Приложение № 1

                    55 Содержание
| Введение | 3 | | 1. | Корпоративный имидж | 5 | | 1.1. | Понятие и значение имиджа | 5 | | 1.2. | Составляющие имиджа компании | 16 | | 1.3. | Концепция формирования имиджа | 25 | | 2. | Оценка и формирование корпоративного имиджа | 34 | | 2.1. | Оценка корпоративного имиджа | 34 | | 2.2. | Оценка корпоративного имиджа на примере ОАО «Престиж» | 41 | | 3. | Корпоративный имидж белорусских предприятий | 48 |
| Заключение | 53 |
| Литература | 55 |
| Приложение | 56 |
|
|
|
|
|
|
|
|
|
|
|
|
Введение Долгое время компании не заботились о своем имидже, ставя на первое место среди целей рекламных компаний сбыт продукции и считая, что бизнес существует только для того, чтобы приносить прибыль. По мнению американских исследователей Т. Питерса и Р. Уотермена компании, которые сформулировали для себя лишь финансовые цели, как правило, не достигают финансовых результатов, каких достигают компании с более широким диапазоном ценностных установок. Конкретнее этот более широкий диапазон ценностей можно определить как идеологию компании, ее внутренний и внешний имидж. Но последняя четверть 20-го века – время, когда компании, корпорации и просто мелкие фирмы открыли для себя силу репутации или как её иногда принято называть имиджа. Сейчас говорят, что имидж можно определить как одну из основных причин победы или поражения в бизнесе и общественной жизни. Никто не знает полного объема тех средств, которые затрачиваются на формирование имиджа той или иной общественной кампании, личности или фирмы. Но можно привести немало примеров, подтверждающих тот факт, что эти затраты однозначно оправданы негативным эффектом стихийного формирования имиджа. Особое значение имидж имеет для крупных и хорошо известных организаций. Такая организация - на виду общественности и в центре внимания СМИ. Ей некуда спрятаться от общественного порицания и невозможно бесследно раствориться в рыночной стихии. Поэтому крупные организации постоянно работают с общественным мнением, используя как собственные подразделения паблик рилейшнз, так и привлекая внешние агентства. Любая крупная и влиятельная организация должна заслужить доверие общества, иными словами, иметь положительный имидж. Рост конкуренции на рынке товаров и услуг давно уже заставил руководство фирм и компаний задумываться о том, как они воспринимаются обществом. Сегодня ни для кого не секрет, что создание верного имиджа помогает покупателю воспринимать деятельность организации, или товар, который производит фирма как нечто отличное от других аналогичных продуктов, нечто лучшее. Положительный имидж, таким образом, всегда прокладывает дорогу позитивной репутации в более широких и существенных областях, таких как качество продукции. Поскольку создание благоприятного имиджа - одно из ключевых звеньев в деятельности фирмы по продвижению своей продукции на рынок, не приходится удивляться, что эта высокая значимость имиджа для успеха организации стимулирует развернутые исследования на эту тему. Целью данной курсовой работы является изучение процесса формирования корпоративного имиджа. В первой части работы будет рассмотрен теоретический материал – понятие и значение имиджа, концепция его формирования. Во второй части работы будет дана оценка формированию имиджа на примере конкретной организации. В третьей части курсового проекта будет рассмотрен корпоративный имидж белорусских предприятий. Для решения поставленных задач изучены учебная литература, периодическая печать, использованы Интернет ресурсы. Корпоративный имидж 1.1. Понятие и значение имиджа Определяющую роль во взаимодействии компании с партнерами, сотрудниками, поставщиками, акционерами и клиентами играет корпоративный имидж. Именно он влияет на формирование их мнения о компании, уровень доверия к ней и готовность вкладывать свои ресурсы в данный бизнес. Но для того чтобы компания получила максимальную пользу от собственного имиджа, действия по его формированию, поддержке и защите должны стать такой же обязательной частью ежедневной работы, как продажи или бухгалтерский учет. Понятия «имидж», «бренд» и «репутация» все чаще встречаются в бизнес-литературе. Их часто используют как синонимы, хотя именно от проведения различия между этими понятиями зависит успех коммуникационной стратегии компании. Корпоративный имидж — это набор созданных компанией образов и сообщений, которые она транслирует во внешний мир доступными способами. Бренд — устойчивый набор ожиданий и эмоций по отношению к продукту компании или к ней самой. А репутация — устойчивое оценочное мнение о компании, которое складывается по прошествии времени у её публик в соответствии с критериями, актуальными для каждой из них (рис. 1) (4, с. 12). Таким образом, ключевое различие между этими тремя понятиями состоит в степени влияния компании на «конечный продукт» ее усилий. Если имидж в значительной мере создает сама компания (с учетом реалий бизнес-среды), а становлению бренда помогают потребители, то репутация подвержена минимальному контролю со стороны коммерческой организации, поскольку формируется в «чужих головах» под влиянием всех открытых действий компании и ее конкурентов, в том числе и не относящихся к выпускаемому ею продукту.  Рисунок № 1. Структура репутации При этом репутация — один из активов компании, который может приносить ей как прибыль, так и убытки. Актив — это любая собственность, которая имеет ценность при обмене. А чтобы репутация стала активом, должен появиться платежеспособный спрос на нее со стороны потребителей, СМИ, партнеров, инвесторов и других групп, которые влияют на бизнес компании и в определенной степени зависят от него. Так что формирование имиджа — лишь первый шаг на пути к приобретению репутации как дополнительного источника конкурентного преимущества. Однако, несмотря на рост спроса на репутационный актив в корпоративной среде, многие игроки отечественного рынка не рассматривают свою репутацию в таком ключе, а значит, не уделяют достаточного внимания формированию имиджа, способного со временем принести компании выгоду. Причин такой ситуации несколько: - многие рынки находятся в стадии активного формирования. И перед компаниями стоят вопросы выживания, контроля над расширением и сохранения рыночной доли, не решив которые, нельзя удержаться на рынке; - массовая практика оценки, вывода на IPO или продажи бизнеса по рыночным ценам еще только формируется. Из чего следует, что прямая связь между финансовыми потоками и имиджем неочевидна для большинства компаний, которые не готовятся к продаже или IPO либо не проходят оценку материальных активов и рыночной стоимости; - отечественная бизнес-среда все еще изобилует рисками, сопряженными с нестабильностью политической ситуации. Правила игры непрозрачны и не до конца понятны, поэтому компаниям сложно определиться с тем, какими они должны быть в нынешних рыночных условиях; - в отечественном информационном пространстве не хватает увлекательных бизнес-событий, которые были бы адекватно освещены, а преобладающая информационная закрытость компаний существенно тормозит построение и популяризацию успешных репутационных моделей. Выходом из сложившейся ситуации может быть «технологизация» процесса формирования корпоративного имиджа на всех уровнях компании (собственными силами или с привлечением профессионалов). При этом важно учитывать риски отечественной бизнес-среды, а также уровень подготовки сторон, которые участвуют в создании имиджа фирмы, активно общаются с внешним миром. И первый шаг к целенаправленному формированию корпоративного имиджа — осознание того, что если компания уже работает на рынке, создавать имидж поздно. Его можно только корректировать. А значит, прежде чем разрабатывать новый имидж, хорошо бы изучить нынешний и понять: - насколько сложившийся имидж однозначен и распространен; - каковы ключевые характеристики сложившегося имиджа компании; - велики ли различия между желаемым и сложившимся имиджами; - в сознании каких аудиторий и насколько прочно укоренился имидж компании. Показательный пример коррекции корпоративного имиджа на уровне ключевых персон — информационная активность Лакшми Миттала, владельца LNM Group (в число активов которой входит Mittal Steel), в международных СМИ. Mittal Steel, известная жесткими подходами в отношении приобретаемых проблемных активов, в ходе слияния с Arcelor столкнулась с необходимостью соответствовать привычным в Западной Европе и США понятиям о крупном игроке глобального рынка. Однако среди основных аудиторий (СМИ, органов Европейской комиссии, выдававших разрешение на сделку, ведущих производителей стали, основного конкурента — российской компании «Северсталь») Mittal Steel приобрела неоднозначный имидж, который заключал в себе несколько негативных характеристик. Поскольку сделка имела определяющее значение для формирования структуры глобального рынка стали, имидж Mittal Steel стал предметом дискуссии в ведущих мировых СМИ. Чтобы противостоять потоку негативной информации, Лакшми Миттал на протяжении всего процесса заключения сделки придерживался активной позиции инвестора, охотно раскрывал планы миллиардных вложений в приобретаемые активы, а также уделял внимание собственном медиа-имиджу как лидера и человека. Он дал интервью большинству ведущих мировых бизнес-СМИ (Reuters, New York Times, BBC, Financial Times и др.). В беседах с журналистами он раскрывал интересные подробности собственной биографии, характеризовавшие его как динамичного лидера компании, достойного занять место среди мировых гигантов в своей отрасли. Так, в интервью одному из ведущих деловых порталов Индии фигурировала история о том, что Лакшми Миттал целиком посвящает себя бизнесу. Однажды, сославшись на дела, он даже отклонил приглашение на статусное мероприятие (с премьер-министром Великобритании Тони Блэром в роли председателя), организованное, чтобы чествовать богатейших представителей стран Азии, проживающих в Великобритании. Все коммуникации Mittal Steel акцентировали внимание на внушительных суммах, которые компания готова платить за приобретаемые ключевые активы. По данным New York Times, благодаря этому акционеры Arcelor, узнав в ходе собрания о желании совета директоров отклонить почти $34-миллиардную сделку с Mittal Steel, пригрозили поднять бунт, что повлияло на решение о слиянии двух стальных гигантов. Естественно, в коммуникационной политике Mittal Steel было задействовано множество других составляющих, но в случае с практически единственным публичным лицом коррекция имиджа происходит быстрее, поскольку внимание бизнес-сообщества, общественности и СМИ приковано к одной-двум персонам, принимающим ключевые решения в