| 2/5 Статистич методы оценки финан, страх и бизнес рисков.
Риск
- гипотетическ возможность наступления ущерба либо возможность отклонения от запланирован. результата, кот. может принимать как полож., так и отриц. значения. Страх. риск
- конкретный страх случай. Метод и процедура оценки страх. рисков
опред. характером проявления и содержанием риска. Больш-во объемов страхования может быть отнесено к различ группам по средней величине, напр., по балансовой ст-ти. Здесь средняя величина явл.основой для статист измерения риска. Используя абсол величину средн значений риска, можно с ожидаемой вероятностью рассчитать отклонения от них, подсчитанное и виде % или коэфф, некот риски (например, риск ядерной катастрофы), невозм сопоставить по средн величине, поэтому здесь полагаются на оценку спец-ов.Коммер (бизнес) риск
-
это вероятная опасность потерпеть поражение на рынке (не продать товар, не получить запланированную прибыль или понести убытки, быть вытесненным с рынка к т.д.). Уровень риска может быть снижен страхованием рисков. Однако след соизмерять затр на страхование и вероятность риска. Методы оценки бизнес риска
:1) экспертный атрибутив
–
интуитивные оценки допустимости риска При этом всегда учитыв вероятный размер потерь. Чем они ограниченней, тем сильнее разрешает себе рисковать предприниматель.2) экспертные балльные оценки фак-в и критериев риска
– наиб распростран. Колич-ная оценка риска осущ-ся на основе анализа конъюнктуры. В качестве меры риска выступают показатели колеблемости и живости основных параметров рынка. Чем > емкость рынка, чем благоприятнее тенденция, тем риск <, на основе этих и др. данных экспертами выставляются баллы.3) оценка вероятности риска с помощью статист моделей
выбир оптим рын стратег из альтернат вариантов по результатам статистич наблюд в усл неопределенности, н-р, при спаде спроса можно или прекрат выпуск издел и уйти с рынка, или же путем модерниз тов и установл привлекат-х цен реанимировать угасающий спрос.
Вероятностные оценки позвол соизмерить риск потерь с К,
кот располагает предприниматель, и определить т о уровень фин риска
. Н-р, сопоставлен фин обязательств с общ ст-тью им-ва фирмы позвол получить предупреждающую информацию о близости фирмы к банкротству. Если данн коэфф > 0,5 близость. В практике оценки фин сост предпр использ модели вероятности банкротства фирмы. Обычно эти модели имеют вид:Zф
= ∑AiXi где Zф
- факт ∑ баллов, присваиваемых каждому i-
му параметру фин-экон сост фирмы; X - значение i-го параметра; A –ранг каждого параметра; n - число i-х параметров. Заранее устанавл норматив ∑ параметров, Zф
> Zнорм,
–фин полож фирмы устойч, вероятн банкротства невелика; Zф
< Zнорм
фирме грозит риск банкротства. Широко использ и др аналитич
Забиваем Сайты В ТОП КУВАЛДОЙ - Уникальные возможности от SeoHammer
Каждая ссылка анализируется по трем пакетам оценки: SEO, Трафик и SMM.
SeoHammer делает продвижение сайта прозрачным и простым занятием.
Ссылки, вечные ссылки, статьи, упоминания, пресс-релизы - используйте по максимуму потенциал SeoHammer для продвижения вашего сайта.
Что умеет делать SeoHammer
— Продвижение в один клик, интеллектуальный подбор запросов, покупка самых лучших ссылок с высокой степенью качества у лучших бирж ссылок.
— Регулярная проверка качества ссылок по более чем 100 показателям и ежедневный пересчет показателей качества проекта.
— Все известные форматы ссылок: арендные ссылки, вечные ссылки, публикации (упоминания, мнения, отзывы, статьи, пресс-релизы).
— SeoHammer покажет, где рост или падение, а также запросы, на которые нужно обратить внимание.
