СОДЕРЖАНИЕ
:
ВВЕДЕНИЕ
Глава 1. Назначение и содержание стратегического планирования маркетинга
1.1. Определение, функции, цели и задачи маркетинга
1.2. Роль маркетинга в компании. Сущность стратегического маркетинга на предприятии
1.3. Стратегическое планирование маркетинга на предприятии
1.4. Характеристика российского рынка полиграфического печатного оборудования
Глава 2. Portfolio-анализ как инструмент стратегического планирования маркетинга
2.1. Методика построения матрицы BCG
2.2. Методика построения матрицы General Electric-МсKinsey
Глава 3. Описание функциональных возможностей и обоснование выбора программ Marketing Expert и Marketing Mix для проведения Portfolio-анализа
Глава 4. Результаты вычислительных экспериментов, связанных с проведением Portfolio-анализа
4.1. Описание деловой ситуации, связанной с построением матрицы GEM
4.2. Описание деловой ситуации, связанной с построением матрицы BCG
4.3. Анализ результатов вычислительных экспериментов, связанных с построением матрицы GEM
4.4. Анализ результатов вычислительных экспериментов, связанных с построением матрицы BCG
4.5. Сравнительный анализ полученных результатов расчетов по построению матричных моделей GEM и BCG
ЗАКЛЮЧЕНИЕ
СПИСОК ИСПОЛЬЗОВАННОЙ ЛИТЕРАТУРЫ
ПРИЛОЖЕНИЯ
ВВЕДЕНИЕ
рortfolio конкурентоспособность матричная модель
Данная работа посвящена рассмотрению методики проведения Portfolio-анализа, позволяющего детально исследовать деятельность фирмы на рынке и разрабатывать маркетинговые стратегии будущего развития компании. В качестве инструментов проведения Portfolio-анализа выступают матричная модель BCG и многофакторная матричная модель General Electric-МсKinsey, обобщающие результаты SWOT-анализа и анализа привлекательности.
Цель работы – проведение Portfolio-анализа для гипотетической фирмы «ПОЛИГРАФИСТ» на рынке Санкт-Петербурга. Для достижения поставленной необходимо решить следующие задачи:
- оценить конкурентоспособность и относительные доли рынка, занимаемые компанией «ПОЛИГРАФИСТ» среди своих конкурентов;
- оценить привлекательность рынка для каждой товарной группы, реализуемой фирмой «ПОЛИГРАФИСТ»;
- построить матричные модели General Electric-МсKinsey и BCG;
Забиваем Сайты В ТОП КУВАЛДОЙ - Уникальные возможности от SeoHammer
Каждая ссылка анализируется по трем пакетам оценки: SEO, Трафик и SMM.
SeoHammer делает продвижение сайта прозрачным и простым занятием.
Ссылки, вечные ссылки, статьи, упоминания, пресс-релизы - используйте по максимуму потенциал SeoHammer для продвижения вашего сайта.
Что умеет делать SeoHammer
— Продвижение в один клик, интеллектуальный подбор запросов, покупка самых лучших ссылок с высокой степенью качества у лучших бирж ссылок.
— Регулярная проверка качества ссылок по более чем 100 показателям и ежедневный пересчет показателей качества проекта.
— Все известные форматы ссылок: арендные ссылки, вечные ссылки, публикации (упоминания, мнения, отзывы, статьи, пресс-релизы).
— SeoHammer покажет, где рост или падение, а также запросы, на которые нужно обратить внимание.
SeoHammer еще предоставляет технологию Буст, она ускоряет продвижение в десятки раз,
а первые результаты появляются уже в течение первых 7 дней.
Зарегистрироваться и Начать продвижение
- на основании построенных матриц получить рекомендации для дальнейших действий фирмы.
В работе проведен анализ полученных результатов и разработаны стратегии по улучшению деятельности фирмы.
ГЛАВА 1. НАЗНАЧЕНИЕ И СОДЕРЖАНИЕ СТРАТЕГИЧЕСКОГО ПЛАНИРОВАНИЯ МАРКЕТИНГА
1.1 Определение, функции, цели и задачи маркетинга
Существует более 2 тыс. определений маркетинга. Например, Дж.Р. Эванс считает, что «маркетинг – это предвидение, управление и удовлетворение спроса на товары, услуги, организации, людей, территории и идеи посредством обмена» [1], а, по мнению Ж.-Ж. Ламбена, «маркетинг – это одновременно философия бизнеса и активный процесс» [2]. Заведующий кафедрой маркетинга Санкт-Петербургского государственного университета экономики и финансов Г.Л. Багиев пишет в своей книге: «Маркетинг – это философия и инструментарий взаимодействия хозяйствующих субъектов социально-экономической системы по поводу изучения, создания, воспроизводства т удовлетворения спроса конечных потребителей, их потребностей в товарах и услугах с целью получения прибыли или достижения иных результатов» [3]. Но самым точным определением, я считаю, является следующее: «Маркетинг – управленческий процесс, посредством которого ресурсы всей организации используются для удовлетворения потребностей выбранных групп потребителей, чтобы достигнуть целей обеих сторон, т.е. маркетинг – форма организации деловой активности фирмы (принцип), ориентированная (-ый) на потребителя, на рынок (сферу обмена)».
Существует универсальный подход к определению и описанию маркетинговых функций [4]. Структурно функции маркетинга можно представить следующим образом:
- Аналитическая функция (исследование рынков продукции; выявление целевых сегментов; анализ требований и предпочтений потребителей относительно товара, цен, сбыта, коммуникаций);
- Стратегическая функция (выбор целевых сегментов рынка и стратегии поведения предприятия; обеспечение прибыли от реализации товаров и услуг и финансовой стабильности функционирования предприятия);
- Производственная функция (позиционирование товара на рынке; разработка новых товаров и усовершенствование уже выпускающихся; организация материально-технического снабжения; формирование затрат на производство товаров с учетом ценовых предпочтений потребителей и издержек конкурентов);
- Сбытовая функция (организация системы товародвижения; организация сервисного обслуживания);
Сервис онлайн-записи на собственном Telegram-боте
Попробуйте сервис онлайн-записи VisitTime на основе вашего собственного Telegram-бота:
— Разгрузит мастера, специалиста или компанию;
— Позволит гибко управлять расписанием и загрузкой;
— Разошлет оповещения о новых услугах или акциях;
— Позволит принять оплату на карту/кошелек/счет;
— Позволит записываться на групповые и персональные посещения;
— Поможет получить от клиента отзывы о визите к вам;
— Включает в себя сервис чаевых.
Для новых пользователей первый месяц бесплатно.
Зарегистрироваться в сервисе
- Стимулирующая функция (организация системы формирования спроса и стимулирования сбыта; выбор видов рекламы, темы и девиза рекламной кампании, средств рекламы; создание образа предприятия);
- Функция управления и контроля (организация стратегического и оперативного планирования на предприятии; информационное обеспечение управления; контроль за издержками на всех этапах производства и сбыта).
Любая деятельность, предпринимательская или маркетинговая, осуществляется с целью достижения определенного результата. Цели маркетинговой деятельности тесно связаны с целями фирмы и способствуют достижению последних. К основным целям фирмы относятся: завоевание рынка; рентабельность; финансовая устойчивость; обеспечение социальных факторов производства; создание и укрепление позиций на рынке и престижа фирмы. Маркетинговые цели имеют определенную иерархию и структуру. Профессор Е.П. Голубков предлагает следующую структуру целей маркетинговой деятельности [5]. Общая цель – обеспечение целей развития компании путем проведения эффективной маркетинговой политики; цель для отдельных товаров и рынков – получение определенной прибыли (доли продаж) на определенном рынке при реализации определенного товара; цель отдельных элементов комплекса маркетинга для соответствующего товара и рынка – продукт, цена, продвижение продукта, доведение продукта до потребителя.
