74.
75.Стратегия и организационная структура предприятия
(на примере ООО «Донремтехника»)
СОДЕРЖАНИЕ
С.
| ВВЕДЕНИЕ |
3 |
| 1 ВИДЫ ОРГАНИЗАЦИОННЫХ СТРУКТУР УПРАВЛЕНИЯ |
5 |
2 ОРГАНИЗАЦИОННАЯ СТРУКТУРА ООО «ДОНРЕМТЕХНИКА»
И ЕЕ ЗАВИСИМОСТЬ ОТ СТРАТЕГИИ
|
16 |
| ЗАКЛЮЧЕНИЕ |
21 |
| СПИСОК ИСПОЛЬЗОВАННЫХ ИСТОЧНИКОВ |
25 |
| ПРИЛОЖЕНИЯ |
26 |
ВВЕДЕНИЕ
Актуальность выбранной темы заключается в том, что построение оптимальной организационной структуры, способной эффективно поддерживать текущие бизнес-процессы предприятия и реализацию его стратегических целей, является одной из важнейших задач современного управления, правильное решение которой значительно повышает эффективность бизнеса.
Структура, отражающая состав и соподчиненность различных элементов, звеньев и ступеней управления, функционирующих для достижения определенной цели, называется организационной. По Мескону организационная структура управления – это целостная система, специально разработанная таким образом, чтобы работающие в ее рамках люди могли наиболее эффективно добиться поставленной перед ними цели.
После выбора стратегии и разработки последующего плана руководство должно провести тщательную проверку структуры организации в целом и отдельных подразделений, чтобы выяснить, способствует ли она достижению поставленных целей. Стратегия определяет структуру. При реализации или изменении стратегии руководство всегда должно учитывать ее взаимосвязь со структурой и объединить формирование структуры организации и планирование. Структура основывается на стратегии и должна обеспечивать ее эффективность настолько, насколько это возможно с точки зрения общей ситуации.
В сегодняшней экономической ситуации многие руководители компаний ищут резервы в совершенствовании организационной структуры. Сомнений нет: правильно организованное взаимодействие между сотрудниками и подразделениями способно существенно повысить эффективность бизнеса.
Происходящие изменения требуют приспособления предприятий к выживанию в новых условиях. Пересмотрены должны быть не только цели и стратегия предприятия, но и приведена в соответствие с новыми требованиями его организационная структура и система управления. Следовательно, возникает необходимость создания целостной, эффективной и гибкой системы управления, позволяющей наиболее полно реализовать возможности современного предприятия.
Забиваем Сайты В ТОП КУВАЛДОЙ - Уникальные возможности от SeoHammer
Каждая ссылка анализируется по трем пакетам оценки: SEO, Трафик и SMM.
SeoHammer делает продвижение сайта прозрачным и простым занятием.
Ссылки, вечные ссылки, статьи, упоминания, пресс-релизы - используйте по максимуму потенциал SeoHammer для продвижения вашего сайта.
Что умеет делать SeoHammer
— Продвижение в один клик, интеллектуальный подбор запросов, покупка самых лучших ссылок с высокой степенью качества у лучших бирж ссылок.
— Регулярная проверка качества ссылок по более чем 100 показателям и ежедневный пересчет показателей качества проекта.
— Все известные форматы ссылок: арендные ссылки, вечные ссылки, публикации (упоминания, мнения, отзывы, статьи, пресс-релизы).
— SeoHammer покажет, где рост или падение, а также запросы, на которые нужно обратить внимание.
SeoHammer еще предоставляет технологию Буст, она ускоряет продвижение в десятки раз,
а первые результаты появляются уже в течение первых 7 дней.
Зарегистрироваться и Начать продвижение
Целью курсовой работы является показать влияние типа структуры на процесс разработки стратегии предприятия на примере ООО «Донремтехника». В связи с поставленными целями необходимо решить следующие задачи:
1. Рассмотреть теоретические аспекты структур развития предприятия.
2. Проанализировать организацию управления и эволюцию организационной структуры ООО «Донремтехника»
3. Рассмотреть роль организационной структуры в выполнении ее стратегии.
Объектом исследования является ООО «Донремтехника»
Предмет исследования – влияние типа организационной структуры на процесс разработки стратегии предприятия.
Дипломная работа состоит из введения, трех глав, заключения, списка использованных источников.
В первой главе дипломной работы определены основные виды организационных структур и способы их проектирования.
