Курсовая работа по дисциплине
на тему:
«Анализ и диагностика финансово-хозяйственной деятельности предприятия»
Введение
Анализ хозяйственной деятельности является важным элементом в системе управления производством, действенным средством выявления внутрихозяйственных резервов, основой разработки научно обоснованных планов-прогнозов и управленческих решений и контроля за их выполнением с целью повышения эффективности функционирования предприятия.
В современных условиях повышается самостоятельность предприятий в принятии и реализации управленческих решений, их экономическая и юридическая ответственность за результаты хозяйственной деятельности. Объективно возрастает значение финансовой устойчивости хозяйствующих субъектов. Все это повышает роль финансового анализа в оценке их производственной и коммерческой деятельности и, прежде всего, в наличии, размещении и использовании капитала и доходов. Результаты такого анализа необходимы собственникам (акционерам), кредиторам, инвесторам, поставщикам, налоговым службам, менеджерам и руководителям предприятий.
Ключевой целью финансового анализа является получение определенного числа основных параметров, дающих объективную и обоснованную характеристику финансового состояния предприятия. Это относится, прежде всего, к изменениям в структуре активов и пассивов, в расчетах с дебиторами и кредиторами, в составе прибылей и убытков.
Локальные цели финансового анализа:
- определение финансового состояния предприятия;
- выявление изменений в финансовом состоянии в пространственно-временном разрезе;
- установление основных факторов, вызывающих изменения в финансовом состоянии;
- прогноз основных тенденций финансового состояния. Аналитика и управляющего (финансового менеджера) интересует как текущее финансовое положение предприятия (на месяц, квартал, год), так и его прогноз на более отдаленную перспективу.
Альтернативность целей финансового анализа определяют не только его временные границы. Она зависит также от целей, которые ставят перед собой пользователи финансовой информации.
Цели исследования достигаются в результате решения ряда аналитических задач:
- предварительный обзор бухгалтерской отчетности;
Забиваем Сайты В ТОП КУВАЛДОЙ - Уникальные возможности от SeoHammer
Каждая ссылка анализируется по трем пакетам оценки: SEO, Трафик и SMM.
SeoHammer делает продвижение сайта прозрачным и простым занятием.
Ссылки, вечные ссылки, статьи, упоминания, пресс-релизы - используйте по максимуму потенциал SeoHammer для продвижения вашего сайта.
Что умеет делать SeoHammer
— Продвижение в один клик, интеллектуальный подбор запросов, покупка самых лучших ссылок с высокой степенью качества у лучших бирж ссылок.
— Регулярная проверка качества ссылок по более чем 100 показателям и ежедневный пересчет показателей качества проекта.
— Все известные форматы ссылок: арендные ссылки, вечные ссылки, публикации (упоминания, мнения, отзывы, статьи, пресс-релизы).
— SeoHammer покажет, где рост или падение, а также запросы, на которые нужно обратить внимание.
SeoHammer еще предоставляет технологию Буст, она ускоряет продвижение в десятки раз,
а первые результаты появляются уже в течение первых 7 дней.
Зарегистрироваться и Начать продвижение
- характеристика имущества предприятия: внеоборотных и оборотных активов;
- оценка финансовой устойчивости;
- характеристика источников средств: собственных и заемных;
- анализ прибыли и рентабельности;
- разработка мероприятий по улучшению финансово-хозяйственной деятельности предприятия.
Данные задачи выражают конкретные цели анализа с учетом организационных, технических и методических возможностей его осуществления. Основными факторами, в конечном счете, являются объем и качество аналитической информации.
Чтобы принимать решения в сфере производства, сбыта, финансов, инвестиций и инноваций, руководству предприятия необходима деловая систематическая осведомленность по вопросам, которые являются результатом отбора, анализа и обобщения исходной информации.
1. Анализ общего технико-экономического состояния строительного предприятия
Таблица 1 – Основные технико-экономические показатели
| Показатели
|
Предыдущий год
|
Отчетный год
|
Отклонение, тыс. руб.
|
Отклонение, %
|
| Объем СМР, тыс. руб. |
170023,84 |
156629,71 |
-13394,13 |
-7,878 |
| в т.ч. СМР собственными силами, тыс. руб.
|
105047,52 |
140083,84 |
35036,32 |
33,353 |
| Средняя цена 1 кв. м., тыс. руб. |
28,44 |
26,86 |
-1,58 |
-5,556 |
| Среднесписочная численность, чел. |
125,00 |
134,00 |
9,00 |
7,200 |
| Производительность труда, тыс. руб./чел |
1360,19 |
1168,88 |
-191,31 |
-14,065 |
| в т.ч. производительность труда собственными силами, тыс. руб./чел.
|
840,38 |
1045,40 |
205,02 |
24,396 |
| Среднемесячная зарплата, тыс. руб. |
10,098 |
10,466 |
0,368 |
3,648 |
| Себестоимость выполненных СМР, тыс. руб., в т.ч. |
142852,21 |
140189,20 |
-2663,01 |
-1,864 |
| затраты на материалы
|
92777,12 |
85395,28 |
-7381,84 |
-7,957 |
| заработная плата
|
22163,09 |
24625,66 |
2462,57 |
11,111 |
| затраты на эксплуатацию машин и механизмов (МиМ)
|
5182,65 |
5759,16 |
576,51 |
11,124 |
| амортизационные отчисления
|
6606,35 |
7340,87 |
734,52 |
11,118 |
| накладные расходы
|
16123,00 |
17068,23 |
945,23 |
5,863 |
| Затраты на 1 рубль выполненных СМР, руб. |
0,840 |
0,895 |
0,055 |
6,528 |
| Стоимость основных средств, тыс. руб. |
45150,19 |
50166,88 |
5016,69 |
11,111 |
| Фондоотдача |
3,7657 |
3,1222 |
-0,6436 |
-17,090 |
| Валовая прибыль, тыс. руб. |
27171,63 |
16440,51 |
-10731,12 |
-39,494 |
| Рентабельность основной деятельности, % |
19,02% |
11,73% |
-7,29% |
-38,344 |
Себестоимость выполненных СМР уменьшилась в отчетном году на 2663,01 тыс. руб. (на 1,864%) по сравнению с предыдущим годом и составила в итоге 140189,20 тыс. руб.
Уровень затрат на 1 рубль выполненных СМР возрос в отчетном году на 0,055 руб. (на 6,528%) по сравнению с предыдущим годом и составил 0,895 руб.
Снижение производительности труда в отчетном году на 191,31 тыс. руб./ чел. (на 14,065%), а также снижение цены строительной продукции на 1,58 тыс. руб./ кв. м. (на 5,556%) привело к тому, что объем выполненных СМР сократился на 13394,13 тыс. руб. (на 7,878%) и составил 156629,71 тыс. руб.
Валовая прибыль уменьшилась в отчетном году на 10731,12 тыс. руб. (на 39,494%) и составила 16440,51 тыс. руб. Это повлияло на рентабельность основной деятельности, которая снизилась на 7,29% и составила 11,73%.
1.1
Анализ себестоимости строительной продукции
Себестоимость продукции включает: стоимость потребленных сырья и материалов; затраты на топливо; затраты на энергию; расходы, связанные с эксплуатацией и амортизацией основных средств; расходы на оплату труда работников строительного предприятия; ЕСН (расчеты по социальному страхованию и обеспечению); накладные расходы.
При анализе себестоимости СМР плановые показатели сопоставляются с фактическими. Устанавливаются отклонения (экономия или перерасход), их причины и выявляются резервы снижения себестоимости.
Обычно отклонения фактических затрат от плановых возникают вследствие влияния на этот показатель следующих факторов:
- структура СМР;
Сервис онлайн-записи на собственном Telegram-боте
Попробуйте сервис онлайн-записи VisitTime на основе вашего собственного Telegram-бота:
— Разгрузит мастера, специалиста или компанию;
— Позволит гибко управлять расписанием и загрузкой;
— Разошлет оповещения о новых услугах или акциях;
— Позволит принять оплату на карту/кошелек/счет;
— Позволит записываться на групповые и персональные посещения;
— Поможет получить от клиента отзывы о визите к вам;
— Включает в себя сервис чаевых.
