Лекция №1.
Тема: Предмет и метод экономической теории
Цель лекции:
Рассмотреть методы экономической теории. Уяснить предмет экономической теории.
План лекции:
1. Возникновение и основные этапы развития экономической науки
2. Предмет экономической теории
3. Метод экономической теории
Ключевые слова
: экономическая теория, экономика, анализ, синтез, позитивная экономическая теория, нормативная экономическая теория
1. Возникновение и основные этапы развития экономической науки
Истоки экономической науки следует искать в учениях мыслителей древнего мира, прежде всего стран Дальнего Востока - колыбели мировой цивилизации. Первые попытки теоретически осмыслить экономическое устройство общества были сделаны в сочинениях Ксенофонта (430-335 г.г. до н.э.), Платона (428-348 г.г. до н.э.)
Натурально-хозяйственная концепция была характерна и для экономических взглядов Платона. В своем проекте о государственном устройстве он отвел государству функцию разрешения противоречия между многообразием потребностей людей и однообразием их способностей. По мнению Платона, частную собственность могли иметь лишь лица, не способные к политической деятельности, т.е. представители третьего сословия: земледельцы, ремесленники и торговцы. Философы, управляющие обществом, и стражи не должны иметь никакой собственности. Затрагивая вопросы товарного производства, Платон подошел к пониманию того, что в процессе обмена имеет место приведение к "соразмерности и единообразию" несоразмерных и разнообразных товаров.
Экономическая мысль эпохи феодализма охватывает широкий круг проблем, начиная с обоснования законности владения феодальной землей, вечности деления общества на классы и кончая усилением внимания к проблемам товарно-денежных отношений. При этом, как правило, поддерживая развитие товарно-денежных отношений, кроме ростовщических, идеологи того времени стремились сохранить феодальный строй.
Политическая экономия как самостоятельная наука возникла значительно позже - в период зарождения капиталистического строя, формирования национального рынка. Она выражала интересы буржуазии как восходящего в ту пору класса. Тогда же и появился и сам термин "политическая экономия", родившийся в результате сочетания трех древнегреческих слов: "политейя" - общественное устройство, "ойкос" - дом, хозяйство и "номос" - закон.
Забиваем Сайты В ТОП КУВАЛДОЙ - Уникальные возможности от SeoHammer
Каждая ссылка анализируется по трем пакетам оценки: SEO, Трафик и SMM.
SeoHammer делает продвижение сайта прозрачным и простым занятием.
Ссылки, вечные ссылки, статьи, упоминания, пресс-релизы - используйте по максимуму потенциал SeoHammer для продвижения вашего сайта.
Что умеет делать SeoHammer
— Продвижение в один клик, интеллектуальный подбор запросов, покупка самых лучших ссылок с высокой степенью качества у лучших бирж ссылок.
— Регулярная проверка качества ссылок по более чем 100 показателям и ежедневный пересчет показателей качества проекта.
— Все известные форматы ссылок: арендные ссылки, вечные ссылки, публикации (упоминания, мнения, отзывы, статьи, пресс-релизы).
— SeoHammer покажет, где рост или падение, а также запросы, на которые нужно обратить внимание.
SeoHammer еще предоставляет технологию Буст, она ускоряет продвижение в десятки раз,
а первые результаты появляются уже в течение первых 7 дней.
Зарегистрироваться и Начать продвижение
2. Предмет экономической теории
Уяснить предмет науки - значит установить, что она постигает. Люди, начинающие изучать экономическую теорию, обычно требуют, чтобы им было дано краткое, желательно в одном предложении и сразу понятное определение этого предмета. Между тем, втиснуть в несколько строк точное описание любого предмета, которое четко отделило бы его от смежных дисциплин и дало бы представление начинающему о всех вопросах, охватываемых этим предметом, дело весьма нелегкое.
Греческое слово "экономика" в буквальном переводе означает "искусство ведения хозяйства". Но за две с половиной тысячи лет, прошедших с тех пор, как древнегреческий писатель и историк Ксенофонт дал это имя "новой" науке, содержание ее изменилось до неузнаваемости. Хозяйство теперь ведется и управляется не только в рамках семьи или города, но и пределах крупного региона, страны, всего мира.
Существует несколько определений предмета экономической теории, или как ее называли до недавнего времени, политической экономии:
- эта наука о видах деятельности, связанных с обменом и денежными сделками между людьми; - эта наука о повседневной деловой жизнедеятельности людей, извлечении ими средств к существованию и использовании этих средств;
- эта общественная наука, которая изучает поведение людей и групп людей в производстве, распределении, обмене и потреблении материальных благ;
- эта наука о том, как человечество справляется со своими задачами в области потребления и производства;
- эта наука о богатстве;
- эта наука о законах, управляющих производством и обменом материальных благ на различных этапах развития общества (Энгельс);
- А. Маршалл сводит предмет науки к исследованию богатства, стимулов к действию человека и мотивов противодействия;
- эта наука, которая занимается общественными отношениями людей по производству, общественным строем производства и т.д.
Мир экономики очень сложен. В нем взаимодействуют миллионы людей,
3. Метод экономической теории
Первая задача современной экономической науки состоит в том, чтобы описать, проанализировать и объяснить динамику экономических процессов, происходящих в производстве, при распределении произведенного продукта и его потреблении. Выводы экономической науки необходимы для установления экономического поведения общества. Сложность поведения людей и изменений в социальной жизни не позволяет надеяться на достижение той степени точности, какая присуща исследованиям в области естественных наук. В ходе экономического анализа не представляется возможным проводить контролируемые эксперименты. В выводах приходится многое упрощать, абстрагироваться от бесконечной массы деталей. То, что считается благоразумным для отдельного человека или фирмы, может быть подчас безрассудным для нации или государства. "Путь познания, подчеркивает В. И. Ленин, - идет от живого созерцания действительности к абстрактному мышлению и от него к практике".
Сервис онлайн-записи на собственном Telegram-боте
Попробуйте сервис онлайн-записи VisitTime на основе вашего собственного Telegram-бота:
— Разгрузит мастера, специалиста или компанию;
— Позволит гибко управлять расписанием и загрузкой;
— Разошлет оповещения о новых услугах или акциях;
— Позволит принять оплату на карту/кошелек/счет;
— Позволит записываться на групповые и персональные посещения;
— Поможет получить от клиента отзывы о визите к вам;
— Включает в себя сервис чаевых.
Для новых пользователей первый месяц бесплатно.
Зарегистрироваться в сервисе
Всякая наука вырабатывает и применяет свой инструментарий, конкретные способы и приемы познания действительности. Экономисту, как и астронавту приходится довольствоваться главным образом "наблюдением". Но для получения достоверных выводов сначала надо научиться объективно оценивать то, что является предметом наблюдения. Явления и процессы должны изучаться в их всеобщей связи и взаимозависимости, в состоянии непрерывного развития и изменения. Здесь нельзя обойтись без статистики, без построения динамических рядов, таблиц, без применения системного подхода к анализу явлений. С переходом к рыночной экономике предварительно надо было обосновать и выдвинуть целый ряд гипотез, показывающих, как будут развиваться хозяйственные связи, изменяться цены, в каком направлении будет происходить социальная дифференциация населения, какие изменения произойдут в структуре производства, валовом продукте, его качестве. Не лишним было бы рассмотреть различные гипотезы развития межнациональных отношений и нравственности. метод познания - это не продукт субъективного взгляда, а правильное отражение в сознании людей объективного процесса развития данной реальности.
Лекция №2
Тема:
Общественное производство и его структура.
Цель лекции:
Раскрыть сущность, структуру, результаты общественного производства. Рассмотреть состав и стадии движения общественного продукта.
План лекции:
1. Общественное производство и его роль в жизни общества
3. Общественный продукт, его состав и стадии движения
Ключевые слова:
общественное производство, ресурс, фактор, общественный продукт.
1. Общественное производство и его роль в жизни общества
Первоначальную основу жизни составляет общественное производство.
Производство не единственный фактор, определяющий богатство стран и народов. На экономическое развитие оказывают влияние природные ресурсы, климат, естественное плодородие земли, накопленные людьми знания и опыт, чис-ленность народонаселения и другие факторы. Однако определенный результат общество может получить лишь в том случае, если использует эффект, заложенный в этих факторах, в процессе производства.
Под производством понимается процесс воздействия человека на предметы и силы природы и приспособления их к удовлетворению тех или иных своих потребностей. В нем взаимодействуют три компонента: рабочая сила человека, предметы труда и средства труда.
Под рабочей силой понимается совокупность физических и духовных способностей, которыми обладает организм и которые реализуются в ходе трудового процесса. По мере развития общественного производства изменяются характер и содержание рабочей силы. На ранних этапах развития общества главную роль играли физические способности человека к труду. По мере развития производства, особенно в условиях современной научно-технической революции, все более высокие требования предъявляются к умственным способностям человека, к его интеллектуальному уровню, научно-техническому образованию, квалификации и другим качествам.
Рабочая сила выступает личным фактором производства, а человек - как ее носитель, трудящийся - как главная производительная сила.
Предмет труда - это все то, на что направлен труд человека, что составляет материальную основу будущего продукта. Если на заре цивилизации предметом труда исключительно было вещество природы, то по мере развития производства, науки и техники среди предметов труда все большее место занимают продукты производства, которые называются сырьем.
Средства труда - это вещи или комплексы вещей, с помощью которых человек обрабатывает предметы труда, воздействует на них. К ним относятся разнообразные орудия труда, механизмы, средства связи, пути сообщения, земля и др. По мере развития производства средств труда развиваются, совершенствуются, усложняются.
Предметы труда и средства труда в совокупности выступают как вещественный фактор производства, как средства производства.
2. Общественный продукт, его состав и стадии движения
Производственные возможности общества всегда были ограничены. С увеличением населения возникала необходимость вовлечения в хозяйственный оборот новых земель, самых разных природных ресурсов. До начала ХХ столетия темпы прироста используемых ресурсов оставались относительно небольшими. Объяснялось это, с одной стороны, определенной стабильностью в потребностях населения, а с другой стороны, - ограниченностью роста численности самого населения. Две тысячи лет назад на Земле проживало 230-250 млн.чел., в 1800 г. - не многим более 900 млн., в 1900 - 1,5 млрд., 1960 - около 3 млрд., 1995 - 5,5 млрд.человек. Темпы прироста населения резко возросли в текущем столетии, хотя еще в самом конце XVIII в. молодой английский священник Томас Роберт Мальтус вывел закон убывающей доходности. Согласно этому закону, продовольствие будет увеличиваться в соотношении один, два, три, а численность населения - один, два, четыре и т.д.
