Глава 1 Общая характеристика и специфические особенности антикризисного управления. Финансовый анализ предприятия и диагностика банкротства
1.1. Сущность, цели и задачи антикризисного управления
До сих пор в российской экономической литературе нет единого подхода к определению сущности, цели и задач антикризисного управления - этого важнейшего рычага предпринимательской активности. Часть специалистов сводит антикризисное управление в основном к чисто финансовому процессу, связанному с ликвидацией задолженностей предприятия. Другие фактически сводят антикризисное управление к деятельности менеджеров предприятия в условиях банкротства. Многие специалисты по антикризисному управлению ориентируют этот вид деятельности предприятий на быстрые финансовые мероприятия, обеспечивающие краткосрочную экономическую эффективность предприятия. Действительно, в одних случаях этот термин трактуют как управление фирмой в условиях общего кризиса экономики,
в других - управление фирмой, попавшей в кризисную ситуацию в результате неудовлетворительного менеджмента
, в третьих - управление, осуществляемое попавшей в тяжелое положение фирмой, оказавшейся на пороге банкротства.
Как считает Н. Алексеев, в качестве кризисной следует признать «любую ситуацию, в которой предприятие не успевает подготовиться к внешним изменениям и потеря рентабельности остается неизбежной» (1)
Группа специалистов рассматривает «антикризисное управление как комплексный, многоплановый процесс, включающий специальные финансовые процедуры, особый маркетинговый план, чрезвычайные меры по мобилизации персонала. При этом согласно некоторым сложившимся подходам в России антикризисное управление - это функция, или точнее, обязательная составляющая банкротства [2]
Э.А. Уткин под антикризисным управлением понимает такое управление, «которое нацелено на предотвращение возможных серьезных осложнений в рыночной деятельности российского предприятия, на обеспечение его стабильного, успешного хозяйствования с ориентацией расширенного воспроизводства на самой современной основе на собственные накопления»(3; 13).
Из приведенных определений антикризисного управления можно сделать вывод о том, что оно представляет собой комплекс инструментов внешних и внутренних воздействий на предприятие, проявляющее слабые признаки кризисного состояния или уже находящееся в кризисном состоянии.
Характеризуя антикризисное управление, следует выделить черты, отличающие его от управления в обычных, стабильных условиях деятельности хозяйствующего субъекта. Как вытекает из анализа зарубежного опыта, эти отличия касаются специфики управленческой деятельности в условиях существенных изменений среды деятельности предприятий, непредсказуемости ситуации и возникновения новых управленческих проблем. В условиях кризиса приходится нередко на ходу менять организационную структуру управления в соответствии с изменениями внешней среды. В отличие от традиционного управления, применяемого в нормальных условиях окружающей среды.
Отличия касаются прежде всего цели управления.
Целью антикризисного управления является разработка и реализация мер, направленных на предотвращение возникновения негативных явлений, приводящих к кризисному состоянию предприятия, обеспечение его финансовой устойчивости и прочного положения на рынке при любых метаморфозах в стране
. При этом следует подчеркнуть, что на различных этапах развития кризиса, кризисных тенденций и с учетом их последствий для деятельности предприятия цели антикризисного управления могут корректироваться.
Забиваем Сайты В ТОП КУВАЛДОЙ - Уникальные возможности от SeoHammer
Каждая ссылка анализируется по трем пакетам оценки: SEO, Трафик и SMM.
SeoHammer делает продвижение сайта прозрачным и простым занятием.
Ссылки, вечные ссылки, статьи, упоминания, пресс-релизы - используйте по максимуму потенциал SeoHammer для продвижения вашего сайта.
Что умеет делать SeoHammer
— Продвижение в один клик, интеллектуальный подбор запросов, покупка самых лучших ссылок с высокой степенью качества у лучших бирж ссылок.
— Регулярная проверка качества ссылок по более чем 100 показателям и ежедневный пересчет показателей качества проекта.
— Все известные форматы ссылок: арендные ссылки, вечные ссылки, публикации (упоминания, мнения, отзывы, статьи, пресс-релизы).
— SeoHammer покажет, где рост или падение, а также запросы, на которые нужно обратить внимание.
SeoHammer еще предоставляет технологию Буст, она ускоряет продвижение в десятки раз,
а первые результаты появляются уже в течение первых 7 дней.
Зарегистрироваться и Начать продвижение
Инструменты антикризисного управления приводятся в действие в условиях серьезных изменений во внешней среде (в налоговой системе, развитие инфляции, снижение спроса и др.), приводящих предприятие к финансовому банкротству, к кризису. По мнению И. Ансоффа, «когда изменение во внешней среде угрожает существованию фирмы, и она находится в жестком цейтноте, это значит, фирма попала в кризисные условия»(4, 486).
В качестве показателей, характеризующих кризисное положение предприятий, можно назвать:
- снижение размеров прибыли и рентабельности, в результате чего ухудшается финансовое положение предприятия. В данном случае речь идет уже о кризисе в широком смысле;
- убыточность предприятия, в результате которой уменьшаются либо полностью истощаются резервные фонды предприятия;
- неплатежеспособность, которая может привести к остановке предприятия. При таких условиях мы можем говорить о наступлении банкротства предприятия. Ведь банкротство фактически начинается тогда, когда фирма из-за отсутствия финансовых ресурсов оказывается неспособной выполнять свои финансовые обязательства перед партнерами или она вскоре не будет в состоянии производить платежи. Исходя из принципа неплатежеспособности должник может быть признан банкротом, если он не расплачивается с кредитором в течение трех месяцев.
В антикризисном управлении на первый план нередко выходят непредсказуемость в действиях, отсутствуют четкое распределение функций между участниками на длительный период, поступает недостоверная или недостаточная информация.
Эффективность антикризисного управления обусловливается способностью фирмы конструктивно реагировать на изменения, угрожающие ее нормальному функционированию. Эта способность не зависит от того, осуществляется процедура банкротства или возникает лишь ее угроза. И в том, и в другом случае необходимо применение антикризисных решений, совокупность которых и представляет собой антикризисное управление.
Отличительной особенностью антикризисного управления является сочетание стратегического и тактического направлений, оперативная реакция на происходящие изменения во внешней среде, разработка и использование альтернативных вариантов, учитывающих возможные трансформации в экономической, политической, социальной и других сферах. Такой подход позволяет на всех стадиях развития кризисного состояния предприятия, фирмы, корпорации выявлять и регулировать взаимосвязь между риском и прибылью предприятия.
Сервис онлайн-записи на собственном Telegram-боте
Попробуйте сервис онлайн-записи VisitTime на основе вашего собственного Telegram-бота:
— Разгрузит мастера, специалиста или компанию;
— Позволит гибко управлять расписанием и загрузкой;
— Разошлет оповещения о новых услугах или акциях;
— Позволит принять оплату на карту/кошелек/счет;
— Позволит записываться на групповые и персональные посещения;
— Поможет получить от клиента отзывы о визите к вам;
— Включает в себя сервис чаевых.
Для новых пользователей первый месяц бесплатно.
Зарегистрироваться в сервисе
Для антикризисного управления характерны нестандартные, экстремальные условия функционирования предприятия, требующие срочных вынужденных мер, непредсказуемость ситуации, существенные изменения среды деятельности хозяйствующих субъектов, возникновение новых управленческих проблем, требующих принятия срочных решений. Ключевым моментом здесь является наступление или приближение банкротства, то есть неплатежеспособности предприятия, фирмы, компании. Именно эта ситуация и становится объектом антикризисного управления. Таким образом, антикризисная политика является частью общей финансово-хозяйственной политики предприятия и заключается в разработке системы методов диагностики платежеспособности и финансовой устойчивости предприятия, в реализации механизма его оздоровления.
Антикризисному управлению присуща специфическая система контроля и раннего выявления признаков приближающегося кризиса. В этих условиях возникает необходимость в особых методах мотивации к более упорному и самоотверженному труду в целях преодоления временных трудностей, в новых, порой неординарных системах поощрения и стилях руководства.
А. Ковалева отмечает, что «неудовлетворительная структура баланса - это состояние имущества и обязательств должника, когда за счет имущества не может быть обеспечено своевременное выполнение обязательств перед кредиторами в связи с недостаточной степенью ликвидности имущества должника. При этом общая стоимость имущества может быть равна общей сумме обязательств должника или превышать ее»(5; 261).
Наступлению банкротства, как правило, предшествует ряд стадий: скрытое банкротство - финансовая дестабилизация - полная потеря платежеспособности - стадия оформления банкротства. Причем, если с заявлением в суд обращаются кредиторы, которым не возвращен долг, то банкротство называют принудительным. Чтобы банкротство не использовалось в нелегальных целях, например, для сокрытия следов мошенничества на предприятии, в законе предусмотрена ответственность за такого рода действия, как фиктивное и преднамеренное (умышленное) банкротство. Последнее возникает, если руководитель или собственник предприятия преднамеренно создает или увеличивает его неплатежеспособность, заведомо некомпетентно ведет дела в личных интересах или интересах других лиц. Фиктивное же банкротство представляет собой ситуацию, когда предприятие объявляет себя банкротом, чтобы ввести в заблуждение кредиторов и получить отсрочку, рассрочку или скидку с долгов.
Вместе с тем банкротство рассматривается и как некоторая оздоровительная процедура, как единственное средство спасения предприятия от экономического краха и последний шанс для кредиторов и акционеров сместить некомпетентное, а может быть и коррумпированное, руководство фирмы.
Зачастую случается и так, что банкротство приводит к взаимовыгодному для всех сторон мировому соглашению, достигнуть которого без применения процедуры или угрозы реального банкротства было бы сложно или вовсе невозможно.
Есть еще одна немаловажная деталь: начало открытой процедуры банкротства дает предприятию передышку от постоянного давления некоторых кредиторов, и это может стать решающим фактором его оздоровления.
В зависимости от того, какой субъект правоотношений является должником, применяются разные принципы банкротства. Для определения банкротства гражданина используется принцип неплатежеспособности. Он означает, что должник может быть признан банкротом, если соответствующие обязательства не исполнены им в течение трех месяцев, а их сумма превышает стоимость принадлежащего ему имущества.
Итак, кризис правомерно рассматривать под углом зрения его внутреннего и внешнего проявления. Внешний аспект кризиса заключается в неспособности предприятия мобилизовать необходимый объем оборотных средств для выполнения своих обязательств перед кредиторами - выплаты и обслуживания долга. Внутренний - в отсутствии возможности обеспечить финансово-хозяйственную деятельность фирмы необходимым объемом оборотных средств, Поддержание величины оборотных средств на соответствующем уровне осуществляется за счет денежных и эквивалентных им ресурсов предприятия. Таким образом, в экономическом смысле кризис означает дефицит денежных средств для поддержания текущей хозяйственной (производство) и финансовой (кредиторы) потребностей в оборотных средствах. Этому определению соответствует следующее неравенство, представляющее экономическую формулу кризиса.
Денежные средства < Текущая хозяйственная потребность в оборотных средствах + Текущая финансовая потребность в оборотных средствах
Текущая финансовая потребность (ТФП) - наиболее простая и понятная часть формулы. ТФП определяется как сумма предстоящих на момент расчета формулы выплат по возврату долгов (включая проценты по ним), а также штрафов и пени (в случае просроченных платежей) за планируемый период. Покрывается денежными средствами или приемлемыми для кредиторов по содержанию и условиям взаимозачетными операциями.
Текущая хозяйственная потребность в оборотных средствах (ТХП) представляет собой разницу между суммой производственных и непроизводственных расходов на планируемый период, с одной стороны, и объемом производственных запасов предприятия а пределах размеров, предусмотренных сметой, с другой.
Определение порогового значения ТХП, невозможность обеспечения которого является критическим, зависит от отраслевой принадлежности и других особенностей предприятия. Например, в химии и металлургии существует минимальный технологически допустимый объем производства, а для металлообработки нет. Объем постоянных (накладных) расходов также не может служить однозначным критерием порогового значения потребности в оборотных средствах, поскольку может быть скорректирован. ТХП покрывается денежными средствами или приемлемыми для предприятия по содержанию и условиям взаимозачетными операциями (т.е. поставкой в нужные сроки по приемлемой цене именно тех товаров и услуг, на которые и были бы потрачены денежные средства предприятия).
Таким образом, антикризисное управление отражает производственные отношения, складывающиеся на уровне предприятия в условиях его финансовой несостоятельности, и представляет собой совокупность форм и методов, применяемых при оздоровлении или ликвидации предприятия-должника. Это - категория микроэкономики, управляемый процесс.
Антикризисное управление базируется на системном подходе, который рассматривает организацию как систему, то есть как совокупность взаимосвязанных элементов, обладающих интегральными свойствами, образующих устойчивое единство и целостность. Основой системного подхода является определение цели функционирования системы, формулирование задачи ее достижения и обоснование путей и методов решения системной задачи. С помощью системного подхода вырабатываются адекватные представления о специфике управленческой деятельности, функциях подсистем и систем в целом; руководитель получает возможность уяснить для себя сущность сложных проблем, с которыми сталкивается предприятие, принять необходимое решение на основе имеющейся информации об изменениях во внешней среде.
Использование в практике антикризисного управления системного подхода позволяет учесть те факторы внутренней и внешней среды, которые оказывают на хозяйствующий субъект наибольшее воздействие (как негативное, так и позитивное), находить пути и методы эффективного воздействия на эти факторы. Преимущество системного подхода заключается также и в том, что он побуждает менеджеров при анализе ситуации в конкретной подсистеме (подразделении предприятия, фирмы, корпорации) и принятии в отношении ее решения учитывать последствия его реализации для взаимодействующих подсистем.
