Диагностика в антикризисном управлении
Трененков Е.М., Дведенидова С.А.
Термин «антикризисное управление», как отмечается в работах некоторых отечественных специалистов по теории менеджмента, в российских условиях еще не устоялся1. Причиной терминологических разночтений является отсутствие прочных научных традиций и практического опыта в антикризисном менеджменте. Необходимость антикризисного управления определяется целями развития социально-экономических систем и существованием опасности возникновения кризиса. Однако неоднозначность и многообразие содержания кризиса дают в науке разные основания для классификации экономических кризисов и циклов2.
Категория антикризисного управления устанавливает понятийную демаркацию одного типа управления от другого. Многозначность экономического, особенно управленческого понимания этой категории, на наш взгляд, обусловливается двойственной природой любого кризиса, который одновременно созидает и разрушает, т.е. формирует предпосылки и подготавливает условия для дальнейшего развития и освобождает от прежней стратегии бизнеса.
В соответствии с этим теории, акцентирующие внимание на разрушительной функции кризиса, предлагают воспринимать кризис как ситуацию, остро угрожающую существованию предприятия. Кризисная ситуация в таком случае требует немедленного преодоления, локализации последствий методами антикризисного управления, чтобы сохранить прежде всего материальную основу для продолжения хозяйственно-экономической деятельности при остром дефиците оборотных средств.
Теории, рассматривающие кризис как явление, ориентированное на ломку старого и развитие нового, воспринимают его позитивно. Поэтому в основу заложена не борьба с кризисом, а реструктуризация системы, соответствующая новым отношениям.
Становится очевидным, что своевременное распознавание признаков и природы кризиса, его локализация, использование элементов исследования как меры превентивной санации и восстановления платежеспособности составляют суть целей диагностики в антикризисном управлении.
Между тем проблема диагностики в антикризисном управлении относится к числу мало исследованных в отечественной экономической и управленческой науке. Это объясняется весьма продолжительным господством в российской экономике марксистско-ленинского учения, исключающего кризисы при социализме. Естественно, такой подход выхолостил в теории и практике управления всю специфическую проблематику антикризисного управления, включая антикризисную диагностику.
Забиваем Сайты В ТОП КУВАЛДОЙ - Уникальные возможности от SeoHammer
Каждая ссылка анализируется по трем пакетам оценки: SEO, Трафик и SMM.
SeoHammer делает продвижение сайта прозрачным и простым занятием.
Ссылки, вечные ссылки, статьи, упоминания, пресс-релизы - используйте по максимуму потенциал SeoHammer для продвижения вашего сайта.
Что умеет делать SeoHammer
— Продвижение в один клик, интеллектуальный подбор запросов, покупка самых лучших ссылок с высокой степенью качества у лучших бирж ссылок.
— Регулярная проверка качества ссылок по более чем 100 показателям и ежедневный пересчет показателей качества проекта.
— Все известные форматы ссылок: арендные ссылки, вечные ссылки, публикации (упоминания, мнения, отзывы, статьи, пресс-релизы).
— SeoHammer покажет, где рост или падение, а также запросы, на которые нужно обратить внимание.
SeoHammer еще предоставляет технологию Буст, она ускоряет продвижение в десятки раз,
а первые результаты появляются уже в течение первых 7 дней.
Зарегистрироваться и Начать продвижение
Вместе с тем, благодаря исследованиям в области теории искусственного интеллекта и информации, экспертных систем, теории игр, вероятностей и статистических решений, математической статистики, статистической теории распознавания, а также накопленному опыту диагностической деятельности в медико-биологических и технических науках диагностика изучалась самостоятельно как особый познавательный процесс. Методической и теоретической основой исследования диагностики в антикризисном управлении явились научные труды многих отечественных и зарубежных ученых (рис. 1).

Рис. 1. Методологические и теоретические основы исследования диагностики в антикризисном управлении
Однако, несмотря на обширные и продуктивные исследования диагностики методами математической логики, статистического и информационного моделирования, кибернетические приложения этих исследований в экономике обнаруживают объективные трудности алгоритмизации и программирования процессов распознавания образов.
Эти трудности порождаются отнюдь не спецификой и сложностью логической природы диагностической деятельности, а недостатками «линейного характера» формализации при построении моделей. Модель правдоподобно отображает логическую связь признаков объекта, их информационное значение, но не способна к адекватной репрезентации его смысловых и метасистемных связей.
Любое предприятие есть система потому, что состоит из взаимосвязанных элементов, связей, отношений и представляет собой их целостность. Система может находиться в устойчивом либо в неустойчивом состоянии. Процессы развития систем цикличны и не все процессы управляемы. Нарастание сложности организации и производства требует реконструкции управления, его опережающего развития.
Управление сложными системами априори является антикризисным на всех этапах функционирования и развития (рис. 2), а умение предвидеть, распознать приближающийся кризис, который тоже нельзя рассматривать как статичное состояние, должно определять эффективность управленческих решений. Таким образом, антикризисное управление можно определить как систему управленческих мер и решений по диагностике, предупреждению, нейтрализации и преодолению кризисных явлений и их причин на всех уровнях экономики. Оно должно охватывать все стадии развития кризисного процесса, в том числе и его профилактику, предупреждение.
Сервис онлайн-записи на собственном Telegram-боте
Попробуйте сервис онлайн-записи VisitTime на основе вашего собственного Telegram-бота:
— Разгрузит мастера, специалиста или компанию;
— Позволит гибко управлять расписанием и загрузкой;
— Разошлет оповещения о новых услугах или акциях;
— Позволит принять оплату на карту/кошелек/счет;
— Позволит записываться на групповые и персональные посещения;
— Поможет получить от клиента отзывы о визите к вам;
— Включает в себя сервис чаевых.
Для новых пользователей первый месяц бесплатно.
Зарегистрироваться в сервисе
Одной из существенных особенностей кризиса и, соответственно, субъективной реакции является фактор времени. Время, как известно, всегда имеет экономическую цену, особенно значимую в период кризиса. Например, оценка стоимости бизнеса, определяемая с помощью дисконтирования денежного потока, на базе стохастических моделей для диагностики кризиса, его этапов, и оценка стоимости действующего предприятия включают фактор времени.

