Министерство образования Республики Беларусь
УЧРЕЖДЕНИЕ ОБРАЗОВАНИЯ «ВИТЕБСКИЙ ГОСУДАРСТВЕННЫЙ ТЕХНОЛОГИЧЕСКИЙ УНИВЕРСИТЕТ»
Кафедра «Стандартизация»
КУРСОВАЯ РАБОТА
по курсу «Теоретические основы товароведения»
на тему: «Анализ ассортимента, надежности и факторов, сохраняющих качество ковров и ковровых изделий»
Витебск, 2010
Содержание
Введение…………………………………………………………….….... 3
1. Классификация и характеристика ассортимента товаров….…...6
2. Кодирование товаров ……………………………………….…....17
3. Характеристика свойств надежности…………………….……..19
4. Расчет свойств надежности………………………………….….. 22
5. Факторы, сохраняющие потребительские свойства товаров..…28
Заключение……………………………………………………………... 30
Список использованных источников……………………………......... 31
Введение.
Целью данной курсовой работы является анализ ассортимента, надежности и факторов сохраняющих качество ковров и ковровых изделий
Ковер в доме выполняет несколько функций: утепляет пол, придает уют и целостность интерьеру, связывая в гармоничное единство отдельные его составляющие. Поэтому данный аксессуар выбирают в соответствии со стилем мебели и колоритом ее обивки так, чтобы он сочетался с драпировками, картинами, покрытием пола.
Ковер – это произведение искусства, украшение интерьера, отделочный материал. Сегодня основной функцией ковра является его декоративность, а его главная задача – украсить дом.
  
Конечно, без ковра, как и любого украшения можно прожить, но необыгранное «голое» пространство на полу создает ощущение холодности, пустоты и незавершенности интерьера. Особенно уют, тепло и спокойное настроение необходимы в так называемых «зонах отдыха» (у дивана, кровати, камина и т.д.). Ковры очень универсальны. Их можно стелить где угодно, даже в кухне и ванной. Главное, чтобы материал, из которого они сделаны, мог выдержать заданные условия эксплуатации.
Способность ковра создавать уют напрямую зависит от его тепло- и звукоизолирующих свойств. Точно установлено, что хороший ковер позволяет сократить на 10% расходы на обогрев помещения. По поверхности ковра очень приятно ходить босыми ногами – ноги не мерзнут, ворс приятно массирует ноги и амортизирует шаги. Это полезно для здоровья вообще и для позвоночника в частности. Что касается звукоизоляции, то ковер поглощает акустические волны в десять раз лучше, чем твердые стены и пол. Шерстяные ковры имеют еще одну особенность: они поддерживают в помещении идеальный микроклимат, регулируя уровень влажности. Избыточные водяные пары улавливаются ворсом. При этом хороший ковер способен поглощать влагу в количестве до трети от собственного веса, при этом совершенно не намокая. А когда в помещении станет слишком сухо, он вернет в воздух влажные пары. Т.е. ковер помогает поддерживать благоприятный микроклимат в помещении. Одно из «противоречивых» свойств ковра – его способность улавливать пыль. Многие люди считают это отрицательным качеством. Но на самом деле паркет и линолеум накапливают не меньше пыли. Только с гладкой поверхности она поднимается в воздух от малейшего движения воздуха – и вы вдыхаете ее постоянно. А в ковре эта пыль находится в «связанном» состоянии до тех пор, пока вы не включите пылесос.
Забиваем Сайты В ТОП КУВАЛДОЙ - Уникальные возможности от SeoHammer
Каждая ссылка анализируется по трем пакетам оценки: SEO, Трафик и SMM.
SeoHammer делает продвижение сайта прозрачным и простым занятием.
Ссылки, вечные ссылки, статьи, упоминания, пресс-релизы - используйте по максимуму потенциал SeoHammer для продвижения вашего сайта.
Что умеет делать SeoHammer
— Продвижение в один клик, интеллектуальный подбор запросов, покупка самых лучших ссылок с высокой степенью качества у лучших бирж ссылок.
— Регулярная проверка качества ссылок по более чем 100 показателям и ежедневный пересчет показателей качества проекта.
— Все известные форматы ссылок: арендные ссылки, вечные ссылки, публикации (упоминания, мнения, отзывы, статьи, пресс-релизы).
— SeoHammer покажет, где рост или падение, а также запросы, на которые нужно обратить внимание.
SeoHammer еще предоставляет технологию Буст, она ускоряет продвижение в десятки раз,
а первые результаты появляются уже в течение первых 7 дней.
Зарегистрироваться и Начать продвижение
В Беларуси расположены два производителя ковров: в Витебске и в Бресте, благодаря чему происходит постоянная конкуренция, и продукция предприятий меняется с каждым разом в лучшую сторону.
ОАО "Витебские ковры", насчитывающее более чем 100-летнюю историю, предлагает самый широкий ассортимент продукции. Предприятие выпускает самый большой объем 8-цветных двухполотенных жаккардовых ковров среди предприятий отрасли стран СНГ. Значительную долю в производстве занимают прутковые ковры, которые являются самыми долговечными и надежными в эксплуатации, а также полностью соответствуют требованиям, предъявляемым к напольным коврам по своей структуре и техническим характеристикам.
Компания постоянно работает над созданием аксминстерских ковров. Большой объем продукции составляют синтетические прошивные ковровые покрытия.
Приоритетным направлением деятельности предприятия является выпуск конкурентоспособной продукции, создаваемой благодаря использованию новейшей техники и технологии. /1/
  
ОАО "Ковры Бреста" – один из крупнейших производителей тканых ковров в Беларуси. В настоящее время на предприятии производятся чистошерстяные ковры, полушерстяные (30% шерсти и 70% ПАН+ПА), полипропиленовые (БЦФ, хит-сет), ковровые изделия шириной от 0,5 до 4,0 м. Продукция ОАО "Ковры Бреста" выпускается в более чем 250 типоразмерах.