Для новых пользователей первый месяц бесплатно.
Зарегистрироваться в сервисе
- изменение цен поставщиков на потребленное сырье и материалы, топливо и энергию, грузовые перевозки;
- изменение средневзвешенных цен на СМР по сравнению с принятыми в плане;
- изменение себестоимости отдельных видов СМР.
Показателю себестоимости СМР должно уделяться повышенное внимание, так как в нем отражается величина основных затрат строительной организации, связанных со строительным производством.
Усилия строительного предприятия по снижению затрат в конечном итоге увеличат ее прибыль и, следовательно, будут способствовать снижению конечных цен на строительную продукцию и повышению конкурентоспособности строительного предприятия.
После проведения оценки общего изменения себестоимости целесообразно проанализировать изменение себестоимости как по статьям затрат, так и по экономическим элементам.

Рис. 1. Анализ себестоимости по статьям затрат
Полученные значения используются для выявления направления поиска резервов снижения себестоимости и для разработки соответствующих рекомендаций.
Проведение постатейного анализа предполагает использование индивидуальных индексов, показывающих изменение себестоимости по каждой из статей затрат.
Статья «Материалы» включает затраты на основные материалы, используемые при производстве СМР.
Статья «Основная зарплата работников» включает все расходы связанные с выплатой денежных средств работникам строительного предприятия, включая премиальные выплаты, выходные пособия и т.д., кроме этого в эту статью включены все социальные выплаты (ЕСН).
Статья «Затраты на эксплуатацию МиМ» включает все расходы связанные с эксплуатацией машин и механизмов: расходы на содержание МиМ, аренду МиМ, амортизацию МиМ.
Статья «Накладные расходы» включает:
- расходы на обслуживание кредитов;
- расходы на амортизацию зданий и сооружений;
- складские расходы;
- расходы на содержание;
- транспортные расходы;
- прочие расходы.
Установленные отклонения по статьям затрат являются объектом факторного анализа. В результате постатейного анализа себестоимости СМР должны быть выявлены внутренние и внешние, объективные и субъективные факторы изменения ее уровня. Это необходимо для квалифицированного управления процессом формирования затрат.
Удельный вес затрат в общей себестоимости определяется для того, чтобы учесть влияние каждой из статей на общее изменение себестоимости с учетом ее удельного веса в общих затратах.
Далее проводится углубленный анализ каждой из статей. Выявляются причины полученной экономии или перерасхода, намечаются возможные мероприятия по мобилизации резервов снижения себестоимости СМР по каждой конкретной статье затрат.
Источники резервов снижения себестоимости продукции:
- увеличение объема производства за счет более полного использования производственной мощности строительного предприятия;
- сокращение затрат на производство за счет повышения уровня производительности труда, экономного использования сырья, материалов, электроэнергии, топлива, оборудования, сокращения непроизводительных расходов, производственного брака и т.д.
1.2
Анализ затрат на рубль строительной продукции
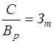
Анализ затрат на рубль СМР устанавливает прямую связь между себестоимостью и прибылью. Связь выражается через формулу:
(1)
где Вр
– выручка строительного предприятия, тыс. руб.
С
– себестоимость СМР, тыс. руб.
П
– валовая прибыль, тыс. руб.
Если преобразовать представленную формулу делением ее элементов на один и тот же показатель – величину выручки, то получается следующее выражение:
(2)
где , Зт
– затраты на рубль СМР, определяемые отношением общей суммы затрат на строительное производство и реализацию СМР к выручке от продажи строительной продукции.
Таким образом: (3)
Исходя из данной формулы, чем ниже уровень затрат на 1 рубль СМР, тем выше прибыль строительного предприятия. В курсовой работе необходимо проанализировать изменение данного показателя.
1.3
Факторный анализ результатов деятельности строительного предприятия и показателей рентабельности
Проведение факторного анализа результатов деятельности строительного предприятия и показателей рентабельности позволяет оценить резервы повышения эффективности производства и сформировать управленческие решения по использованию производственных факторов.
Анализ влияния цены строительной продукции и производительности труда на объем СМР
В данном разделе производится анализ влияния на объем СМР производительности труда и цены строительной продукции. При проведении факторного анализа студентом, в первую очередь необходимо обратить внимание на изменение СМР за счет изменения производительности труда с целью выработки рекомендаций по мобилизации резервов роста производительности труда.
При проведении факторного анализа изменения производительности труда можно использовать метод последовательных цепных подстановок (цепные индексы). Необходимые показатели для анализа с помощью цепных индексов приведены в таблице 3.
Таблица 3 – Показатели работы строительной организации
| Показатель
|
Предыдущий год (ПГ)
|
Отчетный год (ОГ)
|
Отклонение
|
гр. 3 к гр. 2, в%
|
| Объем СМР, выполненный собственными силами, тыс. руб. |
105047,52 |
140083,84 |
35036,32 |
133,35 |
| Среднесписочная численность, чел. |
125,00 |
134,00 |
9,00 |
107,20 |
| Цена кв. м., тыс. руб. |
28,44 |
26,86 |
-1,58 |
94,44 |
| Среднегодовая выработка одного работника, кв. м. |
29,54 |
38,91 |
9,37 |
131,71 |
Таблица 4 – Порядок проведения расчетов с использованием метода цепных подстановок
| Номер строки расчета
|
Взаимодействующие показатели
|
Результат объем СМР, млн. руб.
|
| Численность работников
|
Цена кв. м., тыс. руб.
|
Среднегодовая выработка, кв. м.
|
| 1 |
125,00 |
28,44 |
29,54 |
105,05 |
| 2 |
134,00 |
28,44 |
29,54 |
112,61 |
| 3 |
134,00 |
26,86 |
29,54 |
106,35 |
| 4 |
134,00 |
26,86 |
38,91 |
140,08 |
Изменение численности: 112,61 – 105,05 = +7,56 млн. руб.
Изменение цены: 106,35 – 112,61 = -6,26 млн. руб.
Изменение выработки: 140,08 – 106,35 = +33,73 млн. руб.
Итого: 140,08 – 105,05 = +35,05 млн. руб.
Т.о., можно сделать вывод о том, что наибольшее влияние на увеличение объема СМР, выполненного собственными силами, оказало влияние возросший показатель среднегодовой выработки (увеличилась на 9,37 м. кв.).

Рис. 2. Влияние факторов на изменение объема СМР в отчетном году
Кроме того, в курсовой работе необходимо выполнить анализ выполнения плана по объему СМР. Такой анализ целесообразно сделать с помощью способа разниц, который представляет собой упрощенный прием цепных подстановок. В этом случае для определения влияния на обобщающий показатель различных частных показателей исчисляются разницы между их фактическими и исходными значениями. Расчеты могут производиться как в абсолютных величинах разностей, так и в относительных (в процентах).
Таблица 5 – Исходные данные для расчета влияния средней численности работников и их производительности труда на выполнение плана по объему СМР способом разниц абсолютны величин
| Показатель
|
Плановое значение
|
Фактическое значение
|
Отклонение от плана
|
Процент к плану
|
| Объем СМР, млн. руб. |
121,16 |
156,63 |
35,47 |
129,28 |
| Среднесписочная численность, чел. |
112,00 |
134,00 |
22,00 |
119,64 |
| Средняя выработка одного работника, тыс. руб. |
1081,78 |
1168,88 |
87,10 |
108,05 |
Влияние изменения численности: 1081,78 * 22 = 23799,16 тыс. руб.
Влияние изменения производительности труда: 134 * 87,10 = 11671,8 тыс. руб.
Т.о. общее влияние двух факторов составит: 23799,16 + 11671,4 = 35470,56 тыс. руб.

Рис. 3. Влияние средней численности работников и производительности труда на выполнения плана по объему СМР
При использовании способа разниц в относительных величинах вычисляют изменение взаимосвязанных показателей в процентах по отношению к плану. Используя вышеприведенные данные, произведем следующие расчеты для определения влияния средней численности работников и их производительности труда на выполнение плана по объему СМР способом разниц в относительных величинах.
