Содержание
1. Планирование эксплуатационной программы гостиницы
2. Планирование затрат гостиничного хозяйства
3. Анализ основных фондов ресторанного хозяйства
Задача
Список использованной литературы
гостиница планирование затрата турист
1. Планирование эксплутационной программы гостиницы
Эксплуатационная программа гостиницы – это предоставленный гостиницей объем услуг в натуральном и стоимостном выражении. Для номерного фонда эксплуатационная программа в натуральном выражении – это количество место – дней проживания. В процессе составления эксплуатационной программы определяются основные показатели деятельности гостиниц, которые позволяют дать реальную оценку возможностям номерного фонда:
1. Единовременная вместимость, определяется путем умножения количества номеров каждой категории на количество мест в каждом номере.
2. Общее годовое количество место – дней в гостинице определяется умножением показателя единовременной вместимости на число календарных дней в году. Полученный показатель характеризует максимальную пропускную способность гостиничных мест.
3. Поскольку на практике максимальная загрузка невозможна, в связи с возникновением простоев на капитальный ремонт и реконструкцию, то рассчитывается фактическая пропускная способность с учетом простоев. Так число место – дней простоев номеров, вследствие проведения капремонта, определяется умножением вместимости номеров, которые нуждаются в капремонте на среднюю продолжительность проведения таких робот. Так как нет нормативов ремонтных работ, то число простоев определяется делением часов нужных на проведение таких работ на среднюю продолжительность смены и умножением на численность работников. В результате фактическая пропускная способность гостиницы определяется как разность между максимальной пропускной способностью и количеством место – дней капремонта.
4. Коэффициент использования пропускной способности определяется путем деления фактической пропускной способности на максимальную пропускную способность.
5. Среднее время проживания определяется путем деления числа оплаченных место – дней на число гостей.
6. Коэффициент использования номерного фонда определяется путем деления числа оплаченных места – дней на фактическую пропускную способность.
Забиваем Сайты В ТОП КУВАЛДОЙ - Уникальные возможности от SeoHammer
Каждая ссылка анализируется по трем пакетам оценки: SEO, Трафик и SMM.
SeoHammer делает продвижение сайта прозрачным и простым занятием.
Ссылки, вечные ссылки, статьи, упоминания, пресс-релизы - используйте по максимуму потенциал SeoHammer для продвижения вашего сайта.
Что умеет делать SeoHammer
— Продвижение в один клик, интеллектуальный подбор запросов, покупка самых лучших ссылок с высокой степенью качества у лучших бирж ссылок.
— Регулярная проверка качества ссылок по более чем 100 показателям и ежедневный пересчет показателей качества проекта.
— Все известные форматы ссылок: арендные ссылки, вечные ссылки, публикации (упоминания, мнения, отзывы, статьи, пресс-релизы).
— SeoHammer покажет, где рост или падение, а также запросы, на которые нужно обратить внимание.
SeoHammer еще предоставляет технологию Буст, она ускоряет продвижение в десятки раз,
а первые результаты появляются уже в течение первых 7 дней.
Зарегистрироваться и Начать продвижение
7. Средняя стоимость гостиничного места определяется путем деления выручки на число оплаченных место – дней.
На показатель эксплуатационной программы гостиницы влияют следующие факторы:
· разрядность;
· количество мест и номеров;
· структура номерного фонда;
· структура туристов;
· продолжительность проживания;
· сроки проведения ремонта.
Ряд оперативных показателей деятельности гостиницы целесообразно рассчитывать не исходя из числа место – дней, а на основе количества номеров:
1. Коэффициент заполняемости номерного фонда определяется путем деления общего числа занятых номеров на общее количество номеров. В случае расчета коэффициента за месяц числитель дроби умножается на количество дней занятых, а знаменатель на количество всех номеров гостиницы.
2. Коэффициент занятости гостиничных мест определяется путем деления числа занятых мест на число свободных мест.
3. Среднее количество туристов приходящихся на один проданный номер определяется путем деления общего числа туристов на количество проданных номеров.
 Мп • t + Mк • t
Мпл = Т ,
где
· Мп и Мк число мест на начало и конец планируемого периода соответственно;
· Т – количество месяцев в планируемом периоде;
· t – период наличия соответствующих мест.
Пропускная способность в планируемом периоде определяется путем умножения среднего количества мест в планируемом периоде на длительность планируемого периода.
Таким образом, эксплуатационная программа гостиницы на планируемый период будет равна умножению максимальной пропускной способности гостиницы планируемого периода на планируемый коэффициент ее использования.
На каком бы уровне ни осуществлялось планирование туризма, оно подчиняется одинаковому поэтапному процессу, в котором существует пять основных фаз:
· предварительный ситуационный анализ;
· детальное исследование и подробный ситуационный анализ;
· промежуточные выводы по ситуационному анализу;
· постановка целей, разработка стратегии, постановка задач.
Туристское планирование должно быть всеобъемлющим и учитывать все составные части туризма, а также общие планы территориального развития. Его основой должны стать интересы общества, то есть необходимо обеспечить максимальное участие местного населения в принятии решений по вопросам планирования и развития туризма. Базисная концепция планирования связана с организацией некоторых решений в будущем для достижения определенных целей. Как правило, процесс планирования включает в себя следующие этапы:
Сервис онлайн-записи на собственном Telegram-боте
Попробуйте сервис онлайн-записи VisitTime на основе вашего собственного Telegram-бота:
— Разгрузит мастера, специалиста или компанию;
— Позволит гибко управлять расписанием и загрузкой;
— Разошлет оповещения о новых услугах или акциях;
— Позволит принять оплату на карту/кошелек/счет;
— Позволит записываться на групповые и персональные посещения;
— Поможет получить от клиента отзывы о визите к вам;
— Включает в себя сервис чаевых.
Для новых пользователей первый месяц бесплатно.
