Вопрос № 1
и 3
Первые опыты оценки имущества для целей налогообложения
В 1874 году вышла книга
первого русского земского статистика Н.Н.Романова "Исследование земских раскладок Вятской губернии". Одной из заслуг Н.Н.Романова считается введение в практику собирания статистических данных разъездного (экспедиционного) способа. Следует заметить, что к этому времени основным способом сбора информации была рассылка бланков-вопросников владельцам
имуществ , характерная для французского кадастра. Положительные результаты работы Н.Н.Романова привели к тому, что начиная с 1876 года начала повсеместно применяться так называемая англо-бельгийская экспедиционная система. В частности, Московская и Черниговская губернии
первыми положили эту систему в основу деятельности своих статистических бюро.
Появление новой отрасли статистики потребовало выделения характерных статистических признаков для
оценки массы индивидуальных
имуществ, разработки новых методов сбора статистических данных и методов их обработки
Одной из
первых программ, предназначенной для получения оценочных сведений, была "Программа для статистико-экономического изучения Черниговской губернии", представленная Черниговской губернской земской управой в 1876 году. Несомненно, что эта программа явилась своеобразной исторической вехой, отметившей начало новой науки - оценочной статистики.
Главной особенностью Черниговской программы была тщательная подготовка и разработка перечня сведений, необходимых для
оценки недвижимости. Вся программа была разделена на три блока:
- добывающая промышленность
- перерабатывающая промышленность
- торговля
При этом вопросы, входящие в каждый блок охватывали как общие сведения о социально-экономическом, демографическом состоянии конкретного селения, так и специальные вопросы о земледелии и землевладении, промыслах и промышленности, торговле и коммерции, ценах на продукцию, урожайности, арендных платах за землю, продажных цен и т.д. Еще одной особенностью Черниговской программы было то обстоятельство, что описание земель выполнялось по генеральным дачам, а не по административным границам.
Забиваем Сайты В ТОП КУВАЛДОЙ - Уникальные возможности от SeoHammer
Каждая ссылка анализируется по трем пакетам оценки: SEO, Трафик и SMM.
SeoHammer делает продвижение сайта прозрачным и простым занятием.
Ссылки, вечные ссылки, статьи, упоминания, пресс-релизы - используйте по максимуму потенциал SeoHammer для продвижения вашего сайта.
Что умеет делать SeoHammer
— Продвижение в один клик, интеллектуальный подбор запросов, покупка самых лучших ссылок с высокой степенью качества у лучших бирж ссылок.
— Регулярная проверка качества ссылок по более чем 100 показателям и ежедневный пересчет показателей качества проекта.
— Все известные форматы ссылок: арендные ссылки, вечные ссылки, публикации (упоминания, мнения, отзывы, статьи, пресс-релизы).
— SeoHammer покажет, где рост или падение, а также запросы, на которые нужно обратить внимание.
SeoHammer еще предоставляет технологию Буст, она ускоряет продвижение в десятки раз,
а первые результаты появляются уже в течение первых 7 дней.
Зарегистрироваться и Начать продвижение
Показатели доходности пахотных и сенокосных земель определялись на основе средней величины урожая и с учетом распространенной тогда формы ведения земледелия - испольщины, когда земля сдавалась в аренду за часть урожая. Леса оценивались по годовому доходу от рубки, огороды и поля, занятые техническими культурами - по специальным методикам. Статистический метод для вывода средних норм доходности дал результат, достаточный для обоснованного
налогообложения. Результаты работы по Черниговской программе (1876-1886) были опубликованы в 15 томах с картами и всеми необходимыми для оценки сведениями.
В Нижегородской губернии особенностью статистических исследований для
целей оценки земли являлось то, что в их основе лежали естественноисторические исследования почв, которые были выполнены основоположником русского почвоведения - В.В.Докучаевым. В 1979 году В.В. Докучаев издает первую почвенную карту Европейской России, в течение 5 лет исследует характеристики залегания русского чернозема, и затем вместе с учениками (в число которых входил известный впоследствии почвовед Сибирцев) издает почвенное описание Нижегородской губернии в 15 томах. Классификация почв, предложенная Докучаевым, опиралась на физико-механические и химические показатели, что и позволило сформировать основы новой науки.
Если в Черниговской губернии данные по урожайности получали путем расспроса владельцев, то в Нижегородской губернии эти же данные получили на основе исследования почв, выполненных В.В. Докучаевым и его учениками. Доходность земли в Нижегородской губернии определялась с учетом традиционного способа земледелия - обработки земли крестьянами своими силами, поэтому в основе доходности лежали выручка и издержки на производство продукции. В Нижегородской губернии впервые также выполнены работы по регистрации земелевладений с учетом почвенных условий каждого.
Первый
опыт
оценки в Харькове (1871) был неудачным, несмотря на наличие инструкции. Причина неудачи была в том, что оценка выполнялась без централизованного руководства, состав оценочных комиссий постоянно менялся. В результате городская дума, в составе которой было много профессоров высших учебных заведений, признала итоги оценки несостоятельными. В 1892 году была избрана специальная комиссия для проведения переоценки городской недвижимости с
целью обеспечения равномерного
налогообложения по доходности.
Сервис онлайн-записи на собственном Telegram-боте
Попробуйте сервис онлайн-записи VisitTime на основе вашего собственного Telegram-бота:
— Разгрузит мастера, специалиста или компанию;
— Позволит гибко управлять расписанием и загрузкой;
— Разошлет оповещения о новых услугах или акциях;
— Позволит принять оплату на карту/кошелек/счет;
— Позволит записываться на групповые и персональные посещения;
— Поможет получить от клиента отзывы о визите к вам;
— Включает в себя сервис чаевых.
Для новых пользователей первый месяц бесплатно.
Зарегистрироваться в сервисе
Вопрос № 2
Создание нормативно-правовой базы оценки
Для установления оцениваемых прав на земельный участок в процессе оценки необходимо четко определить содержание понятий «земельные отношения» и «правовой режим земельного участка».
Земельные отношения — отношения между органами государственной власти, органами местного самоуправления, юридическими лицами, гражданами по поводу владения, пользования и распоряжения землями, а также по поводу государственного управления земельными ресурсами.
Земельные отношения имеют особый юридический статус и регулируются конституционными нормами и гражданским законодательством, а также земельным, лесным, экологическим и другими кодексами.
Земельное законодательство согласно Конституции РФ (ст. 72) отнесено к совместному ведению Российской Федерации и субъектов РФ. Земельное законодательство состоит из Земельного кодекса, федеральных законов и принимаемых в соответствии с ними законов субъектов РФ.
Нормативно-правовые акты, содержащие нормы земельного права, образуют следующую систему.
1.
Международные нормативно-правовые акты: а) договоры;
б) конвенции;
в) декларации.
Если международным договором Российской Федерации установлены иные правила, чем предусмотренные Земельным кодексом РФ, то применяются правила международного договора.
2
. Федеральные нормативно-правовые акты:
а) Конституция Российской Федерации;
б) федеральные законы (Земельный кодекс Российской Федерации; Федеральный закон от 25 октября 2001 г. № 137 «О введении в действие Земельного кодекса Российской Федерации»; Федеральный закон от 2 января 2000 г. № 28 «О государственном земельном кадастре» и др.);
в) федеральные подзаконные акты:
■ указы Президента РФ,
■ постановления Правительства
■ распоряжения, инструкции, письма, решения Верховного суда РФ и иные акты.
3
. Региональные нормативно-правовые акты (например, в Москве):
а) законы Москвы (от 14 мая 2003 г. № 27 «О землепользовании и застройке в городе Москве» и др.);
б) подзаконные акты:
■ постановления
■ распоряжения,
■ решения,
■ инструкции, письма, решения московских судов и иные акты.
При оценке земельного участка необходимо установить правовой режим, который определяется принадлежностью к той или иной категории земель и разрешенным использованием в соответствии с территориальным зонированием.
Правовой режим земельного участка включает в себя:
■ целевое назначение;
■ форму собственности;
■ разрешенное использование.
Целевое назначение земель — порядок, условия, предел эксплуатации земель для конкретных целей в соответствии с категориями земель, установленные законодательством.
Весь земельный фонд Российской Федерации разделен на семь категорий.
1.К землям поселений (городов, поселков и сельских поселений) относятся все земли в пределах черты поселений. Черта поселений — это внешние границы земель города, поселка, сельского поселения, которые отделяют эти земли от земель других категорий.
2.Земли сельскохозяйственного назначения образуют территории за чертой поселений, предоставленные для нужд сельского хозяйства, а также предназначенные для этих целей. В их составе выделяют:
а) сельскохозяйственные угодья (пашня, залежь, сенокосы, пастбища и многолетние насаждения — сады, виноградники);
б) земельные участки садоводческих, огороднических и дачных объединений граждан;
в) земли, занятые лесополосами, внутрихозяйственными дорогами, коммуникациями, болотами, зданиями и сооружениями, необходимыми для функционирования сельского хозяйства.
3. К землям промышленности, энергетики, транспорта, связи, радиовещания, телевидения, информатики, землям для обеспечения космической деятельности, землям обороны, безопасности и землям иного специального назначения относятся территории, расположенные за чертой поселений, отведенные в установленном порядке соответствующим предприятиям, учреждениям и организациям для выполнения их хозяйственной деятельности (производства, строительства, транспортировки и т.п.).
4. К землям особо охраняемых территорий относятся земельные участки, которые имеют особое природоохранное, научное, историко-культурное, эстетическое, рекреационное, оздоровительное и иное ценное назначение. К ним относятся земли заповедников, лечебно-оздоровительных местностей и курортов, объектов культурного наследия и др.
5. К землям лесного фонда относятся лесные земли (покрытые лесом, а также земли, не покрытые лесом, — вырубки, гари, прогалины и др.) и нелесные земли (просеки, дороги и др.), используемые для ведения лесного хозяйства.
6. В состав земель водного фонда входят территории, занятые водоемами, ледниками, болотами, а также земли, выделяемые под полосы отвода гидротехнических, водохозяйственных и иных сооружений, необходимых для использования водных объектов.
7. Земли запаса — государственные и муниципальные земли, не предоставленные гражданам и юридическим лицам в собственность, владение, пользование или аренду, а также земли, выведенные из хозяйственного оборота в результате консервации. Использование земель запаса допускается после перевода их в другую категорию.
Категория земель указывается
:
а) в документах о предоставлении земельных участков: в актах федеральных органов исполнительной власти, органов субъектов РФ, органов местного самоуправления;
б) в договорах, предметом которых являются земельные участки;
в) в документах государственного земельного кадастра;
г) в документах о государственной регистрации прав на недвижимое имущество и сделок с ним.
Росземкадастр - государственная организация, основной профессиональной деятельностью которой является межевание земель и формирование землеотвода (комплекс работ по закреплению на местности границ землепользований)
Вопрос № 3
Выход в свет научных работ, методик по теории и практике оценки (Романов, Докучаев)
Работы Докучаева