компании (4, с. 13). Если вернуться к отечественному рынку и его готовности к восприятию корпоративного имиджа как фактора стоимости и конкурентного преимущества компании, то у бизнеса появились потребности, которых не было раньше. В конкурентной среде борьба за рынок и инвестиционные средства ведется уже не на уровне продукции или услуг, качество которых становится необходимым для выживания. А значит, компании нуждаются в определенном имидже, потому что он означает дополнительный доход, доверие партнеров, рост капитализации, более дешевые кредиты, лояльность потребителей, защищенность в кризисной ситуации и внимание СМИ. В начале ХХІ века стал формироваться спрос на репутацию как актив бизнеса, и на сегодняшний день нематериальные активы составляют, по данным International Reputation Institute, до 40% стоимости компании (в случае транснациональных корпораций этот показатель составляет 70-90%). Понятие рынка для коммерческой структуры стало включать в себя не только потребителей, но и целый ряд ключевых аудиторий, общение с которыми непродуктивно, если для него используются маркетинговые инструменты. Журналистам, партнерам, инвесторам, органам контроля, лидерам мнений, группам активистов продукция компании интересна лишь во вторую очередь. А в первую очередь их интересуют качество управления фирмой, личность руководителя, управляющая команда, бизнес-модель, позиция на рынке, планы на будущее. Формирование имиджа как основы репутации компании на отечественном рынке сопряжено с целым рядом рисков и особенностей, которые неизбежно влияют на результат PR-усилий в данном направлении. К этим особенностям относятся: - нечеткость имиджа большинства компаний. В открытых источниках много противоречивой информации, большинство компаний не занимались своим имиджем целенаправленно, и он формировался преимущественно под влиянием бизнес-среды и конкурентов. Результат — смещение внимания публик с ключевых моментов бизнеса компаний на те, информацию о которых можно найти; - отсутствие коммуникационной политики и стратегии на уровне руководства компании. Кто, что, когда, кому и зачем должен говорить, чаще всего неясно (по крайней мере, нет документа, который содержал бы информацию такого рода, и которым можно было бы пользоваться). Ответов на возможные ключевые и сложные вопросы в консолидированном виде тоже, как правило, нет; - многие отечественные компании находятся на разных этапах процесса реструктуризации. Поэтому остается мало времени для имиджевых коммуникаций, не говоря уже о донесении до внешнего мира информации о самих реструктуризационных процессах. Компании чаще всего не занимаются системным наполнением информационного пространства сообщениями о том, что происходит с их бизнесом; - руководство многих компаний не готово к публичности. Готовность к публичности и желание общаться с внешним миром — разные вещи. Одна из задач PR-службы — вооружение публичных персон всеми необходимыми навыками формирования корпоративного имиджа в ходе публичных выступлений или общения со СМИ. Оптимальная частота медиа-тренингов для активного публичного руководителя — один раз в шесть месяцев; - PR-службы большинства компаний не обладают достаточными для их работы полномочиями. Поскольку на отечественном рынке формирование имиджа компании редко является осознанной стратегической задачей, информационные запросы PR-служб, адресованные руководству, часто обрабатываются по остаточному принципу. Результат — сложные отношения со СМИ из-за нерегулярности общения и срыва сроков; - узость медиа-канала. Только считанные издания на рынке деловых СМИ могут похвастаться охватом и портретом аудитории, которые необходимы для качественного донесения имиджевых сообщений. Учитывая активный рост отечественных рынков, конкуренция сообщений и новостей за место в этих немногих СМИ слишком высокая, а отраслевых медиа на сегодняшний день недостаточно для комплексного формирования корпоративного имиджа. Чтобы проиллюстрировать примерами практики формирования, поддержки и защиты корпоративного имиджа на отечественном рынке, нужно понять, из чего состоит имидж компании. Существует несколько подходов к выявлению его составляющих, и все они в целом схожи между собой — разнятся лишь формулировки и уровни детализации. Так, по данным Всероссийского центра изучения общественного мнения (ВЦИОМ), корпоративный имидж компании складывается из следующих элементов. Узнаваемость компании. Речь может идти как об элементах бренда или продукта, так и о яркой личности руководителя, если именно он вызывает четкую ассоциацию с компанией. Одним из наиболее узнаваемых корпоративных имиджей в России на сегодняшний день обладает Beeline (компания «Вымпелком), сменившая привычные корпоративные цвета на желто-черные полоски. Изменение имиджа сопровождалось активными дискуссиями в профильных печатных и электронных СМИ, причем критических замечаний было достаточно много, особенно в отраслевых форумах и блогах. В деловых кругах миссию поддержки узнаваемости компании выполняет генеральный директор «Вымпелкома» Александр Изосимов, ставший идеологом ребрендинга компании и переориентации ее бизнеса с технологий на потребителя. Изосимов с точки зрения информационной деятельности — один из наиболее активных руководителей на российском рынке мобильной связи. Он также стал, в определенной степени, носителем репутации компании, поскольку котировки ее акций реагировали падением каждый раз, когда на рынок попадала информация о возможном уходе Изосимова из «Вымпелкома». Воспринимаемость ключевых имиджевых характеристик компании (что компании важно сказать о себе для полноты и адекватности ее восприятия целевыми аудиториями). Часто на этот элемент имиджа влияет восприятие определенной страны или отрасли. Подобная ситуация сегодня сложилась в США, в сфере производства свежего шпината. После того как Управление по контролю за продуктами и лекарствами США объявило о том, что в продукции крупнейшего поставщика свежего шпината на американский рынок найдена кишечная палочка, продажи шпината во всех штатах катастрофически упали. И хотя позже Управление уточнило географические рамки распространения инфекции и названия компаний — производителей небезопасного продукта, напуганные потребители практически исключили шпинат из своего рациона. При этом, несмотря на публичные рекомендации экспертов по кризисным коммуникациям Sitrick and Company скорее начать информационную кампанию, чтобы возродить интерес к шпинату, производители пока колеблются. Зато Ассоциация производителей свежих фруктов и овощей США, оценив разрушительные возможности отраслевой паники, запустила масштабную кампанию по продвижению зеленых овощей, чтобы предупредить «перенос» потребительского бойкота со шпината на все зеленые овощи. Оценка целевыми аудиториями значимых характеристик компании (чем компания занимается, какой она себя видит, в чем преимущество компании или ее продукта). Корпоративный имидж особенно важен на потребительских рынках из-за относительной дешевизны и взаимозаменяемости многих продуктов. А поскольку потребительские товары и услуги часто становятся символами определенных целевых групп, малейшие изменения корпоративного имиджа могут восприниматься болезненно и повлечь за собой падение продаж того или иного продукта или разрушение имиджа компании. Так, по решению администрации McDonald's в амстердамских туалетах были установлены унитазы необычной формы — в виде открытых губ. Оригинальная продукция известной в Нидерландах компании Bathroom Mania и предмет гордости ведущего дизайнера Meike van Schijndel быстро стала популярной за пределами страны. Даже Virgin Airways планировала установить несколько подобных «произведений искусства» в нью-йоркском аэропорту Кеннеди. Но одному из посетителей амстердамского ресторана McDonald's показалось, что сантехника подобной формы унижает женщин, и он отправил жалобу в штаб-квартиру McDonald's в США. Руководство компании не оценило дизайнерского изыска, по их мнению, конфликтовавшего с семейными ценностями, которые представляют собой часть имиджа компании, и велело демонтировать «возмутительные» унитазы. Неудача постигла и планы Virgin Airways по установке произведений Meike van Schijndel в аэропорту Кеннеди. Лояльность к компании. На современных рынках лояльность потребителей к компании — одна из наиболее трудно закрепляемых поведенческих установок, что объясняется разнообразием продуктов и услуг. Корпоративный имидж, как фактор формирования мнения о компании или ее продукте, в значительной степени определяет лояльность потребителей, особенно в условиях недостатка информации, на рынках непотребительских товаров и сложных услуг: дорогостоящих, с отложенным эффектом, которые трудно «потрогать руками». В данном случае имидж должен быть уникальным, иначе компания не застрахована от потери доверия потребителей. Именно в такой ситуации оказалась группа компаний «ELIT Эдельвейс», входящая в десятку крупнейших украинских операторов рынка ландшафтного дизайна. После скандала с вкладами в строительный проект «Элита-центр» «ELIT Эдельвейс» была вынуждена поменять имя на «Грин Групп», поскольку стала терять покупателей, ассоциировавших ее со скандальным строительным холдингом. Евгений Голубовский, заместитель генерального директора группы по имиджевой политике, оценил объем заказов, недополученных компанией вследствие порчи имиджа, в $90 тыс. Узнаваемость и воспринимаемость руководства компании (баланс человеческих и профессиональных качеств). Значение человеческого фактора для корпоративного имиджа трудно переоценить. Удельный вес личности руководителя компании в ее репутации, по разным исследованиям, составляет от 30 до 50%. А в условиях, когда продолжается переход от накопления капитала к профессиональному управлению им, руководитель или владелец компании (а часто это одно и то же лицо), независимо от его реальных полномочий, воспринимается общественностью как лицо и совесть компании. Иными словами, все решения и поступки этого человека, о которых становится известно, влияют на отношение к компании и ее продукции. Особенно показательна ситуация с восприятием руководителей двух крупнейших сетей салонов мобильной связи — Евгения Чичваркина (совладельца и руководителя компании «Евросеть») и Максима Ноготкова (президента группы компаний «Максус», которая владеет сетью «Связной»). Компании придерживаются диаметрально противоположных имиджевых стратегий, причем разные аудитории по-разному воспринимают имидж «Евросети» и «Связного». Если для «Евросети» характерны эпатажные коммуникационные ходы, фигурантом или идеологом которых является Евгений Чичваркин, то «Связной» на сегодняшний день следует стратегии «гонки за лидером», а Максим Ноготков изредка дает интервью деловым СМИ, предпочитая акцентировать продуктовые коммуникации. Узнаваемость руководителя, несомненно, более высока у «Евросети», причем на виду как управленческие, так и человеческие качества Евгения Чичваркина, что обусловливает популярность его самого и его компании среди молодой аудитории. В публичном имидже Максима Ноготкова преобладают профессиональные качества, чем во многом определяется и позиционирование его компании. Сегодня, при очевидной озабоченности корпораций вопросами имиджа и репутации, усилия, направленные на формирование и поддержку имиджа, чаще заметны по информационной работе при подготовке к IPO и крупным международным сделкам или реструктуризации активов промышленных предприятий, сменивших собственников. Активно формируют имидж компании на конкурентных рынках (таких как мобильная связь, продукты питания, бытовая электроника, некоторые промышленные компании и пр.), но чаще всего с привязкой к продаваемой продукции. О целенаправленной же и системной работе над имиджем в понимании, выходящем за пределы маркетинга, только начинают говорить. Составляющие имиджа компании Как говорят: «бизнес — в первую очередь». Формирование имиджа компании должно быть экономически целесообразным. Если социально ответственный имидж дает компании некие преференции — отлично, он должен быть создан. Если «социально безответственный» имидж ведёт к снижению продаж — его нужно корректировать. Если же он не влияет — забудьте о нем. Основная цель — эффективная работа компании на рынке. И чтобы обозначить ключевые принципы формирования нужного представления о компании на рынке, нужно разложить на составляющие и само понятие Public Relations. Чтобы понять, какое представление необходимо формировать у потребителя, для начала нужно определить, на каких рынках вообще работает компания. По мнению специалистов «PR-проект CORPO: корпоративные коммуникации», существует 4 глобальных рынка, где существует контекст «продавец — потребитель» (формирование имиджа вне этого контекста — по умолчанию выброшенные деньги). Это рынок Business 2 Business (B2B, межкорпоративный бизнес); Business 2 Customer (B2C, рынок конечного потребителя); Business 2 Labour (B2L, рынок труда); Business 2 Government (B2G, рынок правительственных и властных структур) (рис. 2) (8). Соответственно, направления формирования представления о компании возникают следующие: Business Relations (BR — управление отношением потребителей на корпоративном рынке), Customer Relations (CR — управление отношением конечных потребителей), Labour Relations (LR — управление отношением к компании на рынке труда), Government Relations (GR — управление отношением к компании на уровне власти). Таким образом, PR=BR+CR+LR+GR (8). Новомодные термины вроде IR (Investor Relations) являются частным случаем BR, так как они опять же связаны с рынком B2B. А термин MR (Media Relations) вообще является неуместным, так как связь осуществляется не со средствами Media (на которые влиять в принципе невозможно), а с конкретными персонами, что можно отнести к инструментарию, но никак ни к стратегическим направлениям работы.  Рисунок № 2. Компания и рынки Однако, само понятие «компания» или «корпорация» видится какой-то абстракцией, за которой стоит неясно что. А для чёткого планирования действий, нужна не менее чёткая постановка задач и целей в каждом конкретном случае. Оперируя общим понятием «компания», этого добиться невозможно. Нужно и это общее, абстрактное понятие разделить на отдельные слагаемые. Итак, из каких отдельно воспринимаемых элементов может состоять компания? Так как нам нужно сохранить работоспособность модели, требуется небольшой набор элементов. Мы приняли, что у компании есть основные 4 составляющие, которые так или иначе могут потребляться на каждом из рынков: производственные активы (все, что так или иначе связано с производством продукта: площади, оборудование, технологии и ноу-хау), потребительские продукты-бренды, персонал и первые лица (рис. 3) (8). Производственные активы по умолчанию являются важными для субъектов рынка B2B, так что на этом рынке, формирования представления о производственных активах необходимо. Но и рынок конечного потребителя заинтересован в информации о том, как и где сделан продукт. Можно вспомнить былую важность «белой» сборки (в противовес «желтой» или «красной»), это был как раз интерес к производственным активам, в том числе и со стороны конечного потребителя.  Рисунок № 3. Воспринимаемые элементы компании Когда все продукты становятся более-менее качественными, вопрос производства продукта-бренда продолжает интересовать конечного потребителя, просто он уточняет свои запросы, интересуясь не только тем, хорошо ли плохо сделан продукт, но и как именно он сделан. К примеру, покупая водку, человек не слепо покупает бренд, но и интересуется технологией её производства (что понимают и сами участники рынка, говоря в рекламе о технологиях очистки, например). На рынке труда, производственные активы также имеют значение, ведь они определяют условия работы. Рынок правительственных структур живёт по особым законам, особенно в нашей стране. Но если брать идеальную модель, не подразумевающую «серых» и »черных» схем, то вопрос технологий производства продукта может быть важным при планировании госзаказов и выборе партнёров. Потребительские продукты и бренды конечно же важны для рынка B2C, но и другие рынки в них заинтересованы. Для прочих рынков это важная составная часть понятия «репутация», которая влияет на принятие решения, следовательно, формирование имиджа в этих направлениях также обосновано. Для рынка B2B это может являться или фильтром для поставщиков или же дополнительным аргументом для заказчиков. На рынке труда, работа в компании, производящей известный продукт или сильный бренд является дополнительным стимулом. Что опять же понимают и участники рынка, при размещении вакансий, к примеру, всегда указывая этот факт. Персонал компании также может играть весомую роль в принятии решения потребителем на любом рынке, если общение с этим персоналом занимает большую часть времени. На рынке B2B все-таки взаимодействуют не только компании, но и люди. Рынок B2C, в особенности рынок услуг, где очень многое завязано на взаимоотношение заказчика и исполнителя, также требует работы в этом направлении. Формирование нужного представления о коллективе компании и взаимоотношениях в нем по умолчанию важно и для рынка труда. Потому и здесь незначительных деталей быть не должно. Важность восприятия первых лиц также нельзя снимать со счетов. Достаточно вспомнить Стива Джобса, главу Apple или же Билла Гейтса, отца-основателя Microsoft, отношение к которым в определенной степени формировало отношение и к компаниям на рынке и к конечным продуктам. В России такие примеры также можно наблюдать: это и Евгений Чичваркин, создатель «Евросети», и Олег Тиньков, и другие персоны делового мира, ведущие активную публичную деятельность. Отношение к ним влияет на отношение к компании, но чтобы подходить стратегически к имиджу в целом, нужно рассматривать и отдельные элементы компании, которые затем будут подаваться в комплексе. Понимать, что именно и как делать — всегда проще и эффективнее, чем действовать наобум. Таким образом, приходим к следующей схеме взаимоотношений компании и рынков, на которых эта компания работает и где может потребоваться формирование нужного представления у потребителя.  Рисунок № 4. Взаимоотношения компании и рынков (общая модель) Выше приведена схема (рис. 4) (8), включающая в себя все возможные контексты встречи компании и потребителя. Далеко не все могут быть актуальны, потому следующим этапом идёт фильтрация, в ходе которой убираются все несущественные и неважные направления работы и оставляется только то, что нужно. Принцип фильтрации очень прост: слагаемое компании сопоставляется с рынком и делается вывод о том, влияет ли это слагаемое в конкретном случае на решение потребителя или нет. Если конкретный элемент компании не влияет на принятие решения потребителем, от него нужно отказаться без сожаления. Если бренд не ориентирован на рынок B2B – это направление убирается. Если конечный потребитель не взаимодействует с персоналом компании – значит и это направление признается несущественным и устраняется из схемы. В результате, должны остаться только те направления формирования представления, которые могут влиять на выбор. Это значительно упрощает картину и делает её намного реалистичнее (рис. 5) (8). В каждом конкретном случае, направления действий свои.  Рисунок № 5. Пример реальной схемы взаимодействия компании и рынка Какой именно имидж должен формироваться? Если компания является первой, кто формирует соответствующее представление о себе на конкретном рынке, этот образ должен опираться на понятие качества и лучших потребительских характеристик (в том числе удобства работы в компании для рынка труда или же гарантии качества на рынке B2C). На фоне всеобщего молчания, этого уже достаточно, чтобы имидж вел к выбору в пользу компании. Это можно представить как появление первого марочного продукта среди безликих и безымянных упаковок на полке супермаркета. Другое дело, что такая ситуация уже практически не встречается. И мы приходим к уточнению формируемого имиджа, то есть к брендингу: созданию четкого стереотипа о смысле приобретения для потребителя (8). Говоря о брендинге, подразумевается, что работа должна строится не вокруг какого-то абстрактного позитивного имиджа, но вокруг уникального и просчитанного имиджа. В основе бренда всегда лежит идея о том, что именно нужно сказать потребителю. Исходя из концепции брендинга, идея бренда состоит из трех слагаемых, каждое из которых отвечает на свой вопрос, а все вместе формируют законченное рыночное предложение. Это вопросы: «что это?», «для кого это?» и «почему этот кто-то должен купить это что-то». Это описание потребности, которую удовлетворяет продукт (в том числе и какое-либо «продаваемое» слагаемое компании), личностной ценности, включающей личное отношение потребителя и целевой аудитории, на которую осуществляется влияние. Потребности, согласно модели мотивации человека, можно условно разделить на 3 основных блока: ситуативные модели (соответствие продукта решению проблем в определенной жизненной ситуации потребителя), ролевые модели (шаблоны имиджа, соответствие которым получает потребитель через покупку) и культурный фактор (принадлежность к устойчивой группе через соответствие стандартам этой группы). Ценности уточняют потребности, говоря как именно эти потребности должны реализовываться, параллельно интегрируя бренд во внутренний мир человека, делая его синонимом самих ценностей (символом статуса или разумной экономии, к примеру). Целевая аудитория — группа, выделенная по соответствующим критериям, которые следует из потребности. Рынок B2C является наиболее сложным, там задействованы все возможные потребности. На прочих же рынках актуальны только ситуативные модели, то есть то, для чего потребитель покупает продукт (аспект компании). Если компания поставляет на рынок железобетонные изделия, их потребитель не покупает мир во всем мире и т.