В рисунке ковра используются пяти-, шести- и восьмицветные узоры и орнаменты. В арсенале брестских дизайнеров разработки более чем 2000 ковровых рисунков, как традиционного классического стиля, так и современных дизайнов, включая элементы авангарда и модерна. После проведенного маркетингового анализа рынка ковровых изделий специалистами ОАО "Ковры Бреста" был сделан выбор в пользу производства ковров с комбинированной структурой переплетения (разрезной и петельный ворс) на основе, как традиционного полушерстяного сырья, так и с использованием полипропиленовых и чистошерстяных видов пряжи.
Сервис онлайн-записи на собственном Telegram-боте
Попробуйте сервис онлайн-записи VisitTime на основе вашего собственного Telegram-бота:
— Разгрузит мастера, специалиста или компанию;
— Позволит гибко управлять расписанием и загрузкой;
— Разошлет оповещения о новых услугах или акциях;
— Позволит принять оплату на карту/кошелек/счет;
— Позволит записываться на групповые и персональные посещения;
— Поможет получить от клиента отзывы о визите к вам;
— Включает в себя сервис чаевых.
Для новых пользователей первый месяц бесплатно.
Зарегистрироваться в сервисе
В настоящее время на предприятии осваивается ассортимент с повышенными плотностными характеристиками ковров (до 450 тыс. узлов/м кв.) и ворсом до 8,5-11,0 мм разнообразных форм (прямоугольная, овальная, круглая). На такие изделия отмечается повышенный спрос среди покупателей благодаря таким новым потребительским качествам ковра как яркость и выразительность рисунка, износостойкость, каркасность. /2/
  
Раздел 1. Классификация и характеристика ассортимента ковров и ковровых изделий.
Ковровые изделия представляют собой художественные текстильные изделия бытового назначения, изготовляемые ручным и машинным способами. К ним относятся ковры, ковровые дорожки, коврики (спортивные и лечебные), портьеры, ламбрекены, покрывала, скатерти и др. Эксплуатационные свойства ковровых изделий обусловливаются сырьевым составом, способом выработки и видом отделки. Требования, предъявляемые'' к этим изделиям, различны в зависимости от их назначения. Так, повышенные требования предъявляют к эстетическим свойствам ковровых изделий декоративного назначения (настенным коврам, покрывалам и др.). Эти свойства обусловливаются художественно-колористическим оформлением изделия, высотой и плотностью, несвойлачиваемостью и устойчивостью к пиллингу ворса. Надежность в эксплуатации ковровых изделий характеризуется прочностью закрепления ворсовых пучков, устойчивостью ворса к смятию, истиранию и многократному изгибу, устойчивостью окраски к свету, влаге и действию моющих растворов.
Свойства ковровых изделий во многом зависят от свойств волокон, применяемых для их выработки. В зависимости от назначения изделия (настенное, напольное и т. д.) в состав волокнистой смески вводят волокна с разными свойствами. В настоящее время широко применяют химические волокна, которые наряду с натуральными волокнами стали основным видом сырья для выработки ковровых изделий. Благодаря использованию химических волокон и различных видов химических нитей увеличивается производство и расширяется ассортимент ковровых изделий, повышается уровень художественно-колористического оформления их.
Ассортимент ковровых изделий обновляется не только за счет сырьевого состава, колористического оформления и новых видов рисунков, но и за счет производства новых видов изделий. Так, наряду с ткаными коврами и ковровыми изделиями широкое распространение получили нетканые и флокированные ковровые изделия, освоено производство трикотажных ковровых изделий на основовязальных рашель-машинах. В дальнейшем намечено увеличение производства ковровых изделий путем технического перевооружения действующих и строительства новых предприятий, разработки и освоения новых, более эффективных способов производства.
Ковровое производство состоит из следующих основных этапов: выбора волокнистых материалов, выработки ковровой пряжи (нитей) и ее крашения, ковроткачества, отделки ковровых изделий.
Основной вид сырья для изготовления ковровой (ворсовой) пряжи — грубая и полугрубая овечья шерсть и химические волокна. Ковровая шерсть должна характеризоваться хорошей окрашиваемостью, упругостью, способностью сопротивляться свойлачиванию и многократным изгибам. Наряду с овечьей шерстью применяют грубую (остевую) козью шерсть. Из химических волокон широко используют искусственные целлюлозные волокна и синтетические (капрон, лавсан, нитрон). Ковровое производство занимает первое место по переработке текстурированных химических нитей. Для создания каркаса ковровой ткани используют крученую пряжу из хлопка, льна, химических волокон и их смеси. Пряжу окрашивают красителями, обеспечивающими получение окраски, стойкой к свету, трению и химическим реагентам с учетом изменения цвета после отделки и химической чистки. В ковровом производстве широко применяют кислотные, протравные, кубовые, активные, металлсодержащие, дисперсные (для синтетических волокон) красители.
Ткачество ковровых изделий производится ручным или машинным способом.
Ковровые изделия ручной выработки безворсовые (гладкие) представляют собой простую ткань, образованную цветными нитями одной основы и одного утка (сумахи, паласы, килимы и др.). Ручные ковровые изделия с ворсовой поверхностью вырабатывают из трех систем нитей: основы и утка, образующих полотно ткани, и цветных нитей ворсовой основы, которые формируют рисунок коврового изделия. Нити ворсовой системы завязываются узлами. Ткут такие ковры на ручных ткацких станках. После получения ряда ворсовых узлов из нитей различного цвета в соответствии с рисунком в зев основы вводят полотняным переплетением одну или две нити утка, которые прибивают к опушке ковровой ткани, они закрепляют концы ворсовых нитей на нитях основы. Ворсовые концы ровно подстригают, причем высота ворса различна в зависимости от вида ворсового изделия.