: «Овраги и их значение», «Итоги о русском чернозёме», «Предварительный отчёт по исследованию юго-западной части чернозёмной полосы России», «Предварительный отчёт по исследованию юго-восточной части чернозёмной полосы России», «Картография русских почв. Объяснительный текст к почвенной карте Европейской России», «По вопросу о сибирском чернозёме», «Схематическая почвенная карта чернозёмной полосы Европейской России», «Материалы по оценке земель Нижегородской губернии» Докучаеву принадлежат 1 выпуск и некоторые главы XIII, XIV и редакция всего труда, «Русский чернозём. Отчёт Императорскому Вольному экономическому обществу», «О происхождении русского чернозёма», «О так называемом Юрьевском чернозёме», «К вопросу о русском чернозёме», «О пользе изучения местной номенклатуры русских почв», «Объяснения к почвенной карте Нижегородской губернии», «О нормальной оценке почв Европейской России»
Ставшие классическими, исследования
русского чернозема Докучаев начал еще в период работы над магистерской диссертацией. К этим исследованиям он был привлечен своим учителем профессором А.В. Советовым председателем 1-го отделения Вольного Экономического Общества (ВЭО). Доклад
Докучаева на одном из заседаний общества о лессе, распространенном в черноземной полосе, а также о самом
черноземе и недостаточной его изученности, вызвал оживленную дискуссию. Результатом чего стало создание комиссии для составления программы исследования
чернозема, куда вошел и мало кому известный тогда консерватор (лаборант)
Докучаев . Именно он составил доклад "Итоги о
русском черноземе ", послуживший основой программы исследования
чернозема , которая была одобрена ВЭО в 1877 году. Одновременно общество приняло решение об ассигнование средств на поездки
Докучаева для изучения
русского чернозема.
Николай Никанорович Романов — земский статистик.
Родился в 1848 г., учился в Вятской духовной семинарии, был преподавателем географии в духовном училище, потом служил в Слободской и Нолинской уездных земских управах. В феврале 1874 г. приглашён заведующим статистическими работами Вятской губернской земской управы, а с 1881 г. занимает такую же должность в Тамбове. С 1881 по 1898 гг. Н. Н. Романов обследовал и издал описание всех уездов Тамбовской губернии.
Из многочисленных трудов Романова более известны: «Исследование земских раскладок» (Вятка, 1875) и «Переселение крестьян Вятской губернии». За последний Романову присуждена большая золотая медаль Императорского русского географического общества. В 1891 г. занимался исследованием голодавших местностей Тамбовской губернии; составил и издал отчёт по продовольственной операции тамбовского земства (Тамбов, 1891—1892).
Вопрос N 4
Деление городской недвижимости на доходную и потребительскую.
Доходная недвижимость
- недвижимость, приобретенная ради приносимого ею дохода. Собственность может быть помещена в доходное партнерство с ограниченной ответственностью (income limited partnership) либо может принадлежать частным лицам или корпорациям. Покупатели также надеются получить прирост капитала при продаже собственности.
Потребительской недвижимостью
признаётся недвижимость, приобретённая или переданная в результате акта дарения для личного пользования.
Вопрос № 5
Опыт классификации недвижимости.
| Тип классификации
|
Виды недвижимости
|
1. По происхождению
2. По характеру использования
|
¾ Земельные массивы
¾ Отдельные земельные участки.
¾ Комплексы зданий и сооружений
¾ Жилые многоквартирные дома
¾ Жилые одноквартирные дома (особняки, коттеджи)
¾ Подъезд (секция).
¾ Этаж в подъезде.
¾ Квартира.
¾ Комната.
¾ Летняя дача
¾ Комплекс административных зданий.
¾ Здание.
¾ Помещение или части зданий (секции, этажи).
-для жилья: дома, коттеджи, квартиры;
-для коммерческой и производственной деятельности: отели, офисные помещения, магазины, рестораны, пункты сервиса, фабрики, заводы, склады;
-для сельскохозяйственных целей: фермы, сады;
-для специальных целей: школы, церкви, монастыри, больницы, ясли-сады, дома престарелых, здания правительственных и административных учреждений.
|
| 3. По целям владения |
-для ведения бизнеса;
-для проживания владельца;
-в качестве инвестиций;
-в качестве товарных запасов и НЗП;
-для освоения и развития;
-для потребления истощимых ресурсов.
|
4. По степени специализации
|
-специализированная (в силу своего специального характера редко, если вообще сдается в аренду третьим лицам или продается на открытом рынке для продолжения ее существующего использования, кроме случаев, когда она реализуется как часть ее использующего бизнеса): нефтеперерабатывающие и химические заводы, электростанции; музеи, библиотеки и подобные им помещения, принадлежащие общественному сектору;
-неспециализированные - вся другая недвижимость, на которую существует всеобщий спрос на открытом рынке для инвестирования, использования в существующих или аналогичных целях.
|
5. По степени готовности к эксплуатации
|
-введенные в эксплуатацию;
-требующие реконструкции или капитального ремонта;
-незавершенное строительство.
|
6. По воспроизводимости в натуральной форме
7. В зависимости от способности приносить доход
8. В зависимости от степени представленности объектов
|
-не воспроизводимые: земельные участки, месторождения полезных ископаемых;
-воспроизводимые: здания, сооружения, многолетние насаждения.
-доходная
-условно доходная недвижимость.
-недоходная недвижимость
-уникальные объекты.
-редкие объекты.
-широко распространенные объекты.
|
Вопрос № 6
Принятие основных едениц измерения для земель.
1 сотка = 10 метров х 10 метров = 100 кв.м
1 гектар= 1 га = 100 метров х 100 метров = 10000 кв.м = 100 соток
1 квадратный километр = 1 кв.км = 1000 метров х 1000 метров = 1 млн. кв.м = 100 га= 10000 соток
Вопрос №7
Особенности развития оценочной деятельности в РФ.
Вопрос №8
Виды собственности.
Под формой собственности понимаются законодательно урегулированные имущественные отношения, характеризующие закрепление имущества за определенным собственником на праве собственности.
Практически можно выделить два вида собственности: общественная и частная.
В структуре отношений общественной
собственности различают
1. государственную федеральную
– природные богатства, включенные в хозяйственный оборот, средства производства, информация – все то, что находится в ведении и распоряжении государства и под его ответственностью;
2. государственную региональную
– все то же самое, переданное субъектам Федерации;
3. муниципальную собственность
– собственность, находящаяся в ведении местных органов самоуправления;
4. коллективную
(колхозную, общинную, артельную)
5. ассоциативную
(акционерную и долевую).
Разновидностями частной собственности
являются:
1. кооперативная
2. индивидуальная
3. личная
Вопрос №9
Классификация объектов оценки по видам.
Объекты оценки
- отдельные материальные объекты (вещи); совокупность вещей, составляющих имущество лица, в том числе имущество определенного вида (движимое или недвижимое, в том числе предприятия); право собственности и иные вещные права на имущество или отдельные вещи из состава имущества; права требования, обязательства (долги); работы, услуги, информация; иные объекты гражданских прав, в отношении которых законодательством РФ установлена возможность их участия в гражданском обороте. (ст. 5 Закона РФ <Об оценочной деятельности в РФ> от 29 июля 1998 г. № 135-ФЗ).
К объектам недвижимости относятся земельные участки, участки недр, обособленные водные объекты и все, что прочно связано с землей, то есть объекты, перемещение которых без несоразмерного ущерба их назначению невозможно, в том числе леса, многолетние насаждения, здания, сооружения, объекты незавершенного строительства.
К объектам движимого имущества относятся: природные свойства (земля, река), физические свойства, объекты воздушного, космического и морского вида. Отличительной чертой движимого имущества является возможность его перемещения без ущерба ему самому или объектам недвижимости, с которыми оно связано.
Существуют следующие виды оценки
:
¾ Оценка бизнеса
¾ Оценка недвижимости
¾ Оценка земельных участков
¾ Оценка производственных, складских, торговых и офисных помещений
¾ Оценка жилых квартир, коттеджей и дач
¾ Оценка машин и оборудования
¾ Транспортных средств
¾ Оценка интеллектуальной собственности
¾ Прочее
Вопрос №10
Классификация объектов оценки по происхождению.
Бывают
:
¾ Естественные (природные)
объекты
: естественные земельные участки (под застройку и др.) и природные комплексы (месторождения и пр.) для их эксплуатации.
¾ Искусственные объекты (постройки) классифицируются на постройки: жилые, офисные, торговые и т.п
Вопрос №11
Классификация объектов оценки по предназначению
-для ведения бизнеса;
-для проживания владельца;
-в качестве инвестиций;
-в качестве товарных запасов и НЗП;
-для освоения и развития;
-для потребления истощимых ресурсов.
Вопрос №12
Классификация объектов оценки по масштабности
Масштаб:
¾ Земельные массивы.
¾ Отдельные земельные участки.
¾ Комплексы зданий и сооружений.
¾ Жилой дом многоквартирный.
¾ Жилой дом одноквартирный (особняк, коттедж)
¾ Секция (подъезд).
¾ Этаж в секции.
¾ Квартира.
¾ Комната.
¾ Летняя дача.
¾ Комплекс административных зданий.
¾ Здание.
¾ Помещение или части зданий (секции, этажи).
Вопрос №13
Классификация объектов оценки по степени готовности
1)Готовые объекты.
2)Требующие реконструкции или капитального ремонта.
3)Требующие завершения строительства.
Вопрос №14
Структура рынка.
Структура рынка
- основные характерные черты рынка, к числу которых
относятся: количество и размеры фирм, степень сходства или отличия товаров
разных фирм, легкость входа на и выхода с конкретного рынка, доступность
рыночной информации. Структура рынка это внутреннее строение, расположение, порядок отдельных элементов рынка, их удельный вес в общем объеме рынка
По структуре рынки можно подразделить по следующим критериям:
1. По экономическому назначению объектов рыночных отношений:
• рынки благ и услуг;
• рынки средств производства;
• рынки научно-технических разработок;
• рынки ценных бумаг;
• рынки рабочей силы.
Многообразие рынков предопределяет коренное изменение всей системы взаимодействия предприятий, переход к реализации товаров на основе прямых связей, замену формально-учетного характера купли-продажи реальной куплей-продажей, свободный выбор партнеров по хозяйственным связям.
Инструментом такого рынка выступают структуры в виде товарных и фондовых бирж, специальных баз, коммерческих центров, предприятий оптовой торговли и т. д.
2. Рынки можно классифицировать по товарным группам:
• рынки товаров производственного назначения;
• товаров народного потребления; продовольственных товаров;
• рынки сырья и материалов и т. д.
3. Образование рынков по пространственному признаку представляет собой рынки:
• внутрирегиональные;
• межрегиональные;
• республиканские;
• межреспубликанские;
• международные (мировые).
Формирование таких рынков реально обеспечивает приобретение республиками государственного суверенитета.
4. По степени ограничения конкуренции различают
:
• монопольный;
• олигопольный;
• межотраслевые рынки.
Существует разнообразие видов монополии:
Закрытая монополия
- монополия, защищенная юридическими запретами, наложенными на конкуренцию.
Естественная монополия
- отрасль, в которой долго срочные средние издержки минимальны, только когда одна фирма обслуживает весь рынок.
Открытая монополия
- монополия, при которой одна, по крайней мере, на некоторое время становится единственным поставщиком продукта, но не имеет специальной защиты от конкуренции.
5. По видим субъектов рыночных отношений рынки могут подразделяться на:
• рынки оптовой торговли, когда в качестве покупателей и продавцов выступают предприятия и организации;
• рынки розничной торговли, когда покупателями выступают отдельные граждане;
• рынки государственных закупок сельхозпродукции, когда покупателем выступает государство, а продавцами — непосредственные производители сельскохозяйственной продукции: колхозы, совхозы, фермеры, агрокомплексы и т. д.
6. С учетом соблюдения законности в экономике рынки делятся на
:
• легальные, официальные:
• нелегальные «теневые», «черные» и т. д.
Вопрос №15
Понятия: «Стоимость», «Цена», «Затраты»
Стоимость — это деньги или денежный эквивалент, который покупатель готов обменять на какой либо предмет или объект.
Стоимость - это мера того, сколько денег гипотетический покупатель готов заплатить за оцениваемую собственность.