п. Он покупает железобетонные изделия, решающие его бизнес-запросы. Это и есть ситуативная модель. Ее можно уточнить соответствующими ценностями: можно купить ЖБИ быстро, а можно точно в срок, пунктуально, без срывов. Можно купить дешево, а можно с гарантией. Это уже уточнение потребности при помощи соответствующих ценностей — скорость, пунктуальность, дешевизна, качество. Не нужно придумывать невменяемые варианты и прикручивать к имиджу компании целый список из понятий в духе «уверенности в себе» или «сексуальности». На рынках B2C или B2L это не работает в принципе. Нужно предложить то, что может заинтересовать потребителя, при этом дистанцируясь от конкурентов при помощи концентрации на определенной ценности. Аналогично и на рынке труда: субъекту рынка глубоко параллельно помогает ли компания голодающим аборигенам или вымирающим тараканам Амазонии. Для него важна ситуативная модель «работать». И имидж компании должен строиться вокруг этой ситуации, уточненной соответствующей ценностью, которая определяет «как именно работать» — расслабляться в хорошем коллективе, но за небольшие деньги, или же пройти суровую школу жизни и т.п. Отдельно нужно остановиться на имидже первых лиц, так как это вопрос достаточно сложный. Разумеется, если руководитель или владелец хочет стать популярным в принципе, это его личное дело, а то чем он намерен заниматься — дело десятое. Но если говорить о стратегии влияния, которая должна быть интегрирована в общие цели компании — успех на рынке, то отдавать этот вопрос на откуп непредсказуемой личности нельзя. Бренд известной персоны в контексте успеха компании на рынке не есть нечто самоценное, этот образ, по сути, второстепенен и должен поддерживать все прочие слагаемые, если это возможно. Воспринимаемый образ человека также состоит из трех слагаемых — потребностей того, кто является потребителем имиджа, зрителем, воспринимающей стороной. Эти потребности уже обозначались выше: это соответствие ситуативной модели (достижения и авторитет в определенной сфере), ролевой модели (воплощение определенного шаблонного типа человека) и культурного фактора (группы, к которой персона может быть отнесена). И если какое-то из этих слагаемых может соответствовать той идее, которая продвигается на каком-либо рынке, образ руководителя или владельца имеет смысл также продвигать. Ведь он усилит нужное представление. Если же то, что из себя представляет данная персона, не может помочь в этом начинании, продвигать ее нет смысла. К примеру, возвращаясь к железобетонным изделиям, если руководитель имеет докторскую степень в области технологий производства бетона, это существенный плюс к имиджу компании. Если же он мастер спорта по стрельбе, это отношения к бизнесу не имеет, и опираться на это не имеет смысла. Аналогично и с другими слагаемыми: если руководитель имеет контркультурный вид и бренды компании ориентированы на соответствующую публику — это повод сделать босса известным в соответствующем контексте. Если же, при производимых контркультурных брендах, глава компании выглядит как респектабельный банкир — такой образ лучше не продвигать. Конечно, любой имидж можно скорректировать, но из человека нельзя сделать то, чем он не является. Потому и говорится о второстепенности продвижения конкретных персоналий. Они не могут сделать продукт популярным на массовом рынке (с оговоркой — если продвигаемая персона не была широко известна ранее), но изменить его восприятие в негативную сторону — вполне. Потому, здесь нужно быть особенно осторожным и не продвигать персональный брендинг как панацею. Возможно, предложенная модель поначалу покажется сложной. Но для человека, способного мыслить системно и стратегически, такая модель будет намного более удобной, чем метод «заявить о себе что угодно, лишь бы заявить», так как предлагаемая модель подразумевает упорядоченность элементов в такой непростой сфере как PR с такими непростыми задачами, как формирование нужных представлений о компании на разных рынках. Также, можно сказать и прописную истину о том, что врать — нельзя. Это даже не то, чтобы неэтично, это просто невыгодно, обман вскроется, а потребитель отвернется от компании на данном рынке. Компании, представляющие из себя «концлагерь» и заявляющие о своей «дружественности» работнику на рынке труда выглядят просто глупо. Но всегда, даже негативную особенность можно подать так, чтобы определенная группа людей отнеслась к этому позитивно. В этом и заключается основная задача «связей с общественностью» в наше непросто время, когда говорить что-то всем — все равно, что не говорить ничего и никому. Имидж должен быть четко просчитан и вести к успеху на рынках. Иначе, он просто не нужен.
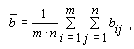
1.3. Концепция формирования имиджа Основой гармоничного развития любой сущности является принцип соответствия. Амбиции должны соответствовать амуниции, человек — занимаемой должности, должность — статусу человека, образование — востребованности, родители — детям (и наоборот), планы — целям, имидж — компании, а компания — имиджу. То есть принцип соответствия имеет выраженную обратную связь. Согласно принципу соответствия, имидж определяется как корреляция между представлением, которое компания хочет создать о себе у потенциального клиента, и представлением о компании, которое существует у потенциального клиента. У данного определения есть две выраженные части: первая — активные действия компании по формированию и адекватному восприятию своего «лица»; вторая — собственно «отражение» лица компании в «зеркале» клиента. При этом, естественно, представления компании о себе и представления клиента о компании могут не только не совпадать, но и быть крайне далеки друг от друга. Имидж, определенный таким образом, можно представить в виде весов, где оптимум — равновесие. Может перетягивать «чаша компании» — тогда надо существенно вкладываться в формирование своего «лица» и навязывать свой неповторимый облик всем и надолго. Можно оставить все как есть — тогда перевешивает «чаша клиента», и надо лишь поддерживать представление о себе. Это не очень хлопотно и не очень затратно, безусловно, при положительном восприятии клиентом компании. Однако такая политика вряд ли привлечет дополнительное число клиентов к компании, да и многих старых клиентов можно потерять, если им захочется чего-нибудь «свеженького». Если же у компании в глазах клиента не столько «лицо», сколько «морда», то есть только два видимых пути: поддержание отрицательного имиджа, либо вложение средств в доказательство того, что «мы просто болели», а на самом деле — «мы белые и пушистые». Автор Вишнякова М. предлагает наименее затратный путь достижения искомого равновесия, выверенный согласно принципу соответствия. Из принципа соответствия можно выделить несколько следствий, необходимых для формирования данной концепции имиджа (6, с. 5). Следствие 1. Имидж компании должен соответствовать стратегии развития компании, опирающейся на удовлетворение определенных потребностей всего рынка или его сегмента. Народу это должно подаваться, как стремление компании удовлетворить потребности клиента и, соответственно, построение имиджа «от потребностей клиента». Следствие 2. Имидж компании соответствует уровню/этапу развития компании. Следствие 3. Внутренний имидж компании соответствует внешнему имиджу компании. Следствие 4. Имидж компании соответствует современному этапу развития общества, в котором существует компания. Но: в этом следствии есть скрытая часть: тот имидж компании, который открыто подается на рынок, безусловно, должен соответствовать данному этапу развития общества (дабы не раздражать клиента непонятностью оказываемых благодеяний), однако внутри компании должна постоянно проводиться работа по возможным трансформациям имиджа в соответствии с потенциальными изменениями условий рынка. При этом «новые» элементы имиджа должны хитро вплетаться в старый, привычный рисунок, чтобы у пугливого старого клиента было время привыкнуть к ним неосознанно, а пытливый молодой клиент мог «клюнуть» на инновации в поисках «свеженького». Известно, что любая компания проходит в течение своей жизни четыре основных этапа: 1 этап формирования компании с прицелом на определенный сегмент рынка; 2 этап утверждения компании на захваченных позициях и более или менее стабильного существования; 3 этап инновационной деятельности компании с целью расширения рынка при стабильно прочном положении на занимаемых позициях (кульминация существования компании — «золотой век»); 4 этап трансформации компании, приводящий либо к отмиранию компании (быстрому — например, банкротству, медленному — стагнации), либо к очередному инновационному витку и возрождению подобно Фениксу. Очевидно, что каждому этапу должна соответствовать своя имиджевая политика, как внешняя, так и (возможно, в первую очередь) внутренняя, призванная обеспечить максимальную прибыль на данном этапе развития и подготовить «плацдарм» для благополучного прохождения следующего этапа. Из обозначенных функций имиджевой политики видно, что для нее характерна некоторая величина запаздывания — то есть если компания начала суетиться по поводу имиджа данного этапа, уже находясь на данном этапе, то она опоздала. Успешность прохождения каждого последующего этапа определяется адекватностью имиджевой политики предыдущего этапа. Автор Вишнякова М. предлагает следующие шаги по формированию и подтверждению имиджа (внутреннего и внешнего) компании в зависимости от этапа ее развития (6, с. 6). 