Ковровые изделия машинного (механического) ткачества безворсовые — однослойная ткань, образованная цветными нитями основы и утка. Вырабатывают их различными переплетениями (полотняным, диагоналевым и др.) на ткацких станках. Жаккардовые безворсовые ковровые изделия изготовляют на многочелночных станках с машиной Жаккарда. Ковровые изделия машинного производства ворсовые представляют собой многослойную ткань с ворсом на лицевой стороне, образованную нитями двух или трех основ, переплетенных утком.
Ворсовые ткани ковровых изделий изготовляют на прутковых, двухполотных, аксминстерских и ленточных ковроткацких станках. При выработке ковровых изделий на прутковых станках используют три вида основы — коренную, настилочную, ворсовую и уток. Коренная основа образует каркас коврового изделия, закрепляет ворсовые пучки и соединяет уток с настилочной основой. Ворсовая основа образует ворс на поверхности изделия; настилочная основа — изнанку коврового изделия. Уток связывает все основы. С помощью стального прутка на поверхности коврового изделия получают петлю определенной высоты. Ворс может быть не разрезан, а может разрезаться ножичками, укрепленными на прутках. Узор в ковровом изделии образуется либо с помощью машины Жаккарда, либо набивкой цветного рисунка на основе, которая потом зарабатывается одноцветным утком. Узор набивных ковровых изделий менее четкий, чем жаккардовых.
На двухполотных ковроткацких станках изготовляют жаккардовые ковровые изделия. Изделия на этих станках формируются как два самостоятельных полотна ткани, перевязанных ворсовыми нитями основы на расстоянии, определяемом необходимой высотой ворса, и разрезаемых специальным ножом на верхнее и нижнее полотна. Каждое полотно имеет три вида основы — коренную, настилочную и ворсовую (общую для обоих полотен). Цветных ворсовых основ может быть от двух до шести. Многоузорчатый рисунок создается с помощью машины Жаккарда по заранее заготовленному патрону, выполненному в цвете на миллиметровой бумаге.
Аксминстерские ковровые изделия в наибольшей степени имитируют структуру изделий ручной выработки. Поверхность их образована отдельными пучками ворсовой пряжи, напоминающими ручной ворсовый узел. В большинстве аксминстерских ковровых изделий узор образуется с помощью системы специальных трубок, а также сочетанием таких трубок с машиной Жаккарда. Аксминстерские ковровые изделия — это многослойная ткань, каркас которой изготовлен из коренной и настилочной основ и утка. Ворсовая основа формирует ворсовые пучки.
Ленточные ковровые изделия вырабатывают в две стадии. Сначала на ткацком станке получают полушерстяное многоцветное полотно, которое разрезается по длине на отдельные полоски — ленточки. Ленточки запаривают и подвергают кручению. Подготовленные таким способом ленточки напоминают синелевую нить. Затем на многочелночном станке ткут ковровое изделие, в котором подобранные по рисунку и цвету ленточки служат ворсовым утком. Техника изготовления ленточных ковровых изделий допускает использование неограниченного количества цветов.
Кроме того, ковровые изделия вырабатывают теми же способами, что и нетканые материалы и трикотажное полотно, а также, электростатическим способом (флокированием).
Изготовление ковровых изделий холстопрошивным и иглопробивным способами не отличается в принципе от получения нетканых материалов. Прошивные (тафтинговые) ковровые изделия получают на прошивных многоигольных машинах. Применяют каркасный материал полотняного или саржевого переплетения из льняной, джутовой пряжи, синтетических нитей или нетканый материал из синтетических волокон. С изнанки каркасный материал прошивают ворсовой нитью, в качестве которой используют полушерстяную аппаратную пряжу, пряжу из химических волокон или текстурированную нить.
При электростатическом способе получения ковровых изделий отрезки окрашенного волокна длиной 2—3 мм в камере флокирования наносятся в электростатическом поле на грунтовый материал и закрепляются на нем с помощью клея в вертикальном положении.
Для устранения ткацких дефектов, придания поверхности чистоты, а орнаменту четкости и рельефности ковровые изделия подвергают отделке. При отделке одновременно смягчается каркас ковровой ткани и ослабляется напряжение нитей основы и утка. Ковры ручной работы, как правило, подвергают чистке и мойке. Ковры машинного производства чистят, стригут, штопают, кроме того, на изнаночную сторону ткани наносят аппрет, исправляют кромку, пришивают бахрому.
Дефекты, которые могут иметь ковровые изделия ручной работы, возникают в основном при подборе неодинаково окрашенной пряжи, в результате нарушения рисунка или несоблюдения гаммы цветов, возможно возникновение их и вследствие нарушения технологии ткачества или отделки, например стрижки ворса с целью его выравнивания.
К дефектам ворсовых ковровых изделий относятся: бугровистость — неравномерная стрижка ворса; вогнутость и выпуклость по краям — искажены стороны ковра или коврового изделия;дряблость — каркас ткани ковра чрезмерно мягкий; жесткость — каркас ткани жесткий; кривизна — возникает в результате удлинения одной из параллельных сторон ковра; морщины; неравномерная плотность нитей основы или утка; неровная по длине бахрома; неправильное выполнение отдельных мелких и крупных деталей орнамента; неравномерно прокрашенная пряжа; плохая чистка ковра; петляние — плохо закреплены ворсовые узлы со стороны изнанки; упрощенные или искаженные рисунок и колорит ковра.
При производстве ковровых изделий машинным способом могут возникнуть следующие дефекты:
близны; недосеки и забоины; редочь — разреженное по всему куску место за счет меньшего числа нитей на единицу длины, чем на остальных участках; неподработка нитей основы; поднырки; помеха — напоминает дефект тканей «парочки»; неровный бой — чередование по ширине ткани разреженных и уплотненных участков.
Ассортимент ковровых изделий характеризуется большим разнообразием посырьевому составу, способам производства, строению ворсовой поверхности, плотности, внешнему оформлению, видам изделия и размерам.
