ТЕОРЕТИЧЕСКАЯ ЧАСТЬ.
Построение рядов распределения является составным элементом сводки данных статистического наблюдения. Они представляют собой группировку, где известна численность единиц в группах или удельный вес группы в общем итоге. По форме это простейшая разновидность структурной группировки по одному признаку в групповой таблице с двумя графами: группы по выделенному признаку и численности групп. Численные значения признака в рядах распределения называются вариантами
, а численность каждой группы – частотами
(обычно обозначаются буквой f
). Сумма всех частот определяет численность всей совокупности, или ее объем (это обычно n
). Численности групп, выраженные в долях от общей численности единиц, называются частостями
и обозначаются буквой w
.
Сумма частостей равна 1, если они выражены в ее долях, и 100%, если они выражены в процентах.
Ряды распределения подразделяются на атрибутивные
(группировка по атрибутивным признакам) и вариационные
(по количественным признакам). По характеру вариации признака различают вариационные ряды распределения прерывные
(дискретные)
и непрерывные (интервальные)
.
В первом случае признак изменяется прерывно, т.е. через определенное число единиц. Во втором группировочный признак в определенном интервале может принимать любые значения.
Анализ рядов распределения сопровождается их графическим изображением. Именно графики лучше всего позволяют судить о форме распределения. Для отображения вариационных рядов распределения используются следующие графики: полигон
, гистограмму
и кумуляту
. Полигон
применяют для графического изображения дискретного вариационного ряда, и этот график является разновидностью статистических ломаных. В прямоугольной системе координат по оси абсцисс откладываются варианты признака, а по оси ординат – частости каждого варианта. На пересечении абсциссы и ординаты фиксируют точки, соответствующие данному ряду распределения. Соединив эти точки прямыми, получим ломаную, которая и является полигоном, или эмпирической кривой распределения. Для замыкания полигона крайние вершины соединяют с точками на оси абсцисс, отстоящими на одно деление в принятом масштабе, или с серединами предыдущего (перед начальным) и последующим (за последним) интервалов.

Рисунок 1. Графическое изображение полигона
Гистограмма
применяется для графического изображения непрерывных (интервальных) вариационных рядов. При этом на оси абсцисс откладывают интервалы ряда. На этих отрезках строят прямоугольники, высота которых по оси ординат в принятом масштабе соответствует частотам. При равных интервалах по оси абсцисс откладывают прямоугольники, сомкнутые друг с другом, с равными основаниями и ординатами, пропорциональными весам. Данный ступенчатый многоугольник и называется гистограммой
. Его построение аналогично построению столбиковых диаграмм. Гистограмма может быть преобразована в полигон распределения, для чего середины верхних сторон прямоугольников соединяют отрезками прямых. Две крайние точки прямоугольников замыкают по оси абсцисс на середине интервалов аналогично замыканию полигона. В случае неравенства интервалов график строится не по частотам или частостям, а по плотности распределения (отношению частот или частостей к величине интервала), и тогда высоты прямоугольников графика будут соответствовать величинам этой плотности.
Забиваем Сайты В ТОП КУВАЛДОЙ - Уникальные возможности от SeoHammer
Каждая ссылка анализируется по трем пакетам оценки: SEO, Трафик и SMM.
SeoHammer делает продвижение сайта прозрачным и простым занятием.
Ссылки, вечные ссылки, статьи, упоминания, пресс-релизы - используйте по максимуму потенциал SeoHammer для продвижения вашего сайта.
Что умеет делать SeoHammer
— Продвижение в один клик, интеллектуальный подбор запросов, покупка самых лучших ссылок с высокой степенью качества у лучших бирж ссылок.
— Регулярная проверка качества ссылок по более чем 100 показателям и ежедневный пересчет показателей качества проекта.
— Все известные форматы ссылок: арендные ссылки, вечные ссылки, публикации (упоминания, мнения, отзывы, статьи, пресс-релизы).
— SeoHammer покажет, где рост или падение, а также запросы, на которые нужно обратить внимание.