Зарегистрироваться в сервисе
1. Подготовительный этап.
2. Постановка целей и задач.
3. Диагностика.
4. Анализ и синтез.
5. Формирование политики и плана.
6. Рекомендации.
7. Осуществление плана.
8. Мониторинг.
Подготовительный этап. На этой стадии необходимо принятие соответствующими органами управления решения о развитии туризма на основе планируемого и контролируемого подхода. Определяются рамочные условия по всем аспектам планирования.
Постановка целей и задач. Этап целеполагания или постановки целей является одним из важнейших для эффективного планирования. [4; с. 34]
Исходя из условия, что рыночные отношения основаны на доминанте горизонтальных связей в виде сетевых структур (ассоциации, холдинги, концерны и т. д.) при сохранении ряда вертикальных (административных) структур (комитеты, фонды имущества, налоговая полиция и др.), кардинальным образом изменяется подход к разработке перечня целей. Методической предпосылкой к формированию системы стратегических целей развития туризма является необходимость осуществления стратегического видения будущего состояния отрасли, главных стратегических ориентиров, частных целей и задач, конкретизирующих цели развития туризма.
Во - первых, формирование стратегических целей развития туризма должно происходить в контексте общих целей общественного развития, главной среди которых является обеспечение качества жизни населения не ниже принятых общегосударственных минимальных социальных стандартов.
Во - вторых, исходной базой разработки целей развития туризма должно быть видение будущего состояния отрасли представителями различных секторов туристской отрасли, общественности, органов управления и пр.
В - третьих, в практической части туристская деятельность может быть ориентирована как на отдельные стратегические цели, так и на их совокупность, которая должна быть структурирована, определены стратегические задачи, более конкретные, выполнение которых приводит к желаемому результату. При этом основная задача состоит в удовлетворении потребностей людей, нуждающихся в различных туристских продуктах, при рациональном использовании всех имеющихся туристских ресурсов и обеспечении устойчивого развития туризма.
В - четвертых, основными методами участия заинтересованных сторон в разработке общественных целей и способов их осуществления для развития туризма являются следующие: проведение общественных семинаров, обследований местных жителей, открытых слушаний, проведение общественных форумов, метод номинальной группы.
Основным требованием, предъявляемым к блоку целей и задач, является обеспечение реальности. Цели должны быть конкретными и достижимыми, сбалансированы по экономическим, социальным и экологическим аспектам. [4; с. 35]
Диагностика. Это этап сбора данных, где информация собирается как из первичных, так и из вторичных источников. В качестве необходимой информационной базы предплановых исследований используется весь комплекс статистических показателей, характеризующих хозяйственную деятельность на исследуемой территории, а также фактологический материал относительно всех факторов, оказывающих влияние на состояние и тенденции развития туризма. [4; с. 36]
Инструменты маркетинга для сбора информации могут использоваться по следующей схеме:
· сегментирование населения города по степени доступности различных форм и видов туризма. Спрос на туристские услуги в значительной мере характеризует такой фактор, как уровень дохода. Проведение сегментирования по вышеуказанному критерию позволит выбрать наиболее оптимальные для населения конкретного региона виды туризма в зависимости от финансовых возможностей каждой группы, выявить малообеспеченный сегмент потребителей и для него разработать особую программу поддержки;
· измерение величины и характеристик потоков посетителей города. Здесь прослеживаются тенденции туристских прибытий в регион как международных, так и внутренних туристов, анализируются специфические характеристики туристов, посещающих регион, при необходимости проводятся специальные обследования туристов. Полученная информация позволит выработать ряд мер по привлечению въездных посетителей и ляжет в основу исследования востребованности существующего туристского предложения; предоставит возможность выявить и описать значимые позитивные и негативные факторы, влияющие на привлечение туристских потоков, как, например, привлекательный или непривлекательный имидж туристского центра в направляющих странах, как влияет политическая нестабильность, преступность; какова удаленность туристского центра от основных направляющих стран и стоимость проезда;
· исследования в области туристского предложения территории. При этом для оценки туристского предложения целесообразно использование ресурсно-отраслевого подхода. Он предполагает проведение оценки основных видов туристских ресурсов по категориям: наличия, местоположения, доступности, привлекательности, состояния и удобства использования, емкости и пропускной способности, безопасности, проблемам и перспективам использования. В рамках данного подхода собирается и систематизируется информация по элементам, составляющим туристский потенциал территории. При этом оценки должны быть дифференцированными для различных форм и видов туризма;
· исследование и выявление факторов, формирующих спрос на туристский продукт территории, и оценка уровня спроса при различных количественных значениях этих факторов. Существует большое число факторов, в различной степени влияющих на потребление туристского продукта. В этой связи необходимо определить ряд факторов, присущих данному региону, а также динамику изменения количественных значений этих факторов. При этом важно произвести оценку влияния существующих и потенциальных конкурирующих туристских центров на динамику посещения исследуемого региона;
· исследования процесса туристского потребления на основе сбора данных о туристских расходах, что позволит в дальнейшем прогнозировать валовые и чистые доходы в иностранной и местной валюте; произведенный доход; эффект мультипликации; прямую, косвенную и генерированную занятость; вклад туризма в доходы региона и государства.
На основании полученных данных проводится комплексная оценка достигнутого уровня развития туризма, анализируются актуальные проблемы использования потенциальных возможностей и важнейших направлений его развития.
Анализ и синтез. Полученные в рамках ресурсно-отраслевого и маркетингового подходов сведения и материалы должны быть оценены комплексно и синтезированы. Анализ необходим для того, чтобы установить наличие информации о возможностях, проблемах и целях отрасли туризма, которые действующие лица, организации и учреждения считают важными. Это стандартный процесс, состоящий из следующих элементов:
· поиски планов, программ, статистической информации и т. д.;
· анализ документов;
· анализ прессы, интервью с экспертами. [4; с. 37]
При необходимости эта информация может быть дополнена объективными и субъективными данными рынка (опросы прохожих, анкетирование семей и организаций и пр.).