Во второй главе дается краткая характеристика ООО «Донремтехника», проводится анализ организационной структуры и описывается ее эволюция.
1 ВИДЫ ОРГАНИЗАЦИОННЫХ СТРУКТУР УПРАВЛЕНИЯ
Структура управления организацией или организационная структура управления (ОСУ) - одно из ключевых понятий менеджмента, тесно связанное с миссией, целями, другими функциями, процессом управления, работой менеджеров и распределением между ними полномочий. В рамках определенного вида ОСУ осуществляется менеджмент (от движения информационных потоков до принятия управленческих решений), в котором участвуют менеджеры всех уровней. ОСУ сравнивают с каркасом здания системы менеджмента, построенным для того, чтобы все протекающие в организации процессы осуществлялись качественно и своевременно. Если не будут четко определены и скоординированы отношения между работниками и организационными подразделениями, специализация будет неэффективна. Делегирование полномочий - основной процесс, посредством которого руководители устанавливают формальные взаимоотношения персонала в организации. [5, с.34]
Делегирование- передача видов деятельности и полномочий исполнителю, который берет на себя ответственность за их выполнение.
Большая часть полномочий менеджера определяется традициями, нравами, культурными стереотипами, обычаями коллектива, работающего в организации. Полномочия, переданные исполнителям, имеющим право распоряжаться, называют линейными полномочиями. [3, с.116]
Этапы проектирования ОСУ и их последовательность следующие:
1. Осуществить деление организации по горизонтали на широкие блоки,соответствующие важнейшим направлениям деятельности по реализации стратегии. Решить, какие виды деятельности должны выполняться линейными подразделениями, а какие - штабными.
Сервис онлайн-записи на собственном Telegram-боте
Попробуйте сервис онлайн-записи VisitTime на основе вашего собственного Telegram-бота:
— Разгрузит мастера, специалиста или компанию;
— Позволит гибко управлять расписанием и загрузкой;
— Разошлет оповещения о новых услугах или акциях;
— Позволит принять оплату на карту/кошелек/счет;
— Позволит записываться на групповые и персональные посещения;
— Поможет получить от клиента отзывы о визите к вам;
— Включает в себя сервис чаевых.
Для новых пользователей первый месяц бесплатно.
Зарегистрироваться в сервисе
2. Установить соотношения полномочий различных должностей.Руководители среднего и низового звеньев представляют необходимую информацию, устанавливают цепь команд, руководят более мелкими подразделениями, чтобы более эффективно применять специализацию и избегать перегрузки высшего руководства.
3. Определить должностные обязанностикак совокупность задач и функций и поручить их выполнение конкретным исполнителям.
В настоящее время существует множество альтернативных видов ОСУ, успешно зарекомендовавших себя. Первый вид ОСУ, систематически разработанный, остающийся пока ее доминирующей формой, получил название бюрократической ОСУ. Он характеризуется:
1. Четким в высшей степени разделением труда и появлением в каждой должности высококвалифицированных специалистов;
2. Развитой иерархией уровней управления, при которой каждый нижестоящий уровень подчиняется и контролируется вышестоящим;
3. Системой взаимосвязанных обобщенных формальных правил, стандартов, норм и нормативов, обеспечивающей однородность исполнения сотрудниками своих должностных обязанностей и скоординированность различных видов деятельности;
4. Формальной обезличенностью выполнения официальными лицами своих должностных обязанностей;
5. Защищенностью персонала от произвольных увольнений и наймом на работу в строгом соответствии с квалификационными требованиями.
У бюрократической ОСУ есть недостатки:
1. Преувеличение значимости инструкций, правил, норм, стандартов, что ведет к замедлению темпов работы;
2. Утрата гибкости поведения;
3. Неспособность быстро реагировать на изменившиеся условия делового и фонового окружения, а также внутренней среды;
4. Невозможность разрабатывать и срочно внедрять инновации в процесс своей деятельности.
К бюрократическим, как правило, относятся функциональные, дивизиональные и др. ОСУ.
Для расширения возможностей организаций быстрее реагировать на происходящие изменения и вводить инновации были созданы адаптивные (органические) ОСУ, к которым относят проектные, матричные и др.
Существуют и другие классификации видов ОСУ. Рассмотрим некоторые виды ОСУ.
Линейная ОСУобразуется в результате построения аппарата управления только из взаимоподчиненных органов в виде иерархической лестницы.