По сырьевому составу ковровые изделия подразделяют на чистошерстяные, полушерстяные (смешанные) и из химических волокон. К чистошерстяным относятся ковровые изделия, в ворсовой пряже которых содержится не менее 95% шерстяного волокна. Полушерстяные — это ковровые изделия, в пряже для ворсовой поверхности которых содержится не менее 25% шерстяного волокна. Вид сырья для других систем нитей, образующих грунтовое полотно, в ковровых изделиях не учитывается. По виду нитей, образующих ворсовую поверхность, различают ковровые изделия из пряжи гребенного и аппаратного способов прядения и из химических нитей.
По способупроизводства ковровые изделия бывают ручной и машинной выработки, при этом они могут быть ткаными и неткаными. Большая часть ковровых изделий ручного и машинного производства — тканые. К нетканым изделиям ручного производства относятся кошмы, машинного производства — прошивные, иглопробивные, флокированные ковровые изделия. Ковровые изделия бывают безворсовые (гладкие), ворсовые и комбинированные (сочетаются ворсовая и безворсовая поверхности).
По строениюворсовойповерхности различают ковровые изделия с ворсом разрезным, неразрезным (петельным) и комбинированным (разрезным и петельным). В зависимости от высоты ворсового покрова они бывают низковорсовые (высота ворса до 4 мм), средневорсовые (4—6 мм), высоковорсовые (до 11 мм) и с рельефным ворсом (разной высоты).
По плотности ковровой ткани (количеству ворсовых пучков на 1 дм 2
) ковровые изделия подразделяют на группы: 1-я группа — изделия с плотностью до 1000 ворсовых пучков; 2-я группа — от 1000 до 1500; 3-я группа — от 1500 до 2500 и 4-я группа — от 2500 до 3600 ворсовых пучков. Низковорсовые ковровые изделия, как правило, характеризуются более высокой плотностью, чем высоковорсовые. Низкий и плотный ворс обеспечивает более четкое воспроизведение рисунка.
По оформлениюрисунка различают ковровые изделия с вытканным рисунком, который формируется нитями основы и утка (в безворсовых изделиях) или ворсовыми нитями, их набивным рисунком, получаемым на ворсовой поверхности методом печати.
По композиционномупостроениюорнамента ковровые изделия подразделяют на следующие основные группы: с геометрическим орнаментом, растительным орнаментом, с изображением животных, медальонным орнаментом (медальон имеет форму многогранника или овальную и заполняет все среднее поле изделия), вазонным орнаментом (главный мотив — вазоны с цветами), нередко сочетание разных орнаментов. Особую группу составляют ковровые изделия с тематическим и портретным рисунком. В зависимости от сложности орнамента рисунки ковровых изделий подразделяют на три категории сложности — 1,2 и 3-ю.
По колористическомуоформлению ковровые изделия бывают одноцветные и многоцветные.
В зависимости oтотделки ковровые изделия выпускают неаппретированными, аппретированными (обработаны крахмально-клеевым или латексным раствором) и то специальными видами отделок (малоусадочной, противомолевой, противогнилостной).
По видам ковровые изделия подразделяют на ковры (настенные, напольные), коврики (спортивные, лечебные), ковровые дорожки, портьеры, ламбрекены, скатерти, настенные мешки и торбы, попоны и покрышки (для лошадей и вьючных животных).
Размеры ковров очень разнообразны (более 60 разновидностей), но чаще — от 70X 124 до 350X500 см. Ширина ковровых дорожек — от 45 до 450 см.
Ковровые изделия ручной выработки — высокохудожественные произведения народного декоративно-прикладного искусства. Ручное ковроткачество является традиционным народным художественным промыслом. На протяжении многих веков мастера воспроизводили в коврах классические рисунки, передававшиеся из поколения в поколение. Каждому народу и каждому поколению ковровых мастеров присущи характерные рисунки и стиль, которые нередко обогащаются элементами, заимствованными у других народов. Для ручных ковровых изделий характерны богатейшие художественные композиции, умелая стилизация и схематизация фигур, широкая гамма расцветок. Они имеют преимущества кустарного изделия — живость и неповторимость узора, индивидуальный размер, обладают высокой прочностью и при благоприятных условиях могут служить десятки лет.
Ковровые изделия машинной выработки по прочности и долговечности уступают изделиям ручной выработки, но по внешнему виду и рисунку мало от них отличаются. Узоры их разрабатывают художники, которые в своем творчестве учитывают декоративно-художественные достоинства ручных ковровых изделий. Промышленная окраска ворсовой пряжи (нитей), технология ткачества и структура ткани машинных ковров постоянно совершенствуются. В некоторых видах ковровых изделий машинного производства имитируется ручной ворсовый узел. Применение синтетических волокон и различных по структуре нитей из них позволяет значительно упрочить ткань ковровых изделий машинной выработки и расширить их ассортимент. Машинные тканые ковровые изделия подразделяют на ворсовые и безворсовые (гладкие).
Ассортимент ворсовыхковровыхизделий составляют ковры и ковровые дорожки, вырабатываемые различными способами, рассмотренными выше. Прутковым способом изготовляют ковры и ковровые дорожки с разрезным и неразрезным (петельным) ворсом, а также с комбинированным ворсом (разрезным и неразрезным), благодаря чему создается эффект тисненого рисунка. Высота ворса 3—5 мм. Изделия жаккардовые,бархатные (с гладкой однотонной ворсовой поверхностью) и полосатые. Ворсовая поверхность и рисунок жаккардовых изделий формируются обычно из ворсовой пряжи двух — четырех цветов.
В ассортимент двухполотных ворсовых ковровых изделий входят жаккардовые высоковорсовые ковры (высота ворса 6—9 мм). Двухполотные ковры самые плотные (плотность 2500 и более ворсовых пучков на 1 дм2
) и высококачественные из машинных ковров, имеют наибольшие размеры. Число цветных нитей — от двух до шести, но в основном вырабатывают пятицветные ковры. Для выработки этих ковров используют, главным образом, полушерстяную пряжу и пряжу из химических волокон.