1.2 Концепция создания системы антикризисного управления
Экономическая стратегия фирмы складывается из ряда элементов, важнейшими из которых является стратегия предотвращения несостоятельности (банкротства) предприятия. Вся экономическая стратегия должна носить опережающий, предотвращающий характер: товарная, ценовая, снижение издержек, стратегия поведения на рынке ценных бумаг - должны быть нацелены на предотвращение несостоятельности. Тем не менее должны быть определены особые правила и приемы, применяемые в управлении фирмой, непосредственно направленные на предотвращение банкротства предприятия.
В условиях нестабильности экономической системы, замедления платежного оборота, недостаточной квалификации менеджеров на фоне вероятностного характера рыночной среды проблема моделирования антикризисной политики предприятия является актуальной. Антикризисная политика является частью общей финансово-хозяйственной политики предприятия и заключается в разработке системы методов диагностики платежеспособности и финансовой устойчивости предприятия, в реализации механизмов оздоровления предприятия.
Концепция антикризисного управления предприятием-должником
состоит из следующих основных элементов (подсистем):
1. Диагностика финансового состояния и оценка бизнеса предприятия.
Разработка маркетинговой стратегии.
Применение инновационной стратегии.
4. Управление персоналом.
6. Финансовый менеджмент.
7. Антикризисное бизнес-планирование.
8. Организация процедуры банкротства предприятия.
Концепция антикризисного управления включает в себя прежде всего стратегические и тактические методы анализа финансово-хозяйственной деятельности предприятия.
Стратегический подход (стратегические методы).
Он предполагает проведение анализа среды, в которой действует предприятие, определение миссии и целей, анализ и выбор стратегии, реализацию стратегии, оценку и контроль осуществления стратегической линии.
В условиях кризиса в качестве первостепенной выдвигается задача во что бы то ни стало удержать производство «на плаву», сохранить основные фонды и ключевые технологии, ядро трудового коллектива, т.е. стабилизировать положение в бизнесе на до кризисном уровне или чуть ниже его. Не менее важно, однако, уделить внимание стратегической перспективе. Сосредоточившись на проблеме выживания, необходимо заняться одновременно и разработкой стратегии дальнейшей деятельности предприятий, фирм, корпораций.
Разработка стратегии деятельности предприятия основывается на анализе среды, в которой оно функционирует. Этот анализ включает изучение внешних факторов, оказывающих влияние на деятельность экономического субъекта: состояние экономики страны, законодательной базы, регулирующей экономическую деятельность, техническое и технологическое обеспечение производства, экономическую и финансовую инфраструктуру, рынок рабочей силы, покупателей, поставщиков, конкурентов, а также внутренней среды: производственного и организационного потенциала предприятия, его кадры, финансовое положение и т.п.
В основе разрабатываемой стратегии любого экономического субъекта лежит определение миссии
фирмы, которая в концентрированном виде выражает смысл существования фирмы, ее предназначение. Ясно представляя, зачем функционирует фирма, к чему она стремится, можно вернее выбрать стратегию ее поведения на рынке. Минимальная продолжительность периода бескризисного состояния фирмы обеспечивается выбором ее миссии, которая продиктована мотивом достижения устойчивого роста прибыли в размерах, достаточных для постоянного наращивания стратегического потенциала фирмы и уровня ее конкурентного преимущества.
Максимальная продолжительность периода бескризисного состояния фирмы обеспечивается выбором такой миссии, которая наилучшим образом соответствует требованиям микро- и макросреды и формируемыми этими параметрами ограничениям и условиям, корректируется в случае их изменений.
На основе миссии вырабатываются цели на различных организационных уровнях (высшего, среднего и низшего звеньев управления). Цели выступают в качестве критериев для всего последующего процесса принятия управленческих решений.
Для приведения в соответствие деятельности фирмы с дискретными изменениями во внешней среде используются различные меры стратегического характера: проникновение фирмы в новые среды, отказ от текущей предметно-производственной специализации, ее существенная реорганизация, внедрение стратегического планирования.
Внедрение эффективного стратегического управления деятельностью хозяйствующих субъектов является мощным рычагом преодоления кризисных явлений. Инструментарием стратегического управления являются прогнозы развития. Эффективно организовать процесс формирования стратегии и тактики экономического и социального развития предприятия, фирмы, корпорации, определения задач и необходимых ресурсов, разработку различных сценариев достижения поставленных экономических и социальных целей с использованием современного инструментария стратегического управления и многовариантного (ситуационного) прогнозирования можно на базе новейших компьютерных технологий, которые в последние годы получают все более широкое распространение в России.
В целом можно сказать, что стратегия - это системный подход, обеспечивающий организации сбалансированность и общее направление роста. Причем, если внешняя среда, условия конкуренции, технологии производства продукции меняются медленно и постепенно, руководство фирмы столь же постепенно адаптируют свои навыки работы, пользуясь накопленными знаниями, опытом.
По справедливому замечанию И. Ансоффа, «стратегия - сложное и потенциально мощное орудие, с помощью которого современная фирма может противостоять меняющимся условиям. Но это - непростое орудие, и его внедрение и использование обходятся недешево. Стратегия - это инструмент, который может серьезно помочь фирме, оказавшейся в условиях нестабильности, университету, потерявшему престиж, а также при сбоях в обеспечении правопорядка, в работе системы здравоохранения и городского коммунального хозяйства»(4;74).
2. Тактический (оперативный)
подход
(тактические методы)
предполагает осуществление оперативных мер, нацеленных на преодоление возникающих финансовых трудностей (например, путем сокращения расходов, закрытия отдельных функциональных подразделений, сокращения персонала, ограничения производства и сбыта), на совершенствование управления в целях повышения эффективности работы хозяйствующего субъекта (например, в результате проведения активных маркетинговые исследования, высокие цены на продукцию, выявления и лучшего использования внутренних резервов, привлечения высококвалифицированных специалистов, укрепления дисциплины, модернизации производства и управления, получения кредитов). Иными словами, в процессе оперативной деятельности руководство хозяйствующего субъекта реализует его существующий потенциал в доходы и дальнейшее расширение объема производства.
Применяемые при таком подходе меры достаточно радикальны: проведение широких кампаний по стимулированию сбыта, резкое снижение цен для оживления спроса, ликвидация запасов устаревших товаров, замена устаревшего оборудования, приостановка программ повышения квалификации руководящих кадров, сокращение кадров (8;46).
При составлении стратегического плана, разработке и осуществлении тактических (оперативных) мероприятий анализируется финансовое состояние предприятия и оценивается его общий потенциал, состояние бизнеса на предприятии.
2.1. Общая оценка динамики и структуры статей бухгалтерского баланса
Чтобы охарактеризовать финансовое состояние предприятия, необходимо оценить размещение, состав и использование средств (активов), а также состояние источников их формирования (пассивов) по принадлежности (собственный или привлеченный капитал) и срокам погашения обязательств (долгосрочные и краткосрочные). Для общей оценки динамики финансового состояния предприятия статьи баланса объединяют в отдельные специфические группы по признаку ликвидности (статьи актива) и срочности обязательств (статьи пассива). Таким образом получают агрегированный баланс (табл. 1).
Под ликвидностью активов предприятия понимают способность их превращения в денежную форму
.
Чтение баланса по систематизированным группам агрегированного баланса ведется с использованием методов горизонтального и вертикального анализа.
Таблица 1 СИСТЕМАТИЗИРОВАННЫЕ ГРУППЫ АГРЕГИРОВАННОГО БАЛАНСА
| Актив |
Пассив |
| Имущество
|
Источники имущества
|
| 1.1. Иммобилизованные активы |
1.1 Собственный капитал |
| 1.2. Мобильные, оборотные активы, в т. ч.: |
1.2. Заемный капитал, в т. ч.: |
| 1.2.1. Запасы без товаров отгруженных, долгосрочная дебиторская задолженность |
1.2.1. Долгосрочные обязательства |
| 1.2.2. Краткосрочная дебиторская задолженность, товары отгруженные, активные краткосрочные займы (предоставленные организациям) |
1.2.2. Краткосрочные кредиты и займы |
| 1.2.3. Денежные средства и ценные бумаги |
1.2.3. Кредиторская задолженность |
Горизонтальный анализ
— это динамический анализ показателей. Он позволяет установить их абсолютные приращения и темпы роста.
Вертикальный анализ
— это структурный анализ актива и пассива баланса. Структура (состав) в экономическом анализе измеряется количественно, как соотношение частей, выражаемое их удельными весами в общем объеме изучаемой совокупности. Измеряется в долях единицы или в процентах.
При оценке финансового состояния предприятия используются следующие понятия:
- общая стоимость имущества предприятия равна валюте баланса;
- стоимость иммобилизованных активов (т. е. основных и прочих внеоборотных средств) равна сумме итога раздела I актива баланса;
- стоимость оборотных (мобильных) средств равна итогу раздела II актива баланса;
- стоимость материальных оборотных средств составляет общую сумму запасов в составе оборотных активов баланса;
- величина дебиторской задолженности и краткосрочных активных займов (займов, предоставленных организациям на срок менее 12 месяцев) равна строкам 230, 240; 251 баланса;
- сумма свободных денежных средств в широком смысле слова включает сумму денег в кассе и на счетах предприятия, ценные бумаги и прочие краткосрочные финансовые вложения. Она равна сумме строк 252; 253 и 260 по балансу;
- стоимость собственного капитала равна разделу III пассива баланса в сумме с задолженностью участникам (учредителям) по выплате доходов, доходами будущих периодов, резервами предстоящих расходов раздела V пассива;
- величина заемного капитала равна сумме разделов IV и V пассива баланса за минусом задолженности участникам (учредителям) по выплате доходов, доходов будущих периодов и резервов предстоящих расходов;
- величина долгосрочных кредитов и займов, предназначенных в большей степени, как правило, для формирования основных средств и других внеоборотных активов, равна итогу раздела IV пассива баланса;
- величина краткосрочных кредитов и займов, предназначенных, как правило, для формирования оборотных активов, равна сумме займов и кредитов по стр. 610 раздела V пассива баланса;
- величина кредиторской задолженности (расчеты) и прочие пассивы отражены по строке 620 и 660 в разделе V пассива баланса.
Следует иметь в виду, что статьи “Задолженность участникам (учредителям) по выплате доходов”, “Доходы будущих периодов”, “Резервы предстоящих расходов” раздела V пассива баланса отражают внутреннюю задолженность предприятия, т. е. приравниваются к собственным средствам, поэтому при анализе их суммы следует прибавлять к собственному капиталу.
Чтобы анализ был более точным, на основе данных бухгалтерского учета (в том числе аналитического) из раздела II актива баланса следует выделить расходы, не перекрытые средствами специальных фондов и целевого финансирования по данным отчета об изменениях капитала (форма № 3) и отчета о целевом использовании полученных средств (форма № 6), означающие иммобилизацию оборотных активов, а из обязательств пассива баланса — неплатежи, а именно обязательства, не погашенные в срок, платежные требования поставщиков, не оплаченные в срок, недоимки в бюджет и пр., отраженные в приложениях к бухгалтерскому балансу (раздел 1; 2 формы № 5).
Непосредственно из аналитического баланса можно получить ряд важнейших характеристик финансового состояния предприятия. Приведенные в таблицах показатели сравнивают в динамике, оценивают их изменения. Подобные таблицы могут быть составлены за ряд лет для определения тенденций изменения с использованием динамических показателей (абсолютное изменение, темп роста, темп прироста, среднее приращение и др.). На основе составленного динамического ряда строят графики, определяют функции, описывающие поведение той или иной статьи баланса, возможен корреляционно-регрессионный анализ сопоставления изменений показателей, нужных для принятия управленческих решений.
Таблица 2 АНАЛИТИЧЕСКАЯ ГРУППИРОВКА И АНАЛИЗ СТАТЕЙ АКТИВА БАЛАНСА
| Актив баланса |
На начало периода |
На конец периода |
Абсолютное отклонение, тыс. руб. |
Темп роста, % |
| тыс. руб. |
% к итогу |
тыс. руб. |
% к итогу |
| Имущество — всего |
| Иммобилизованные активы |
| Оборотные активы |
| Запасы без товаров отгруженных и долгосрочная дебиторская задолженность |
| Краткосрочная дебиторская задолженность, товары отгруженные, краткосрочные предоставленные организациям (активные) займы |
| Денежные средства |
Признаками общей положительной оценки динамики и структуры баланса являются:
- рост собственного капитала;
- отсутствие резких изменений в отдельных статьях баланса;
- соответствие (равновесие) размеров дебиторской и кредиторской задолженностей;
- отсутствие в балансе убытков, просроченной задолженности банкам, бюджету, приведенных в приложениях к бухгалтерскому балансу (раздел 1; 2 и в справке к разделу 2 формы № 5).
