от размера и сферы деятельности, необходимо постоянно изучать и применять передовой опыт в области производственных и бизнес-технологий.
В поисках успешного опыта компании в первую очередь обращают внимание на конкурентов: конкурирующие компании и так следят за каждым движением друг друга. В этом случае долго не размышляют, полезен данный опыт или нет. Если конкурент отбирает у вас долю рынка, значит, у него наверняка что-то работает лучше.
48. Какие этапы включает конкурентный анализ отрасли.
В качестве еще одного примера методики проведения бенчмаркинга рассмотрим конкурентный анализ отрасли.
Конкурентный анализ отрасли
включает в себя несколько разделов (этапов), которые рассматриваются ниже.
1. Определение главных экономических характеристик отрасли
Под отраслью понимается группа предприятий, чья продукция имеет общие потребительские характеристики и которые конкурируют на одном потребительском рынке.
В рамках этого этапа анализа необходимо получить ответы на следующие вопросы:
размер рынка;
темпы роста рынка и позиция отрасли в жизненном цикле (раннее развитие, быстрый рост, зрелость, насыщение, старение и стагнация, сокращение рынка и продаж);
масштаб конкуренции (локальный, региональный, национальный, группа стран, глобальный);
количество конкурентов и их сравнительные размеры;
количество покупателей и их сравнительные размеры;
наличие в отрасли вертикальной интеграции;
легкость или сложность входа в отрасль и выхода из нее;
темпы технического прогресса в отрасли;
степень дифференциации продукции конкурентов (сильно дифференцирована, слабо дифференцирована или практически идентична);
наличие фактора экономии на масштабах;
является ли достигнутый уровень производительности критическим для снижения издержек;
уровень рентабельности в отрасли в сравнении со средним в народном хозяйстве.
2. Движущие силы развития отрасли
Этот этап анализа должен дать понимание того, что движет развитием отрасли и в каком направлении она будет изменяться. Необходимо проанализировать следующие факторы:
общеэкономические тенденции;
изменение состава покупателей и способов использования традиционной продукции отрасли;
появление новых продуктов с качественно другими характеристиками;
изменения в технологии, новые возможности производить более высококачественную или более дешевую продукцию;
маркетинговые нововведения, дифференциация продукции, появление новых методов распределения продукта;
появление в отрасли новых крупных фирм или выход крупной фирмы из отрасли;
распространение технологических знаний и секретов производства;
растущий масштаб отраслевого рынка;
государственное регулирование отрасли;
изменения в издержках производства, например под влиянием изменения цен на сырье;
демографические изменения;
изменения социального характера или изменения стиля жизни;
сокращение неопределенности и снижение рисков инвестиций в отрасль.
3. Оценка сил конкуренции
При оценке сил конкуренции используется модель М. Портера, по которой конкуренция в любой отрасли есть взаимодействие пяти конкурентных сил:
конкуренция среди существующих в отрасли фирм;
потенциальная угроза входа в отрасль новых конкурентов;
предприятия других отраслей, производящие товары-заменители;
поставщики;
потребители.
Наиболее значимой конкурентной силой является обычно конкуренция среди существующих в отрасли фирм. Она проявляется в стремлении соперничающих предприятий улучшить свою рыночную позицию, в наступательных действиях с целью подняться над конкурентами или победить отдельного конкурента, в защитной тактике с целью отстоять занимаемые позиции. Инструментами внутриотраслевой конкуренции являются: цены, качество продукции, внешний вид продукции и упаковки, гарантии, дополнительные услуги, реклама, способность к реализации нововведений, мощь собственной или партнерской распределительной сети и другие. На данном этапе анализа задача заключается в общей характеристике внутриотраслевого соперничества, определении правил, по которым она ведется в данной отрасли, и оценке силы внутриотраслевой конкуренции в настоящее время и в перспективе.