Определяем разницы в уровне выполнения плана по среднесписочной численности и среднегодовой выработке:
- Среднесписочная численность рабочих: 119,64 – 100 = 19,64%
- Среднегодовая выработка: 108,05 – 100 = 8,05%
Затем рассчитаем влияние факторов изменения численности рабочих и выработки на объем СМР:
- Изменение численности рабочих:
19,64*121,16/100 = 23,795 млн. руб.
- Изменение выработки:
8,05 * 121,16 / 100 = 9,753
Общее влияние двух факторов на объем СМР: 23,795 + 9,753 = 33,548 млн. руб.
Анализ прибыли и рентабельности деятельности строительного предприятия
Основным обобщающим показателем деятельности любого предприятия, в том числе и строительного, является прибыль или убыток. Показатели прибыли (убытка) отражают:
- объемы реализации продукции;
- структуру продукции;
- эффективность использования предприятием наличных материальных, трудовых и финансовых ресурсов.
Стандартный анализ формирования прибыли предполагает выделение прибыли от реализации продукции, прибыли от прочей реализации (в т. ч. от продажи основных средств, ценных бумаг, имущественных прав и т.п.), внереализационных доходов (штрафы, пени, % по договорам займа, кредита, вклада, по ценным бумагам, положительные курсовые разницы).
Внереализационные доходы уменьшаются на сумму внереализационных расходов, включающих в себя проценты по ценным бумагам, оплату услуг банка, штрафов и санкций за нарушение долговых обязательств и т.д.
Факторный анализ финансовых результатов от реализации СМР
Выделяют следующие факторы:
- Объем СМР в натуральных единицах измерения.
- Себестоимость СМР.
- Уровень средневзвешенных цен.
Измерение влияния каждого фактора осуществляется методом цепных подстановок. Исходные данные представлены в таблице 6.
Таблица 7 – Исходные данные для факторного анализа результатов от реализации строительной продукции
| Продукция
|
Предыдущий год
|
Отчетный год
|
| Q0общ
, кв. м.
|
Ц0
, руб. за 1 кв. м.
|
С0
, руб. на 1 кв. м.
|
Q1.общ
, кв. м.
|
Ц1
, руб. за 1 кв. м.
|
С1
, руб. на 1 кв. м.
|
| Объем, кв. м. |
5 977,36 |
28 444,64 |
23 898,88 |
5 830,40 |
26 864,32 |
24 044,53 |
себестоимость строительный рентабельность продукция
На основе данных этой таблицы рассчитывается влияние на прибыль каждого фактора по следующим формулам:
, (4)
где Qобщ
– общий объем СМР, кв. м;
Ц
– уровень средневзвешенных цен, руб.
, (5)
где ∆П
– изменение прибыли;
П1
и П0
– валовая прибыль за отчетный и предыдущий год соответственно.
П0
= 5977,36 * (28444,64 – 23898,88) / 1000 = 27172,63 тыс. руб.
П1
= 5830,40 * (26864,32 – 24044,53) / 1000 = 16440,51 тыс. руб.
∆П
= -10731,12 тыс. руб.
Влияние фактора изменения объема СМР на валовую прибыль (∆ПQ
).
Для выявления количественного влияния фактора изменения объема на валовую прибыль необходимо вычислить условный показатель валовой прибыли при общем объеме СМР за отчетный год и уровне средневзвешенных цен и себестоимости СМР за предыдущий год (ПQусл
):
(6)
где Qобщ1
– общий объем СМР за отчетный год, кв. м;
Ц0
– уровень средневзвешенных цен за предыдущий год, руб.;
С0
– себестоимость за предыдущий год СМР.
ПQусл
= 5830,40 * (28444,64 – 23898,88) / 1000 = 26504,56 тыс. руб.
∆ПQ
= ПQусл
– П0
= 26504,56 – 27172,63 = -668,07 тыс. руб.
Валовая прибыль сократится на 668,07 тыс. руб. за счет снижения объема СМР с 5 977,36 кв. м до 5 830,40 кв. м.
Влияние фактора изменения средневзвешенных цен на валовую прибыль (∆Пц
).
Для выявления количественного влияния фактора изменения средневзвешенных цен на валовую прибыль необходимо вычислить условный показатель валовой прибыли при общем объеме СМР и уровне средневзвешенных цен за отчетный год и себестоимости СМР за предыдущий год (Пцусл
):
(7)
где Ц1
– уровень средневзвешенных цен за отчетный год, руб.
ПЦусл
= 5830,40 * (26864,32 – 23898,88) / 1000 = 17290,13 тыс. руб.
∆ПЦ
= ПЦусл
– ПQусл
= 17290,13 – 26504,56 = -9214,44 тыс. руб.
Прибыль уменьшится на 9214,44 тыс. руб. за счет снижения средневзвешенных цен.
Влияние фактора изменения себестоимости СМР на валовую прибыль (∆ПС
).
∆ПС
= П1
– ПЦусл
= 16440,51 – 17290,13 = -849,17 тыс. руб.
Прибыль уменьшится на 849,17 тыс. руб. за счет увеличения себестоимости СМР.
Общая сумма влияния всех факторов составляет:
∑∆ = ∆П
= ∆ПQ
+∆ПC
+ ∆Пц
.
(8)
∆П
= -668,07 – 9214,44 – 849,17 = -10731,12 тыс. руб.
В большей степени валовая прибыль уменьшилась за счет снижения средневзвешенных цен на СМР. Влияние сокращения объема СМР и увеличение себестоимости на 1 кв. м. оказали меньшее влияние.

Рис. 4. Влияние факторов на прибыль
Анализ показателей рентабельности
В оценке хозяйственной деятельности выделяют следующие показатели рентабельности:
- Рентабельность основной (производственной) деятельности
- Рентабельность продаж
- Рентабельность производства
Рентабельность основной (производственной) деятельности (R)
(9)
Рентабельность показывает, сколько предприятие имеет прибыли с каждого рубля, затраченного на производство продукции.
Она может рассчитываться в целом по предприятию, по отдельным его сегментам или по видам продукции. Этот показатель показывает всю величину собственных заработанных средств, поступающих в распоряжение предприятия из оборота.
Влияние факторов измеряется методом цепных подстановок.
(10)
где Q
– объем выполненных СМР.


(11)
где ∆R
– изменение рентабельности производственной деятельности;
R0
– рентабельность производственной деятельности за предыдущий год;
R1
– рентабельность производственной деятельности за отчетный год.
Рентабельность производственной деятельности за отчетный период ниже чем за предыдущий год на 7,294%. Отношение прибыли к себестоимости составило в отчетном году 11,727%, а в предыдущем – 19,021%.
Влияние фактора изменения объема СМР на рентабельность производственной деятельности (∆RQ
).
Для выявления количественного влияния фактора изменения объема СМР на рентабельность производственной деятельности необходимо вычислить условный показатель рентабельности производственной деятельности при объеме СМР за отчетный год и уровне средневзвешенных цен и себестоимости СМР за предыдущий год (∆RQ
):
(12)
где Q0
– объем выполненных СМР за предыдущий период, кв. м.

∆ RQ
= RQусл
– R0
= 19,021 – 19,021 = 0%.
Рентабельность не изменится за счет снижения объема СМР с 5977,36 до 5830,40 кв. м.
Влияние фактора изменения средневзвешенных цен на рентабельность производственной деятельности (∆Rц
).
Для выявления влияния фактора изменения средневзвешенных цен на рентабельность производственной деятельности необходимо вычислить условный показатель рентабельности производственной деятельности при объеме СМР за отчетный год и уровне средневзвешенных цен и себестоимости СМР за предыдущий год (∆Rц
):
(13)
.
∆Rц
= RЦусл
– RQусл
= 12,408 – 19,021 = -6,613%.
Рентабельность производственной деятельности изменится на 6,613% при снижении средневзвешенных цен с 2844,64 до 26864,32 тыс. руб.
Влияние фактора изменения себестоимости СМР на рентабельность производственной деятельности
(∆RС
).