Рис. 2. Модель жизненного цикла организаций по Грейнеру
На необходимость учета временных параметров при диагностике степени неплатежеспособности предприятия обращено внимание и в ряде нормативных документов3. В соответствии с этими актами на практике в числе абсолютных показателей финансового состояния предприятия используется коэффициент восстановления (утраты) платежеспособности. Этот коэффициент, в отличие от коэффициентов текущей ликвидности и обеспечения собственными средствами, имеет четкие факторные временные параметры, т.е. начало и конец отчетного периода в месяцах года. Таким образом, особенностью антикризисного управления является дефицит времени на принятие управленческого решения и на реализацию антикризисных процедур.
Сторона кризиса, отражающая положительные возможности обновления, в определениях некоторых ученых и специалистов выступает как «антиципативный (опережающий) антикризисный менеджмент». Наряду с программой защиты от кризисного саморазрушения он включает профилактику и «терапию» банкротства, т.е. стадию диагностики и превентивной санации в процессе антикризисного управления.
Система антикризисного управления обладает свойствами, которые придают особенный механизм управлению: гибкость и адаптивность, способность к диверсификации и своевременного ситуационного реагирования, а также возможность эффективно использовать потенциал предприятия и неформальные методы управления. Эти особенности механизма антикризисного управления обусловлены и задачами, которые решает диагностика: своевременное распознавание симптомов, факторов и причин приближающегося кризиса, классификация его и выработка мер, которые необходимо принять. Объектом диагностики помимо самой социально-экономической системы могут быть и её элементы (рис. 3).
Результаты наших исследований свидетельствуют, что эффективность диагностики выше тогда, когда определена следующая последовательность этапов ее выполнения:
- установление принадлежности объекта к определенному классу или группе объектов;
- выявление отличий диагностируемого объекта от объектов своего класса путем сравнения его фактических параметров с базовыми;
- определение допустимых отклонений от базовых показателей;
- разработка методики формирования институциональных норм в качестве базовых показателей.
Рис. 3. Диагностика как элемент системы антикризисного управления
В зависимости от целей существуют различные стратегии антикризисного управления, но для каждой из них важно своевременное распознавание кризисной ситуации, определение причин, симптомов и факторов кризиса.
В своих рассуждениях и оценках мы используем понятия «кризис предприятия» и «экономический кризис» в качестве тождественных категорий. Но при этом следует заметить, что введение аксиом рационального поведения экономического субъекта — Homo economics — меняет некоторые направления исследований. Из аксиом современной теории экономики организаций, соответствующей теории общего равновесия Л. Вальраса, отметим две: во-первых, поведение, намерения и выбор экономического субъекта всегда рациональны и, во-вторых — рынок является единственной формой координации индивидуального поведения, определяя пути достижения общего равновесия макроэкономического распределения ресурсов4.
Второй постулат влечет проверку как минимум двух альтернативных следствий, имеющих фундаментальное значение для экономики предприятия и, следовательно, для менеджмента и его диверсифицированного вида — антикризисного менеджмента. С одной стороны, все, что происходит внутри предприятия, не имеет никакого значения для понимания того, что происходит за его пределами. И, с другой, все, что происходит внутри предприятия, существенно важно для понимания того, как происходит макроэкономическое распределение ресурсов за его пределами5.
На наш взгляд, подтверждение правильности второго следствия расширяет системное экономическое содержание общего институционального подхода к пониманию экономики предприятий и организаций. Наличие кризиса детерминирует специфику антикризисного управления как систему деятельности, включая принятие решений, так как меняется временная основа и критерии принятия решений в условиях реализации антикризисной программы.
Антикризисное управление актуализирует функциональные аспекты по выявлению и преодолению причин, препятствующих оздоровлению предприятия, и радикализации мер, восстанавливающих его платежеспособность. По мнению некоторых авторов6, для предприятий, достигших стадии развития и подъема в своем жизненном цикле, экономическая сторона кризиса и, следовательно, необходимость диагностики выражается в дефиците денежных средств, необходимых для ведения производства и расчетов с кредиторами. Но этот подход, по нашему мнению, страдает абстрактностью, так как не учитывает индивидуальные особенности жизненного цикла предприятия, в котором возможны кризисы, обусловленные процессом развития и роста, возрастом и размерами организации.
Индивидуальность социально-экономической системы требует объединения диагностики финансово-экономического состояния предприятия с осуществлением мер превентивной санации и проведением превентивных исследований. В этом отношении детализация понятия «кризис» объясняет процессуальную сторону антикризисного управления, поскольку фазы кризиса и стадии развития кризисных ситуаций обусловливают стадии антикризисных мероприятий, но не наоборот.
Первая стадия кризиса, часто скрытая, — это падение предельной эффективности капитала, показателей деловой активности фирмы, снижение рентабельности и объемов прибыли (кризис в широком смысле слова). Вследствие этого ухудшается финансовое положение предприятия, сокращаются источники и резервы развития.
Антикризисное решение этих проблем может лежать как в области пересмотра стратегии фирмы и реструктуризации предприятия, так и её тактики, ведущей к снижению издержек, сокращению штатов управленческого аппарата и рабочих мест, повышению производительности труда и т.п. Однако масштаб и сложность проблем можно определить и предупредить только на стадии диагностики, установив цели и методы диагностирования, свойственные данному этапу.
Вторая стадия кризиса — появление убыточности производства. Данная проблема решается средствами стратегического управления и реализуется посредством добровольной реструктуризации предприятия. Применяемые в этом случае способы распознавания отличны от других своей направленностью, методами и требованиями к исходной информации.
Третья стадия означает практическое отсутствие собственных средств и резервных фондов у предприятия. Это отрицательно влияет на перспективы его развития, долгосрочное и среднесрочное планирование денежных потоков, рациональное бюджетирование и сопряжено со значительным сокращением производства, поскольку значительная часть оборотных средств направляется на погашение убытков и обслуживание возросшей кредиторской задолженности.
Реструктуризация предприятия и программа стабилизации финансово-экономического состояния требуют экстренных мер по изысканию средств для их осуществления. В случае непринятия таких оперативных мер наступает кризис ликвидности и банкротство (результат регрессии четвертой стадии). Особенность диагностики на этой стадии заключается в расчете диагностической ценности признаков, характеризующих кризис и уровень риска при принятии управленческих решений для экстренного варианта нахождения оборотных средств. Например, реализация части производственных запасов, материалов, незавершенного производства ниже себестоимости в иной период была бы не оправдана, а в данной ситуации действенная, экстренная мера.