Во главе каждого подразделения находится руководитель, наделенный всеми полномочиями и осуществляющий руководство подчиненными ему работниками, сосредоточивающий в своих руках все функции управления. Сам руководитель находится в непосредственном подчинении руководителя высшего уровня.
В линейной структуре разделение системы управления на составляющие части осуществляется по производственному признакус учетом степени концентрации производства, технологических особенностей, широты номенклатуры продукции и т.д. При таком построении в наибольшей степени соблюдается принцип единоначалия:одно лицо сосредоточивает в своих руках управление всей совокупностью операций; подчиненные выполняют распоряжения только одного руководителя. Вышестоящий орган управления не имеет право отдавать распоряжения каким-либо исполнителям, минуя их непосредственного руководителя.
Линейная ОСУ используется мелкими и средними организациями, осуществляющими несложное производство, при отсутствии широких кооперационных связей. [8, с.113]
Позитив линейной структуры управления:
- единство и четкость распорядительства;
- согласованность действий исполнителей;
- четкая система взаимных связей между руководителем и подчиненными;
- быстрота реакции в ответ на прямые указания;
- получение исполнителем связанных между собой распоряжений и заданий, обеспеченных ресурсами;
- личная ответственность руководителя за конечные результаты деятельности своего подразделения.
Негатив линейной структуры управления:
- высокие требования к руководителю, который должен иметь обширные разносторонние знания и опыт во всех функциях управления и сферах деятельности, осуществляемых подчиненными, что ограничивает возможности руководителя по эффективному управлению;
- перегрузка менеджеров высшего уровня, огромное количество информации, поток бумаг, множественность контактов с подчиненными и вышестоящими;
- тенденция к волоките при решении проблем, касающихся нескольких подразделений;
- отсутствие звеньев по планированию и подготовке управленческих решений.
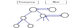
Линейно-штабная ОСУ, изображенная на рисунке (1.1),включает в себя специально созданные при линейных руководителях подразделения, которые не обладают правом принятия решений и руководства каким-либо нижестоящим подразделением.

Рис. 1.1Схема линейно-штабной ОСУ
Главная задача штабных подразделений состоит в оказании помощи линейному менеджеру в выполнении отдельных функций управления. Штабная структура включает штабных специалистов при топ-менеджерах.
К штабным подразделениям относят службу координации, отделы координации и анализа, группу сетевого планирования, социологическую и юридическую службы. [9, с.114]
Создание штабных структур - шаг в сторону разделения труда менеджеров. Часто менеджеры штабных подразделений наделяются правами функционального руководства. К ним относят планово-экономический отдел, бухгалтерию, отдел маркетинга, отдел управления персоналом. Достоинства структуры состоят в следующем:
- более глубокая и осмысленная подготовка управленческих решений;
- освобождение линейных менеджеров от чрезмерной нагрузки;
- возможность привлечения специалистов в определенных областях.
Существуют некоторые недостатки:
- недостаточно четкая ответственность, так как готовящий решение не участвует в его реализации;
- тенденция к чрезмерной централизации;
- сохранение высоких требований к высшему руководству, принимающему решения.
Функциональная ОСУпредполагает, что каждый орган управления специализирован на выполнении отдельных функций на всех уровнях управления (рисунок 1.2):

Д - директор; ФР - функциональные руководители; И - исполнители
Рис. 1.2 Схема функциональной ОСУ
Выполнение указаний каждого функционального органа в пределах его компетенции обязательно для производственных подразделений. Решения по общим вопросам принимаются коллегиально.
Функциональная специализация аппарата управления значительно повышает его эффективность, так как вместо универсальных менеджеров, которые должны разбираться в выполнении всех функций, появляется штаб высококвалифицированных специалистов.
Структура нацелена на выполнение постоянно повторяющихся рутинных задач, не требующих оперативного принятия решений. Она используется в управлении организациями с массовым или крупносерийным типом производства, а также при хозяйственном механизме затратного типа, когда производство наименее восприимчиво к НТП.
Основныепреимуществаструктуры:
- высокая компетентность специалистов, отвечающих за осуществление конкретных функций;
- освобождение линейных менеджеров от решения многих специальных вопросов и расширение их возможностей по оперативному управлению производством;
- создание основы для использования в работе консультаций опытных специалистов, уменьшение потребности в специалистах широкого профиля.