∆RС
= R1
– RЦусл
= 11,727 – 12,408 = –0,681%.
Рентабельность снизится на 0,681% при увеличении себестоимости с 23898,88 до 24044,53 тыс. руб.
Общая сумма влияния трех факторов составит:
∑∆ = ∆R
= ∆RQ
+ ∆RC
+ ∆Rц
. (14)
∆R
= 0 – 0,681 – 6,613 = -7,294%.
В большей степени на уровень рентабельности производственной деятельности повлияло снижение средневзвешенных цен, другие факторы менее весомы.
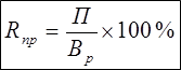
Рентабельность продаж
Рентабельность продаж измеряется отношением величины прибыли от реализации продукции к объему продаж (Rпр
).
(15)
Рентабельность продаж характеризует эффективность предпринимательской деятельности и показывает, сколько получено прибыли с 1 рубля продаж.
– объяснение расчёта рентабельности для предыдущего года (см. таблицу 8).
Таблица 8 – Исходные данные для факторного анализа показателей рентабельности продаж
| № п/п
|
Показатель
|
Предыдущий год (ПГ)
|
Отчетный год (ОГ)
|
Изменение (+,–)
|
| 1 |
Выручка строительного предприятия, тыс. руб. |
170023,84 |
156629,71 |
-13394,13 |
| 2 |
Себестоимость выполненных СМР, тыс. руб. |
142852,21 |
140189,20 |
-2663,01 |
| 3 |
Валовая прибыль, тыс. руб. |
27171,63 |
16440,51 |
-10731,12 |
| 4 |
Рентабельность продаж по прибыли от продажи, % |
15,98 |
10,50 |
-5,48 |
Рентабельность продаж по сравнению с предыдущим периодом уменьшилась на 5,48 процентных пункта. На это отклонение оказали влияние два фактора: изменение объема продаж и себестоимости СМР.
Для выявления количественного влияния каждого фактора на конечный результат необходимо вычислить условный показатель рентабельности при отчетной выручке строительного предприятия (Вр1
) и себестоимости за предыдущий период (С0
):
(16)
Влияние фактора изменения объема продаж на уровень рентабельности продаж.
∆Rпр1
= Rпрусл
– Rпр0
= 8,796 – 15,98 = -7,18%.
Влияние фактора изменения себестоимости выполненных СМР на уровень рентабельности продаж.
∆Rпр2
= R1
– Rпрусл
= 10,50 – 8,796 = 1,70%.
Общая сумма факторных отклонений дает общее изменение рентабельности за период:
∆Rпр
= ∆Rпр1
+ ∆Rпр2
= -7,18 + 1,70 = -5,48%.
Результаты факторного анализа показали, что снижение объёма продаж оказал на уровень рентабельности наибольшее влияние, чем уменьшение себестоимости СМР.
Рентабельность производства (основного капитала)
Может рассчитываться как на базе валовой прибыли, так и на базе чистой прибыли.
(17)
где Фос
– средняя стоимость основных средств, тыс. руб.
Фобм
– средняя стоимость материальных оборотных активов, тыс. руб.
В этом виде формула устанавливает связь со следующими факторами (см. таблицу 9):
- величиной валовой прибыли на 1 рубль СМР;
- фондоемкостью и фондоотдачей, характеризующими использование основных средств;
- коэффициентом закрепления материальных оборотных средств или коэффициентом оборачиваемости материальных оборотных средств.
Таблица 9 – Анализ рентабельности производственного капитала
| № п/п
|
Показатель
|
Обозначение
|
Предыдущий год (ПГ)
|
Отчетный год (ОГ)
|
Изменение (+,–)
|
| 1 |
Валовая прибыль |
П
|
27171,63 |
16440,51 |
-10731,12 |
| 2 |
Выручка строительного предприятия |
Вр
|
170023,84 |
156629,71 |
-13394,13 |
| 3 |
Средняя стоимость основных средств |
Фос
|
45150,19 |
50166,88 |
5016,69 |
| 4 |
Средняя стоимость материальных оборотных средств (запасы) |
Фобм
|
17839,30 |
19891,35 |
2052,05 |
| 5 |
Рентабельность продаж, % |
(П/ Вр
) х100%
|
15,98 |
10,50 |
-5,48 |
| 6 |
Фондоотдача |
Вр
/ Фос
|
3,77 |
3,12 |
-0,64 |
| 7 |
Фондоемкость |
Фос
/ Вр
|
0,27 |
0,32 |
0,05 |
| 8 |
Коэффициент оборачиваемости материальных оборотных средств |
Вр
/ Фобм
|
9,53 |
7,87 |
-1,66 |
| 9 |
Коэффициент закрепления |
Фобм
/ Вр
|
0,1049 |
0,1270 |
0,0221 |
| 10 |
Рентабельность производства, % |
П / (Фос
+ Фобм
) х100%
|
43,14 |
23,47 |
-19,67 |
Затем, используя метод цепных подстановок, оценивается влияние на результирующий показатель – рентабельность производства.


∆Rп
= Rп1
– Rп0
= 43,14–23,47 = -19,67%
Изменение уровня рентабельности произошло в результате воздействия следующих факторов.
.
∆RпП
= RпПусл
– Rп0
= 26,10 – 43,14= -17,04%.
Уменьшение валовой прибыли
привело к снижению рентабельности производства строительного предприятия на 17,04%.
.
∆RпФос
= RпФосусл
– RпПусл
= 24,18 – 26,10 = -1,92%.
Рост средней стоимости основных средств привел к снижению рентабельности производства строительного предприятия на 1,92%.
∆RпФобм
= R1
– RпФосусл
= 23,47 – 24,18 = -0,71%.
Рост средней стоимости материальных оборотных средств привел к понижению рентабельности производства на 0,71%.
Общая сумма влияния трех факторов составляет:
∆Rп
= ∆RпП
+ ∆RпФос
+ ∆RпФобм
=
-17,04 – 1,92 – 0,71 = -19,67%.
Таким образом, наибольшее влияние на снижение рентабельности производства оказало снижение прибыли с 27171,63 тыс. руб. до 16440,51 тыс. руб. Влияние остальных факторов заметно меньше.

Рис. 5. Влияние факторов на снижение рентабельности производства
2. Анализ динамики и использования основных средств
2.1 Анализ себестоимости строительной продукции
В данном разделе приводятся состав и структура основных средств анализируемой строительной организации. Анализ состава и структурных сдвигов основных средств и их движения по элементам путем сравнения данных, показывающих их стоимость на начало и конец отчетного периода в таблице 10.
Анализ движения и состояния основных средств в целом и по элементам проводится на основе данных, полученных в предыдущем разделе, а также вычисления коэффициентов выбытия, обновления, износа и годности основных средств.
Кроме того, в данном разделе анализируется динамика обновления основных средств на основе исследования тенденции изменения перечисленных показателей во времени.
Таблица 10 – Анализ структуры основных средств строительного предприятия
| Основные средства предприятия
|
Наличие ОС в тыс. руб.
|
Удельный вес основных видов ОС
|
Изменение в составе ОС по сравнению с началом года
|
| Предыдущий год
|
Отчетный год
|
Предыдущий год
|
Отчетный год
|
тыс. руб.
|
%
|
| ВСЕГО |
45150,19 |
50166,88 |
100% |
100% |
5016,69 |
11% |
| Основные средства (ОС) строительного назначения |
11739,06 |
13043,40 |
26,00% |
26,00% |
1304,34 |
11% |
| Производственные основные средства других отраслей |
11569,41 |
12854,90 |
25,62% |
25,62% |
1285,49 |
11% |
| Непроизводственные основные средства |
21841,72 |
24268,58 |
48,38% |
48,38% |
2426,86 |
11% |
Поэлементный анализ движения и состояния основных средств
Анализ обычно начинается и изучения объема основных средств, их динамики и структуры, см. табл. 11.