Четвертая стадия — состояние острой неплатежеспособности. У предприятия нет возможности профинансировать даже сокращенное воспроизводство и продолжать платежи по предыдущим обязательствам. Возникает реальная угроза остановки или прекращения производства, а затем и банкротства. В этой ситуации диагностика с использованием коэффициентов ликвидности, обеспеченности собственными оборотными средствами, восстановления платежеспособности позволяет установить наличие факта финансовой несостоятельности и возможность нейтрализовать ее через процедуру банкротства.
Таким образом, уточнение понятий диагностики, этапов кризиса предприятия и его банкротства, приводит к выводу, что первая, вторая и отчасти третья стадии кризиса фирмы составляют содержание кризиса для его собственников. Четвертая стадия представляет собой угрозу для кредиторов. Введение в научный оборот этих понятий и их обоснование обогащает теорию антикризисного управления объяснением специфики диагностических процедур на каждой стадии кризиса.
На стадии судебного регулирования сфера управленческих воздействий со стороны собственников предприятия ограничена законодательством с целью защиты интересов кредиторов и государства. Началом законодательного вмешательства государства в дела предприятия является принятие арбитражным судом заявления о признании должника банкротом. С этого момента вся информация становится доступной участникам разбирательства по делу о банкротстве. Предприятие на данной стадии уже не является самостоятельным хозяйствующим субъектом, так как его деятельность контролируется арбитражным судом, собранием кредиторов, арбитражным, внешним или конкурсным управляющим. Противодействие кризису через предупредительные меры необходимо в этом случае на ином уровне для всех участников отношений.
Исследование причин, обусловливающих процесс антикризисного управления, позволяет предложить следующую классификацию факторов возникновения кризисной ситуации в деятельности предприятия:
- внешние факторы: тип экономической системы; несбалансированная кредитная политика или её полное отсутствие; структура потребностей населения; уровень доходов и накоплений населения; величина платежеспособного спроса клиентов-предприятий; фаза экономического цикла; политико-правовая нестабильность и экономическая неопределенность государственного регулирования; темп и размеры инфляции; научно-техническое и информационное развитие производственного цикла; уровень культуры общества; международная конкуренция;
- внутренние: ошибочная рыночная философия фирмы; отсутствие или неправильные принципы ее действия; нерациональное использование ресурсов и низкое качество продукции; невысокий уровень менеджмента и маркетинга; несоответствие уровня управленческой и организационной культур предприятия его технологической структуре.
Указанные факторы не являются непосредственными причинами возникновения кризиса на той или иной стадии жизненного цикла предприятия и тем более его банкротства. Однако они влияют на развитие факторов ухудшения финансово-экономического и хозяйственного состояния предприятия. Причины кризиса и банкротства предприятий обусловлены непродуманностью менеджмента или его ошибками. В этих условиях повышается значимость диагностики в выявлении и распознавании приближающегося кризиса.
Особенность антикризисного управления проявляется в объединении в систему диагностики, предупреждения, преодоления кризиса, стратегии реструктуризации и применения нестандартных методов в управлении персоналом. С этих позиций антикризисное управление представляется как конструктивная реакция на выявленные в результате диагностики изменения, угрожающие банкротством или нарушением нормального функционирования. Правомерность такого подхода можно подтвердить эффективностью результатов управленческих решений путем сопоставления уровня затрат ресурсов и степени достижения целей.
При этом важно подчеркнуть, что одной из целей антикризисного управления является сохранение своей идентичности и нивелировка диспропорции внутренних и внешних параметров предприятия. Это выступает необходимым условием его дальнейшего развития и адаптации к динамике внешних условий. Предприятие достигает своих высших пределов и стадий развития, поддерживает устойчивое равновесие и минует пик разрушительных тенденций кризиса, имитируя, по выражению Кейнса, состояние «квазибума» (рис. 4).

Рис. 4. Жизненный цикл предприятий — зоны промежуточного и заключительного кризисов7
Экономическая диагностика и превентивная санация многочисленных угроз финансовой несостоятельности, организационной дисфункции и других аномалий являются, на наш взгляд, основными понятиями, конституирующими процесс антикризисного управления в целом. Отсюда следует, что диагностика является функцией и специфической стадией антикризисного управления. Это исходный пункт для прогноза альтернативного развития предприятия.
Для высшего руководства и собственников предприятия диагностика есть средство получения достоверной качественной информации о его реальных возможностях на начальной стадии экономического кризиса и основой для введения в действие особых методов и механизмов менеджмента. Опираясь на результаты диагностических и превентивных исследований различных сторон деятельности предприятия, менеджеры и собственники имеют возможность приступить к разработке рефлексивной модели антикризисного управления своим предприятием.
Диагностика — это в то же время и оценка достоверности текущего финансового учета и отчетности, база для выдвижения гипотез о закономерностях и возможном неустойчивом финансово-экономическом состоянии. Диагностика позволяет выявлять причинно-следственные связи в дисфункциях менеджмента, а затем переходить к построению объяснительной и прогнозной моделей функционирования и развития предприятия, осуществляя при этом предупреждение его банкротства.
На наш взгляд, превентивная санация должна рассматриваться как рекомендация по схеме «цели — средства» и как рефлексивная технология поддержки эффективных управленческих решений. Расчетные прогнозы на этой стадии могут охватывать все перспективы предприятия: краткосрочные проблемы выживания, максимизации прибыли, среднесрочные задачи роста и долгосрочные цели стратегии корпоративного развития.
Вместе с тем любой социально-экономической системе соответствует определенная технология управления. Предупредительная санация и диагностика в ходе реализации стратегии управления соотносятся как технология и организация. Поскольку кризис — это периодические потрясения и закономерность живой и неживой природы, можно утверждать, что в закономерных и периодических переменах есть много полезного, несмотря на то, что кризисы весьма разнообразны. Из этого вытекает, что менеджеры в процессе антикризисного управления решают три взаимосвязанные задачи: распознавание «болезни»; устранение причин, препятствующих оздоровлению производства; применение в решаемых задачах нестандартных управленческих антикризисных мер.
В антикризисном управлении видное место должна занимать концепция рефлексии, которая на ранних стадиях развития кризисных ситуаций выступает методологической основой модели, связывающей современные альтернативные микроэкономические теории и динамичную экономическую действительность. Необходимость построения новых «буферных», переходных и имитационных моделей вытекает из факта различий в подходах к экономике предприятия как к абстрактному объекту экономической теории или реальному объекту антикризисного управления.