Анализ целей маркетинга позволяет сформулировать основные задачи по их достижению. Выделяют три взаимосвязанных комплекса задач маркетинга: задачи, относящиеся к деятельности на рынке, т.е. связанные с регулированием спроса; задачи, относящиеся к сфере предприятия или фирмы; задачи, относящиеся к окружающей среде и общественным образованиям.
1.2 Роль маркетинга в компании. Сущность стратегического маркетинга на предприятии
Термин «маркетинг» - в буквальном смысле: процесс продвижения на рынок - не отражает в полной мере внутренней двойственности процесса и акцентирует более «активную» сторону маркетинга в сравнении с «аналитической». Чтобы охарактеризовать эту двойственность, в теории маркетинга определили два направления активности фирмы: стратегический и операционный маркетинг.
Операционный (тактический) маркетинг - комплекс работ по тактической (кратковременной) сегментации рынка, рекламе и стимулированию сбыта товара [6]. Роль, которую играет операционный маркетинг в деятельности фирмы, - организация сбыта, продаж и и политики коммуникации для информирования потенциальных покупателей и демонстрации особых качеств товара при снижении издержек на поиск покупателей. Таким образом, операционный маркетинг непосредственно влияет на краткосрочную рентабельность фирмы.
Стратегический маркетинг – это анализ потребностей физических лиц и организаций [7]. Основной задачей этого направления активности фирмы является анализ потребностей покупателя, а роль его состоит в прослеживании эволюции конкретного рынка и обнаружении различных существующих и потенциальных рынков на основе анализа неудовлетворенных потребительских потребностей. Выявленные рынки представляют собой экономические возможности, для которых нужно оценить привлекательность. Привлекательность рынка для каждой конкретной фирмы зависит от ее конкурентоспособности на нем. Под конкурентоспособностью фирмы понимается обладание преимуществом на рынке перед фирмами-конкурентами в удовлетворении определенной потребности.
1.3 Стратегическое планирование маркетинга на предприятии
Стратегическое планирование маркетинга на предприятии – это выработка компанией общей стратегии, нацеленной на длительную перспективу и рост. Процесс стратегического планирования маркетинга имеет средне- и долгосрочный горизонты. В современных условиях стратегический план маркетинга составляется на срок от трех до пяти лет. Задачами стратегического планирования являются систематический анализ потребностей основных групп потребителей, разработка стратегии, которая обеспечит фирме устойчивое конкурентное преимущество.
Вопросами стратегического планирования маркетинга на предприятии должно заниматься высшее руководство, поскольку только оно обладает самой полной информацией [8]. Стадии процесса стратегического планирования изображены на рис. 1.
Рис. 1. Этапы стратегического планирования маркетинга предприятия
Аудит маркетинга заключается в проведении анализа существующего положения фирмы на рынке и сегментного анализа, состоящего в определении доходности и прибыльности сегментов рынка (товаров, территорий, каналов сбыта). Также оценивается привлекательность сегментов по различным критериям и проводится Portfolio-анализ. Следующий этап планирования маркетинга – постановка на основании результатов аудита руководством фирмы четких маркетинговых и финансовых целей. Затем необходимо определить маркетинговые стратегии, которые обеспечат достижение поставленных целей. На завершающем этапе планирования разрабатывается подробный тактический план действий, который может обеспечить выполнение стратегий и достижение поставленных целей.
После выбора основных стратегий фирмы нужно их конкретизировать через планирование специальных мероприятий или программы маркетинга фирмы, которая носит название marketingmix(смесь маркетинга). Основные компоненты смеси известны под названием четырех «П» (4xP): Product (товар), Price (цена), Place (место продаж), Promotion (Продвижение). Стратегия 4хР должна быть определена для каждого сегмента рынка. Таким образом, для каждой группы потребителей должны быть спланированы соответствующие товары, цены, места продаж и стратегии продвижения. Здесь стратегическое планирование переходит в планирование тактических мероприятий маркетинга фирмы.
При решении задачи планирования маркетинга большое применение получили известные и широко применяемые аналитические методики проведения аудита и стратегического планирования маркетинга. К таким методикам относятся: SWOT-анализ (оценка конкурентоспособности фирмы относительно основных конкурентов), Gap-анализ (постановка целей и разработка способов их достижения) и Portfolio-анализ на основе матричной модели Бостонской консалтинговой группы (BCG) и многофакторной матричной модели Дженерал Электрик (GE).
1.4 Характеристика российского рынка полиграфического печатного оборудования
В последние десятилетия началось возникновение, формирование и развитие полиграфического рынка России, основными участниками которого являются производители и поставщики полиграфического оборудования и материалов, типографии, отраслевая наука, учебные заведения, кадровые агентства, профессиональные информационные источники (выставки, профильные СМИ, профильные Интернет-проекты и т. д.), заказчики печатной продукции, инвесторы, властные структуры. Участники рынка – полиграфические предприятия подразделяются:
1. по видам печати: высокая, глубокая, флексографская, офсетная, трафаретная печать;
2. по номенклатуре выпускаемой продукции: книги в мягком и твердом переплете; газеты; журналы; этикетки; почтовые и денежные знаки; упаковочная продукция.
Всего по Российской Федерации насчитывается более 8000 полиграфических предприятий. Наибольшее количество предприятий сосредоточено в экономически развитых регионах: Москве – 32,5%, Санкт-Петербурге – 6,8%, Московской области – 2,8%, республике Татарстан – 2,8%.
В настоящее время наблюдается повышение спроса на печатную продукцию, что ведет к увеличению спроса на печатное оборудование. Лидером в области продаж полиграфического оборудования как на российском, так и на мировом рынке является немецкая компания Heidelberg. Раньше в России типографии и компании, оказывающие полиграфические услуги, покупали небольшие и относительно дешевые машины. Теперь же пришла очередь больших дорогостоящих установок. Сейчас повышенным спросом пользуются многофункциональные машины для цветной печати в крупном формате. Такими машинами интересуются и крупные типографии, перевооружающие производство, и средние компании, желающие перейти на больший формат [9].
В РФ в настоящее время работают более 120 фирм-изготовителей оборудования для полиграфии. Наряду с известными заводами в Рыбинске, Санкт-Петербурге («Ленполиграфмаш»), Ейске, Гремячинске, Зарайске («Зарайский офсет»), Туле («Сплав»), в последние 10-15 лет появились и новые производители. Наиболее известны из них - «Флексопак», «Август-Принт», «Альфа» в Москве, «Петромаш» - в Сант-Петербурге, «Арнита» - в Калининграде и ряд других. Некоторым из них удалось привлечь средства инвесторов, в том числе зарубежных, и благодаря этому обеспечить выпуск техники на конкурентоспособном уровне. Однако, чаще всего, - это небольшие фирмы, которые арендуют производственные площади и оборудование и занимаются разработкой и производством узкого списка оборудования, запчастей, его ремонтом и восстановлением [10].