В ходе информационного анализа проводятся исследования и принимаются решения по следующим основным вопросам:
· определение имеющих отношение к делу достижений и сферы действия результатов работ с целью установления основных областей деятельности;
· подробное описание рынков и областей деятельности с указанием необходимых данных и документов, а также дополнительной первичной статистической информации;
· учет факторов внешней среды, влияющих на развитие туризма на данной территории и определяющих границы, в которых могут иметь место последствия этих влияний;
· маркетинг, являясь результатом конкуренции, требует критического изучения конкурентов и их влияния и значения, включая сравнения сильных и слабых сторон с собственными проблемами и возможностями.
Результатом аналитического этапа планирования является дифференцированный по отдельным областям деятельности проблемно-потенциальный профиль туристской отрасли в рамках исследуемой территории, а также уточненное перечисление настоящих и будущих целей, осуществляемых стратегий и выполняемых мероприятий.
Разработка политики и плана. Разработка политики и плана туристского развития требует рассмотрения множества ранее изученных и проанализированных элементов. Важным моментом является интеграция туризма в общую политику и план развития данного региона. [4; с. 38]
При разработке туристской политики необходимо учитывать, что она может принимать разнообразные формы. При этом основными вопросами являются следующие:
· Обоснование развития туризма с экономических, экологических и социокультурных позиций (определены потенциальные выгоды).
· Выбор целесообразных форм развития и соответствующих типов международных и внутренних рынков туризма, которые следует привлекать.
· Обоснование принятия решения «Следует ли туризму «ориентироваться на рынок», развивая такие формы туризма, которые будут привлекать широкий рынок независимо от воздействия его развития; или «ориентироваться на продукт», развивая те формы туризма, которые наиболее совместимы с окружающей средой и обществом». Обычно выбирается сочетание этих двух подходов.
· Определение допустимой степени развития – следует ли ограничивать развитие туризма, поддерживать его на среднем уровне или стимулировать его для того, чтобы туристский сектор стал приоритетным сектором экономики. Большая страна или регион могут принимать решения о развитии туризма на разных уровнях в различных районах и в различные сезоны, исходя из условий экологического, социокультурного и инфраструктурного развития.
· Выбор темпов развития: медленного, среднего или ускоренного. Даже если имеется потенциал для быстрого роста, вполне возможно следует сдерживать его темпы по причинам: социального характера (привыкания местного населения к туризму); необходимости увязки строительства туристских объектов с развитием инфраструктуры; планирования людских ресурсов (подготовки кадров); экономического характера (увязка туризма с другими секторами без искажений в экономике).
· Выработка соответствующих функций правительства и частного сектора в развитии и управлении туризмом.
· Рассмотрение вопросов охраны окружающей среды, сохранения культурного наследия и необходимость устойчивого развития.
· Указание районов предполагаемого развития и его этапов, которые затем уточняются в планах.
Другие типы политик в туризме могут, например, относиться к многоцелевому использованию туристской инфраструктуры, взаимосвязям между внутренним и международным туризмом, программам образования и профессиональной подготовки, социальной интеграции туризма и вопросам, связанным с инвестициями и занятостью.
На первом этапе работники плановых органов (плановики) должны учесть возможные тенденции развития проблем и потенциальных состояний, которые могут быть заранее предусмотрены с помощью следующих сценариев:
· «вероятностный сценарий» может дать основу для укрепления стратегических решений, стабильного развития туризма;
· «пессимистический сценарий» способствует обоснованию для возможных планов управления кризисом;
· «оптимистический сценарий» предусматривает минимальную степень активности при особо благоприятной комбинации возможных тенденций развития. [4; с. 39]
Анализ актуальных проблем развития туризма осуществляется на основе системного подхода последующей технологии: описание проблемы; установление причин, вызывающих проблему; выявление и проверка вероятностных причин; подтверждение вероятностных причин.
Под сценарием в данном контексте подразумевается предполагаемый или возможный ход событий и описание ведущих к ним путей. Прогнозы и предположения, на которых он строится, включают в себя, насколько это возможно, все факторы, относящиеся к изучаемому будущему данной сферы деятельности.
Наличие нескольких путей для достижения доминирующих целей развития туризма диктует требование к построению сценария по принципу альтернативности с проигрыванием различных возможных ситуаций и с последующим выбором наиболее оптимальной из них.
Целью сценарных и аналитических расчетов в общем случае является прогнозирование последствий и параметров развития туризма при определенном наборе доминирующих целей перспективного экономического и социального развития, в частном случае – выработка в этих условиях линии поведения органов управления.
Сценарии позволяют получить ответы на следующие вопросы:
· Что можно изменить в ходе развития?
· Какие условия необходимо соблюдать?
· Как можно предугадать дальнейшее развитие?
Сценарии допускают различные картины развития туризма, что позволяет подготовить альтернативные планы и оценить, насколько они отвечают достижению целей туризма, обеспечивают максимальные экономические выгоды, минимизируют негативные последствия для окружающей природной и социокультурной среды и обеспечивают устойчивое развитие. Так, например, если высокие показатели плановых заданий по количеству туристских прибытий приводят к неприемлемым уровням экологических и социальных издержек, рыночные ориентиры и масштабы туризма должны быть пересмотрены в сторону снижения.
Рекомендации. План, выбранный в результате анализа, дополненный деталями, является основой для выработки каталога мероприятий и проектов в форме полного описания рабочих, а иногда и принятых в работу проектов и программ развития отдельных секторов туризма.