Среди множества моделей управленческих систем, которые вместе с различным толкованием понятия управления размывают возможность их доказательной классификации8, трудно найти сколько-нибудь значительные общие или частные модели антикризисного управления как вида менеджмента9. Отсутствие таких моделей свидетельствует о правильности методологического допущения о радикальном различии абстрактного объекта теории экономической науки, включая теорию менеджмента, и реального объекта антикризисного управления.
Это различие объектов, несмотря на сходство решаемых задач (в управлении, экономическом анализе и диагностике), обнаруживается в качестве различных точек зрения10. Одно дело — изучать, например, экономику с целью углубления научного знания безотносительно к реальным экономическим объектам и субъектам хозяйственной деятельности и другое дело — применять это знание в практике управления, давать экспертные оценки текущему или прошлому финансово-экономическому, хозяйственному, организационному состоянию, прогнозировать возможное будущее предприятия. Иначе говоря, это означает реализацию всего комплекса текущих и превентивных научных исследований, которые для менеджера, аудитора или консультанта по управлению конструктивно неотделимы от индивидуальной фирмы или предприятия.
Ситуация теоретически усложняется при введении ключевых фигур собственников, учредителей, акционеров, кредиторов и других субъектов отношений по поводу имущества предприятия. Следовательно, чтобы правильно оценить состояние исследуемого объекта и поставить диагноз, необходима система критериев и классификация возможных отклонений базовых параметров исследуемых объектов от их нормативных значений, определение характера отклонений и причин их вызвавших.
Диагностические исследования в антикризисном управлении должны также определять принадлежность исследуемого объекта к классу, типу, группе или выявлять нетрадиционное сочетание признаков, их диагностическую ценность для определения результата — постановки диагноза с целью ослабить или не допустить негативных воздействий.
Таким образом, подходим к выводу, что диагностика есть категория антикризисного управления, которая обладает специфическим порядком связей, структурой, функциями. Целью диагностики в антикризисном управлении является своевременное распознавание признаков и природы кризиса, а также локализация нежелательных его воздействий.
Индивидуальные особенности объектов исследования требуют различного подхода к определению концепции диагностики. Объединение диагностики и превентивной санации в одну стадию антикризисного управления, наряду с названными выше аргументами, целесообразно для эффективного антикризисного управления.
Функции диагностики в антикризисном управлении
Опираясь на анализ имеющихся теорий, можно сделать вывод, что диагностика в антикризисном управлении (банкротства, финансово-экономического состояния, организационной структуры и систем управления) должна быть дополнена методологией институционального подхода. Благодаря ему оценка способности предприятий «выдерживать» напряжение кризисной ситуации выводится из распознавания нормы и патологии уровня их корпоративности, институтов организации и технологий.
Проблема специфических свойств экономической диагностики, проявляемых в антикризисном управлении и не реализуемых в медицинской и технической областях, остается актуальной и включает:
- изучение новых качеств объекта управления в результате развития социально-экономических системы;
- выявление причинно-следственных связей в развитии объекта и субъекта управления;
- определение границ экспертного знания менеджера и используемых экспертных систем в диагностировании кризиса, его предупреждении и выходе из него;
- мониторинг за изменением состояний ситуации в условиях высокой энтропии рыночной макросреды предприятий, существенно снижающей управляемость и степень информационного контроля и вероятность прогнозирования;
- необходимость повышения эффективности антикризисных и прогностических функций диагностики.
Резкое повышение уровня сложности функционирующих социально-экономических систем отражается на требованиях к качеству и эффективности их менеджмента. Это влечет концептуальное переосмысление некоторых направлений и задач диагностики в управлении.
Наряду с этим, как нам представляется, требуется известное обобщение теории диагностики, чтобы синтезировать многообразие подходов к диагнозу финансово-экономического состояния предприятия, его организационного строения и системы управления.
Обобщая подходы к понятию диагностики как элементу распознавания причин «болезней» предприятия, их предупреждения и профилактики в будущем, есть необходимость подчеркнуть, что в диагностике присутствуют инструментальные признаки антикризисной технологии. Это требует введения в научный оборот идеи институционального и корпоративного содержания диагностики.
Диагностика в антикризисном управлении призвана распознавать институционально-нормативную «среду» предприятия и дополнять тем самым профилактику банкротства и меры предупредительного оздоровления.
Вместе с тем, анализ условий и факторов повышения эффективности антикризисного управления предприятием приводит к необходимости введения классификации типов и видов диагностики в антикризисном управлении (рис 5).

Рис. 5. Классификация типов и видов диагностики
Поскольку явление рефлексии охватывает все части социально-экономической системы и подчиняет себе практическое мышление современного менеджера за счет корпоративных ресурсов менеджмента11, его необходимо рассмотреть в целях повышения эффективности антикризисного управления. Следовательно, идентификация уровня рефлективности системы с институтами и корпоративностью ее организации, то есть диагностирования рефлексивных свойств социально-экономической системы, становится нормой превентивной санации. На пути исследования рефлексии систем меняется образ диагностики в антикризисном управлении. Достигается это благодаря категориальным возможностям институционального подхода в исследовании диагностического процесса, антикризисным нормам института обучения в корпоративном управлении (рис. 6).
Согласно современным общенаучным представлениям, управление является аспектом самоуправления системы и в общем виде представляет упорядочение системы и решение проблемных ситуаций. Управление и самоуправление в границах одной фирмы или предприятия взаимосвязаны общим ситуативно-целевым полем возникновения проблем и их возможными решениями, которые способствуют упорядочению в них различных процессов.
Диагностика как способ распознавания состояния социально-экономической системы посредством реализации комплекса исследовательских процедур и выявления в них слабых звеньев и узких мест относится к методам косвенных измерений. Элементы социально-экономических систем, свойства которых подлежат определению, обычно недоступны для непосредственного наблюдения и измерения. Поэтому следует измерять не их параметры, а параметры процессов, порождаемых элементами этих систем и доступных для измерений.