SeoHammer еще предоставляет технологию Буст, она ускоряет продвижение в десятки раз,
а первые результаты появляются уже в течение первых 7 дней.
Зарегистрироваться и Начать продвижение

Рисунок 2. Графическое изображение гистограммы
Кумулята
изображает кумулятивные ряды распределения, где по оси абсцисс откладывают варианты признака, а по оси ординат – накопленные частоты или частости. Полученные точки соединяют прямыми, образующими кумуляту. При построении кумуляты интервального ряда распределения нижней границе первого интервала соответствует частота, равная нулю, а верхней границе – вся частота данного интервала. Верхней границе второго интервала соответствует накопленная частота, равная сумме частот первых двух интервалов, и т.д. Другой формой кумулятивного ряда распределения является огива
, в графике которой накопленные частоты берутся в обратном порядке, т.е. от наибольшего к наименьшему значению изучаемого признака.

Рисунок 3. Графическое изображение кумуляты
Имеются данные о работе 24 заводов в одной из отраслей промышленности
Таблица 1. Исходные данные
| № п/п
|
Среднегодовая стоимость основных производственных фондов, млн. руб.
|
Среднесписочное число работающих за отчетный период, чел.
|
Производство про-дукции за отчетный период, млн. руб.
|
Выполнение плана, %
|
| 1
|
3,0
|
360
|
3,2
|
103,1
|
| 2
|
7,0
|
380
|
9,6
|
120,0
|
| 3
|
2,0
|
220
|
1,5
|
109,5
|
| 4
|
3,9
|
460
|
4,2
|
104,5
|
| 5
|
3,3
|
395
|
6,4
|
104,8
|
| 6
|
2,8
|
280
|
2,8
|
94,3
|
| 7
|
6,5
|
580
|
9,4
|
108,1
|
| 8
|
6,6
|
200
|
11,9
|
125,0
|
| 9
|
2,0
|
270
|
2,5
|
101,4
|
| 10
|
4,7
|
340
|
3,5
|
102,4
|
| 11
|
2,7
|
200
|
2,3
|
108,5
|
| 12
|
3,3
|
250
|
1,3
|
102,1
|
| 13
|
3,0
|
310
|
1,4
|
112,7
|
| 14
|
3,1
|
410
|
3,0
|
92,0
|
| 15
|
3,1
|
635
|
2,5
|
108,0
|
| 16
|
3,5
|
400
|
7,9
|
111,1
|
| 17
|
3,1
|
310
|
3,6
|
96,9
|
| 18
|
5,6
|
450
|
8,0
|
114,1
|
| 19
|
3,5
|
300
|
2,5
|
108,0
|
| 20
|
4,0
|
350
|
2,8
|
107,0
|
| 21
|
1,0
|
330
|
1,6
|
100,7
|
| 22
|
7,0
|
260
|
12,9
|
118,0
|
| 23
|
4,5
|
435
|
5,6
|
111,9
|
| 24
|
4,9
|
505
|
4,4
|
104,7
|
Требуется сгруппировать заводы по среднегодовой стоимости основных производственных фондов, образовав 5 групп заводов с равными интервалами, рассчитать по каждой группе и в целом:
· количество заводов и их удельный вес;
· среднесписочное число работающих;
· производство продукции;
· средний процент выполнения плана.
Проанализировать данные таблицы и сделать выводы.
РЕШЕНИЕ:
1. Определяем интервал группировки.

, где
Xmax
– максимальная среднегодовая стоимость основных производственных фондов, Xmax
= 7,0 млн. руб.;
Xmin
– минимальн максимальная среднегодовая стоимость основных производственных фондов, Xmin
= 1,0 млн. руб.;
Сервис онлайн-записи на собственном Telegram-боте
Попробуйте сервис онлайн-записи VisitTime на основе вашего собственного Telegram-бота:
— Разгрузит мастера, специалиста или компанию;
— Позволит гибко управлять расписанием и загрузкой;
— Разошлет оповещения о новых услугах или акциях;
— Позволит принять оплату на карту/кошелек/счет;
— Позволит записываться на групповые и персональные посещения;
— Поможет получить от клиента отзывы о визите к вам;
— Включает в себя сервис чаевых.