Таблица 11 – Движение основных средств
| № п/п
|
Показатели
|
Остаток на начало года
|
Поступило
|
Выбыло
|
Остаток на конец года
|
| 1 |
Административные здания |
11 739,06 |
1304,34 |
- |
13 043,40 |
| 2 |
Складские помещения |
9 481,55 |
1053,50 |
- |
10 535,05 |
| 3 |
Машины и оборудование |
8 127,04 |
903,01 |
- |
9 030,05 |
| 4 |
Транспортные средства |
11 569,41 |
1285,49 |
- |
12 854,90 |
| 5 |
Производственный и хозяйственный инвентарь |
3 612,02 |
401,33 |
- |
4 013,35 |
| 6 |
Другие виды основных средств (непроизводственные) |
621,11 |
69,02 |
- |
690,13 |
| 7 |
Всего: |
45 150,19 |
5 016,69 |
0,00 |
50 166,88 |
Общую оценку движения основных средств дают коэффициенты обновления, выбытия и прироста.
- Коэффициент обновления
(Кобновл
), характеризующий долю новых основных средств в общей их стоимости на конец года;
Кобновл =
5016,69 / 50166,68 = 0,1
- Коэффициент выбытия
(Квыб
), характеризующий долю выбывших основных средств в общей их стоимости на начало года;
Квыб =
0 / 45150,19 = 0
- Коэффициент прироста
(Кпр
), характеризующий долю принятых основных средств в общей их стоимости на начало года:
Кпр =
5016,69 / 45150,19 = 0,11
2.2 Анализ использования основных средств в целом и по их элементам
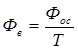
Для характеристики использования основных средств в целом и по отдельным элементам рассчитываются показатели фондоотдачи и фондоемкости.
Фондоотдача
– стоимостной показатель, выражающий меру эффективности использования основных средств в производстве продукции. Определяется отношением сметной стоимости строительно-монтажных работ, выполняемых собственными силами, за год (Qсс
) к среднегодовой стоимости основных средств (Фос
):
(18)
= 105047,52 / 45150,19 = 2,327
= 140083,84 / 50166,88 = 2,792
Для характеристики эффективности использования основных средств используют также и показатель фондоемкости
, который является величиной, обратной показателю фондоотдачи. Фондоемкость характеризует стоимость основных средств, приходящихся на единицу стоимости продукции, произведенной строительной организацией за отчетный период:
(19)
= 45150,19 / 105047,52 = 0,430
= 50166,88 / 140083,84 = 0,358
Для характеристики степени технической оснащенности строительных рабочих и ее влияния на уровень использования основных средств рассчитываются показатели фондовооруженности, механовооруженности, энерговооруженности труда рабочих (в курсовой работе этот показатель не рассчитывается).
Фондовооруженность
определяется как отношение среднегодовой стоимости основных средств к среднегодовой численности рабочих, занятых на строительных и монтажных работах (Т
):
(20)
= 45150,19 / 125 = 361,20 тыс. руб. / чел.
= 50166,88 / 134 = 374,37 тыс. руб./ чел.
Механовооруженность
определяется как отношение стоимости строительных машин и механизмов (Фм
) к среднегодовой численности рабочих, занятых на строительных и монтажных работах:
(21)
= 8127,04 / 125 = 65,02 тыс. руб.
= 9030,05 / 134 = 67,39 тыс. руб.
При анализе использования основных средств строительной организации необходимо определить, как уровень фондоотдачи повлиял на прирост объема выполненных строительно-монтажных работ. С этой целью применяется индексный метод разложения прироста объема работ по факторам (таблица 12).
Таблица 12 – Анализ факторов, влияющих на объем СМР
| Показатели
|
Условное обозначение
|
Предыдущий год
|
Отчетный год
|
Абсолют. отклонение
|
| Объем СМР, тыс. руб. |
Q
|
105047,52 |
140083,84 |
35 036,32 |
| Среднегодовая стоимость основных средств, тыс. руб. |
Фос
|
45150,19 |
50166,88 |
5 016,69 |
| Фондоотдача |
Фотд
|
2,33 |
2,79 |
0,47 |
Изменение объема СМР за счет изменения среднегодовой стоимости основных средств:
QФос1
= (Фос1
– Фос0
) х Фотд0
QФос1 =
(50166,88 – 45150,19) * 2,33 = 11671,95 тыс. руб.
Изменение объема СМР за счет изменения уровня фондоотдачи:
QФотд
= (Фотд1
– Фотд0
) х Фос1
QФотд
=
(2,79 – 2,33) * 50166,88 = 23364,37 тыс. руб.
Общее изменение объема работ:
Q = QФос1
+ QФотд
Q
= 11671,95 + 23364,37 = 35036,32 тыс. руб.

Рис. 6. Анализ влияния использования ОС на объем СМР
Предприятие стало более эффективно использовать основные средства в отчетном периоде, что повлияло на увеличение фондоотдачи. Из рис. 6 видно, что на изменение объема СМР повлияло в большей степени именно изменение фондоотдачи.
3. Анализ финансового состояния строительного предприятия
Финансовое состояние предприятия, в том числе строительного, характеризуется системой показателей, отражающих состояние капитала в процессе его кругооборота и способность субъекта хозяйствования финансировать свою деятельность. Финансовое состояние может быть устойчивым, неустойчивым (предкризисным), кризисным. Способность строительного предприятия успешно функционировать и развиваться, сохранять равновесие своих активов и пассивов, сохранять платежеспособность и инвестиционную привлекательность в границах допустимого уровня риска свидетельствует о его устойчивом финансовом состоянии, и наоборот.
Платежеспособность – внешнее проявление финансового состояния предприятия, а внутреннее проявление – финансовая устойчивость.
Финансовая устойчивость отражает сбалансированность денежных и товарных потоков, доходов и расходов, средств и источников его формирования.
Обычно все финансовые коэффициенты группируются следующим образом:
- Показатели ликвидности;
- Показатели деловой активности;
- Показатели рентабельности;
- Показатели платежеспособности (структуры капитала);
- Показатели рыночной активности.
Для анализа финансово-хозяйственной деятельности строительного предприятия в курсовой работе необходимо по исходным данным составить агрегированный баланс строительного предприятия (табл. 13).
Таблица 13 – Агрегированный баланс строительного предприятия
Предыдущий год
| Активы
|
Сумма, тыс. руб.
|
Пассивы
|
Сумма, тыс. руб.
|
| Внеоборотные активы
|
45150,19
|
Капитал и резервы
|
48569,81
|
| Основные средства (ОПФ) |
45150,19 |
Уставный капитал |
45698,36 |
| Оборотные активы
|
76967,34
|
Нераспределенная прибыль |
2871,45 |
| Незавершенное строительство |
4301,64 |
Кредиторская задолженность
|
73547,72
|
| Запасы |
17839,30 |
Долгосрочные займы и кредиты |
20000,00 |
| Дебиторская задолженность |
54805,45 |
Краткосрочные займы и кредиты |
5100,00 |
| Денежные средства на р/с |
20,95 |
Задолженность предприятий |
48447,72 |
| ВСЕГО активов
|
122117,53
|
ВСЕГО пассивов:
|
122117,53
|
Отчетный год
| Активы
|
Сумма, тыс. руб.
|
Пассивы
|
Сумма, тыс. руб.
|
| Внеоборотные активы
|
50166,88
|
Капитал и резервы
|
56236,00
|
| Основные средства (ОПФ) |
50166,88 |
Уставный капитал |
50220,40 |
| Оборотные активы
|
141599,92
|
Нераспределенная прибыль |
6015,60 |
| Незавершенное строительство |
4779,60 |
Кредиторская задолженность
|
135530,80
|
| Запасы |
19891,35 |
Долгосрочные займы и кредиты |
10000,00 |
| Дебиторская задолженность |
116500,80 |
Краткосрочные займы и кредиты |
12000,00 |
| Денежные средства на р/с |
428,17 |
Задолженность предприятий |
113530,80 |
| ВСЕГО активов
|
191766,80
|
ВСЕГО пассивов:
|
191766,80
|
3.1 Анализ активов строительного предприятия
Анализ активов предприятия и оценка рыночной активности предприятия проводятся с помощью следующей таблицы.