SeoHammer еще предоставляет технологию Буст, она ускоряет продвижение в десятки раз,
а первые результаты появляются уже в течение первых 7 дней.
Зарегистрироваться и Начать продвижение
|
2/3. Статистические методы анализа цен и ден обращения
В эк-ке сущ след с-ма цен и тарифов: розничные цены, тарифы на услуги, оптовые цены предприятия, закупочные, сметные цены (цены на строительные объекты), цены внешней торговли.В усл рын эк-ки статистика цен имеет важ знач. Уровень цен -
обобщающий показатель, характеризующий состоян цен за определ период врем.Показатель уровня цен усредняет цены множества индивидуальных актов купли – продажи и проявляется сред величина, тенденция. Индивидуаль (однородный) уровень цен
- это абсол величина - ∑денег, уплачиваемая на рынке за товарную единицу. Обобщенной характеристикой явл сред уровень цен. Выбор ф-лы зависит от наличия информ о кол-ве проданных товаров. Если известен V продаж в натур выражении или в стоимостных ед-х, то использ ф-лы сред арифм взвешен: P=(∑Pi*Qi):∑Qi и сред гармонической взвешен: P=(∑Pi*Qi):(∑Pi*Qi:Pi) Показатели статистики цен использ для изучения ценовых процессов и при расчете большинства стоимостных показателей отраслевого и макроэконом уровней. Анализ вариации опирается на осн статистич показатели и м-ды исследования колеблемости (размах вариации, среднедневное, среднеквадратич отклонение, коэфф вариации).R=Pmax
-Pmin
, l=((суммаPi-Pср)*Qi):(суммаQi), 
Одной из важных хар-к сост эк-ки люб страны явл ур инфл.
Адекватная оценка инфл возможна только с использов развернутой с-мы показателей:1.
Расчет изменения уровня цен: индекс потребительских цен – ф-ла Ласпейреса.2.
Показатель нормы инфл: N=(It-I(t-1)):It где, It
, It
-1
-
индексы цен Норма инфл показ на ск-ко % изменится уров инфл.1-9%- ползущая в год; 10- 99% - голопирующая в год; N > 50% в месяц - гиперинфляция. 3
.Индекс покупательской способ-ти ден ед, показывающий во ск-ко раз обесценились деньги: Inc=1 : Ip. Общ размер инфл прямо пропорционален росту ден массы и обратно пропорционален росту тов массы. Ведущая роль в статистике изуч динамики цен принадл индексному м-ду. Сравнение цен одного тов осуществл с пом индивидуаль индекса цен: ip=p1 : p0 Индекс сред цен примен при изучении изменения товарных Групп Ip
=(∑p1q1:∑q1): (∑p0q0:∑q0) Использ ф-лы; Ласпейреса Ip
л
=(∑p1q0:∑p0q0) и Пааше. Ip
п
=(∑p1q1:∑p0q1) Ф-ла Л популярна для расчета индекса потребительских цен. Резуль расчета по ф-ле П показ, во ск раз ∑ факт затрат насел на покупку товара > (<)∑ денег, кот насел д б бы заплатить если бы цена остал на уров базис периода. Наиб удачным компромиссом счит индекс Фишера. Ip
ф
=√ Ip
л
* Ip
п
Ден обращ
- движ денег во внутр обороте в налич и безнал формах в процессе обращения тов, оказан усл и совершения различ платежей.. Объектом статист изучения явл сами ден рес-сы (ден агрегат): М0
- налич ден, наход в обращ.М1
=М0
+ ср-ва предприятий, мест бюдж, граждан на расч, текущих, спец счетах, до востребования в банках всех видов; депозиты предп и насел; М2
=
М1
+ сертификаты и облигации гос займов, а также сроч депозиты насел.М3
,=
М2
+
все безнал расчеты, М
4
=М
3
+ правительственные долгов обязат-ва и др активы.Изменение ден массы в обращ хар-ся показателем ден эмиссии, рассчит ежемес (разность м/д кассовым расхо и приходом банков). Пок-тель скорости оборота ден массы= выручка: М1
.Скорость оборота опред в днях (число оборотов в год).