Анализ состава оборудования, поступающего на продажу от предприятий, показывает, что значительная его часть находится за пределами работоспособного возраста. Основной возраст отечественного оборудования – не моложе середины 80-х годов, а импортного – не моложе середины 90-х годов. Лишь небольшая часть типографий может купить новое оборудование на свои средства. Большинство же типографий реальным выходом из создавшегося положения считает приобретение и использование полиграфического оборудования с использованием лизинга или кредита. Условиями эффективной и надежной работы приобретаемого оборудования являются: наличие бизнес-плана, эффективный маркетинг, кадровое обеспечение обслуживания машин и технологических процессов, наличие сертифицированной технической документации по монтажу, наладке, эксплуатации оборудования.
ГЛАВА 2. PORTFOLIO-АНАЛИЗ КАК ИНСТРУМЕНТ СТРАТЕГИЧЕСКОГО ПЛАНИРОВАНИЯ МАРКЕТИНГА
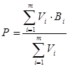
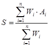
Portfolio-анализ является одним из наиболее распространенных методов стратегического маркетингового анализа. Анализ своего портфеля должен помочь фирме в распределении ограниченных ресурсов между различными рынками товара, на которых она представлена. Таким образом, он позволяет предприятию определять долгосрочную инвестиционную политику по отношению к различным сегментам деятельности [11]. Задача портфельного анализа заключается в классификации каждого рассматриваемого рынка товара по двум независимым измерениям: привлекательность базового рынка и конкурентная сила фирмы.
Для этого учеными и практиками предложено несколько моделей. Они могут быть полезны при осуществлении стратегического маркетингового планирования. На основе полученных оценок распределяются усилия и ресурсы предприятия, а также разрабатываются соответствующие конкретные стратегии маркетинга. Возможность применения той или иной модели зависит от конкретных обстоятельств.
Существует две наиболее популярных модели оценки бизнес-портфеля компании с применением матриц и с использованием разнообразных критериев привлекательности и конкурентоспособности: модель Бостонской консалтинговой группы (БКГ), называемая «матрица рост-доля рынка» (BostonConsultingGroupportfoliomodel (BCG)), и модель «матрица привлекательность-конкурентоспособность», разработанная фирмами «Дженерал Электрик» и «МакКинси» (McKinsey) (GeneralElectricmultifactorportfolioModel (GEM)). Несмотря на схожесть, эти методы основаны на различных предпосылках и выбор того или другого из них не безразличен с точки зрения получаемых результатов.
2.1 Методика построения матрицы BCG
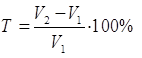
Матрица BCG позволяет фирме классифицировать каждый из своих товаров по его доле на рынке относительно основных конкурентов и темпам роста продаж. Товары, занимающие в матрице схожее исходное стратегическое положение, объединяются в однородные совокупности. Для каждой совокупности можно определить базовые образцы действий (нормативные стратегии), которые используются для стратегического планирования, а также для распределения ресурсов фирмы. В матрице BCG используются два показателя: темп роста рынка в качестве индикатора привлекательности и относительная доля рынка, занимаемая предприятием, в качестве индикатора конкурентноспособности. Под относительной долей рынка понимается отношение доли рынка, занимаемой предприятием, к доле рынка наиболее опасного конкурента. Темп роста рынка – это процент прироста суммарного объема продаж на данном рынке за определенный период времени. Этот показатель вычисляется по формуле:
, (1)
где Т – темп роста рынка;
V2
– суммарный объем продаж на данном рынке в текущий плановый период;
V1
– суммарный объем продаж на данном рынке в предыдущий плановый период.
Матрица представляет собой таблицу с двумя входами, разделенную на четыре квадранта, в каждом из которых представлены различные направлениями деятельности фирмы (см. рис. 2).
Рис. 2. Матрица BCG.На рис. 2 окружности представляют рыночные позиции товаров, производимых фирмой. Величина окружности пропорциональна общему размеру всего рынка (другими словами, учитывается не только размер бизнеса у данной конкретной организации, а вообще его размер как отрасли в масштабах всей экономики) [12]. Место каждого товара в матрице определяется в соответствии с темпом роста рынка и относительной долей рынка. Товар с определенным темпом роста рынка попадает в один их квадрантов матрицы BCG.
В какой-то степени популярность матрицы BCG обусловлена образной выразительностью ее секторов (квадрантов) (см. рис. 2). Существует четыре группы рынков товара, соответствующие различным стратегическим целям и финансовым потребностям:
· «Знаки вопроса»
- товары, действующие на рынках с высокими темпами роста, но обладающие низкими относительными долями рынка. Такие товары требуют значительных инвестиций, но все же имеют шансы на успех, поскольку рынок еще расширяется. В отношении «знаков вопроса» имеет место самая большая степень неопределенности: либо они станут в будущем прибыльными для организации (эволюционируют к «звездам»), либо нет. Ясно одно: без значительных дополнительных инвестиций эти продукты скорее скатятся до позиций «собак». Предпочтительная стратегия для этих товаров – увеличение доли рынка.
· «Звезды»
- товары-лидеры на быстро растущем рынке. «Звезды» не всегда обеспечивают компании существенный приток денежных средств, поскольку требуют значительных ресурсов для поддержания высоких темпов роста и отражения атак конкурентов. Однако, благодаря своей конкурентоспособности дают значительную прибыль. По мере созревания рынка эти товары обещают стать «дойными коровами», то есть генераторами прибыли.
· «Дойные коровы»
- товары, имеющие большую долю на медленно развивающемся рынке. В настоящее время они обеспечивают организации достаточную прибыль для того, чтобы удерживать на рынке свои конкурентные позиции. Для инвестиций в «дойных коров» требуется самый необходимый минимум. Эти товары являются источником финансовых средств для развития диверсификации или исследований. Приоритетная стратегическая для этих товаров – получение максимальной прибыли.
· «Собаки»
- товары, характеризующиеся низкими относительными долями на медленно растущих рынках. Как правило, они не приносят особой прибыли (нередко просто убыточны), имеют мало надежды на увеличение доли рынка, тем более что рыночная борьба, в основном, завершена. Сохранение таких товаров обычно ведет к значительным финансовым расходам при небольших шансах на улучшение, а также может нанести ущерб репутации предприятия, поэтому фирма должна решить, сохранять ли этот бизнес по каким-либо веским причинам (например, ожидается резкое ускорение роста рынка или появились шансы на завоевание лидерских позиций) [13]. Приоритетная стратегия для «собак» - это удаление с рынка.
После того, как фирма определила место каждого товара в матрице BCG, она должна проанализировать содержимое своего бизнес-портфеля. В несбалансированном портфеле слишком много «собак» или мало «звезд» и «дойных коров» [14]. В результате анализа портфеля товаров в динамике организация может избрать одно из четырех направлений деятельности (траектории развития) товара (см. рис. 3):
Рис. 3. Основные траектории развития товаров«траектория новатора»
- инвестируя в разработку новых продуктов средства, получаемые от продажи товаров-«дойных коров», предприятие выходит на рынок с принципиально новым товаром- «звездой»;
«траектория последователя»
- средства инвестируются в товар-«знак вопроса», на рынке которого доминирует лидер, то есть предприятие выбирает агрессивную стратегию наращивания доли рынка, и товар переходит в товар-«звезду»;
«траектория неудачи»
- вследствие недостаточного инвестирования товар-«звезда» теряет позиции на рынке и переходит в группу товаров «знаки вопроса»;
«траектория посредственности»
- товар-«знак вопроса» теряет позиции, так как не может увеличить свою долю рынка, и переходит в группу товаров-«собак».