Угроза появления в отрасли новых фирм — следующая сила конкуренции, которая должна быть проанализирована. Серьезные последствия появления таких фирм проявляются в снижении доходности деятельности отрасли, борьбе за передел рынков, увеличении маркетинговых затрат. Величина угрозы появления новых фирм зависит от рентабельности отрасли по отношению к средней в народном хозяйстве и от наличия и значительности входных барьеров. Входные барьеры представляют собой препятствия, которые необходимо преодолеть для успешной конкуренции, создав для этого необходимые резервы, и которые обычно не существуют для фирм внутри отрасли. К входным барьерам относятся:
Экономия на масштабах. Если этот фактор действует в отрасли, то новичку необходимо сразу же выходить на большие объемы, чтобы быть конкурентоспособным. Это требует серьезных капиталовложений и наличия организационного опыта.
Трудность доступа к производственному опыту и секретам производства.
Ориентация покупателей на известные торговые марки и их приверженность известной им продукции.
Большая потребность в капитале, не связанная с экономией на масштабах.
Специфические отраслевые преимущества уже действующих фирм, априорно обеспечивающие им возможности более низких издержек. Например, это может быть связано с доступом к сырью или другим ресурсам или с наиболее выгодным местоположением.
Доступ к каналам распределения. Существующие фирмы так или иначе стараются привязать к себе участников каналов распределения, что создает дополнительные сложности перед новичками.
Государственная политика регулирования в отношении данной отрасли.
Международные торговые ограничения.
Поставщики как сила конкуренции могут оказывать воздействие на конкурентное положение в отрасли за счет повышения цен на свою продукцию. В какой мере им удается это сделать или насколько сильна угроза этого, зависит от силы поставщиков. Считается, что поставщики обладают большой силой при наличии следующих условий:
Продукция, которую они поставляют, имеет решающее значение для качества продукции данной отрасли.
Конкуренция со стороны товаров-заменителей слаба или отсутствует.
Концентрация у поставщиков выше, чем в данной отрасли.
Продукция поставщиков дифференцирована.
Отрасль не является одним из важнейших заказчиков.
Покупатели, как и поставщики, могут с большей или меньшей силой оказывать влияние на конкурентную ситуацию в отрасли. Считается, что покупатели обладают большой силой, когда:
продукция стандартизирована и не дифференцирована;
покупатели нечувствительны к издержкам, связанным с заменой поставщиков;
от продукции отрасли не зависит решающим образом качество продукции у покупателей;
покупатели хорошо информированы о положении в отрасли.
Наиболее неприятная конкурентная ситуация в отрасли складывается, когда конкуренция среди функционирующих фирм сильна, входные барьеры низкие, конкуренция со стороны товаров-заменителей сильная, а поставщики и потребители обладают достаточной силой, чтобы влиять на ситуацию в отрасли, добиваясь своих целей. Однако, даже когда все пять сил конкуренции значительны, отрасль может сохранять привлекательность для отдельных фирм, которым в рамках своих стратегий удается защитить свои позиции.
Удачная стратегия должна решать две задачи в отношении сил конкуренции:
как можно сильнее изолировать свое предприятие от негативного влияния отраслевых сил конкуренции;
использовать сложившуюся в отрасли ситуацию и правила игры в свою пользу.
4. Оценка конкурентных позиций соперничающих предприятий в отрасли
В этой части анализа определяются стратегические группы предприятий, функционирующих в отрасли. Несмотря на то что все предприятия объединяет факт принадлежности к определенной отрасли, они могут значительно отличаться друг от друга по разным параметрам, например по размеру, по рынкам, на которые они работают, по совокупности предлагаемых дополнительных услуг и т. д. Стратегическая группа состоит из соперничающих предприятий с близкими конкурентными подходами и позицией на рынке.
Технику выделения стратегических групп называют составлением карты стратегических групп. Последовательность действий при этом следующая.
1. Определение характеристик, которые дифференцируют предприятия в отрасли. К типовым характеристикам могут быть отнесены:
соотношение цена/качество (высокий, средний, низкий уровень);
географический рынок (местный, региональный, национальный, группа стран, глобальный);
степень вертикальной интеграции (отсутствует, частичная, высокая);
ассортимент (широкий, узкий);
используемые каналы распределения (один, несколько, разнообразные типы);
уровень сервиса (отсутствует, ограниченный, наиболее полный).