Затраты - это мера издержек, необходимых для того, чтобы создать собственности, сходный с оцениваемым. Эти затраты могут не отличатся от той суммы, которую будет готов заплатить возможный покупатель. В зависимости от ряда факторов, как потребности покупателей, наличие на рынке равноценных объектов и активность других покупателей, эти затраты могут быть выше или ниже стоимости на дату оценки.
Цена - это исторический факт, отражающий, сколько средств было потрачено на покупку аналогичных объектов в прошлых сделках.
Цена — количество денег, в обмен на которые продавец готов передать (продать), а покупатель согласен получить (купить) единицу товара. По сути, цена является коэффициентом обмена конкретного товара на деньги. Величину соотношений при обмене товаров определяет их стоимость. Поэтому цена является стоимостью, выраженной в деньгах, или денежной стоимостью единицы товара. Это фундаментальная экономическая категория.
Вопрос №16
Виды стоимости
Для различных потребностей существует много видов стоимости. Это такие виды, как стоимость в целях кредитования или заемная стоимость, страховая стоимость, балансовая стоимость, остаточная стоимость, арендная стоимость, инвестиционная стоимость, ликвидационная стоимость, обоснованная рыночная стоимость.
Каждая из этих видов стоимостей разделяется на две категории:
- стоимость в обмене;
- стоимость в пользовании.
Стоимость в обмене, продаже - это цена, которая будет преобладать на свободном, открытом рынке, на основе равновесия, устанавливаемого предложением и спросом. Она называется (объективной) обоснованной рыночной стоимостью, поскольку она определяется реальными экономическими факторами.
Обоснованная рыночная стоимость - это наивысшая цена в денежном выражении, которую принесет продажа собственности на конкурентном и открытом рынке при соблюдении всех условий, присущих справедливой сделке, а также при том, что покупатель, как и продавец действуют разумно и со знанием дела и на цену сделки не влияют посторонние факторы и стимулы.
Рыночная стоимость - это идеальный стандарт, который не всегда достижим и поэтому, приведенные выше допущения не всегда соблюдаются. По этой причине реальная цена сделки часто не совпадает с обоснованной рыночной стоимостью и поэтому в России, наиболее часто определяется НАИБОЛЕЕ ВЕРОЯТНАЯ ПРОДАЖНАЯ ЦЕНА. Наиболее вероятная продажная цена - это показатель вероятной цены, по которой собственность может быть реализована, с учетом существующих рыночных условий, фактической осведомленности и поведения покупателей и продавцов. Эта оценка стоимости предполагает обоснование возможной цены сделки в недалеком будущем. Она выражается интервалом цен в рамках вероятного распределения в отличие от обоснованной рыночной стоимости, которая выражается одной цифрой. Стоимость в пользовании - это стоимость собственности для конкретного пользователя или группы пользователей, которые не собираются выставлять имущество на
рынок, и рассчитывается исходя из его текущего использования.
Стоимость в пользовании (потребительская стоимость) имеет следующие виды:
1. Инвестиционная стоимость, ее расчет производится для конкретного инвестора исходя из ожидаемых им доходов и ставки их капитализации.
2. Восстановительная стоимость - определяется издержками в текущих ценах на создание точной копии оцениваемого объекта в его новом состоянии, без учета накопленного износа.
3. Стоимость замещения - определяется расходами в текущих ценах на создание объекта, имеющего с оцениваемым эквивалентную полезность, или расходами на создание функционального аналога.
4. Страховая стоимость - рассчитывается или как восстановительная или как стоимость замещения, но с учетом накопленных износов.
5. Ликвидационая стоимость - определяется цена имущества при принудительной продаже.
6. Залоговая стоимость - рассчитывается как обоснованная рыночная стоимость.
7. Скраповая стоимость - стоимость материалов или деталей из которых состоит имущество.
8. Стоимость для целей налогообложения - вид оцениваемой стоимости назначается Налоговым Кодексом и постановлениями Правительства РФ либо по восстановительной стоимости согласно ПБУ 6/97, либо по справедливой стоимости согласно Международных Стандартов Финансовой Отчетности.
Справедливая стоимость- это сумма, на которую имущество может быть обменено при сделке осведомленными, заинтересованными, независимыми сторонами, при условии, что предприятие будет продолжать свою деятельность и не имеет никаких намерений или необходимости ликвидироваться, существенно сократить уровень своей деятельности или совершать какие либо операции на невыгодных для себя условиях.
Вопрос №17
Принципы оценки.
Принципы оценки недвижимости можно сгруппировать по следующим 4 категориям Они все взаимосвязаны. При анализе объекта недвижимости одновременно могут быть задействованы сразу несколько принципов.
Принципы, основанные на представлениях пользователя.
Данные принципы включают в себя следующие: полезность, замещение и ожидание.
Полезность
– это способность объекта недвижимости удовлетворять потребности пользователя в данном месте и в течение данного периода времени. Принцип полезности
заключается в том, что всякий объект недвижимости обладает стоимостью только в том случае, если он полезен кому-нибудь
Замещение.
Разумный покупатель не заплатит за объект недвижимости больше, чем за ему эквивалентный с меньшей стоимостью объект
Ожидание
– это определение текущей стоимости дохода или других выгод, которые могут быть получены в будущем от владельцев недвижимости.
1. Принципы, связанные с землей, размещенными на ней зданиями и сооружениями
.
Принцип остаточной продуктивности
заключается в том, что в основе стоимости земли лежит ее остаточная продуктивность (производительность).
Вклад – сумма, на которую увеличивается или уменьшается стоимость хозяйственного объекта или чистый доход от него вследствие наличия или отсутствия какого-то дополнительного фактора производства.
Принцип возрастающей и уменьшающейся доходности
означает: увеличение капиталовложений в основные составляющие производства обусловливает пропорциональное увеличение темпов роста прибыли лишь до определенного предела, после которого прирост прибыли становится меньше, чем прирост капиталовложений
Принцип сбалансированности – любому виду землепользования соответствуют оптимальные суммы различных факторов производства, при сочетании которых достигается максимальная стоимость земли.
Принцип оптимальных величин
(оптимальной экономической величины) гласит: при сложившихся на рынке недвижимости тенденциях большим спросом пользуется определенная (оптимальная) величина объекта недвижимости данного типа. Например, хороший участок, который слишком мал или слишком велик, может потерять в стоимости.
Принцип оптимального разделения имущественных прав
гласит: имущественные права на объект недвижимости следует разделять и соединять таким образом, чтобы увеличить общую стоимость объекта недвижимости
2.
Принципы, связанные с рыночной средой.
Принципы, связанные с рыночной средой, включают: зависимость, соответствие, предложение и спрос, конкуренцию и изменение
Принцип зависимости
(внешнего воздействия) гласит: различные факторы внешней среды оказывают влияние на стоимость объекта недвижимости.
Принцип соответствия
гласит: объект недвижимости, не соответствующий существующим в настоящее время рыночным стандартам (ожиданиям), имеет меньшую стоимость.
Принцип спроса и предложения
заключается в выявлении взаимосвязи между потребностью в объекте недвижимости и ограниченностью его предложения.
Принцип конкуренции
. Конкуренция – это соперничество, состязание в каком-либо виде деятельности. Разумная конкуренция стимулирует повышение качества объектов и услуг на рынке недвижимости, избыточная конкуренция приводит к снижению прибыли. Отсутствие конкуренции на рынке недвижимости (при монопольной ситуации) – основное условие, при котором рыночная стоимость объекта не может быть определена, поскольку она складывается только на конкурентном рынке.
Cтоимость объектов недвижимости обычно не остается постоянной, но меняется с течением времени. В этом заключается принцип изменения.
3.
Принцип наилучшего и наиболее эффективного использования.
Принцип наилучшего и наиболее эффективного использования – это синтез принципов всех трех категорий, которые были рассмотрены ранее.
Вопрос №18
Основы теории стоимости денег во времени
Временна́я ценность денег основана на предпосылке, что каждый предпочтёт получить определенную сумму денег сегодня, чем то же самое количество в будущем, если все остальное одинаково. В результате, когда каждый вносит деньги на счет в банк, каждый требует (и зарабатывает) проценты. Деньги, полученные сегодня, более ценны, чем деньги, полученные в будущем количеством процентов, который деньги могут заработать.
Сумма, полученная сегодня, больше той же суммы, полученной завтра.
Согласно принципу временно́й ценности денег, сегодняшние поступления ценнее будущих. Отсюда вытекает, по крайней мере, два важных следствия:
¾ необходимость учёта фактора времени при проведении финансовых операций;
¾ некорректность (с точки зрения анализа долгосрочных финансовых операций) суммирования денежных величин, относящихся к разным периодам времени.
Расчет стоимости денег
В финансовом менеджменте для работы с денежными величинами в разных периодах времени выполняют приведение этих денежных величин к одному периоду. Для этого денежные величины или потоки денежных платежей пересчитывают по ставке дисконтирования на какой-то период:
дисконтированная стоимость (PV, present value) и дисконтированная стоимость аннуитета;
будущая стоимость денег (FV, future value)
Как правило, приведенная стоимость денег рассчитывается по сложному проценту. В качестве ставки дисконтирования используется или планируемая доходность инвестиционного проекта, или минимальная ставка. Минимальная ставка обычно принимается за ставку рефинансирования, или процент по считающимся безрисковыми долгосрочным государственным облигациям, или процент по банковским депозитам.
Вопрос №19
Потенциальный валовой доход
Потенциальный валовой доход
- валовые поступления, которые были бы получены, если бы все подлежащие сдаче в аренду активы, были бы арендованы и арендаторы вносили бы всю сумму арендной платы.
Вопрос №20
Валовой действительный доход
Валовой действительный доход
- валовые денежные поступления от приносящей доход собственности за вычетом потерь от недоиспользования и невнесения арендной платы.
Вопрос №21
Чистый доход, его расчет
Под
чистым
доходом
понимается доход, полученный в каждом временном интервале от производственной деятельности, за вычетом всех платежей, связанных с его получением (текущими затратами на оплату труда, сырье, энергию, налоги и т.д.). При этом погашение амортизации не относится к текущим затратам.
Вопрос № 22
Вопрос № 23 Вопрос № 24 Вопрос № 25 Вопрос № 26 Вопрос № 27
Математические основы оценочной деятельности. Шесть функций денежной единицы
Итак, для определения стоимости собственности, приносящей доход, необходимо определить текущую стоимость денег, которые будут получены через какое-то время в будущем.
Известно, а в условиях инфляции куда более очевидно, что деньги изменяют свою стоимость с течением времени. Основными операциями, позволяющими сопоставить разновременные деньги, являются операции накопления (наращивания) и дисконтирования.
Накопление
– это процесс приведения текущей стоимости денег к их будущей стоимости, при условии, что вложенная сумма удерживается на счету в течение определенного времени, принося периодически накапливаемый процент.
Дисконтирование
– это процесс приведения денежных поступлений от инвестиций к их текущей стоимости.
В оценке эти финансовые расчеты базируются на сложном процессе, когда каждое последующее начисление ставки процента осуществляется как на основную сумму, так и на начисленные за предыдущие периоды невыплаченные проценты.
Всего рассматривают шесть функций денежной единицы, основанных на сложном проценте. Для упрощения расчетов разработаны таблицы шести функций для известных ставок дохода и периода накопления (I и n), кроме того, можно воспользоваться финансовым калькулятором для расчета искомой величины.
1 функция: Будущая стоимость денежной единицы (накопленная сумма денежной единицы), (fvf, i, n).