После того, как фирма определила место каждого товара в системе координат «рост объема продаж - относительная доля рынка», она должна проанализировать содержимое бизнес-портфеля. Анализ положения товара внутри матрицы BCG дает возможность выработать по каждому товару стратегию по всем компонентам «маркетинговой смеси» (4хР). Кроме того, анализируя положение товара в матрице, представляется возможным оценить денежные потребности и потенциальную прибыль. По распределению объемов продаж по квадрантам можно оценить равновесие портфеля товаров предприятия.
Матрица BCG дает возможность наглядного представления позиций фирмы на рынке, а также его стратегических проблемах. Главное достоинство метода, разработанного БКГ, - это основательная теоретическая проработка, приведшая к установлению жесткой связи между стратегическим позиционированием и финансовыми показателями.
Однако, наряду с достоинствами, эта модель имеет и несколько недостатков. Один из них – ограниченное число секторов, описывающих позицию предприятия, из-за чего становится невозможным точно оценить товары, находящиеся в средней позиции, а на практике это требуется достаточно часто. Еще одним недостатком является то, что позиция предприятия оценивается по двум показателям, а другие факторы остаются без внимания. Также матрицу трудно использовать, когда области деятельности предприятия недостаточно сконцентрированы, относительная доля рынка не имеет для фирмы особого значения или если конкуренция обеспечивается не издержками производства, а техническими новшествами [5].
Несмотря на все недостатки, матрица BCG – удобный практический инструмент, широко применяемый в стратегическом планировании маркетинга.
2.2 Методика построения матрицы General Electric-МсKinsey
В центре внимания модели GE-McKinsey находится будущая прибыль, которая может быть получена организацией. Другими словами, акцент сделан на то, чтобы проанализировать, какое влияние на прибыль могут оказать дополнительные инвестиции в конкретный вид бизнеса в краткосрочной перспективе. Метод портфельного анализа на основе матрицы, предложенной компаниями General Electric и McKinsey, предусматривает анализ рынка на основе двух факторов: привлекательности отрасли и конкурентоспособности («силы бизнеса») предприятия. Для оценки «силы бизнеса» необходимо сформулировать ключевые факторы успеха (КФУ), то есть факторы, имеющие решающее значение для достижения успеха на данном рынке. Каждому КФУ приписывается вес, соответствующий степени его важности среди всех выбранных факторов. Затем для данного товара проставляются оценки по каждому ключевому фактору успеха и вычисляется суммарная взвешенная оценка по правилам линейной свертки. Эта взвешенная оценка является интегральной характеристикой рыночной позиции фирмы и носит название «сила бизнеса» [15]. Формула для вычисления силы бизнеса имеет вид:
, (2)
где S - сила бизнеса;
i - индекс КФУ;
Wi
- (степень важности) i
- го КФУ;
Ai
- значение i
- го КФУ;
n - количество КФУ.
Оценка весовых коэффициентов и значений КФУ производится по произвольной шкале. Привлекательность рынка оценивается так же, как и «сила бизнеса», а именно: формулируются факторы привлекательности и производится их оценка по выбранной шкале с учетом весовых коэффициентов. Формула для оценки привлекательности рынка:
, (3)
где P
- привлекательность рынка;
i
- индекс фактора привлекательности рынка;
Vi
- (степень важности) i
- го фактора привлекательности рынка;
Bi
- значение i
- го фактора привлекательности рынка;
m
- количество факторов привлекательности рынка.
В табл. 1 приведен список возможных наборов факторов привлекательности рынка и силы бизнеса.
Факторы привлекательности рынка и силы бизнеса
Таблица 1
| Факторы привлекательности рынка |
Факторы силы бизнеса |
| Размер рынка |
Цена |
| Темп роста рынка |
Качество продукции |
| Покупательная способность потребителей |
Техническая оснащенность производства |
| Интенсивность конкуренции |
Эффективность сбыта |
| Стабильность потребности |
Уровень сервиса |
| Влияние инфляции |
Квалификация персонала |
| Энергоемкость |
Известность торговой марки |
Матрица GEМ разделена на девять ячеек, которые, в свою очередь, составляют три уровня – высокий, средний, низкий. Ячейки группируются в три зоны, требующие различных стратегических решений, связанных с :
- инвестированием, целью которого является удержание занятой позиции и следование за развитием рынка (эта зона характеризуется высоким уровням привлекательности рынка товара и конкурентоспособности фирмы );
- селективным управлением для получения дохода (зона характеризуется средней привлекательностью);
- исчерпанием потенциала (уходом с рынка) (привлекательность и конкурентные преимущества находятся на низком уровне).
Положение товара в матрице определяется двумя координатами: привлекательностью рынка и силой бизнеса. Направления деятельности фирмы можно представить в виде кружков с площадью поверхности, пропорциональной ее доле в прибыли (объеме продаж). На рис. 4 представлен вид матрицы GEМ.
Рис. 4. Вид матрицы GEГлавными достоинствами матрицы GE-McKinsey являются более широкая, чем у матрицы BCG, область применения и большая гибкость, так как индикаторы (критерии) выбираются, исходя из конкретной ситуации. Основным недостатком же можно считать то, что результаты анализа основаны на субъективных оценках.
Также следует отметить, что матрицы различаются и по способу оценки привлекательности рынков товара и преимуществ фирмы, и по точности выводов.
ГЛАВА 3. ОПИСАНИЕ ФУНКЦИОНАЛЬНЫХ ВОЗМОЖНОСТЕЙ И ОБОСНОВАНИЕ ВЫБОРА ПРОГРАММ MARKETING EXPERT И MARKETING MIX ДЛЯ ПРОВЕДЕНИЯ PORTFOLIO-АНАЛИЗА
Из аналитических информационных систем, ориентированных на планирование и анализ маркетинга, класса A - Стратегический маркетинг (моделирование стратегии, анализ положения предприятия на рынке, разработка плана маркетинга) - для разработки маркетинговой стратегии своего гипотетического предприятия я выбрала программные продукты «Marketing Expert» и «Marketing Mix», поскольку они относительно просты в использовании и отлично справляются со своими основными задачами – планированием маркетинга и проведением маркетингового анализа.
Программа «Marketing Expert» предназначена для решения двух основных задач - проведения аудита маркетинга и планирования маркетинга по всем компонентам MarketingMix. В основу программы «MarketingExpert» положены следующие методики – SWOT-анализ, сегментный анализ, оценка привлекательности сегментов рынка, Portfolio - анализ.
Одно из основных достоинств программы «MarketingExpert» - это наличие удобного инструментального средства для построения иерархической модели компании, названной «Картой рынка». Программа позволяет создать на «Карте рынка» инфраструктуру Компании, состоящую из объектов нескольких типов: Компания (на карте может располагаться только один объект этого типа), отделы (отрасли), каналы сбыта. Также к объекту «Компания» можно присоединить с помощью связей сегменты рынка (территории, товарные группы, целевые группы потребителей). Для проведения SWOT-анализа нужно ввести на «Карту рынка» объекты типа «Конкурент» и подцепить их связями к интересующему сегменту рынка. Выбор типа объектов «Карты рынка» осуществляется с помощью нижнего подвижного меню. Одновременно с панелью выбора типа объектов появляются еще две подвижные диалоговые панели: панель ввода текста на объект и панель «Tools» c инструментальными средствами формирования Модели.