Таблица 3 АНАЛИТИЧЕСКАЯ ГРУППИРОВКА И АНАЛИЗ СТАТЕЙ ПАССИВА БАЛАНСА
| Пассив баланса |
На начало периода |
На конец периода |
Абсолютное отклонение, тыс. руб. |
Темп роста, % |
| тыс. руб. |
% к итогу |
тыс. руб. |
% к итогу |
| Источники имущества — всего |
| Собственный капитал |
| Заемный капитал |
| Долгосрочные обязательства |
| Краткосрочные кредиты и займы |
| Кредиторская задолженность |
Таблица 4 ОТЧЕТ О ПРИБЫЛЯХ И УБЫТКАХ (выдержки из отчета)
| Наименование показателя |
Код строки |
За отчетный период |
За аналогичный период прошлого года |
| I. Доходы и расходы по обычным видам деятельности |
| Выручка (нетто) от продажи товаров, продукции, работ, услуг (за минусом НДС, акцизов и аналогичных обязательных платежей) |
010 |
| Себестоимость проданных товаров, продукции, работ, услуг |
020 |
| Валовая прибыль |
029 |
| Коммерческие расходы |
030 |
| Управленческие расходы |
040 |
Прибыль (убыток) от продаж
(строки (010–020–030–040))
|
050 |
| Проценты к получению |
060 |
| Проценты к уплате |
070 |
| Доходы от участия в других организациях |
080 |
| Прочие операционные доходы |
090 |
| Прочие операционные расходы |
100 |
| III. Внереализационные доходы и расходы |
| Внереализационные доходы |
120 |
| Внереализационные расходы |
130 |
Прибыль (убыток) до налогообложения
(строки (050+060–070+080+090–100+120–130))
|
140 |
| Налог на прибыль и иные аналогичные обязательные платежи |
150 |
Прибыль (убыток) от обычной деятельности
(строки (140–150))
|
160 |
| IV. Чрезвычайные доходы и расходы |
| Чрезвычайные доходы |
170 |
| Чрезвычайные расходы |
180 |
| Чистая прибыль (нераспределенная прибыль (убыток) отчетного периода) (строки (160+170–180)) |
190 |
2.2. Анализ финансовой устойчивости
Финансовая устойчивость — это определенное состояние счетов предприятия, гарантирующее его постоянную платежеспособность. Знание предельных границ изменения источников средств для покрытия вложений капитала в основные фонды или производственные запасы позволяет генерировать такие направления хозяйственных операций, которые ведут к улучшению финансового состояния предприятия, к повышению его устойчивости.
Балансовая модель финансовой устойчивости имеет следующий вид:
F + Z + Ra
= ИС
+ КТ
+ Кt
+ Rp
+ KO
, (1)
где условные обозначения имеют тот же смысл, что и в табл. 5, т.е.:
F
— основной капитал (итог раздела I актива баланса);
Z
— запасы. Для обеспечения равенства валюты агрегированного баланса к этому разделу можно отнести и НДС по приобретенным ценностям. Желательно запасы уменьшить на стоимость товаров отгруженных и прибавить товары отгруженные к Ra
, так как по степени ликвидности они более соответствуют дебиторской задолженности;
Ra
— расчеты (дебиторская задолженность), товары отгруженные, денежные средства, краткосрочные финансовые вложения и прочие активы (раздела II актива баланса);
Z+Ra
= O —
оборотные активы (итог раздела II актива баланса).
ИС
— источники собственных средств (итог раздела III пассива баланса и статьи: “Задолженность участникам (учредителям) по выплате доходов”, “Доходы будущих периодов”, “Резервы предстоящих расходов” раздела V пассива баланса);
KT
— долгосрочные кредиты и заемные средства (итог раздела IV пассива баланса);
Kt
— краткосрочные кредиты и заемные средства (стр. 610 раздела V пассива баланса);
KO
—
обязательства, не погашенные в срок (данные из разделов 1; 2 и справки к разделу 2 формы 5). Следует иметь в виду, что эти обязательства включены в состав пассива баланса при подсчете итога, но не выделены в нем;
Rp
—
расчеты (кредиторская задолженность) и прочие пассивы (стр. 620 и строка 660 раздела V пассива баланса).
Перед началом деятельности организациям прежде необходимо приобрести основные средства (здания, оборудование и др.) и прочие внеоборотные активы, и лишь в процессе их использования будут потребляться запасы и другие оборотные активы. Поэтому собственный капитал, долгосрочные кредиты и займы направляются, в первую очередь, на приобретение основных средств, на капитальные вложения. Исходя из этого условия, преобразуем исходную балансовую формулу:
Z+Rа
= (ИС
+ КТ
) — F + Кt
+ Rp
+ KO
.
(2)
В оценке финансового состояния используют также показатель стоимости чистых мобильных средств, определяемый как разность между оборотными активами и краткосрочной задолженностью. В соответствии с преобразованной балансовой моделью (2) чистые мобильные средства Z+Rа
— (Кt
+ KO
+ Rp
)
приближенно равны значению собственных и долгосрочных заемных источников формирования запасов (ET
):
Z+Rа
— (Кt
+ Rp
+ KO
) = (ИС
+ КТ
) — F.
Собственный капитал и долгосрочные обязательства могут использоваться организацией длительное время, так как они не требуют срочного погашения. Поэтому их сумму (ИС
+ КТ
)
называют постоянным (перманентным) капиталом.
Следовательно, для обеспечения устойчивости необходимо, чтобы после покрытия внеоборотных активов перманентным (постоянным) капиталом (И
С
+ К
Т
) — F
собственных источников и долгосрочных обязательств должно быть достаточно для покрытия запасов:
Z (ИС
+ КТ
) — F. (3)
Таблица 5 БАЛАНС ПРЕДПРИЯТИЯ (в агрегированном виде)
| Актив |
Условные обозначения |
Пассив |
Условные обозначения |
| 1. Основной капитал |
F
|
4. Источники собственных средств |
ИС
|
| 2. Запасы |
Z
|
5. Кредиты и другие заемные средства,в том числе: |
K
|
| 3. Расчеты, денежные средства и прочие активы, в том числе: |
Ra
|
долгосрочные кредиты и заемные средства |
KT
|
| расчеты и прочие активы (дебиторская задолженность, займы, предоставленные организациям на срок менее 12 месяцев) |
ra
|
краткосрочные кредиты и заемные средства |
Kt
|
| денежные средства, ценные бумаги и прочие краткосрочные финансовые вложения |
Д
|
расчеты и прочие пассивы |
Rp
|
| обязательства организации, не погашенные в срок |
KO
|
| Баланс |
B
|
Баланс |
B
|
Денежных средств, краткосрочных финансовых вложений и активных расчетов достаточно для покрытия краткосрочной задолженности предприятия (К
t
+ R
p
+ K
O
), т. е. при условии ограничения запасов Z
величиной (И
С
+ К
Т
) — F
будет выполняться условие платежеспособности предприятия, вытекающее из выражения (2):
Rа
Кt
+ Rp
+ KO
.
Выражение (3) оценки финансовой устойчивости связано с общим условием устойчивости:
Z + F ИС
+ КТ
,
которое означает, что вложения в основной капитал и материальные запасы не должны превышать величины перманентного капитала.
Таблица 6 КЛАССИФИКАЦИЯ ТИПОВ ФИНАНСОВОЙ УСТОЙЧИВОСТИ ДЛЯ УСЛОВИЯ 
| Устойчивость |
Текущая |
В краткосрочной перспективе |
В долгосрочной перспективе |
| 1. Абсолютная |
 |
 |
 |
| 2. Нормальная |
Ra
K0
+ RP
|
Ra
K0
+ RP
+ Kt
|
Ra
K0
+ RP
+ Kt
+ KT
|
| 3. Предкризисная (минимальная устойчивость) |
Ra
+ Z K0
+ RP
|
Ra
+ Z K0
+ RP
+Kt
|
Ra
+ Z
K0
+ RP
+Kt
+ KT
|
| 4. Кризисная |
Ra
+ Z K0
+ RP
|
Ra
+ Z K0
+ RP
+ Kt
|
Ra
+ Z
K0
+ RP
+ Kt
+ KT
|
В общем, соотношение стоимости материальных оборотных средств (запасов) и величин собственных и заемных источников их формирования и определяет устойчивость финансового состояния организации. Причем обеспеченность запасов источниками формирования является сущностью финансовой устойчивости, а платежеспособность отражает ее внешнее проявление. Поэтому платежеспособность есть следствие обеспеченности, а уровень обеспеченности материальных оборотных средств источниками выступает в роли причины, обусловливая ту или иную степень платежеспособности (неплатежеспособности).
Указанная взаимосвязь используется при оценке финансовой устойчивости. Для этого существует классификация типов финансовой устойчивости (табл. 6).
Абсолютная устойчивость
встречается редко. Ее соблюдение свидетельствует о возможности немедленного погашения обязательств, но возникновение обязательств связано с потребностью в использовании средств, а не в их наличии на счетах организации. Поэтому абсолютная устойчивость представляет собой крайний тип финансовой устойчивости.
Нормальная устойчивость
гарантирует оптимальную платежеспособность, когда сроки поступлений и размеры денежных средств, финансовых вложений и ожидаемых срочных поступлений примерно соответствуют срокам погашения и размерам срочных обязательств.
Предкризисная
(минимальная устойчивость) связана с нарушением текущей платежеспособности, при котором возможно восстановление равновесия в случае пополнения источников собственных средств, увеличения собственных оборотных средств, продажи части активов для расчетов по долгам.
Кризисное финансовое состояние
возникает, когда оборотных активов предприятия оказывается недостаточно для покрытия его кредиторской задолженности и просроченных обязательств. В такой ситуации предприятие находится на грани банкротства. Для восстановления механизма финансов необходим поиск возможностей и принятие организационных мер по обеспечению повышения деловой активности и рентабельности работы предприятия и др. При этом требуется оптимизация структуры пассивов, обоснованное снижение запасов и затрат, не используемых в обороте или используемых недостаточно эффективно.
В анализе устойчивости также рассматривают обеспеченность запасов источниками. Для характеристики источников формирования запасов используют ряд показателей, отражающих различную степень охвата различных видов источников.
Наличие собственных оборотных средств определяется выражением:
EС
= ИС
-F.
Наличие собственных и долгосрочных заемных источников формирования оборотных средств:
ET
= (ИС
+ KT
)-F = E
С
+ KT
.
Общая величина основных источников формирования оборотных средств:
E = (ИС
+ KT
+ Kt
)-F = ET
+ Kt
.
Трем показателям наличия источников формирования оборотных средств соответствуют три показателя обеспеченности запасов источниками формирования:
Излишек (+) или недостаток (–) собственных источников формирования запасов:
EС
= EС
-Z.
Излишек (+) или недостаток (–) собственных и долгосрочных источников формирования запасов:
ET
= ET
-Z = (E
С
+ KT
)-Z.
Следовательно, для оплаты имеющихся запасов организации привлечены не только собственный капитал и долгосрочные кредиты и займы, но и краткосрочные обязательства.
Излишек (+) или недостаток (–) общей величины основных источников формирования запасов:
E = E -Z = (EС
+ KT
+ Kt
)-Z.
На этой же основе рассчитывают три коэффициента финансовой устойчивости.
Коэффициент обеспеченности запасов собственными источниками формирования средств:
;
Предельное нижнее ограничение по данному коэффициенту:
=0,6-0,8.
Коэффициент обеспеченности запасов собственными и долгосрочными заемными источниками средств:
;
Исходя из условия финансовой устойчивости, согласно которому размер собственных источников и долгосрочных обязательств должен быть достаточен для покрытия запасов, нормальным для данного коэффициента считается ограничение:
=1.
Коэффициент обеспеченности запасов собственными, долгосрочными и краткосрочными заемными источниками.
Этот коэффициент наиболее востребован при условии недостаточности собственного капитала и долгосрочных обязательств для покрытия запасов, т. е. при значении <1. Он отражает степень покрытия запасов всеми основными источниками их формирования.
Важной характеристикой устойчивости финансового положения предприятия, его независимости от заемных источников является также коэффициент автономии, равный доле источников собственных средств в общем итоге баланса.
Его нормальное ограничение:
= 0,5
означает, что все обязательства предприятия могут быть покрыты его собственными средствами. Рост коэффициента автономии свидетельствует об увеличении финансовой независимости предприятия, снижении вероятности финансовых затруднений (финансового риска) в будущих периодах. Такая тенденция, с точки зрения кредиторов, повышает гарантированность выполнения предприятием своих обязательств.
Коэффициент соотношения заемных и собственных средств (К
З/С
) равен отношению величины обязательств предприятия к величине его собственных средств. Его еще называют коэффициентом гиринга
.
Значение коэффициента К
З/С
можно также определить следующим выражением:
.
Из приведенных выше зависимостей следует, что нормальное ограничение для коэффициента зависимости (гиринга):
Превышение единицы в значении коэффициента гиринга означает, что для бизнеса заемный капитал у организации является главным источником финансирования. Высокий гиринг свидетельствует о высоком риске.
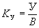
Коэффициент соотношения мобильных и иммобилизованных средств (К
М/И
) вычисляется делением оборотных активов (раздел II актива баланса) на иммобилизованные активы (раздел I актива).
При наличии в разделе II актива баланса иммобилизации оборотных средств его итог (в числителе) уменьшается на ее величину, а знаменатель показателя (иммобилизованные средства) увеличивается, так как отвлечение мобильных средств из оборота снижает реальное наличие собственных оборотных средств предприятия.
Устойчивость финансового состояния характеризует также и коэффициент маневренности, равный отношению собственных оборотных средств предприятия к общей величине источников собственных средств.
.
Он показывает, какая часть собственных средств предприятия находится в мобильной форме, позволяющей относительно свободно маневрировать этими средствами. Высокие значения коэффициента маневренности положительно характеризуют финансовое состояние. При отсутствии жестко установленных ограничений по этому коэффициенту иногда рекомендуется использовать его значение в размере 0,5, как оптимальное.