Если начисления осуществляются чаще, чем один раз в год, то формула преобразуется в следующую:

k – частота накоплений в год.
Данная функция используется в том случае, когда известна текущая стоимость денег и необходимо определить будущую стоимость де нежной единицы при известной ставке доходов на конец определенного периода (n).
Правило 72х
Для примерного определения срока удвоения капитала (в годах) необходимо 72 разделить на целочисленное значение годовой ставки до хода на капитал. Правило действует для ставок от 3 до 18%.
Типичным примером для будущей стоимости денежной единицы может служить задача.
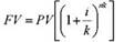
Определить, какая сумма будет накоплена на счете к концу 3го
года, если сегодня положить на счет, приносящий 10% годовых, 10 000
рублей.
FV=10000[(1+0,1)3]=13310.
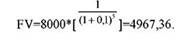
2 функция : Текущая стоимость единицы (текущая стоимость реверсии (перепродажи)), (pvf, i, n).
Текущая стоимость единицы является обратной относительно будущей стоимости.

Если начисление процентов осуществляется чаще, чем один раз в год, то

Примером задачи может служить следующая: Сколько нужно вложить сегодня, чтобы к концу 5го года получить на счете 8000, если годовая ставка дохода 10%.

3 функция : Текущая стоимость аннуитета (pvaf, i, n).
Аннуитет – это серия равновеликих платежей (поступлений), отстоящих друг от друга на один и тот же промежуток времени. Выделяют обычный и авансовый аннуитеты. Если платежи осуществляются в конце каждого периода, то аннуитет обычный, если в начале – авансовый. Формула текущей стоимости обычного аннуитета:

PMT – равновеликие периодические платежи. Если частота начислений превышает 1 раз в год, то

Формула текущей стоимости авансового аннуитета:

Типовой пример: Договор аренды дачи составлен на 1 год. Платежи осуществляются ежемесячно по 1000 рублей. Определить текущую стоимость арендных платежей при 12% ставке дисконтирования, если а) платежи осуществляются в конце месяца; б) платежи осуществляются в начале каждого месяца.
 
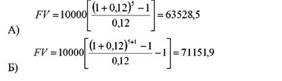
4 функция : Накопление денежной единицы за период (fvfa, i, n).
В результате использования данной функции определяется будущая стоимость серии равновеликих периодических платежей (поступлений). Платежи также могут осуществляться в начале и в конце периода. Формула обычного аннуитета:

Типовой пример:
Определить сумму, которая будет накоплена на счете, приносящем 12% годовых, к концу 5го года, если ежегодно откладывать на счет 10 000 рублей а) в конце каждого года; б) в начале каждого года.

5 функция : Взнос на амортизацию денежной единицы (iaof, i, n) Функция является обратной величиной текущей стоимости обычного аннуитета. Взнос на амортизацию денежной единицы используется для определения величины аннуитетного платежа в счет погашения кредита, выданного на определенный период при заданной ставке по кредиту. Амортизация – это процесс, определяемый данной функцией, включает проценты по кредиту и оплату основной суммы долга.