Для проведения SWOT - анализа необходимо предварительно построить «Карту рынка» фирмы. На этой карте необходимо разместить объект типа «Компания», объекты типа «Потребитель», объект «Территория» и объекты типа «Конкурент». Между элементами «Карты рынка» устанавливаются иерархические связи. К сегментам, для которых будет проводиться SWOT-анализ, необходимо подсоединить конкурентов. Для оценки конкурентоспособности («силы бизнеса») фирмы на рынке вводятся названия КФУ, их веса и оценки КФУ для фирмы и ее конкурентов в соответствующие поля диалоговой панели «SWOT - анализ». Также следует ввести общее значение процента рынка, занимаемого фирмой вместе с основными конкурентами. После того, как все необходимые данные введены, программа рассчитает для фирмы и ее конкурентов «силу бизнеса», относительную силу бизнеса, долю рынка и относительную долю рынка. Вид панели «SWOT - анализ» представлен в ПРИЛОЖЕНИИ 1.
Программный продукт «Marketing Mix» - это инструмент для разработки маркетингового плана предприятия и проведения маркетингового анализа. Программный комплекс содержит шаблоны, позволяющие разработать маркетинговый план и провести расчет таких важных его элементов, как: анализ конкурентных преимуществ фирмы; SWOT-анализ; матрица BCG; матрица GE-McKinsey; маркетинговый бюджет.
Рассмотрю элементы, необходимые для проведения Portfolio-анализа: матрицу BCG и матрицу GEM.
В «Marketing Mix» матрица BCG представлена в виде шаблона MS Excel, настраивающегося под конкретные условия. В матрице может быть одновременно представлено до 10 продуктов. Все данные для построения матрицы вводятся в таблицу, размещенную вверху листа. Процедура подготовки к построению матрицы BCG включает следующие этапы:
1. Выбрать число продуктов, для которых строится диаграмма.
2. В поле «Краткое название» ввести имена продуктов.
3. Указать для каждого продукта последовательно: объем продаж, объем продаж основного конкурента и темпы роста рынка.
4. Выбрать шкалу матрицы BCG с помощью диалогового окна, вызываемого нажатием кнопки «Установить шкалу…».
После этих четырех этапов получится готовая матрица.
Матрица GE в «Marketing Mix» строится на основе оценок, выставляемых каждому из направлений бизнеса по трем параметрам: объем продаж, сила бизнеса и привлекательность рынка. Для начала работы с матрицей GE надо указать число продуктов, ввести их названия и указать для каждого продукта объем продаж. Далее, на листах «Возможности» (см. ПРИЛОЖЕНИЕ 2) и «Привлекательность» (см. ПРИЛОЖЕНИЕ 3) необходимо дать оценки для вопросов, составляющих основу конкурентоспособности продуктов и привлекательности рынков, но есть возможность сразу перейти на лист «Итоги» и ввести значения силы бизнеса и привлекательности в представленную там таблицу как конкретные цифры [12].
ГЛАВА 4. РЕЗУЛЬТАТЫ ВЫЧИСЛИТЕЛЬНЫХ ЭКСПЕРИМЕНТОВ, СВЯЗАННЫХ С ПРОВЕДЕНИЕМ PORTFOLIO-АНАЛИЗА
4.1 Описание деловой ситуации, связанной с построением матрицы GEM
Фирма «ПОЛИГРАФИСТ» занимается продажей полиграфического оборудования. Фирма реализует на рынке Санкт-Петербурга шесть моделей печатных машин (товарные группы): Printmaster PM SO 102-2 (модель 1), Printmaster PM GTO 52-5-P (модель 2), S-Offset SORSZ (модель 3), Speedmaster SM 102-5-P (модель 4), Speedmaster SM 102-8-P (модель 5), Speedmaster CD 102-1-L (модель 6). Основные характеристики и области применения перечисленных моделей печатных машин [17], [18]. представлены в ПРИЛОЖЕНИИ 4. Фирма имеет на рынке шесть основных конкурентов – продавцов такого же полиграфического оборудования, а именно: «ТЕТРА», «ДОМ ПЕЧАТИ», «ПРЕСС», «ГРАНД», «ШТАМП», «ПРИНТ» (основные конкуренты могут быть выбраны в результате построения конкурентной карты рынка).
Маркетологи фирмы оценили емкость рынка в текущем периоде и спрогнозировали значение емкости рынка в следующем периоде, а также определили пять факторов привлекательности рынка и силы бизнеса, методом экспертных оценок по произвольной шкале бальности назначили их веса и провели оценку фирмы по каждому фактору. Для оценки привлекательности рынка выбрана 10-ти балльная шкала. Применяемая шкала оценок имеет следующую градацию: 10 – очень привлекательный; 8 – привлекательный; 5,5 – относительно непривлекательный; 4 – непривлекательный; 0 – очень непривлекательный. Также был определен общий процент рынка, занимаемый фирмой вместе с ее конкурентами. Его значение составляет 80%.
С помощью программ «MarketingExpert» и «MarketingMix» на основании приведенных исходных данных требуется:
1. Построить «карту рынка» фирмы «ПОЛИГРАФИСТ».
2. Провести SWOT-анализ для каждой товарной группы, реализуемой данной фирмой на сегменте рынка «Малые типографии» на территории «Санкт-Петербург».
3. На основании исходных данных определить «силы бизнеса» фирмы «ПОЛИГРАФИСТ» для каждой товарной группы, реализуемой на сегменте рынка «Малые типографии» на территории «Санкт-Петербург».
4. Построить круговые диаграммы для каждой из товарных групп для показателя «сила бизнеса», рассчитанного в результате проведения SWOТ-анализа.
5. На основании исходных данных в программе «Marketing Expert» провести оценку привлекательности рынка для каждой товарной группы.
6. Построить матричную модель «Дженерал Электрик» (для планируемого периода) для реализуемых фирмой «ПОЛИГРАФИСТ» товаров.
7. Получить рекомендации на основании построенной матрицы GE.
Карта рынка фирмы «ПОЛИГРАФИСТ» представлена на рис. 5.
Для каждой товарной группы, реализуемой данной фирмой на сегменте рынка «Малые типографии» на территории «Санкт-Петербург» в программе Marketing Expert был проведен SWOT-анализ. Результаты SWOТ-анализа представлены в табл. 2-6. В результате проведения SWOT-анализа были рассчитаны показатели «силы бизнеса» по каждой товарной группе (см. табл. 2-7), а также проведена оценка привлекательности по формуле (3) и в программе «Marketing Expert». Результаты расчетов привлекательности рынка приведены в табл. 8 и в ПРИЛОЖЕНИИ 5. Также были построены круговые диаграммы для каждой из моделей (товарных групп) для показателя «сила бизнеса», рассчитанного в результате проведения SWOT – анализа (см. рис. 9-15 в ПРИЛОЖЕНИИ 6).