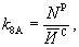
Для характеристики структуры источников средств предприятия можно использовать также частные показатели структуры отдельных групп источников. К ним относятся:
Коэффициент долгосрочного привлечения заемных средств
, равный отношению величины долгосрочных кредитов и заемных средств к сумме источников собственных средств предприятия и долгосрочных кредитов и займов:
Ккт
= Кт
/ (Ис
+ Кт
).
Данный коэффициент отражает долю задолженности предприятия в составе перманентного (постоянного) капитала. Увеличение доли задолженности свидетельствует о большей зависимости организации от внешних источников финансирования и меньшей платежеспособности.
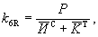
Коэффициент краткосрочной
задолженности выражает долю краткосрочных обязательств в общей сумме обязательств:
.
Он показывает, какая доля в общей сумме задолженности требует краткосрочного погашения. Увеличение коэффициента повышает зависимость организации от краткосрочных обязательств, требует увеличения ликвидности активов для обеспечения платежеспособности и финансовой устойчивости.
Коэффициент кредиторской задолженности и прочих пассивов
выражает долю кредиторской задолженности и прочих пассивов в общей сумме обязательств предприятия:
Коэффициент отражает долю наиболее срочной задолженности в общей сумме обязательств, увеличение которой означает снижение возможностей организации использовать капитал в собственном обороте и требует немедленного отчуждения доли средств, соответствующей данному коэффициенту. Рост коэффициента кредиторской задолженности и прочих пассивов в наибольшей степени влияет на снижение платежеспособности и финансовой устойчивости организации.
Анализ ликвидности баланса проводится в связи с условиями финансовых ограничений и необходимостью оценки платежеспособности (кредитоспособности) организации.
Ликвидность баланса определяется как степень покрытия обязательств предприятия его активами, срок превращения которых в денежную форму соответствует сроку погашения обязательств. Данный анализ заключается в сравнении средств по активу, сгруппированных по скорости их превращения в денежные средства (т.е. по степени их ликвидности) и расположенных в порядке убывания ликвидности, с обязательствами по пассиву, сгруппированными по срокам их погашения и расположенными в порядке возрастания сроков.
Платежеспособность организации предполагает способность своевременно осуществлять платежи с взаимодействующими субъектами. Платежеспособность является важнейшим условием кредитоспособности, которая означает наличие у организации предпосылок для получения кредита, способность возвратить его в срок.
В зависимости от степени ликвидности, т. е. скорости превращения в денежные средства, активы предприятия разделяются на следующие группы:
А
1) наиболее ликвидные активы — денежные средства предприятия и краткосрочные финансовые вложения без займов, предоставленных организациям (сумма строк 252; 253 и 260 раздела II актива баланса);
А
2) быстрореализуемые активы — краткосрочная дебиторская задолженность, товары отгруженные, займы, предоставленные организациям на срок менее 12 месяцев и прочие активы (стр. 240; 215; 251 и стр. 270 раздела II актива баланса).
В этой группе желательно также вычесть иммобилизацию оборотных средств, т. е. расходы, не перекрытые средствами фондов и целевого финансирования;
А
3) медленнореализуемые активы включают запасы минус товары отгруженные, минус расходы будущих периодов, плюс долгосрочная дебиторская задолженность, плюс долгосрочные финансовые вложения из раздела 1 актива баланса, уменьшенные на величину вложений в уставные фонды других организаций;
А
4) труднореализуемые активы — статьи раздела I актива баланса за исключением долгосрочных финансовых вложений, включенных в предыдущую группу. Сюда включаются и вложения в уставные фонды других предприятий, исключенных из предыдущей группы.
Пассивы баланса группируются по степени срочности их оплаты:
П
1) наиболее срочные обязательства — к ним относятся кредиторская задолженность (стр. 620 раздела V пассива баланса) и прочие краткосрочные обязательства (стр. 660), в т. ч. обязательства, не погашенные в срок, отраженные обособленно в разделах 1; 2 и в справке к разделу 2 формы № 5.
П
2) краткосрочные пассивы — краткосрочные кредиты и заемные средства (стр. 610 раздела V пассива баланса);
П
3) долгосрочные пассивы — долгосрочные кредиты и заемные средства (итог раздела IV пассива баланса);
П
4) постоянные пассивы — статьи раздела III пассива баланса.
Для сохранения баланса актива и пассива итог данной группы уменьшается на сумму расходов будущих периодов и сумму иммобилизации оборотных средств по статьям раздела II актива баланса и увеличиваются на сумму задолженности участникам (учредителям) по выплате доходов, доходов будущих периодов, резервов предстоящих расходов (стр. 630 — 650 раздела V пассива баланса).
Для определения ликвидности баланса следует сопоставить итоги приведенных групп по активу и пассиву. Баланс считается абсолютно ликвидным, если имеют место соотношения:
Если некоторые неравенства не соответствуют указанным ограничениям, ликвидность баланса в большей или меньшей степени отличается от абсолютной. Причем следует иметь в виду, что менее ликвидные активы не могут заменить более ликвидные при недостатке средств по одной группе и избытке по другой из-за невозможности погашения такими активами более срочных обязательств.
Сопоставление наиболее ликвидных средств и быстро реализуемых активов с наиболее срочными обязательствами и краткосрочными пассивами позволяет выяснить текущую ликвидность. Она свидетельствует о платежеспособности (или неплатежеспособности) предприятия на ближайшее время.
Сравнение медленно реализуемых активов с долгосрочными и среднесрочными пассивами показывает перспективную ликвидность. Перспективная ликвидность отражает прогноз платежеспособности на основе сравнения будущих поступлений и платежей.
Сопоставление итогов первой группы по активу и по пассиву, т. е. А
1 и П
1 (сроки до трех месяцев), отражает соотношение текущих платежей и поступлений.
Сравнение итогов второй группы по активу и пассиву, т. е. А
2 и П
2 (в среднем это сроки от 3-х до 6-ти месяцев), показывает тенденцию увеличения или уменьшения текущей ликвидности в недалеком будущем.
Сопоставление итогов по активу и по пассиву для третьей и четвертой групп отражает соотношение платежей и поступлений в относительно отдаленном будущем.
Соответствие степени ликвидности активов и сроков погашения обязательств в пассиве намечено ориентировочно, поэтому данная схема анализа ликвидности баланса приближенна. Однако, с точки зрения возможностей своевременного осуществления расчетов, проводимый по данной схеме анализ достаточно полно представляет финансовое состояние.
Для комплексной оценки ликвидности баланса в целом рассчитывается общий показатель ликвидности:

где
итоги соответствующих групп по активу и пассиву;
— весовые коэффициенты статей актива баланса;
i
— весовые коэффициенты статей пассива баланса.
Общий показатель ликвидности баланса отражает отношение суммы всех ликвидных средств предприятия к сумме всех платежных обязательств (как краткосрочных, так и долгосрочных и среднесрочных) при условии, что различные группы ликвидных средств и платежных обязательств входят в указанные суммы с весовыми коэффициентами, учитывающими их значимость с точки зрения сроков поступления средств и погашения обязательств. Значимость определяют по удельному весу (отношению соответствующей статьи к валюте баланса).
Данный показатель можно рассматривать в динамике, а также сравнивать балансы различных предприятий и выявлять наиболее ликвидный из них.
В анализе платежеспособности организации используются конкретные показатели. Отражая отношение суммы всех ликвидных средств к сумме всех платежных обязательств баланса, общий показатель ликвидности выражает способность предприятия осуществлять расчеты по всем видам обязательств, как по ближайшим, так и по отдаленным в целом. Но этот показатель не дает представления о возможностях организации в плане погашения именно краткосрочных обязательств, которые требуют наличия наиболее ликвидных активов в объеме, достаточном для срочных расчетов. Ведь чем короче период, в течение которого должник обязан погасить обязательства, тем большая платежеспособность требуется от должника. Поэтому для оценки степени платежеспособности используют три относительных показателя ликвидности, различающихся набором ликвидных средств, рассматриваемых в качестве покрытия краткосрочных обязательств.
Возможность наиболее раннего погашения обязательств отражает коэффициент абсолютной ликвидности (К
АЛ
). Он рассчитывается отношением величины наиболее ликвидных активов к сумме наиболее срочных обязательств и краткосрочных пассивов. Наиболее ликвидными активами, как было сказано, считают денежные средства, ценные бумаги и прочие краткосрочные финансовые вложения. Краткосрочные обязательства, как сумма наиболее срочных обязательств и краткосрочных пассивов, включают кредиторскую задолженность, в т. ч. обязательства, не погашенные в срок, платежные требования поставщиков, не оплаченные в срок; недоимки в бюджет и пр., включенные в пассив баланса и отраженные обособленно в приложениях к бухгалтерскому балансу (раздел 1; 2 и в справке к разделу 2 формы № 5 приложения к бухгалтерскому балансу), краткосрочные кредиты и заемные средства. Данный коэффициент выражается формулой:
.
Коэффициент абсолютной ликвидности показывает, какую часть краткосрочной задолженности предприятие может погасить в ближайшее время. Этот коэффициент не должен быть ниже нормальных ограничений:
KАЛ
=0,2 - 0,5.
Он характеризует платежеспособность предприятия на дату составления баланса, т. е. возможность немедленных расчетов.
Коэффициент критической ликвидности (К
КЛ
) (промежуточный коэффициент покрытия) равен отношению наиболее ликвидных активов в сумме с краткосрочной дебиторской задолженностью, займами, предоставленными организациям на срок менее 12 месяцев, и прочих активов в составе ликвидных средств за вычетом иммобилизации оборотных средств к сумме наиболее срочных обязательств и краткосрочных пассивов. К иммобилизации оборотных средств по статьям данного раздела следует относить расходы, не перекрытые средствами специальных фондов и целевого финансирования по данным отчета об изменениях капитала (форма № 3) и отчета о целевом использовании полученных средств (форма № 6).
Формула данного коэффициента имеет вид:
Коэффициент критической ликвидности отражает прогнозируемые платежные возможности предприятия при условии своевременных поступлений средств от дебиторов и заемщиков по их краткосрочной задолженности. Нижняя нормальная граница данного коэффициента соответствует ограничению:
ККЛ
= 1.
Коэффициент критической ликвидности характеризует ожидаемую платежеспособность предприятия на период, равный средней продолжительности одного оборота краткосрочной дебиторской задолженности.
Если в состав ликвидных средств, кроме отраженных в числителе предыдущих показателей, включить также долгосрочную дебиторскую задолженность и запасы за вычетом расходов будущих периодов, то их отношение к краткосрочным обязательствам составит коэффициент текущей ликвидности (К
ТЛ
) или коэффициент покрытия. Его еще называют общим коэффициентом покрытия. Он равен отношению стоимости всех оборотных (мобильных) средств организации к величине краткосрочных обязательств:
.
Коэффициент текущей ликвидности (покрытия) показывает платежные возможности организации, оцениваемые при условии не только своевременных расчетов с дебиторами и благоприятной реализации товаров, но и продажи в случае необходимости прочих элементов материальных оборотных средств. Нормальным для него считается ограничение:
КТЛ
= 2.
Коэффициент текущей ликвидности характеризует ожидаемую платежеспособность предприятия на период, равный средней продолжительности одного оборота всех мобильных средств. Он отражает степень общего покрытия всеми оборотными активами организации суммы краткосрочных обязательств.
Для оценки структуры баланса и диагностики банкротства используют коэффициент текущей ликвидности (К
ТЛ
) и коэффициент обеспеченности собственными средствами (К
О
), который рассчитывается отношением собственных оборотных средств (E
C
) к сумме всех оборотных активов (к итогу раздела II актива баланса):
.
Коэффициент обеспеченности собственными средствами характеризует наличие собственных оборотных средств у организации, необходимых для ее финансовой устойчивости. Нормальное ограничение данного коэффициента определяется выражением:
КО
= 0.1
Структура баланса считается удовлетворительной, когда оба из коэффициентов (коэффициент текущей ликвидности (К
ТЛ
) и коэффициент обеспеченности собственными средствами (К
О
)) удовлетворяют нормальным ограничениям. Если хотя бы один из этих коэффициентов не удовлетворяет установленным ограничениям, структура баланса считается неудовлетворительной.
При удовлетворительной структуре баланса
для проверки устойчивости финансового положения (не утратит ли организация платежеспособности) рассчитывают коэффициент утраты платежеспособности на срок 3 месяца. Если значение коэффициента утраты платежеспособности менее 1, может быть принято решение об утрате платежеспособности, т. е. о том, что в ближайшем будущем предприятие не сможет выполнить свои обязательства перед кредиторами. Ввиду реальной угрозы утраты платежеспособности данная организация становится на учет в органах Федеральной службы России по делам о несостоятельности и финансовому оздоровлению.
При неудовлетворительной структуре
определяют возможность восстановления платежеспособности. Для этого рассчитывают коэффициент восстановления платежеспособности на период 6 месяцев. Если значение коэффициента восстановления окажется выше единицы, предприятие имеет возможность восстановить свою платежеспособность за этот период.
Коэффициент восстановления (утраты) платежеспособности рассчитывается по формуле:
где
KТЛК
—
значение коэффициента текущей ликвидности на конец отчетного периода,
K
ТЛН
- значение коэффициента текущей ликвидности на начало отчетного периода,
T
— продолжительность отчетного периода в месяцах,
Y
— период восстановления (утраты) платежеспособности.