При платежах, осуществляемых чаще, чем 1 раз в год используется следующая формула:

Примером может служить следующая задача: Определить, каким должны быть платежи, чтобы к концу 7го года погасить кредит в 100 000 рублей, выданный под 15% годовых.

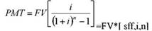
6 функция : Фактор фонда возмещения (sff, i, n)
Данная функция обратная функции накопления единицы за период. Фактор фонда возмещения показывает аннуитетный платеж, который необходимо депонировать под заданный процент в конце каждого периода для того, чтобы через заданное число периодов получить искомую сумму. Для определения величины платежа используется формула:

При платежах (поступлениях), осуществляемых чаще, чем 1 раз в год:

Примером может служить задача. Определить, какими должны быть платежи, чтобы к концу 5го го да иметь на счете, приносящем 12% годовых, 100 000 рублей. Платежи осуществляются в конце каждого года.

Аннуитетный платеж, определяемый данной функцией, включает выплату основной суммы без выплат процента.

Вопрос №28
Затратный подход к оценке стоимости
Затратный подход к оценке стоимости
- метод оценки стоимости недвижимости, согласно которому стоимость недвижимости определяется оценкой затрат на приобретение свободного участка под застройку и строительство здания и других сооружений, необходимых для того, чтобы создать недвижимость равной полезности.
В основе затратного метода лежит предположение, что рациональный потенциальный собственник не будет платить за рассматриваемую недвижимость сумму большую, чем затраты на создание заменяющей ее недвижимости.
Затратный подход (ЗП) (the cost approach)
основывается на расчете: трат на восстановление (в некоторых случаях — замещение) оцениваемых зданий и сооружений с учетом всех видов износа и предпринимательской прибыли. К полученной стоимости добавляется рыночная стоимость участка земли. В основе ЗП лежит принцип замещения.
Стоимость восстановления
(затраты на полное восстановление объекта) — это расходы в текущих ценах на строительство его точного дубликата или копии с использованием точно таких же материалов, строительных стандартов, дизайна и с тем же качеством работ (которые воплощают в себе недостатки, несоответствия и «моральный» износ), что и у объекта оценки.
Стоимость замещения
(затраты на полное замещение) — это расходы в текущих ценах на строительство здания, имеющего эквивалентную полезность с объектом оценки, построенного из новых материалов и в соответствии с нынешними стандартами, дизайном и планировкой (то есть замена здания его функциональным аналогом).
Затратный подход
объединяет группу методов ценообразования, принимающих в качестве отправной точки фактические затраты фирмы на производство и организацию сбыта товара. В рамках затратного подхода выделяют определённые методы расчёта цен, а сами цены, определённые таким образом, получили название — «цены с ориентацией на издержки».
Вопрос № 29
Область применения и неприменения затратного подхода
Применяется
:
· при технико-экономическом обосновании нового строительства;
· при выборе наилучшего и наиболее эффективного использования земельного участка;
· при выборе профиля объекта недвижимости;
· при согласовании стоимостей объекта недвижимости, полученных различными методами;
· при оценке зданий специального назначения;
· при оценке объектов недвижимости в "пассивных" секторах рынка;
· для страхования.
· определении базы налогообложения.
· реконструкции;
· оценке недвижимости на пассивных рынках;
Не применяется
:
• В условиях высокой инфляции очень сложно точно рассчитать стоимость затрат на воспроизводство зданий и сооружений, не говоря уже о стоимости воспроизводства всех улучшений городских земель с выделением доли, приходящейся на оцениваемый земельный участок. • Затратный подход не следует применять для зданий, имеющих историческую и культурную ценность, когда нельзя сделать самостоятельную оценку земельного участка. • Затратный подход не учитывает ключевые факторы, влияющие на стоимость земельного участка, т.к. местоположение, рельеф, конфигурации и т.п.
ЗП труднореализуем для зданий с уникальными архитектурными и эстетическими характеристиками, имеющих историческую ценность, а также зданий с чрезмерными физическим, функциональным и внешним износом.
Вопрос №30
Сметная стоимость, ее расчеты
Сметная стоимость
- сумма денежных средств, необходимых для осуществления строительства в соответствии с проектными материалами.
Сметная стоимость строительства
- это плановая величина расходов, необходимых для создания объекта в точном соответствии с проектом. На основе полной сметной стоимости производится распределение капитальных вложений по годам строительства, определяются источники финансирования, формируются договорные цены на строительную продукцию.
Сметная документация, охватывающая весь комплекс строящихся объектов, именуется "сводной
", так как она обычно обобщает документацию по отдельным объектам. Если же она охватывает лишь конкретный объект или его часть (вид работ), она именуется соответственно "объектной" или "локальной
". Сметный документ, который рассчитывается без подробной детализации с использованием укрупненных показателей, обычно именуется "сметным расчетом". Если делается детальный расчет стоимости по рабочим чертежам без укрупнения, то получаемый документ обычно именуется "сметой"
.
В рыночных условиях РФ применяются четыре метода расчета сметной стоимости:
- ресурсный метод
- это калькулирование в текущих (прогнозных) ценах и тарифах ресурсов (элементов затрат). При таком методе устанавливаются раз- дельно в натуральных измерениях (м3, тонна, штука, чел-час и т.д.) расходы материалов и изделий, затраты времени на эксплуатацию машин, затраты труда рабочих, а цены на эти ресурсы принимаются текущие (на момент составления смет).
- ресурсно-индексный
метод
- это сочетание ресурсного метода с системой индексов цен на ресурсы. Индексами цен называют отношения текущих цен к базовым. В качестве базовых цен, как отмечалось, принимают цены на 1.01.91 и допустимо использовать цены 1984г. с поправками.
- базисно-индексный метод
- это использование системы текущих и прогнозных индексов цен по отношению к стоимости, определенной на базисном уровне или уровне предшествующего периода. В отличие от ресурсно-индексного метода, раздельного определения расхода ресурсов в натуральных показателях обычно не делается. Приведение к текущим ценам выполняется путем перемножения базисной стоимости по каждой строке сметы на соответствующий индекс.
- базисно-компенсационный метод
состоит в том, что определяется базисная стоимость с учетом ожидаемых изменений цен и тарифов, а в процессе строительства она уточняется в зависимости от фактических изменений этих цен и тарифов.
Сметная стоимость строительно-монтажных работ делится на три основных части:
- Прямые затраты
включают стоимость материалов, изделий, расходы на эксплуатацию машин и механизмов, зарплату рабочих. Они определяются, исходя из сметных норм и цен, объемов конструкций или видов работ, т.е. любым из названных выше методов расчета.
- Накладные расходы
отражают затраты, связанные с созданием общих условий строительного производства, т.е. включают расходы на организацию, управление и обслуживание стройки. Они определяются чаще всего в процентах от прямых затрат в соответствии с федеральными нормами накладных расходов, либо по индивидуальным нормам конкретной строительной организации.
- Сметная прибыль (
плановые накопления) - это сумма средств, необходимых для покрытия расходов, непосредственно не связанных с данным строительством, но нужных для дальнейшего функционирования строительной организации. Это расходы на уплату налогов, развитие производства и его инфраструктуры, на материальное стимулирование и обеспечение благоприятных условий жизни работников.
Вопрос №31
Алгоритм затратного подхода (метода) оценки.
1.
Рассчитывается стоимость земельного участка и работ по его благоустройству. Если участок арендован, то учитывается стоимость права аренды;
2.
Определяется полная стоимость воспроизводства или замещения;
3.
Производится расчет всех видов износа: физического, функционального, внешнего;
4.
Оценка величины
5.
Вычитается полный износ из ПСВ (ПСЗ) с целью получения стоимости зданий и сооружений.
Производится суммирование стоимости земельного участка, стоимости зданий и сооружений, стоимости работ по благоустройству участка и стоимости предпринимательской прибыли.
Вопрос №32
Методы определения полной стоимости воспроизводства или замещения.
В теоретическом плане под полной восстановительной стоимостью строений понимается смета затрат, стоимость возведение копии оцениваемого здания на дату оценки. Оценка полной восстановительной стоимости здания на дату оценки может производиться по стоимости воспроизводства либо по стоимости замещения. Выбор вида восстановительной стоимости для конкретного оценочного здания необходимо четко объяснить в отчете во избежание неверного толкования полученного результата. Полная восстановительная стоимость зданий включает прямые и косвенные строительные затраты, а также предпринимательский доход. К прямым строительным затратам относят полную сметную стоимость строительно-монтажных работ, которая, в свою очередь, включает прямые и накладные расходы, а также прибыль подрядной строительной организации. К косвенным затратам относят расходы, необходимые для строительства, но не входящие в состав подрядного строительного договора. Косвенные затраты могут включать: . проектно-изыскательские работы; . оценку, консалтинг, бухгалтерский учет и юридические услуги; . расходы на финансирование за счет кредита; . страхование всех рисков; . налоговые платежи в течение строительства и др. Предпринимательский доход – часть рыночной стоимости здания, которая представляет сумму предпринимательской прибыли, возникающей в ходе выполнения строительных работ, компенсирующей возникающие при этом риски и реализуемой при смене собственника. Предпринимательский доход (фактически реализованный) определяют, как разницу между ценой продажи или рыночной стоимостью объекта и общими затратами. Предпринимательский доход является составной частью рыночной стоимости зданий, входящих в состав объекта недвижимости. Обычно для расчета предпринимательского дохода на основе анализа рыночных сделок с аналогичными объектами определяется некий нормативный процент предпринимательского дохода, который в зависимости от исходной базы, используемой оценщиком, может устанавливаться к различным показателям стоимости. Так в качестве базы для расчета могут выступать: . прямые затраты; . сумма прямых и косвенных затрат; . общая сумма прямых, косвенных затрат и стоимости участка; . стоимость завершенного проекта.Вопрос № 33
Износ, его определение.
Износ (экономика)
— обесценивание долгосрочных материальных производственных активов (основных средств), таких как здания, оборудование, транспорт, сопровождающееся потерей их технико-экономических характеристик.
Износ имущества
- снижение стоимости имущества под действием различных причин. Износ имущества определяют на основании фактического состояния имущества или по данным бухгалтерского и статистического учета.
Различают три вида износа: физический, функциональный и внешний. По характеру состояния износ подразделяют на устранимый и неустранимый.
Износ объекта недвижимости
- уменьшение рыночной стоимости объекта недвижимости, а также его ценности и полезности вследствие устаревания, потери свойств и качеств. Различают физический и моральный износ объекта недвижимости.
Вопрос №34
Физический, функциональный и внешний износ
Физический износ имущества
- износ имущества, связанный со снижением его работоспособности в результате как естественного физического старения, так и влияния внешних неблагоприятных факторов.
Функциональный износ
– представляет потерю стоимости зданий врезультате несоответствия их функциональных характеристик требованиям рынкана дату оценки. К таким недостаткам можно отнести конструктивные элементыздания, строительные материалы, дизайн и др., которые снижаютфункциональность, полезность и, следовательно, ценность здания.Внешний
(экономический) износ – представляет собой потерю стоимостиздания или объекта собственности в результате отрицательного воздействиявнешних по отношению к оцениваемому объекту факторов. Внешнее старениеможет возникнуть в результате изменения физического окружения объектаоценки или негативного влияния рыночной среды.Вопрос №35
Расчет износа: метод срока жизни, метод сравнения продаж, метод эффективного использования
Метод оставшегося срока экономической жизни
предполагает учет всех факторов износа в одном показателе – оставшемся сроке экономической жизни. Определение износа зданий
методом
срока
жизни базируется на экспертизе строений оцениваемого объекта и предположении, что эффективный возраст объекта так относится к типичному сроку экономи ческой жизни, как накопленный износ к стоимости воспроизводства (за мещения) здания.
Износ здесь рассчитывается по формуле:
| где: |
И%
|
- накопленный износ, %; |
| Тэф
|
- эффективный возраст, лет; |
| Тост
|
- оставшийся срок экономической жизни, лет. |
Таким образом, здесь учитывается желание инвестора окупить вложения за определенный срок. Более этого срока с точки зрения пользователя эксплуатация данного объекта не является необходимой, даже если физически он и может использоваться далее.
Метод сравнения продаж
основан на определении величины накопленного износа как разницы между стоимостью нового строительства и стоимостью сооружения на дату оценки, при этом наличие достоверных данных о продажах подобных объектов и стоимости свободных участков земли является необходимым условием.
В стоимостном выражении совокупный износ представляет собой разницу между восстановительной стоимостью и рыночной ценой оцениваемого объекта:

Поскольку не существует двух абсолютно одинаковых участков по всем параметрам, то необходима соответствующая корректировка цен продаж сопоставимых участков, которая может быть и с положительным, и с отрицательным знаком. Откорректированные цены по сопоставимым объектам позволяют сделать вывод о рыночной стоимости оцениваемого земельного участка.25 Расчетная рыночная стоимость оцениваемого участка (Ср) определяется по формуле:
Ср = Ц i ± К ij ,
где Цi – цена продажи i-го сравнимого земельного участка; К ij – величина корректировки цены продажи i-го сравнимого участка по j -параметру (фактору, элементу сравнения).
Эффективный возраст (ЭВ
)
рассчитывается на основе хронологического возраста здания с учетом его технического состояния и сложившихся на дату оценки экономических факторов, влияющих на стоимость оцениваемого объекта. В зависимости от особенностей эксплуатации здания эффективный возраст может отличаться от хронологического возраста в большую или меньшую сторону. В случае нормальной (типичной) эксплуатации здания эффективный возраст, как правило, равен хронологическому.
Метод
эффективного
возраста гораздо проще технически и менее зависим от состояния рынка. Он основан на экспертизе строений оцениваемого объекта и апробированной гипотезе о том, что эффективный возраст так относится к типичному сроку экономической жизни, как накопленный износ к текущей восстановительной стоимости. Из этого отношения вытекает следующая формула накопленного износа:
И = (ЭВ/ЭЖ)*ВС,
где ЭВ -- эффективный возраст;
ЭЖ -- срок экономической жизни;
ВС -- восстановительная стоимость.
Вопрос № 36
Доходный подход (метод) оцени стоимости объекта оценки
Доходный подход к оценке стоимости объектов недвижимости – совокупность методов оценки стоимости объекта оценки, основанных на определении ожидаемых доходов от объекта оценки.
Доходный подход используется только для оценки доходной недвижимости, то есть такой недвижимости, единственной целью которой является получение дохода, и в его основе лежат следующие принципы оценки недвижимости:
· принцип ожидания (стоимость объекта, приносящего доход, определяется текущей стоимостью будущих доходов, которые этот объект принесет);
· принцип замещения (стоимость объекта недвижимости имеет тенденцию устанавливаться на уровне величины эффективного капиталовложения, необходимого для приобретения сопоставимого, замещающего объекта, приносящего желаемую прибыль).
Сущность доходного подхода состоит в оценке текущей (сегодняшней) стоимости будущих выгод, которые как ожидаются, принесут эксплуатация и возможная продажа в дальнейшем недвижимого имущества, т.е. путем капитализации дохода.
Капитализация дохода – это процесс перерасчета потока будущих доходов в конечную величину, равную сумме их текущих стоимостей. Эти величины учитывают:
· сумму будущего дохода;
· время, когда должен быть получен доход;
· продолжительность получения дохода.
· прогнозирование будущих доходов;
· капитализация будущих доходов в настоящую стоимость.
Вопрос №38
Метод валовой ренты с использованием мультипликатора валовой ренты
Данный метод можно рассмотреть как частный случай метода сравнения продаж.
Этот метод основывается на объективной предпосылке наличия прямой взаимосвязи между ценой продаж недвижимости и рентным доходом от сдачи ее в аренду. Эта взаимосвязь определяется и измеряется валовым рентным мультипликатором (ВРМ) как отношение цены продаж к рентному доходу.
В качестве экономической единицы сравнения при оценке объекта недвижимости на основе соотношения дохода и цены продажи может использоваться валовой рентный мультипликатор.
Валовой рентный мультипликатор
– это отношение продажной цены или к потенциальному валовому доходу (ПВД), или к действительному валовому доходу (ДВД).
Для применения метода валовой ренты необходимо:
а) оценить рыночный валовой (действительный) доход, генерируемый объектом;
б) определить отношение валового (действительного) дохода к цене продажи по сопоставимым продажам аналогов;
в) умножить валовой (действительный) доход от оцениваемого объекта на усредненное (средневзвешенное) значение ВРМ по аналогам.
Вопрос №39
Метод прямой капитализации
Метод прямой капитализации - процедура оценки недвижимости, согласно которой стоимость объекта недвижимости: - прямо зависит от текущей стоимости всех будущих чистых доходов, порождаемых этой недвижимостью; - определяется как частное от деления чистого дохода на коэффициент капитализации.
Метод
прямой
капитализации
- определение стоимости объекта недвижимости путем деления величины годового дохода на соответствующий этому доходу коэффициент капитализации.
1) определение величины капитализируемого дохода;
2) определение коэффициента капитализации;
3) определение рыночной стоимости земельного участка.
В зависимости от целевого назначения земельного участка в качестве дохода могут выступать:
а) земельная рента
б) арендная плата
в) часть дохода от единого объекта, рассчитанная методом остатка
г)доход от прироста стоимости земельного участка.
Вопрос №40
Ставка капитализации. Общая ставка капитализации. Общая ставка капитализации с использованием показателя чистого операционного дохода.
Ставка капитализации для предприятия
обычно выводится из ставки дисконта путем вычета ожидаемых среднегодовых темпов роста прибыли или денежного потока (в зависимости от того, какая величина капитализируется). Соответственно, для одного и того же предприятия ставка капитализации обычно ниже, чем ставка дисконта.
С математической точки зрения ставка капитализации
– это делитель, который применяется для преобразования величины прибыли или денежного потока за один период времени в показатель стоимости.
Общий коэффициент капитализации - коэффициент, используемый для капитализации всего чистого операционного дохода. Он рассчитывается исходя из структуры стоимости объекта, т.е. распределения на стоимость земли и стоимость зданий и сооружении по формуле:
Rcp
=
R
зд*
d
зд+
R
зем*
d
зем
где R
с
p
- средневзвешенный (общий) коэффициент капитализации;
R
зд
- коэффициент капитализации для здании, сооружений;
d
зд
d
зем -
процентная доля зданий, сооружений и земельного участка в общей стоимости:
R
зем
- коэффициент капитализации для земли.
В случаях, когда ожидается прирост или снижение стоимости объекта, коэффициент капитализации текущего дохода (общий коэффициент капитализации) должен быть подвергнут корректировке.
Ставка капитализации часто рассчитывается на основе анализа рыночной информации об аналогах объекта оценки путем деления чистого годового дохода на цену продажи аналога.
,
где PV –
текущая стоимость недвижимости,
NOI –
ожидаемый чистый операционный доход за первый после даты оценки год,
Л – общая ставка капитализации.
В качестве NOI может использоваться нормализованный чистый операционный доход за 1 год, получаемый путем усреднения дохода за несколько лет.
Вопрос №41
Определение ставки капитализации методом кумулятивного построения
Метод кумулятивного построения - это способ расчета ставки капитализации, применяемый при оценке стоимости различных объектов недвижимости.
Метод кумулятивного построения
ставки капитализации делит ее на составные части: доход на инвестиции и ставку возмещения капитала.
· безрисковая процентная ставка (может соответствовать банковскому проценту на капитал или процентной ставке по государственным краткосрочным облигациям);
· поправка на риск в зависимости от рискованности вложения капитала;
· поправка на низкую ликвидность данного объекта недвижимости;
· поправка на инвестиционный менеджмент, связанная с затратами на управленческие усилия, в частности на заполнение налоговой декларации и т. д.
Расчет осуществляется след. образом: к безрисковой ставке дохода прибавляют дополнит, компенсации, учитывающие разл. виды рисков, а также (при необходимости) низкую ликвидность и инвестиционный менеджмент. М.к.п. позволяет учитывать в прогнозных расчетах разницу между потоками доходов от недвижимости и от др. активов. Расчеты начинают с определения безрисковой ставки дохода. Она отражает доход, приносимый активами, риск вложения средств в к-рые минимален. В качестве таких активов выступают либо гос. облигации, либо депозиты в наиболее надежных банках. Поскольку риск этих инструментов минимален, минимальна и их доходность. К безрисковой ставке дохода прибавляют поправку на риск, связ. с особенностями оцениваемого объекта. Напр., в оценке стоимости недвижимости риск считается низким тогда, когда есть сильный арендатор, имеющий постоянных клиентов, и наоборот, риск высок, когда у арендатора нет постоянных клиентов.
Должна быть также проведена корректировка на низкую ликвидность недвижимости. Ликвидность показывает, насколько быстро актив может быть преобразован в наличные ден. средства.
Вопрос №42
Составляющие ставки капитализации: ипотечная постоянная и ставка капитализации на собственный капитал
Коэффициент капитализации для заемного капитала называется ипотечной постоянной и рассчитывается по следующей формуле:
; где
Rm – ипотечная постоянная; ДО – ежегодные выплаты; К – сумма ипотечного кредита.