1 этап. Компания находится в стадии становления, затраты на формирование имиджа и общую рекламу минимальны. Внутренний имидж компании на данном этапе также только формируется. Основные задачи, которые нужно решать в это время внутри компании (в аспекте создания имиджа): определение срочных и перспективных целей функционирования компании и составление планов деятельности; сегментирование рынка в соответствии с планами, создание товарного знака, логотипа компании; подбор и расстановка сотрудников, адекватных занимаемому месту и общим целям компании; разработка общего стиля компании, концепции внешнего оформления офиса; проведение маркетинговых исследований и составление прогнозов развития компании с помощью разовых привлечений экспертов; создание начальной базы данных реальных и потенциальных клиентов. Внешний имидж в это же время, в силу минимальности затрат на рекламу, требует следующих действий: рассылка информационных писем о создании, целях и общей стратегии компании потенциальным партнерам и клиентам. Внешняя реклама делает упор на уникальность предлагаемых компанией услуг или товаров, тем самым определяя будущую нишу компании на рынке. В случае претензий компании на определенный сегмент рынка, реклама должна учитывать специфику данного сегмента и, следовательно, подчеркивать качественность предлагаемых компанией услуг. Товарный знак пока подается очень ненавязчиво. На первом этапе существования компании и создания ее имиджа важно строго следить за соблюдением соответствия обещаний и их реализации. Лучше пообещать скромные услуги, но достойно их реализовать, чем обозначить широкий спектр, но обеспечить выполнение лишь какой-то части обещанного. Репутация вновь создаваемой компании должна вполне соответствовать поговорке: «Береги честь смолоду», так как данный этап лишь готовит компанию к дальнейшему «раскруту». Впрочем, можно действовать и от скандала — негативное впечатление тоже запоминается надолго (даже на более длительный срок, чем позитивное), однако имиджмейкер в данном случае должен быть весьма опытен именно в области «раскручивания» скандала, так как законы развития скандала весьма сложны, особенно на российском рынке. Вряд ли вновь создаваемая обычная компания может себе позволить оплачивать услуги дорогих имиджмейкеров, поэтому проще и дешевле идти от привычного положительного имиджа. Тем более что возможность оставить о себе скандальную славу, увы, есть у любой даже самой положительной компании. В соответствии с позитивной установкой должно формироваться и поведение персонала. Причем на данном этапе компания еще может себе позволить роскошь отбирать персонал по поведению, а не вбивать правила деловой этики в головы сопротивляющихся «ветеранов компании», считающих себя вне общей канвы в силу заслуг в прошлом. Соблюдение принципов деловой этики весьма важно в процессе общения с клиентом, так как служит для клиента наиболее достоверным подтверждением истинного имиджа компании. Первое впечатление от общения с сотрудниками компании весьма сложно и дорого исправить. Отсюда — особый подход к найму персонала, непосредственно общающемуся с клиентом. Отечественный клиент еще настолько неизбалован, что с большой благодарностью воспринимает уважительное к себе отношение, но уже настолько просвещен, что крайне нервно реагирует на «совковый» подход к своей персоне. 2 этап. Компания захватила определенную нишу на рынке и утвердилась в ней. Компания может позволить себе увеличить расходы на общую рекламу и на имидж-рекламу. Внутренний имидж компании в это время включает в себя следующее. Работа над внедрением и укреплением традиций компании среди сотрудников для создания корпоративного духа. Это весьма важная часть имиджа компании, которой, к сожалению, мало придается значения на «совковых» компаниях, привыкших к текучести кадров. Следует, однако, учесть, что для того, чтобы новый сотрудник осознал свои служебные обязанности и вышел «на рабочую мощность», требуется по законам социальной психологии 2—3 месяца. Очевидно, что постоянная ротация кадров дорого обходится компании, которая никогда не сможет достичь оптимальной производительности труда и общей эффективности работы. Ценных сотрудников можно «закрепить» на местах с высокой оплатой труда, но, во-первых, всегда может найтись другая компания, способная «перекупить» специалиста, а, во-вторых, гораздо дешевле и надежней закреплять сотрудников (при разумной заработной плате) на ментальном уровне, что обеспечивается включением сотрудника в традиции компании — «общую тусовку». Как в детстве — из песочницы быстрей уходят те, кого не приняли в общую игру. Человек, независимо от психотипа, существо общественное. Это стоит всячески использовать в своих корыстных целях. Наличие фирменных значков с торговым знаком у сотрудников (формы, в крайних вариантах), совместное отмечание праздников с «раздачей слонов» наиболее успешным сотрудникам, гибкая система материальных и моральных поощрений, внимание к личным праздникам (дню рождения, например), выделение особых праздников компании (день основания и т. д.) — все это позволяет сотруднику ощутить себя нужным в коллективе и, со своей стороны, стремиться соответствовать этому коллективу. Уважительное отношение к клиенту вполне может быть одной из наиболее приветствуемых традиций компании, Создание общего стиля офиса компании — в соответствии с традициями компании, с особенностями ее деятельности и финансовыми возможностями. Это — тоже не настолько дорогостоящее дело, как может показаться. Для начала достаточно соблюдать общую чистоту на служебной площади. Стиль помещений должен соответствовать функциям и согласовываться с общим стилем — например, если большая часть мебели в компании черного цвета, то и новая мебель должна также быть выдержана в этой гамме (если не планируется полное обновление). Цвет напольного покрытия должен быть одним и тем же на служебной площади (за исключением особых помещений — типа складских и т. д.). Кабинет правления должен быть выдержан в общем стиле компании. Практически от других офисных помещений кабинет дирекции должен отличаться только табличкой на двери. Двери в помещения должны быть снабжены функциональными табличками, выполненными в едином стиле. Нормальное положение дверей — закрытое (элементарные пружины помогают решить проблему). Коридор с кучей праздношатающихся из помещения в помещение сотрудников создает неблагоприятное впечатление у посетителя и отвлекает от работы самих сотрудников компании. Отдельного оформления требует комната для клиентов — общий стиль может соответствовать остальным помещениям офиса, но везде должны быть в доступном количестве свежие рекламные материалы компании, которые и на месте посмотреть интересно, и с собой взять приятно. Узнаваемый стиль компании особенно важен в случаях, когда различные помещения разбросаны на значительной территории — стиль компании позволит клиенту ориентироваться в пространстве. При этом наличие стиля не исключает, а предполагает существование большого количества грамотных указателей, дабы поиск компании не превратился в неразрешимую проблему. Активизация маркетинговых исследований, создание прогнозирующих и инновационных исследовательских структур при компании — необходимое условие перехода компании к следующему этапу развития. Внешний имидж компании в это же время направлен на следующее: подчеркивание в рекламе стабильности деятельности компании (5 лет на российском рынке! 2 века на полях Оклахомы! Уже полтора месяца в Хацопетовке! И т. д.); постоянная связь (в т. ч. обратная — для анализа эффективности) с существующими клиентами — рассылки к праздникам, уведомления о создании новых направлений, список новых услуг и др.; реклама технологий компании в рекламных изданиях (желтые, золотые, фиолетовые страницы, справочники, энциклопедии домашнего хозяйства и т. д.); активное использование товарного знака, логотипа, слоганов компании во всех видах имиджевой деятельности; начало связей с общественностью компании — презентации, дни открытых дверей, благотворительные распродажи, и т. д.; начало социальной рекламы — например: мы заботимся о новом поколении России, поэтому студентам — 0,5% скидка; наш продукт прошел тестирование на соответствие экологическим стандартам; мы заботимся об окружающей среде — наши фильтры на автомобилях позволяют вам дышать чистым воздухом и т. д. Одновременно эта реклама может использоваться для апробации инновационной деятельности компании — вот новая услуга, которой мы осчастливили подрастающее поколение в нашей неустанной заботе о нем. 3 этап. «Золотой век» компании. Расширение социальной рекламы. «Белый и пушистый» имидж или образ «отца нации», или лик «благодетеля» — что ближе, что больше соответствует внутреннему имиджу компании и ее задачам. При этом в имидже прослеживаются инновационные моменты, органично вписывающиеся в общий стиль, но несущие «зерно перемен» — подготовка к 4 этапу. Внутренний имидж компании связан с: стимулированием инновационной деятельности, для чего персонал активно задействуется в различных повышениях квалификации, перепрофилировании, конкурсах проектов и др.; открытием филиалов компании в регионах: требования к имиджу филиала соответствуют основным принципам имиджа центра, но учитывают местную специфику (далеко не все, что популярно в столицах, будет адекватно воспринято на периферии); созданием пробных новых направлений деятельности (практическое применение наработок исследовательских подразделений), как вписывающихся в общий стиль компании и активно подающихся именно в этом ключе, так и абсолютно новаторских. Здесь возможны два пути: маскировка деятельности по принципу «волка в овечьей шкуре» — подача нового как хорошо забытого старого, связь с традициями и т. д., либо реклама именно инноваций — это то, что еще никто не делал, не предлагал, мы — первые, а залог успеха — наше долгое и успешное существование на отечественном/зарубежном/региональном рынке. Выбор пути определяется предварительными исследованиями рынка, менталитета потенциального клиента, особенностей региона. В новаторских направлениях второго пути разработка имиджа идет по всем тем шагам, которые были обозначены выше (в данном случае, создание новаторского направления следует рассматривать, как открытие новой компании); постоянном поддержании прямой и обратной связи с клиентами. Внешний имидж компании на этом этапе предполагает: уменьшение затрат на общую рекламу, поскольку товарный знак компании уже «говорит сам за себя»; начало рекламной кампании инновационных проектов компании; активное участие в общественной жизни: тусовки различного уровня — уровень и направленность соответствуют стилю и имиджу компании; расширение социальной рекламы, благотворительность, поддержка какой-нибудь гуманитарной организации — университета, театра, больницы. Народ считает компанию неотъемлемой частью собственной духовной жизни. Если удастся — хорошо бы сделать принцип неучастия в политике доброй старой традицией компании. В то же время ясно, что переход от 3-го к 4-му этапу в данной стране, как правило, связан с властными структурами (явными или тайными), но это — тема отдельной статьи, имеющей мало отношения к рассматриваемым аспектам имиджа. 