При расчете коэффициента восстановления платежеспособности Y
= 6 месяцам.
При расчете коэффициента утраты платежеспособности Y
= 3 месяцам.
В анализе данных годовой отчетности продолжительность (T
) принимается равной 12 месяцам, для первого квартала — 3 месяцам и т. д.
Приведенные расчеты используются для финансовой оценки и не имеют обязательных юридических последствий.
Решение о несостоятельности (банкротстве) предприятий принимается:
- в добровольном порядке самой организацией;
- по заключению арбитражного суда;
- Федеральной службой России по делам о несостоятельности и финансовому оздоровлению.
Методом, позволяющим заблаговременно выявлять и предотвращать возможность возникновения банкротства, является анализ финансовых потоков
. Он позволяет решать задачи анализа оптимальности сроков и объемов заемных средств, оценки целесообразности привлечения кредита.
В анализе финансовых потоков рассматриваются 4 группы показателей:
- поступления;
- расходы (или “платежи”);
- их разница (“сальдо”, “баланс”);
- наличие сальдо (“сальдо нарастающим итогом”, “аккумулированное сальдо”…), соответствующее наличию средств на счете.
Возникновение отрицательного сальдо по четвертому показателю означает появление непокрытых долгов. При отсутствии средств для их оплаты и востребовании этих долгов кредиторами через суд банкротство становится наиболее вероятным. Таким образом, возникновение отрицательного сальдо последнего показателя — первый признак повышенной вероятности банкротства.
Второй признак повышенной вероятности банкротства связан с возможностью попадания даже процветающей фирмы в так называемую “кредитную ловушку”. Такое случается, когда объем привлекаемых заемных средств примерно равен или меньше возвращаемых заемных средств. Это означает, что привлекаемые заемные средства не используются для развития организации. При этом плата за них увеличивает расходы, снижает эффективность, образует тенденцию уменьшения собственных средств, и в итоге приводит к убыточной работе и банкротству.
При простоте расчетов, наглядности получаемых результатов, достаточной их информативности для принятия управленческих решений анализ финансовых потоков имеет существенные недостатки. Трудно запланировать:
- объем поступлений денежных средств с необходимой степенью точности,
- объем предстоящих выплат на длительную перспективу,
- а также необходимые данные аналитического учета на предприятии.
Вместе с тем, финансовый план, включающий наличие ликвидных средств, запланированные их поступления и выбытия, является важным инструментом оценки финансовой состоятельности.
Для анализа денежных потоков в условиях неопределенности и риска может эффективно использоваться имитационное моделирование.
При проведении диагностики банкротства руководители предприятий могут привлекать экспертов, аудиторов, консультантов. Аудиторские и консалтинговые фирмы, занимающиеся аналитическими обзорами, прогнозированием и консультированием, используют для своих аналитических оценок системы критериев.
Комитетом по обобщению практики аудирования в Великобритании разработаны рекомендации, содержащие перечень критических показателей для оценки возможного банкротства организации. Эти показатели разделяют на две группы.
В первую группу включают критерии и показатели, неблагоприятные текущие значения которых или складывающаяся динамика свидетельствуют о возможных в обозримом будущем значительных финансовых затруднениях или банкротстве. К ним относят:
- повторяющиеся существенные потери в основной деятельности;
- превышение некоторого критического уровня просроченных обязательств;
- чрезмерное использование краткосрочных заемных средств в качестве источников финансирования долгосрочных вложений;
- устойчиво низкие значения коэффициентов ликвидности;
- хроническая нехватка оборотных средств;
- устойчиво увеличивающаяся до опасных пределов доля заемных средств в общей сумме источников средств;
- неправильная реинвестиционная политика;
- хроническое невыполнение обязательств перед инвесторами, кредиторами и акционерами (в отношении своевременности возврата ссуд, выплаты процентов и дивидендов);
- высокий удельный вес дебиторской задолженности;
- наличие сверхнормативных и залежавшихся товаров и запасов;
- ухудшение отношений с учреждениями банковской системы; вынужденное использование новых источников финансовых ресурсов на относительно невыгодных условиях;
- применение в производственном процессе оборудования с истекшими сроками эксплуатации;
- потенциальные потери долгосрочных контрактов;
- неблагоприятные изменения в портфеле заказов
.
Критические значения этих критериев имеют существенные отличия в различных организациях. Поэтому они разрабатываются руководством для отдельной организации после накопления определенных данных за ряд периодов.
Ко второй группе относят критерии и показатели, неблагоприятные значения которых не дают основания рассматривать текущее финансовое состояние как критическое, но при определенных условиях или непринятии соответствующих мер ситуация может резко ухудшиться. В число таких критериев и показателей входят:
- потери ключевых сотрудников аппарата управления;
- вынужденные остановки, а также нарушения ритмичности производственно-технического процесса;
- чрезмерная зависимость организации от какого-либо одного проекта, типа оборудования, вида актива;
- излишняя ставка на успешность и прибыльность нового проекта;
- участие в судебных разбирательствах организации с непредсказуемым исходом;
- потеря ключевых контрагентов;
- недооценка необходимости постоянного технического и технологического обновления организации;
- неэффективные долгосрочные соглашения;
- политический риск, связанный с организацией в целом или его ключевыми подразделениями.
Основными достоинствами этих рекомендаций является системность, комплексный подход к пониманию финансового состояния предприятия с точки зрения возможного банкротства. Они могут применяться любыми предприятиями любой отрасли без существенных корректировок.
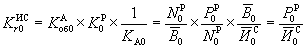
При анализе убыточных организаций в процессе проведения мероприятий по достижению прибыли следует определять, какая часть иммобилизованных активов может быть покрыта собственным капиталом с помощью коэффициента погашения иммобилизованных активов собственными источниками средств. Этот коэффициент следует определять отношением величины собственного капитала (итог раздела III пассива бухгалтерского баланса в сумме с задолженностью участникам (учредителям) по выплате доходов, доходами будущих периодов и резервами предстоящих расходов, отраженных в разделе V пассива) к величине иммобилизованных активов агрегированного баланса:
.
Часть стоимости иммобилизованных активов, сопоставляемую с заемным капиталом, следует определить на основе коэффициента покрытия иммобилизованных активов заемными источниками:
.
Сравнивая приведенные коэффициенты в динамике, можно судить о том, возрастает или уменьшается доля собственных или заемных источников, направляемых на покрытие убытка.
Для оценки изменения убыточности в этом случае также можно использовать коэффициенты убыточности всего капитала (как отношение размера убытков (стр. 465 + стр. 475 раздела III пассива баланса) к валюте (общему итогу) баланса (включая иммобилизованные активы):
,
где Y
— сумма непокрытого в отчетном периоде убытка отчетного и прошлого периодов.
Если коэффициент убыточности в динамике сокращается, а доля собственного капитала в стоимости иммобилизованных активов (коэффициент погашения иммобилизованных активов собственными источниками средств) увеличивается, можно говорить о наметившейся тенденции выхода предприятия из кризиса, и наоборот.
В практике анализа финансовых прогнозов требуется наиболее ранняя диагностика или прогнозирование возможности банкротства организации. Анализ прогнозов позволяет на более раннем этапе предвидеть перспективы, своевременно корректировать бизнес-планы и принимать решения, влияющие на тактические и стратегические задачи развития.
Наиболее распространенными в практике прогнозирования возможного банкротства являются предложенные американским профессором Э. Альтманом Z
- модели.
Простейшей из них является двухфакторная модель. Для нее выбираются два показателя, от которых, по мнению Э. Альтмана, зависит вероятность банкротства. В их числе коэффициент текущей ликвидности (рассмотренный ранее) и коэффициент финансовой зависимости. В результате статистического анализа западной практики были установлены весовые коэффициенты, характеризующие значимость каждого из этих факторов.
Для США данная модель выражается зависимостью:
Z = -0.3877 — 1.0736KТЛ
+ 0.0579KФЗ
.
Если Z
= 0, вероятность банкротства равна 50%.
Если Z
<0, вероятность банкротства меньше 50% и далее снижается по мере уменьшения Z
.
Если Z
>0, вероятность банкротства больше 50% и возрастает с ростом Z
.
Коэффициент финансовой зависимости равен отношению заемных средств к общей стоимости капитала (валюте баланса):
.
Условия функционирования российских предприятий нередко отличаются от американских. Поэтому механический перенос весовых коэффициентов Альтмана в расчетах вероятности банкротства отечественных предприятий не всегда обеспечивает достаточную точность прогноза.
Достоинством двухфакторной модели является ее простота, а также возможность применения в условиях ограниченного объема информации. Однако данная модель менее точна в прогнозировании, так как не учитывает влияние других важных показателей (рентабельность, отдачу активов, деловую активность предприятия).
Существуют также многофакторные модели Э. Альтмана. В 1968 году на основе пяти показателей, от которых в наибольшей степени зависит вероятность банкротства, и их весовых коэффициентов была предложения пятифакторная модель прогнозирования:
Z = 1.2KОБ
+ 1.4KНП
+ 3.3KПДН
+ 0.6KСК
+ 1.0KОА
,
где K
ОБ
— отношение оборотных активов к общей сумме активов;
K
НП
— отношение суммы чистой прибыли (нераспределенной прибыли) или непокрытого убытка, взятого с отрицательным знаком, к общей сумме активов;
K
ПДН
— отношение прибыли до налогообложения к общей сумме активов;
K
СК
- отношение рыночной стоимости собственного капитала предприятия (суммарной рыночной стоимости акций предприятия) к балансовой стоимости заемных средств;
K
ОА
— оборачиваемость всего капитала как отношение выручки к общей сумме активов.
Если Z
принимает значение ниже 1,8 — вероятность банкротства очень высокая.
Если Z = 1.81- 2.7
— вероятность высокая.
Если Z
= 2.8- 2.99
— вероятность невелика;
Если Z
>3
— вероятность очень низкая, т. е. организация работает стабильно.
Для компаний, акции которых не котируются на бирже, Альтман предложил модифицированный вариант формулы прогнозирования:
Z = 0.717KОБ
+ 0.847KНП
+ 3.10KПДН
+ 0.42KСК
+ 0.995KОА
.
В этой формуле коэффициент KСК
характеризует балансовую, а не рыночную стоимость акций или отношение балансовой стоимости собственного капитала предприятия к балансовой стоимости заемных средств. Пограничное значение Z
при этом равно 1.23.
Механический перенос американской практики в условия российской экономики может привести к значительным отклонениям в расчетах от реальных условий. Поэтому модели Альтмана не всегда обеспечивают достаточную точность анализа вероятности банкротства. Их нужно сопоставлять с ранее рассчитанными показателями финансового состояния организации (ликвидностью баланса, коэффициентами ликвидности, коэффициентом восстановления (утраты) платежеспособности, типом финансовой устойчивости, коэффициентами обеспеченности оборотных активов, коэффициентом автономии и др. И при отсутствии явных противоречий считать коэффициенты Альтмана пригодными для рассматриваемой ситуации для обобщенного финансового анализа по совокупности рассмотренных показателей.
Российскими учеными модифицированы модели прогнозирования банкротства с их адаптацией к отечественным условиям. Модель показателя риска банкротства, полученная иркутскими учеными при исследовании предприятий торговли Иркутской области, имеет следующий вид:
R = 8.38K1
+ K2
+ 0.054K3
+ 0.63K4
,
где K
1
— отношение оборотного капитала к активу;
K
2
— отношение чистой прибыли к собственному капиталу;
K
3
— отношение выручки от реализации к активам;
K
4
— отношение чистой прибыли (непокрытого убытка, взятого с отрицательным знаком) к затратам.
Для оценки значений модели R
используется шкала из 5 интервалов (табл. 9).
Таблица 9 ВЕРОЯТНОСТЬ БАНКРОТСТВА ОРГАНИЗАЦИИ В ЗАВИСИМОСТИ ОТ ЗНАЧЕНИЙ R
| Значения R
|
Вероятность банкротства, % |
| Меньше 0 |
Максимальная (90 — 100) |
| 0 — 0,18 |
Высокая (60-100) |
| 0,18 — 0,32 |
Средняя (35-50) |
| 0,32 — 0,42 |
Низкая (15-20) |
| Больше 0,42 |
Минимальная (до 10) |
Помимо рассмотренных формальных признаков вероятности потенциального банкротства, существуют различные неформальные критерии прогнозирования возможного банкротства организации. К их числу относятся:
- неудовлетворительная структура имущества организации, особенно текущих активов. Тенденция к росту в их составе труднореализуемых активов (сомнительной дебиторской задолженности, запасов с длительным периодом оборота) может привести к неспособности организации выполнять свои обязательства;
- замедление оборачиваемости средств организации (перенакопление запасов, ухудшение состояния расчетов с дебиторами);
- повышение срочности погашения краткосрочных обязательств при замедлении оборачиваемости текущих активов;
- тенденция к вытеснению в составе обязательств дешевых заемных средств (с низкими процентными ставками) дорогостоящими (с высокими ставками) и их неэффективное размещение в активах;
- наличие просроченных обязательств и увеличение их удельного веса в общей сумме обязательств организации;
- значительные суммы безнадежной к получению дебиторской задолженности, относимой на убытки;
- тенденция опережающего роста наиболее срочных обязательств в сравнении с изменением высоколиквидных активов;
- падение значений коэффициентов ликвидности;
- нерациональная структура привлечения и размещения средств, формирование долгосрочных активов за счет краткосрочных источников средств;
- убытки, отражаемые в балансе.