Ипотечная постоянная определяется по таблице шести функций сложного процента: она равна сумме ставки процента и фактора фонда возмещения или же равна фактору взноса на единицу амортизации.
Коэффициент капитализации для собственного капитала называется ипотечной постоянной и рассчитывается по следующей формуле:
; где
Rc – коэффициент капитализации собственного капитала; PTCF – годовой денежный поток до выплаты налогов; Кс – величина собственного капитала.
Общий коэффициент капитализации определяется как средневзвешенное значение:
, где
М – коэффициент ипотечной задолженности.
Если прогнозируется изменение в стоимости актива, то возникает необходимость учета в коэффициенте капитализации, возврата основной суммы капитала (процесса рекапитализации). Норма возврата капитала в некоторых источниках называется коэффициентом рекапитализации. Для возврата первоначальных инвестиций часть чистого операционного дохода откладывается в фонд возмещения с процентной ставкой Ур
- ставкой процента для рекапитализации.
Вопрос №43
Расчет ставки капитализации методом связанных инвестиций или методом инвестиционной группы
Метод связанных инвестиций или техника инвестиционной группы
применяется, если объект недвижимости покупается за счет собственного и заемного капитала.
Коэффициент капитализации должен удовлетворять требованиям доходности на обе части инвестиций: Кк = Rск dск + Rзк dзк
, где Rск, Rзк - ставка доходности на собственный и заемный капитал соответственно; dск, dзк - доля собственного и заемного капитала в покупке.
Вопрос №44
Традиционнаяч техника ипотечно-инвестиционного анализа.
Традиционная техника анализа - это метод оценки чистой современной стоимости инвестиционного проекта, использующего заемный капитал.
В основу метода положено определение общей стоимости выкупного капитала предприятия, включающей прямые инвестиции в форме ипотечного кредита и собственный капитал предпринимателя - инициатора проекта. Соответственно современную стоимость проекта составляет сумма текущей стоимости денежных поступлений, выручки от перепродажи собственности (в конце предполагаемого срока владения) и основного кредита, предоставленного инвестором.
Прямая
техника инвестиционного анализа опирается на уравнение дисконтирования потока будущих доходов:
V = M - C + A(N - D) + F(R - O), (1)
где V - чистая современная стоимость проекта;
M - основная сумма прямых инвестиций;
C - начальное вложение капитала, предусмотренное проектом;
A - фактор текущей стоимости аннуитета, определяемый по специальным таблицам;
N - предполагаемый чистый инвестиционный доход предприятия за год;
D - ежегодные равные платежи в счет погашения кредита инвестора постоянными равными долями под определенные в кредитном договоре гарантии (их дает, например, контрольный пакет акций предприятия);
F - фактор текущей стоимости реверсии, определяемый по специальным таблицам;
R - цена перепродажи собственности в конце предполагаемого срока владения;
O - остаток основной суммы кредита при перепродаже.
Обратная
техника состоит в решении уравнения (1) в предположении, что чистый инвестиционный доход не меняется со временем и начальное вложение капитала отсутствует. В этом случае уравнение (1) имеет решение V=q/k, где k - общая ставка капитализации на собственный и заемный капитал, определяемая по формуле Элвуда:
k = (1 - m) i + mf - Smp - Sd, (2)
где m - доля заемного капитала в общей стоимости проекта;
i - ставка дохода на собственный капитал предпринимателя;
f - ипотечная постоянная по кредиту инвестора;
S - фактор фонда возмещения;
p - часть основной суммы кредита, которая будет выплачена за время владения проектом;
d - относительное изменение стоимости собственности на валютном рынке за время владения проектом.
Вопрос №45
Три этапа расчета традиционной техники.
Этап I. Для принятого прогнозного периода составляется отчет о доходах и расходах и определяется денежный поток до налогообложения, т. е. на собственный капитал. Завершается этап определением текущей стоимости этого потока в соответствии с прогнозным периодом и ожидаемой инвестором конечной отдачей на собственный капитал.
Этап II. Определяется выручка от перепродажи собственности вычитанием из цены перепродажи затрат на совершение сделки и остатка долга на конец прогнозного периода. Оценивается текущая стоимость выручки по той же ставке.
Этап III. Определяется текущая стоимость собственного капитала сложением результатов этапов. Оценивается стоимость собственности как результат суммы стоимости собственного капитала и текущего остатка долга.
Применим традиционную технику к конкретному инвестиционному проекту и используем его как базовый для иллюстрации всех последующих рассмотрений элементов инвестиционно-ипотечного анализа.
Вопрос № 46
Подход (метод) сравнительного анализа продаж
Метод прямого сравнительного анализа продаж - способ оценки стоимости путем сравнения недавних продаж сопоставимых объектов с оцениваемым объектом после внесения корректировок, учитывающих различия между объектами.
Метод прямого сравнительного анализа продаж (далее – метод анализа продаж) заключается в анализе фактических сделок купли-продажи объектов недвижимости и сравнении объектов, по которым эти сделки проводились с оцениваемым объектом недвижимости. Данный метод оценки недвижимости основан на принципе замещения, который гласит: покупатель не купит объект недвижимости, если его стоимость будет превышать затраты на приобретение на рынке схожего объекта, обладающего такой же полезностью. Поэтому предполагается, что цены, по которым на рынке недвижимости состоялись сделки купли-продажи объекта, схожего или аналогичного оцениваемому объекту, отражают его рыночную стоимость.
Вопрос №47
Технология оценки объекта прямого сравнительного анализа продаж
Метод сравнения продаж включает четыре этапа:
1)выявление недавних продаж сопоставимых объектов на соответствующем сегменте земельного рынка;
Источниками информации о недавних продажах сопоставимых объектов могут быть собственный архив эксперта-оценщика, банки данных риэлтерских фирм, банки данных нотариальных контор, территориальные органы управления, где осуществляется регистрация сделок купли-продажи и ведется реестр собственников объектов недвижимости, публикации в периодической печати о состоявшихся сделках
купли-продажи объектов недвижимости и другие источники.
2)проверка информации о сделках с земельными участками
; Данные о сделках, собранные экспертом-оценщиком, должны быть проверены и подтверждены либо продавцом, либо покупателем, либо брокером (оценщиком), который сопровождал данную сделку.
3)
сравнение оцениваемого земельного участка с участками, проданными на рынке и внесение корректировок с учетом различий между оцениваемым и каждым из сравниваемых участков
;
В цену сопоставимого объекта вносятся поправки, учитывающие различия между оцениваемым и
сопоставимым объектами недвижимости. В процессе корректировки фактических продажных цен сравнимых объектов поправки делаются от сопоставимого объекта к оцениваемому. При этом экспертоценщик должен отвечать на вопрос: "За какую цену был бы продан объект недвижимости, имей он те же характеристики, что и оцениваемый объект?"
Особенность внесения поправок состоит в том, что различия в характеристиках объектов оцениваются с точки зрения типичного покупателя. Поэтому поправка по какой-либо характеристике стоит не обязательно столько, сколько было затрачено на создание (или ликвидацию) этой характеристики. Например, затраты на покраску дачи составили X долл., однако дача в результате этой покраски существенно преобразилась и типичный покупатель готов будет заплатить за эту покраску 2X долл. Таким образом, правильная величина поправки составит 2X долл.
4)
анализ приведенных цен аналогов и выведение итоговой величины рыночной стоимости оцениваемого земельного участка.
Вопрос №48
Методы определения поправок
Определение
поправок
методом «Анализ парных продаж»
базируется на сравнении двух почти идентичных объектов недвижимости, за исключением одной характеристики (которую и
определяет оценщик и использует в качестве
поправки к фактической цене сопоставимого объекта).
Теория, на которой базируется этот способ, состоит в том, что если между двумя сопоставимыми объектами имеется единственное различие, то разница в продажной цене можно приписать этому элементу.
Определение
поправок
методом «Расчета стоимости элемента, для которого необходима поправка»
.
Данный способ применяется оценщиками в условиях недостатка рыночной информации о сделках купли-продажи сопоставимой недвижимости.
Определение суммы поправочных величин весьма трудоемкая работа и требует большого опыта оценщика. Следует собрать большое количество подробной и достоверной информации о сопоставимых однородных объектах. Например для рынка жилья: характеристика жилой площади, местоположение, этажность, наличие бытовых удобств и телефона, экологическая чистота и престижность района, состояние и отделка помещения и т. п. Особенность внесения поправок также состоит в том, что различия в характеристиках объектов оцениваются с точки зрения типичного покупателя. Поэтому поправка по какой-либо характеристике стоит не обязательно столько, сколько было затрачено на создание (или ликвидацию) этой характеристики.