4 этап можно не рассматривать отдельно, поскольку если компания развернулась в инновациях, то весь цикл запускается снова, но легче, так как есть база — опора на прежние традиции. Если же компания агонизирует, то можно попробовать сыграть на отрицательном имидже и превратить собственные похороны в веселый праздник возрождения (и опять-таки запустить весь цикл), либо тихо почить с миром, закрыть лавочку и отбыть на заранее подготовленные позиции на Канарах. 2. Оценка и формирование корпоративного имиджа Оценка корпоративного имиджа Коммерческий успех любого предприятия в течение длительного времени определяется устойчивым получением прибыли посредством реализации потребителям производимой продукции (услуг) и заключается в умении добиться того, чтобы покупатели в условиях конкуренции отдавали предпочтение именно данной продукции. В немалой степени стабильному коммерческому успеху предприятия способствует его позитивный имидж. Позитивный имидж повышает конкурентоспособность коммерческого предприятия на рынке за счет привлечения потребителей и партнеров и облегчения доступа к ресурсам (финансовым, информационным, человеческим, материальным). «Добрая слава» предприятия повышает его «рыночную силу», поскольку сопротивление действию последней на рынке со стороны различных контактных групп в таком случае уменьшается. Специфичность имиджа как атрибута предприятия проявляется в том, что он существует вне зависимости от усилий самого предприятия (он есть, даже если и не разрабатывается специально, вопрос только — какой) и, следовательно, нуждается в постоянной оценке и коррекции. Имидж формируется по-разному для различных групп общественности, поскольку желаемое поведение этих групп в отношении предприятия может различаться. Иначе говоря, одно и то же предприятие может по-разному восприниматься потребителями, инвесторами, госструктурами, местной и международной общественностью. Например, для широкой национальной общественности предпочтительна гражданская позиция предприятия. Для партнеров важны надежность и конструктивность. Кроме того, существует представление персонала о своем предприятии и его руководстве. Таким образом, можно отметить, что предприятие имеет несколько имиджей: для каждой группы общественности — свой. Синтез представлений о предприятии, присущих различным группам общественности, создает более общее и емкое представление о предприятии, называемое его корпоративным имиджем. Предлагаемая структура корпоративного имиджа предприятия представлена на рисунке 6 (5, с. 16). Имидж предприятия у потребителей составляют представления людей относительно уникальных характеристик, которыми, по их мнению, обладает продукция предприятия: качество, дизайн, известность торговой марки; предоставляемые предприятием сервисные услуги и система скидок; цена на продукцию; представления потребителей о заявленной миссии и стратегиях предприятия, а также его фирменный стиль.  Рисунок № 6. Структура корпоративного имиджа предприятия Бизнес-имидж предприятия складывается из представлений партнеров о предприятии как субъекте определенной деятельности. В качестве основных детерминант бизнес-имиджа выступают: деловая репутация, или добросовестность (соблюдение этических норм бизнеса) в осуществлении предпринимательской деятельности, надежность, лояльность предприятия к партнерам, информационная открытость, а также деловая активность предприятия, индикаторами которой являются объем продаж, относительная доля рынка, разнообразие товаров, гибкость ценовой политики. Социальный имидж предприятия — представления широкой общественности о социальных целях и роли предприятия в экономической, социальной и культурной жизни общества. Социальный имидж формируется посредством информирования общественности о социальных аспектах деятельности предприятия, таких как спонсорство, меценатство, поддержка общественных движений, участие в решении проблем экологии, занятости, здравоохранения и т.д., содействие конкретным лицам. Имидж предприятия для госструктур составляют представления о предприятии представителей региональной администрации, исполнительной и законодательной власти. Параметрами имиджа для госструктур являются: значимость продукции предприятия для региона, степень участия предприятия в региональных социальных программах, выполнение предприятием федеральных и региональных законов, количество предоставляемых рабочих мест для жителей региона, открытость предприятия к неформальным контактам. Внутренний имидж предприятия формируют представления персонала о своем предприятии. Персонал при этом рассматривается не только как фактор конкурентоспособности предприятия, одна из ключевых групп общественности, но и как важный источник информации о предприятии для внешних аудиторий. Основными детерминантами внутреннего имиджа являются культура предприятия (система подбора и обучения персонала, система отношений руководства и подчинения, система оценки работы персонала на основании принятых на предприятии критериев, система вознаграждений, система социальных льгот, фирменный стиль предприятия) и социально-психологический климат (настроение и мнение коллектива, индивидуальное самочувствие и оценка условий жизни и работы личности в коллективе). Корпоративный имидж выступает как один из инструментов достижения стратегических целей предприятия, затрагивающих основные стороны его деятельности и ориентированных на перспективу. Преимущества позитивного имиджа очевидны. Однако позитивная известность не появляется сама собой и не существует сама по себе. Она требует целенаправленной систематической работы, связанной с превращением реального имиджа предприятия в позитивный. С целью оценки и формирования позитивного корпоративного имиджа предприятия можно выделить также «зеркальный» имидж — представление руководства предприятия об имидже предприятия. Поскольку инициация и ресурсное обеспечение работ по формированию позитивного имиджа предприятия зависят прежде всего от руководства, то стратегической задачей является сближение «зеркального» имиджа предприятия с его реальным имиджем, и далее — превращение последнего в позитивный имидж, усиливающий рыночную силу предприятия. Методика формирования корпоративного имиджа предприятия может быть представлена следующей последовательностью шагов (5, с. 17): Анализ маркетинговой среды предприятия и выделение целевых (наиболее важных для его деятельности) групп общественности. Формирование набора наиболее существенных имиджеобразующих факторов для каждой из целевых групп общественности. Разработка желаемого образа предприятия (с точки зрения установленных стратегических целей) для каждой целевой группы общественности. Оценка состояния имиджа предприятия в каждой из целевых групп общественности. Разработка и реализация плана мероприятий по формированию позитивного имиджа предприятия в сознании целевых групп. Контроль достигаемых результатов и коррекция (при необходимости) плана. Ниже рассматривается методика оценки корпоративного имиджа предприятия, построенная в предположении, что имидж, как инструмент воздействия на внешнее окружение, необходимо приближать к позитивному, увеличивая тем самым «рыночную силу» предприятия. Таким образом, параметры, характеризующие состояние корпоративного имиджа предприятия, представленные на рисунке 7 (5, с. 18), должны соответствовать позитивному имиджу. Оценка корпоративного имиджа проводится посредством экспертного опроса представителей соответствующих групп восприятия и сотрудников предприятия. Методы экспертного оценивания в данном случае, как и для широкого круга других неформализуемых проблем в различных сферах человеческой деятельности, представляются эффективным и единственным средством их решения.  Рисунок № 7. Параметры, характеризующие состояние корпоративного имиджа предприятия Для выявления состояния корпоративного имиджа предприятия экспертам предлагается оценить степень соответствия каждого параметра всех компонентов (рис. 7) имиджа позитивному — выставить оценки: «5» — если состояние данного параметра полностью соответствует позитивному имиджу; «4» — если состояние данного параметра соответствует не полностью позитивному имиджу; «3» — если состояние данного параметра слабо соответствует позитивному имиджу; «2» — если состояние данного параметра совершенно не соответствует позитивному имиджу. Оценка корпоративного имиджа предприятия и каждой его компоненты определялась как среднее значение (5, с. 18):  где bij — балльная оценка j-го эксперта степени соответствия i-го параметра позитивному имиджу; n — количество экспертов; m — число рассматриваемых параметров. На основании полученного среднего значения могут быть сделаны выводы о степени соответствия реального имиджа предприятия позитивному в соответствии со шкалой, изображенной на рисунке 8 (5, с. 18):  Рисунок № 8. Шкала оценки соответствия корпоративного имиджа предприятия позитивному имиджу Кроме того, по результатам экспертного опроса высшего руководства предприятия оценивается «зеркальный» имидж предприятия — представление руководства о том, что думают о предприятии различные группы общественности. Как показала практика проведения маркетинговых аудитов, на большинстве российских предприятий «зеркальный» имидж заметно отличается от реального в сторону приближения к позитивному имиджу. По результатам оценки корпоративного имиджа предприятия разрабатывается план мероприятий, направленный на приближение параметров имиджа к значениям, соответствующим позитивному имиджу. В следующей главе рассмотрим предложенный подход к оценке корпоративного имиджа и его преобразованию в позитивный на примере российской фирмы ОАО «Престиж». Оценка корпоративного имиджа данной фирмы была проведена экспертами российского PR-агентства «Медиастиль». Оценка корпоративного имиджа на примере ОАО «Престиж» Оценка корпоративного имиджа проводилась посредством анонимного опроса потребителей продукции ОАО «Престиж», деловых партнеров, сотрудников фирмы, а также представителей местной общественности и региональной администрации. Численность экспертных групп, представляющих соответствующие группы восприятия, составляла от 15 до 20 человек, что вполне достаточно для формирования представительной выборки. При этом в результате опроса экспертов получены оценка реального корпоративного имиджа ОАО «Престиж», а также оценка «зеркального» имиджа, отражающая представления руководителя предприятия (генерального директора) о корпоративном имидже организации. Полученные результаты представлены в таблице № 1 (5, с. 19). Таблица № 1 Оценка корпоративного имиджа ОАО «Престиж» | Параметры корпоративного имиджа
