Курсовая работа
по дисциплине "Менеджмент"
на тему:
"Подходы к лидерству (поведенческий, ситуационный, с позиции личных качеств)"
Содержание
Введение
Глава 1. Общие понятия о лидерстве. Подходы к лидерству
1.1 Понятие и сущность лидерства
1.2 Подходы к лидерству
1.2.1 Поведенческий подход
1.2.2 Ситуационный подход
1.2.3 Подход с позиции личных качеств
Глава 2. Анализ деятельности ООО "Русь"
2.1 Общая характеристика предприятия
2.2 Миссия фирмы, дерево целей
2.3 Организационная структура предприятия
2.4 Методы управления в организации
2.5 Анализ системы мотивации
2.6 Организационная культура фирмы
Глава 3. Рекомендации по управлению персоналом в ООО "Русь"
3.1 Оптимальный стиль руководства в ООО "Русь"
3.2 Рекомендации по совершенствованию качества управления в ООО "Русь"
Заключение
Список литературы
Введение
Еще некий древний мудрец говорил: искусство управления людьми – самое трудное и высокое из всех искусств. Истина эта была справедлива во все времена, но особенно она проявляется в наше время.
Тема лидерства всегда была, есть и будет одной из самых животрепещущих тем, занимающих умы не одного десятка поколений мудрецов: практиков и теоретиков. Она была интересна во все времена, не потеряла своей актуальности и в наши дни. Умение объединять людей во имя общей цели, вести за собой хоть "на край света", убедить в реальности светлого будущего – вот главные характеристики настоящего лидера.
Знание и умелое применение различных подходов к управлению дает возможность менеджеру коренным образом изменить ситуацию в компании и добиться вовлеченности каждого в процесс работы. В научной методологии имеются различные подходы к определению того, что делает лидера по-настоящему эффективным. Среди них выделяют три основных подхода: поведенческий, ситуационный, с позиции личных качеств.
Цель работы: раскрыть понятие и сущность лидерства (основных подходов к лидерству).
Для достижения поставленной цели необходимо решение следующих задач:
· определить само понятие лидерство, дать характеристику основных подходов к лидерству;
· рассмотреть данные подходы в рамках конкретного предприятия.
Забиваем Сайты В ТОП КУВАЛДОЙ - Уникальные возможности от SeoHammer
Каждая ссылка анализируется по трем пакетам оценки: SEO, Трафик и SMM.
SeoHammer делает продвижение сайта прозрачным и простым занятием.
Ссылки, вечные ссылки, статьи, упоминания, пресс-релизы - используйте по максимуму потенциал SeoHammer для продвижения вашего сайта.
Что умеет делать SeoHammer
— Продвижение в один клик, интеллектуальный подбор запросов, покупка самых лучших ссылок с высокой степенью качества у лучших бирж ссылок.
— Регулярная проверка качества ссылок по более чем 100 показателям и ежедневный пересчет показателей качества проекта.
— Все известные форматы ссылок: арендные ссылки, вечные ссылки, публикации (упоминания, мнения, отзывы, статьи, пресс-релизы).
— SeoHammer покажет, где рост или падение, а также запросы, на которые нужно обратить внимание.
SeoHammer еще предоставляет технологию Буст, она ускоряет продвижение в десятки раз,
а первые результаты появляются уже в течение первых 7 дней.
Зарегистрироваться и Начать продвижение
Объект исследования: предприятие, функционирующее на высококонкурентном рынке строительного инвентаря.
Предмет исследования: определение методов повышения эффективности поведения и взаимодействия членов производственного коллектива друг с другом и с внешней средой.
Глава 1. Общие понятия о лидерстве. Подходы к лидерству
1.1 Понятие и сущность лидерства
Вопросы лидерства вызывали интерес людей с древних времен. Однако систематическое, целенаправленное и широкое изучение лидерства началось только со времен Ф. Тейлора. Было проведено очень много исследований. Тем не менее, все еще не существует полного согласия по поводу того, что такое лидерство и как оно должно изучаться.
Практика показывает, что ни один фактор не обеспечивает большую выгоду и пользу для организации, чем эффективное лидерство. Лидеры нужны для определения целей и задач, для организации, координации, обеспечения межличностных контактов с подчиненными и выбора оптимальных, эффективных путей решения тех или иных проблем. Очевидно, что организации, где наличествуют лидеры, могут достичь всего этого гораздо быстрее, чем организации без лидеров.
Лидер (от англ. leader — ведущий, первый, идущий впереди) — лицо в какой-либо группе (организации), пользующееся большим, признанным авторитетом, обладающее влиянием, которое проявляется как управляющие действия. Член группы, за которым она признает право принимать ответственные решения в значимых для нее ситуациях, то есть наиболее авторитетная личность, играющая центральную роль в организации совместной деятельности и регулировании взаимоотношений в группе.
Лидерство можно определить как тип управленческого взаимодействия, основанный на наиболее эффективном для данной ситуации сочетании различных источников власти и направленный на побуждение людей к достижению общих целей. Из этого определения следует, что лидерство является функцией лидера.