На аксминстерских ковроткацких станках вырабатывают ковры и ковровые дорожки длинноворсовые (высота ворса 8—9 мм) из нитей различного волокнистого состава и различных цветов. Изделия могут быть одноцветными и многоцветными. Аксминстерские ковровые изделия очень широко распространены.
Ассортимент ленточных изделий составляют многоцветные длинноворсовые полушерстяные ковры (из полушерстяной пряжи, содержащей 50 или 73% вискозного волокна). Этот способ производства малопроизводительный, но такие ковры непревзойденные по многоцветности.
Ассортимент безворсовыхтканыхковровых изделий в настоящее время ограничен. В основном это полушерстяные ковры и ковровые дорожки, которые выпускают одноцветными, многоцветными, полосатыми и с цветной каймой.
Из нетканыхковровыхизделий наиболее распространены тафтинговые ковры (напольные) и ковровые дорожки. Производство и потребление их постоянно увеличиваются. Тафтинговые ковровые изделия вырабатывают с неразрезным (петельным), разрезным и комбинированным ворсом различной высоты (от 3,5 до 12 мм). Для изготовления каркаса этих ковров используют обычно льняную и полульняную пряжу, а для получения ворсовой пряжи применяют текстурированный капроновый жгут. Изделия могут быть одноцветными и многоцветными.
Иглопробивные ковровые изделия (напольные ковры, коврики, дорожки) представляют собой иглопробивной материал, подвергнутый с лицевой стороны своеобразному начесу с помощью игольчатой пластины. Такой начесный ворс имитирует разрезной или петельный. Наиболее распространенный иглопробивной ковровый материал — ворсонит. Изготовляют его в основном из синтетических штапельных волокон, одноцветным и многоцветным.
Ковровые изделия из дублированных материалов — текстильные материалы (тканые, нетканые, трикотажное полотно, искусственный мех), дублированные губчатой пористой пенолатексной основой (поливинилхлоридной, пеноуретановой).
К нетканым ковровым изделиям ручной выработки относятся войлочные ковровые изделия (кошмы, сырма, шердак и др.), которые изготовляют из войлочных полостей или из войлока в комбинации с тканями. Вырабатывают их из белого, цветного или грубого войлока, окантовывают тесьмой или покрывают тканью (с одной или обеих сторон), часто украшают аппликациями из ткани.
Трикотажные ковровые изделия вырабатывают с неразрезным (петельным) ворсом высотой 4—6 мм. Для ворсовой системы используют обычно текстурированные синтетические нити и пряжу из химического волокна.
В товароведении различают два метода классификации: иерархический и фасетный. Иерархический метод характеризуется жесткой структурой классификации, построенной на принципе субординации, т.е. классификационные группировки низших ступеней строго подчинены группировкам высших ступеней. Фасетный метод характеризуется тем, что при делении образуются независимые классификационные группировки; одна и та же совокупность товаров делится многократно и независимо по набору признаков, называемых фасетами. На практике очень часто применяется сочетание фасетного и иерархического методов, то есть осуществляется параллельная последовательность деления объекта (комбинированный метод).
При проведении классификации необходимо соблюдать определенные правила. Признаки классификации, по которым проводится деление, должны быть существенными. Начинать деление нужно с наиболее важных признаков. Классификация на каждой ступени осуществляется по одному основанию. Классификационные группировки на одной ступени должны исключать друг друга. Классификация должна быть непрерывной и последовательной./3/
Приведем схему классификации фасетным методом ковров и ковровых изделий (рис1.1)

Раздел 2. Кодирование ковров и ковровых изделий.
Кодирование - образование и присвоение кода классификационной группировке или объекту классификации.
Код
— знак или совокупность знаков, применяемых для обозначения классификационной группировки и/или объекта классификации.
Присвоение кода осуществляется на основе определенных правил и методов: 1) код должен иметь определенную структуру построения;
2) код может быть выражен с помощью различных, заранее обусловленных знаков;
3) код должен способствовать упорядочению объектов. /4/
Кодирование изделия осуществим на примере:
ковер жаккардовый двухполотный «Двина» № ковра 110925665
Состав ворсовой нити: ПП-100%
Артикул 08С26-ВИ
Ширина, см 300
Длина, см 400
Площадь, м2
№ рисунка/расцветки 416/А1Е
Сорт 1
Устойчивость окраски – обыкновенная
Кодирование товаров в данной работе необходимо осуществить по клас-сификаторам: 1.ОКРБ 007
2.ТН ВЭД РБ.
1. «Общегосударственный классификатор Республики Беларусь. Промышленная и сельскохозяйственная продукция Республики Беларусь»
Cтруктура кода
   ХХ Х Х Х
подкласс

класс

группа
раздел
ПОДСЕКЦИЯ DB ТЕКСТИЛЬ И ТЕКСТИЛЬНЫЕ ИЗДЕЛИЯ
РАЗДЕЛ 17 ТЕКСТИЛЬ
Группа 17.5 Изделия текстильные прочие
Класс 17.51 Ковры и ковровые изделия
17.51.1 Ковры и ковровые изделия
17.51.12 Ковры и прочие текстильные напольные покрытия
тканые м2, шт. /5/
2. По Товарной номенклатуре внешнеэкономической деятельности Республики Беларусь
ГРУППА 57
КОВРЫ И ПРОЧИЕ ТЕКСТИЛЬНЫЕ НАПОЛЬНЫЕ ПОКРЫТИЯ
Код по ТН ВЭД
|
Наименование позиции |
Доп. ед. изм. |
| 5702 |
Тканые ковры и прочие текстильные напольные покрытия, нетафтинговые или нефлокированные, готовые или неготовые, включая «килим», «сумах», «кермани» и аналогичные ковры ручной работы: |
| 5702 32 000 0 |
--из химических текстильных материалов |
кв. м |
/6/
Раздел 3. Характеристика свойств надежности.