Для новых пользователей первый месяц бесплатно.
Зарегистрироваться в сервисе
n – количество групп, из условия задачи n =5 , следовательно

млн. руб.
2. Разбиваем на группы: [1,0-2,2), [2,2-3,4), [3,4-4,6), [4,6-5,8), [5,8-7,0].
Таблица 2. Группировка предприятий и их данных по группам
| Размер
интервала
|
Номер
предприятий
|
Среднегодовая стоимость основных производственных фондов, млн. руб.
|
Среднесписочное число работающих за отчетный период, чел.
|
Производство продукции за отчетный период, млн. руб.
|
Выполнение плана, %
|
| [1,0 – 2,2)
|
3
|
2,0
|
220
|
1,5
|
109,5
|
| 9
|
2,0
|
270
|
2,5
|
101,4
|
| 21
|
1,0
|
330
|
1,6
|
100,7
|
| Итого
|
3
|
5,0
|
820
|
5,6
|
103,9
|
| [2,2 – 3,4)
|
1
|
3,0
|
360
|
3,2
|
103,1
|
| 5
|
3,3
|
395
|
6,4
|
104,8
|
| 6
|
2,8
|
280
|
2,8
|
94,3
|
| 11
|
2,7
|
200
|
2,3
|
108,5
|
| 12
|
3,3
|
250
|
1,3
|
102,1
|
| 13
|
3,0
|
310
|
1,4
|
112,7
|
| 14
|
3,1
|
410
|
3,0
|
92,0
|
| 15
|
3,1
|
635
|
2,5
|
108,0
|
| 17
|
3,1
|
310
|
3,6
|
96,9
|
| Итого
|
9
|
27,4
|
3150
|
26,5
|
102,5
|
| [3,4- 4,6)
|
4
|
3,9
|
460
|
4,2
|
104,5
|
| 16
|
3,5
|
400
|
7,9
|
111,1
|
| 19
|
3,5
|
300
|
2,5
|
108,0
|
| 20
|
4,0
|
350
|
2,8
|
107,0
|
| 23
|
4,5
|
435
|
5,6
|
111,9
|
| Итого
|
5
|
19,4
|
1945
|
23
|
108,5
|
| [4,6-5,8)
|
10
|
4,7
|
340
|
3,5
|
102,4
|
| 18
|
5,6
|
450
|
8,0
|
114,1
|
| 24
|
4,9
|
505
|
4,4
|
104,7
|
| Итого
|
3
|
15,2
|
1295
|
15,9
|
107,1
|
| [5,8-7,0]
|
2
|
7,0
|
380
|
9,6
|
120,0
|
| 7
|
6,5
|
580
|
9,4
|
108,1
|
| 8
|
6,6
|
200
|
11,9
|
125,0
|
| 22
|
7,0
|
260
|
12,9
|
118,0
|
| Итого
|
4
|
27,1
|
1420
|
43,8
|
117,8
|
Строим итоговую таблицу 3:
Таблица 3. Группировка предприятий по среднегодовой стоимости основных производственных фондов
| Группы п/п
по стоимости ОПФ,
млн.руб.
|
Количество
заводов
|
Среднегодовая стоимость основных производственных фондов, млн. руб.
|
Среднесписочное число работающих за отчетный период, чел.
|
Производство продукции за отчетный период, млн. руб.
|
Средний процент выполнения плана, %
|
Удельный вес, %
|
| 1,0-2,2
|
3
|
5,0
|
820
|
5,6
|
103,9
|
12,5
|
| 2,2-3,4
|
9
|
27,4
|
3150
|
26,5
|
102,5
|
37,5
|
| 3,4-4,6
|
5
|
19,4
|
1945
|
23
|
108,5
|
20,8
|
| 4,6-5,8
|
3
|
15,2
|
1295
|
15,9
|
107,1
|
12,5
|
| 5,8-7,0
|
4
|
27,1
|
1420
|
43,8
|
117,8
|
16,7
|
| Итого:
|
24
|
94,1
|
8630
|
114,8
|
539,8
|
100
|
Вывод:
Для первых 2-х групп предприятий характерна следующая тенденция: стоимость основных производственных фондов и численность работающих в среднем растут, соответственно пропорционально растет и производство продукции. Однако во 2-й группе, в сравнении с 1-й группой, при росте 3-х показателей процент выполнения плана падает. Для 3-й и 4-й групп предприятий характерна следующая тенденция: по всем показателям уменьшение. Возможно это связано с тем, что предприятиям необходимо срочно внедрять новое оборудование и тогда увеличатся стоимость основных производственных фондов и производство продукции, а следовательно и процент выполнения плана.