Деловая активность организации характеризуется широтой рынков сбыта продукции, включая наличие поставок на экспорт; репутацией
организации, выражающейся, в частности, в известности клиентов, пользующихся услугами организации, и др.; степенью выполнения плановых показателей, обеспечения заданных темпов их роста (снижения); уровнем эффективности использования ресурсов организации. В широком смысле деловая активность оценивается данными о динамике важнейших экономических и финансовых показателей работы организации за ряд лет, описанием будущих капиталовложений, осуществляемых экономических мероприятий, природоохранных мероприятий и другой информацией о деятельности организации, интересующей возможных пользователей бухгалтерской отчетности и включаемой в пояснительную записку к бухгалтерской отчетности.
Деловая активность организации в финансовом аспекте проявляется в оборачиваемости ее средств и их источников. Поэтому финансовый анализ деловой активности заключается в исследовании динамики показателей оборачиваемости. Эффективность работы организаций характеризуется оборачиваемостью и рентабельностью продаж, средств и источников их образования. Поэтому показатели деловой активности, измеряющие оборачиваемость капитала, относятся к показателям эффективности бизнеса.
Общая формула оборачиваемости имеет следующий вид:
Оборачиваемость средств или их источников = Выручка от продаж / Средняя за период величина средств или их источников
При определении оборачиваемости отдельных составляющих капитала в знаменатель формулы оборачиваемости подставляют среднюю стоимость соответствующих средств или их источников. Такие отношения показывают скорость обращения анализируемых элементов средств или их источников, и выражаются числом оборотов. Увеличение скорости обращения (числа оборотов) свидетельствует о повышении оборачиваемости и деловой активности организации.
Кроме скорости оборота, оборачиваемость капитала измеряют временем обращения или длительностью оборота и выражают в днях оборота. Общая формула времени обращения имеет вид:
Время обращения средств или их источников = Средняя за период величина средств или их источников / Выручка от продаж * Число дней в периоде
Для измерения тех или иных составляющих капитала в формулу времени обращения подставляют среднюю за период стоимость соответствующих средств или их источников. Увеличение времени обращения свидетельствует о снижении оборачиваемости.
Средние величины используемых при расчете оборачиваемости показателей исчисляются по средней хронологической моментного ряда, рассчитываемой по числу месяцев в отчетном году (квартале, полугодии). При расчете оборачиваемости капитала по двум членам динамического ряда в анализируемом периоде их средние значения рассчитывают по средней арифметической (например, сумму остатков на начало и на конец периода делят на два).
Итак, оборачиваемость составляющих капитала определяют с помощью определенного набора соответствующих показателей.
Коэффициент общей оборачиваемости капитала:
k1A
= NР
/ ,
где NР
— выручка от реализации;
– средний за период итог баланса.
Данный коэффициент отражает скорость оборота (в количестве оборотов за период) всего капитала предприятия. Рост k1А
свидетельствует обускорении кругооборота средств предприятия и о более эффективном их использовании.
Коэффициент оборачиваемости мобильных (оборотных) средств еще называют скоростью обращения оборотного капитала. Этот коэффициент характеризуется количеством оборотов и рассчитывается по формуле:
где — средняя за период величина запасов по балансу (стр. 210 раздела II актива баланса);
— средняя за период величина денежных средств, расчетов и прочих активов;
- средняя за период стоимость оборотных активов (итог по разделу II актива баланса).
Этот коэффициент показывает скорость оборота всех мобильных средств предприятия. Его рост характеризуется положительно, если сочетается с ростом коэффициента оборачиваемости готовой продукции (товаров в торговле) k4A
, и отрицательно, если k4A
уменьшается, так как при этом оборачиваемость оборотных средств ускоряется при одновременном затоваривании.
Время обращения оборотных средств определяется выражением:
(дней оборота),
где — средняя за период величина оборотных средств;
Т
— число дней в рассматриваемом периоде;
NР
— товарооборот за рассматриваемый период.
Показатель времени обращения отражает число дней, в течение которых оборотные средства совершают полный кругооборот, т. е. измеряется в днях.
Коэффициент оборачиваемости материальных оборотных средств
k3A
= NР
/ .
Он отражает число оборотов запасов предприятия за анализируемый период. Снижение коэффициента свидетельствует об относительном увеличении производственных запасов и незавершенного производства или о снижении спроса на товар (в случае уменьшения k4A
).
Оборачиваемость товарных запасов также рассчитывается по двум показателям, и характеризует этот параметр коэффициент оборачиваемости товарных запасов (в промышленности готовой продукции):
,
где – средняя за период величина товарных запасов (готовой продукции).
Коэффициент k4A
показывает скорость оборота товарных запасов (готовой продукции). Его рост означает увеличение спроса на товар предприятия, снижение — затоваривание или снижение спроса.
Время обращения товарных запасов
(дней оборота).
Увеличение времени обращения товаров приводит к иммобилизации (омертвлению) средств в товарах на период, равный числу дней замедления оборачиваемости. Сокращение времени высвобождает средства из оборота раньше на число дней ускорения.
Оборачиваемость средств в расчетах характеризует оборачиваемость дебиторской задолженности. Коэффициент оборачиваемости дебиторской задолженности:
где – средняя за период дебиторская задолженность.
Этот коэффициент показывает расширение или снижение коммерческого кредита, предоставляемого предприятием.
Время обращения дебиторской задолженности:
.
Снижение данного коэффициента свидетельствует об уменьшении срока погашения дебиторской задолженности и оценивается положительно, увеличение — наоборот.
Продолжительность операционного цикла
является обобщенной характеристикой продолжительности омертвления финансовых ресурсов в текущих активах. Он показывает, сколько дней в среднем проходит с момента вложения денежных средств в текущую торговую деятельность до момента их возврата в виде выручки на расчетный счет. Его снижение является одной из основных задач предприятия.
Вычисленные в отчетном периоде показатели оборачиваемости следует сравнивать в динамике для выявления ускорения (замедления) оборачиваемости.
Затем определяется сумма средств, дополнительно вовлеченных в оборот (отвлеченных из оборота) в результате изменения оборачиваемости оборотных средств, товарных запасов, дебиторской задолженности соответственно:
;
;
,
где нижние индексы (1) и (0) указывают на использование показателей отчетного и базисного (предшествующего) периодов соответственно.
Коэффициент оборачиваемости кредиторской задолженности

где — средняя за период кредиторская задолженность.
Коэффициент k6А
аналогично коэффициенту k5A
отражает изменение коммерческого кредита, но предоставляемого предприятию. Его рост означает увеличение скорости оплаты задолженности предприятия, снижение роста покупок, осуществляемых за счет коммерческого кредита.
Средний срок оборота кредиторской задолженности
Tоб
rр
= T / k6A
.
Он отражает средний срок возврата долгов предприятия, кроме задолженности перед банками и по прочим займам.
Отношение выручки от продаж к средней за период стоимости основного капитала называют фондоотдачей основного капитала:
k7A
= NР
/ ,
где — средняя за период величина основного капитала по балансу.
Данный коэффициент характеризует эффективность использования основного капитала. Он измеряется величиной продаж, приходящихся на единицу стоимости основного капитала.
В отличие от оборотных средств выбытие основного капитала характеризуется суммой начисленной амортизации. Поэтому Оборачиваемость (длительность оборота) основного капитала рассчитывается по отношению к сумме начисленной за анализируемый период амортизации основного капитала:
LF
= ( T) / A,
где — средняя стоимость основного капитала;
Т
— число дней периода;
A
— амортизационные отчисления основного капитала.
Данные об амортизации за отчетный период отражены в разделе 6 Приложения к бухгалтерскому балансу (форма № 5). Длительность оборота основного капитала измеряется в днях оборота и характеризует процесс обновления основного капитала. Чем больше сумма амортизации за период, тем меньше длительность оборота и тем быстрее выбывают средства из эксплуатации. В данном случае ускорение их оборачиваемости увеличивает сумму затрат за рассматриваемый период. Но с другой стороны, как показатель сокращения времени оборота и обновления объектов, ускорение оборачиваемости может свидетельствовать о совершенствовании технического оснащения предприятия. Поэтому, если сокращение времени обращения основного капитала сопровождается ростом их фондоотдачи, можно говорить об эффективном вовлечении, использовании и обновлении объектов основного капитала.
Ускорение оборачиваемости при снижении фондоотдачи объектов свидетельствует о том, что их обновление нерационально, средства используются неэффективно либо о том, что оно не соответствует требованиям или условиям данного хозяйственного процесса.
Более точные выводы по показателям оборачиваемости и фондоотдачи основного капитала можно сделать на основе данных аналитического учета о времени приобретения, сроках эксплуатации объектов. Например, степень соответствия оборудования современным требованиям по качественным характеристикам применительно к данным хозяйственным процессам оценивают на основе технической документации, исходя из условий эксплуатации основных средств.
Аналогично расчету оборачиваемости всего основного капитала можно рассчитать оборачиваемость лишь нематериальных активов. Для этого величину средств и размер амортизации в формуле длительности оборота основного капитала заменяют аналогичными показателями по нематериальным активам. Данные об амортизации нематериальных активов за отчетный период можно определить как разницу между амортизацией на конец и амортизацией на начало периода по нематериальным активам из Справки к разделу 3 Приложения к бухгалтерскому балансу (форма № 5).
Коэффициент оборачиваемости собственного капитала:
где средняя за период величина источников собственных средств предприятия по балансу.
Коэффициент показывает активность средств, которыми рискуют акционеры. Его рост означает увеличение уровня продаж, в значительной степени обеспечиваемых кредитами, и снижение доли собственных источников в общем капитале предприятия. Значительное снижение k
8A
отражает тенденцию к бездействию части собственных средств.
Рентабельность отражает степень прибыльности работы предприятия. Анализ рентабельности заключается в исследовании уровней прибыли по отношению к различным показателям и их динамики.
Рентабельность средств или их источников = Прибыль / Средняя за период величина средств или их источников
В расчете рентабельности по отдельным составляющим капитала (средствам или их источникам) могут быть использованы показатели прибыли от продаж, прибыль до налогообложения, прибыль от обычной деятельности или чистая прибыль.
Рентабельность продаж = Прибыль от продаж / Выручка от продаж
В формулах рентабельности могут использоваться различные показатели (составляющие капитала) в зависимости от интересующего направления анализа.
Рентабельность товарооборота (продаж) можно выразить в виде формулы:
где N
Р
— выручка от продаж,
P
р
— прибыль от продаж.
Этот коэффициент показывает долю прибыли, приходящуюся на 1 рубль товарооборота (реализованной продукции в промышленности). Его увеличение свидетельствует о росте эффективности производства и товарного обращения.
Коэффициент рентабельности всего капитала фирмы
где – средний за период итог баланса,
P
— прибыль от продаж, прибыль до налогообложения, прибыль от обычной деятельности или чистая прибыль.
Рентабельность всего капитала показывает эффективность использования всего имущества предприятия. Ее снижение свидетельствует о падающем спросе на товар фирмы или о перенакоплении активов.
Рентабельность основных средств и прочих внеоборотных активов:
где – средняя за период величина основных средств и прочих внеоборотных активов.
Этот коэффициент отражает эффективность использования внеоборотных активов (всего основного капитала). Его повышение положительно характеризует финансовый результат, так как он показывает величину прибыли, приходящуюся на единицу стоимости внеоборотных средств. Однако рост рентабельности внеоборотных активов при снижении рентабельности всего капитала свидетельствует об излишнем увеличении мобильных средств вследствие образования излишних запасов товарно-материальных ценностей, затоваренности в результате снижения спроса, чрезмерного роста дебиторской задолженности или не используемых с достаточной эффективностью в обороте денежных средств.
Кроме этого, можно исчислить и рентабельность производственных фондов торгового предприятия как отношение прибыли к средней стоимости основных и материальных оборотных производственных средств.
где — средняя за период величина основных производственных фондов, определяется по строке 371 (производственные основные средства) раздела 3 формы № 5 “Приложение к бухгалтерскому балансу”;

— средняя стоимость запасов (стр. 210 раздела II актива баланса).
Значительное количество торговых предприятий работают в арендуемых зданиях. В связи с этим стоимость основных средств следует определять как сумму собственных, в т. ч. сданных в аренду объектов по данным бухгалтерского баланса (форма № 1); арендованных основных средств, приводимых в справке к форме № 1 о наличии ценностей, учитываемых на забалансовых счетах (стр. 910). Данные о сдаче основных средств в аренду отражают в справке к разделу 3 формы № 5 (стр. 387).
Рентабельность собственного капитала
где 
— средняя за период величина источников собственных средств предприятия по балансу (раздел III пассива баланса в сумме с задолженностью участникам (учредителям) по выплате доходов, доходами будущих периодов и резервами предстоящих расходов (стр. 640 +стр. 650 раздела V)).
Данный коэффициент характеризует эффективность использования собственного капитала (в том числе инвестиционного, акционерного) и отражает долю прибыли в собственном капитале. Он позволяет инвесторам и акционерам определить потенциальный доход от вложения средств в ценные бумаги анализируемого предприятия, и поэтому влияет на уровень котировки акций на фондовых биржах.
На основе показателя рентабельности определяют время, в течение которого полностью окупятся вложенные в данное предприятие средства. Под временем следует понимать число рассматриваемых (отчетных) периодов, за которые рассчитывается рентабельность собственного капитала:
ТОК
= 1 / k5R
(лет, кварталов).