В конкретных случаях используются дополнительные, важные для анализа характеристики.
2. Размещение предприятий на двухкоординатной карте с использованием пар указанных характеристик.
3. Объединение предприятий, попадающих в одно стратегическое пространство, в одну группу.
Здесь описана общая процедура составления карты стратегических групп, хотя реальная техника сложнее. Например, если выбранные характеристики коррелированны между собой априори, то такая карта практически бесполезна. Чтобы избежать ошибок в начальный период работы с этим инструментом, целесообразно использовать пары всех выделенных характеристик, чтобы выбрать те карты (одну или несколько) стратегических групп, которые представляются наиболее интересными.
5. Анализ ближайших конкурентов: каковы их возможные действия
Изучение конкретных конкурирующих предприятий сводится к анализу сегодняшней политики и потенциальных шагов ближайших конкурентов. Это трудная задача, но верно оцененные действия конкурентов дают предприятию возможность подготовиться к ним и использовать открывающиеся возможности. Намерения ближайших конкурентов могут потребовать подготовки предприятий к защите своих позиций или разработки плана активных наступательных действий в случае, если есть предпосылки к ослаблению позиций ближайших конкурентов. С другой стороны, необходимо прогнозировать действия конкурентов в ответ на активизацию собственной конкурентной стратегии.
Понятно, что нельзя абсолютно точно предсказать будущие действия конкурентов, но можно приблизиться к пониманию их подходов. В основе анализа лежит оценка сегодняшнего положения конкурентов, тенденций его изменения и используемой конкурентной стратегии. Существуют три базовые конкурентные стратегии: лидерство в снижении издержек, дифференциация продукции и фокусирование. Процедуру проведения анализа каждого конкурента можно разделить на шесть стадий.
Оценка масштаба конкуренции: локальный, региональный, национальный, группа стран, глобальный.
Оценка стратегических намерений: быть лидером отрасли, стать лидером отрасли, быть в группе лидеров, переместиться в лидирующую группу, переместиться на одну или две позиции в рейтинге отрасли, победить конкретного конкурента (не обязательно лидера), сохранить свою позицию, выжить.
Цели относительно своей рыночной доли: агрессивное расширение как через поглощение, так и через внутренний рост, увеличение доли через внутренний рост (за счет сокращения долей других фирм), расширение через поглощение, сохранение существующей доли рынка, готовность уступить долю для достижения краткосрочных задач по прибыли (упор на рентабельность, а не на объемы продаж).
Конкурентное положение: становится сильнее, хорошо укрепленное, в состоянии защитить свою позицию, держится в определенной группе, старается переместиться на более сильную позицию, становится слабее, но борется, старается занять положение, которое может быть защищено.
Характер действий: преимущественно наступательный, преимущественно защитный, комбинация наступательных и защитных действий; агрессивный, допускающий высокую степень риска, консервативное подражание.
Конкурентная стратегия: лидерство в снижении издержек, фокусирование на определенной рыночной нише (высокодоходная группа населения, покупатели с низкими доходами, географически определенная ниша, покупатели со специальными потребностями и т.п.); дифференциация продукции, основанная на качестве, дополнительных услугах, технологическом превосходстве, ассортименте, репутации фирмы и т. п.
После того как деятельность каждого из ближайших конкурентов будет рассмотрена под таким углом зрения, у аналитиков появляются возможности достаточно уверенно спланировать возможные конкретные шаги конкурентов, сегмент рынка, где следует ожидать атаки, задействованные инструменты конкуренции (цены, реклама и т. п.) и другие параметры. Когда проясняются возможные действия ближайших конкурентов, тогда появляется возможность планировать систему ответных мер для поддержки собственной стратегии или меры, направленные на усиление собственной стратегии, если положение конкурентов позволяет это сделать.
|