К свойствам надежности относят сохраняемость и долговечность, ремонтопригодность, надежность закрепления ворса и ворсовых пучков, стойкость волокон ворса к многократному изгибу и чистящим средствам, устойчивость к действию микроорганизмов и насекомых (моли, ковровому жучку). Физическая долговечность ковровых изделий зависит от назначения, природы текстильных волокон, способа производства и может составлять 20 и более лет.
В зависимости от назначения, способа и места эксплуатации коврового изделия сочетание потребительских свойств может изменятся в ту или иную сторону.
Надежность
- свойство товара, характеризующее его способность сохранять свою потребительную стоимость во времени. По стандарту под надежностью понимается свойство объекта сохранять во времени в установленных пределах значения всех параметров, определяющих его способность выполнять требуемые функции в заданных режимах и условиях применения, технического обслуживания, ремонтов, хранения и транспортирования. Надежность является сложным свойством, которое делится на более простые: безотказность, долговечность, ремонтопригодность и сохраняемость.
Безотказность
- свойство товара непрерывно сохранять свое работоспособное состояние в течение определенного времени потребления без вынужденных перерывов до первого отказа. Работоспособное состояние товара определяется тем, что он может выполнять свои функции в течение определенного времени потребления, сохраняя показатели своих свойств в пределах, установленных нормативными документами. Отказ
- это событие, заключающееся в нарушении работоспособного состояния. Показателем безотказности является наработка на отказ, которая характеризует продолжительность или объем работы товара до отказа. Она определяется временем от начала потребления товара до возникновения первого отказа.
Долговечность
— свойство товара сохранять свою потребительную стоимость до наступления предельного состояния с учетом установленной системы ухода, обслуживания и ремонта при транспортировании, хранении и потреблении. Состояние товара считается предельным, если его использование по назначению становится невозможным по причинам безопасности или же малоэффективным из-за того, что показатели его свойств вышли из установленных пределов. Показателями долговечности являются ресурс и срок службы. Ресурс
определяется наработкой товара от начала его потребления до перехода в предельное состояние. Срок службы,
характеризуется календарной продолжительностью от начала потребления товара до перехода его в предельное состояние.
Ремонтопригодность
- свойство товара, заключающееся в
его приспособленности к предупреждению, обнаружению причин отказов и повреждений и их устранению, т. е. способность товара восстанавливать свою потребительную стоимость в результате ремонта при условии, что затраты на ремонт относительно малы по сравнению с первоначальной стоимостью. Все товары в отношении ремонтопригодности делятся на восстанавливаемые и невосстанавливаемые. Невосстанавливаемые товары ремонту не подлежат (например, электрические лампы накаливания). Показателями ремонтопригодности являются продолжительность ремонта, его трудоемкость, время восстановления.
Сохраняемость - способность товара непрерывно сохранять свою потребительную стоимость при хранении и транспортировании. Такие товары, как светочувствительные фотоматериалы, гальванические элементы и батареи, сравнительно быстро утрачивают свою потребительную стоимость вследствие необратимых процессов, протекающих в них. Для этих товаров устанавливаются сроки годности, исчисляемые с момента их изготовления, в течение которых предприятия-изготовители гарантируют качество своих изделий при условии соблюдения правил их хранения и транспортирования. Показателем сохраняемости является срок сохраняемости, который определяется календарной продолжительностью хранения и транспортирования товара без ухудшения его качества.
Таблица 3.1 – Свойства и показатели надёжности ковров и ковровых изделий
| Сложное свойство |
Простое свойство |
Единичные показатели |
| Долговечность |
Износостойкость |
Стойкость к истиранию ворсовой поверхности или рабочей поверхности |
| Закрепление ворса |
Прочность закрепления ворсового пучка или петли
|
| Устойчивость к изгибу |
Жесткость, мкН.
см2
или сН
|
| Способность сохранять окраску к воздействию света, воды, сухого трения |
Устойчивость окраски к физико-механическим воздействиям, баллы
|
| Стабильность линейных размеров |
Изменение размеров после мокрой обработки, %
|
производители испытывают ковровые покрытия на влагостойкость, на наличие внешних жиросодержащих загрязнений, на сопротивляемость циклической и статической нагрузкам (она характеризует степень сминаемости и быстроту распрямления ворса), на истирание (износостойкость ворса), на механическую прочность основы и силу ее сцепления с ворсом и, наконец, на стойкость окраски к естественному и искусственному освещению, а также к химическим реагентам, рекомендуемым для чистки изделия. /3/
Раздел 4. Расчет свойств надежности
Вариант 1. Расчет надежности для группы товаров ковры и ковровые изделия.
В процессе эксплуатации (потребления) изделия (товара) может возникнуть нарушение его работоспособности - отказ. По характеру возникновения различают постепенные и внезапные отказы. Постепенные отказы обусловлены медленным снижением параметров изделий, их постепенным отклонением от значений, установленных в технических нормативных правовых актах. Причины постепенных отказов обычно заключаются в износе и старении изделий. Внезапные отказы проявляются в резком, неожиданном изменении каких-либо параметров изделия, а также при наличии в изделиях дефектов.
Несмотря на различие в причинах появления отказов они имеют общую черту - случайность появления, которую можно объяснить с использованием теории вероятности и математической статистики.
Рассмотрим вероятность появления отказа в определенный интервал эксплуатации (потребления) изделия (товара). Исходные данные для расчета представим в виде таблицы А1.
Таблица А1 - Распределение отказов изделия во времени
| Интервалы времени, Xi
|
500-530 |
530-560 |
560-590 |
590-620 |
620-650 |
650-680 |
680-710 |
710-740 |
| Количество отказов,ni
|
2 |
4 |
7 |
18 |
19 |
5 |
4 |
1 |
Для графического изображения интервальных распределений отказов изделия построим столбиковую диаграмму (гистограмму). Для этого по оси абсцисс отложим интервалы значений варьируемого признака. На этих отрезках, как на основаниях, построим столбики, высоты которых пропорциональны количеству отказов в соответствующих интервалах времени.