Рентабельность перманентного капитала
где 
— средняя за период величина долгосрочных кредитов и займов.
Этот показатель отражает эффективность использования долгосрочного (перманентного) капитала в деятельности организации (как собственного, так и заемного).
8. Факторный анализ рентабельности
Факторный анализ рентабельности предназначен для выявления и измерения факторов, воздействующих на уровень рентабельности, определения способов и резервов повышения эффективности работы организации.
Основными факторами, влияющими на показатель рентабельности, являются выручка от продаж, валовой доход, издержки, оборачиваемость капитала, степень автономии организации.
Для измерения влияния выручки, валового дохода и издержек на рентабельность представим уравнение рентабельности в развернутом виде:
; PР
= D — CC
.
где PР
—
прибыль от продаж;
NР
— выручка от продаж;
D
— валовой доход (валовая прибыль по отчету формы № 2);
CC
— издержки обращения.
Влияние указанных факторов производим методом цепных подстановок. Влияние изменения товарооборота на изменение рентабельности следует определять выражением:
По данным табл. 4 оно составит:
(12772-12709)/39795-(12772-12709)/45072 = 0,0002
В результате снижения товарооборота повышение уровня рентабельности продаж оказалось незначительным. Оно составило всего 0,02% (0,0002 100).
Расчет влияния изменения валового дохода на уровень рентабельности определяем выражением:
.
По данным табл. 4 оно составит:
Таким образом, в результате уменьшения валового дохода рентабельность снизилась на 15% (0,15 100). Руководству необходимо добиваться, чтобы товарооборот и валовой доход был не ниже их значений предшествующего периода. Для этого нужно приобретать товары для реализации в полном соответствии со структурой и объемом спроса, повышать торговую надбавку в пределах платежеспособного спроса покупателей.
После этого рассчитывают влияние изменения издержек обращения на рентабельность с помощью формулы:
.
Влияние этого фактора по данным табл. 4 равно:

То есть в результате снижения издержек обращения рентабельность увеличилась на 17% (0,17 100).
Сумма влияния факторов должна равняться общему абсолютному изменению рентабельности продаж:
KР
N
+ KР
D
+ KР
CC
= KР
.
Для предприятий промышленного производства прибыль от продаж определяется разностью между выручкой и себестоимостью проданных товаров. Следовательно, формула рентабельности для расчета влияния факторов будет иметь вид:
;
P
Р
=
N
Р
—
S
.
Тогда влияние изменения выручки на объем продаж по методу цепных подстановок будет определяться выражением:
.
А влияние изменения себестоимости проданных товаров — выражением:
.
Сумма влияния факторов должна равняться абсолютному изменению рентабельности продаж:
KР
N
+ KР
S
= KР
.
В процессе анализа можно также определить влияние факторов на рентабельность капитала организации в целом или по отдельным элементам, агрегированным группам. Для этого рентабельность имущества или отдельных его элементов выражают как произведение оборачиваемости средств или их источников соответствующей статьи (группы) и рентабельности продаж:
,
где 
— средняя за период величина средств или их источников
Влияние факторов еще можно определить методом цепных подстановок или способом разниц. Методом цепных подстановок влияние изменения оборачиваемости на рентабельность средств или их источников следует исчислять по формуле:
.
Например, влияние изменения оборачиваемости всего капитала на рентабельность всего капитала по данным табл. 2, 3 и 4 составит:
.
Предприятие допустило снижение оборачиваемости в отчетном периоде, что снизило его рентабельность незначительно, всего на 0.06% ( 100).
Влияние изменения рентабельности продаж на рентабельность капитала рассчитывается выражением:
.
Рентабельность всего капитала предприятия под влиянием этого фактора по данным табл. 2, 3 и 4 составит:

В результате увеличения рентабельности продаж рентабельность всего капитала возросла на 4,76% ( 100).
Сумма влияния факторов должна равняться абсолютному изменению рентабельности капитала данной статьи или группы:
KXО
+ KXР
= KX
.
+ = 981/19,428-63/18,155 =
= ,
что подтверждает верность расчетов.
В факторном анализе рассчитывают также влияние факторов на рентабельность собственного капитала. Для расчета влияния факторов рентабельности продаж, оборачиваемости активов и степени автономии организации на этот показатель используют выражение:
,
где - рентабельность продаж,
- коэффициент оборачиваемости активов,
K
А
— коэффициент автономии,
P
Р
— прибыль от продаж,
N
Р
— объем реализации товаров,
— средний итог баланса,
— средний размер источников собственных средств.
Влияние каждого из указанных факторов определяем методом цепных подстановок. Для этого предварительно производим пять расчетов по данным табл. 2, 3 и 4.
Следует отметить, что вместо средних значений в проведенных расчетах допустимо использование моментных величин.
.
.
.
.
.
.
.

Влияние факторов на рентабельность собственного капитала:
снижение оборачиваемости активов: II–I=-=%;
увеличение рентабельности продаж: III–II=-=%;
увеличение уровня автономии организации: IV–III=-=%.
В данной модели на рентабельность собственного капитала положительно повлияло лишь увеличение рентабельности продаж. Рентабельность уменьшилась из-за снижения деловой активности (оборачиваемости). Увеличение автономии организации уменьшает плечо финансового рычага, что тоже отрицательно сказывается на рентабельности собственного капитала.
Находим сумму влияния факторов. Она должна быть равна абсолютному изменению рентабельности собственного капитала.
Глава 3.
Стадии выхода из кризиса и механизм антикризисного
управления
3.1. Антикризисное управление до процедуры банкротства
Кризисные ситуации возникают на всех стадиях жизненного цикла предприятия. Реализация всей совокупности антикризисных процедур начинается лишь на определенном этапе жизненного цикла: в условиях резкого спада, характеризующегося, как правило, неплатежеспособностью предприятия. В то же время антикризисное управление, находящиеся за рамками процедур банкротства и призванные нейтрализовать последствия возникновения кризисных ситуаций, применяются на всех стадиях жизненного цикла компании.
Кризисное состояния российской экономики требует сосредоточения внимания на создании и внедрении в практику государственного хозяйствования таких технологий организации управления экономикой, которые позволяют сглаживать кризисные явления, улучшать состояние дел в промышленности, других отраслях реального сектора, финансах, решать социальные проблемы в российских регионах. Эти технологии должны обеспечить возможность поиска реальных источников инвестиций, в том числе, может быть, и не традиционные для современной России, и способов их привлечения.
Кризис меняет поведение предприятия, его цели и способы их достижения, Складывается специфическая экономика банкротства, при которой умение перекладывать собственные убытки на других более надежно защищает предприятие, чем само по себе снижение убытков; умение привлекать средства важнее умения их эффективно использовать. Приспособление отдельных предприятий к условиям сверхвысокой инфляции и спаду производства может закрепить негативные тенденции в экономике, тормозить выход из кризиса.
Главная особенность антикризисной стратегии, как и антикризисного управления в целом, - жесткое ограничение сроком. В одних случаях это грозящая процедура банкротства, в других - сроки внешнего управления. Чтобы уложиться в эти сроки, антикризисный управляющий должен быстро принимать решения и действовать в соответствии с ними. Ближайшая цель антикризисного управления - обеспечить рентабельность производства. Для достижения этой цели в стратегию должен быть заложен ряд частных задач: реструктуризация задолженности, сокращение издержек и т.п. Определяется «здоровая» часть предприятия, способная функционировать и приносить прибыль, остальное безжалостно отсекается. Формируются необходимые реорганизации, проводится продажа активов.
Выход из кризисной ситуации всегда существует. Другое дело, какой ценой его приходится оплачивать. Этой ценой и определяется эффективность антикризисного управления. Успешное антикризисное управление - это прежде всего грамотное управление, основанное на умении правильно применять достижения современного менеджмента.
В этом смысле оно ничем не отличается от эффективного управления фирмой в обычных условиях. Однако кризисное положение фирмы меняет акценты. То, с чем можно было бы мириться в период относительного благополучия, становится совершенно недопустимым в чрезвычайных обстоятельствах.
Выбор между ликвидацией и оздоровлением предприятия является сложной задачей, которая решается совместными усилиями управленческих служб предприятия, местными, региональными и федеральными органами власти. Если ограничиваться финансовыми аспектами проблемы, то недостаток средств предприятия и возможности его компенсирования и восполнения, с одной стороны, затраты на ликвидацию - с другой являются критериями, по которым можно решить вопрос о сохранении или ликвидации предприятия.
Выбору методов решения этой задачи предшествует анализ следующих проблем:
1. В случае если неплатежеспособность предприятия является временной и в течение короткого периода времени с возобновлением денежных поступлений может быть преодолена, кредиторы могут договориться о предоставлении фирме времени на выполнение ее обязательств.
2. Должно ли неплатежеспособное предприятие быть сохранено в силу своей особой значимости для экономики страны, для того чтобы оно продолжало функционировать, или его необходимо ликвидировать, а имущество выставить на аукцион для продажи?
В процессе оздоровления фирмы или ее ликвидации должно ли оставаться на своем месте и выполнять все функции управления прежнее руководство или должен назначаться внешний управляющий?
Собственники предприятий совместно с кредиторами могут принять меры по досудебной санации предприятия, в частности, оказать финансовую помощь предприятию-должнику для восстановления платежеспособности. Каковы размеры такой помощи, каким образом она может быть наиболее рационально предоставлена - все эти вопросы для анализа как самим предприятиям-должникам, так и аналитическими службами кредиторов, органов власти, других организаций.
Таким образом, принимается решение либо о реорганизации предприятия с целью его сохранения, либо о его ликвидации. Зарубежный опыт констатирует, что ликвидация предприятия, фирмы, корпорации должна осуществляться в том случае, если их восстановление маловероятно и продолжение его деятельности связано для кредиторов с еще большим риском или большими убытками.
Реструктуризацию в полном объеме необходимо и возможно проводить лишь при первых признаках надвигающегося кризиса (т.е. на первой, самое позднее - второй фазах), тогда как в зоне «ближнего» банкротства ни времени, ни средств уже нет.
В случае сохранения предприятия перед его менеджментом предстоит решать как минимум две основные задачи:
- восстановить платежеспособность и стабилизировать финансовое положение предприятия;
- разработать стратегию развития и провести на ее основе реструктуризацию предприятия с целью устранения причин кризиса недопущения повторения кризисных явлений в будущем.
Алгоритм выбора методов финансового оздоровления включает следующие этапы:
Первый этап - устранение внешних факторов банкротства.
На этом этапе реализуются оперативные методы восстановления платежеспособности: совершенствования платежного календаря; регулирование уровня незавершенного производства; перевод низкооборотных активов в высокооборотные; переоформление краткосрочной задолженности в долгосрочную, другие меры.
Второй этап - проведение локальных мероприятий по улучшению финансового состояния.
Цель применения данных методов финансового оздоровления заключается в обеспечении устойчивого финансового положения предприятия в среднесрочной перспективе, которое проявляется в стабильном поступлении выручки от реализации, достаточном уровне ликвидности активов, повышении рентабельности до 3-5%.
На втором этапе применяются следующие методы:
- установление путей восстановления штрафных санкций за просроченную краткосрочную задолженность;
- обеспечение достаточности финансовых ресурсов для покрытия вновь возникающих текущих обязательств;
- постепенное погашение старых долгов.
При этом оценивается возможность привлечения дополнительных внутренних источников финансирования: реализация ненужных и неиспользуемых высокооборотных активов, сокращение затрат до минимально допустимого уровня, проведение энерго- и ресурсосберегающих мероприятий.
Третий этап - создание стабильной финансовой базы.
Целью долгосрочных методов финансового оздоровления является обеспечение устойчивого финансового положения предприятия в долгосрочной перспективе - создание оптимальной структуры баланса и финансовых результатов, устойчивости финансовой системы предприятия к неблагоприятным внешним воздействиям.
Долгосрочными методами финансового оздоровления являются:
- активный маркетинг с целью поиска перспективной рыночной ниши;
- поиск стратегических инвестиций;
- смена активов под новую продукцию».[1]
Анализируя различные подходы к выводу предприятий из кризиса, З. Айвазян и В. Кириченко приходят к заключению о том, что в стабилизационную программу должен входить комплекс мероприятий, направленных на восстановление платежеспособности предприятия. Сроки ее осуществления для предприятия, находящегося в зоне «ближнего» банкротства, крайне ограничены, ведь резервных фондов у него уже, как правило, нет, а финансовые вливания извне исключены. Именно здесь начинают проявляться принципиальные отличия антикризисного управления от обычного, о которых речь шла выше. Эти отличия, в частности, заключаются в смене критериев принятия решений в условиях кризисной ситуации, в которой оказалось конкретное предприятие.
В рамках «нормального» управления их можно свести к достижению стратегических целей в долгосрочном аспекте и максимизации прибыли в краткосрочном. При переходе предприятия в кризисное состояние долгосрочный аспект теряет свою актуальность («нет будущего»), а в краткосрочном аспекте критерием становится максимизация или экономия денежных средств.
При этом максимизация денежных средств может и должна осуществляться мерами, не приемлемыми с позиций обычного управления. Антикризисное управление допускает любые потери (в том числе и будущие), ценой которых можно добиться восстановления платежеспособности предприятия сегодня. Наступление кризиса означает превышение расходования денежных средств над их поступлением в условиях отсутствия резервов покрытия.