Сервис онлайн-записи на собственном Telegram-боте
Попробуйте сервис онлайн-записи VisitTime на основе вашего собственного Telegram-бота:
— Разгрузит мастера, специалиста или компанию;
— Позволит гибко управлять расписанием и загрузкой;
— Разошлет оповещения о новых услугах или акциях;
— Позволит принять оплату на карту/кошелек/счет;
— Позволит записываться на групповые и персональные посещения;
— Поможет получить от клиента отзывы о визите к вам;
— Включает в себя сервис чаевых.
Для новых пользователей первый месяц бесплатно.
Зарегистрироваться в сервисе
4.
Ст-кие методы выявл. осн. тенденции развития в р. дин-ки.
Для нахожд. осн. тенденции развит. явл., необход. при изучении сезон. колебаний или при прогн-нии данного явл. примен-тся след. методы исслед.: 1)расчет ступенчатой средней, 2)расчет скользящей средней, 3)аналит. выравн-е уровней РД. Сущ. 2 подхода: механическое и аналитическое выравнивание. Механическое выр-ние
: Выявл. осн. тенденции м.б. осущ. графически. Способ укрупнения интервалов. Метод скользящей средней. Рассм. подробнее последний метод. Итак, смысл аналитич. выр-ния методом скользящей средней
сост. в том, что он позволяет сглаживать случайные колебания в ур. развития явл. во времени. Поэтому период охватываемой средней пост-но меняется. Период осреднения как правило выбирается равным временному периоду, в теч. кот. начинается и заканчивается цикл развития какого-либо явл.. Пример расчета 5-летней скользящей средней: У этого метода есть ряд недостатков: в завис-ти от периода осредн-я мы теряем 1, 2, 3 и более уровней ряда; подсчит. нами пок-ли не относ. ни к какому конкр. периоду времени. Из-за этого не предст. возможным осущ. прогнозир. развития изуч. явл.. Скользящая средняя м.б. рассчит. и как взвешенная. Методы аналитического выравнивания
- это наиб. эффект. методы выравн.. Имеют конечный вид ф-ии времени (уравнения времени). Возм. выравн. по прямой, по гиперболе, по параболе 2-го или 3-го порядка. Задача состоит в том, чтобы подобрать для конкретного ряда дин-ки такую логарифмическую кривую, кот. бы наиб. точно отображ. черты фактич. дин-ки. Решение этой задачи часто связано с методом наименьш. квадратов, т.к. наилучш. считается такое приближ. выровненных данных к эмпирическим, при кот. сумма квадратов их отклонений явл. минимальной: Ip
= åp1
q1
/åp0
q1
. Техника аналитич. выравн. по прямой имеет наиб. простое выражение. Система ур-ний упрощается, если значение подобрать таким обр., чтобы перенести начало отсчета в середину рассматр. периода.
Интерполяция и экстраполяция РД.
Интерполяция
– нахождение недостоющих уровней внутри РД. Экстраполяци
я – нахождение уровней за пределами ряда на перспективу (1-2 года):
|
2/4.
Ст-кие методы выявл. осн. тенденции развития в р. дин-ки.