В связи с происходящим демографическим взрывом за последние сорок-пятьдесят лет в хозяйственный оборот было вовлечено столько природных ресурсов, сколько их было использовано за всю историю развития цивилизации до этого времени. Обоснование выбора использования ограниченных ресурсов стало одной из центральных проблем хозяйствования.
Результатом хозяйствования в любой экономической системе является произведенный продукт. Он представляет собой сумму всех созданных в течение года благ и имеет двойную ценность. Прежде всего это разнообразные предметы и услуги, произведенные для удовлетворения производственных и личных потребностей людей.
Вторая ценность общественного продукта состоит в том, что он имеет стоимость, воплощает в себе определенное количество затраченного труда и показывает ценой каких усилий произведен этот продукт.
В советской статистике этот продукт получил название совокупного или валового продукта. Он включает в себя материальные блага и услуги, созданные в материальном производстве, и нематериальные блага и услуги, созданные в нематериальном производстве (духовные, нравственные ценности, образование, здравоохранение и т.д.). По своей стоимостной структуре совокупный продукт состоит из стоимости израсходованных средств производства, необходимого продукта, состоящего из благ и услуг личного потребления, и прибавочного продукта, предназначенного на расширение потребления и производства. К. Маркс показал это формулой:
C + Y + m = K (1)
где: С - стоимость израсходованных средств производства;
Y - заработная плата;
m - прибавочная стоимость.
Важной формой общественного продукта является конечный продукт. Он образуется путем вычитания из валового продукта всего оборота предметов труда, т.е. путем устранения их повторного счета.
Чистый национальный продукт (НП) по американской статистике составляет рыночную стоимость всех конечных благ, произведенных в стране в течение года. В нем нет повторного счета (например, из стоимости хлеба исключается стоимость теста, из стоимости машины - стоимость металла и т.д.). НП можно измерить тремя способами:
1. Как сумму добавленных ценностей, присоединенных в ходе производства конечных благ каждым производителем в течение года.
2. Как сумму доходов, полученных в форме заработной платы, процента, ренты и прибыли теми, кто в течение года использовал свои ресурсы для производства.
3. Как сумму расходов на конечные блага, приобретаемые потребителями, фирмами и правительством, т.е. сумму конечных продаж.
По размеру этого продукта нельзя судить о благосостоянии нации. В нем много условностей, и сопоставление НП разных стран скорее характеризует уровень развиваемости наций, чем уровень жизни населения. При сравнении и сопоставлении НП необходимо применять неизменные цены.
Если полностью исключить из валового общественного продукта материальные затраты (С), т.е. затраты овеществленного труда прошлых лет, то получим чистый доход общества. В экономической теории и современной учетно-статистической практике чистый продукт общества получил название национального дохода.
Лекция №3.
Тема: Экономические институты: собственность и предпринимательство
Цель:
Рассмотреть типы, виды, формы собственности и сущность предпринимательства.
План:
1.Типы, формы и виды собственности.
2.Cущность и формы предпринимательства.
Ключевые слова:
предпринимательство, собственность, частная собственность, индивидуальные предприятия, коллективные предприятия
1.Типы, формы и виды собственности.
Тип и форма собственности находятся в непосредственной зависимости, предопределяются конкретно-историческими условиями общественной жизни. При этом тип собственности обусловлен существованием определенной социально-экономической системы Традиционно такая классификация типов собственности называется формационной, хотя и не совпадает с ней полностью. Типам собственности соответствуют различные формы собственности. Частная собственность имеет место там, где средства и результаты производства принадлежат отдельным лицам. Коллективная (групповая) собственность выражает коллективное единство труда и собственности, т. е. такое их состояние, при котором каждый член коллектива является собственником средств производства и производимой продукции. Общественная собственность представляет совместное достояние, принадлежность тех или иных объектов всему обществу. Эта форма собственности выступает, как правило, в форме государственной собственности. В условиях рыночной экономики, где господствующей является частная собственность, государственная собственность может возникать в результате:
Каждая форма собственности имеет свои сферы наиболее эффективного применения. Государственная собственность функционирует успешно в сферах с ограниченными возможностями рыночного стимулирования. Акционерная и коллективная собственности целесообразны в случаях, когда требуется концентрация средств. Акционерная собственность – это групповая собственность, которая создается путем выпуска и реализации ценных бумаг. Коллективная и кооперативная собственность – это долевая собственность, которая предполагает коллективно-групповой характер присвоения, совместное владение, пользование и распоряжение факторами и результатами производства. Особенностью такой собственности является то, что, хотя она делится на доли, единым и единственным собственником является коллектив (группа) собственников в целом. Отдельные члены утрачивают право собственности на передаваемое в виде вкладов имущество. Частная собственность используется там, где необходимые средства для хозяйственной деятельности могут быть заработаны и накоплены индивидуально.
2. Cущность и формы предпринимательства.
Предпринимательство - процесс создания нового, обладающего ценностью, экономического блага. Он предполагает принятие на себя финансовой, моральной и социальной ответственности и получение в своем результате денежного дохода и личного удовлетворения достигнутым.
Предприниматель реализует присущие рыночной экономике экономические отношения собственности в их правовом оформлении через организационные механизмы деятельности. Предпринимательство может осуществляться как в индивидуальной, так и коллективной форме. Но если первая означает осуществление ее гражданами, т. е. физическими лицами, «своей волей и в своем интересе », гражданами, которые «свободны в установлении своих прав и обязанностей на основании договора и в определении любых, не противоречащих законодательству, условий договора (ст. 1, п. 2 ГК РФ), то вторая форма предпринимательства - коллективная - предполагает границы и процедуры, очерченные более строго. В этом случае предпринимательская деятельность осуществляется на основе и в пределах тех задач и полномочий, которые отражены в учредительских документах и уставе соответствующих форм предприятий. Зафиксированное нормами права единство организационных и экономических оснований деятельности хозяйствующих субъектов выступает как его «организационно-правовая.
Хозяйственные товарищества («полное товарищество» и «товарищество на вере»).
Особенности индивидуального предприятия, товарищества (партнерства) и акционерного общества (корпорации) как основных организационно-правовых форм предпринимательской деятельности можно рассматривать как достоинства и недостатки по отношению друг к другу.
Таким образом, основные различия форм объединений предприятий связаны со степенью сохранения самостоятельности, входящих в объединения. В основе объединения предприятий может лежать:
q горизонтальная интеграция – объединение предприятий одной отрасли, одной сферы производства;
q вертикальная интеграция – объединение предприятий разных отраслей, технологически связанных между собой;
q диверсификация – объединение предприятий разных отраслей, технологически не связанных между собой.
Лекция № 4.
Тема: Типы экономических систем и закономерности их развития.
Цель:
рассмотреть экономические системы, разобрать их сущность, отобразить положительные и отрицательные стороны современной экономики.
План:
1) Экономическая система: содержание, элементы, структура. Определение экономической системы
2) Современные классификации экономических систем (традиционная, рыночная, командная, смешанная), их общая характеристика
3) Элементы экономической системы
4) Закономерности развития экономических систем.
Ключевые слова:
системный подход к экономике, аграрное, индустриальное и постиндустриальное общество, традиционная, командная, рыночная, смешанная экономика.
1).
Экономическая система есть совокупность взаимосвязанных и определенным образом упорядоченных элементов экономики.
Первый
развернутый анализ экономики как системы был дан основоположником классической школы политэкономии А. Смитом в его главном научном труде "Исследование о природе и причинах богатства народов" (в принятом сокращении — "Богатство народов"), вышедшем в свет в 1776 г.
В укрупненном виде критерии экономических систем можно разделить на три группы:
1структурообразующие критерии;
2 социально-экономические (содержательные) критерии;
3 объемные и динамические критерии.
Историческая классификация должна включать помимо современных системы прошлого и будущего. В этой связи заслуживает внимания классификация, предложенная представителями теории постиндустриального общества, которые выделяют доиндустриальные, индустриальные и постиндустриальные экономические системы.
Границами, отделяющими экономические системы друг от друга, являются промышленная и научно-техническая революции. Внутри каждой из этих систем возможна более дробная типология, что позволяет наметить пути для синтеза формационного и цивилизационного подходов.
2)
. В ходе исторического развития человеческого общества сложились несколько типов (моделей) экономических систем, различающихся, прежде всего, путями и способами решения главных экономических проблем (что, как и для кого производить). Более конкретными отличительными признаками, по которым их можно сопоставлять, сравнивать, являются: преобладающие формы и виды собственности, экономическая власть и способы ее осуществления, формы хозяйствования, место и роль рынка и рыночных отношений, характер государственного регулирования экономической жизни. Чистый капитализм (рыночная экономика)
– это экономическая система, отличительными признаками которой являются частная собственность, свободная конкуренция и ценообразование на рынках на основе законов спроса и предложения, приоритет личного корыстного интереса (стремление максимизировать свой доход), минимальный уровень экономической власти отдельных субъектов (невозможность кардинально повлиять на рыночную ситуацию), минимальная степень государственного вмешательства в экономику. Лучше всего данный тип экономической системы описан А. Смитом, который провозгласил закон "невидимой руки", т.е. саморегуляции рыночного механизма, когда стремление извлечь собственную выгоду одновременно приводит к обеспечению интересов всего общества. Командная экономика (коммунизм)
– экономическая система, в которой реализованы противоположные начала: жесткая централизация экономической власти у государства – главного субъекта хозяйственной жизни, в том числе по использованию ресурсов на всех уровнях; поведение субъектов детерминировано общегосударственными целями, общественный интерес доминирует над частным. Все ресурсы находятся в собственности государства, недоступны для свободного использования и распределяются директивным путем согласно планам. В итоге производство нередко приобретает автономный характер, не обеспечивает удовлетворение общественных потребностей, тормозится технический прогресс и наступает застой в экономике. Смешанная система
– экономика, в которой имеет место сочетание некоторых свойств первой и второй систем. Смешанная система сформировалась во многих промышленно развитых странах, где эффективный рыночный механизм дополняется гибким контурным государственным регулированием. Роль государства сводится, прежде всего, к созданию благоприятных условий для ведения предпринимательской деятельности, совершенствования рыночной инфраструктуры, обеспечению определенных социальных гарантий для населения, решению общенациональных проблем и задач. В целом, данный тип экономической системы позволяет сочетать достоинства рыночного механизма с государственным регулированием, устраняющим "провалы" рынка, сводящим к минимуму его негативные для общества эффекты. Традиционная экономика
– данный тип экономической системы следует рассматривать обособленно, поскольку имеет место в странах, определяемых как неразвитые. Наиболее характерными ее чертами являются: экономическая деятельность не воспринимается как первичная ценность; индивид принадлежит своей изначальной общности; экономическая власть соединена с политической властью. Практически все вопросы – что производить, как, на основе каких технологий, как распределить произведенные продукты – все это определяется сложившимися обычаями и традициями. 3).