Лидерство определяют как процесс социального влияния, при котором лидер ищет добровольного участия подчиненных в деятельности по достижению организационных целей (Шрисхайн); или как процесс оказания влияния на групповую активность, которое направлено на достижение целей (Стогдилл). Лидерство определяют также как конкретные действия лидера по координации и управлению деятельностью группы (Фридлер).
Лидерство основывается на определенных потребностях сложно организованных систем. К ним относится, прежде всего, потребность в самоорганизации, упорядочении поведения отдельных элементов системы в целях обеспечения ее жизненной и функциональной способности. Такая упорядоченность достигается благодаря вертикальному (управление — подчинение) и горизонтальному (коррелятивные одноуровневые связи, например, разделение труда и кооперация) распределению функций и ролей, и, прежде всего выделению управленческой функции и осуществляющих ее структур, которые для своей эффективности обычно требуют иерархической, пирамидальной организации. Вершиной такой управленческой пирамиды и выступает лидер.
Сервис онлайн-записи на собственном Telegram-боте
Попробуйте сервис онлайн-записи VisitTime на основе вашего собственного Telegram-бота:
— Разгрузит мастера, специалиста или компанию;
— Позволит гибко управлять расписанием и загрузкой;
— Разошлет оповещения о новых услугах или акциях;
— Позволит принять оплату на карту/кошелек/счет;
— Позволит записываться на групповые и персональные посещения;
— Поможет получить от клиента отзывы о визите к вам;
— Включает в себя сервис чаевых.
Для новых пользователей первый месяц бесплатно.
Зарегистрироваться в сервисе
Богатство сторон, аспектов лидерства определяет многообразие его типологии. Наиболее простой и широко распространенной классификацией лидерства в организации является выделение его трех типов (иногда их называют ролями лидера):
1. Деловое лидерство. Оно характерно для групп, возникающих на основе производственных целей. В его основе лежат такие качества, как высокая компетентность, умение лучше других решать организационные задачи, деловой авторитет, опыт и т.п. Деловое лидерство наиболее сильно влияет на эффективность руководства.
2. Эмоциональное лидерство. Оно возникает в социально-психологических группах на основе человеческих симпатий, притягательности межличностного общения. Эмоциональный лидер вызывает у людей доверие, излучает теплоту, вселяет уверенность, снимает психологическую напряженность, создает атмосферу психологического комфорта.
3. Ситуативное лидерство. Строго говоря, по своей природе оно может быть и деловым, и эмоциональным. Однако его отличительной чертой является неустойчивость, временная ограниченность, связь лишь с определенной ситуацией Ситуационный лидер может повести за собой группу лишь в определенной ситуации, например при всеобщей растерянности во время пожара.
Имеются и другие классификации лидерства в зависимости от типов лидера. Так, Л.И. Уманский выделяет шесть типов (ролей) лидера: лидер-организатор (выполняет функцию групповой интеграции); лидер-инициатор (главенствует при решении новых проблем, выдвигает идеи); лидер-генератор эмоционального настроя (доминирует в формировании настроения группы); лидер-эрудит (отличается обширностью знаний); лидер-эталон (является центром эмоционального притяжения, соответствует роли "звезды", служит образцом, идеалом); лидер-мастер, умелец (специалист в каком-то виде деятельности).
1.2 Подходы к лидерству
1.2.1 Поведенческий подход
Согласно поведенческому подходу к лидерству его эффективность зависит не от личных качеств лидера, а, прежде всего, от его манеры поведения и отношений с подчиненными.
Поведенческий подход стал основой для классификации стилей лидерства или моделей поведения, сделавшей серьезный вклад в понимание сложностей лидерства.
В социально - психологической литературе существует также классификация типов лидерства по стилям руководства. Здесь допускается существование трех основных типов лидеров:
· авторитарный;
· демократический;
· нейтральный ( анархический).
В книге Р.Л. Кричевского " Если вы - руководитель" приводится пример данных типов лидерства.
Авторитарный тип
| Формальная сторона |
Содержательная сторона |
| Деловые краткие распоряжения |
Дела в группе планируются заранее ( во всем их объеме) |
| Запреты без снисхождения, с угрозой |
Определяются лишь непосредственные цели, дальние-неизвестны |
| Четкий язык, неприветливый тон |
Голос руководителя решающий |
| Похвала и порицание субъективны |
| Эмоции в расчет не принимаются |
| Позиция руководителя - вне группы |
Демократический тип
| Формальная сторона |
Содержательная сторона |
| Инструкция в форме предложений |
Мероприятия планируются не заранее, а в группе |
| Не сухая речь, а товарищеский тон |
За реализацию предложений отвечают все |
| Похвала и порицание - с советами. Распоряжения и запреты - с дискуссиями |
Все разделы работы не только предлагаются, но и обсуждаются |
| Позиция руководителя - внутри группы |
Нейтральный тип
| Формальная сторона |
Содержательная сторона |
| Тон - конвенциальный |
Дела в группе идет сами собой |
| Отсутствие похвалы, порицаний |
Руководитель не дает указаний |
| Никакого сотрудничества |
Разделы работы складываются из отдельных интересов или исходят от лидеров подгрупп |
| Позиция руководителя - незаметно в стороне от группы |
Для лидера авторитарного типа характерно жесткое, единоличное принятие решений, касающихся группы, слабый интерес к работнику как к личности. Лидер демократического типа стремится к выработке конкретных решений, демонстрируя при этом интерес к неформальному человеческому аспекту отношений. Для нейтрального типа лидера характерна полная отстраненность от дел коллектива.