Рис. 6. Характеристика диагностики как процесса
При антикризисном управлении хозяйственная структура предприятия характеризуется двумя фундаментальными экономическими измерениями. С одной стороны, имеет измерение функциональное состояние основных факторов производства (капитал, рабочая сила, организация), которое охватывается понятием «финансово-экономическое состояние». С другой стороны, подлежат измерению виды промышленной деятельности, которых, согласно А. Файолю, насчитывается шесть: «техническая деятельность, которая включает изготовление и производство; коммерческая деятельность; финансовая деятельность; работа по обеспечению безопасности; учетная деятельность; управленческая деятельность, охватывающая прогнозирование, планирование, организацию, управление, координацию и контроль»12.
Проблема диагностики исследовалась в некоторых областях достаточно активно и с различных точек зрения. Из совокупности изученных научных работ можно выделить несколько групп исследований, различающихся по проблематике и методологии диагностики. В диагностике кризиса социально-экономической системы и причин его порождающих, по нашему мнению, можно выделить:
- во-первых, изучение социально-экономических систем как объектов диагностики;
- во-вторых, построение и изучение соответствующих моделей социально-экономических систем;
- в третьих, исследование диагностических систем и их связей с объектом диагностики.
Эти направления отличаются как по непосредственному предмету исследования, так и по используемым методам.
Первое направление диагностики связано с разработкой методов решения и предполагает решение следующих задач:
- изучение условий функционирования и состояний производственных социально-экономических систем;
- изучение элементов систем и связей между ними;
- изучение возможных состояний системы;
- анализ возможностей проведения исследования признаков, характеризующих состояние системы;
- сбор и обработка статистических материалов, позволяющих определить распределение вероятностей возможных состояний системы (диагноза), а также закономерности проявления признаков;
- сбор экспериментальных данных о затратах, связанных с осуществлением исследования производственных социально-экономических систем.
Второе направление диагностики в антикризисном управлении связано с построением моделей социально-экономических систем и процессов диагностики и, следовательно, с анализом следующих основных задач:
- разработкой методов диагностирования кризиса и причин, порождающих его в социально-экономических системах;
- разработкой правил построения моделей, позволяющих определить состояние социально-экономических систем.
Оба направления диагностики в антикризисном управлении тесно связаны; причем связь эта носит двусторонний характер. С одной стороны, эмпирический материал, полученный при анализе конкретных систем, необходим для построения моделей и для оценки соответствия этих моделей тому или иному классу систем. С другой стороны, решение теоретических задач, сформулированных применительно к построению моделей социально-экономических систем, не только важно само по себе, но и расширяет границы эмпирического исследования кризиса и причин, порождающих его в социально-экономических системах.
Итак, задача заключается в построении и изучении моделей множества всех возможных, с заданной точки зрения, социально-экономических систем, независимо от их существования в настоящее время. Это необходимо, во-первых, для отработки методов решения тех или иных задач на простых моделях, имеющих иногда ограниченное практическое значение в силу значительной степени идеализации. Во-вторых, что исключительно важно, этот подход ведет к разработке общих методов и к накоплению арсенала средств, в какой-то степени опережающих практические запросы. Однако, данный подход требует построения и рассмотрения необозримого количества моделей. Если исходить из имеющейся классификации стадий развития организации, то согласно циклическому развитию необходимо рассмотреть 1014 вариантов моделей, при условии: стадий развития организаций n = 5 (по Грейнеру); видов кризиса m = 2013.
nm
= 520
= 1014
(1)
В настоящее время известно сравнительно небольшое количество моделей социально-экономических систем как объектов диагностики в антикризисном управлении. Их, по нашему мнению, можно разбить на несколько групп в зависимости от степени их абстрактности, т.е. от того, какие стороны систем получили или не получили свое отражение в этих моделях. Вместе с тем было бы преждевременно говорить о создании исчерпывающей классификации моделей социально-экономических систем в условиях антикризисного управления.
Изучив опубликованные в литературе классификации таких моделей14, мы имеем возможность констатировать, что в наиболее простых моделях диагностики кризисного состояния социально-экономических систем не учитывается структура системы, т.е. предполагается, что система состоит из некоторого числа несвязанных между собой элементов. В другом классе моделей — учитывающих структуру системы, их можно разделить на две группы в зависимости от того, явно или не явно учитывается эта структура.
В первом случае при создании модели должны быть указаны воздействия, приложенные к внешним входам системы, и функциональные связи между воздействиями и реакциями, наблюдаемыми на внешних выходах системы в зависимости от состояния системы. Любая, возможная для данной модели, проверка состоит в определении реакции системы на заданное воздействие.
Во втором случае модель диагностируемой социально-экономической системы можно рассматривать как конечное множество связанных между собой подсистем. Здесь верно то, что каждый элемент системы отвечает определенной реакцией на приложенную к нему совокупность воздействий, в число которых могут входить реакции других элементов. Для создания данной модели социально-экономической системы необходимо указать множество элементов, множество возможных состояний системы, ее структуру, отражающую связи между элементами.
Рассматривая элементы диагностируемых систем, не всегда можно отождествлять их с «физическими» элементами системы, совокупностью частей, из которых данная система состоит. Каждый из элементов системы (подсистемы) может вызывать не один, а несколько кризисных состояний, и если разделение этих состояний входит в задачу диагностики, то каждый такой элемент необходимо рассматривать как совокупность элементов. Кризисная ситуация в диагностируемых системах может быть вызвана не только элементом системы, но и нарушением связей между ними. Следовательно, схему объекта диагностики, по нашему мнению, нельзя смешивать с обычной функциональной схемой обследуемой системы.
Здесь следует подчеркнуть, что построение различных типов моделей диагностики в антикризисном управлении и их классификация предполагают в качестве своей предпосылки классификацию социально-экономических систем исходя из циклического развития организации и типологии причин кризиса.
Третье направление диагностики предполагает анализ существующих диагностических систем, выявление принципов их построения и разработку методов решения, оценку оптимальности. Это направление имеет, на наш взгляд, важную теоретическую и практическую значимость, поскольку связано с выработкой критериев информативности показателей, характеризующих состояние системы, анализом способов диагностики, построением соответствующего диагностического процесса.
При диагностике становится существенным выбор информативных признаков для описания социально-экономических систем (рис. 7). Во многих случаях это связано с трудностью получения информации или стоимостью диагностического исследования, временем на ее поиск, систематизацию, анализ и обработку. Параметры элементов диагностируемой системы не равноценны по количеству представляемых ими сведений о ее состоянии. Одни приносят информацию о многих свойствах элементов системы, другие несравнимо меньше и иного качества.