В результате графического построения получается ступенчатая фигура в виде сдвинутых друг к другу столбиков (рисунок А1).
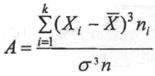
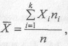
Сделаем предположение, что закон распределения случайной величины -нормальный. Для подтверждения данного предположения рассчитаем числовые характеристики (точечные оценки) случайной величины:
а) математическое ожидание
(А1)
где Xi
- середины интервалов времени;
п
i
- количество отказов в соответствующих интервалах времени;
п
- общее количество отказов.
Рисунок А1 – Гистограмма распределения отказов изделия во времени
 =617 дней
б) дисперсия
(А2)
s2
=1836 дней
в) среднее квадратическое отклонение
(А3)
s
= 42,8 дней
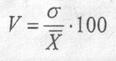
г) коэффициент вариации
(А4)
V
= 6.9 %
д) для кривой нормального распределения характерно симметричное распределение результатов измерений случайной величины относительно математического ожидания. Проверка наличия этой особенности при распределении случайной величины осуществляется путем расчета асимметрии
(А5)
А
= -0,073
Значение асимметрии оказалось отрицательным, что свидетельствует об отрицательной или левосторонней асимметрии исследуемого распределения, относительно нормального распределения.
е) судить о характере сплюснутости кривой распределения, по сравнению с кривой нормального распределения, позволяет эксцесс
(А6)
В нашем случае Е = 0,27. Полученное значение Е > 0, следовательно, кривая исследуемого распределения более вытянута, по сравнению с формой кривой нормального распределения.
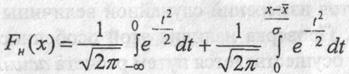
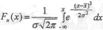
Функция распределения F
н
(
x
)
случайной величины, распределенной по нормальному закону, выглядит следующим образом:
(А7)
Использование на практике выражения (А7) вызывает затруднения, поэтому преобразуем его – введем новую переменную t = , откуда x= +ts, а dx = sdt. Изменяя соответствующим образом пределы интегрирования получим:
(А8)
Применяя свойство определенных интегралов о разбиении отрезка интегрирования, полученный интеграл преобразуем:
(А9)

В выражении (А9) первое слагаемое
Второе слагаемое равно половине значения функции
 
когда аргумент равен . Следовательно,
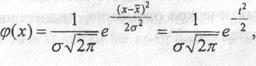
Производная функции распределения случайной величины является плотностью вероятности j(x) непрерывной случайной величины, т.е. j(x)=(x).
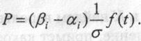
Плотность вероятности случайной величины определяется равенством
 (А10)
где

Так как исследуемое распределение является распределением с равными интервалами (значение (βi-αi) одинаково для всех интервалов и по условиям задания равно 15), то вероятность наступления отказа в интервале (αi; βi) можно вычислить по формуле
(А11)
Откуда
Определим теоретические частоты на основе полученного закона распределения. Результаты промежуточных расчетов представим в таблице А2.
Для определения значения функции f(t)
при значении аргументов, приведенных в столбце 4 таблицы А2, воспользуемся таблицей A3.
Теоретические численности (столбец 7) получим умножением соответствующих вероятностей Р
i
(столбец 6) на объем совокупности п
(общее количество отказов, в рассматриваемом примере равное 100).
Для того чтобы не было малочисленных групп, две последние группы теоретических частот объединим в самостоятельную группу.
Определим характер отклонения теоретических и фактических значений распределения случайной величины (отказа).
Для суждения о совпадении исследуемого распределения случайной величины с нормальным или с каким-либо другим распределением используются различные критерии согласия. Опираясь на установленный вид распределения случайной величины или на функцию отклонений теоретических и фактических значений случайной величины, путем расчета критерия согласия можно установить, когда полученное в действительности указанное отклонение следует признать не существенным, случайным, а когда существенным. Для этой цели широко используется критерий согласия Пирсона
Расчетный критерий Пирсона
для рассматриваемого примера равен 5.528 (столбец 11).
Определим число степеней свободы K=m-S,
где т
- число групп эмпирического распределения (в примере равное 7), S
- число параметров теоретического закона распределения, найденных с помощью эмпирического распределения, равное 3 (математическое ожидание, дисперсия, теоретическая численность отказов).Следовательно, К=4.
Таблица А2 – Результаты расчетов надежности изделия
Интер-валы време-
ни
|
Середины интер-валов
X,
|
Xi
- |
 |
f(t)
|
 |
 |
 |
 |
)2
|
 |
| 1 |
2 |
3 |
4 |
5 |
6 |
7 |
8 |
9 |
10 |
11 |
| 500-530 |
515 |
-102 |
-2,38 |
0,0235 |
0,016 |
1 |
2 |
1 |
1 |
1,000 |
| 530-560 |
545 |
-72 |
-1,68 |
0,0973 |
0,068 |
5 |
4 |
-1 |
1 |
0,200 |
| 560-590 |
575 |
-42 |
-0,98 |
0,2468 |
0,174 |
10 |
7 |
-3 |
9 |
0,900 |
| 590-620 |
605 |
-12 |
-0,28 |
0,3836 |
0,270 |
16 |
18 |
2 |
4 |
0,250 |
| 620-650 |
635 |
18 |
0,42 |
0,3653 |
0,257 |
15 |
19 |
4 |
16 |
1,067 |
| 650-680 |
665 |
48 |
1,12 |
0,2131 |
0,150 |
9 |
5 |
-4 |
16 |
1,778 |
| 680-710 |
695 |
78 |
1,82 |
0,0761 |
0,053 |
3 |
4 |
1 |
1 |
0,333 |
| 710-740 |
725 |
108 |
2,52 |
0,0167 |
0,012 |
1 |
1 |
| Итого |
1 |
60 |
60 |
5,528 |
Из таблицы А4 (Значения вероятности Р для критерия χ2
(Пирсона)) по полученным значениям и К
найдем вероятность того, что случайная величина, имеющая χ2
- распределение, примет какое-нибудь значение, не меньше .:
 Для рассматриваемого случая = 0,558
Полученная вероятность не мала (значительно больше 0,01), следовательно, имеющиеся расхождения между теоретическими и фактическими значениями случайной величины (отказами) случайны.