Поведенческий подход сильно продвинул развитие теории лидерства, сосредоточив внимание на фактическом поведении лидера, благодаря которому он может побудить людей к достижению организационных целей, но он имел один серьезный недостаток: в его основе лежала предпосылка о существовании одного наилучшего стиля лидерства.
1.2.2 Ситуационный подход
В соответствии с ситуационным подходом управление есть ответ на воздействие обстоятельств, которые в настоящее время или в будущем существенно влияют на положение организации. Его основы заложил Г. Дениссон, утверждавший, что применение разных методов управления обусловлено ситуацией, т. е. конкретным набором обстоятельств, которые в настоящее время или в будущем существенно влияют на положение организации. Его задача состоит в их анализе, подборе подходящих приемов и методов решения возникающих проблем с учетом системного взаимодействия внутренней и внешней среды (на чем он делает акцент), ограничений, квалификации менеджеров, принятого стиля руководства. Предполагается, что руководитель должен правильно понимать ситуацию, факторы, ее определяющие, индивидуальное и групповое поведение людей; быть знаком со стилями и методами управления, вероятными последствиями их применения, уметь выбрать наиболее подходящие приемы (в том числе минимизирующие побочные эффекты), дающие максимальный результат.
Ситуационный подход может быть проиллюстрирован на примере действий пожарных, которые в зависимости оттого, что горит, применяют различные способы тушения огня: воду, углекислоту, песок, встречный огненный вал и т. п.
Понятно, что реализация ситуационного подхода требует от менеджеров глубоких знаний, умения быстро ориентироваться в меняющейся обстановке, организовывать подчиненных.
Ситуационный подход пытается увязать конкретные приемы и концепции с определенными конкретными ситуациями для того, чтобы достичь целей организации наиболее эффективно.
Ситуационный подход концентрируется на ситуационных различиях между организациями и внутри самих организаций. Он пытается определить, каковы значимые переменные ситуации и как они влияют на эффективность организации. Методологию ситуационного подхода можно объяснить как четырехшаговый процесс:
1.Руководитель должен быть знаком со средствами профессионального управления, которые доказали свою эффективность. Это подразумевает понимание процесса управления, индивидуального и группового поведения, системного анализа, методов планирования и контроля и количественных методов принятия решений.
2.Каждая из управленческих концепций и методик имеет свои сильные и слабые стороны, или сравнительные характеристики в случае, когда они применяются к конкретной ситуации. Руководитель должен уметь предвидеть вероятные последствия, — как положительные, так и отрицательные, — от применения данной методики или концепции. Приведем простой пример. Предложение удвоить зарплату всем служащим в ответ на дополнительную работу, вероятно, вызовет значительное повышение их мотивации на какое-то время. Но, сравнивая прирост затрат с полученными выгодами, мы видим, что такой путь может привести к разорению организации.
3.Руководитель должен уметь правильно интерпретировать ситуацию. Необходимо правильно определить, какие факторы являются наиболее важными в данной ситуации и какой вероятный эффект может повлечь за собой изменение одной или нескольких переменных. 4.Руководитель должен уметь увязывать конкретные приемы, которые вызвали бы наименьший отрицательный эффект и таили бы меньше всего недостатков, с конкретными ситуациями, тем самым обеспечивая достижение целей организации самым эффективным путем в условиях существующих обстоятельств.
1.2.3 Подход с позиции личных качеств
Руководство, лидерство стало объектом исследования, когда в начале двадцатого столетия начали впервые изучать управление. Однако только в период между 1930 и 1950 гг. было впервые предпринято изучение лидерства в крупных масштабах и на систематической основе. Эти ранние исследования ставили своей целью выявить свойства или личностные характеристики эффективных руководителей. Согласно личностной теории лидерства, также известной под названием теории великих людей, лучшие из руководителей обладают определенным набором общих для всех личных качеств. Развивая эту мысль, можно утверждать, что если бы эти качества могли быть выявлены, люди могли бы научиться воспитывать их в себе и тем самым становиться эффективными руководителями. Некоторые из этих изученных черт — это уровень интеллекта и знания, впечатляющая внешность, честность, здравый смысл, инициативность, социальное и экономическое образование и высокая степень уверенности в себе.