Комплекс мероприятий должен включать в себя рекомендации по следующим направлениям:
· по организации работы с инвесторами;
· по созданию и продвижению имиджа туристского центра или региона;
· по поддержке приоритетных секторов;
· по продолжению работ над концепцией туристского развития. [4; с. 40]
Осуществление плана. Методы реализации плана должны рассматриваться
на стадиях его становления, с тем чтобы к моменту окончания разработки плана ввести в действие необходимый механизм его реализации и контроля.
Необходимым условием является поддержка политики и планов выборными органами законодательной власти, а также правительством, содействие всех групп заинтересованных лиц и организаций.
Для успешной реализации плана необходим комплекс организационных мероприятий, включающий:
· создание Координационного совета из представителей всех секторов и областей экономики;
· изменения в системе управления отраслью для реализации плановых мероприятий.
Мониторинг. При осуществлении плана его необходимо контролировать для того, чтобы вовремя заметить любые отклонения, которые могут случиться на запланированном пути развития. Контроль служит для сравнения теоретических данных с фактическими, анализа и последующего использования в области планирования и управления. [4; с. 41]
Анализ выявленных отклонений важен для того, чтобы определить степень их влияния на развитие плана, реализацию его целей и задач. Когда этот вторичный анализ завершен, исследовательская группа должна выработать рекомендации по корректировке плана для достижения его окончательных целей.
Контроль результатов должен быть организован в форме проверок в трех областях: управление, инструменты, результаты; и может проводиться консультантами со стороны или Координационным советом с целью определения достигнутой степени рыночной ориентации.
Во многих гостиничных предприятиях существует система планирования, в которой маркетинговое планирование занимает свое достойное место и оценивается как необходимый процесс, обеспечивающий успешную деятельность гостиницы. Это отражает общую культуру предприятия, поддержку и понимание маркетинга со стороны руководства. Сильная общая культура ведения бизнеса акцентирует и поощряет планирование на всех уровнях управления гостиничным предприятием, что в итоге приносит свои результаты. В случае, когда рыночная ситуация ухудшается, падает загрузка номеров и новый конкурент угрожает снижением доли на рынке, планирование обеспечивает стабильность и уверенность в целях и направлениях. [1; с. 88]
Некоторые полагают, что деятельность по плану только сдерживает предпринимательство. В небольших и начинающих фирмах руководители настолько заняты, что у них просто не остается времени на подготовку формальных планов. Они склонны считать, что в планировании нуждаются только большие корпорации. Даже в солидных организациях бытует мнение, что руководители отлично обходятся без формальных планов и им не стоит придавать большого значения. Обычно начальники служб гостиницы противятся составлению письменного плана, поскольку это требует усилий самоанализа и времени. Кроме того, они выдвигают еще один довод − рынок меняется слишком быстро, поэтому от планов нет никакой пользы.
В реальности планирование необходимо для управления любой деятельностью любого предприятия. План маркетинга − один из нескольких деловых планов, который является частью общего стратегического планирования фирмы или организации. [1; с. 89]
Стратегический план определяет направление деловой активности
предприятия и его политику на данный период времени и ближайшую перспективу.
Долгосрочный план описывает основные факторы и силы, которые будут влиять на предприятие на протяжении последующих лет.
Годовой план представляет собой краткосрочный план, описывающий текущую ситуацию, цели гостиничного предприятия, стратегию на предстоящий год, программу действий, бюджет и формы контроля.
Деловые планы управленческого уровня превращают стратегию гостиницы в деловую практику. Руководство гостиничного предприятия только обогатится знаниями из стратегического плана и будет его использовать как основу для развития компании в правильном направлении. Каждый деловой план хотя и является самостоятельным, но вместе с тем он сочетается с другими деловыми планами предприятия
2. Планирование затрат гостиничного хозяйства
Функционирование гостиничного хозяйства связано с развитием финансовых отношений и организацией финансового механизма. Финансовые отношения гостиничных предприятий возникают при формировании и использовании денежных фондов и при обороте денежных средств. Заданием финансов гостиницы является формирование денежных фондов и использование их в целях осуществления своей производственно – обслуживающей и финансовой деятельности, извлечение прибыли, обеспечение финансовой стойкости. [3; с. 142]
Финансовые отношения в гостиничном хозяйстве имеют свои особенности и регулируются системой финансовых планов. Финансовые планы составляются на основе основных финансовых документов, таких как:
· годовая балансовая ведомость,
· ежемесячное движение наличных,
· прогноз объемов продаж,
· оценка прибыли и затрат,
· прогноз ключевых финансовых показателей.
Балансовая ведомость – это сведенная таблица, которая указывает источники капитала и стоимость их на начало и конец расчетного периода. [3; с. 143]
Анализ наличных проводится в два этапа. На первом исследуется движение наличных, а на втором составляется прогноз бюджета наличных.
Прогноз бюджета наличных состоит из таких показателей:
1. Объем продаж рассчитывается соответственно к цене и объему реализованной продукции.
2. Общее использование наличных включает затраты на:
· материалы;
· оплата труда;
· амортизацию;
· энергию технологическую;
· эксплуатацию, ремонт машин и механизмов;
· капитальные затраты;
· платежи в бюджет;
· дивиденды и другие общевыборочные и вневыборочные затраты.
3. «Кеш флоу» или чистый поток наличных – разница денег на счету, которые приходят, и идут на оплату затрат.
4. Начальный баланс наличных – это количество наличных, которыми владела гостиница на начало расчетного периода.
5. Конечный баланс наличных – это сумма третьего и четвертого рядов.
6. Минимальный необходимый резерв гостиницы. [3; с. 144]
Планирование разницы между прибылью и затратами предприятия осуществляется по средствам таблицы. В таблице размещается девять рядов, а сама она имеет цель показать необходимость в инвестициях:
1. Объем продаж.
2. НДС.
3. Разница между объемом продаж и НДС – валовая прибыль.
4. Сумма всех валовых затрат и амортизации всех основных производственных фондов – общие затраты.
5. Разница между валовой прибылью и валовыми затратами – балансовая прибыль.