Существуют определенные недостатки:
- трудности поддержания постоянных взаимосвязей между различными функциональными службами;
- длительная процедура принятия решений;
- отсутствие взаимопонимания и единства действий между функциональными службами;
- снижение ответственности исполнителей за работу в результате того, что каждый исполнитель получает указания от нескольких руководителей;
- дублирование и несогласованность указаний и распоряжений, получаемых работниками, поскольку каждый функциональный руководитель и специализированное подразделение ставят свои вопросы на первое место.
Линейно-функциональная ОСУ обеспечивает такое разделение управленческого труда, при котором линейные звенья управления призваны командовать, а функциональные - консультировать, помогать в разработке конкретных вопросов и подготовке соответствующих решений, программ, планов. Руководители функциональных подразделений (по маркетингу, финансам, НИОКР, персоналу) осуществляют влияние на производственные подразделения формально. Как правило, они не имеют права самостоятельно отдавать им распоряжения, роль функциональных служб зависит от масштабов хозяйственной деятельности и структуры управления организацией в целом. Функциональные службы осуществляют всю техническую подготовку производства; подготавливают варианты решения вопросов, связанных с руководством процессов производства. Достоинства структуры:
- освобождение линейных руководителей от решения многих вопросов, связанных с планированием финансовых расчетов, материально - техническим обеспечением и др.;
- построение связей «руководитель - подчиненный» по иерархической лестнице, при которых каждый работник подчинен только одному руководителю.
Недостатки структуры:
- каждое звено заинтересовано в достижении своей узкой цели, а не общей цели организации;
- отсутствие тесных взаимосвязей и взаимодействия на горизонтальном уровне между производственными подразделениями;
- чрезмерно развитая система взаимодействия по вертикали;
- аккумулирование на верхнем уровне полномочий по решению наряду со стратегическими множества оперативных задач.
Матричная ОСУ, изображенная на рисунке (1.3), представляет собой современный эффективный тип организационной структуры управления, построенный на принципе двойного подчинения исполнителей, с одной стороны, непосредственному руководителю функциональной службы, которая предоставляет персонал и техническую помощь, с другой, руководителю проекта (целевой программы), который наделён необходимыми полномочиями для осуществления процесса управления в соответствии с запланированными сроками, ресурсами и качеством. [8, с.106]

Рис 1.3Матричная ОСУ, ориентированная на продукт
Руководитель проекта взаимодействует с двумя группами подчиненных: с постоянными членами проектной группы и с другими работниками функциональных отделов, которые подчиняются ему временно и по ограниченному кругу вопросов.
Преимущества состоят в следующем:
- лучшая ориентация на проектные цели и спрос;
- более эффективное текущее управление;
- вовлечение руководителей всех уровней и специалистов в сферу активной творческой деятельности;
- гибкость и оперативность маневрирования ресурсами при выполнении нескольких программ;
- усиленная личная ответственность руководителя за программу в целом и за ее элементы;
- возможность применения эффективных методов управления;
- развитие в работниках навыков в области принятия решений;
- время реакции на нужды проекта и желания заказчиков сокращается.
Недостатки структуры:
- проблемы, возникающие при установлении приоритетов заданий и распределении времени работы специалистов над проектами, могут нарушать стабильность функционирования организации;
- трудности установления четкой ответственности за работу подразделения;
- возможность нарушения установленных правил и стандартов, принятых в функциональных подразделениях из-за длительного отрыва сотрудников, участвующих в проекте;
- трудность приобретения навыков, необходимых для эффективной работы в коллективе;
- возникновение конфликтов между менеджерами функциональных подразделений и руководителями проектов.
Дивизиональная ОСУ возникла в связи с резким увеличением размеров организаций, диверсификацией их деятельности, усложнением технологических процессов. Ключевыми фигурами в управлении организациями с данной структурой становятся не руководители функциональных подразделений, а менеджеры, возглавляющие производственные подразделения. Структуризация организации по отделениям производится, как правило, по одному из критериев: по выпускаемой продукции (продуктовая специализация рисунок 1.4) по ориентации на потребителей, по обслуживаемым регионам. Руководители вторичных функциональных служб отчитываются перед управляющим производственного подразделения. Помощники руководителя производственного подразделения контролируют деятельность функциональных служб по всем филиалам отделения, координируя их деятельность по горизонтали. [8, с.116]

Рук. – руководитель. Фил. – филиал. И – исполнитель
Рис. 1.4 Схема дивизионально-штабной ОСУ по региональному принципу
Достоинства:
- более тесная связь производства с потребителями, ускоренная реакция на изменения в деловом и фоновом окружении;
- улучшение координации работ в подразделениях вследствие подчинения одному лицу;
- возникновение у подразделений конкурентных преимуществ малых организаций.