В 40-х годах ученые начали изучать собранные факты о соотношении личных качеств и лидерства. К сожалению, несмотря на сотни проведенных исследований, они не пришли к единому мнению о наборе качеств, которые непременно отличают крупного лидера. В одном из исследований утверждалось, что было проанализировано только около 5% личных качеств руководителей всего в четырех или пяти исследованиях. В 1948 г. Стогдилл сделал комплексный обзор исследований в области лидерства, где отмечал, что изучение личных качеств продолжает давать противоречивые результаты. Он обнаружил, что лидеры, как правило, отличались интеллектом, стремлением к знаниям, надежностью, ответственностью, активностью, социальным участием и социально-экономическим статусом. Однако Стогдилл также отметил, что в разных ситуациях эффективные руководители обнаруживали разные личные качества. Затем он сделал вывод, с которым согласились бы сегодняшние ученые: "человек не становится руководителем только благодаря тому, что он обладает некоторым набором личных свойств".
Вывод, что не существует такого набора личных качеств, который присутствует у всех эффективных руководителей, часто приводится в качестве доказательства того, что эффективность руководства имеет ситуационный характер. Однако сам Стогдилл считает, что его точка зрения недостаточно оттеняет личностную природу лидерства. Он утверждает, что имеются веские доказательства в пользу того, что в разных ситуациях требуются различные способности и качества. Хотя он и не призывает вернуться к подходу к руководству с позиций личных качеств, Стогдилл заключает, что "структура личных качеств руководителя должна соотноситься с личными качествами, деятельностью и задачами его подчиненных".
Глава 2. Анализ деятельности ООО "Русь"
2.1 Общая характеристика предприятия
Предприятие "Русь" – общество с ограниченной ответственностью. Вид деятельности: производство. Форма собственности – частная. Преимущества частной собственности состоят в том, что coбственник, руководствуясь лишь общими "правилами игры" - действующим законодательством - волен поступать так, как диктует выгода и экономическая целесообразность. Он быстро приспосабливает хозяйствование к изменению текущих и перспективных потребностей рынка, вплоть до ликвидации предприятия и открытия нового, что позволяет постоянно поддерживать высокую эффективность деятельности. Общество было образованно в 2010 году за счет частных инвестиций.
Предприятие "Русь" представляет собой общество с ограниченной ответственностью. Арендует производственные помещения площадью 2000 м2 и помещение под офис 120 м2.
Основной формой осуществления полномочий трудового коллектива является общее собрание, решающее вопросы заключения коллективного договора и порядка предоставления социальных льгот работникам ООО "Русь" из фондов трудового коллектива.
Наименование продукции — строительный инвентарь. Основная область применения — благоустройство (строительство) жилых и служебных строений.
Продукция ООО "Русь" отличается высоким качеством, долговечностью, надежностью в эксплуатации, она производится из экологически чистого сырья. В перспективе предполагается расширить ассортимент продукции: изготавливать различного рода аксессуары для домашнего интерьера.
Партнеры ООО "Русь" - крупные торговые фирмы, а так же заводы производители г. Москвы, Екатеринбурга, Хабаровска.
Предприятие расположено в республике Башкортостан. Республика Башкортостан находится на третьем месте по потреблению строительного инвентаря в России (8,3%), а собственного производства не имеет. Таким образом, предприятие имеет преимущество близкого расположения потребителя. На начальном этапе функционирования предприятия предполагается сбывать готовую продукцию только на территории субъекта. Руководство ООО "Русь" ставит перед собой задачу через 5-7 лет "отвоевать" 50-60% рынка строительного инвентаря РФ.
ООО "Русь" вносит ощутимый вклад в развитии экономики республики Башкортостан. Экономический рост региона невозможен без должного строительства объектов инфраструктуры, а наличие качественного строительного инвентаря является одной из важнейшей составляющих любой стройки. В 2011 г. ООО " Русь" была вручена Всероссийская ежегодная премия " За вклад в экономическое развитие России". Организатором премии выступает Межрегиональная Организация Предпринимателей при поддержке Государственной Думы РФ.
2.2 Миссия фирмы, дерево целей
поведенческий лидерство руководство менеджмент
Миссией предприятия является удовлетворение потребностей строительных фирм и населения в необходимом строительном инвентаре (например в таком, как: в шпателя, отвертки, гвоздодеры и т.д.).
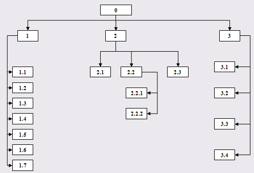
Если миссия задает общие ориентиры и направления функционирования организации, то конкретные ее состояния, к которым она стремиться фиксируется в виде дерева целей.