6. Налог на прибыль.
7. Разница между балансовой прибылью и суммой налога на прибыль – чистая прибыль.
8. Дивиденды и резервный фонд. [3; с. 145]
Для выявления финансового состояния гостиницы недостаточно только сведения баланса, прогнозирования движения наличных, прибыли и затрат. Необходимо просчитать интегральные финансовые показатели деятельности гостиницы:
· Показатель ликвидности.
· Показатель активности.
· Показатель прибыльности.
Особенным вниманием эти показатели пользуются у инвесторов, банкиров, а также фирм-партнеров.
Ликвидность – это способность отдавать свои краткосрочные кредиты. Выделяют два основных вида показателя ликвидности:
· Общий коэффициент покрытия.
· Коэффициент абсолютной ликвидности.

Минимальное соотношение составляет единицу, в противном случае фирму признают неплатежеспособной. Оптимальное значение ликвидности составляет от 2 до 2,5.
Коэффициент абсолютной ликвидности показывает соответствие между наиболее ликвидной частью текущих активов (денег в кассе, на банковском счету, ценных бумаг) и текущими пассивами:
,
где З – товарно-материальные запасы. Оптимальное значение коэффициента абсолютной ликвидности составляет более 0,2. [3; с. 146]
Выделяют три показателя, которые характеризуют степень использования гостиницей своих ресурсов:
1. оборот основных средств;
2. оборот расчетов по оплате;
3. оборот товарно-материальных запасов.
Показатель оборачиваемости основных средств определяется соотношением чистых продаж (Пч) к стоимости основных фондов (Ос Ф):

Оборот расчетов по оплате определяется как соотношение величины продаж в кредит ( ) к оплате дебиторской задолженности (ДЗ). Чем выше показатель, тем короче время между продажей и приходом наличных:

Показатель оборота товарно-материальных запасов используется для измерения скорости прохождения производственного цикла формирования тура или другой услуги к моменту продажи этого тура:
ТМЗ оборот = ,

где С продаж – стоимость продаж; З – товарно - материальные запасы. [3; с. 147]
Показателями прибыльности считают:
· балансовую прибыль,
· валовая прибыль,
· чистая прибыль,
· рентабельность.
А теперь рассмотрим такие показатели, которые характеризуют финансовую стабильность предприятия.
Коэффициент чистой прибыли:

,
где
Коб – оборот на вложенный капитал;
Пч – чистая прибыль;
– общие активы.
Чистая прибыль на собственный капитал:
, где
Д – чистый доход на акционерный (собственный) капитал;
Пч – чистая прибыль;
Ка – общие активы;
Кпас – общие пассивы. [3; с. 148]
Для определения возможностей гостиницы увеличить свою прибыльность при помощи кредита используют показатели использования финансового рычага.
Показатель задолженности:
,
Где
К пас – общие пассивы;
К об – общие активы.
Если показатель задолженности
Если показатель задолженности меньше единицы, то гостиница не может больше брать в кредит.
Показатель покрытия процентов определяет возможность гостиницы выплачивать проценты за кредит:

ППП = ,
где
ВД – валовый доход;
3% − затраты на выплату процентов. [3; с. 149]
Большое число финансистов работают над определением интегрального показателя, который будет индикатором общего финансового состояния фирмы. Одним из первых такой показатель разработал Е. Альтман и назвал его Z – показателем. Ныне этот показатель применяется для изучения возможностей банкротства фирмы. Для подсчета Z – показателя используется коэффициенты Е. Альтмана: Z= 6.51 X 1 + 3.26 X 2 + 6.76 X 3 + 1.05 X 4,

X1 = ,
– текущие активы;
– текущие пассивы;
– общие активы.

X2 = ,
где
∑Р – сумма резервов фирмы;
– общие резервы фирмы.

X3 = ,
где
ВД – валовый доход;
– общие активы.

X4 = ,
где
С акц. – стоимость простых акций. [3; с. 150]
Планирование потребности в персонале – это начальный процесс функционирования гостиницы. При основании гостиницы нужно чрезвычайно старательно подбирать профессиональные кадры, ведь авторитетные работники, во - первых обеспечивают первоначальную рекламу, а во - вторых, создают консолидирующие ядро гостиницы, к которому потом будут тянуться другие работники.
Нужды гостиницы в сотрудниках постоянно изменяются на протяжении всего существования в зависимости от уровня продуктивности труда и от спроса на определенный вид услуг в регионе. При определении нужд штата применяются экономические методы расчета.
Уровень продуктивности труда измеряется двумя способами: прямым, который показывает изготовление продукции и услуг на одного работника. Выработок всего персонала определяется отношением прибыли от реализации услуг туризма (Т), к численности сотрудников (R):
Выработок одного работника =
Другой метод повернут к первому. Он показывает трудоемкость продукции и услуг, которые измеряются в человеко-часах. Это отношение фонда затраченного времени к численности произведенной продукции и услуг в натуральном выражении. При уменьшении трудоемкости труда за счет технического процесса увеличивается выработка или продуктивность труда. [3; с. 151]
Уровень оплаты труда должен быть не ниже чем в среднем по отрасли, иначе руководство столкнется с оттоком кадров. Чтобы не возникало такого явления, зарплата должна соответствовать таким требованиям:
· Носить дифференцированный характер относительно сложности выполнения работы. Работники не должны приравниваться один к другому, так как такая шаблонность будет тормозить здоровую конкуренцию.
· Зарплата должна обеспечивать по крайне мере прожиточный минимум, а если руководство хочет постоянных кадров, тогда зарплата должна удовлетворять материальные нужды работников полностью.
· Плата должна провоцировать результативность деятельности, иначе работник не будет применять творческий подход в работе. Должны выплачиваться премии или дополнительная плата за хорошие результаты работы.