Априори предпочтения следует отдавать параметрам, имеющим динамический характер, а не тем, которые стабильны или медленно меняются. Так, с точки зрения определения кризисных ситуаций, в социально-экономических системах такой параметр, как величина стоимости основных фондов по количеству приносимой информации о состоянии объекта значительно уступает такому параметру системы, как коэффициент ликвидности или платежеспособности. В задачах диагностики существенным является выбор наиболее информативных признаков для описания объекта.

Рис. 7. Предмет исследования диагностики в антикризисном управлении
Опираясь на эти исследования и анализ имеющихся работ, можно сделать вывод о том, что диагностика в антикризисном управлении это:
- исследование базовых показателей хозяйственной деятельности социально-экономической системы;
- всесторонний анализ влияния внутренних и внешних факторов на финансово-экономическое и технико-технологическое состояние предприятия;
- экспертная оценка разработанных мероприятий и перспектив финансового оздоровления и превентивной санации и достижения целей прогнозирования;
- постижение количественно неопределенных и качественно «сверхсложных» уровней экономической организации фирмы, которые С. Бир обозначает терминами «метасистема», «гомеостазис» и «энтелехия» организации15, а Б.
Райан — термином «этический мир»16. Метасистемные уровни и качества социально-экономических систем обусловливают потребность в диагностике как специфическом способе получения и использования информации. С. Бир, исследующий информационные приложения принципа неопределенности Гейзенберга к деятельности фирмы, полагает, что человеческий мозг и «мозг» фирмы одинаково решают основную проблему управления растущим разнообразием среды. Предлагаемый способ решения заключен в создании организации17. Очевидно, принцип неопределенности, согласно которому осуществляется передача информации, связь и управление в любой системе, указывает на предел точности измерения, энергии внутрисистемного взаимодействия, и любая попытка, ведущая к улучшению точности измерения, приводит к изменению самого объекта измерения и необратимому искажению информации. В ситуации высокой точности измерений всегда существует искажающее влияние субъекта измерений — человека.
Для оценки значимости информации используем основные положения теории информации18. В соответствии с ней для измерения информации введем два параметра: количество информации (I) и объем данных (Vд). Эти параметры могут иметь разные выражения и интерпретацию в зависимости от рассматриваемой формы адекватности:
- синтаксическая мера информации — это обезличенная информация, не выражающая смыслового отношения к объекту (бит);
- семантическая мера информации — это воспринимаемая пользователем информация и включаемая им в дальнейшем в свой тезаурус (рентабельность, компьютер PIII и т. д.);
- прагматическая мера информации — это та, которая определяет полезность (ценность) информации для достижения пользователем поставленной цели (значение целевой функции — скорость передачи данных, балансовая стоимость имущества и т. д.).
Рассмотрим применение некоторых положений теории информации к определению ценности результатов диагностики в антикризисном управлении. В качестве меры измерения количества информации сначала используем синтаксическую меру информации. Другие меры измерения информации, как будет показано ниже, найдут свое применение при оценке диагностической ценности признаков.
Предположим, что имеется некоторая система прогнозируемых состояний социально-экономической системы, включающая n состояний. Используя данные результатов обработки информации, определяем статистическую вероятность появления данного состояния Di. Эту априорную вероятность обозначим P (Di).
Неопределенность системы возможных результатов диагностики D (диагноз) оценивается величиной энтропии:
(2)
где H (D ) — энтропия системы диагнозов; P (Di
) — априорная вероятность диагноза Di
; log2
P (Di
) — логарифм при основании 2 величины P(Di
).
Знак «минус log2
P(Di
)» в формуле связан с тем, что значение P(Di
)<1 и, соответственно, log2
P (Di
)<0, а энтропия всегда положительная величина.
Максимальной энтропией обладают системы, объединяющие равновероятные диагнозы. Энтропия такой системы, состоящей из n равновероятных состояний, может быть найдена по формуле:
(3)
Например, в случае равновероятностных диагнозов характера кризиса и согласно приведенной ранее типологии кризисов определяем n = 20. Величина энтропии такой социально-экономической системы равна:
(4)
Величина энтропии системы диагнозов уменьшается при проведении исследования социально-экономических систем, так как в результате исследования поступает дополнительная информация. Снижение неопределенности состояния системы произойдет в зависимости от количества информации, которая поступит после проведения диагностического исследования. Таким образом, устранение неопределенности ведет к повышению эффективности управляющего воздействия в антикризисном управлении.
Как известно, величину внесенной информации можно измерить. Она равна разности энтропии системы до и после проведения исследования:
(5)
где ZDi
(ki
) — количество информации, вносимое в систему диагнозов D обследованием производственных социально-экономических систем на признак ki
(тип кризиса, причина кризиса); H (Di
) — неопределенность системы диагнозов до начала исследования (первоначальная энтропия); H (Di
/ki
) — неопределенность системы диагнозов после проведения исследования на признак ki
.
Величину внесенной информации ZDi
(ki
) будем считать диагностической ценностью конкретного признака ki
по отношению к системе диагнозов Di
, а единицей измерения диагностической ценности исследования социально-экономических систем будем считать величину информации, которая устраняет неопределенность при равновероятных диагнозах.
Диагностический вес наличия простого признака ki
при постановке диагноза Di
определяется по формуле:
(по техническим причинам изображение недоступно для просмотра), (6)
где P (ki
/Di
) — вероятность (частота встречаемости) наличия признака ki
при диагнозе Di; P(ki
) — вероятность (частота встречаемости) наличия признака ki
среди всей рассматриваемой группы диагнозов.
При одинаковом значении P (ki
/Di
) и P (ki
) диагностический вес признака равен нулю, т. е. отношение P (ki
/Di
) / P (ki
) = 1, а log2
1 = 0. Иными словами, при одинаковом значении вероятности признака ki
среди всей рассматриваемой группы диагнозов этот признак не имеет никакой диагностической ценности.
Отсутствие простого признака тоже имеет диагностический вес, он определяется подобным же образом, но в формуле значения P (ki
/Di
), P (ki
) заменяются соответственно на (1 – P (ki
/Di
)), (1 – P (ki
)).
Диагностический вес наличия или отсутствия простого признака может быть величиной как положительной, так и отрицательной, т.е. либо уменьшать, либо увеличивать вероятность того или иного диагноза. Результаты исследования, обладающего небольшой диагностической ценностью для одного диагноза Di
, могут иметь значительную ценность для другого.