Недостатки:
- рост иерархичности, вертикали управления;
- дублирование функций управления на разных уровнях приводит к росту затрат на содержание управленческого аппарата;
- дублирование работ в разных подразделениях.
Многомерная ОСУ с ориентацией ещё и на территорию, рынок и потребителя (рисунок 1.5).

Рис. 1.5 Схема многомерного управления организацией
Для организаций, действующих на международном рынке, может применяться многомерная (трехмерная, тензорная) ОСУ. [5, с.8]
Проблемы:
- конфликт из-за власти между представителями нескольких инстанций;
- преобладающая работа в группах и, следовательно, возможная задержка в принятии решений и коллективная ответственность (безответственность).
Поэтому требуется однозначное регулирование компетентности и нормальные рабочие отношения между партнерами.
Организации, в которых руководство высшего звена оставляет за собой большую часть полномочий, необходимых для принятия важнейших решений, называются централизованными.
Децентрализованныеорганизации - такие организации, в которых полномочия распределены по нижестоящим уровням управления. На практике не встречаются полностью централизованные или децентрализованные организации.
Достоинства централизованныхструктур состоят в следующем:
- централизация улучшает контроль и координацию специализированных функций, уменьшает количество и масштабы ошибочных решений, принимаемых менее опытными менеджерами;
- сильное централизованное управление позволяет избежать ситуаций, при которых одни отделы растут и развиваются за счет других или организации в целом;
- централизованное управление позволяет более экономно и легко использовать опыт и знания персонала централизованного административного органа.
Достоинства децентрализованных структур:
- управлять крупными организациями централизованно невозможно из-за огромного количества требуемой информации и, следовательно, сложности процесса принятия решений;
- децентрализация даёт возможность принимать решения тому руководителю, который ближе всего стоит к возникшей проблеме и лучше всех её знает;
Экспериментирование с разработкой и введением новых структур управления стало характерной чертой начала XXI века. В ходе этих экспериментов нередко используются самые разнообразные комбинации известных видов и типов структур, приспосабливаемых организациями к конкретным условиям их функционирования. Но главная тенденция состоит в том, что каждая последующая структура становится более простой и гибкой по сравнению с ранее действовавшими. [7, с.109]
В ближайшем будущем ожидается большее разнообразие структур, каждая из которых будет отвечать стратегии организации и находиться в более тесной взаимосвязи с другими функциями менеджмента, например, с мотивацией.
2 ОРГАНИЗАЦИОННАЯ СТРУКТУРА ООО «ДОНРЕМТЕХНИКА»
И ЕЕ ЗАВИСИМОСТЬ ОТ СТРАТЕГИИ
Для любой фирмы выбор организационной структуры представляет определенную сложность. В большинстве случаев отсутствует соответствие между структурой и стратегией в фирме, поэтому следует произвести те изменения структуры, без которых невозможна эффективная реализация стратегии.
В сегодняшней экономической ситуации многие руководители компаний ищут резервы в совершенствовании организационной структуры. Сомнений нет: правильно организованное взаимодействие между сотрудниками и подразделениями способно существенно повысить эффективность бизнеса.
Структура коммерческого блока ООО «Донремтехника» оставалась довольно аморфной, зоны ответственности сотрудников размытыми, права и обязанности неформализованными. К середине 90-х годов компания бодро вступила в свой первый кризис развития, именуемый по классификации И. Айзедиса «кризисом руководства», а по классификации Л. Грейнера «кризисом лидерства».
В соответствии с рекомендациями классиков руководство ООО «Донремтехника» занялось вопросами формализации деятельности, в частности построением организационной структуры. Не удивительно, что была выбрана линейно-функциональная структура, полностью соответствующая по методологии этапу развития ООО «Донремтехника» и изображённая на рисунке (2.1).

Рис. 2.1 Линейно-функциональная структура управления
Прежде чем утверждать структуру, руководитель ООО «Донремтехника» принял стратегические решения:
1. Формировать и поддерживать единый продукт ООО «Донремтехника».
2. Выводить продукт на 3 рынка (корпоративный, дилерский, розничный) силами отдельных подразделений.
3. Учитывая масштаб бизнеса, централизовать функции поддержки и обеспечения.