Дополнительными формами оплаты могут быть талоны на питание, бесплатные путевки, скидки в интермаркетах, субсидии на жилплощадь, медицинское обслуживание и т.д. [3; с. 152]
Основная функция налогов состоит в том, что через налоги и налоговые льготы государство влияет на производство, распределение, обмен и потребление. Налоговая система прошла эволюционное развитие с момента возникновения в начале нашей эры и по сегодняшний день.
Налоговая система – это, прежде всего, совокупность действующих в стране налогов. Основное задание налоговой системы на сегодняшний день – налаживание взаимодействия налогов, то есть формирование системы налогов как коммуникационной системы. Налоговые платежи зависят от наличия объектов налогообложения, ставок налогов и налоговой политики страны в сфере налоговых льгот. [3; с. 153]
Налог на прибыль вычисляется с конечной прибыли гостиницы. Он обеспечивает приблизительно 5,5% доходов бюджета. Определяется этот вид налога путем отчисления определенной ставки налога, которая составляет 25% от общей прибыли гостиницы.
Планирование налога на прибыль рассчитывается так:
Нпл = Пнал * Снал,
Пнал = ВД – ( ВЗпл + У(пр – П(пр) – АРпл,
ВД = ОДпл – НДС – А,
ВЗпл = СТпл + ЗПпл + ОПГпл, где
Нпл – налог на прибыль в плановом периоде; Пнал – прибыль с целью налогообложения; Снал – ставка налогообложения; ВД – валовый доход; ВЗ – валовые затраты в плановом периоде; УСпр – прогнозированный убыток собственности; ПСпр – прогнозируемый прирост собственности; АРпл – плановые амортизационные отчисления; ВДпл – валовый доход в плановом периоде; ОДпл – общий доход в плановом периоде; НДС – налог на добавленную стоимость; А – акциз; СТпл – стоимость приобретенных товаров; ЗПпл – начисление на оплату труда в плановом периоде; ОПГпл – обязательные платежи гостиницы, связанные с оплатой труда в плановом периоде. [3; с. 155]
НДС – это непрямой налог, включенный в цену товара, который представляет собой часть стоимости, которая создается на всех стадиях производства и оказания услуг или после таможенного контроля. НДС обеспечивает приблизительно 35% доходов бюджета. Добавленную стоимость в плановом периоде вычисляют так:
ДСнал = ФОТпл + ОСНпл + ЧДпл + ДНО – ДНК,
ДСнал = ДСсоз + ДНО – ДНК,
ДСсоз = ФОТпл + ОСНпл + ЧДпл,
где
ДСнал – дополнительная стоимость предприятия как объем налогообложения;
ФОТпл – фонд оплаты труда в плановом периоде; ОСНпл – отчисления на социальные нужды в плановом периоде; ЧДпл – чистый плановый доход; ДНО – дополнительные хозяйственные операции, которые в соответствие с законодательством формируют налоговые обязательства, но не создают дополнительной стоимости; ДНК – дополнительные хозяйственные операции, которые согласно с законодательством формируют налоговый кредит, но не создают дополнительной стоимости; ДСсоз – созданная дополнительная стоимость.
Сумма НДС, которая подлежит уплате в бюджет в плановом периоде, определяется по формуле:
НДС = ДС * Сн, где ДС – добавочная стоимость; Сн – ставка налогообложения, %.
Акцизный сбор – это непрямой налог на высокорентабельные и монопольные товары. Акцизный сбор включается в цену этих товаров (услуг) и обеспечивает приблизительно 9% доходов бюджета.
Функции акцизного сбора:
1. Ограничительная.
2. Перераспределяющая.
3. Защитная.
4. Регулирующая.
Сумма акцизного сбора высчитывается по формуле:
Са = Н/ А, где Н – количество товара; А – ставка акцизного сбора.
Сумма акцизного сбора вычисляется по формуле:
а) с товаров, которые подлежат обложению ввозным лимитом:
Са (С + СВМ) * А / 100%,
Б) с товаров, которые не подлежат обложению ввозным лимитом:
Са = С * А /100%,
где
С – таможенная стоимость; СВМ – сумма ввозного лимита. [3; с. 158]
Величину коммунального налога в плановом периоде вычисляют по формуле:
КНпл = ССЧпл * НМ * Сн,
где
ССЧпл – среднесписочная численность работников по плану; НМ – необлагаемый минимум доходов; Сн – ставка налогообложения.
Плата за землю:
ПЗ = [СЗ (С,П) * 0,1 + СЗ (МН) * 0,03]/100, где СЗ (С,П) и СЗ (МН) –
соответственно стоимость земельных участков, сенокосов, пастбищ и многолетних насаждений.
Единый налог субъектов малого предпринимательства:
ЕНплан = Дпл * Сн, где
Дпл – плановый доход; Сн – ставка налогообложения. [3; с. 159]
3. Анализ основных фондов ресторанного хозяйства
Анализ основных фондов ресторанного хозяйства.
Методика экономического анализа товарооборота ресторана включает:
1. Изучение выполнения плана товарооборота по собственной продукции.
2. Изучение динамики валового, оптового и розничного товарооборота.
3. Анализ производственной программы ресторана.
4. Факторный анализ товарооборота.
5. Выявление резервов роста товарооборота.
В ресторане производится подробный анализ производственной программы, которая содержит показатели выпуска всех видов продукции и полуфабрикатов, так как при анализе обеденной продукции определяется средняя цена одного блюда путем деления стоимости выпуска всей продукции на количество блюд:
1. Снабжение сырьем, товарами и их использование.
2. Обеспеченность трудовыми ресурсами и их использование.
3. Эффективность использования основных фондов и материально – технической инфраструктуры.
Анализ товарных ресурсов ресторана начинается с составления и анализа товарного баланса, который учитывает поступление и использование продуктов питания в течение отчетного периода.