Основными элементами экономической системы являются социально экономические отношения, базирующиеся на сложившихся в каждой экономической системе формах собственности на экономические ресурсы и результаты хозяйственной деятельности; организационные формы хозяйственной деятельности; хозяйственный механизм, т.е. способ регулирования экономической деятельности на макроэкономическом уровне; конкретные экономические связи между хозяйственными субъектами.
В последние полтора-два столетия в мире действовали различные типы экономических систем: две рыночные системы, в которых доминирует рыночное хозяйство, — рыночная экономика свободной конкуренции (чистый капитализм) и современная рыночная экономика (современный капитализм) и две нерыночные системы — традиционная и административно-командная. В рамках той или иной экономической системы существуют многообразные модели экономического развития отдельных стран и регионов.4).
К. Маркс выделил три большие формации:
· Первичная (архаичная) формация – первобытнообщинный и азиатский способы производства;
· Вторичная формация – основана на частной собственности (рабовладение, крепостничество, капитализм);
· Третичная (коммунистическая) формация – основана на уничтожении частной собственности, включает две фазы (социализм и коммунизм).
Лекция № 5.
Тема:
Формы общественного хозяйства. Товарное производство. Деньги.
Цель:
раскрыть понятия товар, стоимость, потребительная стоимость. Условия появления товарного производства
Ключевые слова:
товарное хозяйство, натуральное хозяйство, деньги, кредитные деньги, денежное обращение.
План:
1.Условия становления, черты и роль рыночного хозяйства в экономическом развитии общества
2. Товар, его свойства и функциональные формы
3. Альтернативные теории формирования стоимости товара и услуг
4. Деньги — развитая форма товарных отношений. Функции денег
5. Эволюция денежных систем постиндустриального общества
1). Условия становления, черты и роль рыночного хозяйства в экономическом развитии общества.
Тип общественного хозяйства, в первую очередь, зависит от формы связи производства и потребления как способа разрешения исходного противоречия общественного труда. Принято различать натуральное хозяйство, товарное (рыночное) хозяйство и сознательно регулируемое хозяйство.
Натуральное хозяйство явилось самой элементарной формой организации экономики. Для него характерно производство продуктов лишь для удовлетворения собственных потребностей людей. В натуральном хозяйстве главные проблемы организации экономики, касающиеся вещественной стороны дела, решаются наиболее просто: что и как производить, для кого делать — это определяют собственники, работники хозяйства, ориентируясь на внутрихозяйственное потребление. Чертами натурального хозяйства выступают замкнутость, универсальный труд, прямые экономические связи.
В настоящее время созданы автоматизированные системы, которым человек передает управленческую, контролирующую функции
Во-вторых,
товарное производство является открытой системой экономических отношений, так как продукты производятся не для собственного потребления, а для продажи, они выходят за пределы хозяйственной единицы.
В-третьих,
товарному производству свойственны косвенные (опосредованные) экономические связи между производством и потреблением. Они складываются по схеме: «производство — распределение — обмен — потребление». Эволюция товарного хозяйства демонстрирует большое многообразие разновидностей, которые могут быть сведены к нескольким моделям.
1. Товарное хозяйство
свободной конкуренции характеризуется тем, что развитие экономики не стеснено никакой монополией. Основные черты данной модели: обособленность производителей, независимость рынка, свободная конкуренция, действие законов обмена.
2. Модель простого товарного хозяйства
имеет более узкое значение. Исторически и логически она предшествовала капитализму. В качестве объекта анализа рассматривается мелкое, основанное на собственном труде производство. Модель товарного хозяйства свободной конкуренции более универсальна, она охватывает черты не только мелкого, но и капиталистического товарного производства.
3. Товарное хозяйство организованного рынка —
это модель экономики более высокого уровня, она развивается при наличии различных форм экономического монополизма, государственного регулирования экономики.
2).Товар, его свойства и функциональные формы
Организуя производственно-трудовую деятельность на основе разделения труда, специализации, кооперации и обмена, человеческое общество смогло совершить значительные изменения в своем материальном и духовном благосостоянии и научиться производить товаров в тысячи раз больше, чем было возможно во времена натурального хозяйства.
Обычно на первый план выдвигаются процессы, происходящие в сфере производства, — разделение труда, специализация, кооперация, но без торговли (обмена). Эти процессы если и существовали, то в очень незначительных масштабах.
Потребительная ценность продукта — это полезность вещи, способность ее удовлетворять те или иные потребности человека благодаря определенным физическим или другим свойствам.
3).Альтернативные теории формирования стоимости товара и услуг
Основными теориями стоимости являются трудовая теория и теория предельной полезности. Российская экономическая наука либо принимает теорию предельной полезности, либо остается в рамках трудовой теории, либо вырабатывает третий вариант. Третьим вариантом может быть:
• выработка совершенно иного подхода к стоимости, что маловероятно;
• разработка информационной теории стоимости, которая находится в зачаточном состоянии;
• синтез трудовой теории и теории предельной полезности.
Последний вариант (синтез теорий) нам представляется весьма перспективным как с точки зрения развития мировой экономической науки, так и с точки зрения осознания экономических интересов России.
Потребительная ценность —
это полезность вещи, ее способность удовлетворять какую-либо человеческую потребность. Ею продукт отличается от других продуктов, у которых другие потребительные свойства. Стоимость товара (продукта)
образуется из затрат труда на его производство. Соответственно, величина стоимости товара определяется количеством труда и необходимым рабочим временем на производство товара. Следовательно, если принять интенсивность трудовых усилий за постоянную величину, то, чем больше необходимого времени тратится на производство продукта, тем выше его стоимость. Если потребительная стоимость продукты разъединяет, то стоимость — объединяет.
Таким образом, не только продукт труда, но и сам труд оказывается двойственным процессом — процессом конкретного и абстрактного труда. Конкретный труд
образует потребительную стоимость товара. Абстрактный труд —
стоимость. Результатом конкретного труда является продукт, а специфическая способность продукта удовлетворять потребности есть его потребительная стоимость.
Теория предельной полезности утверждает, что человеку, чтобы жить, нужна определенная совокупность материальных благ. Способность блага удовлетворять какую-либо потребность человека есть его полезность.
Лекция 6
Тема: Рынок: виды, структура, модель
Цель:
изучение рынка как системы отношений.
План:
1. Сущность и функции рынка
2. Структура рынка
3. Конкуренция и рыночная инфраструктура
4. Преимущества и недостатки рынка
Ключевые слова:
рынок, структура рынка, конкуренция, инфраструктура рынка.
1. Рынок
- это система экономических отношений между людьми, охватывающая процессы производства, распределения, обмена и потребления.
Рынок означает сбыт, который осуществляется в сфере обмена, обращения.
Функции рынка
Рынок оказывает огромное воздействие на все стороны хозяйственной жизни, выполняя ряд экономических функций.
Самая важная функция рынка – регулирующая.
В рыночном регулировании большое значение имеет соотношение спроса и предложения, влияющее на цены. Растет цена - сигнал к расширению производства, падает -- сигнал к сокращению. В современных условиях экономика управляется не только "невидимой рукой", о которой писал еще А.Смит, но и государственными рычагами. Однако регулирующая роль рынка продолжает сохраняться, во многом определяя сбалансированность экономики. Рынок выступает регулятором производства, спроса и предложения. Через механизм закона стоимости, спроса и предложения он устанавливает необходимые воспроизводственные пропорции в экономике.
Рынок выполняет стимулирующую
функцию. Посредством цен он стимулирует внедрение в производство достижений научно-технического прогресса, снижение затрат на производство продукции и повышение ее качества, расширение ассортимента товаров и услуг.
Следующей функцией рынка является информационная
. Рынок представляет собой богатый источник информации, знаний, сведений, необходимых хозяйствующим субъектам. Он дает, в частности, информацию о количестве, ассортименте и качестве тех товаров и услуг, которые на него поставляются. Наличие информации позволяет каждой фирме сверять собственное производство с меняющимися условиями рынка.
Посредническая
функция рынка заключается в том, что в нормальной рыночной экономике с достаточно развитой конкуренцией потребитель имеет возможность выбора оптимального поставщика продукции. В то же время продавцу предоставляется возможность выбрать наиболее подходящего покупателя.
Рынок выполняет санирующую
функцию. Он очищает общественное производство от экономически слабых, нежизнеспособных хозяйственных единиц и, наоборот, поощряет развитие эффективных, предприимчивых, перспективных фирм.
Рынок позволяет решать также проблемы уровня жизни, структуры и эффективности производства.
Рынок позволяет пользоваться общечеловеческими ценностями. Сам рынок является достоянием мировой цивилизации. Свои возможности он демонстрирует в развитых странах, в развивающихся государствах, причем вне зависимости от национальных, идеологических и других особенностей.
Механизм рынка освобождает экономику от дефицита товаров и услуг. И в теории, и на практике рыночная экономика преимущественно бездефицитна в пределах тех ресурсов (включая импорт), которыми располагает страна. Дефицит противоречит экономическим интересам участников рынка. Расхождения между появлением потребности и ее удовлетворением возможны. Они обусловлены имеющимся в обществе научно-техническим потенциалом, наличием ресурсов, носят временный характер.
На рынке осуществляются реализация стоимости и доведение товаров до потребителя. Рынок служит связующим звеном между производством и потреблением.
Рынок влияет на все фазы воспроизводства - производство, распределение, обмен и потребление. В этом смысле рынок есть саморегулирующаяся система воспроизводства, все звенья которой находятся под постоянным воздействием спроса и предложения.
Через социальную
функцию рынок дифференцирует производителей. Он предоставляет государству лучшие возможности для достижения социальной справедливости в национальной экономике, что не могло быть достигнуто в условиях тотального огосударствления.
2. Структура рынка
- это совокупность отдельных локальных рынков в границах национальной экономики страны (внутреннего рынка), а также - национальных рынков в пределах мирового хозяйства и его отдельных регионов, их взаимосвязь и взаимодействие между ними
В пространственном разрезе выделяют местный (локальный) рынок, который ограничивается одним или несколькими районами страны; национальный рынок, который охватывает всю национальную территорию; мировой рынок, охватывающий все страны мира.