Можно оценить общую диагностическую ценность исследования по признаку ki
для всей системы диагнозов D, определяемой количеством информации, вносимой обследованием в систему диагнозов D. Диагностический вес простого признака для всей группы диагнозов будет равен:
(7)
Используя данное соотношение, можно определить оптимальный выбор числа разрядов признака. При увеличении числа разрядов диагностическая ценность признака возрастает. Одновременно увеличивается объем выборки. В результате диагностики должен быть получен следующий объем информации:
(8)
где — коэффициент полноты исследования;
— первоначальная энтропия системы диагнозов социально-экономи- ческих систем.
Для реальных диагностических процессов величина V должна быть близка к единице. Таким образом, объем информации является практически заданным, и остается построить оптимальный диагностический процесс ее накопления.
Ниже (табл. 1) приведены диагностические признаки социально-экономической системы, которые могут быть приняты для расчета диагностической ценности исследования.
Кроме того, этот процесс должен состоять из обследований, позволяющих установить диагноз с меньшими затратами времени и средств. Это очень важно для системы, находящейся в кризисном состоянии из-за дефицита ресурсов.
Указанные выше значения диагностического веса простого признака даны при условии независимости этих величин от результатов предыдущих обследований. Однако в действительности признаки находятся во взаимосвязи между собой и обычно в процессе постановки диагноза. Поэтому при оценке каждого данного исследования учитываются результаты предыдущих исследований. Следовательно, сама диагностическая ценность признака зависит от результата предыдущего исследования или динамики процесса.

При вычислении диагностических ценностей признаков, с учетом указанной зависимости, структура формул остается прежней. Вместе с тем в них входят условия вероятности признаков, т.е. в значение каждой вероятности входит условие наличия или отсутствия какого-то определенного признака. Например, диагностический вес наличия r-го интервала признака k2 для диагноза Di при условии наличия s-го интервала признака k1 равен:
. (9)
Соответственно, диагностическая ценность исследования по признаку k2 при условии наличия разряда s признака k1, учитывая все возможные исходы исследования по признаку k2, равна:
, (10)
где ZDi
(k2
/k1s
) — количественное выражение (в битах) условной диагностической ценности исследования по признаку k2.
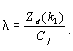
При проведении исследования социально-экономических систем необходимо соотносить диагностическую ценность исследования и сложность исследования по признаку k1. В нашем случае под сложностью исследования Cj будем понимать оценку сложности, трудоемкости, длительности исследования и т.п.
В качестве критерия для сравнения различных методик диагностики воспользуемся понятием коэффициента оптимальности исследования — l по признаку k1 для всей системы диагнозов, равного величине:
. (11)
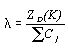
Задать конкретные рекомендации по целесообразному выбору Cj чрезвычайно трудно и в первом приближении примем коэффициент Cj одинаковым для всех обследований. Очевидно, что диагностическое обследование по признаку k1 будет более эффективным, чем по другим признакам, если его коэффициент оптимальности будет наибольшим. В этом и состоит условие оптимальности диагностического исследования. Если проводить комплекс обследований K, состоящий из n обследований, то общий коэффициент оптимальности равен:
, (12)
где — диагностическая ценность комплекса обследований, равная информации, внесенной комплексом обследований;
— сумма коэффициентов сложности исследования (затрат).
Очевидно, что коэффициент оптимальности будет наибольшим, если величина информации ZD (K) получается при меньшем числе обследований.
Выявление и исследование специфических свойств экономической диагностики, проявляемых в антикризисном управлении и не реализуемых в медицинской и технической областях, позволяет нам сформулировать следующие выводы:
- объективное развитие социально-экономический системы означает появление новых качеств у объекта управления;
- процесс развития приводит к изменению и самого субъекта управления;
- непрерывный процесс банкротства, распада и одновременного возникновения новых предприятий и фирм свидетельствует о границах экспертного знания как самого менеджера, так и применяемых экспертных оценок в диагностировании кризиса, его предупреждении и методологии выхода из него;
- высокая энтропия рыночной макросреды предприятий существенно снижает управляемость, уменьшает степень информационного контроля за изменением состояний ситуации и вероятность прогнозирования;
- постоянная угроза кризисных состояний обусловливает выделение и усиление прогностических, антикризисных, предупредительных функций диагностики в отношении стабилизации экономического развития предприятий.
Результаты наших исследований также показывают, что резкое повышение уровня сложности функционирующих социально-экономических систем существенно отражается на требованиях к качеству и эффективности их менеджмента, что объективно требует концептуального переосмысления:
- основных направлений и задач диагностики в управлении;
- структуры диагностики в управленческом процессе;
- областей, сфер и направлений диагностирования во времени и пространстве;
- функций диагностики в антикризисном управлении;
- методов распознавания и интерпретации признаков отклонений;
- роли и места машинного диагноза и прогноза в диагностировании;
- факторов оптимизации диагностического процесса.
Одним из перспективных направлений в экономической диагностике, на наш взгляд, является экспертная финансовая диагностика и диагностика банкротства, результаты которых составляют информационно-аналитическую основу системы управленческого учета. Требуется известное обобщение теории диагностики, чтобы синтезировать многообразие подходов к диагнозу финансово-экономического состояния предприятия, его организационного строения и системы управления. Это особенно важно при диагностике сложных объектов, когда невозможно использование классической теории управления, а нужно опираться на адаптивные, обучающиеся и самообучающиеся системы.
Информация, необходимая для диагностики, разнообразна. Это совокупность сведений о состоянии объекта управления, его прошлом и настоящем, а также связях, тенденциях и закономерностях. В каждой социально-экономической системе ее информационное пространство функционирует как единое целое и развивается вместе с самой организацией.
В условиях кризиса изменяются характер и объем информации, способы ее получения и обработки. Если менеджер использует информацию, которая позволяет видеть процессы, происходящие в социальном организме предприятия под различным углом зрения и специфическом ракурсе, то это позволяет ему своевременно выявить и оперативно среагировать на происходящие изменения тенденций тех или иных показателей деятельности предприятия.