Для предприятий, входящих в 5-ю группу, ситуация иная: очевидно, что происходит модернизация оборудования и расширение предприятия, в связи с чем ручной труд заменяется машинным (стоимость основных фондов в среднем увеличивается до 11,9 млн. руб., а численность увеличилась до 1420 чел) и, как следствие, увеличивается выпуск продукции в среднем до 43,8 тыс. руб. Процент выполнения плана увеличился, скорее всего это связано с тем, что все закупленное оборудование было введено в производство, работников переквалифицировали и прибавилось еще квалифицированных кадров для работы на нем, т.е. фонды используются в полном объеме.
По данным варианта определить:
1. Показатели динамики с постоянной и переменной базой сравнения.
2. Графически изобразить ряд динамики в зависимости от номера варианта.
3. Рассчитать среднегодовые показатели динамики.
4. Произвести сглаживание ряда методом 3-х летней скользящей средней.
5. Выровнять ряд по прямой.
6. Построить графики искомого и выровненных рядов.
7. Использовать полученное уравнение для экстраполяции уровней на 2006 год.
8. Сделать выводы.
Таблица 4. Данные по варианту
| №
варианта
|
Годы
|
1997
|
1998
|
1999
|
2000
|
2001
|
2002
|
2003
|
| 1
|
2
|
3
|
4
|
5
|
6
|
7
|
8
|
9
|
| V
|
Мощность ГЭС, млн. кВт
|
22,2
|
31,4
|
40,9
|
52,3
|
61,7
|
63,8
|
64,3
|
Варианты графиков:
5 – пиктограмма
РЕШЕНИЕ:
1.
Определим показатели динамики с постоянной и переменной базой сравнения.
1.1. Абсолютный прирост
:
- по базисному методу: ΔАбаз
= У
i
– У0
ΔА1
= 31,4 – 22,2 = 9,2
ΔА2
= 40,9 – 22,2 = 18,7
ΔА3
= 52,3 – 22,2 = 30,1
ΔА4
= 61,7 – 22,2 = 39,5
ΔА5
= 63,8 – 22,2 = 41,6
ΔА6
= 64,3 – 22,2 = 42,1
- по цепному методу: ΔАцеп
= У
i
– У
i
-1
ΔА1
= 31,4 – 22,2 = 9,2
ΔА2
= 40,9 – 31,4 = 9,5
ΔА3
= 52,3 – 40,9 = 11,4
ΔА4
= 61,7 – 52,3 = 9,4
ΔА5
= 63,8 – 61,7 = 2,1
ΔА6
= 64,3 – 63,8 = 0,5
ΔАбаз.6
=Σ ΔАцеп
1.2. Коэффициент роста
k
р
:
- по базисному методу: k
р
баз
= У
i
/ У0
k
р
1
=
31,4 / 22,2 = 1,41
k
р
2
= 40,9 / 22,2 = 1,84
k
р
3
= 52,3 / 22,2 = 2,36
k
р
4
= 61,7 / 22,2 = 2,78
k
р
5
= 63,8 / 22,2 = 2,87
k
р6
= 64,3 / 22,2 = 2,90
- по цепному методу: k
р
цеп
= У
i
/У
i
-1
k
р1
=
31,4 / 22,2 = 1,41
k
р2
= 40,9 / 31,4= 1,3
k
р3
= 52,3 / 40,9 = 1,28
k
р4
= 61,7 / 52,3 = 1,18
k
р5
= 63,8 / 61,7 = 1,03
k