Рис. 5. Карта рынка фирмы «ПОЛИГРАФИСТ»Таблица 2. Результаты SWOT - анализа для товарной группы «1»
| КФУ |
Вес |
ПОЛИГРА-ФИСТ |
ТЕТРА |
ДОМ ПЕЧАТИ |
ПРЕСС |
ГРАНД |
ШТАМП |
ПРИНТ |
| Цена |
28 |
28 |
17 |
9 |
11 |
14 |
19 |
10 |
| Известность торговой марки |
30 |
12 |
6 |
12 |
10 |
8 |
7 |
4 |
| Уровень сервиса |
16 |
13 |
11 |
6 |
7 |
4 |
12 |
5 |
| Качество продукции |
10 |
18 |
15 |
18 |
14 |
10 |
17 |
8 |
| Эффективность сбыта |
19 |
7 |
10 |
13 |
9 |
8 |
12 |
11 |
| Сила бизнеса
|
103 |
16,17 |
11,38 |
11,02 |
10,01 |
9,2 |
12,93 |
7,47 |
| Относительная доля рынка
|
1,25 |
0,7 |
0,68 |
0,62 |
0,57 |
0,8 |
0,46 |
Таблица 3 Результаты SWOT - анализа для товарной группы «2»
| КФУ |
Вес |
ПОЛИГРА-ФИСТ |
ТЕТРА |
ДОМ ПЕЧАТИ |
ПРЕСС |
ГРАНД |
ШТАМП |
ПРИНТ |
| Цена |
28 |
10 |
17 |
9 |
11 |
14 |
19 |
10 |
| Известность торговой марки |
30 |
6 |
6 |
12 |
10 |
8 |
7 |
4 |
| Уровень сервиса |
16 |
7 |
11 |
6 |
7 |
4 |
12 |
5 |
| Качество продукции |
10 |
11 |
15 |
18 |
14 |
10 |
17 |
8 |
| Эффективность сбыта |
19 |
5 |
10 |
13 |
9 |
8 |
12 |
11 |
| Сила бизнеса
|
103 |
7,54 |
11,38 |
11,02 |
10,01 |
9,2 |
12,93 |
7,47 |
| Относи-тельная доля рынка
|
0,58 |
0,88 |
0,85 |
0,77 |
0,71 |
1,14 |
0,58 |
Таблица 4 Результаты SWOT - анализа для товарной группы «3»
| КФУ |
Вес |
ПОЛИГРА-ФИСТ |
ТЕТРА |
ДОМ ПЕЧАТИ |
ПРЕСС |
ГРАНД |
ШТАМП |
ПРИНТ |
| Цена |
28 |
23 |
17 |
9 |
11 |
14 |
19 |
10 |
| Известность торговой марки |
30 |
25 |
6 |
12 |
10 |
8 |
7 |
4 |
Уровень
сервиса
|
16 |
9 |
11 |
6 |
7 |
4 |
12 |
5 |
| Качество продукции |
10 |
6 |
15 |
18 |
14 |
10 |
17 |
8 |
| Эффективность сбыта |
19 |
15 |
10 |
13 |
9 |
8 |
12 |
11 |
| Сила бизнеса
|
103 |
18,28 |
11,38 |
11,02 |
10,01 |
9,2 |
12,93 |
7,47 |
| Относительная доля рынка
|
1,41 |
0,62 |
0,6 |
0,55 |
0,5 |
0,71 |
0,41 |
Таблица 5 Результаты SWOT - анализа для товарной группы «4»
| КФУ |
Вес |
ПОЛИГРА-ФИСТ |
ТЕТРА |
ДОМ ПЕЧАТИ |
ПРЕСС |
ГРАНД |
ШТАМП |
ПРИНТ |
| Цена |
28 |
6 |
17 |
9 |
11 |
14 |
19 |
10 |
| Известность торговой марки |
30 |
5 |
6 |
12 |
10 |
8 |
7 |
4 |
| Уровень сервиса |
16 |
2 |
11 |
6 |
7 |
4 |
12 |
5 |
| Качество продукции |
10 |
3 |
15 |
18 |
14 |
10 |
17 |
8 |
| Эффективность сбыта |
19 |
5 |
10 |
13 |
9 |
8 |
12 |
11 |
| Сила бизнеса
|
103 |
4,61 |
11,38 |
11,02 |
10,01 |
9,2 |
12,93 |
7,47 |
| Относи-тельная доля рынка
|
0,36 |
0,88 |
0,85 |
0,77 |
0,71 |
1,14 |
0,58 |
Таблица 6 Результаты SWOT - анализа для товарной группы «5»
| КФУ |
Вес |
ПОЛИГРА-ФИСТ |
ТЕТРА |
ДОМ ПЕЧАТИ |
ПРЕСС |
ГРАНД |
ШТАМП |
ПРИНТ |
| Цена |
28 |
20 |
17 |
9 |
11 |
14 |
19 |
10 |
| Известность торговой марки |
30 |
12 |
6 |
12 |
10 |
8 |
7 |
4 |
| Уровень сервиса |
16 |
13 |
11 |
6 |
7 |
4 |
12 |
5 |
| Качество продукции |
10 |
18 |
15 |
18 |
14 |
10 |
17 |
8 |
| Эффективность сбыта |
19 |
15 |
10 |
13 |
9 |
8 |
12 |
11 |
| Сила бизнеса
|
103 |
15,47 |
11,38 |
11,02 |
10,01 |
9,2 |
12,93 |
7,47 |
| Относи-тельная доля рынка
|
1,2 |
0,74 |
0,71 |
0,65 |
0,6 |
0,84 |
0,48 |
Таблица 7 Результаты SWOT - анализа для товарной группы «6»
| КФУ |
Вес |
ПОЛИГРА-ФИСТ |
ТЕТРА |
ДОМ ПЕЧАТИ |
ПРЕСС |
ГРАНД |
ШТАМП |
ПРИНТ |
| Цена
|
28
|
26
|
17
|
9
|
11
|
14
|
19
|
10
|
| Известность торговой марки
|
30
|
24
|
6
|
12
|
10
|
8
|
7
|
4
|
| Уровень сервиса
|
16
|
28
|
11
|
6
|
7
|
4
|
12
|
5
|
| Качество продукции
|
10
|
29
|
15
|
18
|
14
|
10
|
17
|
8
|
| Эффективность сбыта
|
19
|
30
|
10
|
13
|
9
|
8
|
12
|
11
|
| Сила бизнеса
|
103
|
26,82
|
11,38
|
11,02
|
10,01
|
9,2
|
12,93
|
7,47
|
| Относи-тельная доля рынка
|
2,07
|
0,42
|
0,41
|
0,37
|
0,34
|
0,48
|
0,28
|
Таблица 8 Расчет привлекательности рынка
| Фактор привлекательности |
Вес |
Модель 1 |
Модель 2 |
Модель 3 |
Модель 4 |
Модель 5 |
Модель 6 |
| Интенсивность конкуренции |
3 |
10 |
9,8 |
8,5 |
4,9 |
2,1 |
6,1 |
| Размер сегмента |
18 |
3,1 |
4,8 |
8 |
5,1 |
1,1 |
3,1 |
| Влияние инфляции |
26 |
5,2 |
8,6 |
7,4 |
6 |
1,5 |
4,7 |
| Покупательная способность |
9 |
6,4 |
6,1 |
2,4 |
4,7 |
2,3 |
5,3 |
| Стабильность потребности |
1 |
7,3 |
8 |
7,7 |
2,5 |
3 |
2,4 |
| Привлекательность
|
2,86
|
4,02
|
3,91
|
3,07
|
0,89
|
2,46
|
На основании данных SWOT-анализа в программе «Marketing Mix» была построена матрица GEМ (см. рис. 7). Исходные данные для её построения представлены на рис. 6.Рис. 6. Исходные данные для построения матрицы GЕМ
Рис.7. Матрица GEM фирмы «ПОЛИГРАФИСТ»4.2 Описание деловой ситуации, связанной с построением матрицы BCG
Фирма «ПОЛИГРАФИСТ» занимается продажей полиграфического оборудования. Фирма реализует на рынке Санкт-Петербурга шесть моделей печатных машин (товарные группы): Printmaster PM SO 102-2 (модель 1), Printmaster PM GTO 52-5-P (модель 2), S-Offset SORSZ (модель 3), Speedmaster SM 102-5-P (модель 4), Speedmaster SM 102-8-P (модель 5), Speedmaster CD 102-1-L (модель 6). Фирма имеет на рынке шесть основных конкурентов – продавцов такого же полиграфического оборудования, а именно: «ТЕТРА», «ДОМ ПЕЧАТИ», «ПРЕСС», «ГРАНД», «ШТАМП», «ПРИНТ» (основные конкуренты могут быть выбраны в результате построения конкурентной карты рынка).
