Контрольная работа №2
по общей теории статистики
Вариант №1
Имеются следующие данные (д.е.)
| № варианта |
Период |
Среднегодовая стоимость основных производственных фондов |
Средние остатки оборот-ных средств |
Реализация продукции
|
Полная себестоимость реализованной продукции |
Реализованная в отчетном году и продукция по себестоимости базисного периода |
Прибыль от реализации иных материальных ценностей |
Доходы от внереализационной деятельности. |
| В фактических отпускных ценах предприятия |
В отпускных ценах предприятия базисного периода |
1
|
Базисный |
100 |
25 |
240 |
240 |
220 |
- |
0,4 |
1,6 |
| Отчетный |
120 |
24,6 |
270 |
272 |
236 |
248,6 |
0,5 |
2,0 |
2
|
Базисный |
320 |
100 |
700 |
700 |
650 |
- |
2,0 |
4,0 |
| Отчетный |
300 |
120 |
720 |
690 |
660 |
640,9 |
2,5 |
3,5 |
| 3 |
Базисный |
1200 |
250 |
2700 |
2700 |
2360 |
- |
7,0 |
6,0 |
| Отчетный |
1000 |
260 |
2400 |
2450 |
2200 |
2141,5 |
8,0 |
5,0 |
| 4 |
Базисный |
700 |
150 |
2000 |
2000 |
1800 |
- |
15,0 |
13,0 |
| Отчетный |
760 |
140 |
2100 |
2200 |
2050 |
1979,9 |
17,0 |
11,0 |
| 5 |
Базисный |
870 |
420 |
3500 |
3500 |
3200 |
- |
230 |
18,0 |
| Отчетный |
900 |
400 |
4200 |
4000 |
3700 |
3657,2 |
20,0 |
40,0 |
| 6 |
Базисный |
4200 |
2000 |
5600 |
5600 |
4300 |
- |
44,0 |
80,0 |
| Отчетный |
4000 |
2100 |
5900 |
5500 |
4500 |
4222,9 |
50,0 |
45,0 |
| 7 |
Базисный |
600 |
250 |
1300 |
1300 |
1100 |
- |
3,00 |
8,0 |
| Отчетный |
650 |
300 |
1500 |
1400 |
1150 |
1184,6 |
5,00 |
6,00 |
| 8 |
Базисный |
8950 |
2400 |
16800 |
16800 |
15300 |
- |
100,0 |
4,80 |
| Отчетный |
9000 |
2500 |
19000 |
20000 |
17000 |
18212,9 |
80,0 |
5,00 |
| 9 |
Базисный |
450 |
220 |
1180 |
1180 |
1000 |
- |
1,8 |
4,0 |
| Отчетный |
400 |
240 |
1260 |
1200 |
1050 |
1016,9 |
2,0 |
4,5 |
| 10 |
Базисный |
1300 |
650 |
3500 |
3500 |
3125 |
- |
4,0 |
6,0 |
| Отчетный |
1400 |
630 |
3800 |
3600 |
3400 |
3214,1 |
3,0 |
6,5 |
1. Обобщающим показателем использования основных производственных фондов (ОПФ) является фондоотдача (f).
,
где Q – стоимость произведенной (реализованной) за год продукции;
Ф– среднегодовая стоимость основных производственных фондов (ОПФ).
По экономическому содержанию фондоотдача показывает, сколько продукции произведено в данном периоде на 1 руб. стоимости основных фондов. Чем выше показатель фондоотдачи, тем эффективнее используются основные средства на предприятии.
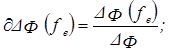
Наряду с фондоотдачей статистика исчисляет и обратную ей величину – фондоемкость (fe
). Она характеризует стоимость основных фондов, приходящихся на 1 руб. произведенной продукции. Её снижение означает высвобождение (экономию) основных фондов.
.
2. Объем произведенной продукции можно представить следующим выражением , тогда абсолютное изменение объема реализованной продукции в отчетном периоде по сравнению с базисным (∆Q) будет равно:

Как видим, на величину абсолютного изменения объема продукции оказали влияние два фактора – изменение фондоотдачи (f) и изменение объема основных фондов (Ф).
Влияние изменения данных факторов на изменение общей величины определяем по следующим формулам:
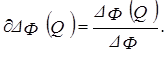
а) влияние изменения фондоотдачи

б) изменения объема основных производственных фондов:

При этом 
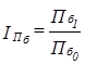
Относительное изменение объема реализованной продукции (IQ
) будет равно
 
В том числе
а) за счет изменения фондоотдачи:

б) за счет изменения основных производственных фондов:

Проверка правильности вычислений:

3. Доля изменения объема продукции (∆Q) будет равна
,
где - доля изменения объема продукции за счет изменения объема основных производственных фондов;
- доля изменения объема продукции за счет изменения уровня фондоотдачи
Проверка правильности решения:

4. Абсолютное высвобождение (перерасход) основных производственных фондов в отчетном периоде по сравнению с базисным можно вычислить по формуле
,
в том числе
а) за счет изменения фондоёмкости продукции

б) за счет изменения объема выпуска продукции


Относительное высвобождение (перерасход) основных производственных фондов в отчетном периоде по сравнению с базисным равно
Забиваем Сайты В ТОП КУВАЛДОЙ - Уникальные возможности от SeoHammer
Каждая ссылка анализируется по трем пакетам оценки: SEO, Трафик и SMM.
SeoHammer делает продвижение сайта прозрачным и простым занятием.
Ссылки, вечные ссылки, статьи, упоминания, пресс-релизы - используйте по максимуму потенциал SeoHammer для продвижения вашего сайта.
Что умеет делать SeoHammer
— Продвижение в один клик, интеллектуальный подбор запросов, покупка самых лучших ссылок с высокой степенью качества у лучших бирж ссылок.
— Регулярная проверка качества ссылок по более чем 100 показателям и ежедневный пересчет показателей качества проекта.
— Все известные форматы ссылок: арендные ссылки, вечные ссылки, публикации (упоминания, мнения, отзывы, статьи, пресс-релизы).
— SeoHammer покажет, где рост или падение, а также запросы, на которые нужно обратить внимание.
SeoHammer еще предоставляет технологию Буст, она ускоряет продвижение в десятки раз,
а первые результаты появляются уже в течение первых 7 дней.
Зарегистрироваться и Начать продвижение
, 
в том числе
а) за счет изменения фондоемкости продукции

б) за счет изменения объема выпуска продукции

Проверка правильности вычислений:

5. Доля изменения объема основных фондов за счет изменения:
а) фондоемкости 
б) за счет изменения объема продукции

Проверка правильности вычислений:

6. Показателями использования оборотных средств (С) является коэффициент оборачиваемости (n), характеризующий число оборотов оборотных средств за период и показатель продолжительности одного оборота в днях (t).

где Д – число дней в периоде;
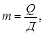
Существует и несколько иной способ определения продолжительности одного оборота оборотных средств. Для её определения необходимо найти отношение средних остатков оборотных средств предприятия к однодневному обороту ОС:
 
где m – однодневный оборот.
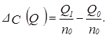
Абсолютное изменение оборачиваемости оборотных средств:
а) по числу оборотов:

Влияние отдельных факторов на изменение числа оборотов оборотных средств определим по формулам:
· 
· 
При этом .
б) по продолжительности одного оборота (t):
,
в том числе
· 
· 
·
Проверка правильности решения:

7. Абсолютное изменение объема оборотных средств

в том числе за счет изменения:
а) скорости оборота оборотных средств
или 
При этом .
б) за счет изменения объема выпуска продукции


Относительное изменение объема оборотных средств
 
в том числе
а) за счет изменения скорости оборота оборотных средств:

б) за счет изменения объема выпуска продукции:


8. Доля изменения оборотных средств за счет изменения:
а) оборачиваемости оборотных средств
· 
· 

б) Доля изменения оборотных средств за счет изменения объема производства продукции:

Проверка правильности решения:

9. Прибыль является главным показателем эффективности работы предприятия, источником его жизнедеятельности.
Конечный финансовый результат деятельности предприятия – это балансовая прибыль (Пб
). Она исчисляется как сумма прибыли от реализации продукции (Прп
), прибыли от реализации материальных ценностей (Пмц
) и доходов от внереализационных операций (Двн
):

Абсолютное изменение балансовой прибыли (∆Пб
) равно:
.
Индекс роста (относительное изменение) балансовой прибыли в отчетном периоде по сравнению с базисным:
.
10. Прибыль от реализации продукции (работ, услуг) определяется как разность между выручкой от реализации продукции и её полной себестоимостью. Если себестоимость продукции превышает её стоимость в оптовых ценах, то результатом производственной деятельности предприятия будет убыток. Расчет прибыли от реализации продукции может быть представлен в виде формулы:

где pq – выручка от реализации продукции;
zq – затраты на её производство.
Прибыль от реализации продукции в базисном периоде:

Прибыль в отчетном периоде:
Сервис онлайн-записи на собственном Telegram-боте
Попробуйте сервис онлайн-записи VisitTime на основе вашего собственного Telegram-бота:
— Разгрузит мастера, специалиста или компанию;
— Позволит гибко управлять расписанием и загрузкой;
— Разошлет оповещения о новых услугах или акциях;
— Позволит принять оплату на карту/кошелек/счет;
— Позволит записываться на групповые и персональные посещения;
— Поможет получить от клиента отзывы о визите к вам;
— Включает в себя сервис чаевых.
Для новых пользователей первый месяц бесплатно.
Зарегистрироваться в сервисе

Абсолютное изменение прибыли от реализации продукции:

Относительное изменение прибыли от реализации продукции:

11. Влияние отдельных факторов на абсолютное изменение прибыли от реализации продукции определим по следующим формулам.
Изменение прибыли за счет изменения:
а) цен на продукцию

б) себестоимости продукции

в) фактического объема продукции

Проверка правильности вычислений:

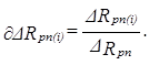
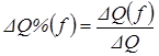
Относительное изменение прибыли от реализации продукции
 
Относительное изменение прибыли от реализации продукции за счет изменения i-того фактора определяем по формуле

Проверка 
12. Доля изменения прибыли за счет изменения i-того фактора определяется по формуле

Проверка 
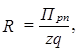
13. Наряду с абсолютным показателем (прибыль) в статистике широко применяется относительный показатель результатов деятельности предприятия – рентабельность.
Рассчитываются показатели:
а) общей рентабельности (Rоб
)

б) рентабельность продукции (R):

Общая рентабельность отражает эффективность авансированных затрат, а рентабельность продукции – эффективность текущих затрат.
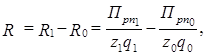
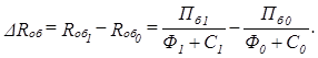
Абсолютное изменение рентабельности продукции ∆R определяем:

в том числе за счет изменения:
а) прибыли от реализации продукции

б) себестоимости продукции

в) объема реализованной продукции

Проверка правильности решения:

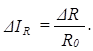
Относительное изменение рентабельности продукции
 
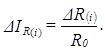
Влияние i-того фактора на изменение индекса рентабельности продукции определяем по формуле

Проверка .
14. Доля изменения рентабельности продукции (R) за счет изменения i-того фактора равна


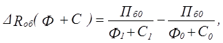
15. Абсолютное изменение общей рентабельности

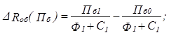
Влияние на абсолютное изменение общей рентабельности отдельных факторов определяем по следующим формулам:
а) изменения прибыли

б) объема производственных фондов
,
в том числе за счет изменения
· объема ОПФ

· объема оборотных средств



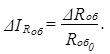
Относительное изменение общей рентабельности
 
Влияние признаков – факторов на относительное изменение общей рентабельности соответственно равно:
а) 
б) 
из них
· 
· 

16. Доля изменения общей рентабельности за счет изменения:
а) балансовой прибыли предприятия

б) объема основных производственных фондов

в) объема оборотных средств предприятия


основные оборотные средства прибыль рентабельность
Список использованной литературы
1. Голуб, Л.А. Социально-экономическая статистика: Учебное пособие для студентов высших учебных заведений / Л.А. Голуб. – М.: Гуманит изд. центр ВЛАДОС, 2001.- 272 с.
2. Громыко, Г.Л. Социально – экономическая статистика/ Г.Л. Громыко. – М.: Изд. МШ, - 1989. – 398 с.
3. Ефремова, М.Р. Общая теория статистики: Учебник/ М.Р. Ефремова, Е.В. Петрова, В.Н. Румянцев. – М.: ИНФРА – М, 1998. – 416 с.
4. Иванов, Ю.Н. Анализ деятельности предприятия: Учебник/ Ю.Н. Иванов. – М.: ИНФРА, 1995. – 653 с.
5. Курс социально-экономической статистики: Учебник для вузов/ Под ред. М.Г. Назарова. – М.: Финстатинформ, ЮНИТИ-ДАНА, 2000. – 771 с.
6. Практикум по статистике: Учебное пособие для вузов/ Под ред. В.М. Симчары/ ВЗФЭИ.- М.: ЗАО Финстатинформ, 1999. – 259 с.
7. Раицкий, Р.А. Экономика предприятий: Учебник для вузов по специальности «Экономика и управление на предприятиях», «Менеджмент», «Мировая экономика»/ Р.А. Раицкий. – 2-е изд. – М.: Маркетинг, 2000. – 692 с.
8. Савицкая, Г.В. Анализ хозяйственной деятельности предприятия/ Г.В. Савицкая. - Минск: ООО «Новое знание», 1999. – 688 с.
9. Савицкая, Г.В. Анализ хозяйственной деятельности предприятия/ Г.В. Савицкая. – М.: ИНФРА-М, 2002. – 336 с.
10. Салин, В.Н. Социально – экономическая статистика/ В.Н. Салин, Е.П. Шпаковская. - М.: ЮРИСТЪ, - 2001. – 461 с.
11. Статистика финансов: Учебник/ Под ред. В.А. Салина. – М.: Финансы и статистика, 2000. – 816 с.
12. Теория статистики: Учебник/ Под ред. Р.А. Шмойловой. – 3-е изд., - перераб. и доп. – М.: Финансы и статистика, 1999. – 560 с.
13. Теслюк, И.Е. Статистика финансов/ И.Е. Теслюк. – М.: Высшая школа, - 1994. – 224 с.
14. Экономическая статистика: Учебник/ Под ред. Ю.Н. Иванова. – М.: ИНФРА, - 1998. – 480 с.
|