Таблица 14 – Структура и движение активов строительного предприятия
| Активы предприятия
|
Предыдущий год
|
Отчетный год
|
Изменение за отчетный период
|
Темп роста
|
| тыс. руб.
|
%
|
тыс. руб.
|
%
|
тыс. руб.
|
%
|
%
|
| Всего средств предприятия
|
122117,53
|
100,00%
|
191766,80
|
100,00%
|
139298,54
|
57,03%
|
157,03%
|
| Внеоборотные активы
|
45150,19
|
36,97%
|
50166,88
|
26,16%
|
5016,69
|
11,11%
|
111,11%
|
| Основные средства |
45150,19 |
36,97% |
50166,88 |
26,16% |
5016,69 |
11,11% |
111,11% |
| Оборотные активы
|
76967,34
|
63,03%
|
141599,92
|
73,84%
|
64632,58
|
83,97%
|
183,97%
|
| Запасы (материальные оборотные активы) |
17839,30 |
14,61% |
19891,35 |
10,37% |
2052,05 |
11,50% |
111,50% |
| Дебиторская задолженность |
54805,45 |
44,88% |
116500,80 |
60,75% |
61695,35 |
112,57% |
212,57% |
| Денежные средства |
20,95 |
0,02% |
428,17 |
0,22% |
407,22 |
1943,77% |
2043,77% |
| Незавершеное строительство |
4301,64 |
3,52% |
4779,60 |
2,49% |
477,96 |
11,11% |
111,11% |
3.2 Анализ пассивов строительного предприятия
Для анализа пассивов строительного предприятия и оценки рыночной устойчивости составлена следующая таблица.
Таблица 15 – Структура и движение пассивов строительного предприятия
| Пассивы предприятия
|
Предыдущий год
|
Отчетный год
|
Изменение за отчетный период
|
Темп роста
|
| тыс. руб.
|
%
|
тыс. руб.
|
%
|
тыс. руб.
|
%
|
%
|
| Всего пассивов предприятия
|
122117,53
|
100,00%
|
191766,80
|
100,00%
|
139298,54
|
57,03%
|
157,03%
|
| Капитал и резервы
|
48569,81
|
39,77%
|
56236,00
|
29,33%
|
7666,19
|
15,78%
|
115,78%
|
| Уставный капитал |
45698,36 |
37,42% |
50220,40 |
26,19% |
4522,04 |
9,90% |
109,90% |
| Нераспределенная прибыль |
2871,45 |
2,35% |
6015,60 |
3,14% |
3144,15 |
109,50% |
209,50% |
| Кредиторская задолженность
|
73547,72
|
60,23%
|
135530,80
|
70,67%
|
61983,08
|
84,28%
|
184,28%
|
| Долгосрочные займы и кредиты |
20000,00 |
16,38% |
10000,00 |
5,21% |
-10000,00 |
-50,00% |
50,00% |
| Краткосрочные займы и кредиты |
5100,00 |
4,18% |
12000,00 |
6,26% |
6900,00 |
135,29% |
235,29% |
| Задолженность предприятий |
48447,72 |
39,67% |
113530,80 |
59,20% |
65083,08 |
134,34% |
234,34% |
3.3 Анализ деловой активности строительного предприятия
Оценка деловой активности строительного предприятия может быть осуществлена на качественном и количественном уровнях.
На качественном уровне оценка может быть получена путем сравнения анализируемого строительного предприятия с другими.
На количественном уровне для оценки деловой активности применяются две группы показателей (см. табл. 16):
- показатели эффективности использования ресурсов;
- показатели оборачиваемости.
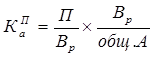
Для измерения эффективности использования ресурсов (материальных, трудовых, финансовых), как правило, рассчитывается коэффициент прибыльности общих активов. Расчет осуществляется по следующей формуле:
(22)
где КП
а
– коэффициент прибыльности общих активов;
общ. А – общие активы строительного предприятия.
(пред.)
= 27171,63 / 122117,53 = 0,223
(отч.)
= 16440,51 / 191766,80 = 0,086
Таким образом, прибыльность общих активов снизилась с 0,223 до 0,086 в отчетном периоде (на 0,137). Это связано с общим уменьшением прибыли и увеличением активов предприятия.
Таблица 16 – Показатели эффективности использования капитала
| Показатель
|
Предыдущий год
|
Отчетный год
|
Изменение в%
|
| Прибыль чистая, тыс. руб. |
15137,20 |
3068,93 |
-79,73% |
| Выручка строительного предприятия, тыс. руб. |
170023,84 |
156629,71 |
-7,88% |
| Средняя сумма капитала, тыс. руб. |
48569,81 |
56236,00 |
15,78% |
| Рентабельность капитала, % |
31,17% |
5,46% |
-82,49% |
| Рентабельность продаж, % |
8,90% |
1,96% |
-77,99% |
| Коэффициент оборачиваемости капитала, в долях |
3,50 |
2,79 |
-20,44% |
| Изменение рентабельности капитала за счет: |
| – рентабельности продаж |
-24,31% |
| – коэффициента оборачиваемости |
29,76% |
Таким образом, в отчетном году значительно снизилась рентабельность продаж (на 77,99%), и соответственно уменьшилась рентабельность капитала (на 82,49%).
Далее необходимо рассчитать и проанализировать показатели деловой активности, см. табл. 17.
- АБ
– активы баланса, тыс. руб.;
- ВБ
– внеоборотные активы, тыс. руб.;
- ОА
– оборотные активы, тыс. руб.;
- СК
– собственный капитал, тыс. руб.;
- З
– затраты, тыс. руб.;
- ДЗср
– средняя дебиторская задолженность, тыс. руб.;
- КЗср
– средняя кредиторская задолженность, тыс. руб.;
- ДЗ
– дебиторская задолженность, тыс. руб.;
- КЗ
– кредиторская задолженность, тыс. руб.
Таблица 17 – Расчет показателей деловой активности строительного предприятия
| № п/п
|
Показатель
|
Формула
|
Предыдущий год
|
Отчетный год
|
Изменение
|
| 1 |
Оборачиваемость капитала |
Вр
/ АБ
|
1,39 |
0,82 |
-0,58 |
| 2 |
Коэффициент оборачиваемости основного капитала |
Вр
/ ВБ
|
3,77 |
3,12 |
-0,64 |
| 3 |
Продолжительность оборота |
ВБ х 360 дн. / Вр
|
95,60 |
115,30 |
19,71 |
| 4 |
Коэффициент оборачиваемости оборотного капитала |
Вр
/ОА |
2,21 |
1,11 |
-1,10 |
| 5 |
Продолжительность оборота мобильных средств (оборотного капитала) |
ОА х 360 дн
. /Вр
|
162,97 |
325,46 |
162,49 |
| 6 |
Оборачиваемость собственного капитала |
Вр
/ СК |
3,50 |
2,79 |
-0,72 |
| 7 |
Оборачиваемость запасов (в оборотах) |
С/ З |
8,01 |
7,05 |
-0,96 |
| 8 |
Оборачиваемость запасов (в днях) |
360 дн. / стр. 7 табл. 17
|
44,96 |
51,08 |
6,12 |
| 9 |
Оборачиваемость средств в расчетах (в оборотах) |
Вр
/ ДЗср
|
3,10 |
1,34 |
-1,76 |
| 10 |
Оборачиваемость средств в расчетах (в днях) |
360 дн./стр. 9 табл. 17
|
116,04 |
267,77 |
151,72 |
| 11 |
Оборачиваемость кредиторской задолженности (в днях) |
(КЗср
х 360 дн.