Диагностика требует варьирования альтернативными проектами по выводу предприятия из кризиса или его недопущению. Естественно, это требует информации, объективно отражающей реальные процессы в системе. Структура экономической диагностики складывается как устойчивая связь условий диагноза и его верифицируемого результата. Следовательно, она имеет логическую форму истинности, выраженную в выполнимости материальной импликации: если своевременно (А), достоверно и с достаточной полнотой информации (В), обоснованной методикой ее обработки (С) проводятся диагностические процедуры, то с большой долей вероятности гарантировано получение достоверного знания об исследуемом объекте, определении диагноза (D). Таким образом, если соблюдаются А, В, С, то достоверно D. И, наоборот, сомнение в достоверности результата диагностики D вызывает критику и влечет проверку исходных условий: А, В, С. Если не достоверно D, то неверна какая-либо предпосылка: А, В, С. Обоснованность приведенной выше структуры диагностических процедур была многократно проверена в ходе аудиторских проверок на предприятиях Уральского региона, а также при оказании консалтинговых услуг.
Уровень соотношения затрат на сбор, архивирование, обработку, передачу информации с помощью информационных и коммуникационных технологий в диагностике и эффективности диагностики можно продемонстрировать графиком, приведенном на рис. 8.

Рис. 8. Графическая интерпретация повышения эффективности диагностики
Пояснения к рис. 8:
f — затраты на сбор анализ и структурирование информации;
f0
— кривая эффективности диагностики в антикризисном управлении с использованием традиционной методики;
f1
— кривая эффективности диагностики в антикризисном управлении с использованием элементов информационных технологий на стадии превентивной санации;
НI
— начальный уровень информации в случае применения информационных и коммуникационных технологий на стадии превентивной санации;
Н0
— начальный уровень информации по традиционной методике;
Э0
— начальный уровень эффективности принятия управленческих решений;
Э1
— уровень эффективности принятия управленческих решений на этапе диагностики с использованием традиционной методики;
Э2
— уровень эффективности принятия управленческих решений на этапе диагностики с использованием информационных и коммуникационных технологий.
В любой функционирующей социально-экономической системе существует минимальный уровень эффективности принятых управленческих решений Э0, который определяется сложившимися правилами сбора и обработки информации на данном предприятии. Как правило, это элемент корпоративной культуры, формально описанный в нормативной базе предприятия (инструкции, должностные положения, внутренний стандарт предприятия и т.д.) либо исторически сложившиеся отношения и обязанности.
В процессе проведения диагностики для определения базовых параметров происходит формализация правил сбора и обработки сложившихся потоков информации (инвентаризация состава, связей, перечня реквизитов и т.д.). Это позволяет менеджерам получать доступ к ранее имеющейся на предприятии информации для принятия управляющих решений.
При затратах на сбор и структурирование информации (j1 до проведения диагностики, в условиях отсутствия выработанных базовых параметров, установленных правил сбора и обработки информации эффективность управляющих решений будет Э1. При выработанных и определенных базовых параметрах формализации правил обработки первичной информации, в результате проведения диагностики, при тех же самых затратах j1 эффективность управляющего решения будет Э2. Повышается эффективность управления, что отображается смещением кривой а0 на графике в положение а1.
Соответственно одну и ту же эффективность управленческих решений можно получить при затратах j2, до проведения диагностики или при меньших затратах ресурсов j1, используя сформированные в процессе диагностики базовые параметры. Это позволяет оптимизировать использование ограниченного объема ресурсов в условиях антикризисного управления.
Итак, по мере накопления объема информации, усложнения ее структуры поиск и своевременный доступ к нужной информации становится дорогостоящим и непростым делом. Динамика издержек может сделать невозможным для потенциальных пользователей рациональное использование информационного потенциала без применения новых информационных технологий.
Для эффективного управления предприятием в условиях кризиса недостаточно той информации, которая получается, обрабатывается в традиционном порядке. В ней может не содержаться необходимых сведений об изменениях в системе, на которые необходимо реагировать немедленно с целью уменьшения негативного влияния кризисных явлений.
Ценность информации зависит от того, какое воздействие она оказывает на принятие решения. Информация имеет цену, если она изменяет представление менеджера о реальной действительности, если менеджер соответствующего звена управления реагирует на выявленные изменения и если эффективность управления меняется в связи с влиянием выявленных изменений на процесс принятия управленческих решений.
Интеграция операций управления в единое целое осуществляется «разумными» информационными системами. Компьютерно-интегрированное управление и производство используют распределение информационных потоков так, что предприятие становится совокупностью взаимодействующих и управляемых гибких систем.
Формирование автоматизированной системы управления на базе современных технологий может обеспечить взаимосвязь информационных потоков, средств обработки данных, передачи и хранения информации и менеджеров, принимающих управленческие решения.
В результате использования возможностей информационных и коммуникационных технологий может скачкообразно повыситься уровень взаимосвязей в системе управления. Ключевым вопросом при диагностике систем управления, по нашему мнению, должен стать вопрос, обладает ли предприятие необходимыми информационными технологиями, обеспечивающими постоянное приспособление к динамичной окружающей среде, гибкость системы управления, поддержание конкурентоспособности и способности обучаться.
Уровень развития информационных технологий позволяет применять в условиях кризиса системы поддержки и принятия решений, системы, которые моделируют процесс принятия решений на основе формализованных правил, системы с технологией вывода на основе прецедентов (дают решение проблемы исходя из аналогий), работающие по принципу обучения. Опыт применения подобных систем приводит к хорошим результатам: American Express сократила свои потери на 27 млн. долл. в год благодаря применению экспертной диагностической системы20. Компьютерная компания DEC ежегодно экономит 70 млн. долл. благодаря использованию системы XCON/XSEL21.
До недавнего времени поиск нужной информации, порой, занимал достаточно много времени. Ныне Интернет может свести в единую базу аналитическую и оперативную информацию, объединить локальные сети структурных подразделений организации, использовать электронную почту для проведения более качественных диагностических исследований различных аспектов в управлении.
Теория диагностических исследований относится к числу теорий, описывающих и исследующих механизмы функционирования в экономике и обществе. Ее развитие достигло такого состояния, когда исследуемые в ней постановки, модели и методы становятся полезными в практике управления и в решении теоретических проблем в других областях и сферах деятельности.
Однако диагностика в антикризисном управлении до сих пор остается проблемой мало разработанной. Поэтому оказывается актуальной задача разработки методологии и аналитического аппарата построения моделей, разработки аналитических процедур для широкого класса организаций и организационно-экономических условий их деятельности. Сформулированные нами идеи, обобщения и оценки, в известной мере, развивают и дополняют эти знания.
|