Для нахожд. осн. тенденции развит. явл., необход. при изучении сезон. колебаний или при прогн-нии данного явл. примен-тся след. методы исслед.: 1)расчет ступенчатой средней, 2)расчет скользящей средней, 3)аналит. выравн-е уровней РД. Сущ. 2 подхода: механическое и аналитическое выравнивание. Механическое выр-ние
: Выявл. осн. тенденции м.б. осущ. графически. Способ укрупнения интервалов. Метод скользящей средней. Рассм. подробнее последний метод. Итак, смысл аналитич. выр-ния методом скользящей средней
сост. в том, что он позволяет сглаживать случайные колебания в ур. развития явл. во времени. Поэтому период охватываемой средней пост-но меняется. Период осреднения как правило выбирается равным временному периоду, в теч. кот. начинается и заканчивается цикл развития какого-либо явл.. Пример расчета 5-летней скользящей средней: У этого метода есть ряд недостатков: в завис-ти от периода осредн-я мы теряем 1, 2, 3 и более уровней ряда; подсчит. нами пок-ли не относ. ни к какому конкр. периоду времени. Из-за этого не предст. возможным осущ. прогнозир. развития изуч. явл.. Скользящая средняя м.б. рассчит. и как взвешенная. Методы аналитического выравнивания
- это наиб. эффект. методы выравн.. Имеют конечный вид ф-ии времени (уравнения времени). Возм. выравн. по прямой, по гиперболе, по параболе 2-го или 3-го порядка. Задача состоит в том, чтобы подобрать для конкретного ряда дин-ки такую логарифмическую кривую, кот. бы наиб. точно отображ. черты фактич. дин-ки. Решение этой задачи часто связано с методом наименьш. квадратов, т.к. наилучш. считается такое приближ. выровненных данных к эмпирическим, при кот. сумма квадратов их отклонений явл. минимальной: Ip
= åp1
q1
/åp0
q1
. Техника аналитич. выравн. по прямой имеет наиб. простое выражение. Система ур-ний упрощается, если значение подобрать таким обр., чтобы перенести начало отсчета в середину рассматр. периода.
Интерполяция и экстраполяция РД.
Интерполяция
– нахождение недостоющих уровней внутри РД. Экстраполяци
я – нахождение уровней за пределами ряда на перспективу (1-2 года):
|
| 2/1.Статистические методы анализа уровня жизни населения.
Уровень жизни - это взаимосвязанный комплекс экономических, социальных, культурных, природных и других условий жизни людей. Он характеризуется всей системой социально - экономической статистики. Наиболее общего показатель, синтезирующего все условия в одном результате, часто применяется продолжительность жизни населения. Он характеризуется обширной системой показателей, охватывающих ряд разделов: обобщающие показатели; доходы населения; расходы и потребление; сбережения, накопленное имущество и жилье; социальная дифференциация населения; положение малообеспеченных слоев населения.
1.Доходы населения и благосостояние.
Денежные доходы населения включают оплату по труду всех категорий населения, премии, постоянные надбавки к заработной плате и средства на командировочные расходы, пенсии, пособия и стипендии, поступления от продажи продуктов сельского хозяйства, поступления из финансовой системы и прочие.
-Денежные расходы населения включают расходы населения на покупку товаров и оплату услуг, обязательные платежи и разнообразные взносы, прирост сбережений во вкладах и ценных бумагах.
-Среднемесячная заработная плата работающих в отраслях экономики определена делением начисленного фонда оплаты труда на среднегодовую численность работающих Пособия, получаемые работающими из средств социального страхования, в фонд оплаты труда и среднюю заработную плату не включаются.
-Покупательная способность денежных доходов населения - отражает потенциальные возможности населения по приобретению товаров и услуг и выражается через товарный эквивалент среднемесячных денежных доходов населения
-Индекс потребительских цен характеризует изменение во времени общего уровня цен на товары и услуги, приобретаемые населением для непроизводственного потребления.
Система индексов цен, рассчитываемых органами статистики, включает в себя индексы цен и тарифов на товары и услуги на потребительском рынке, цен производителей на промышленную продукцию, цен на приобретаемые предприятиями материално-технические ресурсы, цен реализации сельскохозяйственной продукции, цен в капитальном строительстве, тарифов на грузовые перевозки. Эти индексы рассчитываются по данным наблюдения за ценами товаров-представителей по выборочному кругу предприятий всех типов и форм собственности.