Сущность стабилизационной программы
заключается в маневре денежными средствами для заполнения разрыва между их расходованием и поступлением. Маневр осуществляется как уже полученными и материализованными в активах предприятия средствами, так и теми, что могут быть получены, если предприятие переживет кризис.
Заполнение «кризисной ямы» может быть осуществлено и увеличением поступления денежных средств (максимизацией), и уменьшением текущей потребности в оборотных средствах (экономией). Рассмотрим мероприятия стабилизационной программы, обеспечивающие решения этой задачи.
Увеличение денежных средств
основано на переводе активов предприятия в денежную форму. Это требует решительных и нередко шокирующих обычного руководителя предприятия шагов, так как связано со значительными потерями. Потери неизбежны.
Продажа краткосрочных финансовых вложений
- наиболее простой и сам собой напрашивающийся шаг для мобилизации денежных средств. Как правило, на кризисных предприятиях он уже совершен. Еще одно замечание. В условиях фактической стагнации фондового рынка дисконт при продаже ценных бумаг бессмысленно рассчитывать - они идут по той цене, по которой их готовы купить.
Продажа дебиторской задолженности
также очевидна и предпринимается в настоящее время многими предприятиями. Специфика этой меры в рамках стабилизационной программы заключается в том, что дисконты здесь могут быть гораздо больше, чем представляется руководству кризисного предприятия. В некоторых случаях расчетный дисконт может составлять 100%, что, как и в случае с краткосрочными финансовыми вложениями, означает продажу по любой предлагаемой цене.
Продажа запасов готовой продукции
сложнее, так как, во-первых, предполагает продажу с убытками, а во-вторых, ведет к осложнениям с налоговыми органами. Однако, как уже отмечалось, суть стабилизационной программы заключается в маневре денежными средствами. Убытки в данном случае представляют собой жертвование частью полученных в прошлом денежных средств, а проблемы с уплатой налогов при такой реализации закрываются уменьшением возможных будущих поступлений.
Продажа избыточных производственных запасов.
Наличие на складе сырья А на месяц является избыточным запасом, если сырья Б осталось еще на одну неделю, а денег для его закупки нет. Поэтому для обеспечения производства необходимо реализовать часть запасов сырья А, даже по цене ниже покупной и несмотря на то, что через некоторое время его опять придется закупать, вероятно, по более высокой цене. Это еще один пример маневра прошлыми и будущими денежными средствами.
Продажа инвестиций (деинвестирование)
может выступать как остановка ведущихся инвестиционных проектов с продажей объектов незавершенного строительства и неустановленного оборудования или как ликвидация участия в других предприятия (продажа долей). Решение о деинвестировании принимается на основании анализа сроков и объемов возврата средств на вложенный капитал. При этом стратегические соображения е играют определяющей роли - если конкретный инвестиционный проект начнет давать отдачу за пределами горизонта антикризисного управления, он может быть ликвидирован. Сохранение долгосрочных инвестиционных проектов в условиях кризиса - верный путь к банкротству.
Продажа нерентабельных производств и объектов непроизводственной сферы
наиболее сложна и предполагает особый подход. Часть нерентабельных производственных объектов, как правило, входит в основную технологическую цепочку предприятия. При этом в стабилизационной программе невозможно корректно определить, какие из них имеет смысл сохранить, а какие в любом случае следует ликвидировать - это требует детального анализа, осуществимого только в рамках реструктуризации.
Для того чтобы минимизировать риск от подобного шага, необходимо ранжировать производства по степени зависимости от них технологического цикла предприятия. Ранжирование ввиду сжатых сроков осуществляется преимущественно экспертным методом, с учетом последующих правил.
В первую очередь продаже подлежать объекты непроизводственной сферы и вспомогательные производства, использующие универсальное технологическое оборудование (например, ремонтно-механические и строительно-ремонтные цеха). Их функции передаются внешним подрядчикам.
Во вторую очередь ликвидируются вспомогательные производства, отдельные ремонтные подразделения). Отсутствие этих производств в будущем можно будет компенсировать как за счет покупки соответствующих услуг, так и их воссоздания в экономически оправданных масштабах необходимости.
В третью очередь избавляются от нерентабельных объектов основного производства, находящихся в самом начале технологического цикла (литейные и кузнечно-прессовые цеха). Их функции также передаются внешним поставщикам. В некоторых случаях объекты второй и третьей очередей целесообразно поменять местами.
В четвертую очередь отказываются от нерентабельных производств, находящихся на конечной стадии технологического цикла. Причем такая мера скорее приемлема для предприятий, обладающих не одной, а несколькими технологическими цепочками, а также для предприятий, полуфабрикаты которых имеют самостоятельную коммерческую ценность. Особенно если эти полуфабрикаты более рентабельны, чем конечный продукт, что нередко встречается на химических заводах.
Ликвидация объектов основного производства в жестких условиях антикризисного управления весьма нежелательна и допустима только в качестве крайней меры. Оптимальным было бы решение их судьбы в рамках реструктуризации, а не стабилизационной программы. Продажу основных фондов скорее всего придется производить по цене ниже их балансовой стоимости, а это означает проблемы с налогообложением в будущем.
Остановка нерентабельных производств -
первый шаг, который необходимо совершить. Если убыточное производство нецелесообразно или невозможно продать, то его нужно остановить, чтобы немедленно исключить дальнейшие убытки. Исключение составляют объекты, остановка которых приведет к остановке всего предприятия. Критерии ранжирования здесь те же, что и при их ликвидации.
На данном этапе, как правило, совершаются две ошибки. Первая заключается в том, что производство продолжают эксплуатировать, так как его продукция находит сбыт, хотя и по цене ниже фактической себестоимости. Это достаточно распространенная картина на предприятиях, где есть возможность искажения калькуляции себестоимости отдельных продуктов.
Вторая ошибка в том, что производство продолжают эксплуатировать, так как нет средств на консервацию. Консервация - мера, естественная для нормальных условий хозяйствования, но неприемлемая для кризисных, поскольку является еще одним выражением заботы о будущем. Если производство необходимо остановить, но нет возможности провести консервацию, то оно должно быть остановлено без нее (исключение составляют лишь те ситуации, когда данная акция может вызвать аварию). При этом приход в негодность оборудования или затраты не его ремонт в дальнейшем представляют собой еще один пример маневра соответственно прошлыми и будущими денежными средствами. Причем восстанавливать оборудование придется, только если повторный пуск будет стратегически и экономически оправдан.
Введение в состав предприятия затратных объектов
является еще одним способом снять непроизводительные издержки на объекты, которые пока не удалось продать. Но осуществляется в форме учреждения дочерних обществ. Всякое дальнейшее финансирование выведенных объектов исключается, что стимулирует предпринимательскую инициативу персонала последних. Отметим, что наличие дочерних обществ может пригодиться предприятию в случае арбитражных исков. Это позволит выиграть время, в течение которого права участия в данных обществах будут описаны, переданы кредиторам и затем реализованы (при условии, что ни денег на счету, ни дебиторской задолженности, ни краткосрочных вложений у предприятия уже нет).
Сама по себе реструктуризация не является специфическим инструментом антикризисного управления, так как может применяться и при относительно благополучном состоянии предприятия-должника. Однако кризисная ситуация, с одной стороны, несколько облегчает реструктуризацию долгов, а с другой - оправдывает такие его формы, которые в нормальном состоянии неудовлетворительны.
Выкуп долговых обязательств с дисконтом
- одна из наиболее желательных мер. Кризисное состояние предприятия-должника обесценивает его долги, поэтому и возникает возможность выкупить их со значительным дисконтом. Тонкость данного решения в рамках стабилизационной программы заключается в условиях, на которых можно провести выкуп. Вот основные из них:
- выкупаются только те долги, которые непосредственно определяют ТФП, а на те, срок платежа или взыскания по которым относительно удален во времени;
- сумма, которую можно потратить на выкуп долгов, зависит от уровня ТХП, т.е. нельзя тратить средства на выкуп долгов в ущерб хозяйственной деятельности;
- допустимая цена выкупа долгов обусловливается собственным дисконтом предприятия, т.е. выкуп долгов должен рассматриваться как инвестиционный проект.
Конвертация долгов уставный капитал
- крайне болезненный шаг. Она может быть осуществлена как путем расширения уставного фонда (при отсутствии формальных ограничений), так и через уступку собственниками предприятия части своей доли (пакета акций). Строго регламентированных методов принятия такого решения нет, все определяется во время переговоров с кредиторами.
Форвардные контракты на поставку продукции
предприятия по фиксированной цене могут стать еще одним способом реструктуризации долгов. Если кредитор заинтересован в данной продукции, ему можно предложить засчитать дол предприятия перед ним в качестве аванса на долгосрочные поставки последней. При этом контрактная цена не должна быть ниже некоторой прогнозируемой себестоимости продукции.[2]
3.2. Антикризисное управления на стадии банкротства
На ранней стадии кризиса предприятие не включается в процедуру банкротства, а речь идет о восстановлении платежеспособности фирмы.
Применяя термин «банкротство», мы имеем в виду установление в судебном порядке финансовой несостоятельности предприятия, т.е. его неспособности удовлетворить в установленные сроки предъявленные к нему требования и выполнить обязательства перед бюджетом.
В случае банкротства фирмы, предприятия, корпорации кредиторы обладают правом приоритетного предъявления требований на возмещение убытков (по сравнению с требованиями акционеров).
На этой стадии основной целью управления является удержание фирмы «на плаву» и недопущение банкротства. В этих целях может быть проведена досудебная санация, при которой менеджеры совместно с кредиторами до подачи заявления в арбитражный суд проводят аудиторский анализ финансового состояния предприятия и, основываясь на его результатах, пытаются предотвратить банкротство. Досудебная санация (оздоровление) - это процедура, когда собственник предприятия, кредитор или другое заинтересованное лицо оказывает финансовую помощь предприятию-должнику. Предоставление финансовой помощи может сопровождаться принятием на себя должником или иными лицами обязательств в пользу лиц, предоставивших финансовую помощь. Условия проведения досудебной санации за счет федерального бюджета и государственных внебюджетных фондов устанавливаются федеральным законом о федеральном бюджете на соответствующий год и федеральными законами о бюджетах государственных внебюджетных фондов на соответствующий год.
Проводится серия мероприятий, позволяющих вывести предприятие на режим рентабельной работы. Вместе с тем нельзя упускать из виду интересы кредиторов. Нужно, следовательно, расходовать выручку не только на производственные нужды, но и отдавать долги, с тем чтобы обезопасить фирму от банкротства.
По инициативе акционеров на находящемся в тяжелом положении предприятии может быть введено внешнее управление. Оно бывает весьма эффективным.
Особенность антикризисного управления в отсутствии процедуры банкротства заключается также в возможности участия в кластерах, т.е. в группе предприятий, совместно работающих над созданием конкурентоспособной продукции. Не исключено также слияние с заинтересованной фирмой или проведение дополнительной эмиссии акций. Разумеется, что в условиях осуществления процедуры банкротства проведение подобных мероприятий связано с почти непреодолимыми трудностями.
Как правило, основные задачи проведения процедуры банкротства состоят: в возврате долга кредиторам; в реабилитации должника (после списания долгов он должен получить возможность продолжать свой бизнес).
По мнению специалистов, не всегда целесообразно «банкротить» предприятия. Во-первых, не всегда находится для них покупатель. Во-вторых, что не менее важно, в случае объявления предприятия банкротом (введение конкурсного производства) сокращаются рабочие места, и его персонал пополняет армию безработных. В-третьих, нередко имущество банкрота частично разворовывается, а частично продается за мизерную цену структурам, дружественным конкурсному управляющему. В итоге средств, полученных от реализации конкурсной массы, не хватает даже на погашение бюджетных задолженностей, не говоря уже о кредиторах.
Поэтому многие специалисты высказываются в пользу принятия решения о преобразовании долгов предприятий, камнем тянущих их на дно, в акции (паи, доли уставного капитала) с последующей передачей кредиторам в счет погашения задолженностей. Тогда, кстати, может появиться «эффективный собственник», который быстро восстановит управляемость на предприятии. Проводимая таким образом реструктуризация промышленных предприятий в некоторых случаях давала заметный положительный эффект. Предприятия, которые в большей степени были ориентированы на рынок и находились в лучшем экономическом состоянии, после реструктуризации получали дополнительный стимул к развитию и достаточно приличный экономический эффект.
Для улучшения финансового состояния промышленных предприятий необходимо предусмотреть реализацию комплекса финансово-экономических и организационных мер по содействию проведению расчетов (с учетом погашения в первую очередь бюджетной задолженности) и сокращению объемов бартерных расчетов между предприятиями, снижению кредиторской и дебиторской задолженности. Необходимо избавить предприятия от тяжкой ноши задолженности перед бюджетом, внебюджетными фондами. Штрафы и пени, которые составляют до 200% и более от основной суммы, накапливаются и фактически не дают предприятию нормально работать. Налоговыми органами арестовываются счета предприятий, с них начинают списывать все поступления, и, соответственно, возникают проблемы с оплатой продукции поставщиков, с выплатой заработной платы и так далее. Необходимо, как говорят бухгалтеры, очистить балансы предприятий. И тогда они станут привлекательными для кредиторов или инвесторов.
[1]
Антикризисное управление предприятием. Под ред. Минаева Э.С. и Панагушина В.П. М., 1998.
[2]
З. Айвазян, В. Кириченко. Антикризисное управление: принятие решений на краю пропасти. Проблемы теории и практики управления. 1999, №4, с. 94-99.
|