Таким образом, стратегия явилась дополнительной координатой, определившей организационную структуру ООО «Донремтехника» на текущем этапе её развития.
По мере развития ООО «Донремтехника» уточнялись её интересы в отношении формирования продукта. Кроме того, именно в продукт ООО «Донремтехника» вкладывались основные оборотные средства, которые к тому времени составляли уже значительную сумму. Продуктовую политику ООО «Донремтехника» кто-то должен был воплощать в жизнь, имея определённые права по управлению оборотными средствами и неся ответственность за их эффективное использование. Так в ООО «Донремтехника» появились продуктовые менеджеры. Если обязанностью отдела закупки было исключительно обеспечение заказов сбыта и производства, то продуктовые менеджеры обладали широкими полномочиями по:
- формированию ассортимента и товарного запаса,
- управлению товарным запасом в условиях дефицита,
- выбору основных (стратегических) поставщиков,
- формированию планов продаж по своей товарной группе,
- ценообразованию,
- разработке и реализации мероприятий по продвижению своей товарной группы,
- обучению и проведению аттестации менеджеров по продажам,
- реализации мер по предотвращению создания и распродаже неликвидов.
Фактически продуктовые менеджеры стали заниматься разработкой и реализацией маркетинговых планов по своим товарным группам (ТГ). Для эффективного выполнения возложенных обязанностей, руководство ООО «Донремтехника» обеспечило продуктовых менеджеров соответствующими правами, в частности, рычагами влияния на сотрудников отделов продажи. Особую роль в ООО «Донремтехника», приобрёл продуктовый менеджер: он получил определённые возможности управления производственными подразделениями по своему функционалу. В результате изменения продуктовой стратегии ООО «Донремтехника», организационная структура претерпела неизбежные изменения и приобрела матричный вид, изображенный на рисунке (2.2).

Рис. 2.2 Матричная структура управления
Не успела матричная структура прижиться, как грянул кризис 1998 года. Нужно было спасать компанию, и руководство решило сократить наименее эффективные направления бизнеса. Организационная структура ООО «Донремтехника» была изменена в соответствии с новой стратегией.
Шло время, кризис начал забываться, компания не только восстановила докризисный масштаб деятельности, но и переросла его. ООО «Донремтехника» стало тесно в пределах родного города, и было принято стратегическое решение развивать филиальную сеть. Поскольку основной задачей филиалов была продажа продуктов ООО «Донремтехника» корпоративным клиентам и дилерам, филиальную сеть подчинили коммерческому директору. Внутри филиалов постепенно формировались группы корпоративных и дилерских продаж, подчинённые начальникам корпоративного и оптового отделов соответственно. Таким образом, у организационной матрицы появилось ещё одно измерение: сотрудники филиалов в административном плане подчинялись линейным руководителям, а в функциональном – руководителям отделов продажи Центрального офиса, данная структура изображена на рисунку (2.3)
Традиционные бизнес-направления ООО «Донремтехника» успешно развивались и неизбежно конфликтовали в битве за ресурсы.

Рис. 2.3 Матричная структура управления филиалами (фрагмент)
По мере развития, интересы этих направлений в отношении продукта, способов продвижения, формирования каналов сбыта, принципов ценообразования расходились всё дальше и дальше. Ни введение внутреннего хозрасчёта, ни установление коммерческих отношений между подразделениями, ни система распределения финансовых ресурсов не могли полностью разрешить нарастающие противоречия. Естественным выходом из «кризиса автономии» был переход к дивизионной структуре управления, представленной на рисунке (2.4).

Рис. 2.4 Дивизионная структура управления (фрагмент)
Каждый дивизион продвигал свой продукт на свой клиентский рынок в рамках общей корпоративной стратегии, используя выделенные компанией ресурсы.
Плавное движение ООО «Донремтехника» по этапам жизненного цикла нарушил мировой экономический кризис. Руководство ООО «Донремтехника», имевшее опыт преодоления кризиса 98-го года, быстро сориентировалось и приняло антикризисную стратегию, главными положениями которой были:
-сокращение непроизводительных расходов,
-передача ряда функций поддержки на аутсорсинг,
-пересмотр продуктового портфеля в соответствии с миграцией платёжеспособного спроса,
-отказ от малоэффективных методов продвижения,
-укрепление связей с постоянными клиентами,
-интенсификация работы с поставщиками по снижению цен и повышению дисциплины поставок,
-интенсификация работы сбыта,
-проведение мероприятий по нематериальной мотивации персонала.