Бюджетная статистика позволяет исследовать доходы, расходы и потребление населения, а также дать характеристику производства валовой продукции в личных подсобных хозяйствах по данным бюджетных исследований. Также изучаются показатели личного потребления семей и показатели уровня потребления непродовольственных товаров
Уровень жизни населения, для его анализа рассчитывается целый ряд статистических показателей, отражающих различные стороны данной категории и сгруппированных в следующие основные блоки:показатели доходов населения;
показатели расходов и потребления населением материальных благ и услуг;сбережение;показатели накопленного имущества и обеспеченности населения жильем;показатели дифференциации доходов населения, уровня и границ бедности;социально-демографические характеристики;обобщающие оценки уровня жизни населения.
К их числу относятся основные показатели демографической статистики, состояния и охраны здоровья, качества и структуры потребляемых продуктов питания, уровня грамотности и состояния сферы образования и культуры, комфортабельности жилья и др. Указанные показатели используются в международной статистической практике для более полной характеристики благосостояния населения. которые наряду с объемом ВВП на душу населения входят в блок обобщающих показателей, не только отражающих уровень жизни населения, но и являющихся важнейшими индикаторами уровня социально-экономического развития страны.
Как было отмечено выше, некоторые показатели в этой системе (доход, потребление) обычно рассматриваются как наиболее важные для анализа уровня жизни, однако они не охватывают все аспекты изучаемой категории
Доходная часть баланса заполняется на основе статистической и бухгалтерской отчетности, выборочных обследований бюджетов домашних хозяйств, данных налоговых инспекций и других источников.
При анализе динамики уровня жизни населения необходимо использовать все перечисленные выше показатели доходов не только в номинальном, но и в реальном выражении, поскольку изменение цен существенно влияет на объем товаров и услуг, который может быть приобретен населением на получаемые им доходы.
В статистической практике обычно рассчитывается не абсолютный объем реальных доходов, а его относительная величина, т. е. соответствующий индекс. Например, индекс реальных располагаемых доходов домашних хозяйств равен:
IРРД = IРД / I Р;где IРД — индекс номинальных располагаемых доходов; I Р — сводный индекс потребительских цен, который является величиной, обратной индексу покупательной способности денег (IПС). Таким образом, можно записать:IРРД= IРД IПС.Кроме того, при сравнительном анализе доходов населения по отдельным регионам, отраслям экономики или социальным группам целесообразно использовать показатели доходов в расчете на душу населения. Средние значения могут рассчитываться не только для всех перечисленных выше показателей (как номинальных, так и реальных), но и для отдельных их составляющих, например, средний размер начисленной заработной платы или назначенной месячной пенсии и т. д.
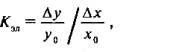
Для количественного отражения зависимости между динамикой доходов или цен и уровня потребления отдельных товаров рассчитываются коэффициенты эластичности, которые показывают, насколько изменяется уровень потребления при изменении среднедушевого дохода (или цены) на 1%:

где у0 и у1 — уровень потребления соответственно в базисном и отчетном периоде;
Δу — изменение уровня потребления в отчетном периоде по сравнению с базисным, т. е. Δу = yl – у0;х0 и х1 среднедушевой доход (или цена товара) соответственно в базисном и отчетном периоде;Δх — изменение среднедушевого дохода (цены товара) за истекший период, т. е. Δх = х1 — х0.гда у0 и у1 — уровень потребления соответственно в базисном и отчетном периоде;
|
объем ВВП рассчитывается в реальном выражении (в постоянных ценах) на душу населения.
Выборочные бюджетные обследования в России являются важнейшим источником статистической информации для изучения региональных различий в уровне жизни населения. Материалы таких обследований позволяют анализировать уровень жизни низкодоходных групп населения а также используются при разработке бюджетов прожиточного минимума.
В связи с этим основным источником информации о расходах на покупку потребительских товаров являются данные торговой статистики об объеме и структуре розничного товарооборота.