По механизму функционирования различают свободный (регулируется на основе свободной конкуренции независимых товаропроизводителей); монополизированный (условия производства и обращений определяет группа монополий, между которыми сохраняется монополистическая конкуренция); регулируемый (важная роль принадлежит государству, которое использует экономические инструменты воздействия) рынки.
3. Конкуренция
- это соперничество между участниками рыночного хозяйства за лучшие условия производства, купли и продажи товаров.
Экономическое значение конкуренции огромно. Современные экономисты считают конкуренцию одной из причин роста эффективности производства. Именно конкуренция заставляет фирмы внедрять технический прогресс, совершенствовать технологию производства.
Рыночная система эффективно функционирует, когда существует развитая инфраструктура.
Рыночная инфраструктура
– совокупность отраслей, учреждений, которые обслуживают рынок. Сюда относятся: оптовые и розничные торговли, маркетинг, реклама, сеть складских помещений, транспорт и связь, банки и биржи.
4. Позитивные и негативные стороны рынка
Рынку принадлежит важная позитивная роль. Конкурентная рыночная система способствует развитию научно-технического прогресса, побуждает применять новейшие технологии, рационально использовать ресурсы. Кроме того, она обеспечивает своим субъектам реальную экономическую свободу, свободу выбора форм и способов хозяйствования, гарантируемую досконально разработанным законодательством.
Достоинством рынка является и то, что он формирует и воспитывает "экономического человека", для которого характерны расчетливость и предприимчивость, готовность идти на риск, ощущение личной ответственности за свои действия. Командная же система формирует "человека административного", больше склонного к выполнению чужих распоряжений, а потому и малоинициативного.
Рынок с высокой степенью эффективности решает проблему производства необходимых потребителям товаров и услуг. Рыночная экономика в принципе не знает таких традиционных для командно-административной системы явлений, как дефицит, очереди и т.д. Рыночный механизм сам создает постоянно действующие стимулы для повышения эффективности производства.
Лекция 7.
Тема: Спрос и предложение
Цель:
изучение влияния спроса и предложения на потребительское поведение.
Ключевые слова:
спрос, предложение, закон спроса, закон предложения, рыночное равновесие, эластичность.
План:
1. Закон спроса. Кривая спроса. Факторы, влияющие на спрос.
2. Закон предложения. Кривая предложения. Факторы, влияющие на предложение.
3. Взаимодействие спроса и предложения. Рыночное равновесие.
4. Понятие эластичности.
5. Конкуренция как элемент рыночного механизма
Q
1. Спрос
на какой-либо товар или услугу - это желание и возможность потребителя купить определенное количество товара или услуги по определенной цене в определенный период времени.
Различают:
индивидуальный спрос - это спрос конкретного субъекта;
рыночный спрос - это спрос всех покупателей на данный товар.
Объем спроса - это то количество товара или услуги, которое потребители согласны купить по определенной цене в течении определенного периода времени.
Изменение в величине спроса - это движение вдоль кривой спроса. Происходит при изменении цены товара или услуги при прочих равных условиях.
Закон спроса:
при прочих равных условиях, как правило, чем меньше цена товара, тем больше потребитель готов его купить, и наоборот, чем больше цена товара, тем меньше потребитель готов его купить.
Факторы, оказывающие влияние на спрос:
·доходы потребителей;
·вкусы и предпочтения потребителей;
·цены на взаимозаменяемые (субституты) и взаимодополняемые товары;
·запасы товаров у потребителей (ожидание потребителей);
·информация о товаре;
·время, затраченное на потребление.
При изменении прочих факторов и постоянной цене товара произойдет изменение самого спроса. В результате изменения спроса потребители готовы покупать больше (или меньше) товаров, чем раньше, при той же цене, или готовы платить за прежнее количество товаров более высокую цену.

2. Предложение
какого-либо товара или услуги - это готовность производителя продать определенное количество товара или услуги по определенной цене за определенный период времени.
Объем предложения - то количество товара или услуги, которое готовы продать продавцы по определенной цене в течение определенного периода времени.
.
4. Эластичность
— численная характеристика изменения одного показателя (например:спроса или предложения) к другому показателю (например: цене, доходу) и показывающая, на сколько процентов изменится первый показатель при изменении второго на 1%.
Эластичными (по цене) считаются спрос или предложение, когда изменение величины спроса (предложения) больше изменения цены (|E|>1).
Неэластичными считаются спрос или предложение, когда изменение величины спроса (предложения) меньше изменения цены (|E|<1).
Эластичность спроса относительно цены
Эластичность спроса по цене, ценовая эластичность спроса — относительное изменение объема спроса при изменении цены на 1 %.
, где Q – спрос (количество); P - цена.
Для измерения процентного изменения величины спроса используется формула средней точки Аллена.


4. Конкуренция
- это соперничество между участниками рыночного хозяйства за лучшие условия производства, купли и продажи товаров.
Совершенная конкуренция
— состояние рынка, на котором имеется большое число покупателей и продавцов (производителей), каждый из которых занимает относительно малую долю на рынке и не может диктовать условия продажи и покупки товаров.
Признаками идеального рынка (рынка идеальной конкуренции) являются:
· отсутствие входных и выходных барьеров в той или иной отрасли производства;
· отсутствие ограничений на количество участников рынка;
· однородность одноименных представленных продуктов на рынке;
· свободные цены;
· отсутствие давления, принуждения со стороны одних участников по отношению к другим
Несовершенная конкуренция
2. Монополия
— исключительное право на что-либо. Применительно к экономике — исключительное право на производство, покупку, продажу, принадлежащее одному лицу, определённой группе лиц или государству. Возникает на основе высокой концентрации и централизации капитала и производства.
Монополистическая конкуренция
Монополистическая конкуренция осуществляется тогда, когда много продавцов конкурируют, чтобы продать дифференцированный продукт на рынке, где возможно появление новых продавцов.
3. Олигополия
— тип рынка, при котором в каждой отрасли хозяйства господствует не одна, а несколько фирм.
Лекция 8.
Тема: Конкуренция и монополия
Цель:
изучение сущности конкуренции, её экономической роли.
План:
1. Теория совершенной и несовершенной конкуренции
2. Теория монополий
3. Олигополия
4. Антимонопольная законодательство и антимонопольная политика
Ключевые слова:
конкуренция, совершенная и несовершенная конкуренция, монополия, монополистическая конкуренция, олигополия.
1. Конкуренция
- это соперничество между участниками рыночного хозяйства за лучшие условия производства, купли и продажи товаров.
В экономике говорят о деловой конкуренции хозяйствующих субъектов, каждый из которых своими действиями ограничивает возможность конкурента односторонне воздействовать на условия обращения товаров на рынке, то есть о степени зависимости рыночных условий от поведения отдельных участников рынка.
Совершенная конкуренция
— состояние рынка, на котором имеется большое число покупателей и продавцов (производителей), каждый из которых занимает относительно малую долю на рынке и не может диктовать условия продажи и покупки товаров. Предполагается наличие необходимой и доступной информации о ценах, их динамике, продавцах и покупателях не только в данном месте, но и в других регионах и городах. Рынок совершенной конкуренции предполагает отсутствие власти производителя над рынком и установление цены не производителем, а через функцию спроса и предложения.
Черты совершенной конкуренции не присущи ни одной из отраслей в полной мере. Все они могут лишь приближаться к модели.
Признаками идеального рынка (рынка идеальной конкуренции) являются:
· отсутствие входных и выходных барьеров в той или иной отрасли производства;
· отсутствие ограничений на количество участников рынка;
· однородность одноименных представленных продуктов на рынке;
· свободные цены;
· отсутствие давления, принуждения со стороны одних участников по отношению к другим
Создание идеальной модели совершенной конкуренции является чрезвычайно сложным процессом. Примером отрасли, близкой к рынку совершенной конкуренции, может служить сельское хозяйство.
Несовершенная конкуренция
Не всегда на рынке возможна совершенная конкуренция: монополистическая конкуренция, олигополия и монополия являются формами несовершенной конкуренции. При монополии возможно вытеснение монополистом других фирм с рынка.
Признаками несовершенной конкуренции являются:
· демпинговые цены
· создание входных барьеров на рынок каких-либо товаров
· ценовая дискриминация (продажа одного и того же товара по разным ценам)
· использование или разглашение конфиденциальной научно-технической, производственной и торговой информации
· распространение ложных сведений в рекламной или иной информации касаемо способа и места изготовления или количества товаров
· замалчивание важной для потребителя информации
Потери от несовершенной конкуренции:
· неоправданный рост цен
· увеличение издержек производства и обращения
· замедление научно-технического прогресса
· снижение конкурентоспособности на мировых рынках
· падение эффективности экономики
2. Монополия
— исключительное право на что-либо. Применительно к экономике — исключительное право на производство, покупку, продажу, принадлежащее одному лицу, определённой группе лиц или государству. Возникает на основе высокой концентрации и централизации капитала и производства. Цель — извлечение сверхвысокой прибыли. Обеспечивается посредством установления монопольно высоких или монопольно низких цен. Подавляет конкурентный потенциал рыночной экономики, ведёт к росту цен и диспропорциям.
Следует отличать естественную монополию, то есть структуры, демонополизация которых либо нецелесообразна, либо невозможна: коммунальное хозяйство, метрополитен, энергетика, водоснабжение и др.
Монополистическая конкуренция
Монополистическая конкуренция осуществляется тогда, когда много продавцов конкурируют, чтобы продать дифференцированный продукт на рынке, где возможно появление новых продавцов.
Для рынка с монополистической конкуренцией характерно следующее:
· товар каждой фирмы, торгующей на рынке, является несовершенным заменителем товара, реализуемого другими фирмами;
· на рынке существует относительно большое число продавцов, каждый из которых удовлетворяет небольшую, но не микроскопическую долю рыночного спроса на общий тип товара, реализуемого фирмой и ее соперниками;
· продавцы на рынке не считаются с реакцией своих соперников, когда выбирают какую цену установить на свои товары или когда выбирают ориентиры по объему годовых продаж;
· на рынке есть условия для входа и выхода
3. Олигополия
— тип рынка, при котором в каждой отрасли хозяйства господствует не одна, а несколько фирм. Иными словами, в олигополистической отрасли производителей больше, чем в условиях монополии, но значительно меньше, чем в условиях совершенной конкуренции. Как правило, насчитывается от 3 и более участников. Частным случаем олигополии выступает дуополия. Контроль над ценой очень высокий, высокие входные барьеры в отрасль, значительная неценовая конкуренция. Примером могут послужить операторы сотовой связи и рынок жилья.