)/ Вр |
102,58 |
260,94 |
158,36 |
| 12 |
Коэффициент погашения ДЗ |
ДЗср
/ Вр
|
0,32 |
0,74 |
0,42 |
| 13 |
Продолжительность операционного цикла |
стр. 8 + стр. 10 |
161,00 |
318,85 |
157,85 |
| 14 |
Продолжительность финансового цикла |
стр. 13 – стр. 11 |
58,42 |
57,91 |
-0,51 |
| 15 |
Коэффициент оборачиваемости ДЗ |
Вр
/ ДЗ
|
3,10 |
1,34 |
-1,76 |
| 16 |
Коэффициент оборачиваемости КЗ |
Вр
/ КЗ
|
2,31 |
1,16 |
-1,16 |
Таким образом, коэффициент оборачиваемости основного капитала снизился с 3,77 до 3,12 (на 0,64). Это связано со значительным увеличением стоимости внеоборотных активов. Соответственно увеличилась и продолжительность его оборота с 95,60 дней до 115,30 дней (на 19,71 день). Из этого можно сделать вывод о том, что снизилась деловая активность предприятия.
Кроме того, хотя продолжительность финансового цикла практически не изменилась, зато значительно выросла продолжительность операционного цикла, что свидетельствует о значительном увеличении оборачиваемости кредиторской задолженности. Как видно из таблицы, оборачиваемость кредиторской задолженности увеличилась со 102,58 дней до 260,94 дней (на 158,36 дней).
Необходимо произвести расчет потребности в собственном оборотном капитале, см. табл. 18.
Таблица 18 – Расчет потребности в собственном оборотном капитале
| № п/п
|
Показатель
|
Сумма в тыс. руб.
|
| Отчетный год (план)
|
Отчетный год (факт)
|
| 1 |
Величина производственных запасов |
14576,42 |
19891,35 |
| 2 |
Незаверешнное производство |
3983,00 |
4779,60 |
| 3 |
Остатки готовой продукции |
1366,42 |
1639,73 |
| 4 |
Величина дебиторской задолженности, исключая авансы выданные |
64803,57 |
77764,28 |
| 5 |
Величина авансов, выданных поставщикам |
32280,43 |
38736,52 |
| 6 |
Кредиторская задолженность |
94859,00 |
113530,80 |
| 7 |
Потребность в собственных оборотных средствах (сумма стр. 1 – стр. 6) |
211868,84 |
256342,28 |
Далее рассчитывается экономический эффект в результате изменения оборачиваемости:
(23)
где Врфакт
– выручка фактическая;
Д – 360 дней;
∆оборота – это изменение продолжительности оборота (стр. 5 из таблицы 17)
Э = 156629,71 / 360 * 162,49 = 70659,91 тыс. руб.
3.4 Анализ платежеспособности предприятия
Платежеспособность
характеризует возможность предприятия своевременно погасить платежные обязательства наличными денежными средствами.
Понятие платежеспособности включает в себя ликвидность и понятие финансовой устойчивости.
3.5 Анализ финансовой устойчивости
Для расчета коэффициентов, характеризующих финансовую устойчивость предприятия используются следующие величины (таблица 19):
- ЗК – заемный капитал;
- ИБ – итог баланса;
- ДС – денежные средства;
- ДО – долгосрочные обязательства;
- ОА – оборотные активы;
- КО – краткосрочные обязательства.
Таблица 19 – Показатели финансовой устойчивости предприятия
| № п/п
|
Показатель
|
Алгоритм
|
Предыдущий год
|
Отчетный год
|
Изменение
|
| 1 |
Коэффициент автономии |
СК / ИБ
|
0,40 |
0,29 |
-0,10 |
| 2 |
Коэффициент финансовой зависимости |
ИБ / СК
|
2,51 |
3,41 |
0,90 |
| 3 |
Коэффициент соотношения собственных и заемных средств |
ЗК / СК
|
1,51 |
2,41 |
0,90 |
| 4 |
Коэффициент соотношения заемных и вложенных средств (индекс финансовой напряженности) |
ЗК / ИБ
|
0,60 |
0,71 |
0,10 |
| 5 |
Коэффициент обеспеченности ВА собственными средствами (индекс постоянства) |
СК / ВА
|
1,08 |
1,12 |
0,05 |
| 6 |
Коэффициент обеспеченности оборотных активов собственными средствами (коэффициент независимости оборотных активов) |
(СК – ВА)/ОА
|
0,04 |
0,04 |
0,00 |
| 7 |
Коэффициент маневренности СК |
(СК – ВА)/СК
|
0,07 |
0,11 |
0,04 |
| 8 |
Коэффициент маневренности функционирующего капитала |
ДС/(СК – ВА)
|
0,01 |
0,07 |
0,06 |
| 9 |
Коэффициент соотношения собственных оборотных средств и вложенного капитала |
(СК – ВА) / ИБ
|
0,03 |
0,03 |
0,00 |
| 10 |
Коэффициент долгосрочного привлечения заемных средств |
ДО /(ДО + СК)
|
0,29 |
0,15 |
-0,14 |
| 11 |
Коэффициент структуры долгосрочных вложений |
ДО / ВА
|
0,44 |
0,20 |
-0,24 |
| 12 |
Коэффициент автономии источников формирования запасов |
(СК – ВА) /Запасы
|
0,19 |
0,31 |
0,11 |
| 13 |
Коэффициент соотношения дебиторской и кредиторской задолженности |
ДЗ / КЗ
|
0,75 |
0,86 |
0,11 |
| 14 |
Собственные оборотные средства, СОС, тыс. руб. |
СК + ДО – ВА
|
23419,62 |
16069,12 |
-7350,50 |
| 15 |
Чистый оборотный капитал, ЧОК, тыс. руб. |
ОА – КО
|
71867,34 |
129599,92 |
57732,58 |
Коэффициент автономии
показывает долю собственных средств в общей сумме всех средств, вложенных в имущество предприятия. Условно финансовое положение строительного предприятия можно считать устойчивым, если значение коэффициента не менее 0,5, то есть половина имущества должна быть сформирована за счет собственных средств предприятия. В отчетном году коэффициент автономии составил 0,29, что ниже показателя предыдущего года на 0,10. Это свидетельствует о неустойчивом условно-финансовом состоянии предприятия.
Коэффициент концентрации заемного капитала
(Индекс финансовой напряженности), который характеризует долю долга в общей сумме капитала. Чем выше эта доля, тем больше зависимость предприятия от внешних источников финансирования. В отчетном году коэффициент составил 0,70, что выше показателя предыдущего года на 0,10. Это свидетельствует об увеличении степени зависимости предприятия от заемных источников.
Коэффициент соотношения заемных и собственных средств
показывает, сколько заемных средств привлекло предприятие на один рубль вложенных в активы собственных средств. Коэффициент составил 2,41 руб. на 1 рубль вложенных средств в отчетном году и 1,51 руб. в предыдущем.
Коэффициент автономии источников формирования запасов
показывает, в какой мере материальные запасы и затраты покрыты собственными источниками. Коэффициент составил 0,31, что выше показателя предыдущего года на 0,11 пункта. Запасы и затраты по-прежнему покрыты собственными источниками слабо.
Коэффициент финансовой независимости
(коэффициент независимости оборотных активов) показывает, какая часть оборотных средств предприятия была сформирована за счет собственного капитала. Коэффициент составил 0,04 в отчетном и предыдущем годах. Всего 4,00% оборотных средств предприятия была сформирована за счет собственного капитала.
Коэффициент маневренности собственного капитала
показывает, какая часть собственного капитала используется для финансирования текущей деятельности, т.е. вложена в оборотные активы, а какая часть капитализирована, т.е. вложена во внеоборотные активы. Другими словами, коэффициент отражает долю собственных средств предприятия, находящихся в мобильной форме, позволяющей более или менее свободно маневрировать этими средствами. Коэффициент в отчетном году составил 0,07, что выше показателя предыдущего года на 0,06 пункта. Несмотря на то, что показатель отчетного года вырос по отношению к предыдущему, всего 7,1% собственного капитала находится в мобильной форме, что явно недостаточно для успешного функционирования предприятия.
Тип финансовой устойчивости предприятия рассчитывается по формуле:
(24)
ФУ (пред.) = (48569,81 + 20,95) / 122117,53 = 0,398
ФУ (отч.) = (56236,00 + 428,17) / 191766,80 = 0,295
Коэффициент финансовой устойчивости в отчетном году уменьшился на 0,102 пункта по сравнению с предыдущим. Это свидетельствует о снижении финансовой устойчивости на 26%, что является негативным фактором для успешного функционирования предприятия.