р6
= 64,3 / 63,8 = 1,01
1.3. Темп роста
Тр
:
- по базисному методу: Тр
=
k
р
баз
*100% = У
i
/ У0
*100%
Тр1
=
1,41*100% =141 %
Тр2
=
1,84*100% =184 %
Тр3
=
2,36*100% =236 %
Тр4
=
2,78*100% =278 %
Тр5
=
2,87*100% =287 %
Тр6
=
2,90*100% =290 %
- по цепному методу: Тр
=
k
р
цеп
*100% = У
i
/У
i
-1
*100%
Тр1
=
1,41*100% =141 %
Тр2
=
1,30*100% =130 %
Тр3
=
1,28*100% =128 %
Тр4
=
1,18*100% =118 %
Тр5
=
1,03*100% =103 %
Тр6
=
1,01*100% =101 %
1.4. Темп прироста
Тпр
:
- по базисному методу: Тпр
= Тр баз
– 100%
Тпр1
=
141 % – 100% = 41 %
Тпр2
=
184 % – 100% = 84 %
Тпр3
=
236 % – 100% = 136 %
Тпр4
=
278 % – 100% = 178 %
Тпр5
=
287 % – 100% = 187 %
Тпр6
=
290 % – 100% = 190 %
- по цепному методу: Тпр
= Тр цеп
– 100%
Тпр1
=
141 % – 100% = 41 %
Тпр2
=
130 % – 100% = 30 %
Тпр3
=
128 % – 100% = 28 %
Тпр4
=
118 % – 100% = 18 %
Тпр5
=
103% – 100% = 3 %
Тпр6
=
101 % – 100% = 1 %
1.5. Абсолютное значение 1% прироста
:
А1% = Ацеп
/ Тпр
= Уi
– Уi-1
/ Тр цеп
– 100%
А 1
1% = 9,2 / 41% = 022%
А 2
1% = 9,5 / 30% =0,32%
А 3
1% = 11,4 / 28% = 0,41%
А 4
1% = 9,4 / 18% = 0,52%
А 5
1% = 2,1 / 3% = 0,7%
А 6
1% = 0,5 / 1% = 0,5%
3.
Рассчитаем среднегодовые показатели динамики.
 3.1. Среднегодовой темп роста
:
3.2. Среднегодовой темп прироста
:
 3.3. Средний абсолютный прирост
:
;
4.
Произведем сглаживание ряда методом 3-х летней скользящей средней. Посчитаем по данным таблицы 4 средний уровень реализации за первые 3 года:
(млн.кВт),
затем за 3 года, но начиная не с 1997, а с 1998 года:
(млн.кВт),
затем за 3 года, но начиная не с 1998, а с 1999 года:
(млн.кВт),
затем за 3 года, но начиная с 2000 года:
(млн.кВт),
затем за 3 года, но начиная с 2001 года:
(млн.кВт).
Теперь полученные данные отобразим в таблице 5:
Таблица 5. Расчет скользящей средней
| Годы
|
Мощность ГЭС, млн. кВт
|
Трехлетняя сумма уровней для скользящего периода, млн.кВт
|
Трехлетняя скользящая средняя, млн.кВт
|
| 1997
|
22,2
|
—
|
—
|
| 1998
|
31,4
|
94,5
|
31,5
|
| 1999
|
40,9
|
124,6
|
41,53
|
| 2000
|
52,3
|
154,9
|
51,63
|
| 2001
|
61,7
|
177,8
|
59,27
|
| 2002
|
63,8
|
189,8
|
63,27
|
| 2003
|
64,3
|
—
|
—
|

Рисунок 4. Сглаживание ряда динамики мощности ГЭС скользящей средней: линия черным цветом - фактические данные, серым цветом - сглаженные.
5.
Выровняем ряд по прямой.