Зн + П = Р + Впр + Зк;
Р = Зн + П – Впр – Зк,
где
Зн – запасы продукции на начало периода; П – пополнение запасов; Р – реализация продукции собственного производства или покупных товаров; Впр – прочее выбытие продукции; Зк – запасы продукции на конец периода.
При анализе товарооборота учитывается факторы повышения его объема:
1. Спрос потребителей.
2. Расширение и обновление ассортимента.
3. Активизация маркетинговой и сбытовой деятельности ресторана.
4. Организация дополнительных мест для обслуживания летом.
5. Ритмичность пополнения запасов.
6. Увеличение пропускной способности ресторанного зала.
Рациональное использование материально техничных и трудовых ресурсов ресторана – это совокупность средств, методов, факторов и принципов которые обеспечивают снижение затрат на единицу ресторанной продукции. Меры касательно экономного использования материально – техничных и трудовых ресурсов ресторана можно поделить на производственно - технические и организационно - экономические. Применение ресурсосберегающих технологий обеспечивает экономное использование ресурсов и выступает залогом достижения целей ресторана. Задание менеджмента состоит в отслеживании возможностей касательно использования пищевых и технических отходов производства и оперативном планировании использования отдельных составляющих этих ресурсов. К средствам рационального использования материально - технических и трудовых ресурсов относят замену физически и морально устаревшего оборудования и механизацию трудоемких процессов. [2; с. 81]
При модернизации теплового оборудования в ресторане следует учитывать такие требования к нему:
· автоматическое регулирование и программирование теплового процесса;
· внедрение новых видов тепловой обработки;
· возможность использовать возков и стеллажей с кассетами;
· наличие устройств для механизации процессов переворачивания и перемешивания продуктов;
· наличие направленного действия процессов варения и жарения продуктов.
Усовершенствование парка холодильного оборудования предусматривает решение таких задач:
· увеличение полезных охлаждаемых емкостей холодильных шкафов и сборно-разборных камер;
· внедрение оборудования для интенсивного охлаждения кулинарных блюд и полуфабрикатов высокой степени готовности;
· расширение номенклатуры низкотемпературного холодильного оборудования с автоматическим регулированием температурных режимов;
· создание специализированного холодильного автотранспорта для перевозки небольшого количества сырья и полуфабрикатов. [2; с. 84]
Особенности производственной деятельности ресторана и его подразделений предусматривают одновременное использование нескольких видов графиков рабочего времени сотрудников: линейного, ступенчатого, двухбригадного, неполного рабочего дня и др.
Для бесперебойной работы ресторана необходимо создание запасов сырья, полуфабрикатов и пищевых продуктов разного срока хранения. Такие запасы необходимы для того, чтобы обеспечить возможность изготовления собственной продукции до прихода другой партии товара. По назначению запасы делят на поточные, подготовительные и страховые.
Поточные запасы обеспечивают работу ресторана в период между очередными поступлениями товара. Максимальный поточный запас вычисляется так:
Мз.пт.тах = Мд * Тн,
где
Мд – среднесуточные затраты продуктов, кг. Тн – интервал между поступлением очередной партии товаров, дней.
Разновидность поточного запаса является сезонный запас, который создается в случае сезонной заготовки сырья.
Подготовительный запас создается при необходимости специальной подготовки сырья к использованию (соления овощей, рыбы и т.д.), его количественное определение осуществляется по формуле:
Мз.пд. = Мд * Тт,
где
Тт – время для срочного пополнения запаса товаров.
Минимальное количество запасов состоит из:
1. Запаса для обеспечения функционирования производства от начала процесса поставки до складирования товаров.
2. Запаса для складирования, который требует сохранения сырья при определенных условиях, которое только через определенное время наберет свою производственную ценность.
3. Запаса для выполнения технологического процесса на протяжении суток.
4. Запаса, который должен страховать ресторан от непредвиденных изменений в поставках, а также в случае потери сырья при сохранении, транспортировки, выдачи.
Затраты на поддержание запасов это:
1. Коммерческие затраты.
2. Затраты на содержание складов.
3. Затраты на операции связанные с перемещением запасов.
4. Затраты, связанные с риском касательно затрат вследствие порчи и природных затрат сырья, снижения темпов потребления определенных видов товаров.
5. Затраты связанные с потерей выгоды от использования средств по другим направлениям хозяйственной деятельности.
Затраты на управление производственными запасами включают:
1. затраты на обучение менеджеровского и технического персонала.
2. Затраты на заработную плату менеджеровского и технического персонала.
Затраты, связанные с дефицитом запасов возникают при отсутствии необходимых материальных ресурсов на предприятии:
1.Затраты на ускорение поставок необходимых продовольственных товаров, полуфабрикатов и сырья.
2.Затраты на связь и командировки.
3. Премии за быструю доставку продовольственных ресурсов.
4. Подорожание единицы товара за счет поступления малыми партиями.
5.Затраты, связанные с корректированием производственной программы, ускорением изготовления других видов блюд, изготовление их с нарушением требований технологии приготовления.
6. Коммерческие затраты и траты, потеря прибыли, связанная с сокращением объема продаж производственной продукции.
Создание производственных запасов имеет как позитивные так и негативные аспекты. Позитивный аспект состоит в том, что запасы обеспечивают высокий уровень обслуживания потребителей продукции и гарантированный режим работы ресторана. Негативные аспекты наличия значительных запасов сырья, полуфабрикатов и продовольственных товаров сказываются в снижении качества этих ресурсов увеличении затрат на хранение и снижении скорости обращения средств. [2; с. 88]
Основные методы расчета обеденной продукции:
1. Метод прямого счета.
2. Метод основанный на прогнозируемой пропускной способности обеденного зала.
3. Метод основанный на производственной мощности кухни.
4. Метод скользящий средний.
5. Метод основанный на расчете коэффициента комплексности.
Метод прямого расчета используется:
1. При сравнительно постоянном контингенте потребителей.