Для получения информации о расходах населения на оплату услуг используются статистические данные, предоставляемые учреждениями и организациями, оказывающими такие услуги домашним хозяйствам. В их состав включаются рыночные потребительские услуги (бытовые, жилищно-коммунальные, транспорта и связи, оздоровительные и т. д.) и услуги финансовых посредников (банков, страховых компаний.Важным аспектом статистического изучения уровня жизни населения является определение объема накопленного домашнего имущества, а также сбережений домашних хозяйств. При определении национального богатства страны накопленное имущество домашних хозяйств, т. е. запасы потребительских товаров длительного пользования, выделяется в качестве справочной статьи, все расходы на приобретение таких товаров относятся к конечному потреблению.
Основными источниками статистической информации об объеме накопленного домашнего имущества являются материалы выборочных бюджетных обследований, а также данные торговой статистики о товарообороте по отдельным группам товаров.
Для более глубокого изучения обеспеченности населения жильем определение указанных показателей, как правило, включается в программы проводимых в России переписей населения и выборочных социально-демографических обследований. Полученные таким образом данные позволяют охарактеризовать распределение населения по типам занимаемых жилых помещений (отдельная квартира, индивидуальный дом, общежитие и т. п.) и степени их благоустройства
-Методы изучения дифференциации доходов населения, уровня и границ бедности
Процесс расслоения общества, резко обострившийся в России в последние годы в связи с переходом к рыночным условиям хозяйствования, обусловил необходимость внедрения в статистическую практику нашей страны блока показателей, которые широко используются в международной статистической практике для анализа социально-экономической дифференциации населения.
Важнейшим инструментом такого анализа является построение распределения населения по уровню среднедушевого денежного дохода, позволяющее проводить сравнительную оценку благосостояния отдельных групп населения. Особое внимание при этом уделяется низкодоходным социальным группам, поскольку данный аспект изучения необходим для выработки целенаправленной социальной политики государства.
Для более глубокого изучения обеспеченности населения жильем определение указанных показателей, как правило, включается в программы проводимых в России переписей населения и выборочных социально-демографических обследований. Полученные таким образом данные позволяют охарактеризовать распределение населения по типам занимаемых жилых помещений (отдельная квартира, индивидуальный дом, общежитие и т. п.) и степени их благоустройства (наличие водопровода, центрального отопления и т. п.).
В международной статистической практике к числу показателей жилищного строительства относятся также данные о вводе в действие жилых домов, числе построенных квартир и их среднем размере.
-Методы изучения дифференциации доходов населения, уровня и границ бедностиПроцесс расслоения общества, резко обострившийся в России в последние годы в связи с переходом к рыночным условиям хозяйствования, обусловил необходимость внедрения в статистическую практику нашей страны блока показателей, которые широко используются в международной статистической практике для анализа социально-экономической дифференциации населения.
Важнейшим инструментом такого анализа является построение распределения населения по уровню среднедушевого денежного дохода, позволяющее проводить сравнительную оценку благосостояния отдельных групп населения. Особое внимание при этом уделяется низкодоходным социальным группам, поскольку данный аспект изучения необходим для выработки целенаправленной социальной политики государства.
Обобщающие показатели уровня жизни населения
Анализ основных блоков подсистемы показателей уровня жизни показывает, что каждый из включенных в них показателей отражает количественную или качественную характеристику одного из аспектов благосостояния общества.
Определяющим фактором благосостояния общества является уровень экономического развития страны, поэтому основные индикаторы состояния экономики часто используются в качестве обобщающих показателей уровня жизни. К ним относятся объем валового внутреннего продукта, национальный доход и чистый национальный располагаемый доход. В статистической практике наиболее широко применяется показатель объема ВВП, являющегося конечным результатом производственной деятельности. Для анализа уровня жизни, его динамики и проведения сравнительной характеристики по регионам объем ВВП рассчитывается в реальном выражении (в постоянных ценах) на душу населения.