В настоящее перед ООО "Русь" стоят следующие цели:
0. удовлетворение потребностей строительных фирм и населения в необходимом строительном инвентаре
1. Вытеснить с рынка иностранные компании-конкуренты
1.1 Маркетинговые исследования
1.2. Получить патентное право на производство той или иной продукции
1.3 Диверсификация производства
1.4 Разработка рекламной стратегии
1.5 Расширение сети точек сбыта продукции
1.6 Повышение качества обслуживания
1.7 Расширение ассортимента, как минимум на 15% ежеквартально
2. Максимизация прибыли
2.1 Ввод нового оборудования и технологии производства
2.2 Снижение себестоимости на 8 % ежегодно
2.2.1 Повышение производительности труда на 13 % ежеквартально
2.2.2 Снижение издержек производства на 15 % ежегодно
2.3 Непрерывный поиск новых поставщиков и рынков сбыта продукции
3. Формирование положительного имиджа ООО "Русь"
3.1 Благотворительность
3.2 Обеспечение социальной защитой работников предприятия
3.3 Поиск молодых талантов
3.4 Участия в различных конкурсах

2.3 Организационная структура предприятия
Деятельность отелов и служб на предприятии сформирована по принципу линейной структуры управления. При такой структуре управления всю полноту власти берет на себя линейный руководитель – директор предприятия, возглавляющий коллектив. При разработке конкретных вопросов и подготовке соответствующих решений, программ, планов ему помогает специальный аппарат, состоящий из функциональных подразделений. В прямом подчинении у руководителя предприятия находятся шесть специализированных структурных подразделения:
- отдел кадров;
- производство;
- отдел финансов;
- юридический отдел;
- отдел защиты информации;
- административно-хозяйственная группа.

Отдел кадров осуществляет поиск новых работников, а также осуществляет переподготовку персонала.
Производство осуществляет изготовление товара в запланированном объёме и в заданные сроки. Несёт полную ответственность за качество выпущенного товара.
Отдел финансов осуществляет технико-экономическое планирование, проводит учёт и анализ деятельности компании в целом и по технико-экономическим показателям. Так же ведёт документальный учёт производственно-хозяйственной деятельности. Также занимается расчетом заработной платы; проведением анализа работы предприятия по итогам месяца, года; составлением производственного плана на месяц, квартал, год.
Юридический отдел несёт ответственность за обеспечение законности в деятельности компании, за защиту имущественных прав и законных интересов компании, за активное использование правовых средств для укрепления хозяйственного расчета, соблюдения договорной и трудовой дисциплины, выполнения договорных обязательств, улучшения экономических показателей работы компании.
Отдел защиты информации несёт ответственность по защите прав компании в рамках принадлежащих ей прав. Осуществляет мониторинг рынка в целях выявления правонарушений.
Административно-хозяйственная группа состоит из водителей, осуществляющих транспортировку груза, охраны и уборщиков, осуществляющей уборку рабочих площадей.
2.4 Методы управления в организации
На данный момент в ООО "Русь" применяются и административные, и экономические, и социально-психологические методы управления.
Административные методы управления.
В организации разработаны чёткие Правила внутреннего трудового распорядка (ПТТР), в соответствии с Трудовым кодексом РФ. Это позволяет формализовать корпоративную культуру, привести к единому стандарту форму одежды сотрудников (деловой стиль для офисных работников и спецодежда для сервисных инженеров и кладовщика, сменная обувь зимой). Каждый сотрудник при приеме на работу в обязательном порядке (до подписания трудового договора) изучает ПВТР, что дает ему подробную информацию об организации, в которую он пришел работать, правилах поведения в коллективе и с клиентами, информацию о поощрениях и взысканиях, применяемый в организации, правилах проведения корпоративных мероприятий и т.п. ПВТР позволяют поддерживать наиболее комфортную обстановку в организации, исключая такие случаи, как появление сотрудника на работе в слишком открытой одежде, смущающей других сотрудников; использование ненормативной лексике в общении с коллегами; растерянность нового сотрудника при желании отметить свой День рождения на рабочем месте (как лучше это сделать) и т.п.
Наличие чёткой штатной структуры и её регулярная корректировка в связи с изменениями условий деятельности организации позволяет чётко распределить функциональные обязанности между подразделениями (отдельными сотрудниками): чтобы избежать дублирования в выполнении одной и той же работы; чтобы все функции, необходимые для нормальной работы организации, были распределены между сотрудниками, и ни одна функция не оказалась "ничьей". Этому же способствует наличие чётких должностных инструкций с определением функциональных особенностей работника, его полномочий и ответственности за выполняемую работу.
Наличие должностной инструкции позволяет сотруднику чётко понимать свою роль в работе ООО "Норд Хайфорс", зону своей ответственности, правильно распределить рабочее время на выполнение своих функциональных обязанностей. Так же должностные инструкции позволяют избежать "сваливания друг на друга" вины за допущенные ошибки в работе. Четко прописанные зоны ответственности, закрепленные за каждым работником, позволяют быстро найти виновного и провести с ним разъяснительную работу или подвергнуть взысканию, чтобы данная ошибка впредь не повторялась. И, соответственно, возложить на него обязанности по устранению последствий данной ошибки.
Увольнение работников в ООО "Русь" по инициативе администрации происходит только в случае грубого нарушения внутренних нормативных документов: нахождение на работе в нетрезвом виде, несоблюдение техники безопасности и т.п.
Экономические методы управления.
ООО "Русь" – свободный товаропроизводитель и действует уже в течение полутора лет на рынке строительного инвентаря на основе разработанной маркетинговой стратегии по перспективному плану. Это обеспечивает ощущение стабильности для работников организации, своевременную выплату заработной платы.