Маркетологи фирмы оценили емкость рынка в текущем периоде и спрогнозировали значение емкости рынка в следующем периоде; на основании этих данных был определен темп роста рынка (см. табл. 9), для расчета которого использовалась формула (1).
Таблица 9. Темпы роста рынка товарных групп фирмы «ПОЛИГРАФИСТ»
| Товарная группа |
Объем продаж в текущем периоде, млн. руб. |
Объем продаж в следующем периоде, млн. руб. |
Темп роста рынка, % |
| Модель 1 |
0,6 |
0,7 |
17 |
| Модель 2 |
2,01 |
4,3 |
114 |
| Модель 3 |
7 |
5 |
-29 |
| Модель 4 |
3,1 |
3,2 |
3 |
| Модель 5 |
1 |
2,12 |
112 |
| Модель 6 |
9 |
10 |
11 |
В фирме «ПОЛИГРАФИСТ» было проведено исследование и определены пять ключевых факторов успеха на рынке (КФУ). Веса, соответствующие степени важности этого КФУ среди всех выбранных, были определены методом экспертных оценок. Кроме того, провели оценку фирмы и ее конкурентов по каждому КФУ. Для оценки фирмы и ее конкурентов по списку КФУ была выбрана 30-ти бальная шкала. Также был определен общий процент рынка, занимаемый фирмой вместе с ее основными конкурентами. Его значение составляет 80%.
С помощью программ «MarketingExpert» и «MarketingMix» на основании приведенных исходных данных требуется:
1. Построить «карту рынка» фирмы «ПОЛИГРАФИСТ».
2. Провести SWOT - анализ для каждой товарной группы, реализуемой данной фирмой на сегменте рынка «Малые типографии» на территории «Санкт - Петербург».
3. На основании исходных данных определить относительные доли рынка фирмы «ПОЛИГРАФИСТ» для каждой товарной группы, реализуемой на сегменте рынка «Малые типографии» на территории «Санкт – Петербург».
4. Построить матричную модель «Бостонской Консалтинговой Группы» (для планируемого периода) для реализуемых фирмой «ПОЛИГРАФИСТ» товаров.
5. Получить рекомендации на основании построенной матрицы BCG.
Карта рынка фирмы «ПОЛИГРАФИСТ» представлена на рис. 5.
Для каждой товарной группы, реализуемой данной фирмой на сегменте рынка «Малые типографии» на территории «Санкт – Петербург» в программе Marketing Expert был проведен SWOT – анализ. Результаты SWOT – анализа представлены в табл. 2-7. По значению силы бизнеса фирмы и ее конкурентов были оценены относительные доли рынка фирмы «ПОЛИГРАФИСТ» по каждой товарной группе.
На основании данных SWOT-анализа в программе Marketing Mix была построена матрица BCG (см. рис. 9). Исходные данные для её построения представлены на рис. 8.
Рис. 8. Исходные данные для построения матрицы BCG
Рис.9. Матрица BCG фирмы «ПОЛИГРАФИСТ»4.3 Анализ результатов вычислительных экспериментов, связанных с построением матрицы
GEM
На основании анализа матрицы (см. рис. 7) могут быть сформулированы следующие стратегические рекомендации:
- Для модели №6 характерна высшая степень привлекательности рынка. Стратегической задачей такого товара является осуществление необходимых инвестиций с целью извлечения максимальной выгоды из своих сильных сторон и улучшения слабых.
- У модели №3 рыночная привлекательность держится на среднем уровне. Рекомендации для такого товара: инвестировать именно в него, увеличить объемы продаж этой товарной группы и, соответственно, добиваться увеличения прибыли.
- Модель №1 характеризуется средним уровнем привлекательности рынка. Для нее рекомендуется выбрать осторожную избирательную политику, ориентированную на получение доходов.
- Модель №2 хотя и имеет низкий уровень привлекательности рынка, но является «производителем прибыли». В таком положении управлять инвестициями следует с точки зрения получения эффекта в краткосрочной перспективе.
- Для модели №5 характерна средняя привлекательность рынка и низкий уровень относительных преимуществ на рынке. Для данной товарной группы рекомендуется постараться отыскать возможности улучшения положения либо принять решение об уходе с рынка («уборка урожая» и подготовка к ликвидации).
- Для модели №4 характерны низкая привлекательность рынка и средний уровень относительных преимуществ на рынке. В таком положении также рекомендуется принять решение об уходе с рынка.
4.4 Анализ результатов вычислительных экспериментов, связанных с построением матрицы BCG
Из рис. 9 видно, что модель №2 попала в совокупность «знаков вопроса», модель №4 - в разряд «собак», модель №5 находится в квадранте «звезд», а модели №1, №3 и №6 являются «дойными коровами».
- «Знаки вопроса»
- товары, действующие на рынках с высокими темпами роста, но обладающие низкими относительными долями рынка. Такие товары требуют значительных инвестиций, но все же имеют шансы на успех, поскольку рынок еще расширяется. Предпочтительная стратегия для этих товаров (модель №2) – увеличение доли рынка.
- «Звезды»
- товары-лидеры на быстро растущем рынке. «Звезды» требуют значительных ресурсов для поддержания высоких темпов роста и отражения атак конкурентов, а также дают значительную прибыль. По мере созревания рынка эти товары (модель №5) обещают стать «дойными коровами», то есть генераторами прибыли.
- «Дойные коровы»
- товары, имеющие большую долю на медленно развивающемся рынке. Для инвестиций в «дойных коров» требуется самый необходимый минимум. Эти товары являются источником финансовых средств для развития диверсификации или исследований. Приоритетная стратегическая для этих товаров (модели №1, №3 и №6) – получение максимальной прибыли.
- «Собаки»
- товары, характеризующиеся низкими относительными долями на медленно растущих рынках. Они не приносят особой прибыли, имеют мало надежды на увеличение доли рынка. Приоритетная стратегия для «собак» (модель №4) - это удаление с рынка.
4.5 Сравнительный анализ полученных результатов расчетов по построению матричных моделей GEM и BCG
Я проведу сравнительный анализ результатов вычислительных экспериментов, связанных с построением матриц BCG и GEM. Отмечу, что стратегические рекомендации обеих матриц по товарной группе №5 противоречат друг другу. В GEM для нее рекомендуется уход с рынка, а в ВСG эта модель обещает стать генератором прибыли. Совпадают стратегические рекомендации по товарным группам: №4 – уход с рынка, №2 – увеличение доли рынка, №3 и №6 – получение максимальной прибыли.
Таким образом, результаты проведения Portfolio - анализа для одного товара с использованием матричных моделей BCG и GEM могут как дополнять друг друга, так и противоречить друг другу, так как в этих моделях используются различные механизмы построения индикаторов привлекательности и конкурентоспособности. Результаты анализа какой матричной модели следует брать за основу зависит от конкретной деловой ситуации.