4. Новое антимонопольное законодательство Республики Казахстан
· 25 декабря 2008 года Главой государства подписан Закон Республики Казахстан «О конкуренции», который введен в действие с 1 января 2009 года. Данный закон нацелен на защиту конкуренции и создание условий для роста предпринимательской и инвестиционной активности бизнеса. Главная его задача: предупреждение монополистической деятельности; пресечение недобросовестной конкуренции; демонополизация отраслей экономики; развитие честной и свободной конкуренции, а также обеспечение защиты законных прав потребителей.
Лекция 9.
Тема: Капитал (фонды). Кругооборот и оборот.
Цель:
изучение кругооборота и оборота капитала.
План:
1. Капитал. Виды капитала
2. Кругооборот капитала
3. Оборот капитала
4. Основной и оборотный капитал
5. Физический и моральный износ
Ключевые слова:
капитал (основной, оборотный, постоянный, переменный, рабочий, физический, денежный, финансовый), кругооборот и оборот капитала, физический и моральный износ.
1. Капита́л
— совокупность товаров, имущества, активов, используемых для получения прибыли, богатства.
2. Кругооборот капитала
Простое воспроизводство - это непрерывное повторение созидательной деятельности, при котором величина создаваемого продукта и размер действующего капитала (производственных фондов) остаются неизменными. Таким образом капитал совершает замкнутое круговое движение. Кругооборот капитала, говоря конкретнее, - это один цикл его движения, который охватывает процесс производства и обращения товаров и завершается возвращением капитала в его исходную денежную форму. Весь путь можно схематично изобразить известной нам формулой:

3. Оборот капитала
Непрерывно происходящие кругообороты капитала образуют его оборот. Чтобы капитал смог полностью совершить оборот, требуется определенный период - время оборота. Оно отсчитывается от начала движения авансированного капитала до момента его полного возвращения в той же денежной форме, но возросшей на величину прибыли.
Капиталы разных предприятий имеют неодинаковое время оборота, что зависит от конкретных условий производства и обращения. Например, в судостроении капитал в производительной форме находится довольно длительное время, а на текстильных фабриках - гораздо меньший период.
Бизнесмену небезразлична продолжительность времени оборота: чем быстрее все пущенные им в дело деньги возвратятся с прибылью, тем с больше скоростью будет возрастать его собственность. Отсюда вытекает заинтересованность предпринимателя в конкретном подсчете времени оборота и выяснении путей его ускорения.
Чтобы сравнить быстроту оборота капитала разных предприятий, применяется общая единица измерения. Такой естественной мерой является год. Чтобы быстрее получить прибыль, бизнесмен использует основные пути ускорения оборота капитальной стоимости: а) сокращает время оборота и б) улучшает состав производительного капитала. Время оборота авансированной стоимости состоит из времени производства и времени обращения

Рис. 1 - Структура времени оборота Время производства - период пребывания капитала на предприятии - включает: а) рабочий период; б) время самостоятельного воздействия сил природы на предмет труда и в) время пребывания товаров в форме производственных запасов.
Рабочий период охватывает ряд дней, потребных для создания готовых изделий. Его длительность зависит от технологических особенностей каждой отрасли хозяйства и от характера продукта обработки. Одно дело выпекать хлеб за часы и минуты, другое - сооружать высотное здание. Для сокращения рабочего периода применяются многочисленные способы: изменяются условия труда (удлиняется рабочий день, растет напряженность труда, увеличивается количество смен за день), повышаются численность работников, их выработка.
Продолжительность оборота капитала сокращается также за счет уменьшения времени обращения. Оно складывается: а) из времени покупки товаров (Д - Т) и б) периода реализации готовой продукции (Т' - Д').
4. Основной и оборотный капитал
Производительный капитал (фонды) состоит из двух частей, стоимость которых проходит весь оборот и возвращается в денежной форме за совершенно разные сроки. Этими частями являются: а) основной и б) оборотный капитал
Основной капитал
- та доля капитала, которая в течение длительного срока полностью участвует в производстве, но переносит свою стоимость на готовые изделия постепенно и возвращается к бизнесмену в денежной форме по частям. К нему относятся средства труда - заводские здания, машины, оборудование и т. п.
В отличие от основного оборотный капитал
- другая часть капитала, стоимость которой полностью переносится на продукт и возвращается в денежной форме в течение одного кругооборота. Речь идет о предметах труда и быстроизнашивающемся (за год) инструменте.
5. Особую заботу предприниматели проявляют о возмещении стоимости основного капитала, который требует постоянного возобновления. Такое непрерывное восстановление стоимости средств труда производится по определенным нормам в соответствии с их износом. Этот износ бывает двояким: 1) физическим и 2) стоимостным (рис. 9.2).

Рис. 2. - Виды износа основного капитала
Физический износ
означает утрату средствами труда своей полезности, в результате чего они становятся непригодными для дальнейшего использования. Этот износ происходит в двух случаях: а) в процессе технологического применения (поломка машин, разрушение фабричного здания от вибраций и т. п.) и б) если оборудование бездействует и теряет свои качества (разрушается под воздействием жары, холода, воды и пр.).
Стоимостный
(его часто называют "моральный"
) износ
- утрата основным капиталом своей стоимости. Это происходит в двух случаях: а) когда машиностроение создает более дешевые технические средства, из-за чего обесценивается действующее оборудование, и б) когда старые машины заменяются более производительными (за то же время они вырабатывают больше продукции), тогда стоимость оборудования быстрее переносится на готовые изделия.
В условиях современного научно-технического прогресса и неценовой конкуренции ускорилось старение основного капитала.
Лекция 10.
Тема: Издержки производства.
Цель:
изучение издержек производства.
План:
1. Издержки производства и их классификация.
2. Модель издержек фирмы в краткосрочном периоде. Виды издержек.
3. Эффект масштаба.
Ключевые слова:
издержки производства (бухгалтерские, совокупные, средние, маржинальные, постоянные, переменные, внешние, внутренние), эффект масштаба.
1. Издержки производства
— затраты, связанные с производством и обращением произведенных товаров. В бухгалтерской и статистической отчетности отражаются в виде себестоимости. Включают в себя: материальные затраты, расходы на оплату труда, проценты за кредиты, расходы, связанные с продвижением товара на рынок и его продажей.
Издержки производства включают в себя оценку услуг труда и капитала.
Оценка услуг фактора «земля» всегда считается равной нулю. Но при расчётах между фирмами принимают во внимание необходимость сохранения вклада предшествующих участников цепочки трансформаций экономических ресурсов в создание экономического блага. Их вклад учитывается под именем «сырьё, материалы, полуфабрикаты, комплектующие изделия и услуги промышленного характера, приобретённые у сторонних организаций». По своей природе это — издержки обращения, а не издержки производства.
Классификации
Экономические издержки состоят, во-первых, из актуальных и «осадка» . Последние связаны с затратами, навсегда покинувшими хозяйственный оборот без малейшей надежды на возвращение. Актуальные издержки принимают в расчёт при принятии решений, издержки, «выпавшие в осадок» — нет. В учёте последние относят к всевозможным страховым случаям, как, например, списание безнадёжных долгов.
2. Модель издержек фирмы в краткосрочном периоде
Актуальные экономические издержки
, в свою очередь, составляют из явных и вменённых. Явные издержки обязательно находят выражение в расчётах с контрагентами и отражение в бухгалтерских регистрах. Поэтому их ещё называют бухгалтерскими
. Вменённые издержки
объединяют затраты фирмы, не обязательно выражающиеся в расчётах с контрагентами. Это — издержки упущенных возможностей иначе применить факторы, вводимые в процесс трансформации экономических ресурсов в экономические блага.
Экономические издержки принято делить на совокупные, средние, маржинальные или замыкающие, а также на постоянные и переменные.
Совокупные издержки
включают в себя все издержки выпуска данного объёма экономических благ. Средние издержки
— это совокупные издержки, приходящиеся на единицу объёма выпуска. Маржинальные издержки
— это издержки, которые приходятся на единицу изменения объёма выпуска.
Постоянные издержки
возникают, когда объём применения одного (или обоих) факторов, вводимых в процесс трансформации, не может изменяться. Таким образом переменные издержки возникают, когда фирма имеет дело с факторами, вводимыми в процесс трансформации, объём применения которых ничем не ограничен.
Виды издержек
Экономические издержки производства товара зависят от количества используемых ресурсов и цен на услуги факторов производства. Если предприниматель использует не приобретаемые, а собственные ресурсы цены, должны быть выражены в одинаковых единицах для точного определения величины затрат. Функция издержек описывает связь между выпуском продукции и минимально возможными затратами, необходимыми для его обеспечения. Технология и цены на производственные ресурсы обычно берутся как данные при определении функции издержек. Изменение цен на какой либо ресурс или применение улучшенной технологии отразиться на величине минимальных затрат при производстве такого же объема продукции. Функция издержек связана с производственной функцией. минимизации затрат для производства любого данного объема продукции зависит отчасти от производства максимально возможного объема продукции при данной комбинации факторов.
Внешние и внутренние издержки
Издержки — это внутренняя оценка тех затрат, которые фирма должна сделать, чтобы отвлечь необходимые ей факторы трансформации от альтернативного применения. Эти затраты могут быть как внешними, так и внутренними. Та оценка затрат, которая приобретает вид платежей поставщикам труда, и капитала, называют внешними издержками. Однако фирма может использовать благоприобретённые ресурсы в разных технологиях, что также создаёт издержки. Издержки, связанные с упущенными возможностями иного использования благоприобретённого экономического ресурса, представляют собой неоплачиваемые или внутренние издержки.
3. Эффект масштаба -
участки производственной кривой с положительной отдачей от масштаба и один (последний) участок — с отрицательной.
Эффе́кт масшта́ба связан с изменением стоимости единицы продукции в зависимости от масштабов ее производства фирмой. Рассматривается в долгосрочном периоде. Снижение затрат на единицу продукции при укрупнении производства называется экономией на масштабе. Вид кривой долгосрочных издержек связан с эффектом масштаба производства.
Экономией на масштабе могут воспользоваться компании любого размера, увеличив объем своей операционной деятельности. Наиболее распространными методами являются закупки (получение оптовых скидок), менеджмент (используется специализация менеджеров), финансы (получение менее дорогих кредитов), маркетинг (распространение затрат на рекламу для большего ассортимента продукции). использование любого из этих факторов снижает долгосрочные средние затраты сдвигая на графике вниз и вправо кривую краткосрочных средних затрат .