|
2 Статистические методы анализа взаимосвязи социально-экономических явлений
1.Причинность, регрессия, корреляция
Исследование объективно существующих связей между явлениями - важнейшая задача общей теории статистики. В процессе статистического исследования зависимостей вскрываются причинно-следственные отношения между явлениями, что позволяет выявлять факторы (признаки), оказывающие существенное влияние на вариацию изучаемых явлений и процессов. Причинно-следственные отношения - это связь явлений и процессов, при которой изменение одного из них - причины - ведет к изменению другого - следствия. Особое значение при исследовании причинно-следственных связей имеет выявление временной последовательности: причина всегда должна предшествовать следствию, однако не каждое предшествующее событие следует считать причиной, а последующее - следствием. Социально-экономические явления представляют собой результат одновременного воздействия большого числа причин. Следовательно, при изучении этих явлений необходимо, абстрагируясь от второстепенных, выявлять главные, основные причины. На первом этапе статистического изучения связи осуществляется качественный анализ изучаемого явления методами экономической теории, социологии, конкретной экономики. На втором этапе строится модель связи на основе методов статистики: группировок, средних величин, таблиц и т. д. На третьем, последнем этапе интерпретируются результаты; анализ вновь связан с качественными особенностями изучаемого явления. Статистика разработала множество методов изучения связей, выбор которых зависит от целей исследования и поставленных задач. Связи между признаками и явлениями, ввиду их большого разнообразия, классифицируются по ряду оснований. Признаки по значению для изучения взаимосвязи делятся на два класса. Признаки, обуславливающие изменения других, связанных с ними признаков, называются факторными, или просто факторами. Признаки, изменяющиеся под действием факторных признаков, являются результативными. Связи между явлениями и их признаками классифицируются по степени тесноты связи, направлению и аналитическому выражению. Статистическое изучение взаимосвязи социально-экономических явлений Причинность, регрессия, корреляция
Исследование объективно существующих связей между социально-экономическими явлениями и процессами является важнейшей задачей теории статистики. В процессе статистического исследования зависимостей вскрываются причинно-следственные отношения между явлениями, что позволяет выявлять факторы (признаки), оказывающие основное влияние на вариацию изучаемых явлений и процессов. Причинно-следственные отношения - это такая связь явлений и процессов, когда изменение одного из них - причины ведет к изменению другого - следствия. Финансово-экономические процессы представляют собой результат одновременного воздействия большого числа причин. Следовательно, при изучении этих процессов необходимо выявлять главные, основные причины, абстрагируясь от второстепенных. В основе первого этапа статистического изучения связи лежит качественный анализ, связанный с анализом природы социального или экономического явления методами экономической теории, социологии, конкретной экономики. Второй этап - построение модели связи, базируется на методах статистики: группировках, средних величинах, и так далее. Третий, последний этап - интерпретация результатов, вновь связан с качественными особенностями изучаемого явления. Статистика разработала множество методов изучения связей. Выбор метода изучения связи зависит от познавательной цели и задач исследования. Признаки по их сущности и значению для изучения взаимосвязи делятся на два класса. Признаки, обуславливающие изменения других, связанных с ними признаков, называются факторными, или просто факторами. Признаки, изменяющиеся под действием факторных признаков, называются результативными. В статистике различают функциональную и стохастическую зависимости. Функциональной называют такую связь, при которой определенному значению факторного признака соответствует одно и только одно значение результативного признака.