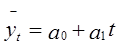
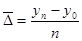
При выравнивании по прямой линии закономерно изменяющиеся уровни динамического ряда рассчитываются как функция времени, выражающаяся уравнением:
Параметры аналитического уравнения выбранной линии находят, используя способ наименьших квадратов
. В этом случае предполагается, что сумма квадратов отклонений фактических уровней (y
) от выровненных ( ), т.е. расположенных на искомой линии, должна быть минимальной:
Рассмотрим технику выравнивания ряда динамики по уравнению тренда прямой:
,
где t – условное обозначение времени; a0
и a1
– параметры искомой прямой.
Параметры a0
и a1
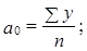
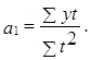
, удовлетворяющие методу наименьших квадратов, находятся путем решения следующей системы нормальных уравнений:
; ;
,
где y
- фактические уровни ряда динамики; n
– число уровней ряда; t
– нумерация фактора времени.
Эта система уравнений значительно упрощается, если значения t
подобрать так, чтобы их сумма равнялась нулю. Тогда получается следующая система уравнений:
;
,
решая которую, получаем:
; ..
Так как у нас уровней в ряду динамики нечетное число, от отсчет ведется от середины, принятой за ноль (таблица 6.):
Таблица 6. Условные обозначения времени
| Годы
|
1997
|
1998
|
1999
|
2000
|
2001
|
2002
|
2003
|
| t
|
-3
|
-2
|
-1
|
0
|
+1
|
+2
|
+3
|
Таблица 7. Расчет параметров уравнения тренда прямой и теоретических значений ряда динамики мощности ГЭС
| Год
|
Фактическая мощность ГЭС, млн.кВт (y
)
|
t
|
t2
|
yt
|
| 1997
|
22,2
|
-3
|
9
|
-66,6
|
25,382
|
| 1998
|
31,4
|
-2
|
4
|
-62,8
|
32,95
|
| 1999
|
40,9
|
-1
|
1
|
-40,9
|
40,518
|
| 2000
|
52,3
|
0
|
0
|
0
|
48,086
|
| 2001
|
61,7
|
+1
|
1
|
61,7
|
55,654
|
| 2002
|
63,8
|
+2
|
4
|
127,6
|
63,222
|
| 2003
|
64,3
|
+3
|
9
|
192,9
|
70,79
|
| Итого
|
336,6
|
0
|
28
|
211,9
|
336,6
|
По данным таблицы находим:
Искомое уравнение прямой будет иметь вид:
Подставляем в это уравнение соответствующие значения t
, находим выровненные (теоретические) уровни .
Для 1997 г. (t
= - 3) получим:
Для 1998 г. .(t
= - 2) получим:
Для 1999 г. (t
= - 1) получим:
Для 2000 г. (t
= 0) получим:
Для 2001 г. (t
= +1) получим:
Для 2002 г. (t
= +2) получим:
Для 2003 г. (t
= +3) получим:
7. На основе найденного уравнения тренда определим предполагаемую среднюю мощность ГЭС в 2006 г. (t
=+6):
Выводы.
Бригада токарей была занята обточкой одинаковых деталей в течение восьмичасового дня. Первый токарь затрачивал на одну деталь 12 мин., второй – 15, третий – 11, четвертый – 16 и пятый – 14. Требуется определить среднее время, необходимое для изготовления одной детали.
РЕШЕНИЕ:
Так как по условию неравные промежутки времени
Динамика себестоимости и объема производства продукции заводов характеризуется следующими данными:
Таблица 8
| Продукция
|
Выработано продукции, тыс. ед.
|
Себестоимость единицы продук-ции, млн. руб.
|
| базисный
период
|
отчетный
период
|
базисный
период
|
отчетный период
|
| Завод № 1
ОМ – 95
КС - 73
|
16
6
|
16
7
|
3,0
4,3
|
3,3
4,5
|
| Завод № 2
ОМ – 95
|
20
|
24
|
4,0
|
4,2
|
На основании имеющихся данных вычислить:
1. для завода № 1 (по двум видам продукции в целом):
· общий индекс затрат на производство продукции;
· общий индекс себестоимости продукции;
· общий индекс физического объема производства продукции.
Определить в отчетном периоде по сравнению с базисным абсолютное изменение суммы затрат на производство продукции и разложить его по факторам (за счет изменения себестоимости и объема выработанной продукции). Показать взаимосвязь между исчисленными индексами.