Отрицательный эффект
масштаба возникает в связи с нарушением управляемости в чрезмерно крупной фирме:
• снижается эффективность взаимодействия между ее отдельными подразделениями, фирма становится «неповоротливой», теряется гибкость;
• затрудняется контроль за реализацией решений, принимаемых руководством фирмы;
• в отдельных подразделениях возникают локальные интересы, противоречащие интересам фирмы в целом;
• с ростом размеров фирмы увеличиваются издержки на передачу и обработку информации, необходимой для принятия решений, и т. п.
.
Анализ издержек фирмы в кратко- и долгосрочном периодах, приведенный выше, является необходимым, но не достаточным условием при планировании выпуска продукции на ближайшее время и перспективу. Минимизация издержек — это не самоцель, а лишь средство повышения прибыли или сокращения убытков, а в конечном счете — обеспечения стабильности и устойчивости положения фирмы в рыночной экономике.
Положительный эффект от масштаба
Происходит, когда при увеличении количества выпускаемой продукции и уровня влияния на рынке, затраты на единицу продукции уменьшаются. Обычно связан с углублением разделения труда и может рассматриваться как последствие синергии. Благодаря этому эффекту, очень выгодным оказался переход от ручного труда к мануфактуре и затем к конвейеру с одновременным увеличением производства. Также появляется возможность применения дорогостоящих технологий и производства побочных продуктов из отходов.
.
Лекция 11.
Тема: Доходы от факторов производства
Цель:
изучение доходов от факторов производства.
План:
1. Экономическая природа прибыли.
2. Заработная плата.
3.Рента как форма дохода.
Ключевые слова:
рента, оплата труда, прибыль
1. Экономическая природа прибыли
Прибыль выступает непосредственной целью хозяйственной деятельности и всех субъектов рыночной экономики, занятых предпринимательством. Несмотря на то, что эта категория является объектом экономической теории и занимает основополагающую роль в рыночной экономике, вот уже в течение ряда столетий не смолкают споры о ее сущности и формах. К. Маркс в "Капитале" определил прибыль как превращенную форму прибавочной стоимости. Последняя по Марксу представляет собой неоплаченный прибавочный труд наемного рабочего, занятого в сфере материального производства. Рабочий своим трудом создает стоимость большую, чем стоит его рабочая сила. Эта разница привлекает капиталиста и ради нее он развивает свою бурную деятельность. На поверхности буржуазного общества присвоение чужого труда затушевывается и прибыль выступает как порождение движения всего авансированного капитала, как результат издержек производства. Таким образом, в марксистской трактовке прибыль есть результат эксплуатации наемного труда капиталом и отношение "капиталист - наемный рабочий" составляет основное отношение капиталистического общества.
Современная экономическая мысль рассматривает прибыль как доход от использования всех факторов производства, т.е. труда, земли и капитала. Но и в таком понимании нет единства и четкости. В одних случаях прибыль рассматривается как плата за услуги предпринимательской деятельности, в других - как плата за новаторство и талант в управлении фирмой, в третьих - как плата за риск и т.д. Все эти определения расплывчаты и скорее выражают вознаграждение предпринимателю за его умение соединять факторы производства и эффективно их использовать. Однако доход в виде процента и ренты получают и те люди, которые передают право распоряжения своим капиталом в той или иной форме другим лицам и сами в экономической деятельности не участвуют. Речь идет о нетрудовых доходах, получаемых законным путем.
.
2.
Заработная плата
— денежная компенсация, которую работник получает в обмен за свой труд.
Другие определения заработной платы:
· цена трудовых ресурсов, задействованных в производственном процессе, выраженная в денежной форме часть совокупного общественного продукта, поступающая в личное потребление трудящихся в соответствии с количеством и качеством затраченного труда.
· часть затрат на производство и реализацию продукции, направляемая на оплату труда работников предприятия.
Сдельная форма
оплаты труда применяется в случаях, когда есть реальная возможность фиксировать количество показателей результата труда и нормировать его путем установления норм выработки и времени.
.Повременная форма оплаты труда
При повременной оплате труда заработная плата работника определяется в соответствии с его квалификацией и количеством отработанного времени. Такая оплата применяется тогда, когда труд работника невозможно нормировать или выполняемые работы не поддаются учёту.
Окладная оплата труда
— при такой форме в зависимости от квалификации и выполненной работы каждый раз устанавливается оклад.
Контрактная оплата труда
— зарплата оговаривается в контракте.
3.
Рента
Ренту определяют и как особый вид относительно устойчивого дохода, непосредственно не связанного с предпринимательской деятельностью.
Определение ренты неразрывно связано с понятием земли. Внешне рента представляет собой плату за пользование землей, которую ее собственник получает от арендатора.
Виды ренты.
Особой формой ренты является земельная рента
, связанная с аграрными отношениями. Земельная рента выступает как часть прибавочного продукта, создаваемого производителями, хозяйствующими на земле. Сущность земельной ренты в том, что она является экономической формой реализации прав собственности на землю. Различным ступеням общественной жизни соответствуют различные формы земельной ренты: выплата ренты в виде части продуктов - продуктовая рента, отработочная рента (барщина). Последней и высшей формой земельной ренты является денежная земельная рента - продуктовая рента, обращённая в денежную форму.
Земельная рента образуется не только в связи с арендой земли для сельскохозяйственного производства, рента имеет место и в тех случаях, когда земля арендуется предпринимателями для постройки зданий и сооружений, разработки её недр. Земельная рента выступает в двух основных формах - абсолютной и дифференциальной, что обусловлено существованием двух видов монополий на землю: монополии частной собственности на землю и монополии на землю как объект хозяйствования. Размер земельной ренты определяется в результате борьбы между арендатором и земельным собственником.
Дифференциальная рента
Естественно, что различные участки земли различаются по плодородности, климатическим особенностям, местоположению, и далеко не все из них пригодны к универсальному использованию. По этой причине не все земельные угодья приносят равные доходы в виде земельной ренты.
Дифференциальная рента может выступать в двух формах. Арендатор может получить только часть дифференциальной ренты в случае, когда ее прирост обусловлен произведенным им улучшением земельного участка - повышение экономического плодородия почвы - в период действия арендного договора. Такую дифференциальную ренту, связанную исключительно с осуществляемыми людьми улучшениями земель (вложения труда и личного капитала), выделяют как дифференциальную ренту II рода, в отличие от дифференциальной ренты I рода, появление которой объясняется в свою очередь природными, "естественными", различиями земельных участков. Дифференциальная рента I рода может быть получена только с лучших и средних по своему естественному плодородию земельных участков. В дальнейшем, при заключении нового договора, собственник земли постарается учесть прирост ренты и включить его в состав арендной платы, так как усилиями арендатора земельный участок по своей продуктивности может перейти из разряда худших земель в средние, а то и лучшие. В этой связи арендатор земли заинтересован в максимально длительных сроках действия арендного договора, с целью присвоения добавочной прибыли от монополии на землю как объекта хозяйствования. Абсолютная рента
является результатом монополии частной собственности на землю. Собственник земли, зная, что земля необходима всем для сельскохозяйственного или промышленного производства, заставит желающего пользоваться землей, платить за неё стабильную арендную плату..
В сельском хозяйстве есть еще одна разновидность земельной ренты - монопольная рента
. Исключительные природные условия порой создают возможности для производства редких сельскохозяйственных продуктов - особых сортов винограда, некоторых видов цитрусовых, чая и прочих сельскохозяйственных продуктов. Такие товары продаются по монопольным ценам, верхний предел которых нередко определяется лишь уровнем платежеспособного спроса.
Лекция №12
Тема: Национальная экономика как система
Цель:
Рассмотреть национальную экономику как систему,
основные макроэкономические показатели.
План:
1. Национальная экономика как система
2. Основные макроэкономические показатели
3. Национальное богатство
Ключевые слова:
ВНП, ВВП, макроэкономические показатели.
1.
Национальная экономика - предмет изучения макроэкономики.
Основные макроэкономические цели в любом обществе следующие:
1. Полная занятость.
2. Умеренные цены.
3. Экономический рост.
4. Платежный баланс.
Эти четыре цели называют углами «магического четырехугольника», так как часто достижение одной цели осуществляется за счет обострения других проблем. Например, при достижении полной занятости имеет место инфляция.
2.Основные макроэкономические показатели.
Система национального счетоводства (СНС)
В макроэкономике используются агрегированные величины. СНС (система национального счетоводства) – это статистические показатели, отражающие экономическое благосостояние данной страны в данное время. К ним относятся:
ВНП
– весь объем конечной продукции, произведенной с помощью резидентов данной страны в течение года.
ВВП
- весь объем конечной продукции, произведенной на территории данной страны в течение года.
Например, если Вы имеете предприятия за границей, поступившая прибыль включается в ВНП, но не включается в ВВП.
Рассмотрим методы подсчета на примере ВНП.
Методы подсчета.
1. По расходам
- как сумма расходов на покупку ВНП со стороны четырех агрегированных групп: фирм, индивидов, государства и заграницы.
Это: C
– личные потребительские расходы,
G
– государственные закупки товаров и услуг,
I
(
g
)
– валовые частные инвестиции = чистые инвестиции + амортизация,
X
(
n
)
– чистый экспорт = экспорт – импорт.
Валовые инвестиции включают:
· Инвестиции на покупку основных фондов и новое строительство для будущего производства.
· Инвестиции в жилищное строительство населением и фирмами для собственного производства или сдачи в аренду.
· Инвестиции в товарные запасы.
2. По доходам
, как сумма доходов, получаемых владельцами ресурсов, которые используют для производства ВНП:
a) зарплаты и все выплаты связанные с ней;
b) процент;
c) арендная плата;
d) прибыль и доход от собственности;
e) амортизация;
f)косвенные налоги.
3. По добавленной стоимости
, как сумма добавленных стоимостей по отраслям ВНП = ВДС (валовая добавочная стоимость) + чистые налоги.
При подсчете ВНП (ВВП) не учитываются:
· работа на себя;
· теневой сектор;
· трансферты;
· финансовые сделки;
· процент от государственных ценных бумаг;
· продажа подержанных товаров;
· перепродажа товаров.
Другими счетами являются:
ЧНП (ЧВП)
– чистый национальный (внутренний) продукт = ВНП (ВВП) – амортизация.
НД
– национальный доход = ЧНП (ЧВП) – косвенные налоги.
ЛД
– личный доход = НД + трансферты – выплаты, связанные с зарплатой – (нераспределенная прибыль корпораций + корпоративный налог).
Прибыль корпораций включает 3 компонента – дивиденды, нераспределенная прибыль корпораций и корпоративный налог. Доходом являются только дивиденды, поэтому при подсчете ЛД остальные части отнимаются.
ЛРД
– личный располагаемый доход = ЛД – индивидуальные налоги = потребление + сбережение.