Если причинная зависимость проявляется не в каждом отдельном случае, а в общем, среднем при большом числе наблюдений, то такая зависимость называется стохастической. Частным случаем стохастической связи является корреляционная связь, при которой изменение среднего значения результативного признака обусловлено изменением факторных признаков. Связи между явлениями и их признаками классифицируются по степени тесноты, направлению и аналитическому выражению. Количественные критерии оценки тесноты связиВеличина показателя связи Характер связи До ± 0,3 практически отсутствует; ± 0,3 - ± 0,5 слабая; ± 0,5 - ± 0,7 умеренная; ± 0,7 - ± 1,0 сильная По направлению выделяют связь прямую и обратную. Прямая - это связь, при которой с увеличением или с уменьшением значений факторного признака происходит увеличение или уменьшение значений результативного признака. Так, рост объемов производства способствует увеличению прибыли предприятия. В случае обратной связи значения результативного признака изменяются под воздействием факторного, но в противоположном направлении по сравнению с изменением факторного признака, то есть обратная - это связь, при которой с увеличением или с уменьшением значений одного признака происходит уменьшение или увеличение значений другого признака.Так снижение себестоимости единицы производимой продукции влечет за собой рост рентабельности. По аналитическому выражению выделяют связи прямолинейные (или просто линейные) и нелинейные. Если статистическая связь между явлениями может быть приблизительно выражена уравнением прямой линии, то ее называют линейной связью Если же связь может быть выражена уравнением какой-либо кривой линии, то такую связь называют нелинейной или криволинейной, например: параболы - гиперболы - и т.д. Для выявления наличия связи, ее характера и направления в статистике используются методы: приведения параллельных данных; графический; аналитических группировок; корреляции, регресии. -Метод приведения параллельных данных основан на сопоставлении двух или нескольких рядов статистических величин. Такое сопоставление позволяет установить наличие связи и получить представление о ее характере. -Графически взаимосвязь двух признаков изображается с помощью поля корреляции. В системе координат на оси абсцисс откладываются значения факторного признака, а на оси ординат - результативного. Каждое пересечение линий, проводимых через эти оси, обозначаются точкой. При отсутствии тесных связей имеет место беспорядочное расположение точек на графике. Чем сильнее связь между признаками, тем теснее будут группироваться точки вокруг определенной линии, выражающей форму связи. -В статистике принято различать следующие варианты зависимостей: Парная корреляция - связь между двумя признаками (результативным и факторным, или двумя факторными). -Частная корреляция - зависимость между результативным и одним факторным признаками при фиксированном значении других факторных признаков. -Множественная корреляция - зависимость результативного и двух или более факторных признаков, включенных в исследование. Корреляционный анализ имеет своей задачей количественное определение тесноты и направления связи между двумя признаками (при парной связи) и между результативным и множеством факторных признаков (при многофакторной связи). Теснота связи количественно выражается величиной коэффициентов корреляции, которые давая количественную характеристику тесноты связи между признаками, позволяют определять "полезность" факторных признаков при построении уравнения множественной регрессии. Знаки при коэффициентах корреляции характеризуют направление связи между признаками. Регрессия тесно связана с корреляцией и позволяет исследовать аналитическое выражение взаимосвязи между признаками. Регрессионный анализ заключается в определении аналитического выражения связи, в котором изменение одной величины (называемой зависимой или результативным признаком), обусловлено влиянием одной или нескольких независимых величин (факторных признаков). Одной из проблем построения уравнений регрессии является их размерность, то есть определение числа факторных признаков, включаемых в модель. Их число должно быть оптимальным. Сокращение размерности за счет исключения второстепенных, несущественных факторов позволяет получить модель, быстрее и качественнее реализуемую. В то же время, построение модели малой размерности может привести к тому, что она будет недостаточно полно описывать исследуемое явление или процесс. При построении моделей регрессии должны соблюдаться следующие требования: Совокупность исследуемых исходных данных должна быть однородной и математически описываться непрерывными функциями. Возможность описания моделируемого явления одним или несколькими уравнениями причинно-следственных связей. Все факторные признаки должны иметь количественное (числовое) выражение. Наличие достаточно большого объема исследуемой выборочной совокупности. Причинно-следственные связи между явлениями и процессами должны описываться линейной или приводимой к линейной форме зависимостью. Отсутствие количественных ограничений на параметры модели связи. Постоянство территориальной и временной структуры изучаемой совокупности. Соблюдение данных требований позволяет построить модель, наилучшим образом описывающую реальные социально-эконом
|