| Оценка соответствия параметров позитивному имиджу | | Мнение экспертов | Мнение генерального директора | | Имидж предприятия у потребителей | соответствует не полностью | соответствует не полностью | | Качество, дизайн, характеристики продукции | соответствует не полностью | соответствует не полностью | | Известность торговой марки | соответствует не полностью | полностью соответствует | | Сервисные услуги | соответствует слабо | соответствует не полностью | | Система скидок | соответствует не полностью | соответствует не полностью | | Цена на продукцию | соответствует не полностью | соответствует не полностью | | Представления потребителей о заявленной миссии и стратегиях предприятия | соответствует слабо | соответствует не полностью | | Фирменный стиль предприятия | соответствует не полностью | соответствует не полностью | | Бизнес-имидж предприятия | соответствует не полностью | соответствует не полностью | | Уровень лояльности предприятия к партнерам | соответствует не полностью | соответствует не полностью | | Надежность предприятия | соответствует не полностью | соответствует полностью | | Уровень престижности предприятия | соответствует не полностью | соответствует не полностью | | Представления партнеров о заявленной миссии и стратегиях предприятия | соответствует слабо | соответствует не полностью | | Информационная открытость предприятия | соответствует не полностью | соответствует не полностью | | Внутренний имидж предприятия | соответствует не полностью | соответствует не полностью | | Уровень лояльности руководства к персоналу | соответствует не полностью | соответствует не полностью | | Уровень информационной открытости руководства | соответствует слабо | соответствует не полностью | | Предоставленные социальные гарантии | соответствует слабо | соответствует не полностью | | Возможность карьерного роста | соответствует не полностью | соответствует не полностью | | Система заработной платы и морального стимулирования | соответствует слабо | соответствует не полностью | | Уровень престижности фирмы | соответствует не полностью | соответствует не полностью | | Фирменный стиль предприятия | соответствует слабо | полностью соответствует | | Моральная атмосфера на предприятии | соответствует не полностью | полностью соответствует | | Представления персонала о заявленной миссии и стратегиях предприятия | соответствует не полностью | соответствует не полностью | | Социальный имидж предприятия | соответствует не полностью | соответствует не полностью | | Проводимые предприятием социальные акции | соответствует не полностью | соответствует не полностью | | Информационная открытость предприятия | соответствует не полностью | полностью соответствует | | Соблюдение предприятием экологических стандартов | соответствует не полностью | соответствует не полностью | | Количество предоставляемых рабочих мест | соответствует не полностью | соответствует не полностью | | Представления общественности о заявленной предприятием миссии | соответствует не полностью | соответствует не полностью | | Имидж для госструктур | соответствует не полностью | соответствует не полностью | | Значимость продукции предприятия для региона | соответствует не полностью | полностью соответствует | | Участие предприятия в социальных программах | соответствует не полностью | соответствует не полностью | | Законопослушность предприятия | соответствует не полностью | полностью соответствует | | Количество предоставляемых рабочих мест | соответствует слабо | соответствует слабо | | Представления региональной администрации о заявленной предприятием миссии | соответствует не полностью | соответствует не полностью | | Открытость предприятия к неформальным контактам | соответствует не полностью | полностью соответствует | | Престижность предприятия | соответствует не полностью | соответствует не полностью |
Комментарии экспертов: Имидж предприятия у потребителей. Оценка: у потребителей продукции ОАО «Престиж» складывается имидж предприятия, не вполне соответствующий позитивному, в силу прежде всего недостаточно развитой системы сервисных услуг, отсутствия у потребителей представлений о миссии и целях фирмы. Бизнес-имидж предприятия. Оценка: представления партнеров об ОАО «Престиж» не в полной мере соответствуют позитивному имиджу, что определяется недостаточной информационной открытостью фирмы, отсутствием информации о целях и стратегиях предприятия. Внутренний имидж предприятия. Оценка: имидж ОАО «Престиж», складывающийся у сотрудников, недостаточно близок к позитивному в силу слабой информационной открытости руководства, нечетких представлений персонала о миссии и решаемых фирмой задачах, неотлаженной системы морального и материального стимулирования персонала, неразвитой системы социальных гарантий. Социальный имидж предприятия. Оценка: широкая общественность недостаточно осведомлена о целях и стратегических задачах ОАО «Престиж» и проводимых фирмой социальных акциях, а также не удовлетворена количеством предоставляемых рабочих мест. Имидж для госструктур. Оценка: у представителей исполнительной и законодательной региональной власти сформирован имидж ОАО «Престиж», не полностью соответствующий позитивному, региональная администрация недостаточно проинформирована о целях и стратегических задачах предприятия, не удовлетворена количеством предоставляемых рабочих мест. Предварительные выводы: Корпоративный имидж ОАО «Престиж» в целом не в полной мере соответствует позитивному. Представления генерального директора о возглавляемом им предприятии по различным параметрам отражают его видение ряда проблем в «розовом» свете, хотя итоговые оценки по структурным составляющим корпоративного имиджа у экспертов и руководства предприятия совпадают. У потребителей практически отсутствуют представления о миссии и целях предприятия, оказываемые сервисные услуги не способствуют созданию позитивного имиджа предприятия. У партнеров по бизнесу совершенно отсутствует представление о миссии и стратегических целях предприятия. Персонал предприятия не удовлетворен уровнем информационной открытости руководства, системой заработной платы и морального стимулирования, предоставленными социальными гарантиями, фирменным стилем предприятия. Отдельного внимания заслуживает отсутствие четких и ясных представлений персонала о миссии и стратегических целях предприятия. При этом представления генерального директора по этим вопросам во многом расходятся с представлениями персонала, что вполне типично для взаимоотношений «собственник-работник». Широкая общественность имеет нечеткие представления о миссии и стратегических целях предприятия. Видение генеральным директором образа предприятия в глазах широкой общественности достаточно близко к реальному. Образ предприятия в глазах представителей региональной, исполнительной и законодательной власти не в полной мере способствует продвижению продукции на рынке. Если представители региональной администрации считают продукцию предприятия значимой для региона и в некоторой степени удовлетворены участием предприятия в социальных программах региона, соблюдением законности на предприятии, информационной открытостью, то они не имеют четких представлений о миссии и стратегических целях предприятия. Мероприятия по разработке позитивного многоаспектного корпоративного имиджа ОАО «Престиж». Проведенные исследования показали, что практически у всех групп общественности, в том числе у самого персонала предприятия, отсутствуют представления о миссии, стратегических целях и задачах ОАО «Престиж». Поэтому в первую очередь требуют глубокой проработки миссия и стратегия предприятия, поскольку именно они представляют на рынке полноценную картину деятельности и предназначения предприятия и, в конечном счете, определяют концепцию формирования основных составляющих его имиджа. Одновременно, в целях формирования позитивного корпоративного имиджа ОАО «Престиж», способствующего успеху предприятия, рекомендуются мероприятия, представленные в таблице № 2 (5, с. 19).
Таблица № 2 Мероприятия по разработке позитивного многоаспектного корпоративного имиджа ОАО «Престиж» | Наименование группы восприятия | Рекомендуемые мероприятия по формированию позитивного корпоративного имиджа | | 1. Потребители | Проведение рекламной кампании в регионах с целью формирования позитивного имиджа (увеличения известности) торговой марки предприятия; подача рекламной информации должна вестись с учетом представления потребителей о качестве, возможностях дизайна продукции Создание и развитие системы сервисного обслуживания Размещение в рекламной продукции информации о заявленной миссии и стратегических целях предприятия (отражающих интересы потребителей), подчеркивающей общественный статус потребителей, а также информации о разнообразии, технологичности, дизайне выпускаемой продукции | | 2. Общественность | Проведение рекламной кампании в периодической региональной печати с публикацией информации о миссии и стратегических целях предприятия (с учетом интересов общественности), деловой репутации предприятия и его руководителя, участии предприятия в различных социальных программах Публикация интервью руководителя с целью формирования его позитивного имиджа в глазах общественности | | 3. Госструктуры | Формирование неформальных отношений с представителями власти через участие в политической жизни, поддержку политических и общественных движений, участие в решении региональных проблем экологии, занятости, здравоохранения | | 4. Партнеры | Обеспечение возможности ознакомления партнеров с миссией и стратегическими целями предприятия Формирование высокой деловой репутации предприятия путем обеспечения строгого выполнения договорных обязательств | | 5. Персонал | Внедрение в сознание сотрудников четких представлений о миссии и стратегических целях предприятия путем отражения их содержания внутри офисных помещений, упоминания на различных собраниях и совещаниях Внедрение системы обучения персонала, направленной на повышение его профессионального и культурного уровня Внедрение системы информирования персонала о задачах, решаемых предприятием с целью повышения уровня информационной открытости руководства Разработка и внедрение системы оценки работы персонала на основании принятых критериев с учетом мер материального и морального стимулирования Внедрение системы социальных гарантий сотрудникам |