Бывают номинальные и реальные счета. Номинальные счета – это счета в текущих ценах, без учета инфляции. Реальные счета – это счета в ценах базового периода, то есть, с учетом инфляции.
Реальный ВНП = (номинальный ВНП / индекс цен) * 100 %
Индекс цен показывает уровень текущих цен в сравнении с базовым уровнем.
При подсчете макроэкономических показателей используются индексы:
1) ИПЦ
– индекс потребительских цен, который показывает изменение цен на потребительские товары, входящие в потребительскую корзину (минимальную корзину). Потребительская корзина состоит на 70% из продовольственной корзины и на 30 % из непродовольственной корзины. Продовольственная корзина включает 11 групп продовольственных товаров (хлеб и хлебопродукты, картофель, овощи и бахчевые, фрукты и ягоды, мясо и мясопродукты, яйца, сахар и кондитерские изделия, масло растительное и маргарин, прочие). Нормы дифференцированы по социально-демографическим группам населения. Минимальная корзина-набор продуктов питания, необходимый для работающего мужчины-2700 ккал/сутки (белка 88,7 г., в т.ч. животного происхождения 31,5 г.). Расходы на непродовольственные товары рассчитываются по нормативному методу на основе нормативов обеспеченности и сроков службы предметов длительного пользования (предметы гардероба, санитарной гигиены, лекарства, мебель, посуда, электробытовые товары, предметы хозяйственного назначения, расходы на жилище и коммунальные услуги).
ИПЦ = (стоимость потребительской корзины в текущем периоде/ стоимость потребительской корзины в базовом периоде) * 100%;
2) Индекс цен производителей
. Показывает изменение цен в отдельных отраслях, например, в строительстве, при перевозке грузов. В сельском хозяйстве.
3) Дефлятор ВНП = (номинальный ВНП / реальный ВНП) * 100%.
Лекция №14
Тема: Экономические циклы. Инфляция и безработица
Цель:
Изучение экономического цикла, фаз экономического цикла; инфляция и безработица как факторы экономической нестабильности.
План:
1.
Экономические циклы. Фазы цикла. Кризис.
2.
Инфляция и безработица. Причины инфляции и виды инфляции. Безработица: сущность, причины и формы. Закон Оукена.
Ключевые слова
: инфляция, безработица, кризис, Закон Оукена.
Экономические циклы
— это периодические колебания деловой активности в обществе. Цикл представляет собой интервал времени в развитии экономики, в течение которого происходит увеличение объема производства товаров и услуг, а затем сокращение, спад, депрессия, оживление и, наконец, снова его рост..
Фазы классического экономического цикла
Экономические цикл характеризуются периодическими колебаниями производства, занятости и уровня цен.
1. Пик. В экономике наблюдается наиболее высокая занятость (близкая к полной) и производство работает на полную или почти полную мощность. Высокие ставки заработной платы и ссудного процента. Уровень цен имеет тенденцию к повышению. Рост деловой активности прекращается.
2. Спад (рецессия). Производство и занятость сокращаются. В результате превышения предложения над спросом на рынке товаров может начаться падение цен..
3. Впадина (низшая точка спада). Характеризуется перепроизводством товаров, низким платежным спросом, в результате избытка предложения может произойти падение цен и сокращение объемов производства. Безработица растет..
4. Подъем. Характеризуется восстановлением объема производства до прежнего уровня, сокращением безработицы
Причины экономических колебаний. Выделяют следующие причины экономических циклов:
1. Внутренние:
o изменение в потреблении;
o изменение инвестиционных расходов;
o изменение государственных расходов;
o изменения, происходящие в международной торговле.
2. Внешние:
o технологические изменения;
o катаклизмы (стихийные бедствия, катастрофы, войны).
Экономический кризис
(др.-греч. Krisis — поворотный пункт) — серьезные нарушения в обычной экономической деятельности. Одной из форм проявления кризиса является систематическое, массовое накопление долгов и невозможность их погашения в разумные сроки. Причину экономических кризисов часто усматривают в нарушении равновесия между спросом и предложением на товары и услуги.
Основные виды
— кризис недопроизводства (дефицит) и кризис перепроизводства.
Закон Оукена
— эмпирическая зависимость между темпом роста безработицы и темпом роста ВНП в США начала 60-х годов, предполагающая, что превышение уровня безработицы на 1 % над уровнем естественной безработицы снижает реальный ВНП по сравнению с потенциальным на 2,5 %. Для других стран и других времен он может быть численно иным
. Назван по имени американского экономиста Артура Оукена. В реальности это не закон, а тенденция со множеством ограничений по странам, регионам, миру в целом и периодам времени.
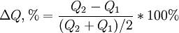
Инфляция: сущность и причины
Инфляция
— это процесс обесценивания денег, который проявляется в общем неуклонном росте цен на товары и услуги или падении покупательной способности денег.
Выделяют следующие причины инфляции
:
1. Внешние:
o отрицательное сальдо внешнеторгового и платежного баланса;
o неблагоприятная конъюнктура на мировом рынке (снижение цен на экспорт и увеличение цен на импорт).
2. Внутренние:
o деформация народнохозяйственной структуры;
o наращивание и одновременное падение эффективности капиталовложений;
o отставание отраслей потребительского сектора;
o недостатки в механизме денежного обращения;
o отсутствие антиинфляционного регулирования.
Виды инфляции
Существуют следующие виды инфляции:
1. С точки зрения проявления:
2. По степени сбалансированности:
3. По степени прогнозируемости:
4. По темпу роста цен:
o Умеренная (ползучая). До 10% в год.
o Галопирующая. От 10 до 40% в год.
o Гиперинфляция. Более 50% в месяц.
Лекция №15.
Тема: Государственное регулирование: сущность, цели, инструменты
Цель:
Рассмотреть государственное регулирование экономики и структуру финансовой системы государства
План:
1.
Государственное регулирование экономики.
2.
Финансовая система.
Ключевые слова:
Финансовая система, Государственный бюджет, Государственный долг, налог.
1.Государственное регулирование экономики
- это система мер воздействия государства на те или иные стороны экономической жизни с целью достижения устойчивого развития.
Вмешательство государства бывает прямое и косвенное.
Прямое вмешательство предполагает такие меры, как установление фиксированных цен, максимальной или минимальной цены. Например, для поддержки сельскохозяйственных производителей может быть установлена минимальная цена. Для поддержки малообеспеченных граждан может быть установлена максимальная цена на отдельные виды продуктов питания (хлеб, молоко), плата за аренду жилых помещений, коммунальные услуги. Также регулируются цены на продукцию естественных монополий.
Косвенное вмешательство предполагает использование инструментов фискальной, кредитно - денежной политики и т.д. Например, налоговые льготы и налоговые каникулы, государственное инвестирование с помощью Институтов Развития, снижение или, наоборот, повышение ставок Национального банка и использование других инструментов кредитно - денежной политики, политика ускоренной амортизации, образовательные программы, программы занятости, программы поддержки малого бизнеса и т.д.Используемые меры зависят от стратегических и текущих приоритетов, состояния экономики.
.2.Сущность и структура финансовой системы
Финансовая система
-система форм и методов образования, распределения и использования денег в стране. Финансовые отношения возникают между такими субъектами рыночной системы как государство, фирмы и индивиды.
Финансовая система включает:
- финансы государства (Республиканский бюджет и местные бюджеты, специальные внебюджетные фонды);
- финансы предприятий, организаций и учреждений;
- финансы населения.
Государственный бюджет-баланс доходов и расходов государства. В Республике Казахстан ежегодно принимается Закон »О республиканском бюджете Республики Казахстан на …год». Основные положения и принципы бюджетных и межбюджетных отношений регулирует Бюджетный Кодекс Республики Казахстан. Основным источником формирования доходов государства являются налоги. Налог - обязательный платеж государству.
Принципы налогообложения определены Налоговым Кодексом. Это:
1. Принцип обязательности, т.е. плательщик налога обязан исполнять свои обязанности в полном объеме и в установленные сроки,
2. Принцип определенности, т.е. возможности установления в налоговом законодательстве всех оснований и порядка использования, возникновения и прекращения налоговых обязательств.
3. Принцип справедливости, т.е. налоги всеобщи и обязательны. Не может быть налоговых льгот индивидуального характера,
4. Единства, т.е. налоговая система едина на всей территории Казахстана, т.к. Казахстан является унитарным государством.
Формы налогообложения:
1. Прогрессивная, означает, что ставка налога растет при увеличении налогооблагаемой базы (налог на имущество).
2. Регрессивная, означает, что ставка налога снижается при увеличении налогооблагаемой базы (социальный налог).
3. Пропорциональная, означает, что ставка налога не меняется при изменении налогооблагаемой базы (корпоративный налог, индивидуальный подоходный налог, НДС).
Виды налогов.
1. Прямые и косвенные. Прямые налоги уплачиваются непосредственно владельцами доходов или имущества, а косвенные налоги взимаются в сфере реализации товара. К прямым налогам можно отнести корпоративный налог, индивидуальный подоходный налог, налог на имущество, налог на транспортные средства, а к косвенным - НДС, акцизы.
2. Прямые налоги бывают реальные и личные. Реальные налоги-налоги на имущество, а личные налоги взимаются с дохода.
3. Натуральные и денежные (Указ о налогах… от 1995 г. допускал натуральную форму уплаты налога недропользователями в виде доли добавленной продукции).
4. Налоги с юридических и физических лиц.
5. Общегосударственные и местные. К общегосударственным налогам относятся корпоративный налог, НДС, акцизы (кроме акцизов на алкогольную продукцию), налог на сверхприбыль. К местным налогам относят акциз на алкогольную продукцию, социальный, земельный налоги, налог на имущество, подоходный налог на физических лиц.
6. Общего значения и целевые.
Также существуют сборы, платы, государственные пошлины и таможенные платежи.
Если расходы бюджета превышают доходы, возникает дефицит бюджета и наоборот - профицит
Государственный долг - это сумма дефицитов бюджета за минусом суммы излишков. Государственный долг бывает внутренним и внешним. Внутренний долг - это долг гражданам и фирмам своей страны, а внешний долг - это долг иностранным компаниям и организациям.
Лекция 16
Тема: Социальная и региональная политика государства
Цель:
раскрытие сущности социальной политики государства, рассмотрение основных направлений защиты населения в РК.
План:
1.
Социальная политика государства: необходимость, сущность и цели
2.