Портфель заказов формируется заблаговременно, служит базой разработки плана экономического развития, производится оптимизация портфеля заказов по времени и стоимости. Таким образом, сотрудники всегда работают с ходовым товаром, пользующимся спросом и являющимся конкурентоспособным на рынке. Это создает у сотрудников уверенность в финансовом благополучии организации, в которой они работают, и в качестве товара, который они продают.
Индексация заработной платы в организации происходит регулярно с учётом инфляции и увеличения объёмов продаж. Это дает дополнительную стимуляцию к работе, сотрудники знают, что их заработная плата, во-первых, всегда будет соответствовать рынку труда (и нет необходимости искать другую работу, т.к. "жить на что-то надо"), а, во-вторых, они могут повлиять на увеличение оплаты своего труда путем приложения дополнительных усилий.
Эпизодическое премирование офисного персонала из фонда оплаты труда без привязки к прибыли происходит при выполнении каких-либо срочных либо сложных работ (например, формирование единой базы по клиентам в программе 1С: Управление торговлей в срок до 2-х недель; активное участие в подготовке празднования двухлетия ООО "Русь"; рациональное предложение по оптимизации затрат на доставку товара клиентам).
Социально-психологические методы управления.
Разными руководителями в ООО "Русь" применяются различные социально-психологические методы управления.
Метод общения в организации развит достаточно хорошо. Выдача распорядительной информации происходит чётко, быстро, понятно; получение обратной информации основано на доверии, которое сотрудники испытывают к коллегам и менеджерам организации; выдача оценочной информации воспринимается сотрудниками позитивно, если они с чем-то не согласны, то за этим следует доброжелательное обсуждение спорного вопроса, разъяснение позиции каждой из сторон. В ООО "Русь" не принято умалчивать о каких-то проблемах, пожеланиях. Этот тон задан генеральным и управляющим директорами компании и поддерживается менеджером по персоналу. Руководители всегда готовы выслушать сотрудника и друг друга, принять решение, наиболее устраивающее всех.
Партнерство в организации представлено как постоянное взаимодействие всех сотрудников между собой в процессе работы (т.к. организация достаточно небольшая, иногда быстрее подойти с просьбой напрямую к коллеге, чем действовать через руководителей или писать запрос на e-mail). Сотрудники ООО "Русь" всегда готовы прийти на помощь коллеге. Отказ можно услышать только в очень редких случаях, и он будет обоснован важными причинами.
Переговоры в организации используются руководителями в тех случаях, когда им приходится принять непопулярное решение (и сделать это как можно безболезненно для сотрудника). Например, отказать сотруднику в отпуске без сохранения заработной платы. Руководитель ставит визу "отказать" на заявлении работника, но всегда готов вести переговоры по поводу своего решения. Он внимательно выслушает доводы сотрудника, почему тому необходим этот отпуск, и объяснит, по каким причинам он отказал. В результате переговоров либо сотрудник отказывается от намерения идти в отпуск без сохранения заработной платы в этот период, либо руководитель даёт своё разрешение, если сочтёт причины для отпуска достаточно серьёзными.
Принуждение в организации используется крайне редко, только в случаях, когда нет времени убеждать, либо когда работник приводит множество возражений, почему он не может выполнить поручение, и на каждый новый аргумент, разбивающий его возражение – тут же выдвигает еще одно. Становится понятно, что в данном случае проще отдать приказ о выполнении поручения, чем продолжать дискуссию.
2.5 Анализ системы мотивации
Мотивация – одна из основных функций деятельности любого менеджера. С помощью неё оказывается воздействие на персонал предприятия.
Во все времена основным стимулом для работника являлась и является заработная плата, как достойная плата за труд. На предприятии "Русь" действует сдельная форма оплаты труда. Заработная плата работника напрямую зависит от производительности его труда. Так же присутствует ежеквартальная премия (в размере 8 % от зарплаты) и стипендии для учащихся (при условии учёбы на дневном отделении и закрытии сессий на отлично компания предоставляет надбавки в счёт зарплаты), а также материальная помощь на свадьбу, рождение ребенка, смерть близкого родственника.
В ООО "Русь" установлен 8-ми часовой рабочий день с правом на обеденный перерыв на 30 минут. Персоналу оплачивается ежегодный 2-х недельный отпуск. Несовершеннолетним детям работников бесплатно предоставляются путевки в детские здравницы республики Башкортостан.
Менеджерами ООО "Русь" постоянно устраиваются соревнования между работниками и отделами предприятия. Это стимулирует работоспособность персонала, в них просыпается азарт, желание работать возрастает. Так, например, на предприятие проводится конкурс "Золотые ручки". Победителем этого конкурса становится тот работник, который допустил меньше всего брака в работе. Премия составляет порядка 20-ти тысяч рублей и торжественно вручается лично генеральным директором в присутствие всего персонала.