Таким образом, формирование позитивного корпоративного имиджа предприятия — процесс сложный и многогранный, требующий особого внимания и больших усилий. Любая, даже небольшая, организация должна постоянно заботиться о формировании благожелательного отношения общества и сотрудников к себе. Только в этом случае, как показывает практика, можно рассчитывать на долговременный успех. Корпоративный имидж белорусских предприятий Исследования известности и предпочтения брэндов в различных товарных группах и категориях проводятся в рамках профессионального конкурса «Брэнд года» с 2001 года. Это единственное полномасштабное периодическое национальное исследование в Беларуси, которое отслеживает процесс формирования брэндового сознания потребителей в различных товарных группах. Данный профессиональный конкурс в потребительской номинации определяет победителей на основе Национального опроса с выборкой в 1000 респондентов. Исследование охватывает все регионы страны и проводится методом телефонного интервью. Отчет об итогах национального опроса получают все участники конкурса. Данные учитывают социальную дифференциацию потребителей по возрасту, полу, роду деятельности, региону, уровню дохода, образованию, семейному положению. Для определения брэндов-лидеров используются открытые вопросы для спонтанного вспоминания торговых марок. Товарные группы допускаются к конкурсу на основе экспертных оценок по признаку наличия брэндовой конкуренции в группе. «Брэнд года» - это профессиональный конкурс, оценка результатов которого проводится по принципиальным стандартам современного маркетинга, брэндинга и маркетинговых коммуникаций. В основу оценок положена стратегия брэнда и потребительская оценка известности и предпочитаемости брэндов. В рамках конкурса осуществляется национальный мониторинг известности и популярности брэндов в группах потребительских товаров. Программа конкурса включает широкий круг образовательных мероприятий, направленных на обмен современным опытом в области маркетинга и брэндинга: Международная конференция ADVANCEDBRANDING, Саммит Директоров, Международные мастер-классы маркетологов и брэндологов с мировыми именами. В рамках конкурса в Беларуси совместно с Национальной инициативой «За социальную ответственность бизнеса» при поддержке ПРООН в Беларуси, Инициативы ООН «Глобальный договор» учреждена номинация «Социально ответственный брэнд». Целью данной номинации является развитие ценностей СОБ и популяризация опыта социальной ответственности бизнеса. В январе 2009 впервые в рамках профессионального конкурса «Брэнд года» оргкомитет конкурса и штаб SATIO подвели итоги рейтингов корпоративного влияния бизнеса в Республике Беларусь. Практика определения рейтингов корпоративного влияния широко распространена в мире. Целями данных рейтингов является определение содержания и характера влияния лидеров бизнеса на экономику, общество и макро-экономическое регулирование. Для Республики Беларусь подобное экспертное исследование рейтингов в 2008 году проведено впервые. Результаты исследования важны как для формирования странового имиджа, так и для расширения диалога бизнеса и власти. Предприятия — лидеры рейтингов по общему признанию обладают наиболее высоким уровнем влияния на формирование культуры бизнеса, культуры диалога бизнеса, общества и власти. В шорт-лист исследования 2008 вошли 50 белорусских предприятий-лидеров, выбранных по результатам Национального опроса потребителей «Брэнд года 2007», и представляющих 5 сегментов бизнеса. Выборка Национального опроса составила 1 500 респондентов. 1. Крупные промышленные предприятия, работающие в сегменте бизнеса (Минский тракторный завод, Белорусский металлургический завод, Белорусский автомобильный завод, Белорусская калийная компания, Минский автомобильный завод, Белнефтехим, Амкодор, Белшина, Гомсельмаш, МЭМЗ им. Кирова). 2. Финансовый сектор (BelSwissBank, Банк «Москва-Минск, Белагропромбанк, Белвнешэкономбанк, Беларусбанк, Белгазпромбанк, Белинвестбанк, Белпромстройбанк, Минский транзитный банк, Приорбанк). 3. Сфера услуг (B&B Insurance, BIGZZ, МТС, Velcom, Атлант М, Белгосстрах. Белтелерадиокомпания, Гиппо, ОМА, Портал Tut.By). 4. Производители товаров непродовольственной группы для потребительского рынка (Милавица, Пинскдрев, Атлант, Керамин, Марко, Горизонт, Гефест, Конте, Маруся, Белвест). 5. Производители товаров продовольственной группы для потребительского рынка (Савушкин продукт, Санта-Бремор, Коммунарка, Кока-Кола, Кристалл, Инко-Фуд, Бабушкина крынка, Дарида, Крыница, Онега). Оценка рейтинга корпоративного влияния бизнеса осуществлялась на основе экспертного опроса по шести главным критериям: 1. Влияние и авторитет предприятия в бизнес-среде. • Персональная известность и авторитет руководителей предприятия; • Взаимодействие и эффективный диалог с бизнес-партнерами; • Новые товары (услуги) предприятия оказывают влияние на развитие отрасли; • Новые управленческие решения предприятия влияют на развитие бизнес-среды. 2. Позитивный имидж предприятия среди потребителей и влияние на потребительское поведение. • Лидер на рынке товаров (услуг) в своей категории; • Доверие со стороны покупателей; • Этичная реклама, позитивное влияние на потребительское поведение. 3. Представленность предприятия в средствах массовой информации. • Предприятие является источником новостных событий; • Частое цитирование, обращение к экспертному мнению и упоминание предприятия и его руководителей, специалистов в СМИ; • Предприятие пользуется авторитетом среди представителей СМИ. 4. Взаимодействие с представителями власти. • Товары (услуги) предприятия широко и позитивно известны на зарубежных рынках; • Предприятие активно сотрудничает с обществом и представителями элит за рубежом. 5.Формирование позитивного имиджа страны на внешних рынках. • Предприятие - ответственный работодатель - активно реализует внутреннюю социальную политику в отношении персонала; • Предприятие придерживается и активно демонстрирует социальную ответственность перед потребительскими сегментами; • Предприятие ведет этичную конкуренцию; • Предприятие содействует прогрессу и развитию общества в социальной, культурной и экологической сферах. 6. Реализация корпоративной социальной ответственности. • Предприятие - ответственный работодатель - активно реализует внутреннюю социальную политику в отношении персонала; • Предприятие придерживается и активно демонстрирует социальную ответственность перед потребительскими сегментами; • Предприятие ведет этичную конкуренцию; • Предприятие содействует прогрессу и развитию общества в социальной, культурной и экологической сферах. В группу из 20 экспертов вошли лидеры мнений, представляющие четыре группы: 1. Наука; 2. Правительство; 3. Бизнес-союзы и общественные деятели; 4. СМИ. В результате опроса и экспертного исследования с учетом выбранных параметров и критериев на основе полученных средних критериальных оценок корпоративного влияния и совокупных критериальных рейтингов был определен суммарный рейтинг корпоративного влияния бизнеса в Республики Беларусь. Результаты данного исследования представлены в приложении № 1 (10). Подобные экспертные исследования рейтингов корпоративного влияния бизнеса в Республике Беларусь» Центр SATIO планирует проводить ежегодно.
Заключение Исходя из изложенного в данной работе материала, можно сделать следующие выводы. Корпоративный имидж есть у каждой организации, независимо от значимости и сроков нахождения ее на каком-либо сегменте рынка. Но имидж организации может быть не только позитивным, но и не выраженным или даже негативным. Наличие позитивного имиджа организации помогает потребителю воспринимать ее продукцию или предлагаемые услуги как нечто отличное от других аналогичных продуктов (услуг), нечто лучшее, поэтому формированию успешного корпоративного имиджа в настоящее время уделяется повышенное внимание. Еще не так давно к разработке и поддержанию корпоративного имиджа серьезно относились только крупные и хорошо известные западные и европейские компании. В последнее время и в России, и в Беларуси стал проявляться высокий интерес к созданию благоприятного имиджа организации. Но в представлении наших компаний, как правило, понятие корпоративного имиджа связано только с проведением рекламных акций. Работа над созданием и поддержанием успешного корпоративного имиджа напрямую связана с постоянным мониторингом рынка и слаженной работой целого ряда профессионалов: маркетологов, финансистов, психологов, дизайнеров, специалистов по рекламе, специалистов по работе с персоналом и т.д. Как для крупных организаций, давно находящихся на рынке, так и для вновь создаваемых очень важно мнение потребителей их продукции (услуг). Среди партнеров, клиентов и различных групп общественности складывается общее впечатление о репутации организации, о качестве производимой ею продукции или предоставляемых услуг. Корпоративный имидж – это устойчивый образ организации, сформированный в общественном сознании. Долгосрочный успех организации во многом зависит от хорошо спланированной на начальном этапе разработки корпоративного имиджа. Грамотное поддержание созданного успешного корпоративного имиджа позволяет организации повысить свою конкурентоспособность на современном рынке, а значит ускорить товарооборот и увеличить прибыль. Постоянное доверие среди партнеров и потребителей является для организации основной целью и высшей наградой. Целью корпоративного имиджа является создание устойчивого позитивного образа организации среди партнеров, клиентов и широкой общественности.
Литература: Ильин А.И. Экономика предприятия: краткий курс // М.: Новое знание. – 2007. – 236 с.; Котлер Ф. Маркетинг Менеджмент. Экспресс курс // Перевод с англ. под ред. С.Г. Божук. Спб.: Питер. – 2006. – 464 с.; Казанцев А.К., Малюк В.И., Серова Л.С. Основы менеджмента: практикум // М.: Инфра-М. – 2002. – 542 с.; Ульяновский А. Корпоративный имидж // М.: Эксмо.- 2008. – 400с.; Стародубская М. Уважение, за которое хочется платить: как конвертировать корпоративный имидж в деньги // «Новый маркетинг». – 2008. - № 7. – с. 12-14; Ахтямов Т.М., Шкардун В.Д. Оценка и формирование корпоративного имиджа предприятия // «Маркетинг в России и за рубежом». – 2001. - № 3. – с. 16-19; Вишнякова М. Концепция формирования имиджа компании (общий подход и рекомендации // «Маркетинг в России и за рубежом». - 2001. - № 5. – с. 5-7; Душенкина Е. Корпоративный имидж: теория практики // «Корпоративная имиджелогия». – 2008. - № 3. – с. 24-25; Стратегия PR. Формула корпоративного имиджа // Публикации 18.03.2009: PR в Беларуси | PR-проект CORPO: корпоративные коммуникации - http://corpoby.com; Белорусский PR-щик — как сапожник без сапог // Публикации 05.10.2009: PR в Беларуси | PR-проект CORPO: корпоративные коммуникации - http://corpoby.com; Рейтинги корпоративного влияния бизнеса в Республике Беларусь по итогам 2008 года // http://www.bestbrand.by.;
Публиками, по определению Chartered Institute of Public Relations (CIPR), называют активно вовлеченные в бизнес компании или заинтересованные в нем целевые аудитории. Публики в отличие от целевых аудиторий не бывают пассивными по отношению к компании. |