Структура доходов. Распределение доходов в обществе, проблема неравенства
Ключевые слова:
Доход, Распорядительный доход, Номинальный доход
1. Социальная политика государства: необходимость, сущность и цели. В любой хозяйственной системе общество сталкивается с необходимостью решения трех задач: что, как и для кого производить. Говоря о социальной политике государства, мы подразумеваем действия правительства, направленные на распределение и перераспределение доходов различных членов и групп общества. Так можно определить социальную политику в узком смысле слова. В широком смысле социальная политика - это одно из направлений макроэкономического регулирования, призванное обеспечить социальную стабильность общества и создать, насколько это возможно, одинаковые “стартовые условия” для граждан страны. Социальная политика государства реализуется через механизм государственных программ социального обеспечения и системы социальных услуг.
Уровень благосостояния людей характеризуют, прежде всего, получаемые ими доходы. Именно доходы определяют наши возможности в питании и одежде, в получении образования и медицинских услуг; возможности посещать театры и приобретать книги, активно путешествовать по миру и т. д. Понятие дохода шире понятия заработной платы, поскольку доход может содержать и другие денежные поступления.
2. Принципы распределения доходов в обществе, проблемы неравенства
В разных странах и в разные периоды действуют различные системы формирования доходов населения. Чаще всего выделяют следующие четыре основных принципа распределения (Приложение 3):
1. Уравнительное распределение
. Оно имеет место, когда все члены общества (или его определённая часть) получают равные доходы или блага. Такой принцип характерен для первобытных социумов, а также для стран с режимом, который Маркс и Энгельс определили как «казарменный коммунизм». В литературе можно встретить и другое, книжное название этого принципа – эгалитарное распределение. Поскольку люди по своим способностям и энергии различаются, то уравниловка вознаграждении их труда неизбежно порождает ситуацию, когда «один сажает виноградник, а другой ест его плоды».
2. Рыночное распределение
предполагает, что каждый из владельцев того или иного фактора производства (рабочей силы, предпринимательских способностей, земли, капитала) получает разный доход - в соответствии с хозяйственной полезностью продуктивностью своего фактора. Так, по отношению к обладателям рабочей силы (то есть наёмным работникам) действует известный принцип распределения по труду. Он означает, что размер доходов каждого трудящегося зависит от конкретной рыночной оценки значимости данного вида труда, а также от его конечных результатов (сколько, чего, как и какого качества произведено).
3. Распределение по накопленному имуществу
. Он проявляется в получении дополнительных доходов теми, кто накапливает и передаёт по наследству какую-либо собственность (землю, предприятия, дома, ценные бумаги и другое имущество).
4. Привилегированное распределение
особенно характерно для стран с неразвитой демократией и граждански пассивным обществом. Там правители самоуправно перераспределяют общественные блага в свою пользу, устраивая для себя повышенные оклады и пенсии, улучшенные условия жизни, труда, лечения, отдыха и другие льготы. Монтень прав: «не нужда, но скорей изобилие порождает в нас жадность».
В реальности все четыре рассмотренных принципа нередко по-разному сочетаются. Например, в СССР для «трудящихся масс» преобладала уравниловка, а для верхушки компартии (КПСС) и госаппарата существовали многообразные привилегии. В то время как «массы» испытывали на себе тяготы низких доходов, товарных дефицитов, перенаселенных коммунальных квартир, общежитий, подвалов и пр., номенклатурная элита имела высокие доходы, шикарные квартиры, машины, дачи, прекрасные питание и быт. Однако, какая бы система распределения ни была, в любом современном обществе неизбежно неравенство доходов людей.[8,4]
Еще Вольтер напоминал, что мы уже давно не живем в том «золотом веке, когда люди рождались равноправными и получали одинаковую долю сочных плодов невозделанной земли». И действительно, в условиях развитого рынка существование неравенства объективно задано тем, что рыночная система - это бесстрастный и жесткий механизм, который не знает благотворительности и вознаграждает людей лишь по конечной эффективности их деятельности. Люди же весьма различаются между собой: по трудолюбию, активности, способностям, образованию, владению собственностью, по умению продуктивно тратить доходы. Значит, они не могут работать, зарабатывать и жить одинаково.
И это абсолютно нормально, что рынок через свою систему дифференцированного вознаграждения объективно выявляет разные возможности людей, определяя, «кому быть врачом или адвокатом, кому собирать мусор и подметать улицы». Самое нелепое и вредное для человечества, говорит Форд, - утверждать, что все люди равны. Они очень разные, и тот, «кто много создает», должен и «много приносить в свой дом», и наоборот. Именно в этом состоит «строгая социальная справедливость, проистекающая только из человеческого труда». Благотворительности в оплате труда места нет. Каждый получает ровно столько, сколько заслужил.
Иное дело - уровень социальной политики государства. Оно, как уже отмечалось, призвано смягчать неравенство в доходах людей, чтобы не допустить чрезмерного социального расслоения и напряженности в обществе. Однако слишком активное вмешательство государства в перераспределение и выравнивание доходов заметно снижает эффективность производства, поскольку растущие налоги подавляют интерес состоятельных людей к хозяйственной деятельности, а у бедных, получающих все больше помощи, ослабевает тяга к поиску работы и энергичному труду.
Таким образом, тут неизбежно возникает противоречие между эффективностью производства и равенством доходов (Приложение 4). Равенство может казаться более справедливым и соблазнительным, но оно подрывает стимулы к труду. К тому же чрезмерное выравнивание доходов порождает свою несправедливость, давая выгоду менее способным и менее трудолюбивым за счет других.
Лекция № 17.
Тема: Международные экономические отношения. Регулирование внешнеэкономической деятельности.
Цель:
рассмотреть сущность международное разделение труда и место государства в международных интеграционных процессах
План:
1.
Международное разделение труда и конкурентоспособность страны.
2.
.Теория сравнительных преимуществ
3.
Место Казахстана в международном разделении труда
Ключевые слова:
Международное разделение труда, теория сравнительных преимуществ
1.
Международное разделение труда
. Теория сравнительных издержек производс
тва
Одной из базовых категорий, выражающих сущность и содержание международных экономических отношений, является международное разделение труда (МРТ). Все страны мира так или иначе включены в МРТ, его углубление диктуется развитием производительных сия, которые испытывают огромное воздействие научно-технической революции. Международное разделение труда радикально расширяет и укрепляет сырьевую и рыночную базу научно-технического прогресса, снижает сопряженные с ним затраты и в итоге способствует его ускорению.
Участие в международном разделении труда дает странам дополнительный экономический эффект, позволяя полнее и с наименьшими издержками удовлетворять свои потребности.
Разделение труда
- это исторически определенная система общественного труда. Она складывается в результате качественной дифференциации деятельности в процессе развития общества.
Международное разделение труда играет все возрастающую роль в реализации процессов расширенного производства в мировом хозяйстве:
1) обеспечивает взаимосвязь этих процессов;
2) формирует соответствующие международные отраслевые и регионально-отраслевые пропорции.
2.Теория сравнительных преимуществ
.
Теория международного разделения труда получила свое обоснование и развитие в работах "классиков буржуазной политэкономии" А. Смита и Д. Рикардо. Анализируя МРТ, А. Смит в работе "Исследование о природе и причинах богатства народов" (1776 г.) доказывал необходимость свободы торговли и предпринимательства, поскольку, по его мнению, различные ограничения свободы торговли препятствуют дальнейшему углублению разделения труда между отдельными регионами и целыми странами. Уничтожение этих барьеров и расширение поля международного обмена должно вести к специализации национальных экономик и росту их взаимозависимости, к складыванию общемирового хозяйства. А. Смит выдвинул лозунг свободной торговли, ставший впоследствии таким популярным
Идеи А. Смита получили отклик и развитие в вышедших позднее работах английских экономистов Д. Рикардо, Р. Торренса и Джона Стюарта Милля. Главным достижением классиков в научной теории МРТ считается разработка одного из фундаментальных принципов экономической науки - теории сравнительных преимуществ. Эта теория вошла в историю экономической мысли как "классическая" основа экономического учения о международной торговле.
В основу теории сравнительных преимуществ (или сравнительных издержек производства) положена идея о существовании различий между странами в условиях производства. В соответствии с этим предполагается, что в любой стране при любых природных и климатических условиях, в принципе, существует возможность наладить производство любых товаров.
Теорией сравнительных издержек доказывается выгодность специализации не только в условиях абсолютного преимущества одной страны перед другой в производстве какого-либо определенного товара, но даже в тех условиях, когда такое преимущество отсутствует.
Сформулированный в работах Рикардо-Торренса закон сравнительных издержек лишь постулировал принципы международного разделения труда. Дж. Стюарт Милль в свою очередь доказал два основных положения:
1) естественное стремление к международной производственной специализации ведет к установлению равновесия в выгодах, получаемых от этой специализации;
2) условия полной или частичной специализации определяются неравенством в доходах, получаемых от производства.
В результате идея конкурирующего равновесия дала теоретическое обоснование положения Рикардо-Торренса и раскрыла механизм его действия.
Идеи классиков буржуазной политэкономии были развиты в XX веке экономистами: Э. Хекшером, Б. Олином, П. Самуэльсоном, В. Леонтьевым и др. Они получили свое воплощение при формировании теории современной международной торговли механизма международных экономических отношений. 3. Место Казахстана в системе международного разделение труда
.
Казахстан в условиях создания рыночной экономики должен коренном образом изменить характер участия в международном разделении труда , приобрести новый облик на мировом рынке, чем это было при СССР. Экономическое самостоятельное плавание Казахстана в мировом рыночном пространстве потребует наличие собственного компаса, своего грамотного капитана, чтобы правильно ориентироваться в бушующем океане мирового рынка и найти свою пристань в международном разделении труда. Для этого необходимо определить в таких отраслях промышленного производства мы занимаем приоритетные места, в таких отраслях мы являемся монополистами, в каких отраслях нам необходимо удовлетворится покупкой готовой продукции, в каких отраслях нам необходимо развивать свое производство, чтобы самообеспечить этой продукцией внутренний рынок, в каких отраслях нам необходимо создавать совместные межгосударственные предприятия картельного типа как ОПЕК. Может быть в тех отраслях, где мы занимаем в мировом производстве приоритетные места, такие как цветная металлургия, урановая руда, фосфорные удобрение, производство золото и т.д. нам необходимо поискать пути создания совместных межгосударственных предприятий, которые способствовали бы закреплению за Казахстаном роли на мировом рынке не как поставщика сырья, а как поставщика готовых изделий или полуфабрикатов. Таким образом, начиная с 1991 года Казахстан стал самостоятельно определять свое место и роль в международном разделении труда. Однако перед тем, как, участвовать во внешнеэкономической деятельности, нужно было определиться с экономическим потенциалом республики, чтобы на основе чего определять экспорт и импорт страны.
|