Заработная плата хоть и является основным стимулом для работника, но она не является единственным. Условия труда не менее важный фактор, прямо или косвенно влияющий на мотивацию работников. На предприятии "Русь" имеется собственная столовая и буфет. Функционирует медпункт и комната психологической помощи. К 2012 году планируется построить еще и спортивный зал. Развитие социальных объектов инфраструктуры предприятия положительно скажется на мотивации работников.
2.6 Организационная культура фирмы
В ООО "Русь" линейная организационная структура. Линейная структура управления является логически наиболее стройной и формально определенной, но совместно с тем и наименее гибкой. Любой из управляющих владеет всей полнотой власти, но относительно маленькими способностями решения заморочек, требующих узеньких, особых познаний. Линейная организационная структура управления имеет свои достоинства.
Достоинства линейной организационной системы управления:
1) единство и четкость распоряжений;
2) согласованность действий исполнителей;
3) простота управления (один канал связи);
4) верно выраженная ответственность;
5) оперативность в принятии решений;
6) личная ответственность управляющего за конечные результаты деятельности собственного подразделения.
Качественные характеристики персонала ООО "Русь" стабильны на протяжении года и отличаются значительной долей категории рабочих и высоким квалификационным уровнем.

Состав работающих по возрасту в 2011 году

Состав работающих в ООО "Русь" по уровню образования в 2011 году
На предприятии существуют хорошие условия работы персонала, которые постоянно совершенствуются. Параметры микроклимата, уровни освещенности, ионизирующих и неионизирующих излучений, чистоты воздуха рабочей зоны и шума соответствуют нормативам.
Персонал обеспечиваться средствами индивидуальной защиты в необходимом количестве и соответствующих размеров (перчатками, масками, щитками, респираторами, фартуками и пр.) в зависимости от профиля отделения и характера проводимой работы.

Состав работающих в ООО "Русь" по категориям в 2011 году
Психологическая атмосфера в коллективе благоприятная. В компании действует система поощрения персонала, а так же есть перспектива профессионального роста. Руководитель использует демократический стиль управления.Демократический стиль управления характеризуется распределением полномочий, инициативы и ответственности между руководителем и заместителями, руководителем и подчиненными. Руководитель демократического стиля всегда выясняет мнение коллектива по важным производственным вопросам, принимает коллегиальные решения. Регулярно и своевременно проводится информирование членов коллектива по важным для них вопросам. Общение с подчиненными проходит в форме просьб, пожеланий, рекомендаций, советов, поощрений за качественную и оперативную работу, доброжелательно и вежливо; по необходимости применяются приказы. Руководитель стимулирует благоприятный психологический климат в коллективе, отстаивает интересы подчиненных.
Организационная структура предприятия построена таким образом, что весь коллектив предприятия живет как одна большая семья. Взаимовыручка и честность – вот основные атрибуты благоприятного микроклимата в коллективе. Менеджеры нередко устраивают корпоративные вечера и совместные походы в различные места отдыха. Празднуются дни рождения работников, отмечаются юбилеи.
Глава 3. Рекомендации по управлению персоналом в ООО "Русь"
3.1 Оптимальный стиль руководства в ООО "Русь"
Функционирование любого предприятия не возможно без привлечения соответствующих кадров. Как бы технологически не было развито производство, в любом случае люди решают все. Основная функция управленца и заключается в том, чтобы рационально использовать все имеющиеся в его распоряжения факторы производства. Грамотное управление персоналом – есть залог успеха. От того, как обучен персонал, насколько он подготовлен к разнообразным ситуациям, зависит дальнейшая судьба компании, а функционирование персонала во многом зависит от стиля руководства предприятия. В ООО "Русь" целесообразнее применять именно демократический стиль управления, при котором главной ценностью для менеджеров является достижение поставленных целей, усиление авторитета на предприятии за счет профессионализма. Предприятие как социальная среда должно способствовать развитию творческого поведения отдельных личностей, в нем должны ценится совместные действия, высокий уровень компетентности и умений сотрудников, их способности убедить и мобилизовать к работе других. Позиция сотрудника в коллективе определяется его служебным положением, способностями и умением, полномочиями, которые на него возложены, что повышает соблюдение формального порядка. Несмотря на кажущийся либерализм, такой стиль поведения только укрепит реальную власть и авторитет руководителя, а в коллективе сложатся все условия для создания благоприятной деловой обстановки.
3.2 Рекомендации по совершенствованию качества управления в ООО "Русь"
Описание бизнес-процессов, протекающих в организации и разработка технологических инструкций по основным процессам позволят повысить качество управления на предприятии. Например: разработка регламента документооборота в офисе; составление четкой инструкция по грузообороту на складе ООО "Русь"; обеспечение порядка обработки заявок на монтаж (ремонт) оборудования в реальном производстве и т.п. Все это позволит:
· выявить пробелы в действиях сотрудников и в оформлении документов;
· оптимизировать описанные процессы;
· сократить время на обучение новых сотрудников.
Организация бесплатного питания в обеденный перерыв способствует повышению работоспособности сотрудников, т.к. им не нужно думать, куда сходить поесть, экономии времени (работники не стоят в очередях в окрестных столовых); работник гарантировано не забудет про обед (и тем более не останется голодным, случайно забыв пакет с едой дома).