Таким образом, предположение о законе нормального распределения случайной величины является верным.
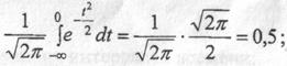
Определим с заданной вероятностью (для изделий текстильной и легкой промышленности 80%) время, в течении которого отказ не наступит.
Перепишем функцию распределения, подставив в нее конкретные значения и s. В рассматриваемом примере FH
(х)
= 0,5 + 0,5 •
Ф
().
0,5+0,5
•
Ф(
)=0,8
Ф(
)=0,6
x=609,6
x»610
Таким образом, в результате произведенных расчетов можно утверждать, что с вероятностью 80% в течении 610 дней эксплуатации (потребления) изделия отказ не наступит.
Раздел 5. Факторы, сохраняющие потребительские свойства товаров.
Маркировка ковров и ковровых изделий производится в соответствии с ГОСТ 28415-89.
Ковровые покрытия и изделия (ковры) должны быть скатаны в рулон ровно, без перекосов, лицевой стороной внутрь. Количество отрезов в рулоне ковровых покрытий должно быть не более двух. Отрезы должны быть от одного куска и длиной не менее 1,5 м каждый. Рулоны формируются из покрытий или изделий одного артикула, сорта, размера или одной ширины для покрытий. Количество изделий в рулоне должно соответствовать ГОСТу.
Рулон, состоящий из нескольких изделий, прошивают с торцевой стороны так, чтобы нитка проходила сквозь каждое изделие, и концы нитки пломбируют. Пломба должна быть прочно закреплена и иметь четкий оттиск наименования предприятия-изготовителя. Рулон, состоящий из одного штучного изделия, не пломбируют.
Рулон перевязывают в двух или трех местах на расстоянии около 15-20 см от краев и посередине рулона. Масса рулона должна быть не более 40 кг. Для перевязки рулонов и пачек применяют прочный шпагат, ленту из полипропиленовой пленки или тесьму из химических волокон, а также полипропиленовую пленочную нить, льняную или льно-джутолавсановую пряжу из отходов производства.
Маркируют ковровые изделия путем прикрепления к изделию товарного ярлыка с указанием наименования предприятия-изготовителя, товарного знака, наименования изделия, состава ворсовой нити, артикула, размера и площади, номера рисунка, сорта, устойчивости окраски, соответствия государственному стандарту или техническим условиям, даты выпуска и номера контролера и маркировщика. Для сохранения потребительских свойств и качества к каждому ковровому изделию должна быть прикреплена памятка по уходу, а к рулону ковровых покрытий приложена (не менее 3-4 шт.)
На изнаночной стороне изделий или покрытий контрастной несмываемой краской наносят следующие реквизиты: номер изделия, артикул, размер, сорт, номер контролера ОТК, товарный знак предприятия изготовителя (для покрытий)./9/
Транспортирование и хранение производится в соответствии с ГОСТ 7000-80.
Ковры и ковровые изделия транспортируют всеми видами транспорта в крытых транспортных средствах или универсальных контейнерах в соответствии с действующими на них правилами перевозки грузов.
Упакованные ковры и ковровые изделия должны храниться в сухом, проветриваемом помещении в соответствии с правилами пожарной безопасности в условиях, предотвращающих загрязнение, механическое повреждение и действие солнечных лучей. Их следует располагать на подтоварнике и стеллажах на расстоянии от пола не менее 20 см./10/ При хранении ковры и ковровые покрытия должны обрабатываться противомольным препаратом не реже одного раза в 6 мес, а при обработке противомольным средством «Анарод-Митток» - не реже одного раза в год./9/
Заключение.
В работе рассмотрен ассортимент ковров и ковровых изделий, их свойства, классификация по способам производства, строению ворсовой поверхности, по колористическому оформлению, по композиционному построению орнамента и др. Приведены описания методов классификации и классификация фасетным методом ковров и ковровых изделий.
В разделе кодирование приведен пример кодирования конкретного изделия по классификатору ОК РБ – 007 и ТН ВЭД РБ.
В третьем разделе дана характеристика свойств надежности с примерами показателей свойств, а после осуществлен расчет и приведена гистограмма распределения отказов изделия во времени.
Описаны правила маркировки, упаковки и транспортирования товаров групп ковры и ковровые изделия.
Исходя из материала изложенного в данной работе, можно составить достаточно полное представление о данной группе товаров.
Список использованных источников
1. http://www.carpet.vitebsk.by/
2. http://www.brestcarpets.com
3. Сыцко В.Е., Миклушов М.Н. и др. Товароведение непродовольственных товаров. – Мн.: Выш. шк., 1999. – 633 с.
4. Товароведение текстильных товаров: Учебник для товаровед. фак. торг. вузов/. Коляденко С., Месяченко В., Кокошинская В.- М:. Экономика.ю 1981.-312 с.
5. ОКРБ 007-2007 . Общегосударственный классификатор Республики Беларусь. Промышленная и сельскохозяйственная продукция. Часть 1.- Минск, Госстандарт, - 668с.
6. ТН ВЭД РБ Товарная номенклатура внешнеэкономической деятельности Республики Беларусь. – Минск: Белтаможсервис, 2002.-800с.
7. ГОСТ 28415-89 «Покрытия и изделия ковровые тканые машинного способа производства» общие технические условия
8. ГОСТ 4.18-88 «Покрытия и изделия ковровые машинного способа производства» номенклатура показателей
9. ГОСТ 23348-78 «Покрытия и изделия ковровые машинного способа производства» первичная упаковка и маркировка
10. ГОСТ 7000-80 «Материалы текстильные» упаковка, маркировка, транспортирование и хранение
|