Неизбежным следствием новой стратегии стало сокращение бюрократического аппарата и централизация ряда функций поддержки и обеспечения. Централизация управления была также необходима для быстрой реализации запланированных мероприятий.
В настоящий момент ООО «Донремтехника» использует линейную организационную структуру управления (Приложение 1).
Мы проследили эволюцию стратегии ООО «Донремтехника» от момента создания до наших дней. Вначале пути стратегия изменялась спонтанно, в период зрелости - в результате тщательной маркетинговой проработки, иногда - под влиянием непреодолимых внешних обстоятельств. Но всегда организационная структура ООО «Донремтехника» была следствием принятых стратегических решений, и наоборот, структура, не соответствующая выбранной стратегии, мешала развитию ООО «Донремтехника» и неизбежно подвергалась трансформации. Рассмотренный пример является иллюстрацией общего принципа подчинённости структуры по отношению к стратегии. Учёт этого принципа при разработке организационной структуры позволит избежать необязательных ошибок и будет способствовать повышению эффективности бизнеса.
ЗАКЛЮЧЕНИЕ
Традиционно под структурой управления организацией понимается упорядоченная совокупность взаимосвязанных элементов, находящихся между собой в устойчивых отношениях, обеспечивающих их функционирование и развитие как единого целого. Элементами организационной структурой управления могут быть как отдельные работники, так и службы либо органы аппарата управления, в которых занято то или иное количество специалистов, выполняющих определенные функциональные обязанности.
В структуре управления организацией различаются линейные и функциональные связи. Первые носят характер согласования и являются одноуровневыми. Вторые – это отношения подчинения. Необходимость в них возникает при иерархичности построения системы управления, то есть при наличии различных уровней управления, на каждом из которых преследуются свои цели. Многообразие функциональных связей и возможных способов их распределения между подразделениями фирмы и работниками определяет разнообразие возможных видов организационных структур. Все эти виды сводятся к следующим: линейная, функциональная, линейно-функциональная (штабная) и матричная.
Все базовые структуры имеют свои сильные и слабые стороны в отношении стратегии. «Наилучшая» структура – это та, которая наилучшим образом позволяет фирме взаимодействовать с внешней средой, продуктивно и целесообразно распределять и направлять усилия своих сотрудников и таким образом удовлетворять потребности клиентов и достигать своих целей.
Для того чтобы провести работу по приведению структуры в соответствие со стратегией на должном уровне, исполнители стратегии должны выбрать базовую структуру; при необходимости модифицировать ее, чтобы она соответствовала специфике деятельности компании, и затем дополнить эту структуру всеми механизмами координации и коммуникации, которые требуются для эффективной организационной структуры.
В результате проведенного исследования можно сделать следующие выводы:
1. Следует выбирать такую организационную структуру, которая соответствует стратегическим планам организации и обеспечивает ей эффективное взаимодействие с окружающей средой и достижение намеченных целей.
2. Структура организации не может оставаться неизменной, потому что меняются как внешнее, так и внутреннее ее окружение.
3. Большинство организаций сегодня используют бюрократические системы управления. Традиционной структурой бюрократии является функциональная организация, при которой последняя разбивается на подразделения, выполняющие специализированные функции.
4. Поскольку, чисто функциональные структуры оказались не слишком эффективными, крупные организации перешли к использованию дивизиональных структур. Основными типами такой структуры являются дивизиональные структуры, ориентированные или на различные типы продукции, или на различные группы потребителей, или на различные регионы. Выбор в пользу той или иной структуры определяется важностью этого элемента в стратегических планах организации.
5. Преимущества бюрократических структур управления состоят в четком разделении труда, иерархической соподчиненности сотрудников и органов управления, профессиональном росте, базирующемся на компетенции, и в упорядоченной системе правил и стандартов, определяющих функционирование организации. Потенциальные негативные воздействия, оказываемые бюрократическими структурами на функционирование организации, состоят в жесткой заданности поведения, трудностях связи внутри организации и неспособности к быстрым нововведениям. Масштабы этих проблем быстро возрастают, если организация сталкивается с быстрыми изменениями окружающей среды или высокотехнологичной продукцией.
6. Некоторые проблемы бюрократических структур могут быть решены при введении органических или адаптивных структур. Основные типы адаптивных структур – это проектная организация, матричная организация и конгломераты.