2. для двух заводов в целом (по продукции ОМ – 95):
· индекс себестоимости переменного состава;
· индекс себестоимости постоянного состава;
индекс влияния изменения структуры производства продукции на динамику средней себестоимости. Объяснить различие между полученными индексами. Определить общее абсолютное изменение средней себестоимости единицы продукции в отчетном периоде по сравнению с базисным и разложить его по факторам: за счет непосредственного изменения себестоимости единицы продукции и изменения структуры производства. Сформулируйте выводы.
РЕШЕНИЕ:
1. Рассмотрим вначале завод №1. Сформируем для него из исходных данных следующую таблицу:
Таблица 9
| Продукция
|
Выработано продукции, тыс. ед.
|
Себестоимость единицы продук-ции, млн. руб.
|
| базисный
период qi
0
|
отчетный
период qi
1
|
базисный
период pi
0
|
отчетный период pi
1
|
| Завод № 1
ОМ – 95
КС - 73
|
16
6
|
16
7
|
3,0
4,3
|
3,3
4,5
|
Используя в качестве соизмерителя неизменные цены, получим следующую формулу для определения общего индекса физического объема произведенной продукции
:
, или 105,83%.
Вычислим общий индекс себестоимости продукции
:

, или 107,9%.
Общий индекс затрат на производство продукции
определяется по формуле:
, или 114,23%.
Сумма изменения затрат в отчетном периоде по сравнению с базисным составила:
(млн. руб.)
Разложим теперь эту сумму изменения затрат по факторам. Сумма изменения затрат в отчетном периоде по сравнению с базисным за счет изменения себестоимости составила:
(млн. руб.)
Сумма изменения затрат в отчетном периоде по сравнению с базисным за счет изменения физического объема продукции составила:
(млн. руб.)
2. Рассмотрим теперь оба завода вместе (по продукции ОМ-95). Сформируем для них из исходных данных следующую таблицу:
Таблица 10
| Номер завода
|
Выработано продукции, тыс. ед.
|
Себестоимость единицы продук-ции, млн. руб.
|
| базисный
период qi
0
|
отчетный
период qi
1
|
базисный
период pi
0
|
отчетный период pi
1
|
| № 1
|
16
|
16
|
3,0
|
3,3
|
| № 2
|
20
|
24
|
4,0
|
4,2
|
Индекс себестоимости переменного состава
представляет собой отношение двух взвешенных средних величин с переменными весами, характеризующее изменение индексируемого (осредняемого) показателя:
, или 107,87%
Индекс себестоимости постоянного состава
представляет собой отношение двух взвешенных средних величин с одними и теми же весами:
, или 106,67%
Индекс изменения структуры производства равен:

, или 101,12%.
Определим абсолютное изменение средней себестоимости единицы продукции в отчетном периоде по сравнению с базисным:

(млн.руб.)
Разложим теперь эту сумму изменения по факторам. Сумма изменений средней себестоимости единицы продукции в отчетном периоде по сравнению с базисным за счет непосредственного изменения себестоимости единицы продукции:
(млн.руб.)
Сумма изменений средней себестоимости единицы продукции в отчетном периоде по сравнению с базисным за счет изменения структуры производства:
(млн.руб.)
Выводы.
1. По результатам отчетного периода рост затрат 1-го завода произошел исключительно за счет увеличения себестоимости продукции. Более того, за год наблюдалось незначительное сокращение затрат за счет уменьшения физического объема продукции
2. Изменение структуры выпуска продукции OM-95 в общем объеме практически не повлияло на увеличение себестоимости продукции по двум заводам.
Произошедший рост средней себестоимости вызван ростом себестоимости одновременно на двух заводах.
1. Октябрьский П. Я. Статистика: учебник. – М.: ТК Велби, Изд-во Проспект, 2005. – 328 с.
2. Тарловская В.А., Терлиженко И. Н., Теслюк И. Е. Статистика: учеб.пособие. – 2-е изд. – Мн.: Ураджай, 2000. – 360 с.
|