ЗАКЛЮЧЕНИЕ
В результате проделанной работы были получены следующие результаты:
- в результате SWOT-анализа в программе «Marketing Expert» была оценена сила бизнеса и относительные доли рынка, занимаемые фирмой «ПОЛИГРАФИСТ» среди своих конкурентов;
- с помощью многокритериального анализа проведена оценка привлекательности рынка для каждой товарной группы, реализуемой фирмой «ПОЛИГРАФИСТ»;
- в системе «Marketing Mix» построены матричные модели General Electric-МсKinsey и BCG, на их основании получены рекомендации для дальнейших действий фирмы, проведен сравнительный анализ полученных результатов расчетов по построению матричных моделей GEM и BCG. Также выяснилось, что результаты проведения Portfolio - анализа для одного товара с использованием матричных моделей BCG и GEM могут как дополнять друг друга, так и противоречить друг другу, поэтому анализ какой матричной модели следует брать за основу зависит от конкретной деловой ситуации.
СПИСОК ИСПОЛЬЗОВАННОЙ ЛИТЕРАТУРЫ:
1. Эванс Дж. Р., Берман Б. Маркетинг. Пер. с англ. - М.: Экономика, 1990. 335с.
2. Ламбен Ж.-Ж. Стратегический маркетинг. Европейская перспектива / Пер. с фр. СПб.: Наука, 1996. 589 с.
3. Багиев Г.Л. Маркетинг: учебник для вузов. 3-е изд. - СПб.: Питер, 2007. 736 с.
4. Перлов В.И. Маркетинг на предприятии отрасли печати: учебное пособие для вузов. - М.: Издательство МГУП, 2000. 284 с.
5. Голубков Е.П. Маркетинговые исследования: Теория, практика и методология. - М.: Финпресс, 1998.
6. Фатхутдинов Р.А. Стратегический маркетинг: учебник. — М.: ЗАО «Бизнес-школа «Интел-Синтез», 2000. 640 с.
7. http: //www.marketing.spb.ru.
8. Картышов С.В. Моделирование стратегий маркетинга // Маркетинг и маркетинговые исследования в России. - 1998. - №4 (16).
9. http: //rea-centre.narod.ru.
10. http: //www.polimag.ru.
11. http: //www.curs.ru.
12. http: //www.cfin.ru.
13. Картышов С.В. Многокритериальный анализ задач стратегического маркетинга в программе Marketing Expert // Маркетинг и маркетинговые исследования в России. - 1997. - №5 (11).
14. Котлер Ф. Маркетинг менеджмент. 11-е изд. - СПб.: Питер, 2005. 800 с.
15. Песиков Э.Б., Фомичев М.Б. Portfolio - анализ в стратегическом планировании маркетинга фирмы // Print&Publishing. – 1999. - № 1 (32). – С. 26-30.
16. Штоляков В.И., Федосеев А.Ф., Зирнзак Л.Ф. Офсетные печатные машины: учебное пособие. - М.: Издательство МГУП, 1999. 216 с.
17. Зирнзак Л.Ф., Леймонт Л.Л., Самарин Ю.Н., Штоляков В.И. Листовые офсетные печатные машины: учебное пособие. - М.: Издательство МГУП, 1998. 136 с.
ПРИЛОЖЕНИЕ 1
ВИД ДИАЛОГОВОЙ ПАНЕЛИ «SWOT-АНАЛИЗ»
ПРИЛОЖЕНИЕ 2
ВИД ЛИСТА «ВОЗМОЖНОСТИ» ДЛЯ ПОСТРОЕНИЯ МАТРИЦЫ GEM В ПРОГРАММЕ «MARKETING MIX»
ПРИЛОЖЕНИЕ 3
ВИД ЛИСТА «ПРИВЛЕКАТЕЛЬНОСТЬ» ДЛЯ ПОСТРОЕНИЯ МАТРИЦЫ GEM В ПРОГРАММЕ «MARKETING MIX»
ПРИЛОЖЕНИЕ 4
ОСНОВНЫЕ ХАРАКТЕРИСТИКИ И ОБЛАСТИ ПРИМЕНЕНИЯ ВЫБРАННЫХ МОДЕЛЕЙ ПЕЧАТНЫХ МАШИН
| Модель печатной машины |
Основные характеристики |
Область применения |
| Printmaster PM SO 102-2 |
Широкоформатная
(72 см. х 102 см.), двухкрасочная, высокопроизводительная
(12 000 оттисков в час), проста в обслуживании
|
Проспекты, книжные и журнальные обложки, этикетки, упаковки |
| Printmaster PM GTO 52-5-P |
Малоформатная
(36 см. х 52 см.), пятикрасочная, средней производительности
(8 000 оттисков в час), двусторонняя печать имеется одно листопереворачивающее устройство
|
Открытки, деловые и частные печатные изделия, книжные обложки, проспекты, конверты |
| S-Offset SORSZ |
Широкоформатная
(72 см. х 102 см.), двухкрасочная, высокопроизводительная
(12 000 оттисков в час), проста в обслуживании
|
| Speedmaster SM 102-5-P |
Широкоформатная
(72 см. х 102 см.), пятикрасочная, высокопроизводительная
(13 000 оттисков в час), двусторонняя печать, имеется два листопереворачивающих устройства и центральный пульт управления машиной
|
| Этикетки, подарочная бумага, плакаты, художественные открытки, реклама больших и средних тиражей |
| Speedmaster SM 102-8-P |
Широкоформатная
(72 см. х 102 см.), восьмикрасочная, высокопроизводительная
(13 000 оттисков в час), двусторонняя печать, имеется два листопереворачивающих устройства и центральный пульт управления машиной
|
| Speedmaster CD 102-1-L |
Широкоформатная
(72 см. х 102 см.), однокрасочная, высокопроизводительная
(15 000 оттисков в час), двусторонняя печать, имеется одно лакировальное устройство и система автоматической транспортировки
|
Упаковка, этикетки, поздравительные и художественные открытки, фигурная реклама, плакаты |
ПРИЛОЖЕНИЕ 5
ВИД ДИАЛОГОВОГОЙ ПАНЕЛИ В ПРОГРАММЕ «MARKETING EXPERT» С РЕЗУЛЬТАТАМИ АНАЛИЗА ПРИВЛЕКАТЕЛЬНОСТИ
ПРИЛОЖЕНИЕ 6
КРУГОВЫЕ ДИАГРАММЫ ДЛЯ КАЖДОЙ ИЗ МОДЕЛЕЙ (ТОВАРНЫХ ГРУПП) ДЛЯ ПОКАЗАТЕЛЯ «СИЛА БИЗНЕСА», РАССЧИТАННОГО В РЕЗУЛЬТАТЕ ПРОВЕДЕНИЯ SWOT-АНАЛИЗА

Рис.10. Круговая диаграмма для показателя «Сила бизнеса» для модели 1

Рис.11. Круговая диаграмма для показателя «Сила бизнеса» для модели 2
ПРИЛОЖЕНИЕ 6

Рис.12. Круговая диаграмма для показателя «Сила бизнеса» для модели 3

Рис.13. Круговая диаграмма для показателя «Сила бизнеса» для модели 4
ПРИЛОЖЕНИЕ 6

Рис.14. Круговая диаграмма для показателя «Сила бизнеса» для модели 5

Рис.15. Круговая диаграмма для показателя «Сила бизнеса» для модели 6
|