7. В проектной и матричной организации происходит наложение специально созданных, временных целевых структур на постоянную структуру организации. Происходящее при этом наложение полномочий иной раз приводит к борьбе за власть, конфорцизму при выработке групповых решений и чрезмерным затратам.
8. Конгломераты состоят из основной формы и дочерних предприятий, рассматриваемых в качестве отдельных экономических центров. Основная, материнская фирма покупает и продает дочернии фирмы в соответствии со своей стратегией роста.
9. Многие крупные организации используют сложную составную структуру, состоящую из структур различных типов.
10. В рамках любой структуры можно сделать упор на децентрализацию полномочий с тем, чтобы дать нижестоящим руководителям право самим принимать важные решения. Потенциальные преимущества такой схемы заключаются в улучшении взаимодействия и обмена информацией между руководством разных уровней (т. е. по вертикали), повышении эффективности процесса принятия решений, усилении мотивации деятельности руководителей, улучшении подготовки руководителей разных уровней. Децентрализованные структуры обычно целесообразно применять тогда, когда окружение организации характеризуется динамичными рынками, конкуренции при наличии диверсифицированной продукции, а так же быстро меняющейся технологией. Целесообразность введения таких структур также растет по мере увеличения размеров организации и ее сложности.
Для того чтобы правильно выбрать организационную структуру при изменении стратегии организации можно рекомендовать:
- проводить систематический анализ функционирования организации и ее среды с целью выявления проблемных зон. Анализ может базироваться на сравнении конкурирующих или родственных организаций, представляющих иные сферы экономической деятельности;
- разработать генеральный план совершенствования организационной структуры;
- обеспечить гарантию того, что программа нововведений будет содержать максимально простые и конкретные предложения по изменению организационной структуры;
- последовательно реализовать планируемые перемены, потому что введение незначительных изменений имеет большие шансы на успех, чем изменения крупного характера;
- поощрять повышения уровня информированности сотрудников, что позволит им лучше оценить свою причастность и, следовательно, усилит их ответственность за намеченные перемены.
СПИСОК ИСПОЛЬЗОВАННЫХ ИСТОЧНИКОВ
1. Ансофф И. Стратегическое управление. Сокр. пер. с англ. / Научн. ред. и предисловие Л.И. Евенко. − М.: Экономика, 2007. − 519 с.
2. Баринов В.А., Харченко В.Л. Стратегический менеджмент: Учеб. пособие. − М.: ИНФРА-М, 2006. − 285 с.
3. Виханский О.С., Наумов А.И. Менеджмент: Учебник. − 4-е изд., перераб. и доп. – М.: Экономистъ, 2008. − 288 с.
4. Долгов А.И. Стратегический менеджмент: учеб. пособие / А.И. Долгов, Е.А. Прокопенко. − М.: Флинта: МПСИ, 2008. − 280 с.
5. Зуб А.Т. Стратегический менеджмент: Теория и практика: Учебное пособие для вузов. − M.: Аспект Пресс, 2008. − 415 с.
6. Кабушкин Н.И. Основы менеджмента: Учеб. пособие. –Мн.: Новое знание, 2006. − 336 с.
7. Ламбен Ж.-Ж. Менеджмент, ориентированный на рынок / пер. с англ.под ред. В.Б. Колчакова. –СПб: Питер, 2007. -427с.
8. Мельничук Д.Б. Семь граней стратегического управления предприятием // Менеджмент в России и за рубежом, 2008. − № 5. − с. 3-10.
9. Мескон М.Х., Альберт М., Хедоури Ф. Основы менеджмента / Пер. с англ. − М.: Дело, 2006. − 704 с.
10. Организационные структуры управления производством / под ред. Б.З. Мильнера. − М.: Мысль, 2008. − 280 с.
11. Поршнев А.Г., Румянцева З.П., Саломатин Н.А. Управление организацией: Учебник. − М.: ИНФРА-М, 2008. − 736 с.
12. Стратегический менеджмент / Под ред. А.Н. Петрова. − СПб.: Питер, 2008. − 496 с.
13. Фатхутдинов Р.А. Стратегический маркетинг: учебник для вузов. –СПб: Питер, 2008. -368с.
14. Шифрин М.Б. Стратегический менеджмент. −СПб: Питер, 2006. − 40 с.
Приложение 1
Организационная структура управления ООО «Донремтехника»
1.
2.
3.
4.
5.
6.
7.
8.
9.
10.
|