Вопрос № 49
Основы процесса оценки
Процесс оценки недвижимости состоит из этапов, выполняемых последовательно для определения ее стоимости.
Этапы оценки недвижимости
1 Определение проблемы
1.1 идентификация объекта – определение наименования, местоположение, физические характеристики
1.2 выявление предмета оценки - установление имущественных прав, связанных с объектом
1.3 устанавливается дата проведения оценки - календарная дата, по состоянию на которую определяется стоимость объекта оценки
1.4 определение цели оценки объекта – от выбора цели зависит методика оценки и, соответственно, полученный результат
1.5 определение вида стоимости, который необходимо определить в соответствии с поставленной целью
1.6 формулируются ограничивающие условия - заявления в отчете, описывающие препятствия или обстоятельства, которые влияют на оценку стоимости имущества
2 ПРЕДВАРИТЕЛЬНЫЙ ОСМОТР ОБЪЕКТА И ЗАКЛЮЧЕНИЕ ДОГОВОРА НА ОЦЕНКУ
2.1 Предварительный осмотр и знакомство с администрацией
2.2 Определение информации и ее источников, определение комплекса документов, которые должен представить заказчик
2.3 Выбирается персонал, специализирующийся на оценке данного класса объектов
2.4 Составляется задание на оценку, содержащее следующие данные: имя заказчика; имя оценщика; предмет оценки; дату оценки; цель и функцию оценки; применяемый стандарт стоимости; календарный план оценки; особые условия
2.5 Составляется календарный план работ по оценке
2.6 подготовка и подписание договора на оценку
3 Сбор и анализ данных
3.1 Сбор и обработка следующей информации и документации: правоустанавливающих документов, сведений об обременении объекта оценки правами иных лиц; данных бухгалтерского учета и отчетности, относящихся к объекту оценки; информации о технических и эксплуатационных характеристиках объекта оценки; информации, необходимой для установления количественных и качественных характеристик объекта
оценки с целью определения его стоимости, а также другой информации, связанной с объектом оценки
3.2 Анализ рынка, к которому относится объект оценки, текущей конъюнктуры и тенденций, а также выбор аналогов объекта оценки и его обоснование
4 Оценка земельного участка
4.1 Анализ наилучшего и наиболее эффективного использования как уже застроенного, так и предположительного вакантного земельного участка
4.2 Определение стоимости земельного участка
5 Применение трех подходов к оценке стоимости объекта недвижимости
5.1 Применение сравнительного подхода
5.2 Применение доходного подхода
5.3 Применение затратного подхода
6 Согласование результатов, полученных с помощью различных подходов
Получение итоговой оценки имущества на основании сравнения результатов применения различных подходов к оценке. Как правило, один из подходов считается базовым, два других необходимы для корректировки получаемых результатов. При этом учитывается значимость и применимость каждого подхода в конкретной ситуации. Итоговая величина стоимости объекта оценки, указанная в отчете об оценке, может быть признана рекомендуемой для целей оценки, если с даты составления отчета об оценке до даты совершения сделки с объектом оценки прошло не более 6 месяцев
7 Подготовка отчета и заключения об оценке.
Подготовка документа, содержащего обоснование мнения оценщика о стоимости имущества
8 Доклад об оценке
Вопрос № 50
Методика сбора и обработки информации, обеспечивающей процесс оценки.
Определение исходной информации и ее источников
. Надежность выводов оценщика зависит от количества и качества данных, использованных им в работе. Неточные или недостоверные данные могут стать причиной необоснованного заключения об оценке.
Сбор начинается с таких общих данных, как: экономические, социальные, государственно-правовые и экологические факторы, а также особенности местоположения объекта оценки. В процессе оценки могут использоваться следующие типы данных:
· сведения о сегменте рынка, на котором функционирует объект (состояние спроса и предложения, факторы, влияющие на спрос и предложение);
· данные о других аналогичных объектах;
· финансовые и технико-экономические показатели деятельности предприятия;
· данные о факторах, влияющих на стоимость объекта и др.
База данных оценщика может быть сформирована на основе информации из газет и журналов экономического характера, из специальной справочной литературы, от коллег оценщика. Важно также собрать данные по региону расположения объекта, которые влияют на его стоимость. Это данные по городу и микрорайону с учетом информации по уровням цен и занятости населения, особенностям народонаселения и его предпочтениям по отношению к недвижимости. К специальным данным следует отнести документы на право владения имуществом (титул), данные о государственной регистрации прав собственности, описание физических параметров объектов недвижимости, т. е. проводится техническая экспертиза. От заказчика необходимо получить заверенные руководителем данные, необходимые для проведения оценки, а именно:
· договор купли-продажи;
· свидетельство о праве собственности;
· свидетельство о внесении в реестр собственности;
· государственный акт пользования землей или договор аренды;
· паспорт БТИ с поэтажным планом;
· техническая документация;
· смета;
· инвентарные карточки;
· сведения по балансу (полная и остаточная восстановительная стоимость за последние годы).
Вопрос № 51
Методика определения физического и функционального состояния объекта оценки
Физический износ
представляет собой постепенную утрату изначально заложенных при строительстве технико-эксплуатационных качеств объекта под воздействием природно-климатических факторов, а также жизнедеятельности человека.
Признаками функционального износа
в оцениваемом здании являются несоответствие его объемно-планировочного и/или конструктивного решения современным стандартам, включая различное оборудование, необходимое для нормальной эксплуатации сооружения в соответствии с его текущим или предполагаемым использованием. В зависимости от физической возможности и экономической целесообразности устранения причин, вызвавших функциональный износ, его подразделяют на устранимый и неустранимый. Стоимостным выражением функционального износа является разница между стоимостью воспроизводства и стоимостью замещения.
Устранимый функциональный износ
обычно определяется затратами на необходимую реконструкцию, способствующую более эффективной эксплуатации объекта недвижимости.
Неустранимый функциональный износ
обычно вызывается устаревшим объемно-планировочными и/или конструктивными характеристиками оцениваемых зданий, относительно современных стандартов строительства.
Вопрос №52
Методика расчета итоговой величины стоимости объекта оценки
Согласование.
Согласование – это процесс принятия решения об окончательной оценке стоимости объекта. Перед его началом оценщик просматривает исходную информацию и проверяет точность расчетов. Все предположения и допущения проверяются на разумность и надежность.
В процессе согласования не происходит механического усреднения полученных результатов по трем известным методам, а производится логический анализ выводов и принимается окончательное решение о стоимости.
Вопрос №53
Составление полного отчета об оценке
Отчет об итоговой оценке стоимости
.
На этом этапе оценщик пишет отчет о своих выводах и заключениях, который он затем передает клиенту. В зависимости от первоначальной договоренности с клиентом этот отчет может представлять собой либо письмо, либо заполненную по стандартному образцу форму, либо подробный письменный доклад.
Отчет оформляется в соответствии с требованиями 135-ФЗ "Об оценочной деятельности в Российской Федерации" от 29.07.1998 г., статья 11 (в ред. Федерального закона от 27.07.2006 N 157-ФЗ).
Содержание отчета об оценке зависит от объекта оценки, вида определяемой стоимости, назначения оценки, но все они должны содержать ряд обязательных сведений:
1.Дата составления и порядковый номер Отчета;
2.Основание для проведения оценщиком оценки объекта оценки;
3.дата определения стоимости объекта оценки;
4.цель и задача оценки;
5.вид стоимости;
6.сведения об Оценщике;
7.Точное описание объекта оценки, а в отношении объекта оценки, принадлежащего юридическому лицу, - реквизиты юридического лица и балансовая стоимость данного объекта оценки;
8.стандарты оценки для определения соответствующего вида стоимости объекта оценки, обоснование их использования при проведении оценки данного объекта оценки, перечень использованных при проведении оценки объекта оценки данных с указанием источников их получения, а также принятые при проведении оценки объекта оценки допущения;
9.Последовательность определения стоимости объекта оценки и ее итоговая величина, а также ограничения и пределы применения полученного результата
10.Перечень документов, используемых оценщиком и устанавливающих количественные и качественные характеристики объекта оценки, фотографии объекта оценки, документы оценщика.
|