Показатели ликвидности:
Коэффициент абсолютной ликвидности (Кал
):
(25)
где КФВ
– краткосрочные финансовые вложения;
КДО
– краткосрочные долговые обязательства.
Кал (пред.) = (20,95+0) / 5100 = 0,004
Кал (отч.) = (428,17+0) / 12000 = 0,036
Коэффициент абсолютной (срочной) ликвидности показывает, какая часть текущей задолженности может быть погашена в ближайшее время. Немедленное выполнение текущих обязательств гарантировано суммой наличных денежных средств и наиболее ликвидных краткосрочных финансовых вложений. Коэффициент абсолютной ликвидности вырос по отношению к предыдущему году на 0,032 пункта и составил 0,036. Это свидетельствует о росте доли текущей задолженности которая может быть погашена в ближайшее время.
(26)
Ккл (пред.) = (20,95 + 54805,45) / 5100 = 10,750
Ккл (отч.) = (428,17 +116500,8) / 12000 = 9,744
Этот показатель характеризует ту часть текущих обязательств, которая может быть погашена не только за счет наличности, но и за счет ожидаемых поступлений за отгруженную продукцию, выполненные работы или оказанные услуги.
Коэффициент критической ликвидности отражает прогнозируемые платёжные возможности строительного предприятия при условии своевременного проведения расчетов с дебиторами. Рекомендуемое значение данного показателя 0,8 – 1.
Коэффициент критической ликвидности в отчетном году уменьшился по сравнению с предыдущим на 1,006 пункта и составил 9,744. Предприятие по-прежнему может погасить все текущие обязательства за счет ожидаемых поступлений.
Коэффициент текущей (общей) ликвидности (Кол
):
(27)
где РБП
– расходы будущих периодов.
Кол (пред.) = (76967,34 – 20,95 – 0) / 5100 = 15,088
Кол (отч.) = (141599,92 – 428,17 – 0) / 12000 = 11,764
Коэффициент текущей ликвидности характеризует ожидаемую платежеспособность предприятия на период, равный средней продолжительности одного оборота всех оборотных средств. Он показывает платежные возможности строительного предприятия при условии не только своевременных расчетов с дебиторами и реализации готовой продукции, но также в случае продажи прочих элементов материальных оборотных средств. Условное нормативное значение коэффициента варьирует от 1,5 до 2.
В отчетном году коэффициент текущей ликвидности снизился на 3,323 пункта и составил 11,764 пункта. Это свидетельствует о хорошей платежеспособности предприятия на период, равный средней продолжительности одного оборота всех оборотных средств.
Таблица 20 – Показатели ликвидности
| № п/п
|
Показатель
|
Алгоритм
|
Предыдущий год
|
Отчетный год
|
Изменение
|
| 1 |
Тип финансовой устойчивости |
(ДС + СК) /ИБ
|
0,398 |
0,295 |
-0,102 |
| 2 |
Коэффициент абсолютной ликвидности |
(ДС + КФБ) /КДО
|
0,004 |
0,036 |
0,032 |
| 3 |
Коэффициент быстрой ликвидности |
(ДС + КФБ + ДЗ) /КДО
|
10,750 |
9,744 |
-1,006 |
| 4 |
Коэффициент общей ликвидности |
(ОА – ДС – РБП) /КДО
|
15,088 |
11,764 |
-3,323 |
Заключение
В заключении приводится таблица, отражающая комплексный анализ эффективности деятельности строительного предприятия (см. таблицу 21). Общая оценка работы строительного предприятия включает:
- оценку развития строительного предприятия;
- анализ показателей рентабельности;
- оценку эффективности использования ресурсов.
Оценку развития строительного предприятия дает анализ динамики конечных показателей его работы, таких как:
- объем строительной продукции;
- качество строительной продукции;
- численность персонала;
- валовая прибыль;
- стоимость имущества и др.
Таблица 21 – Исходные данные и расчет показателей для оценки эффективности работы строительного предприятия
| № п/п
|
Показатель
|
Предыдущий год
|
Отчетный год
|
Изменение за год
|
| 1
|
Экономические результаты
|
| 1.1 |
Балансовая прибыль |
27171,63 |
16440,51 |
-10731,12 |
| 1.2 |
Прибыль от реализации |
27171,63 |
16440,51 |
-10731,12 |
| 1.3 |
Чистая прибыль |
15137,20 |
3068,93 |
-12068,27 |
| 2
|
Производственные результаты
|
| 2.1 |
Выручка от реализации продукции с учетом НДС |
170023,84 |
156629,71 |
-13394,13 |
| 2.2 |
Себестоимость реализованной продукции |
142852,21 |
140189,20 |
-2663,01 |
| 3
|
Результаты деловой активности
|
| 3.1 |
Оборачиваемость всех активов |
1,39 |
0,82 |
-0,58 |
| 3.2 |
Оборачиваемость основных средств |
3,77 |
3,12 |
-0,64 |
| 3.3 |
Оборачиваемость оборотных средств |
2,21 |
1,11 |
-1,10 |
| 4
|
Показатели эффективности использования производственных ресурсов
|
| 4.1 |
Производительность труда, тыс. руб./ чел. |
1360,19 |
1168,88 |
-191,31 |
| 4.2 |
Фондоотдача |
3,77 |
3,12 |
-0,64 |
| 4.3 |
Фондоемкость |
0,27 |
0,32 |
0,05 |
| 4.4 |
Затраты на 1 рубль продукции |
0,84 |
0,90 |
0,05 |
| 5
|
Показатели оценки ликвидности и финансовой устойчивости
|
| 5.1 |
Коэффициент абсолютной ликвидности |
0,004 |
0,036 |
0,032 |
| 5.2 |
Коэффициент критической ликвидности |
10,750 |
9,744 |
-1,006 |
| 5.3 |
Коэффициент текущей ликвидности |
15,088 |
11,764 |
-3,323 |
| 5.4 |
Коэффициент автономии |
0,398 |
0,293 |
-0,104 |
| 5.5 |
Коэффициент соотношения заемного и собственного капитала |
1,514 |
2,410 |
0,896 |
| 5.6 |
Коэффициент финансовой зависимости |
2,514 |
3,410 |
0,896 |
Так как в отчетном периоде по сравнению с предыдущим возросли затраты предприятия на 1 рубль продукции и снизился объем производства, то снизилась общая выручка от реализации (с 170023,84 тыс. руб. до 156629,71 тыс. руб.). Это повлекло за собой снижение прибыли предприятия с 27171,63 тыс. руб. до 16440,51 тыс. руб.
Причиной этого стало уменьшение деловой активности предприятия. Снизилась оборачиваемость основных и оборотных активов с 1,39 до 0,82.
Также снизилась производительность труда с 1360,19 тыс. руб. / чел. до 1168,88 тыс. руб. /чел. и уменьшилась фондоотдача с 3,77 до 3,12. Таким образом, неэффективное использование производственных ресурсов также отрицательно повлияло на показатели деятельности предприятия в отчетном периоде.
Соотношение собственных и заемных основных и оборотных средств в отчетном периоде было таково, что заметно снизился показатель текущей ликвидности (с 15,088 до 11,764), что говорит о снижении платежных способностей предприятия. Увеличились коэффициенты финансовой зависимости предприятия и соотношения собственного капитала и заемного, показывающие, что возросло количество заемных средств в общем активе предприятия при том, что собственный капитал увеличился незначительно (с 48569,81 тыс. руб. до 56236 тыс. руб.).
Список литературы
1.Бузырев В.В., Амосова Н.М., Суворова А.П. Анализ и диагностика финансово–хозяйственной деятельности строительного предприятия: Сборник задач и производственных ситуаций. – СПб.: СПбГИЭУ, 2002.
2.Савицкая А.В. Анализ хозяйственной деятельности: 5-е изд. – Минск: «Новое издание», 2001.
3.Лекции по дисциплине «Анализ и диагностика финансово-хозяйственной деятельности предприятия»
|