Дополнительное медицинское страхование работников за счёт организации – хороший стимул к долгой и плодотворной работе в данной организации. Во-первых, сотруднику приятно, что компания заботится о нём и его здоровье; а во-вторых, меньше тратится рабочего времени на посещение врачей, т.к. очереди в бесплатных поликлиниках могут отнять половину рабочего дня только на то, чтобы закрыть листок нетрудоспособности. И лечение в платных клиниках зачастую осуществляется более качественное, т.е пациент восстанавливается быстрее.
Обучение сотрудников за счет организации (повышение квалификации) приведёт к наличию в организации более профессиональных работников, что позволит повысить эффективность работы организации и увеличить прибыль за счет увеличения объемов продаж и высококвалифицированного сервиса на проданное оборудование и инструмент. Необходимо разработать систему наставничества, которая позволит:
· сократить время и расходы на обучение новых сотрудников (чем быстрее сотрудник войдет в курс дела, тем быстрее начнет приносить прибыль компании)
· получить надбавку к заработной плате наставнику (дополнительный материальный стимул)
· наставнику получить моральный стимул и удовлетворение от роли "старшего", что послужит побуждением к дальнейшему саморазвитию самого наставника.
В организации необходимо регулярно проводить корпоративные мероприятия (полностью оплачиваемые организацией), что является дополнительным методом укрепления дружеских связей внутри коллектива, способствует развитию неформального общения между работниками, быстрой адаптации новых сотрудников. Мероприятия могут быть как посиделки в ресторане с проведением веселых конкурсов; выездами на шашлыки на берег озера в теплое время года (многие сотрудники соревнуются в рыбалке на таких выездах); походами в боулинг-клуб, театры, поездки на экскурсии; командными играми (волейбол, баскетбол, футбол); поездками на горнолыжные склоны, на каток. После таких мероприятий обязательно необходимо создать стенгазету с фотоотчётом по мероприятию, которая будет на стенде радовать сотрудников приятными воспоминаниями долгое время.
Заключение
Цель данной работы заключалась в том, чтобы раскрыть сущность основных подходов к управлению на примере конкретного предприятия.
По итогам проведенного исследования можно сделать следующие выводы:
1. Лидерство можно определить как тип управленческого взаимодействия, основанный на наиболее эффективном для данной ситуации сочетании различных источников власти и направленный на побуждение людей к достижению общих целей;
2. В менеджменте выделяют три основных подхода, посредством которых определяют эффективность менеджера: поведенческий, ситуационный, с позиции личных качеств;
3. Ни один из подходов не является основополагающим. Все три подхода эффективны только в сочетании друг с другом. Согласноличностной теории лидерства,лучшие из руководителей обладают определенным набором общих для всех личных качеств. Однако, как было выяснено, не существует такого набора личных качеств, который присутствует у всех эффективных лидеров, кроме того, в разных ситуациях требуются различные способности и качества. Согласноповеденческому подходу к лидерству,эффективность определяется не личными качествами руководителя, а скорее его манерой поведения по отношению к подчиненным. Ситуационный подход предполагает, что эффективность стиля управления зависит от характера конкретной ситуации.
На основе всего вышеописанного можно сделать вывод, что ООО "Русь" - достаточно успешная организация, в которой применяются эффективные методы управления. Психологический климат в коллективе является комфортным для работников, общение между сотрудниками носит дружелюбный характер, текучесть кадров в организации практически отсутствует, многие сотрудники работают в компании с самого основания. За последний год организационная структура стала меняться, были набраны новые сотрудники, которые в первые же дни своей работы обращали особое внимание на комфортный психологический климат.
Список используемой литературы
1. Абрютина М. С., Грачев А. В. Анализ финансово-экономической деятельности предприятия: Учебно-практическое пособие. - 2-е изд., испр. - М.; Изд-во "Дело и сервис", 2000. - 256 с.
2. Веснин, В.Р. Основы менеджмента: Учебник / Ин-т международного права и экономики.— М.: Триада, 2005.— 384с.: ил.; 22см.
3. Виханский О.С., Наумов А.И. "Менеджмент", 1998 г.
4. Мескон М. Х., Альберт М., Хедоури Ф. Основы менеджмента. М.: Дело, 2002.
5. Менеджмент : учеб. — 3-е изд., перераб. и доп. — М.: ТК Велби, Изд-во Проспект, 2006. - 504 с.
6. Поршнев А.Г., Ефремов В.С. Менеджер ХХI века. Кто он.//Менеджмент в России и за рубежом. № 4. 1998.
7. Кравченко А. И. История менеджмента. М. 2002.
8. Управление персоналом: Учебник для вузов / Под. ред. Т.Ю. Базарова, Б.Л. Еремина. – М.: Банки и биржи, ЮНИТИ, 1998. – 423с.
Список используемых интернет – источников
1. http://ru.wikipedia.org/wiki/Лидерство
2. http://bibliotekar.ru/biznes-43/48.htm
3. http://zeeps.ru/?q=node/615
|