2. При изменяющемся контингенте потребителей.
Например, если ресторан обслуживает сравнительно постоянный контингент, то рекомендовано использовать данные о среднем количестве потребляемых блюд одним посетителем в единицу времени, о количестве потребителей и коэффициенте изменения потребляемых блюд, в том случае среднедневной объем потребления блюд в расчете на одного человека рассчитывается так:

, где
РБ − реализованные блюда в отчетном периоде, тысяч;
КБ – коэффициент изменения количества приходящегося в среднем на одного клиента; – средняя дневная численность питающихся в отчетном периоде; Д – длительность работы в отчетном периоде.
Кб должен отразить изменения в количестве потребляемых блюд и рассчитываться на основе статистических и прогнозируемых данных за несколько лет в динамике.
Используя показатель выпуска блюд на одного человека в день в отчетном периоде ( ) можно рассчитать плановый выпуск блюд за период ( )

Если в ресторане не постоянный контингент питающихся то используют расчет количества блюд в расчете на 1 место в день:
,
где
− количество мест в зале в отчетном периоде.
Отсюда следует, что общий выпуск блюд в плановом периоде будет равен:
,
где
Кбм – коэффициент изменения количества блюд приходящихся на одно место в день, т.е. показывает оценивающий повышение эффективности использования обеденного зала.
При планировании выпуска блюд на основе выпускной способности зала надо оценивать интенсивность потока посетителей. Пропускная способность ресторана характерна максимальным количеством потребителей обслуживаемых за определенный период времени, она рассчитывается исходя из количества часов работы обеденного зала, числа мест и продолжительности приема пищи одним посетителем.
Максимальная пропускная способность обеденного зала (МПСоз) рассчитывается так:
,
где
ПР – продолжительность работы предприятия в день, минут; М – число мест; ВПП – время приема пищи одним посетителем, в минутах.
,
где
S – площадь обеденного зала; Пн – площадь приходящаяся на одного посетителя принятая за норматив равный 1,9 м².
Повышение коэффициента пользования обеденного зала может быть достигнута за счет применения самообслуживания, предварительного заказа и накрытия столов. Для расчета годового (квартального, месячного) плана выпуска блюд есть формула:
,
где
( ) – коэффициент использования пропускной способности; Б – количество блюд в среднем на одного посетителя в день.
Иным показателем характеризующим интенсивность потока потребителей и пропускной способность ресторана является оборачиваемость одного места, рассчитываемая как число потребителей приходящихся на одно место за один день путем деления числа потребителей на количество мест. Оборачиваемость одного места также определить и исходя из максимального количества посетителей по пропускной способности, тогда индекс оборачиваемости (I об) рассчитывается путем деления фактической оборачиваемости на максимальную оборачиваемость.
Одним из методов определения плана выпуска первых блюд является расчет производственной мощности кухни и коэффициента ее использования. Производственная мощность – это максимально возможный выпуск продукции предприятия питания в заданном ассортименте в единицу времени; она рассчитывается в натуральных показателях:
,
где
ВР – продолжительность работы предприятия в минутах; ВП – время простоя оборудования, в минутах; Вср – средняя продолжительность одной варки, в минутах; Ок – емкость котлов; Кз – коэффициент заполнения емкостей; ОБ – емкость одного блюда, в литрах.
Планирование мощности не является постоянной величиной и на ее изменение оказывают влияние совершенствование техники и технологии производства, ритмичность снабжения и т.д. Степень использования производственной мощности характеризуется коэффициентом который определяется как отношение количества фактически выпущенной продукции к его производственной мощности.
План снабжения ресторана разрабатывается в форме баланса и может включать:
1. Потребность в сырье и товарах.
2. Запасы сырья и товаров на начало и конец планового периода.
3. Данные о поступлении сырья и товаров.
Планирование снабжения начинается с анализа выполнения плана за прошлый и текущий периоды, исходной информацией могут быть данные об объеме товарных фондов, нормы расхода сырья на единицу изделия, плановая, производственная программа и т.д.
Расчет плановой потребности в сырье и товарах:
1. Для расчета используются данные о производственной программе и индивидуальные нормы расхода на единицу продукции.
2. Для расчета используются среднегрупповые нормы расхода.
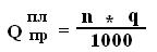
3. Для определения потребности в сырье по индивидуальным нормам используется формула:
,
где
– плановая потребность в сырье на выполнение производственной программы; n – индивидуальная норма расхода сырья на единицу изделия, в граммах; q – количество единиц изделий;
Если ресторан имеет широкий ассортимент продукции и значительные объемы деятельности, то принимают среднегрупповые нормы расхода, которые рассчитываются как средневзвешенные величины расхода сырья для приготовления одного блюда или структуры блюд в соответствии с производственной программой. Среднегрупповые нормы рассчитываются так:
1. По абсолютному числу единиц изделия:

2. И по относительным величинам:
Nср = ∑ ni di,
где
di– удельный вес каждого наименования в общем выпуске
Задача
Дано: если продолжительность рабочего дня 12 часов в ресторане, площадь обеденного зала 48 м²; среднее время приема пищи одним посетителем – 25 минут.
Найти: чему будет равна максимальная пропускная способность ресторана.
Решение:

МПСр = (человек)
Список использованной литературы
1. Маркетинг и продажи в гостиничном бизнесе: Учебно – практическое пособие/Скобкин С.С. – М.: Юристъ, 2001 – 224 с.
2. Основы отельного бизнеса: Пособие/Гуляев В.Г. – К.: Знание, 2003 – 408 с.
3. Планирование деятельности туристических предприятий: Научное пособие/Бородин Ю.Ю. – К.: Знание, 2005 – 214 с.
4. Планирование на предприятии туризма: Учебное пособие для вузов/Е.И. Богданов – СПб.: «Бизнес – пресса», 2003 – 288 с.
|